Анализ финансовых результатов хозяйствующего субъекта

  • Вид работы:
    Курсовая работа (т)
  • Предмет:
    Финансы, деньги, кредит
  • Язык:
    Русский
    ,
    Формат файла:
    MS Word
    81,22 Кб
  • Опубликовано:
    2012-04-30
Вы можете узнать стоимость помощи в написании студенческой работы.
Помощь в написании работы, которую точно примут!

Анализ финансовых результатов хозяйствующего субъекта

Введение

В условиях рыночной экономики эффективность производственной, инвестиционной и финансовой деятельности выражается в финансовых результатах.

В условиях рынка каждый хозяйствующий субъект самостоятельно выбирает сферу бизнеса, формирует товарный ассортимент, определяет затраты, формирует цены, учитывает выручку от реализации, а следовательно, выявляет прибыль или убыток по результатам деятельности. В условиях рынка получение прибыли является непосредственной целью деятельности субъекта хозяйствования. Реализация данной цели возможна только в том случае, если субъект хозяйствования производит продукцию (работы, услуги), которые по своим потребительским свойствам соответствуют потребностям общества. Обществу нужны не рублёвые эквиваленты, а конкретные товарно-материальные ценности. Акт реализации продукта (работ, услуг) означает и общественное признание. Получение выручки за произведённую и реализованную продукцию ещё не означает получение прибыли. Для выявления финансового результата необходимо выручку сопоставить с затратами на производство и реализацию.

Суть деятельности каждого предприятия определяет особенности его функционирования, содержание и структуру активов, формирует существенную часть конечного финансового результата.

Таким образом, рассмотрение вопроса о сущности и формировании финансовых результатов хозяйствующего субъекта является важным и актуальным в условиях рыночной экономики.

Актуальность данного вопроса определяет выбор темы и содержание данной работы.

Целью работы является изучение сущности, структуры и формирования финансовых результатов предприятия.

В соответствии с поставленной целью предстоит решить следующие задачи:

рассмотреть теоретические аспекты экономического содержания финансовых результатов, проанализировать формирование финансовых результатов на отдельном предприятии, разработать предложения по повышению финансовых результатов деятельности на предприятии.

Объектом исследования являются финансовые результаты деятельности ООО «Турмалин».

Предметом исследования является механизм формирования и использования финансовых результатов предприятия.

1. Финансовые результаты деятельности хозяйствующего субъекта

.1 Доход предприятия, его сущность и значение

Эффективность производственной, инвестиционной и финансовой деятельности выражается в финансовых результатах.

Для выявления финансового результата необходимо выручку сопоставить с затратами на производство и реализацию: когда выручка превышает затраты, тогда финансовый результат свидетельствует о получении прибыли. При равенстве выручки и затрат удается лишь возмещать затраты - прибыль отсутствует, а следовательно, отсутствует и основа развития хозяйствующего субъекта. Когда затраты превышают выручку, субъект хозяйствования получает убытки - это область критического риска, что ставит хозяйствующего субъекта в критическое финансовое положение, не исключающее банкротство. Убытки высвечивают ошибки, просчеты в направлениях использования финансовых средств организации производства, управления и сбыта продукции.

Прибыль отражает положительный финансовый результат. Стремление к получению прибыли ориентирует товаропроизводителей на увеличение объема производства продукции, снижение затрат. Это обеспечивает реализацию не только цели субъекта хозяйствования, но и цели общества - удовлетворение общественных потребностей. Прибыль сигнализирует, где можно добиться наибольшего прироста стоимости, создает стимул для инвестирования в эти сферы.

На величину прибыли, ее динамику воздействуют факторы как зависящие, так и не зависящие от усилий хозяйствующего субъекта.

Факторы внутренней среды изучаются и учитываются в хозяйственной практике, на них можно воздействовать в плане увеличения прибыли. К внутренним факторам относят: уровень хозяйствования, компетентность менеджера, конкурентоспособность продукции, зарплату, уровень цен на реализуемую продукцию, организации производства и труда.

Практически вне сферы воздействия находятся факторы внешней среды: уровень цен на потребляемые ресурсы, конкурентная среда, барьеры входа, налоговая система, государственные органы управления, политические, социальные, культурные, религиозные и другие.

Прибыль как результат, финансовой деятельности выполняет определенные функции. Прибыль отражает экономический эффект, полученный в результате деятельности субъекта хозяйствования. Она составляет основу экономического развития субъекта хозяйствования. Рост прибыли создает финансовую базу для самофинансирования, расширенного воспроизводства, решения проблем социального и материального характера трудового коллектива. Прибыль является не только финансовым результатом, но и основным элементом финансовых ресурсов. Отсюда следует, что прибыль выполняет воспроизводственную, стимулирующую и распределительную функции. Она характеризует степень деловой активность и финансового благополучия предприятия.

В условиях рыночных отношений субъект хозяйствования должен стремиться если не к получению максимальной величины прибыли, то к той величине прибыли, которая обеспечит динамичное развитие производства в условиях конкуренции, позволит ему удержать позиции на рынке данного товара, обеспечить его выживаемость. Решение данных задач предполагает не только знание источников формирования прибыли, но и определение методов оптимального их использования. Управление прибылью выступает в качестве одного из двух базовых направлений финансовой политики и ставит своей задачей максимизацию доходов по имеющимся источникам финансовых результатов.

.2 Порядок формирования доходов хозяйствующего субъекта

Доходы предприятия в виде выручки от реализации продукции, работ, услуг, иного имущества и имущественных прав является источником покрытия расходов по производству и реализации продукции и внереализационных расходов и получения прибыли предприятием.

К доходам предприятия относятся определяемые на основании первичных документов доходы от реализации и внереализационные доходы. Структура доходов показана на рисунке 1.

Рисунок 1 - Состав доходов предприятия

Выручка от реализации продукции является важным фактором формирования финансовых результатов деятельности предприятия, поэтому важно грамотно ее определять. Существуют два метода ее определения.

Кассовый метод заключается в том, что выручка формируется по мере ее оплаты: при безналичных расчетах - по мере поступления средств за товары на счета, а при расчетах наличными деньгами - поступление денежных средств в кассу предприятия. Метод применяется давно и удобен, предприятие может распоряжаться денежными средствами, фактически поступившими на счет в банке или в кассу предприятия.

Метод начисления, при котором выручка от реализации продукции определяется по мере отгрузки товаров (выполнения работ, услуг) и предъявления покупателю (заказчику) расчетных документов. Этот метод основывается на том, что в момент отгрузки продукции предприятие теряет право собственности на нее. Недостатком данного метода является то, что выручка от реализации продукции по мере ее отгрузки будет учтена в бухгалтерской отчетности, предприятие обязано заплатить налоги, а реальные денежные средства на счет могут поступить по различным причинам с большим опозданием или не поступят вовсе, например, в связи с банкротством покупателя.

Предприятие самостоятельно выбирает метод определения выручки, от реализации исходя из условий хозяйствования и заключаемых договоров. Однако выбранный метод должен устанавливаться на длительный срок и отражаться в учетной политике

.3 Механизм формирования и использования прибыли предприятия

Прибыль как экономическая категория она характеризует финансовый результат предпринимательской деятельности предприятия. Прибыль является показателем, наиболее полно отражающим эффективность производства, объем и качество произведенной продукции, состояние производительности труда, уровень себестоимости. Вместе с тем прибыль оказывает стимулирующее воздействие на укрепление коммерческого расчета, интенсификацию производства при любой форме собственности.

Прибыль представляет собой разницу между общей суммой доходов и расходами на производство и реализацию продукции с учетом убытков от различных хозяйственных операций. Таким образом, прибыль формируется в результате взаимодействия многих компонентов, как с положительным, так и отрицательным знаком.

Как важнейшая категория рыночных отношений прибыль выполняет определенные функции.

Во-первых, она является показателем, наиболее полно отражающим эффективность производства, объем и качество произведенной продукции, состояние производительности труда, уровень себестоимости. Показатели прибыли являются важнейшими для оценки производственной и финансовой деятельности предприятия. Они характеризуют степень его деловой активности и финансового благополучия. По прибыли определяется уровень отдачи авансированных средств и доходность вложений в активы предприятия. Прибыль оказывает также стимулирующее воздействие на укрепление коммерческого расчета, интенсификацию производства.

Во-вторых, прибыль обладает стимулирующей функцией. Ее содержание состоит в том, что прибыль одновременно является финансовым результатом и основным элементом финансовых ресурсов предприятия. Реальное обеспечение принципа самофинансирования определяется полученной прибылью.

Рост прибыли определяет рост потенциальных возможностей предприятия, повышает степень его деловой активности, создает финансовую базу для самофинансирования, расширенного воспроизводства, решения проблем социальных и материальных потребностей трудовых коллективов. Она позволяет осуществлять капитальные вложения в производство (тем самым, расширяя и обновляя его), внедрять нововведения, решать социальные проблемы на предприятии, финансировать мероприятия по его научно-техническому развитию. Помимо этого, прибыль является важным фактором в оценке потенциальным инвестором возможностей компании, служит показателем эффективного использования ресурсов, т. е. необходима для оценки деятельности фирмы и ее возможностей в будущем.

Прибыль обеспечивает потребности самого предприятия и государства в целом. Поэтому, прежде всего, важно определить состав прибыли предприятия. Общий объем прибыли предприятия представляет собой валовой доход

Для более глубокого анализа прибыли целесообразно использовать данные бухгалтерского учета, информацию, которая помещается в первичных документах о финансовых результатах деятельности предприятия.

Механизм распределения прибыли представлен на рисунке 2.

Рисунок 2 - Механизм распределения прибыли

Балансовая прибыль уменьшается на сумму прибыли, облагаемой по различным ставкам налога на прибыль, производятся отчисления в резервные или другие аналогичные фонды, исключаются суммы прибыли, по которой установлены налоговые льготы.

Оставшаяся после этих корректировок балансовая прибыль является объектом налогообложения и именуется налогооблагаемой прибылью. После уплаты налога остается так называемая чистая прибыль. Эта прибыль находится в полном распоряжении организации и используется ею, самостоятельно.

Уплатив в бюджет соответствующий налог с прибыли (за исключением налоговых льгот), организация получает в свое распоряжение оставшуюся так называемую чистую прибыль. Эта прибыль используется ею самостоятельно и направляется на дальнейшее развитие предпринимательской деятельности. Рыночные условия хозяйствования определяют приоритетные направления использования собственной прибыли. Развитие конкуренции вызывает необходимость расширения производства, его совершенствования, удовлетворения материальных и социальных потребностей трудовых коллективов.

Так как прибыль отражает результаты всех видов деятельности предприятия - производственной, непроизводственной и финансовой, это значит, что на размерах прибыли отражаются все стороны деятельности предприятия.

1.4 Рентабельность, её виды и порядок расчёта

Смысл любой предпринимательской деятельности состоит в достижении положительного экономического эффекта в виде абсолютного показателя - прибыли или относительного - рентабельности. Тем самым рентабельность выступает главным объектом и целью финансового менеджмента предприятий. Чем больше уделяется внимания рентабельности, тем успешнее функционирует предприятие.

Так или иначе рентабельность представляет собой соотношение дохода и капитала, вложенного в создание этого дохода. Увязывая прибыль с вложенным капиталом, рентабельность позволяет сравнить уровень доходности предприятия с альтернативным использованием капитала или доходностью, полученной предприятием при сходных условиях риска. Рентабельность является показателем, комплексно характеризующим эффективность деятельности предприятия.

Экономическая сущность рентабельности может быть раскрыта только через характеристику системы показателей. Общий их смысл - определение суммы прибыли с одного рубля вложенного капитала.

Анализ рентабельности позволяет оценить способность предприятия приносить доход на вложенный в него (предприятие) капитал. Характеристика рентабельности предприятия базируется на расчете четырех основных показателей - рентабельности всего капитала, собственного капитала, основной деятельности и рентабельности продаж.

Источником для расчета коэффициентов рентабельности служит бухгалтерский баланс (форма № 1), отчет о прибылях и убытках (форма №2), приложение к балансу (форма № 5).

В экономической литературе различные авторы по-разному классифицируют показатели рентабельности. Одной из таких классификаций является подразделение на:

- показатели рентабельности всего капитала;

показатели рентабельности собственного капитала;

показатели рентабельности продаж;

показатели рентабельности продукции.

Рентабельность всего капитала (совокупных активов) показывает, имеет ли компания базу для обеспечения высокой доходности собственного капитала. Данный показатель отражает эффективность использования всего имущества предприятия. Снижение рентабельности всего капитала свидетельствует о падающем спросе на продукцию фирмы и перенакоплении активов.

,                                                                       (1)

Где ЧП - чистая прибыль,

ВБнг - валюта баланса на начало года,

ВБкг - валюта баланса на конец года.

Этот показатель отражает прибыльность активов, и обусловлен как ценообразовательной политикой предприятия, так и уровнем затрат на производство реализованной продукции. Существует два основных способа повышения рентабельности активов:

-ый - при низкой прибыльности продукции необходимо стремиться к ускорению оборачиваемости активов и его элементов;

-ой - низкая деловая активность предприятия может быть компенсирована только снижением затрат на производство продукции или рост цен на продукцию, т.е. повышением рентабельности продукции.

Рентабельность собственного капитала характеризует эффективность использования собственного капитала. Этот коэффициент является одним из самых важных показателей, используемых в бизнесе, он измеряет общую величину доходов акционеров. Высокое значение данного коэффициента говорит об успехе компании, что ведет к высокому рыночному курсу ее акций и относительной легкости привлечения новых капиталов для ее развития. Однако надо иметь в виду, что высокий коэффициент рентабельности собственного капитала может быть связан как с высокой инфляцией, так и с высоким риском компании. Поэтому его интерпретация не должна быть упрощенной и одномерной. Рентабельность собственного капитала показывает, сколько чистой прибыли приходится на рубль собственных средств.

,                                                                     (2)

где    ЧП - чистая прибыль,

СКнг - величина собственных средств на начало года,

СКкг - величина собственных средств на конец года.

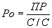
Рентабельность основной деятельности рассчитывается как отношение прибыли от реализации к сумме затрат на производство и реализацию продукции.

,                                                                                        (3)

где    ПР - прибыль от реализации,

С/С - себестоимость реализованной продукции.

Она показывает, сколько предприятие имеет прибыли с каждого рубля, затраченного на производство и реализацию продукции. Этот показатель может рассчитываться как в целом по предприятию, так и по его отдельным подразделениям или видам продукции.

Повышение рентабельности продукции обеспечивается преимущественно снижением себестоимости единицы продукции. Чем лучше используются основные производственные фонды, тем выше рентабельности производства. При улучшении использования материальных оборотных средств снижается их величина, приходящаяся на 1 руб. реализованной продукции. Следовательно, факторы ускорения оборачиваемости материальных оборотных средств являются одновременно факторами роста рентабельности производства.

Этот показатель свидетельствует об эффективности не только хозяйственной деятельности предприятия, но и процессов ценообразования. Его целесообразно рассчитывать как по общему объему реализованной продукции, так и по отдельным ее видам.

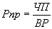
Рентабельность продаж рассчитывается как отношение чистой прибыли к сумме полученной выручки.

,                                                                                        (4)

где    ЧП - чистая прибыль предприятия,

ВР - выручка от реализации продукции..

Этот показатель характеризует эффективность предпринимательской деятельности (сколько прибыли имеет предприятие с рубля выручки). Рентабельность продаж может рассчитываться как в целом по предприятию, так и по отдельным видам продукции.

Если рентабельность продаж постепенно снижается, то причина либо в выросших издержках, либо в повысившихся ставках налога. Следовательно, мы должны обратиться к изучению этих факторов, чтобы найти корень проблемы. Снижение объема продаж может свидетельствовать, прежде всего, о падении конкурентоспособности продукции, так как позволяет предположить сокращение спроса на продукцию.

Анализ рентабельности продукции

Эффективность основной деятельности предприятия по производству и реализации товаров, работ и услуг характеризуется показателем рентабельности продукции. Он определяется отношением прибыли к полной себестоимости продукции.

Для характеристики рентабельности реализованной продукции прибыль от реализации делят на полную себестоимость реализованной продукции:

Рп = Пр/Ср,                                                                                    (5)

где Рп - рентабельность реализованной продукции,

Пр - прибыль от реализации,

Ср - себестоимость реализованной продукции.

Данный показатель характеризует реальный размер прибыли, которую приносит предприятию каждый рубль произведенных затрат по ее выпуску и реализации. Иногда при расчетах данного показателя в числителе используют чистую прибыль предприятия. Но на показатель рентабельности продукции, рассчитанный па основе чистой прибыли, оказывают влияние факторы, связанные со снабженческо-сбытовой и другими видами деятельности предприятия. Кроме этого, на показатель оказывает влияние и налогообложение. По динамике данного показателя предприятие может принимать решение по изменению ценовой политики или усилению контроля за себестоимостью продукции. Показатель можно определять в целом по продукции или по отдельным её видам. Итак, главной задачей предприятия в условиях рыночной экономики является всемерное удовлетворение потребности народного хозяйства и граждан в его продукции, работах и услугах с высоким потребительским свойством и качеством при минимальных затратах. Для осуществления своей главной задачи предприятие обеспечивает увеличение финансовых результатов своей деятельности. Анализ финансовых результатов своей деятельности имеет большое значение для оценки эффективности производства предприятия.

2. Анализ финансовых результатов деятельности ООО «ТУРМАЛИН»

.1 Технико-экономическая характеристика предприятия

Общество с ограниченной ответственностью «Турмалин» было зарегистрировано 19.11.2001 г. в г. Артеме, основной вид деятельности - розничная торговля ювелирными изделиями. Цель создания общества - ведение предпринимательской деятельности для получения прибыли. Высшим органом ООО «Турмалин» является общее собрание его участников, которое осуществляет свою деятельность в соответствии с российским законодательством на основании Устава.

В настоящее время ООО «Турмалин» - одно из предприятий на рынке ювелирной розничной торговли с численностью работников 73 человека и сетью магазинов (структурных подразделений) в разных городах и поселках Приморского края: г. Артем, г. Владивосток, г. Фокино, г. Большой Камень, г. Находка, пос. Шкотово, пос. Трудовое.

Анализ основных технико - экономических показателей деятельности предприятия позволяет дать общую оценку работы предприятия, выявить факторы, повлиявшие на формирование отдельных показателей, а так же дать возможность ознакомиться с масштабами хозяйственной деятельности. Основные технико-экономические показатели деятельности ООО «Турмалин» за 2008 и 2009 год представлены в таблице 1.

Таблица 1 - Основные технико-экономические показатели деятельности ООО «Турмалин»

Показатель

2008 г.

2009 г.

Абсолютное отклонение, (+,-)

Темп роста, %

1 Выручка от реализации, тыс. руб.

42708

88754

+46046

207,82

2 Себестоимость товара, тыс. руб.

31355

62446

+31091

199,16

3 Коммерческие расходы, тыс. руб.

6303

12154

+5851

192,83

4 Прибыль от продаж, тыс. руб.

5050

14154

+9104

280,28

5 Прибыль до налогообложения, тыс. руб.

4678

13673

+8995

292,28

6 ЕНВД, тыс. руб.

635

767

+132

120,79

7 Чистая прибыль, тыс. руб.

4043

12906

+8863

319,22

8 Годовой фонд оплаты труда, тыс. руб.

2404

3740

+1336

155,57

9 Среднемесячная оплата труда на одного работника, тыс. руб.

4,89

6,11

+1,22

124,95

10 Среднегодовая численность работников, чел.

41

51

+10

124,39

11 Фондоотдача (стр.1/стр.14), руб.

68

56

-12

82,35

12 Фондоемкость (стр.14/стр.1), руб.

0,01

0,01

0

-

13 Фондовооруженность, тыс.руб./чел.

15

31

+16

206,66

14 Среднегодовая стоимость основных средств, тыс. руб.

625,5

1 666,5

+1041

266,4

15 Среднегодовой остаток оборотных средств, тыс. руб.

27735

43768

+969

179,1

16 Среднегодовая стоимость собственного капитала, тыс. руб.

22352

29747

+7395

133,1

17 Коэффициент оборачиваемости оборотных средств (стр.1/стр.15), обороты

1,54

2,03

0,49

131,82

18 Продолжительность одного оборота оборотных средств (360/стр.17), дни

233

177

-56

+75,97

19 Рентабельность продаж (стр.4/стр.1 * 100), %

10,9

15,4

+4,5 %

-

20 Рентабельность коммерческой деятельности (стр.4/стр.2 * 100), %

16,1

22,7

+6,6 %

-

21 Рентабельность собственного капитала, (стр.7/стр16 * 100), %

18,1

43,4

+25,3 %

-

22 Рентабельность оборотного капитала (стр.5/стр.15 * 100) %

16,87

31,24

+14,37 %

-


Основное внимание руководство ООО «Турмалин» обращает на рентабельность продаж и рентабельность собственного капитала, т.к. рентабельность является основным показателем прибыльности (доходности) предприятия.

Сравнив основные технико-экономические показатели можно сделать следующие выводы:

на предприятии ООО «Турмалин» в отчетном 2009 году по сравнению с 2008 годом прослеживается рост выручки от реализации на 107,82 процента, в результате чего произошло увеличение себестоимости реализованного товара на 31 091 тыс. руб. или на 99,16 %.

произошло увеличение коммерческих расходов на 5 960 тыс. руб., или на 89,29 процента.

Взаимное влияние выше приведенных факторов как следствие, приводит к тому, что опережение роста выручки над ростом себестоимости и коммерческими расходами, увеличило чистую прибыль на 8 863 тыс. руб. или на 219,22 процента.

Динамика изменений объемов реализованных товаров, их себестоимости, коммерческих расходов и прибыли за 2008-2009 годы представлена на рисунке 3.

В динамике показателей видно, что фондоотдача снизилась на 12 руб. или на 17,65 процента, а фондоемкость осталась без изменений. Это свидетельствует об эффективном использовании основных производственных фондов, но не в полной мере.

В следствии роста прибыли увеличился и собственный капитал предприятия на 7395 тыс. рублей или 33,1 %, что свидетельствует о прибыльности предприятия.

доход рентабельность финансовый результат


Среднегодовая стоимость основных фондов возросла 1041 на тыс. рублей или 166,4 %, наряду с этим растет как активная часть фондов (в большей степени), так и стоимость непроизводственных фондов (в меньшей степени).

В 2009 году по сравнению с 2008 годом прослеживается увеличение фонда оплаты труда на 1336 тыс. руб. или на 155,57, это связано с увеличением численности работников на 10 человек или на 124,39 %, и увеличением среднемесячной оплаты труда на 1,22 тыс. руб. или на 124,95 процентов.

Фондовооруженность является показателем технической вооруженности труда на предприятии, она характеризует какая часть стоимости основных производственных фондов приходится на 1 работника предприятия. В отчетном году фондовооруженность возросла на 16 тыс. руб. в расчете на одного работника или в два раза по сравнению с предыдущим годом, что положительно характеризует технико - организационный уровень предприятия.

В 2009 году в сравнении с 2008 годом г. прослеживается рост стоимости основных средств на 1831 тыс. руб. или на 343,81 % и среднегодовая стоимость основных средств на 958 тыс. руб. или на 252,%.

В свою очередь при анализе оборотных средств видно, что среднегодовой остаток оборотных средств в 2009 году по сравнению с 2008 годом увеличился на 16 033 тыс. руб. или 157,8 %, при этом коэффициент оборачиваемости оборотных средств увеличился на 31,82 %, а продолжительность одного оборота оборотных средств уменьшилась на 56 дней с 233 до 177. Это говорит о том, что в 2009 г. предприятие более эффективно стало использовать свои оборотные средства.

Взаимное влияние всех выше приведенных факторов, роста выручки от реализации и чистой прибыли привели к увеличению:

- роста рентабельности продаж на 4,5 %;

- роста рентабельности коммерческой деятельности на 6,6 %;

роста рентабельности собственного капитала на 25,3 %;

роста рентабельности оборотного капитала на 14,37 %.

Рентабельность является основным показателем доходности предприятия, а рост всех выше приведенных показателей рентабельности говорит о том, что в целом предприятие характеризуется стабильной деятельностью и ростом доходов.

.2 Анализ прибыли и рентабельности

Прибыль предприятия находится в прямой зависимости от величины выручки, себестоимости реализованного товара и расходов, понесенных организацией на реализацию. В этом разделе подробно рассмотрим и проанализируем взаимосвязь всех этих факторов.

Затраты торгового предприятия, связанные с закупом товаров, находят свое выражение в себестоимости. Ее показатели отражают степень использования материальных и финансовых ресурсов, качество работы как предприятия в целом, так и его коммерческого отдела.

Для оценки эффективности работы товароведов ООО «Турмалин» с поставщиками в вопросах цен на закупаемый товар проведем анализ удельного веса статей затрат, в частности материальных, в общих затратах за 2009 год в сравнении с 2008 годом в целом по предприятию.

Показатели для расчета представим в таблице 2.

Таблица 2 - Анализ удельного веса статей затрат на реализацию продукции в общих затратах в тысячах рублей

Элементы затрат

2008 г

2009 г

Удельный вес в затратах, %

Отклонения

Затраты всего

38030

75081

100

100

-

Материальные затраты

31 355

62 446

82,45

83,17

+ 0,72

Затраты на оплату труда

2 404

3740

6,32

4,98

- 1,34

Прочие

372

481

0,98

0,64

- 0,34

Коммерческие расходы

3 899

8414

10,25

11,21

+ 0,96

Управленческие расходы

-

-

-

-

-


Рассматривая динамику структуры затрат по экономическим элементам можно отметить, что наибольшее изменение в сторону увеличения произошло по коммерческим расходам (на 0,96%), это связано с платностью банковских кредитов, которые появились у предприятия в 2009 году.

Материальные затраты, которые по своей сути являются затратами на закупку товара, увеличились на 0,72%, что обусловлено использованием товарных кредитов, ведь не все поставщики предоставляют товар с отсрочкой платежа не увеличивая при этом цену. У таких поставщиков следует брать товар по предоплате или по факту поступления товара на предприятие.

Произошло значительное снижение затрат на оплату труда (на 1,34 %). Положительным аспектом стало снижение прочих расходов (на 0,34 %).

Данные таблицы 2 показывают, что материальные затраты составляют значительную долю всех затрат на реализацию продукции. Снижение себестоимости товаров - один из важнейших факторов роста прибыли и уровня рентабельности.

Наиболее известный и широко используемый на практике обобщающий показатель - это материальные затраты на один рубль выручки. Он позволяет характеризовать уровень и динамику материальных затрат при реализации товаров и определяется отношением объема продаж к материальным затратам. Анализ материальных затрат на 1 рубль реализованной продукции за 2008 - 2009 г.г. представим в таблице 3.

Таблица 3 - Анализ материальных затрат на 1 рубль реализованной продукции в тысячах рублей

Показатель

2008

2009

Отклонение

1 Выручка от реализации продукции

42 708

88 754

+46 046

2 Полная себестоимость продукции

31 355

62 446

+31 091

3 Уровень затрат на 1 рубль продукции (стр.2/стр.1)

0,73

0,70

-0,03


На предприятии происходит снижение материальных затрат на 0,03 рубля на 1 рубль реализованной продукции.

Таким образом, подводя итог анализу себестоимости, можно констатировать увеличение затрат предприятия на продажу ювелирных изделий, при этом увеличились материальные затраты относительно предшествующего года, но снизились материальные затраты на 1 рубль реализованной продукции.

Балансовая прибыль включает финансовые результаты от реализации продукции, работ и услуг, доходы от финансовой и инвестиционной деятельности, внереализационные доходы.

Чистая прибыль (нераспределенная) - это та прибыль, которая остается в распоряжении предприятия после уплаты всех налогов, экономических санкций и отчислении в благотворительные фонды.

В процессе анализа необходимо изучить состав прибыли, ее структуру, динамику.

Для анализа и оценки динамики показателей прибыли составим таблицу 4, в которой используем данные бухгалтерской отчетности предприятия форму № 2 «Отчет о прибылях и убытках».

Таблица 4 - Оценка прибыли от реализации ООО «Турмалин» за 2008-2009 гг. в тысячах рублей

Показатель

2008

2009

Абсолютное отклонение.

Темпы роста,%

Темпы прироста,%

Выручка от реализации

42 708

88 754

+46 046

+207,82

+107,82

Себестоимость

31 355

62 446

+31 091

+199,16

+99,16

Комерческие расходы

6303

12154

+5851

+192,83

+92,83

Прибыль от продаж

5050

14154

+9104

+280,28

+180,28


На предприятии наблюдается увеличение прибыли от реализации продукции на 9 104 тысяч рублей или на 180,28 %. Однако, наряду с этим растет и себестоимость продукции на 99,16 %. Следовательно, рост выручки, себестоимости и расходов оказали влияние на объем прибыли.

Рассмотрим влияние каждого из вышеперечисленных факторов:

1.   Все показатели 2008 года. 42708- 31355-6303 = 5050

2.       Изменение выручки. 88754 - 31355-6303 = 51096

.        Изменение себестоимости 88754 - 62446-6303 = 20005

.        Изменение величины коммерческих расходов 88754 - 62446-12154 = 14154

Увеличение объема прибыли в 2009 году произошло за счет влияния следующих факторов:

увеличения выручки 51096 - 5050 = + 46046;

увеличения себестоимости реализованного товара 20005-51096 = - 31091;

увеличения коммерческих расходов 14154 - 20005 = -5851

Общее изменение 46046 - 31091 - 5851 = 9104

рентабельности всего капитала;

собственного капитала;

заемных средств;

рентабельности продаж.

Анализ рентабельности производственной деятельности представлен в таблице 5.

Таблица 5 - Анализ рентабельности деятельности ООО «Турмалин» за 2008 - 2009 года в тысячах рублей

Показатель

Обозначение

2008 г.

2009 г.

Отклонение

Выручка от реализации

В

42 708

88 754

+46 046

Себестоимость продукции

З

31 355

62 446

+31 091

Прибыль от реализации

П

11 353

26 308

+14 955

Рентабельность затрат на товар, %

0,362

0,421

+0,059


По данным таблицы можно сделать вывод, что в результате финансово-хозяйственной деятельности ООО «Турмалин» рентабельность затрат на товар возросла на 5,9 %, вследствие опережения роста прибыли над ростом реализованной себестоимости. Это связано с увеличением торгового наложения и оказывает положительное влияние на рентабельность предприятия в целом.

Анализ рентабельности собственного капитала ООО «Турмалин» представлен в таблице 6.

Таблица 6 - Анализ рентабельности собственного капитала за 2008 - 2009 года

Показатель

2008 год

2009 год

Отклонение

1 Чистая прибыль, тыс. руб.

4 043

12 906

+8 863

2 Выручка от реализации, тыс. руб.

42 708

88 754

+46 046

3 Среднегодовая стоимость активов, тыс. руб.

32 381

59 301

+26 920

4 Среднегодовая стоимость собственного капитала, тыс. руб.

22 352

29 747

+7 395

5 Рентабельность продаж,

0,095

0,145

+0,05

6 Коэффициент ресурсоотдачи,(стр.2/стр.3)

1,319

1,497

+0,178

7 Коэффициент финансовой зависимости (стр.3/стр.4)

1,449

1,994

+0,545

8 Рентабельность собственного капитала (стр.1/стр.4),

0,181

0,434

+0,253


Из таблицы 6 видно, что рентабельность собственного капитала увеличилась на 25,3%. Это произошло под влиянием роста чистой прибыли.

Динамичность рыночных отношений обуславливает принятие неординарных решений, связанных с финансовыми результатами деятельности. Для оценки уровня эффективности работы получаемый результат - прибыль - сопоставляется с затратами или используемыми ресурсами. Рентабельность есть относительный показатель, который обладает свойством сравнимости, может быть использован при сравнении деятельности разных хозяйственных субъектов. Показатель рентабельности позволяет оценить, какую прибыль имеет субъект хозяйствования с каждого рубля средств, вложенных в активы.

.3 Анализ финансового состояния предприятия

Финансовое состояние предприятия характеризуется системой показателей, отражающих способность субъекта хозяйствования финансировать свою деятельность и своевременно рассчитываться по своим обязательствам.

Финансовое состояние может быть устойчивым, неустойчивым и кризисным. Поэтому способность предприятия постоянно поддерживать свою платежеспособность и инвестиционную привлекательность в границах допустимого уровня риска свидетельствует о его устойчивом финансовом состоянии и наоборот. Сравнительный аналитический баланс на 2009 год представлен в таблице 7.

Таблица 7 - Сравнительный аналитический баланс за 2009 год в тысячах рублей

Показатель

На начало периода

На конец Периода

Прирост


тыс. руб.

удельный вес, %

тыс. руб.

Удельный вес ,%

тыс.руб.

Удельного веса, %

СТАТЬИ АКТИВА

1 Имущество - всего

32 380

100

59 301

100

+26 921

-

1.1Внеоборотные активы

1 066

3,29

3 079

5,19

+2 013

+1,9

1.2Оборотные активы

31 314

96,71

56 222

94,81

+24 908

-1,9

1.2.1 Запасы

28 512

88,05

50 426

85,03

+21 914

-3,02

1.2.2 Дебиторская задолженность

502

1,55

5 023

8,47

+4 521

+6,92

1.2.3 Денежные средства

2 300

7,10

772

1,30

-1 528

-5,8

СТАТЬИ ПАССИВА

1 Источники имущества

32 380

100

59 301

100

+26 921

-

1.1 Собственный капитал

24 044

74,26

35 450

59,78

+11 406

-14,48

СТАТЬИ ПАССИВА

1.2 Заёмный капитал

8 336

25,74

23 851

40,22

+15 515

+14,48

1.2.1Долгосрочные обязательства

-


8 749

36,68

+8 749

+36,68

1.2.2Краткосрочные кредиты и займы

30

0,36

2 705

11,34

+2 675

+10,98

1.2.3Кредиторская задолженность

8 306

99,64

12 397

51,98

+4 091

-47,66


Анализируя статьи актива сравнительного аналитического баланса, можно сделать вывод, что за отчётный период имущество предприятия увеличилось на 26 921 тыс.руб., составив в конце периода 59 301 тыс. руб.. Такое изменение было обеспечено увеличением суммы внеоборотных активов на 2013 тыс.руб. или на 7,48% и увеличением оборотных активов на 24 908 тыс.руб. или на 92,52%.

Снижение удельного веса запасов на 3,02% объясняется увеличением удельного веса дебиторской задолженности на 6,92%. Дебиторская задолженность в ООО «Турмалин» - это нереализованный товар, переданный поставщикам для обмена.

Анализируя статьи пассива сравнительного аналитического баланса, можно сделать вывод, что увеличение имущества предприятия за отчетный период на 26 921 тыс. руб. было обеспеченно увеличением собственного капитала на 11 406 тыс. руб. и заемного на 15 515 тыс. руб. Но при этом, удельный вес собственного капитала снизился на 57,63% в пользу заемного. Удельный вес долгосрочных и краткосрочных обязательств в заемном капитале увеличился, а кредиторской задолженности уменьшился почти в два раза. Далее произведен анализ финансовой устойчивости предприятия и представлен в таблице 8.

Таблица 8 - Анализ финансовой устойчивости предприятия за 2009год в тысячах рублей

Показатель

На начало периода

На конец периода

1 Источники собственных средств, стр. 490

24 044

35 450

2 Внеоборотные активы, стр.190

1 066

3 079

3 Наличие собственных оборотных средств, (стр.1 - стр.2)

22 978

32 371

4 Долгосрочные обязательства, стр. 590

0

8 749

5 Наличие собственных и долгосрочных источников формирования запасов и затрат, (стр.3 + стр.4)

22 978

41 120

6 Краткосрочные обязательства, стр.690

8 337

15 102

7 Общая величина основных источников формирования запасов и затрат, (стр.5 + стр.6)

31 315

56 222

8 Общая величина запасов и затрат, стр.290

31 314

56 222

9 Излишек (+) или недостаток (-) собственных оборотных средств,(стр.3 - стр.8) Фс

-8 336

-2 3851

10 Излишек (+) или недостаток (-) собственных и долгосрочных заёмных источников формирования запасов и затрат, (стр.5 - стр.8) Фт

-8 336

-15 102

11 Излишек (+) или недостаток (-) общей величины основных источников формирования запасов и затрат, (стр.7 - стр.8) Фо

1

0

12 Тип финансового состояния

Не устойчивое

Не устойчивое


Возможно выделение 4х типов финансовых ситуаций:

Абсолютная устойчивость финансового состояния. Этот тип ситуации встречается крайне редко, представляет собой крайний тип финансовой устойчивости и отвечает следующим условиям: Фс≥0; Фт≥0; Фо≥0.

Нормальная устойчивость финансового состояния, которая гарантирует платежеспособность: Фс<0; Фт≥0; Фо≥0.

Неустойчивое финансовое состояние, сопряженное с нарушением платежеспособности, но при котором все -же сохраняется возможность восстановления равновесия за счет пополнения источников собственных средств за счет сокращения дебиторской задолженности, ускорения оборачиваемости запасов: Фс<0; Фт<0; Фо≥0;

Кризисное финансовое состояние , при котором предприятие на грани банкротства, поскольку в данной ситуации денежные средства, краткосрочные ценные бумаги и дебиторская задолженность не покрывают даже его кредиторской задолженности Фс<0; Фт<0; Фо<0

Из таблицы 8 видно, что финансовое состояние ООО «Турмалин» относится к третьему типу, т.е. не устойчивое. Предприятие испытывает недостаток собственных оборотных средств и вынуждено пользоваться заемными, в том числе долгосрочными в виде банковских кредитов, и краткосрочными, в виде кредиторской задолженности перед поставщиками, которые предоставляют предприятию беспроцентные товарные кредиты Это говорит о высоком доверии предприятию со стороны партнеров, значит все платежи осуществляются своевременно и в полном объеме. Тем не менее у предприятия возникает зависимость от внешних источников финансирования.

Далее проведем анализ коэффициентов финансовой устойчивости представленных в таблице 9.

Таблица 9

Анализ коэффициентов финансовой устойчивости за 2009 год

Коэффициент

Алгоритм расчёта коэффициентов

Норма

На начало периода

На конец периода

Отклонении +,-

1 Автономии

стр.490/стр.700

>= 0,5

0,743

0,598

-0,145

2 Соотношения заёмных и собственных средств

(стр.590+стр.690)/ стр.490

<= 1

0,347

0,673

+0,326

3 Обеспеченности оборотных средств собственными оборотными средствами

(стр.490- стр.190) /стр.290

>= 0,1

0,734

0,576

-0,158

4 Маневренности собственных средств

(стр.490-стр.190)/ стр.490

>= 0,5

0,956

0,913

-0,043

5 Финансирование собственных средств

стр.490/(стр.590+ +стр.690)

>= 1

2,884

1,486

-1,398


Оценивая финансовое положение ООО «Турмалин» следует отметить, что доля собственного капитала сократилась с 74,3% на начало периода до 59,8% на конец периода, т.е. на 14,5%. Доля заёмного капитала за этот период времени наоборот - выросла с 34,7% до 67,3%, что свидетельствует о том, что финансовая зависимость предприятия от внешних источников увеличилась на 32,6%.

Обеспечение оборотных активов собственными оборотными средствами снизилось с 73,4% до 57,6%, это произошло вследствие увеличения товарных кредитов предприятию, но обеспеченность еще значительно выше нормы. С одной стороны это зависимость от внешних источников, а с другой позволяет более эффективно использовать средства предприятия и получать дополнительную прибыль. И так как предприятие успевает вовремя в рабочем порядке гасить кредиторскую задолженность, то руководству достаточно следить за своевременным погашением задолженности и контролировать дальнейший ее рост.

Маневренность или мобильность собственных средств находится выше нормального ограничения, но на конец периода снизилась на 4,3.

Коэффициент финансирования снизился в два раза, но он намного выше нормального ограничения, что свидетельствует, что деятельность предприятия в большей степени финансируется за счёт собственных средств.

Для полноты анализа финансового состояния проведем анализ ликвидности баланса, необходимость в котором возникает в связи с тем, что следует дать оценку кредитоспособности предприятия, то есть его способности своевременно производить расчеты по своим обязательствам.

Анализ ликвидности представлен в таблице 10.

Таблица 10 - Анализ ликвидности баланса за 2009 г. в абсолютных показателях в тысячах рублей

Активы

На начало периода

На конец периода

Пассивы

На начало периода

На конец периода

Платёжный излишек или недостаток







На начало периода

На конец периода

Наиболее ликвидные

2 300

772

Наиболее срочные

8 307

12 397

-6 007

-11 625

Быстро реализуемые

1 409

5 664

Краткосрочные

30

2 705

1 379

2 959

Медленно реализуемые

27 605

49 785

Долгосрочные

0

8 749

27 605

41 036

Трудно реализуемые

1 066

3 079

Капитал

24 044

35 450

-22 978

-32 371

Баланс

32 381

59 301

Баланс

32 381

59 301

--

--


Анализ ликвидности баланса заключается в сравнении средств по активу, сгруппированных по степени их ликвидности и расположенных в порядке убывания ликвидности, с обязательствами по пассиву, сгруппированных по срокам их погашения и расположенными в порядке возрастания сроков.

Для более детального анализа провеем анализ ликвидности баланса в относительных показателях и представим в таблице 11.

Таблица 11 - Анализ ликвидности баланса в относительных показателях за 2009 год

Коэффициент

Алгоритм расчёта коэффициентов

Нормальное ограничение

На начало периода

На конец периода

Отклонение

Абсолютной ликвидности

(стр.260 +стр.250)/ (стр.610+стр.620+стр.630+стр.660)

0,2 - 0,25

0,276

0,051

- 0,225

Текущей ликвидности

стр.290/(стр.610+стр.620+стр.630+стр.660)

>=2

3,77

3,72

- 0,05

Промежуточный коэффициент покрытия

(стр.260+стр.250+стр.240)/(стр.610+стр.620+стр.630+стр.660)

0,7 - 0,8

0,336

0,384

+ 0,05


По данным таблицы сделаем следующий вывод: коэффициент абсолютной ликвидности в начале периода составлял 0,276 а к концу периода он снизился на 22,5% и составил 0,051, что свидетельствует о снижении платежеспособности предприятия, но в пределах нормы. С точки зрения повышения эффективности баланс можно признать удовлетворительным, так как у предприятия наблюдается рост собственного капитала, при достаточно высоком коэффициенте текущей ликвидности (3,72), выше нормального ограничения. Предприятие пользуется товарными кредитами и не имеет просроченных долгов, при этом промежуточный коэффициент покрытия за отчётный период возрос с 0,336 до 0,384.

Заключение

В данной работе рассмотрены и проанализированы финансовые результаты деятельности розничной ювелирной торговой сети ООО «Турмалин.

В первой главе был рассмотрен теоретический аспект результатов деятельности хозяйствующего субъекта.

Во второй главе был проведен тщательный анализ формирования прибыли предприятия, финансовой устойчивости, состав и размещение активов, динамика и структура источников финансирования, определен тип финансовой устойчивости, рассчитаны коэффициенты финансовой устойчивости, дана оценка ликвидности активов, платежеспособности предприятия.

Сравнив основные технико-экономические показатели можно сделать следующие выводы:

на предприятии ООО «Турмалин» в отчетном 2009 году по сравнению с 2008 годом прослеживается рост выручки от реализации на 107,82%, в результате чего произошло увеличение себестоимости реализованного товара на 31 091 тыс. руб. или на 99,16 %.

Вследствие роста прибыли увеличился и собственный капитал предприятия на 7395 тыс. рублей или 33,1 %, что свидетельствует о прибыльности предприятия.

При анализе оборотных средств видно, что среднегодовой остаток оборотных средств в 2009 году по сравнению с 2008 годом увеличился на 16 033 тыс. руб. или 57,8 %, при этом коэффициент оборачиваемости оборотных средств увеличился на 0,49 оборотов или на 31,82 %, а продолжительность одного оборота оборотных средств увеличилась на 56 дней с 233 до 177, или на 75,97%. Это говорит о том, что в 2009 г. предприятие более эффективно стало использовать свои оборотные средства.

ООО «Турмалин» - торговое предприятие, поэтому большая доля в оборотных активах приходится на запасы. К концу 2009 года они занимают 91,05% в структуре оборотных средств предприятия.

Почти в два раза увеличился запас товаров для перепродажи, возрос и их удельный вес в оборотных активах на 6,02%. Продолжительность одного оборота запасов в 2009 году составила 160 дней.

На это оказало влияние наличие большой доли в структуре запасов категорий товаров с очень низкой оборачиваемостью.

Оптимальное соотношение спроса и предложения позволит более эффективно использовать средства, вложенные в запасы и увеличить прибыль.

Оценивая финансовое положение ООО «Турмалин» следует отметить, что доля собственного капитала в 2009 году сократилась с 74,3% на начало периода до 59,8% на конец периода, т.е. на 14,5%. Доля заёмного капитала за этот период времени наоборот - выросла с 34,7% до 67,3%, что свидетельствует о том, что финансовая зависимость предприятия от внешних источников увеличилась на 32,6%.

Из этого следует, что предприятие испытывает недостаток собственных оборотных средств. обеспечение оборотных активов собственными оборотными средствами снизилось с 73,4% до 57,6

Результаты анализа позволяют утверждать, что на предприятии отсутствует система управления запасами, нет целевого подхода к формированию запасов.

Рационализация запасов не рассматривается как крупный резерв экономического роста. Предприятие недостаточно использует данный фактор повышения конкурентоспособности, ограничиваясь лишь констатацией нехватки или излишка запасов.

С целью устранения выявленных недостатков возможно проведение мероприятий по повышению оборачиваемости запасов и увеличению товарооборота, и как следствие прибыли:

оптимизация организационной структуры;

нормирование запасов;

маркетинговые мероприятия (в том числе брендирование сети);

мероприятия по управлению ассортиментом (анализ продаж и оптимизация ассортимента).

Список использованных источников

1      Абрютин М.С., Грачев А.В. Анализ финансово-экономической деятельности предприятия. -М.: Дело и сервис, 2006. - 254с.

        Авдеенко В.Н. Производственный потенциал промышленного предприятия /В.Н. Авдеенко, В.А. Котлов.- М.: Проспект, 2006.-600с.

3      Аникин Б.А. Логистика: учебник для вузов.- М.: ИНФРА - М, 2006.- 352с.

4      Баканов М.И., Шеремет А.Д. Теория экономического анализа.- М.: Финансы и статистика, 2006.- 414с.

        Басовский Л.Е. Финансовый менеджмент: учебник для вузов.- М.: ИНФРА-М, 2005.- 197с.

        Бородина Е.С. Финансы предприятий / Е.С. Бородина и др.; под ред. Е.И. Бородиной. - М.: Финансы и статистика, 2004.- 238с.

        Бригхем Ю. Финансовый менеджмент: В 2-х т. Т.2: Полный курс. Выпуск 20: пер. с англ.- СПб.: Экономическая школа, 2002.- 669с.

8     Воробьёва Л.Г. Совершенствование подходов к управлению товарными запасами в современных условиях хозяйствования.- Владивосток: ДВГАЭУ, 2003. - 27 с.

9      Гаджинский А.М. Логистика: учебник для вузов.- М.: ИТК «Дашков и Ко», 2008.- 484с.

        Голиков Е.А. Оптовая торговля. Менеджмент. Маркетинг. Логистика. Финансы. Безопасность. - М.: Высшая школа, 2005.- 297с.

        Ефимова О.В. Финансовый анализ. - М.: Бухгалтерский учет, 2004. - 259с.

        Зермати П. Практика управления товарными запасами. - М.: Экономика, 2005.- 264с.

        Ковалев В.В. Введение в финансовый менеджмент. - М.: Финансы и статистика, 2004.- 767с.

        Котлер Ф. Основы маркетинга.- СПб.: Коруна, 2003.-697с.

        Крок Г.Г. Ювелирный магазин. Управление. Мерчандайзинг. - М.: Издательский дом «6 карат», 2005. - 189с.

        Любушин Н.П. Анализ финансово-экономической деятельности предприятия /Н.П. Любушин, В.Б. Лещева, В.Г. Дьякова.- М.: Изд-во « ЮНИТИ-ДАНА», 2003.- 471с.

Похожие работы на - Анализ финансовых результатов хозяйствующего субъекта

 

Не нашли материал для своей работы?
Поможем написать уникальную работу
Без плагиата!
Без нейросетей!