Анализ финансового состояния ЗАО 'Кологрив-М'

  • Вид работы:
    Дипломная (ВКР)
  • Предмет:
    Финансы, деньги, кредит
  • Язык:
    Русский
    ,
    Формат файла:
    MS Word
    1,48 Мб
  • Опубликовано:
    2012-04-24
Вы можете узнать стоимость помощи в написании студенческой работы.
Помощь в написании работы, которую точно примут!

Анализ финансового состояния ЗАО 'Кологрив-М'

Содержание

Введение

1. Теоретические основы анализа финансового состояния организации

1.1 Сущность анализа финансового состояния организации

1.2 Сравнительная характеристика методик анализа финансового состояния организации

.3 Интегрированная методика анализа финансового состояния организации        

2. Характеристика деятельности ЗАО "Кологрив-М"

2.1 Общая характеристика деятельности ЗАО "Кологрив-М"

2.2 Анализ хозяйственной деятельности ЗАО "Кологрив-М"

3. Анализ финансового состояния ЗАО "Кологрив-М"

3.1 Анализ бухгалтерского баланса ЗАО "Кологрив-М"

.2 Анализ ликвидности и платежеспособности ЗАО "Кологрив-М"

3.3 Анализ финансовой устойчивости ЗАО "Кологрив-М"

3.4 Анализ финансовых результатов и деловой активности ЗАО "Кологрив-М"

3.5 Анализ вероятности банкротства ЗАО "Кологрив-М"

Заключение

Список использованных источников

Приложение

финансовый бухгалтерский ликвидность платежеспособность банкротство

Введение

Переход к рыночной экономике требует от предприятия повышения эффективности производства, конкурентоспособности продукции и услуг на основе внедрения достижений научно-технического прогресса, эффективных форм хозяйствования и управления производством, активизации предпринимательства и т.д. Важная роль в реализации этой задачи отводится анализу финансово-хозяйственной деятельности предприятий. С его помощью вырабатываются стратегия и тактика развития предприятия, обосновываются планы и управленческие решения, осуществляются контроль за их выполнением, выявляются резервы повышения эффективности производства, оцениваются результаты деятельности предприятия, его подразделений и работников.

Финансово-экономический анализ в рыночной экономике является одной из важнейших функций эффективного управления. Он лежит в основе разработки стратегии и тактики предприятия, а так же контроля за их исполнением; позволяет получать объективные оценки результативности деятельности и выявлять резервы ее повышения.

В настоящее время появилось достаточно большое количество переводной и отечественной литературы на тему анализа финансового состояния, содержащей рекомендации по расчету финансовых коэффициентов, но возникает проблема выбора определенной методики, которая соответствовала бы предприятию конкретной отрасли и условиям, в которых она находится.

Анализ финансового состояния базируется на данных бухгалтерского учёта и вероятностных оценках будущих факторов становится информационной основой последующих аналитических расчётов, необходимых для принятия управленческих решений. Решения финансового характера точны настолько, насколько хороша и объективна информационная база. Все перечисленное обуславливает актуальность данной темы дипломной работы.

Предметом исследования в дипломной работе стала проблема анализа финансового состояния организации.

Объектом исследования выступило Закрытое акционерное общество "Кологрив-М".

Цель работы - выполнение анализа финансового состояния ЗАО "Кологрив-М"

Для достижения поставленной цели в работе поставлены следующие задачи:

1)      рассмотреть теоретические и методические подходы к оценке финансового состояния предприятия;

2)      разработать интегрированную методику анализа финансового состояния организации;

)        дать характеристику и выполнить анализ хозяйственной деятельности ЗАО "Кологрив-М";

)        провести анализ финансового состояния ЗАО "Кологрив-М";

)        сделать выводы по проделанной работе.

Структурно дипломная работа состоит из введения, трёх глав, заключения, списка использованной литературы и приложений. Объем работы до приложений составляет 98 страниц. В работе представлено 9 рисунков и 35 таблиц. При выполнении дипломной работы использован 27 источников литературы.

В первой главе работы раскрыта экономическая сущность финансового анализа, выполнена сравнительная оценка методик анализа финансового состояния разных авторов, определена интегрированная методика анализа финансового состояния.

Вторая глава содержит характеристику деятельности ЗАО "Кологрив-М". В ней представлен анализ хозяйственной деятельности организации.

Третья глава посвящена анализу финансового состояния и финансовых показателей ЗАО "Кологрив-М.

Теоретической базой исследования являются труды отечественных специалистов в области финансов: Ковалева В.В., Бочарова В.В., Любушина Н.П., Бердниковой Т.Б., Шеремета А.Д., Маркарьяна Э.А.

В качестве конкретных методов проведения исследования использованы приемы и методы финансового анализа и финансового менеджмента. В исследовании применялись основные методы финансового анализа - горизонтальный, вертикальный, сравнительный, факторный. В совокупности, использованные в работе методы, позволили обеспечить достоверность экономического анализа.

Основой экономических расчетов стала бухгалтерская финансовая отчетность ЗАО "Кологрив-М".

1. Теоретические основы анализа финансового состояния организации

.1 Сущность анализа финансового состояния организации

Выдвижение на первый план финансовых аспектов деятельности субъектов хозяйствования, возрастание роли финансов - характерная для всех стран тенденция.

Профессиональное управление финансами неизбежно требует глубокого анализа, позволяющего более точно оценить неопределенность ситуации с помощью современных количественных методов исследования. В связи с этим существенно возрастает приоритетность и роль финансового анализа, то есть комплексного системного изучения финансового состояния предприятия и факторов его формирования с целью оценки степени финансовых рисков и прогнозирования уровня доходности капитала [1].

Финансовое состояние предприятия характеризуется системой показателей, отражающих состояние капитала в процессе его кругооборота и способность субъекта хозяйствования финансировать свою деятельность на фиксированный момент времени.

В процессе снабженческой, производственной, сбытовой и финансовой деятельности происходит непрерывный кругооборот капитала, изменяются структура средств и источников их формирования, наличие и потребность в финансовых ресурсах и как следствие - финансовое состояние предприятия, внешним проявлением которого является платежеспособность [2].

Финансовое состояние может быть устойчивым, неустойчивым (предкризисным) и кризисным. Способность предприятия успешно функционировать и развиваться, сохранять равновесие своих активов и пассивов в изменяющейся внутренней и внешней среде; постоянно поддерживать свою платежеспособность и инвестиционную привлекательность в границах допустимого уровня риска свидетельствует о его устойчивом финансовом состоянии, и наоборот [3].

Если платежеспособность - это внешнее проявление финансового состояния предприятия, то финансовая устойчивость - внутренняя его сторона, отражающая сбалансированность денежных и товарных потоков, доходов и расходов, средств и источников их формирования [2].

Для обеспечения финансовой устойчивости предприятие должно обладать гибкой структурой капитала и уметь организовать его движение таким образом, чтобы обеспечить постоянное превышение доходов над расходами с целью сохранения платежеспособности и создания условий для нормального функционирования.

Финансовое состояние предприятия, его устойчивость и стабильность зависят от результатов производственной, коммерческой и финансовой деятельности. Если производственный и финансовый планы успешно выполняются, то это положительно влияет на финансовое положение предприятия. Напротив, в результате спада производства и реализации продукции происходит повышение ее себестоимости, уменьшение выручки и суммы прибыли и как следствие - ухудшение финансового состояния предприятия и его платежеспособности. Следовательно, устойчивое финансовое состояние является не игрой случая, а итогом умелого управления всем комплексом факторов, определяющих результаты финансово-хозяйственной деятельности предприятия.

Устойчивое финансовое состояние, в свою очередь, положительно влияет на объемы основной деятельности, обеспечение нужд производства необходимыми ресурсами. Поэтому финансовая деятельность как составная часть хозяйственной деятельности должна быть направлена на обеспечение планомерного поступления и расходования денежных ресурсов, выполнение расчетной дисциплины, достижение рациональных пропорций собственного и заемного капитала и наиболее эффективное его использование [4].

Главная цель финансовой деятельности предприятия - наращивание собственного капитала и обеспечение устойчивого положения на рынке. Для этого необходимо постоянно поддерживать платежеспособность и рентабельность предприятия, а также оптимальную структуру актива и пассива баланса [5].

Основные задачи анализа финансового состояния [6] представлены на рисунке 1.1.

Рисунок 1.1 - Задачи анализа финансового состояния

Содержание анализа вытекает из функций. Одной из таких функций является изучение характера действия экономических законов, установление закономерностей и тенденций экономических явлений и процессов в конкретных условиях предприятия. Следующая функция анализа - контроль за выполнением планов и управленческих решений, за экономным использованием ресурсов. Центральная функция анализа - поиск резервов повышения эффективности производства на основе изучения передового опыта и достижений науки и практики. Другая функция анализа - оценка результатов деятельности предприятия по выполнению планов, достигнутому уровню развития экономики, использованию имеющихся возможностей. И, наконец, - разработка мероприятий по использованию выявленных резервов в процессе хозяйственной деятельности [6,7].

Анализом финансового состояния занимаются не только руководители и соответствующие службы предприятия, но и его учредители, инвесторы - с целью изучения эффективности использования ресурсов; банки - для оценки условий кредитования и определения степени риска; поставщики - для своевременного получения платежей; налоговые инспекции - для выполнения плана поступления средств в бюджет. В соответствии с этим анализ делится на внутренний и внешний [8].

Внутренний анализ проводится службами предприятия, его результаты используются для планирования, контроля и прогнозирования финансового состояния предприятия. Его цель - обеспечить планомерное поступление денежных средств и разместить собственные и заемные средства таким образом, чтобы получить максимальную прибыль и исключить банкротство.

Внешний анализ осуществляется инвесторами, поставщиками материальных и финансовых ресурсов, контролирующими органами на основе публикуемой отчетности. Его цель - установить возможность выгодного вложения средств, чтобы обеспечить максимум прибыли и исключить потери.

Анализ финансового состояния предприятия основывается главным образом на относительных показателях, так как абсолютные показатели баланса в условиях инфляции очень трудно привести в сопоставимый вид [9].

Относительные показатели анализируемого предприятия можно сравнивать: с общепринятыми "нормами" для оценки степени риска и прогнозирования возможности банкротства; с аналогичными данными других предприятий, что позволяет выявить сильные и слабые стороны предприятия и его возможности; с аналогичными данными за предыдущие годы для изучения тенденций улучшения или ухудшения финансового состояния предприятия.

Можно выделить шесть основных видов анализа [10]:

- горизонтальный (временной) анализ - сравнение каждой позиции отчетности с предыдущим периодом;

вертикальный (структурный) анализ - определение структуры финансовых показателей;

трендовый анализ - сравнение каждой позиции отчетности с рядом предшествующих периодов и определение тренда, т. е. основной тенденции динамики показателя, очищенного от случайных влияний и индивидуальных особенностей отдельных периодов;

анализ относительных показателей (финансовых коэффициентов) - расчет числовых отношений различных форм отчетности, определение взаимосвязей показателей;

сравнительный анализ, который делится на: внутрихозяйственный - сравнение основных показателей предприятия и дочерних предприятий, подразделений; межхозяйственный - сравнение показателей предприятия с показателями конкурентов, со среднеотраслевыми; факторный анализ - анализ влияния отдельных факторов на результативный показатель.

Результативность финансового анализа во многом зависит от организации и совершенства его информационной базы [11].

Основными источниками информации для анализа финансового состояния предприятия служат бухгалтерский баланс (форма №1), отчет о прибылях и убытках (форма № 2), пояснения к бухгалтерскому балансу и отчету о прибылях и убытках: отчет о движении капитала (форма №3), отчет о движении денежных средств (форма №4), приложение к бухгалтерскому балансу (форма № 5), пояснительная записка [12].

Итак, в данном разделе нами определена сущность анализа финансового состояния организации, определены задачи, функции и виды анализа, источники информации.

1.2 Сравнительная характеристика методик анализа финансового состояния организации

Анализу финансового состояния предприятия посвящено большое количество исследований.

Нами рассмотрены методики финансового состояния предприятия, которые предлагают такие авторы как Любушин Н.П.; Бердникова Т.Б.; Ковалев В.В. и Волкова О.Н.; Маркарьян Э.А., Маркарьян С.Э. и Герасименко Г.П.; Шеремета А.Д.; Бочарова В.В.

Структура методика анализа финансового состояния Любушина Н.П. (Приложение А) представлена тремя основными разделами: анализ баланса, анализ показателей финансового состояния предприятия и анализ ликвидности предприятия. В разделе анализ показателей финансового состояния автор дает оценку платежеспособности, финансовой устойчивости и кредитоспособности [13,14].

Ковалев В.В. и Волкова О.Н. предлагают проводить анализ финансового состояния в два этапа (Приложение Б): оценка имущественного положения и оценка финансового положения. На первом этапе помимо анализа баланса предприятия авторы предлагают определить сумму хозяйственных средств, находящихся в собственности и под контролем предприятия и показатели движения основных средств. Оценка финансового положения включает в себя оценку ликвидности и платежеспособности и оценку финансовой устойчивости. Данные авторы предлагают максимальное количество показателей финансовой устойчивости, подразделяя их на коэффициенты капитализации и покрытия [15,16].

Методика анализа финансового состояния Бердниковой Т.Б. (Приложение В) содержит три основных раздела: общий анализ финансового состояния, расчет базовых коэффициентов, характеризующих финансовое состояние и анализ ликвидности баланса. К базовым коэффициентам, характеризующим финансовое состояние, автор относит показатели финансовой устойчивости, платежеспособности и деловой активности [17].

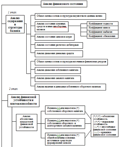
Маркарьян Э.А., Маркарьян С.Э. и Герасименко Г.П. предлагают методику финансового состояния (Приложение Г), которая включает четыре этапа: анализ содержания и структуры баланса, анализ финансовой устойчивости и платежеспособности, анализ платежеспособности и ликвидности, анализ финансовых результатов, финансовое прогнозирование. На этапе анализа содержания и структуры баланса авторы рекомендуют рассчитать и проанализировать показатели движения основных средств. Анализ финансовых результатов включает в себя оценку динамики прибыли, факторный анализ прибыли от продаж и анализ показателей рентабельности. На последнем этапе проводят прогнозирование вероятности банкротства предприятия [18].

Методика анализа финансового состояния Бочарова В.В. (Приложение Д) содержит два раздела: общую оценку финансового состояния предприятия и оценку финансовой устойчивости предприятия. Оценка финансовой устойчивости предприятия включает в себя анализ абсолютных и относительных показателей финансовой устойчивости, анализ показателей платежеспособности и ликвидности, анализ кредитоспособности заемщика.

Шеремет А.Д. в своей методике (Приложение Е) выделяет пять разделов: общую оценку финансового состояния и платежеспособности по данным баланса, анализ ликвидности баланса, анализ финансовых коэффициентов и оценку вероятности банкротства. Анализ финансовых коэффициентов включает в себя оценку рентабельности организации, эффективности управления, деловой активности, рыночной устойчивости, оценку ликвидности баланса и показатели платежеспособности. Методика данного автора, по моему мнению, содержит наиболее полный набор показателей, позволяющий определить финансовое состояние предприятия.

На основе изучения методик анализа финансового состояния организации указанных авторов нами выполнена сравнительная характеристика, в рамках которой выявлены различия в структуре и содержании разделов анализа. Результаты сравнения представлены в Приложении Ж.

Сравнительная оценка методик анализа финансового состояния показала, что все авторы предлагают практически одинаковый подход к анализу финансового состояния, отличающийся набором показателей и порядком их расчета.

Итак, в данном разделе нами выполнена сравнительная характеристика методик анализа финансового состояния организации нескольких авторов.

.3 Интегрированная методика анализа финансового состояния

Проведенное нами исследование методик анализа финансового состояния организации показало, что ни одна из изученных методик в полной мере не позволяет всесторонне исследовать финансовое состояние ЗАО "Кологрив-М", поэтому нами принято решение разработать интегрированную методику анализа финансового состояния объекта исследования. Данная методика представлена на рисунке 1.2.

Рисунок 1.2 - Интегрированная методика анализа финансового состояния организации

Этап 1. Анализ бухгалтерского баланса организации

За основу анализа бухгалтерского баланса организации возьмем методику Любушина Н.П. [13,14]. Данный автор предлагает на основе горизонтального и вертикального анализа составить аналитический баланс имущества предприятия и источников его финансирования. Все показатели сравнительного аналитического баланса можно разбить на следующие группы:

а) абсолютные показатели на начало и конец отчетного периода (тыс. руб.);

б) показатели структуры (удельные веса) на начало и конец отчетного периода;

в) показатели абсолютной динамики (тыс. руб., %) к началу отчетного периода;

г) показатели структурной динамики;

д) показатели скорости роста или снижения каждого вида имущества предприятия, источников его финансирования и баланса в целом.

На основании аналитического баланса проводится анализ состава и структуры имущества предприятия. К положительным изменениям в составе и структуре имущества предприятия Любушин Н.П. относит:

-     увеличение актива баланса;

-       увеличение запасов и денежных средств;

-       снижение величины дебиторской задолженности и ее доли в составе имущества;

-       более быстрый рост оборотных активов по сравнению с внеоборотными, что свидетельствует об увеличении средств в обороте предприятия.

Следует обратить внимание, что очень быстрый рост денежных средств может свидетельствовать об их нерациональном использовании [22].

После анализа состава и структуры имущества делается оценка состава и структуры источников образования этого имущества - капитала предприятия или пассива баланса. Положительными моментами изменения капитала считаются:

-       собственный капитал превышает заемный, его доля в составе пассивов более 50 %;

-       увеличение собственного капитала - его величина показывает, какая часть имущества сформирована за счет собственных средств.

-       снижение заемного капитала.

Наличие долгосрочных и краткосрочных кредитов и займов можно расценивать с двух точек зрения: с одной стороны, как недостаток собственных средств для обеспечения производственной деятельности, с другой - как наличие доверия со стороны кредитных организаций. То есть получение кредита в банке, особенно долгосрочного, требует от предприятия обоснования необходимости привлечения кредитных средств и доказательств платежеспособности. Следовательно, наличие кредитов в бухгалтерском балансе при условии соблюдения сроков и объемов их погашения свидетельствует о надежности предприятия [22].

Далее в рамках анализа бухгалтерского баланса проводится анализ состава и структуры каждого раздела баланса: внеоборотных активов, запасов, дебиторской задолженности, собственного капитала, заемного капитала.

При анализе внеоборотных активов к положительным моментам следует отнести:

рост основных средств, который свидетельствует о возможности предприятия обновлять основные средства;

наличие долгосрочных финансовых вложений - эффективное управление денежными средствами с целью получения дополнительных источников дохода.

Наличие суммы по строке "Незавершенное строительство" может означать, с одной стороны, возможности предприятия расширять производственную площадь, с другой - отвлечение значительной суммы денежных средств из оборота на достаточно длительный срок.

Особый интерес с точки зрения вложения средств представляет анализ состава и структуры запасов. Одновременный рост сырья и незавершенного производства может свидетельствовать об увеличении объемов производства продукции. Быстрое увеличение остатков готовой продукции может говорить о перепроизводстве или снижении спроса на продукцию. Нежелательным моментом является наличие высокой доли расходов будущих периодов [23].

В ходе анализа собственного капитала оценивается доля уставного, добавочного и резервного капиталов, наличие и изменение нераспределенной прибыли (убытка). Рост прибыли (снижение убытка) свидетельствует о более эффективной работе предприятия.

Кредиторская задолженность является текущими обязательствами. Так как она особо учитывается при оценке платежеспособности предприятия, то следует более подробно рассмотреть ее состав, структуру и их изменения. В ходе анализа проводится сравнение показателей на начало и конец отчетного периода:

изменение размера задолженности перед поставщиками может быть связано с изменением объема производства продукции - изменение по статьям актива баланса "сырье" и "незавершенное производство";

рост задолженности перед персоналом по оплате труда может быть вызван как ростом заработной платы, так и задержками по ее выплате. Увеличение заработной платы, с одной стороны, является стимулом для работников, с другой - способствует росту затрат, а следовательно и себестоимости продукции;

нежелательным моментом является высокий удельный вес задолженности перед государством по налогам и перед государственными внебюджетными фондами, так как их несвоевременное погашение влечет за собой высокий уровень штрафных санкций, что способствует росту задолженности .

Этап 2. Анализ ликвидности баланса

Для анализа ликвидности баланса нами выбрана методика Бочарова В.В. [19].

Цель оценки ликвидности баланса - установить величину покрытия обязательств предприятия его активами, срок трансформации которых в денежные средства соответствует сроку погашения обязательств. Для осуществления анализа активы и пассивы баланса классифицируют по следующим признакам:

по степени убывания ликвидности актива;

по степени срочности оплаты обязательств.

Такая группировка статей актива и пассива баланса, предложенная Бочаровым В.В., представлена на рисунке 1.3.

Рисунок 1.3 - Классификация статей актива и пассива баланса для анализа ликвидности

Для определения ликвидности баланса группы актива и пассива сравнивают между собой. Условиями абсолютной ликвидности являются: А1≥П1, А2≥П2, А3≥П3, А4≤П4.

Обязательным условием абсолютной ликвидности баланса является выполнение первых трех неравенств. Четвертое неравенство носит балансирующий характер. Его выполнение свидетельствует о наличии у предприятия собственных оборотных средств. Теоретически дефицит средств по одной группе активов компенсируют избытком подругой. Однако на практике менее ликвидные активы не могут заменить более ликвидные средства. Поэтому если любое из неравенств имеет знак, противоположный зафиксированному в оптимальном варианте, то ликвидность баланса отличается от абсолютной.

Сравнение первой и второй групп активов и пассивов позволяет установить текущую ликвидность предприятия, что свидетельствует о его платежеспособности на ближайшее время. Сравнение третьей группы активов и пассивов выражает перспективную ликвидность, что является базой для прогноза долгосрочной платежеспособности.

Оценка платежеспособности во всех исследуемых методиках анализа финансового состояния включает расчет трех основных коэффициентов ликвидности:

. Коэффициент абсолютной ликвидности (норма денежных резервов) показывает платежеспособность предприятия на конкретную или отчетную дату и определяется отношением денежных средств и краткосрочных финансовых вложений ко всей сумме краткосрочных долгов предприятия. Нормативное значение коэффициента у разных авторов колеблется в диапазоне от 0, 15 до 0,5.

. Коэффициент быстрой (срочной) ликвидности показывает платежеспособность предприятия на ближайшую перспективу с учетом поступления средств от дебиторов. Рассчитывается как отношение денежных средств, краткосрочных финансовых вложений и дебиторской задолженности к сумме краткосрочных финансовых обязательств. Его нормальное значение - не менее 1.

. Коэффициент текущей ликвидности (покрытия) - отношение оборотных активов к краткосрочной задолженности, характеризует платежеспособность предприятия на более отдаленную перспективу с учетом продажи запасов, а также показывает степень, в которой оборотные активы покрывают текущие пассивы. Рассчитывается как отношение оборотных активов к краткосрочным обязательствам. Нормальное значение более 2.

Представленные коэффициенты ликвидности позволяют определить не только текущую, но и перспективную платежеспособность.

Также на данном этапе анализа ликвидности и платежеспособности рассчитаем коэффициент ликвидности при мобилизации средств, предложенный Бочаровым В.В. и Маркарьян Э.А. [18,19]. Данный коэффициент показывает степень зависимости платежеспособности предприятия от материальных запасов с позиции мобилизации денежных средств для погашения краткосрочных обязательств и рассчитывается как отношение запасов товарно-материальных ценностей к краткосрочным обязательствам [24]. Рекомендуемое значение 0,5-0,7. Нижняя граница характеризует достаточность мобилизации запасов для покрытия краткосрочных обязательств.

Этап 3. Анализ финансовой устойчивости организации

Анализ финансовой устойчивости организации в рамках интегрированной методики предлагаем проводить по двум направлениям: анализ абсолютных показателей и анализ относительных показателей [19].

Абсолютные показатели финансовой устойчивости характеризуют финансовую ситуацию, сложившуюся на предприятии. Оценка проводится на основе анализа обеспеченности запасов источниками их формирования [25]. Для характеристики источников формирования запасов определяют три основные показателя:

наличие собственных оборотных средств (СОС) исчисляется как разница между собственным капиталом и внеоборотными активами;

наличие собственных и долгосрочных источников финансирования запасов (СДИ) определяется путем увеличения предыдущего показателя на сумму долгосрочных обязательств;

общая величина основных источников формирования запасов (ОИЗ) рассчитывается путем увеличения предыдущего показателя на сумму краткосрочных кредитов и займов.

В результате можно определить три показателя обеспеченности запасов источниками их формирования:

излишек (+) или недостаток (-) собственных оборотных средств (∆СОС) рассчитывается как разница между собственными оборотными средствами и величиной запасов;

излишек (+) или недостаток (-) собственных и долгосрочных источников финансирования запасов (∆СДИ) рассчитывается как разница между суммой собственных и долгосрочных источников финансирования и величиной запасов;

- излишек (+) или недостаток (-) общей величины основных источников покрытия запасов (∆ОИЗ) рассчитывается как разница между общей величиной основных источников формирования запасов и величиной запасов.

Перечисленные показатели обеспеченности запасов соответствующими источниками финансирования можно трансформировать в трехфакторную модель (М):

М = (∆СОС, ∆СДИ, ∆ОИЗ).

Данная модель характеризует типы финансовой устойчивости:

1.       Абсолютная финансовая устойчивость:

М1 = (1,1,1) или ∆СОС≥0; ∆СДИ≥0; ∆ОИЗ≥0.

2.       Нормальная финансовая устойчивость:

М2 = (0,1,1) или ∆СОС<0; ∆СДИ≥0; ∆ОИЗ≥0.

3.       Неустойчивое финансовое состояние, характеризующееся нарушением платежеспособности, при котором сохраняется возможность восстановления равновесия за счет пополнения источников собственных средств и увеличения собственных оборотных средств:

М3 = (0,0,1) или ∆СОС<0; ∆СДИ<0; ∆ОИЗ≥0.

4.       Кризисное финансовое состояние - состояние организации, находящейся на грани банкротства:

М4 = (0,0,0) или ∆СОС<0; ∆СДИ<0; ∆ОИЗ<0.

Для более полной характеристики финансовой устойчивости предприятия кроме абсолютных определяется ряд относительных показателей. Для более полной оценки финансовой устойчивости предлагаем использовать совокупность коэффициентов, предлагаемых разными авторами в своих методиках (таблица 1.1).

Таблица 1.1 - Показатели финансовой устойчивости организации

Показатель

Характеристика показателя Способ расчета

Интерпретация показателя

Коэффициент автономии

Характеризует независимость предприятия от внешних источников финансирования и показывает долю собственных средств в пассиве баланса

Нормальное значение коэффициента - не менее 0,5

Коэффициент соотношения заемных и собственных средств

Равен отношению обязательств предприятия к собственным средствам

Нормальное ограничение этого коэффициента - не более 1

Коэффициент соотношения мобильных и иммобилизованных средств

Показывает количество оборотных активов, приходящихся на каждый рубль внеоборотных активов. Рассчитывается как отношение оборотных активов к внеоборотным

Показатель индивидуален для каждого предприятия

Коэффициент маневренности

Доля собственных средств предприятия, которую можно пустить в оборот, то есть какая часть собственных средств находится в мобильной форме. Рассчитывается как отношение собственных оборотных средств к собственному капиталу

Рекомендуемое значение 0,2 - 0,5

Коэффициент имущества производственного назначения

Доля имущества, непосредственно занятого в производстве. Равен отношению стоимости основных средств, капитальных вложений, оборудования, производственных запасов и незавершенного производства к итогу баланса

Нормальное ограничение - не менее 0,5

Коэффициент финансовой зависимости

Характеризует долю заемного капитала в пассиве баланса

Чем ниже уровень данного коэффициента, тем выше финансовая устойчивость

Коэффициент текущей задолженности

Отношение краткосрочных обязательств к общей валюте баланса

Чем ниже уровень данного коэффициента, тем выше финансовая устойчивость

Коэффициент долгосрочной задолженности (финансовой устойчивости)

Отношение собственного и долгосрочного заемного капитала к валюте баланса

Чем выше уровень данного коэффициента, тем выше финансовая устойчивость

Коэффициент покрытия долгов собственным капиталом (коэффициент платежеспособности)

Отношение собственного капитала к заемному

Чем выше уровень данного коэффициента, тем выше финансовая устойчивость

Коэффициент финансового левереджа

Отношение заемного капитала к собственному

Чем ниже уровень данного коэффициента, тем выше финансовая устойчивость


Этап 4. Анализ финансовых результатов и деловой активности

Анализ финансовых результатов и деловой активности предлагаем начинать по методике Маркарьяна Э.А., Герасименко Г.П., Маркарьяна С.Э. с анализа формирования прибыли и ее динамики [18].

Прибыль от продаж является основным финансовым результатом, ради которого осуществляется деятельность предприятия. На ее величину влияют размер выручки от продаж, себестоимости продукции, коммерческих и управленческих расходов. Факторный анализ прибыли от продаж, по мнению вышеназванных авторов, позволяет выявить влияние каждого из факторов. Для проведения факторного анализа рассчитывается индекс выручки от продаж Iв:

Iв = Во : Вп, (1)

где Во и Вп - соответственно выручка отчетного и предшествующего периодов, тыс. руб.

Далее проводится анализ влияния каждого фактора на величину прибыли от продаж.

1.       Влияние выручки от продаж на прибыль от продаж:

∆Пв = Пп х Iв - Пп = Пп х (Iв - 1), (2)

где ∆Пв - изменение прибыли от продаж за счет выручки, тыс. руб.;

Пп - прибыль от продаж предшествующего периода, тыс. руб.

2.       Влияние себестоимости на производство и реализацию продукции на прибыль от продаж:

∆Пс = Сп х Iв - Со, (3)

где ∆Пс - изменение прибыли от продаж за счет себестоимости, тыс. руб.;

Сп, Со - соответственно себестоимость производства и реализации продукции отчетного и предшествующего периодов, тыс. руб.

3.       Влияние коммерческих расходов на прибыль от продаж

∆Пкр = КРп х Iв - Кро, (4)

где ∆Пкр - изменение прибыли от продаж за счет коммерческих расходов, тыс. руб.;

КРп и КРо - соответственно коммерческие расходы отчетного и предшествующего периодов, тыс. руб.

4.       Влияние управленческих расходов на прибыль от продаж

∆Пур = УРп х Iв - УРо, (5)

где ∆Пур - изменение прибыли от продаж за счет управленческих расходов, тыс. руб.

УРп и УРо - соответственно управленческие расходы отчетного и предшествующего периодов, тыс. руб.

Важнейшим показателем, отражающим конечные финансовые результаты деятельности предприятия, является рентабельность (прибыльность, доходность), которая показывает уровень прибыли, полученный с каждого рубля использованных средств, измеряется в процентах.

Рентабельность характеризует эффективность работы предприятия в целом, доходность различных направлений деятельности, окупаемость затрат. Она более полно, чем прибыль, отражает окончательные результаты хозяйствования. Предприятие считается рентабельным, если доходы от продажи продукции (работ, услуг) покрывают издержки производства и, кроме того, образуют сумму прибыли, достаточную для функционирования предприятия [26].

Анализ показателей рентабельности предлагаем проводить на основе методик Шеремета А.Д. и Маркарьяна Э.А. [18,20]. В рамках интегрированной методики рассчитываются следующие показатели рентабельности:

. Рентабельность активов (имущества). Показывает, какую прибыль получает предприятие с каждого рубля, вложенного в активы:

Ра = П : А х 100 %, (6)

где Ра - рентабельность активов, %

П - прибыль, тыс. руб.,

А - средняя стоимость активов, тыс. руб.

Рентабельность активов является показателем, комплексно характеризующим эффективность деятельности предприятия. На его основе можно оценить эффективность управления, поскольку получение высокой прибыли и достаточного уровня доходности во многом зависит от правильности выбора и рациональности принимаемых управленческих решений, основанных на анализе показателей финансовой устойчивости.

. Рентабельность текущих активов. Показывает, сколько прибыли получает предприятие с одного рубля, вложенного в оборотные активы. Рассчитывается как отношение прибыли к средней стоимости текущих (оборотных) активов.

. Рентабельность собственного капитала. Отражает отношение прибыли к среднегодовой величине собственного капитала и характеризует эффективность его использования.

. Рентабельность производства. Показывает, какая отдача получена с каждого рубля средств, вложенных в производство. Показатель рассчитывается как отношение прибыли к средней стоимости основных средств и материальных оборотных средств.

. Рентабельность продукции. Показывает доходность с одного рубля затрат на производство и реализацию продукции - отношение прибыли от продаж к затратам на производство и реализацию продукции.

. Рентабельность продаж. Показывает, сколько прибыли приходится на единицу реализованной продукции, то есть, сколько прибыли получает предприятие с одного рубля продаж. Рост рентабельности продаж является следствием роста цен при постоянных затратах на производство или снижении затрат на производство при постоянных ценах.

Для расчета вышеперечисленных показателей используется показатель чистой прибыли, так как чистая рентабельность отражает чистую отдачу (прибыльность) каждого рубля средств, использованных в деятельности предприятия [26].

Анализ деловой активности заключается в исследовании уровней и динамики показателей оборачиваемости. Проведение анализа оборачиваемости средств предприятия необходимо, так как:

во-первых, от скорости оборота средств зависит размер годового оборота;

во-вторых, с размерами оборота, а, следовательно, и с оборачиваемостью связана относительная величина условно-постоянных расходов - чем быстрее оборот, тем меньше этих расходов приходится использовать на один оборот;

в-третьих, ускорение оборота на той или иной стадии кругооборота средств влечет за собой ускорение оборота и на других стадиях. Финансовое положение организации, ее платежеспособность зависят от того, на сколько быстро средства, вложенные в активы, превращаются в реальные деньги.

Анализ оборачиваемости средств основывается на расчете двух видов показателей - коэффициента оборачиваемости и длительности оборота. Коэффициент оборачиваемости характеризует скорость оборота, то есть количество оборотов, которое делают за анализируемый период капитал и имущество организации или их составляющие. Рассчитывается как отношение выручки от продаж к средней стоимости того показателя, оборачиваемость которого определяется:

Коб = В : срП, (7)

где Коб - коэффициент оборачиваемости, раз, оборот,

В - выручка от продаж, тыс. руб.;

срП - средняя величина показателя, оборачиваемость которого рассчитывается, тыс. руб.

Длительность (период) оборота показывает средний срок, за который возвращаются в хозяйственную деятельность организации денежные средства, вложенные в производственно-коммерческие операции. Рассчитывается как отношение количества дней в отчетном периоде к коэффициенту оборачиваемости:

Доб = Д : Коб, (8)

где Доб - длительность (период) оборота, дни;

Д - количество дней в отчетном периоде, дни;

Коб - коэффициент оборачиваемости, раз, оборот.

По результатам оборачиваемости рассчитывают сумму экономии оборотных средств (абсолютное или относительное высвобождение) или сумму их дополнительного привлечения (перерасхода). Экономический эффект в результате ускорения оборачиваемости капитала выражается в относительном высвобождении средств из оборота. Привлечение (+), высвобождение (-) средств рассчитывается по формуле:

(+), (-) средств = В : Д х (До - Дп), (9)

где В - выручка от продажи продукции, тыс. руб.

Д - количество дней в отчетном периоде, дни

До и Дп - длительность оборота отчетного и предшествующего периодов, дни.

Если коэффициент оборачиваемости растет, а длительность оборота снижается, то происходит ускорение оборачиваемости, относительное высвобождение средств. В этом случае говорят, что эффективность использования средств и капитала растет. Если же коэффициент оборачиваемости снижается, а длительность оборота растет, то происходит замедление оборачиваемости, относительное привлечение средств в оборот, то есть речь идет о снижении эффективности использования средств и капитала.

Анализ показателей деловой активности в рамках интегрированной методики анализа финансового состояния предлагаем проводить, используя показатели оборачиваемости, рассмотренные в методиках Шеремета А.Д. и Маркарьяна Э.А. [18,21]. К данным показателям относятся:

коэффициент оборачиваемости активов. Показывает скорость оборота активов (имущества) предприятия;

коэффициент оборачиваемости текущих активов. Характеризует эффективность использования оборотных средств предприятия. Экономическое содержание данного коэффициента состоит в том, что при его расчете определяется величина оборотных средств, необходимых для получения 1 рубля выручки;

коэффициент оборачиваемости дебиторской задолженности. Рассчитывается в долях единицы и представляет собой отношение полученной за анализируемый период выручки от продаж к средней сумме дебиторской задолженности. С помощью данного коэффициента можно рассчитать, во сколько раз объем реализованной продукции превышает дебиторскую задолженность, а также какова доля выручки, приходящейся на 1 рубль дебиторской задолженности;

коэффициент оборачиваемости денежных средств. Показывает, как быстро на предприятии оборачиваются денежные средства;

коэффициент оборачиваемости кредиторской задолженности. Характеризует отношение себестоимости реализованной продукции к средней сумме кредиторской задолженности, включая в полном объеме краткосрочную кредиторскую задолженность и часть долгосрочной, приходящуюся к погашению в текущем году. Указанный коэффициент отражает возможности предприятия по погашению кредиторской задолженности, а также показывает себестоимость реализованной продукции, приходящуюся на 1 рубль кредиторской задолженности.

Этап 5. Анализ вероятности банкротства организации

В настоящее время в Российской Федерации чрезвычайно актуальна проблема прогнозирования возможного банкротства предприятий. Основной признак банкротства - неспособность предприятия обеспечить выполнение требований кредиторов в течение трех месяцев со дня наступления сроков платежей. Банкротство можно заранее спрогнозировать и принять необходимые меры для его предотвращения.

Для диагностики вероятности банкротства в рамках интегрированной методики предлагаем использовать Методические положения по оценке финансового состояния предприятий и установлению неудовлетворительной структуры баланса, утвержденные распоряжением Федерального управления по делам о несостоятельности (банкротстве) от 12 августа 1994 г. N 31-р (далее Методические положения), двухфакторную модель Федотовой М.А., метод рейтинговой оценки Сайфулина Р.С. и Кадыкова Г.Г. и факторную модель Э. Альтмана.

В соответствии с действующим законодательством [27] для диагностики несостоятельности предприятия применяется ограниченный круг показателей. Критериями для выявления потенциальных банкротов служат: коэффициент текущей ликвидности (К1), коэффициент обеспеченности собственными средствами (К2) и коэффициент восстановления (утраты) платежеспособности (К3).

Предприятие будет признано неплатежеспособным, если при анализе структуры баланса предприятия будет выполняться одно из следующих условий: К1 < 2 или К2 < 0,1.

Оба коэффициента рассчитываются по данным баланса. Формулы для расчетов К1 и К2 c использованием кодов строк действующей редакции бухгалтерской отчетности имеют вид:

К1 = Стр.290 : (Стр.690 - (Стр.640 + Стр.650 + Стр.660)), (10)

К2 = (Стр.490 - Стр.190) : Стр.290. (11)

Если К1 или К2 принимает значения менее критических, то структура баланса предприятия признается неудовлетворительной.

Чтобы проанализировать реальную возможность предприятия восстановить (или утрататить) свою платежеспособность используется коэффициент восстановления (утраты) платежеспособности (К3) за период, равный 6 (3) месяцам. Формула для расчета К3 имеет вид:

К3 = (К1ф + 6 (3) : Т х (К1ф - К1н)) : 2, (12)

где К1ф - фактическое значение (в конце отчетного периода) коэффициента текущей ликвидности (К1);

К1н - значение коэффициента текущей ликвидности в начале отчетного периода;

- период восстановления платежеспособности в месяцах;

- период утраты платежеспособности в месяцах;

Т - отчетный период в месяцах.

Коэффициент восстановления платежеспособности, принимающий значение больше 1, рассчитанный на период, равный 6 месяцам, свидетельствует о наличии реальной возможности у предприятия восстановить свою платежеспособность.

Коэффициент восстановления платежеспособности, принимающий значение меньше 1, рассчитанный на период, равный 6 месяцам, свидетельствует о том, что у предприятия в ближайшее время нет реальной возможности восстановить платежеспособность.

Коэффициент утраты платежеспособности, принимающий значение больше 1, рассчитанный на период, равный 3 месяцам, свидетельствует о наличии реальной возможности у предприятия не утратить платежеспособность.

Коэффициент утраты платежеспособности, принимающий значение меньше 1, рассчитанный на период, равный 3 месяцам, свидетельствует о том, что у предприятия в ближайшее время имеется возможность утратить платежеспособность [27].

Методические положения имеют ряд недостатков. Общепринятые алгоритмы расчета показателей не отражают реальной ситуации, отраслевых особенностей, имеют завышенные нормативные значения, кроме того, нет единой точки зрения на порядок их вычисления.

Двухфакторная модель оценки вероятности банкротства (анализ применения исследован в работах проф. М.А. Федотовой) опирается на коэффициент текущей ликвидности и отношение показателя заемных средств к валюте баланса [21]. На основе указанных показателей рассчитывается общий коэффициент, характеризующий вероятность банкротства организации:

Z = - 0,3877 - 1,0736 х Ктл - 0,0579 х Кзс, (13)

где Ктл - коэффициент текущей ликвидности; К- доля заемных средств в валюте баланса. Если коэффициент отрицательный, вероятно, предприятие останется платежеспособным.

Метод рейтинговой оценки финансового состояния предприятия Р.С. Сайфулина и Е.Г. Кадыкова основывается на использовании следующей модели [20]:

К = 2К1 + 0,1К2 + 0,08КЗ + 0,45К4 + К5, (14)

где К1 - коэффициент обеспеченности собственными средствами (К1 > 0,1); К2 - коэффициент текущей ликвидности (К2 > 2); КЗ - интенсивность оборота авансируемого капитала, характеризующая объем реализованной продукции, приходящейся на 1 руб. средств, вложенных в деятельность предприятия (К3 > 2,5); К4 - коэффициент менеджмента, рассчитываемый как отношение прибыли от реализации к выручке; К5 - рентабельность собственного капитала (К5 > 0,2).

При полном соответствии значений финансовых коэффициентов минимальным нормативным уровням рейтинговое число будет равно 1. Финансовое состояние предприятий с рейтинговым числом менее 1 характеризуется как неудовлетворительное.

Модель Z-счета Э. Альтмана имеет следующий вид [18]:

Z = 0,717X1 + 0,847X2 + 3,107X3 + 0,42X4 + 0,995X5, (15)

где X1 - отношение собственного оборотного капитала к сумме активов; X2 - отношение нераспределенной прибыли к сумме активов; X3 - отношение прибыли до уплаты процентов к сумме активов; X4 - отношение балансовой стоимости собственного капитала к сумме активов; X5 - отношение выручки к сумме активов.

Константа сравнения 1,23. Если значение Z < 1,23, то это признак высокой вероятности банкротства; если значение Z > 1,23, то это свидетельствует о малой вероятности банкротства.

Все перечисленные модели имеют и достоинства (простота финансовых расчетов), и недостатки (субъективность применения западных моделей по отношению к российским предприятиям). Но все модели могут применяться для объективного вывода о финансовом положении предприятия.

Итак в данном разделе нами разработана интегрированная методика анализа финансового состояния объекта исследования, включающая следующие этапы: анализ бухгалтерского баланса, анализ ликвидности и платежеспособности, анализ финансовой устойчивости, анализ финансовых результатов и деловой активности, анализ вероятности банкротства..

Таким образом в данной главе определена сущность анализа финансового состояния организации, определены задачи, функции и виды анализа, источники информации, выполнена сравнительная характеристика методик анализа финансового состояния организации нескольких авторов и разработана интегрированная методика анализа финансового состояния объекта исследования.

2. Характеристика деятельности ЗАО "Кологрив-М"

.1 Общая характеристика деятельности ЗАО "Кологрив-М"

Закрытое акционерное общество "Кологрив-М" образовано в 1997 году (Свидетельство о государственной регистрации № 232 от 09 июня 1997 г.). Учредителем ЗАО "Кологрив-М" является ЗАО "Окологрив". Ему принадлежат 100% акций предприятия.

Предприятие занимается розливом и реализацией минеральной воды "Царская".

Численность работающих составляет 35 человек.

В собственности предприятия находится оборудование по розливу воды в 1,5-литровую и 0,5-литровую ПЭТ, оборудование по розливу питьевой воды в 5-литровую тару и автотранспорт. Помещение данное предприятие арендует у ЗАО "Окологрив".

Сырье и материалы для производства минеральной воды предприятие закупает у следующих фирм:

1.   ЗАО "Окологрив";

2.   ООО "Бовенит" - углекислота жидкая.

С фирмами заключает договора поставок.

Готовую продукцию ЗАО "Кологрив-М" реализует, в основном, через ЗАО "Окологрив", которое реализует ее в области и за ее пределами.

С момента образования предприятие выпускает газированную и негазированную минеральную лечебно-столовую воду в 1,5-литровой таре, в 2002 году было приобретено оборудование по розливу воды в 0,5-литровую тару, в 2008 году - по розливу питьевой воды в 5-литровую тару.

Источником минеральной воды служит скважина №1, фактической глубиной 127,4 м, расположенная в 120 м от цеха розлива.

Скважина эксплуатируется электропогружным насосом "ЭИВ-6-120" с глубиной загрузки 90 м. в течение 20 часов в сутки.

Перед входом в накопительную емкость V=4м3 минеральная вода подвергается двойной очистке в фильтровальном модуле "Сокол-Ф" (М). Для нормальной работы модуля необходимо поддерживать давление в трубопроводе не менее 1,5 кг/см2.

Далее минеральная вода насосом подпитки подается для обеззараживания в бактерицидную лампу модели "S12Q-PA/2" и в сатурационную установку для смешивания с двуокисью углерода и приготовления готового продукта. Из сатурационной установки готовый продукт подается на розлив и фасовку в фасовочно-укупорочную машину.

Двуокись углерода доставляется на предприятие и хранится в жидком виде в сосуде высокого давления ЦЖУ-8.

Бутылки для минеральной воды производятся самим предприятием посредством выдува из ПЭТ-заготовок на дутьевой машине "G 51" фирмы ADS.

Технологический процесс производства минеральной воды представлен на рисунке 2.1.

Рисунок 2.1 - Технологическая цепочка производства минеральной воды

ЗАО "Кологрив-М" принимает участие в различных конкурсах и выставках: продукция предприятия получила Бронзовую медаль в конкурсе "Лучшая продовольственная продукция" на национальной специализированной выставке "Российские продукты питания" в 1998 году; Золотую и Серебряную медали на Международной ярмарке продовольственных товаров и сырья для их производства "Продэкспо-2000" и "Продэкспо-2001"; Диплом III степени и Бронзовую медаль на агропромышленной выставке "Золотая осень" в 2004 году; предприятие является лауреатом программы "Сто лучших товаров России" в 2003, 2005, 2007 годах.

Организационная структура предприятия представлена на рисунке 2.2. Директор избирается Общим собранием акционеров сроком на 5 лет и является единоличным исполнительным органом управления, к его компетенции относятся все вопросы руководства текущей деятельностью ЗАО "Кологрив-М", за исключением вопросов, отнесенных к исключительной компетенции Общего собрания акционеров.

Рисунок 2.2 - Организационная структура ЗАО "Кологрив-М"

Директор несет ответственность за организацию бухгалтерского учета на предприятии. Он обязан создать необходимые условия для правильного ведения учета, обеспечить неукоснительное выполнение всеми структурными подразделениями требований главного бухгалтера по вопросам оформления и представления для учета документов и сведений.

Бухгалтерский учет в организации осуществляется бухгалтерской службой, в ее состав входят главный бухгалтер и бухгалтер. Главный бухгалтер назначается и освобождается от должности руководителем организации и подчиняется непосредственно ему. Главный бухгалтер несет ответственность за соблюдение содержащихся в законодательстве требований и правил ведения бухгалтерского учета; обеспечивает контроль за отражением на счетах бухгалтерского учета всех осуществляемых хозяйственных операций, предоставление оперативной информации, составление в установленные сроки бухгалтерской отчетности; подписывает совместно с руководителем организации документы, служащие основаниями для приемки и выдачи товарно-материальных ценностей и денежных средств, а также расчетных, кредитных и денежных обязательств.

Совместно с главным бухгалтером бухгалтер ведет учет основных средств и малоценного инвентаря, материалов, затрат на производство и калькулирование себестоимости, учет готовой продукции и ее реализации, расчеты с рабочими и служащими, финансово-расчетных операции, сводный учет и отчетность. Кроме этого бухгалтер исполняет по письменному распоряжению руководителя обязанности кассира.

На предприятии применяется журнально-ордерная форма учета. Для ведения бухгалтерского и налогового учета используется вычислительная техника - журналы-ордера формируются применяемым программным обеспечением (1С: Бухгалтерия 7.7).

Все хозяйственные операции, проводимые организацией, оформляются оправдательными документами. Эти документы служат первичными учетными документами, на основании которых ведется бухгалтерский учет. Первичные учетные документы принимаются к учету, если они составлены по утвержденной Постановлениями Госкомстата РФ форме. Первичные и сводные учетные документы составляются на бумажных и магнитных носителях информации.

На основании первичных учетных документов формируются бухгалтерские регистры - карточки по счетам, представляющие собой ведомости, каждая из которых применяется, как правило, для учета операций по одному из используемых бухгалтерских счетов. Правила заполнения данных ведомостей заключаются в следующем. Сумма по любой операции записывается одновременно в двух ведомостях: в одной - по дебету счета с указанием номера кредитуемого счета (в графе "Корреспондирующий счет"), в другой - по кредиту корреспондирующего счета с аналогичной записью номера дебетуемого счета. В обеих ведомостях в графах "Содержание операции" на основании форм первичной учетной документации делается запись, отражающая суть совершенной операции, либо даются пояснения, приводятся шифры и т.п. Остатки средств в отдельных ведомостях должны сверяться с соответствующими данными первичных документов, на основании которых были произведены записи (например, кассовые отчеты, выписки банков и др.). Затем производится обобщение месячных итогов финансово-хозяйственной деятельности предприятия, отраженных в ведомостях.

По данным карточек рассчитываются оборотно-сальдовые ведомости по каждому счету, и на их основании рассчитывается оборотно-сальдовые ведомости за месяц, квартал, год нарастающим итогом с начала отчетного периода.

По результатам оборотно-сальдовых ведомостей главным бухгалтером составляется бухгалтерская отчетность за соответствующие периоды (месяц, квартал - промежуточная отчетность - нарастающим итогом с начала отчетного периода, год). Бухгалтерская отчетность ЗАО "Кологрив-М" состоит из бухгалтерского баланса (форма №1) и отчета о прибылях и убытках (форма №2).

Для обеспечения достоверности данных бухгалтерского учета и бухгалтерской отчетности на предприятии проводится инвентаризация имущества и обязательств, в ходе которой проверяются и документально подтверждаются их наличие, состояние и оценка. Инвентаризация производится в соответствии с Методическими указаниями по инвентаризации имущества и финансовых обязательств, утв. Приказом Минфина РФ №49 от 13.06.1995г.

Помимо случаев обязательного проведения инвентаризации, инвентаризация проводится перед составлением годовой бухгалтерской отчетности: товарно-материальных ценностей один раз в год по состоянию на 01 ноября, основных средств один раз в три года по состоянию на 01 ноября. Инвентаризация расчетных статей баланса и денежных средств проводится по состоянию на 31 декабря.

В случаях, когда проведение инвентаризации обязательно, но сроки ее проведения не установлены настоящей учетной политикой, или когда проведение инвентаризации не обязательно, инвентаризация проводится на основании отдельного приказа руководителя предприятия.

В качестве основных средств к бухгалтерскому учету принимается имущество, в отношении которого единовременно выполняются следующие условия:

а)       имущество используется в производстве продукции при выполнении работ или оказании услуг либо для управленческих нужд организации;

б)      имущество используется в течение длительного времени, т.е. срока полезного использования, продолжительностью свыше 12 месяцев или обычного операционного цикла, если он превышает 12 месяцев;

в)      организацией не предполагается последующая перепродажа данного имущества;

г)       имущество способно приносить организации экономические выгоды (доход) в будущем.

При приобретении объектов основных средств, бывших в употреблении, нормы амортизации по этому имуществу определяются с учетом срока полезного использования, уменьшенного на количество лет (месяцев) эксплуатации данного имущества предыдущими собственниками.

Если срок фактического использования основного средства у предыдущих собственников окажется равным или превышающим срок его полезного использования, определяемый Классификацией, срок полезного использования такого основного средства определяется решением комиссии с учетом требований техники безопасности и других факторов.

Амортизация всех основных средств в бухгалтерском учете производится линейным способом.

Объекты основных средств стоимостью не более 20000 рублей за единицу, а также приобретенные книги, брошюры и т.п. издания списываются на затраты на производство (расходы на продажу) по мере отпуска их в производство или эксплуатацию. В целях обеспечения сохранности этих объектов в производстве или при эксплуатации бухгалтерией организуется надлежащий контроль за их движением.

Амортизационные отчисления по объектам основных средств начисляются с первого числа месяца, следующего за месяцем принятия этого объекта к бухгалтерскому учету, и начисляются до полного погашения стоимости этого объекта либо списания этого объекта с бухгалтерского учета. Амортизационные отчисления по объектам основных средств прекращают начислять с первого числа месяца, следующего за месяцем полного погашения стоимости этого объекта или списания этого объекта с бухгалтерского учета.

В течение срока полезного использования объекта основных средств начисление амортизационных отчислений в целях бухгалтерского учета не приостанавливается, кроме случаев перевода его по решению руководителя организации на консервацию на срок более трех месяцев, а также в период восстановления объекта (ремонта, реконструкции, модернизации), продолжительность которого превышает 12 месяцев.

Переоценка основных средств производится на основании приказа руководителя предприятия в соответствии с п. 15 ПБУ 6/01 "Учет основных средств". Сумма дооценки объекта основных средств в результате переоценки зачисляется в добавочный капитал организации. Сумма дооценки объекта основных средств, равная сумме его уценки, проведенной в предыдущие отчетные периоды и отнесенной на счет прибылей и убытков в качестве операционных расходов, относится на счет прибылей и убытков отчетного периода в качестве дохода.

Сумма уценки объекта основных средств в результате переоценки относится на счет учета нераспределенной прибыли (непокрытого убытка). Сумма уценки объекта основных средств относится в уменьшение добавочного капитала организации, образованного за счет сумм дооценки этого объекта, проведенной в предыдущие отчетные периоды. Превышение суммы уценки объекта над суммой его дооценки, зачисленной в добавочный капитал организации в результате переоценки, проведенной в предыдущие отчетные периоды, относится на счет учета нераспределенной прибыли (непокрытого убытка).

При выбытии объекта основных средств сумма его дооценки переносится с добавочного капитала организации в нераспределенную прибыль организации.

В качестве нематериальных активов к бухгалтерскому учету принимаются активы, отвечающие требованиям ПБУ 14/2007 "Учет нематериальных активов". Начисление износа (амортизации) по нематериальным активам производится по нормам, которые устанавливаются исходя из их срока полезного использования. Срок полезного использования нематериальных активов определяется в месяцах при их принятии к бухгалтерскому учету исходя из срока действия патента, свидетельства и других ограничений сроков использования объектов интеллектуальной собственности согласно действующему законодательству, а также исходя из срока полезного использования нематериальных активов, обусловленного соответствующими договорами.

Если из документов на нематериальный актив нельзя однозначно определить срок его полезного использования, то он устанавливается распоряжением руководителя предприятия исходя из ожидаемого срока использования этого объекта, в течение которого организация может получать экономические выгоды (доход). При невозможности определения срока полезного использования нематериального актива он устанавливается в 20 лет (но не более срока деятельности организации). Амортизация нематериальных активов производится линейным способом. Амортизационные отчисления по нематериальным активам отражаются на счете 05 "Амортизация нематериальных активов" бухгалтерского учета.

Капитальные вложения по приобретению, строительству, модернизации, реконструкции основных средств, а также прочие затраты, связанные с приобретением и монтажом основных средств, учитываются на счете 08 "Капитальные вложения" бухгалтерского учета. Затраты, связанные с перемещением объектов основных средств внутри организации в составе капитальных вложений не учитываются, а относятся на затраты на производство (расходы на продажу).

В качестве материально-производственных запасов к бухгалтерскому учету принимается имущество, отвечающее требованиям ПБУ 5/01 "Учет материально-производственных запасов". Сырье, основные и вспомогательные материалы, топливо, покупные полуфабрикаты и комплектующие изделия, запасные части отражаются в учете и отчетности по их фактической себестоимости. Бухгалтерский счет 15 "Заготовление и приобретение материальных ценностей" для учета материально-производственных запасов не применяется.

При отпуске (внутреннем перемещении) материалов в производство и ином выбытии их оценка производится по средней себестоимости.

Под отпуском материалов на производство понимается их выдача со склада (кладовой) непосредственно для изготовления продукции (выполнения работ, оказания услуг), а также отпуск материалов для управленческих нужд организации. Отпуск материалов на склады (в кладовые) подразделений организации и на площадки строительства рассматривается как внутреннее перемещение.

При определении средней себестоимости материалов в расчет включаются количество и стоимость материалов на начало месяца и все поступления до момента отпуска.

Аналитический учет специальной оснастки и специальной одежды ведется по их наименованиям. Списание стоимости специальной одежды, срок эксплуатации которой согласно нормам выдачи не превышает 12 месяцев, в дебет соответствующих счетов учета затрат на производство производится единовременно в момент ее передачи (отпуска) сотрудникам организации.

Стоимость специальной одежды со сроком эксплуатации более 12 месяцев погашается линейным способом исходя из сроков полезного использования специальной одежды, предусмотренных в нормах бесплатной выдачи специальной одежды, специальной обуви и других средств индивидуальной защиты. При выдаче специальной одежды сверх установленных норм ее стоимость погашается линейным способом. Стоимость всей специальной оснастки погашается линейным способом. При этом месячная сумма погашения стоимости специальной оснастки определяется исходя из фактической себестоимости объектов специальной оснастки и норм, исчисленных исходя из их сроков полезного использования.

Для определения непригодности и решения вопроса о списании специальной оснастки и специальной одежды создается постоянно действующая комиссия в составе: главный инженер, председатель комиссии; бухгалтер, член комиссии; мастер, член комиссии;

Учет расходов на производство ведется по видам деятельности на счетах 20 "Основное производство", 23 "Вспомогательные производства". По дебету указанных счетов отражаются прямые расходы на производство готовой продукции (работ, услуг). Расходы, которые нельзя отнести напрямую к какому-либо виду деятельности (косвенные расходы), отражаются на счете 26 "Общехозяйственные расходы". Расходы, которые нельзя отнести напрямую к какому-либо виду деятельности (учитываемые в составе общехозяйственных или общепроизводственных расходов), ежемесячно распределяются по видам продукции пропорционально выручки от реализации продукции, отраженной по кредиту счета 90.1 за минусом налогов.

Остатки готовой продукции на складе (иных местах хранения) на конец (начало) отчетного периода оцениваются по нормативной себестоимости.

Учет реализации продукции (работ, услуг) в бухгалтерском учете осуществляется на основе метода начисления. Доходами от обычных видов деятельности признаются доходы от реализации продукции (работ, услуг).

Предприятие не создает резервы предстоящих расходов.

Предприятие учитывает полученные заемные средства, срок погашения которых по договору займа или кредита превышает 12 месяцев, до истечения указанного срока в составе долгосрочной задолженности. Дополнительные затраты, связанные с получением займов и кредитов, включаются предприятием в состав операционных расходов в том отчетном периоде, в котором были произведены указанные расходы.

В бухгалтерском учете налог на прибыль отражается по дебету (кредиту) счета 99 "Прибыли и убытки" в корреспонденции с субсчетом "Расчеты по налогу на прибыль" счета 68.

ЗАО "Кологрив-М" применяет общую систему налогообложения.

Моментом определения налоговой базы по налогу на добавленную стоимость является наиболее ранняя из следующих дат: день отгрузки (передачи) товаров (работ, услуг), имущественных прав; день оплаты, частичной оплаты в счет предстоящих поставок товаров (выполнения работ, оказания услуг), передачи имущественных прав. При определении налоговой базы по налогу на прибыль доходы и расходы определяются по методу начисления. В целях исчисления налога на прибыль амортизация основных средств начисляется линейным методом. В целях исчисления налога на прибыль амортизация нематериальных активов начисляется линейным методом. При невозможности определения срока полезного использования нематериального актива, он устанавливается в целях налогообложения в 10 лет. Пониженные нормы начисления амортизации не применяются. При определении размера материальных расходов при списании сырья и материалов, применяется метод оценки по средней стоимости. К прямым расходам в целях исчисления налога на прибыль относятся следующие виды расходов:

a)       Расходы на оплату труда работников, непосредственно занятых производством готовой продукции, выполнением работ, оказанием услуг, а также начисления на их заработную плату (единый социальный налог, страховые взносы в Пенсионный фонд РФ на обязательное пенсионное страхование), если эти расходы можно отнести к конкретным наименованиям готовой продукции, заказам на выполнение работ.

b)      Амортизацию основных средств и нематериальных активов, если эти расходы можно отнести к конкретным наименованиям готовой продукции, заказам на выполнение работ.

Прямые расходы списываются в уменьшение доходов при исчислении налога на прибыль по мере реализации соответствующей продукции (работ).

Оценка остатков незавершенного производства, остатков готовой продукции на складе, а также продукции отгруженной, но не реализованной, производится в отношении каждого вида промежуточной готовой продукции, а также полуфабрикатов собственного производства. Если в регистрах бухгалтерского учета содержится недостаточно информации для определения налоговой базы по налогу на прибыль, то предприятие дополняет применяемые регистры бухгалтерского учета дополнительными реквизитами, формируя тем самым регистры налогового учета. Итак, в данном разделе нами дана общая характеристика деятельности ЗАО "Кологрив-М", определен вид деятельности организации, показан перечень вырабатываемой продукции и технологический процесс ее изготовления, представлена организационно-управленческая структура организации, приведена методология ведения бухгалтерского и налогового учета и особенности учетной политики.

.2 Анализ хозяйственной деятельности ЗАО "Кологрив-М"

Важное значение для повышения эффективности деятельности организации и поиска внутрипроизводственных резервов роста имеет анализ хозяйственной деятельности организации. Проведем анализ хозяйственной деятельности ЗАО "Кологрив-М" в динамике за последние три года - с начала 2006г. по конец 2008г. Анализ будем осуществлять в соответствии с интегрированной методикой, представленной на рисунке 2.3.

Рисунок 2.3 - Интегрированная методика анализа хозяйственной деятельности

Анализ состава и структуры основных средств позволяет определить состав и структуру основных средств, их динамику за исследуемый период.

Результаты анализа состава, структуры и движения основных средств представлены в таблице 2.1.

Стоимость основных средств на конец 2008 года увеличилась более чем в два раза по сравнению с началом исследуемого периода. Увеличение произошло в основном за счет роста стоимости машин и оборудования, что безусловно является положительным моментом.

Анализ структуры основных средств показал, что в 2006-2007 годах доля машин и оборудования снижалась за счет того, что предприятие приобретало новые транспортные средства, но после приобретения нового производственного оборудования в 2008 году доля машин и оборудования вновь увеличилась. Постоянное совершенствование и модернизация основных средств способствует увеличению объемов производства продукции и улучшению ее качества.

Наглядно результаты анализа представлены на рисунках 2.4 и 2.5.

Рисунок 2.4 - Изменение состава основных средств ЗАО "Кологрив-М"

Таблица 2.1 - Анализ состава и структуры основных средств

Показатель

На начало 2006 года

На конец 2006 года

Отклонение

На конец 2007 года

Отклонение

На конец 2008 года

Отклонение


тыс. руб.

% к итогу

тыс. руб.

% к итогу

тыс. руб.

по струк-туре, %

тыс. руб.

% к итогу

тыс. руб.

по структуре

тыс. руб.

% к итогу

тыс. руб.

по струк-туре, %

Машины и оборудование

2675

79,5

3377

64,9

+702

-14,6

2741

55,9

-636

-9

5772

78,7

+3031

+22,8

Транспортные средства

629

18,7

1781

34,2

+1152

+15,5

2131

43,5

+350

+9,3

1512

20,6

-619

-22,9

Производ-ственный и хозяйственный инвентарь











31

0,4

+31

+0,4

Прочие основные средства

59

1,8

44

0,9

-15

-0,9

29

0,6

-15

-0,3

22

0,3

-7

-0,3

Итого основных средств

3363

100

5202

100

+1839

0

4901

100

-301

100

7337

100

+2436

0



Рисунок 2.5 - Изменение структуры основных средств ЗАО "Кологрив-М"

Из рисунков видно, что тенденция изменения состава основных средств 2006-2007 гг. была неоднозначна, в структуре основных средств преобладает доля производственного и хозяйственного инвентаря и транспортных средств, доля остальных основных средств незначительна.

Проведем анализ технического состояния основных средств. Основными коэффициентами, характеризующими состояние основных средств, являются коэффициент годности и коэффициент износа. Коэффициент годности показывает долю годных к использованию основных средств в их общем объеме, считается нормальным, если он больше 0,5. Коэффициент износа показывает долю изношенных основных средств в их общем объеме. Результаты анализа технического состояния основных средств ЗАО "Кологрив-М" представлены в таблице 2.2. Можно сделать вывод, что техническое состояние основных средств ЗАО "Кологрив-М" нормальное.

Таблица 2.2 - Показатели технического состояния основных средств

Показатель

Формула расчета

Конец 2006 г.

Конец 2007 г.

Конец 2008 г.



Расчет

Результат

Расчет

Результат

Расчет

Результат

Коэффициент годности

Остаточная стоимость ОС /Первонач. Стоимость ОС

5202/ 9547

0,55

4901/ 10252

0,48

7337/ 13956

0,53

Коэффициент износа

Износ / Первонач. стоимость ОС

4344/ 9547

0,45

5351/ 10252

0,52

6619/ 13956

0,47

Далее нами выполнен анализ эффективности использования основных средств (таблицу 2.3). Из таблицы 2.3 видно, что фондоотдача имеет тенденцию к снижению - на конец 2008 года уменьшилась практически в два раза. То есть с одного рубля, вложенного в основные средства, предприятие получает меньше продукции. Это объясняется снижением выпуска продукции и увеличением стоимости основных средств. Значения фондоемкости наоборот увеличивается, то есть в одном рубле выпущенной продукции растет доля затрат в основные средства. Значение фондорентабельности на конец исследуемого периода по сравнению с началом уменьшилось в 15 раз - с 54 до 3,5%.

Фондооборачтваемость также снижается: в 2006г. затраты в основные средства приносили отдачу 5,9 руб/руб, а в 2008г. только 3,1 руб/руб. Фондовооруженность труда имеет положительную динамику - увеличилась с 88 до 209 тыс. руб. на человека. Уровень фондовооруженности труда возрастает в основном за счет ввода в эксплуатацию новых производственных мощностей, то есть увеличения стоимости основных средств и уменьшения количества работников.

В целом можно сделать вывод, что основные средства в ЗАО "Кологрив-М" используются не эффективно.

Стабильность состава кадров на предприятиях играет важную роль в увеличении производительности труда и эффективности производства. Анализ движения кадров представим в таблице 2.4.

Таблица 2.3 - Показатели эффективности использования основных средств ЗАО "Кологрив-М"

Показатель

Характеристика показателя

Формула расчета

Конец 2006 г.

Конец 2007 г.

Конец 2008 г.




Расчет, тыс.руб.

Результат

Расчет тыс.руб.

Результат

Расчет тыс.руб.

Результат

Фондоотдача, руб/руб

Показывает, сколько продукции получено с одного рубля средств, вложенных в основные средства

Выпуск продукции / Стоимость основных средств

25173/ 5202

4,8

21282/ 4901

4,3

20165/ 7337

2,7

Фондоемкость, руб/ руб

Показывает, сколько затрат в основные средства содержится в одном рубле выпущенной продукции

Стоимость основных средств / Выпуск продукции

5202/ 25173

0,2

4901/ 21282

0,23

7337/ 20165

0,36

Фондорентабельность, %

Характеризует уровень прибыли, полученной с одного рубля основных средств

(Прибыль / Стоимость основных средств) * 100 %

2790/ 5202

54

1119/ 4901

23

260/ 7337

3,5

Фондооборачиваемость

Показывает, сколько раз затраты в основные средства принесли отдачу в течение отчетного периода

Выручка / Стоимость основных средств

30652/ 5202

5,9

24947/ 4901

5,1

22925/ 7337

3,1

Фондовооруженность, тыс.руб./чел.

Показывает стоимость основных средств, приходящихся на одного работника

Стоимость основных средств / Численность работников

5202/59

88

4901/54

91

7337/35

209



Таблица 2.4 - Показатели движения кадров ЗАО "Кологрив-М", чел.

Показатель

2006 г.

2007 г.

Отклонение 2007г. к 2006г.

2008 г.

Отклонение 2008г. к 2007г.

Численность на начало периода

59

59

0

54

+5

Принято в течение периода

0

0

0

0

0

Выбыло в течение периода

0

5

+5

19

+14

Численность на конец периода

59

54

+5

35

+19


Из таблицы 2.4 видно, что численность работников в ЗАО "Кологрив-М" уменьшилась до 35 человек. Это связано с приобретением в 2008г. нового высокотехнологичного оборудования, что привело к росту производительности оборудования при сохранении объема выпуска продукции и уменьшения численности рабочих.

Одним из наиболее значимых показателей эффективности использования трудовых ресурсов является производительность труда. Данный показатель характеризует степень эффективности труда, то есть степень отдачи каждого работника (рабочего), рассчитываемую отношением объема произведенной продукции к численности работников или рабочих. Уровень производительности труда на производственных предприятиях измеряется количеством продукции, выработанной 1 работником (рабочим) в единицу времени, или количеством рабочего времени, затраченного на единицу продукции. Показатели производительности труда работников ЗАО "Кологрив-М" представлены в таблице 2.5.

По данным таблицы 2.5 можно сделать вывод, что на конец исследуемого периода, несмотря на снижение выпуска продукции, производительность труда растет: производительность труда одного работника увеличилась на 27 тыс. руб., на одного рабочего - на 182 тыс. руб. Причиной этому является уменьшение численности работников.

Таблица 2.5 - Показатели производительности труда ЗАО "Кологрив-М"

Показатель

2006 г.

2007 г.

Отклонение 2007г. к 2006г.

2008 г.

Отклонение 2008г. к 2007г.

Выпуск продукции, тыс. руб.

25173

21282

-3891

20165

-1117

Среднегодовая численность работников (Ч), чел. - в том числе рабочих

59  45

56,5  42,5

-2,5  -3

44,5  29,5

-12  -13

Производительность труда одного работника (ПТ), тыс. руб./чел. - в том числе одного рабочего, тыс. руб./чел.

427  559

377  501

-50  -58

453  683,5

+76  +182,5


Основные показатели для оценки эффективности затрат на оплату труда представлены в таблице 2.6.

Таблица 2.6 - Анализ эффективности использования трудовых ресурсов и средств на оплату труда ЗАО "Кологрив-М"

Показатель

2006 г.

2007 г.

Отклонение 2007г. к 2006г.

2008 г.

Отклонение 2008г. к 2007г.

1. Объем выполненных работ, тыс. руб.

25173

21282

-3891

20165

-1117

2. Фонд оплаты труда, тыс. руб.

3679

3649

-30

3936,7

+287,7

3. Численность работников, чел.

59

54

-5

35

-19

4. Производительность труда одного работника, тыс. руб./чел.

427

377

-5

453

+76

5.Средняя месячная заработная плата на 1 работника, тыс. руб.

5,2

5,6

+0,4

9,4

+3,8


Из таблицы 2.6 видно, что средняя месячная заработная плата имеет тенденцию к росту, к концу 2008г. по сравнению с 2006г. увеличилась на 4,2 тыс. руб.

Оценим эффективность затрат предприятия, связанных с оплатой труда. Оценка производится на основании сравнения темпов роста средней заработной платы (ЗП) и производительности труда (ПТ).

Темп роста ЗП2007г. = Средняя ЗП2007г. / Средняя ЗП2006г. = 5,6/5,2 = 1,08

Темп роста ПТ2007г. = ПТ2007г. / ПТ2006г. = 377/427 = 0,9

Темп роста ЗП2008г. = Средняя ЗП2008г. / Средняя ЗП2007г. = 9,4/5,6 = 1,7

Темп роста ПТ2008г. = ПТ2008г. / ПТ2007г. = 453/377 = 1,2

Из расчетов можно сделать вывод о неэффективности затрат на оплату труда, так как и в 2007 и в 2008 годах темпы роста заработной платы превышают темпы роста производительности труда.

Анализ использования материальных ресурсов начнем с исследования состава и структуры материальных ресурсов. Результаты представлены в таблице 2.7. Из таблицы видно, что в структуре материальных ресурсов преобладает доля, приходящаяся на сырье и материалы, но она имеет тенденцию к снижению. К концу 2008г. увеличилась доля, приходящаяся на топливо, инвентарь и хозяйственные принадлежности, прочие материалы.

Эффективность использования материальных ресурсов характеризуется соотношением затрат на материальные ресурсы и полученного от их использования эффекта - выручки, прибыли, объема выпущенной продукции. Основные показатели эффективности использования материальных ресурсов представлены в таблице 2.8. Рентабельность материальных ресурсов снизилась почти в 9 раз - со 177 до 20%, то есть прибыль на 1 руб. материальных затрат ранее составляла 1,77 руб., а на конец 2008г. - всего 0,2 руб. Материалоотдача также имеет тенденцию к снижению, то есть с каждого рубля материальных затрат предприятие получает меньше продукции. Доля материальных затрат в объеме выпущенной продукции на конец 2008 г. увеличилась на 0,02.

Таблица 2.7 - Анализ состава и структуры материальных ресурсов ЗАО "Кологрив-М"

Показатель

На начало 2006 года

На конец 2006 года

Отклонение 2006г. к 2005г.

На конец 2007 года

Отклонение 2007г. к 2006г.

На конец 2008 года

Отклонение 2008г. к 2007г.


тыс. руб.

% к итогу

тыс. руб.

% к итогу

тыс. руб.

по струк-туре, %

тыс. руб.

% к итогу

тыс. руб.

по струк-туре, %

тыс. руб.

% к итогу

тыс. руб.

по струк-туре, %

Сырье и материалы

1580

77,5

1158

73,6

-422

-3,9

1034

75,3

-124

+1,7

1010

65,6

-24

-9,7

Топливо

136

6,7

96

6

-0,7

111

8

+15

+2

202

13,1

+91

+5,1

Запасные части

88

4,3

101

6,4

+13

-2,1

20

1,5

-81

-4,9

18

1,2

-2

-0,3

Прочие материалы

61

3

44

2,8

-17

-0,2

38

2,8

-6

0

71

4,6

+33

+1,8

Строительные материалы

25

1,2

17

1,1

-8

-0,1

5

0,4

-12

-0,7

0

0

-5

-0,4

Инвентарь и хозяйственные принад

123

6

130

8,3

-7

+2,3

130

9,5

0

+1,2

208

13,5

+78

+4

Специальная одежда

24

1,3

28

1,8

+4

+0,5

35

2,5

+7

+0,7

30

2

-5

-0,5

Итого

2037

100

1574

100

-463

0

1373

100

-201

0

1539

100

+166

0


Таблица 2.8 - Показатели эффективности использования материальных ресурсов ЗАО "Кологрив-М"

Показатель

Характеристика показателя

Формула расчета

Конец 2006 г.

Конец 2007 г.

Конец 2008 г.




Расчет,

Резул

Расчет

Резул

Расчет

Резу

Прибыль на 1 рубль материальных затрат

Рентабельность материальных ресурсов

Прибыль / Материальные затраты

2790/ 1574

1,77

1119/ 1373

0,8

260/ 1539

0,2

Материалоотдача, тыс. руб./тыс. руб.

Показывает какое кол продукции получено с каждого рубля матер затр

Выпуск продукции / Материальные затраты

25173/ 1574

16

21282/ 1373

15,5

20165/ 1539

13,1

Материалоемкость,  тыс. руб./тыс. руб.

Доля материальных затрат в объеме выпущенной продукции

Материальные затраты / Выпуск продукции

1574/ 25173

0,06

1373/ 21282

0,06

1539/ 20165

0,08


Анализ затрат на производство продукции ЗАО "Кологрив-М" начнем с рассмотрения состава и структуры затрат по элементам в динамике. Результаты представлены в таблице 2.9 и на рисунке 2.6. Из таблицы 2.9 видно, что сумма затрат имеет тенденцию к снижению за счет уменьшения материальных затрат. Затраты на амортизацию увеличились практически в два раза. Затраты на оплату труда, социальные отчисления и прочие затраты изменялись незначительно.

Рисунок 2.6 - Структура затрат ЗАО "Кологрив-М" по элементам

Из рисунка 2.6 видно, что в структуре затрат на производство продукции доля материальных затрат имеет тенденцию к снижению, доля затрат на оплату труда, доля затрат на амортизацию и доля прочих затрат увеличиваются.

Проведем анализ затрат по видам продукции, который позволит выявить наиболее затратный вид продукции и влияние объема выпускаемой продукции на весь уровень затрат на производство. Результаты анализа представлены в таблице 2.10.

Из данной таблицы видно, что объем выпуска по всем видам продукции снижается. Наиболее затратным видом продукции является выпуск минеральной воды емкостью 0,5 л. Несмотря на то, что в 2008 году выпуск данной продукции снизился на 194412 бутылок, затраты увеличились на 55 тыс. руб.

Таблица 2.9 - Анализ состава и структуры затрат ЗАО "Кологрив-М" по элементам в динамике

Показатель

2006 год

2007 год

Отклонение

2008 год

Отклонение


тыс. руб.

% к итогу

тыс. руб.

% к итогу

тыс. руб.

по струк-туре, %

тыс. руб.

% к итогу

тыс. руб.

по струк-туре, %

Материальные затраты

17887

71

14181

66,6

-3706

-4,4

12662

62,8

-1519

-3,8

Затраты на оплату труда

2461

9,8

2315

10,9

-146

+1,1

2479

12,3

+164

+1,4

Социальные отчисления

327

1,3

345

1,6

+18

+0,3

298

1,5

-47

-0,1

Амортизация

691

2,7

834

3,9

+143

+1,2

1242

6,1

+408

+2,2

Прочие затраты

3807

15,1

3607

16,9

-200

+1,8

3484

17,3

-123

+0,3

Итого

25173

100

21282

100

-3891

0

20165

100

-1117

0


Таблица 2.10 - Анализ затрат ЗАО "Кологрив-М" по видам продукции

Показатель

На конец 2006 года

На конец 2007 года

Отклонение

На конец 2008 года

Отклонение


Объем выпуска, бут.

Объем затрат на вид продукции, тыс.руб.

Объем выпуска, бут.

Объем затрат на вид продукции, тыс.руб.

Объем выпуска, бут.

Объем затрат на вид продук-ции, тыс.руб.

Объем выпуска, бут.

Объем затрат на вид продукции, тыс.руб.

Объем выпуска, бут.

Объем затрат на вид продукции, тыс.руб.

Минеральная вода 0,5 л.

1446912

5344

1240104

3399

-206808

-1945

1045692

3454

-194412

+55

Минеральная вода 1,5 л.

4420734

19829

3506825

17883

-913909

-1940

2974560

16340

-532265

-1543

Минеральная вода 5 л.

-

-

-

-

-

-

26759

371

+26759

+371

Итого


25173


21282


-3891


20165


-1117



Далее проведем анализ затрат на 1 рубль реализованной продукции. Затраты (З) на 1 рубль реализованной продукции (РП) - важный обобщающий показатель, характеризующий уровень себестоимости продукции в целом по предприятию. Исчисляется данный показатель отношением общей суммы затрат на производство и реализацию продукции к выручке от продаж. При его уровне меньше единицы производство продукции является рентабельным, при уровне выше единицы - убыточным.

З на 1 руб. РП 2006 г. = 25173/30652 = 0,82 руб/руб

З на 1 руб. РП 2007 г. = 21282/24947 = 0,85 руб/руб

З на 1 руб. РП 2008 г. = 20165/22925 = 0,88 руб/руб

Так как уровень затрат на 1 рубль выпущенной и реализованной продукции в ЗАО "Кологрив-М" меньше единицы, производство продукции является рентабельным, но рентабельность имеет тенденцию к снижению.

Проведем анализ динамики выпуска и реализации продукции. Результаты представлены в таблице 2.11.

Таблица 2.11 - Анализ динамики выпуска и реализации продукции ЗАО "Кологрив-М", бут.

 Вид продукции

2006 г.

2007 г.

2008 г.


Объем выпуска

Объем реализации

Объем выпуска

Объем реализации

Объем выпуска

Объем реализации

Минеральная вода 0,5 л.

1446912

1446912

1240104

1240104

1045692

1045692

Минеральная вода 1,5 л

4420734

4420734

3506825

3506825

2974560

2974560

Минеральная вода 5 л

-

-

-

-

26759

26759


Из таблицы видно, что вся произведенная продукция в ЗАО "Кологрив-М" реализуется без остатка.

Таким образом в данной главе нами дана общая характеристика деятельности ЗАО "Кологрив-М", определен вид деятельности организации, показан перечень вырабатываемой продукции и технологический процесс ее изготовления, представлена организационно-управленческая структура организации, приведена методология ведения бухгалтерского и налогового учета и особенности учетной политики, проведен анализ хозяйственной деятельности ЗАО "Кологрив-М" в динамике за последние три года. В процессе анализа хозяйственной деятельности установлено, что техническое состояние основных средств ЗАО "Кологрив-М" нормальное, но используются они не эффективно. Темпы роста заработной платы превышают темпы роста производительности труда, поэтому делаем вывод о неэффективности затрат на оплату труда. Показатели эффективности использования материальных ресурсов имеют тенденцию к снижению. Производство продукции является рентабельным, но рентабельность имеет тенденцию к снижению.

3. Анализ финансового состояния ЗАО "Кологрив - М"

.1 Анализ бухгалтерского баланса ЗАО "Кологрив-М"

В рамках первой главы на основе исследования существующих методик анализа финансового состояния нами была разработана интегрированная методика анализа финансового состояния для ЗАО "Кологрив-М". Используя интегрированную методику анализа финансового состояния, проведен анализ финансового состояния ЗАО "Кологрив-М". Источником информации для выполнения анализа является бухгалтерская финансовая отчетность ЗАО "Кологрив-М" за 2006-2008 годы (Приложение И).

Для анализа состава и структуры имущества составлен аналитический баланс (таблицы 3.1, 3.2, 3.3).

Таблица 3.1 - Анализ состава и структуры имущества ЗАО "Кологрив-М" за 2006 г.


К положительным изменениям в составе и структуре имущества предприятия относим:

-     увеличение актива баланса (на 4922 тыс. руб.);

-       увеличение денежных средств (на 5 тыс. руб.);

Отрицательными изменениями являются:

-     более быстрый рост внеоборотных активов по сравнению с оборотными, что свидетельствует об уменьшении средств в обороте предприятия.

-       увеличение величины дебиторской задолженности и ее доли в составе имущества (на 3643 руб. или на 8,55%);

-       снижение доли запасов на 10,15%.

Таблица 3.2 - Анализ состава и структуры имущества ЗАО "Кологрив-М"за 2007 г.


К положительным изменениям в составе и структуре имущества предприятия относим:

-     увеличение актива баланса (на 17998 тыс. руб.);

-       увеличение запасов (на 304 тыс. руб.)

-       увеличение денежных средств (незначительно);

-       более быстрый рост оборотных активов по сравнению с внеоборотными, что свидетельствует об увеличении средств в обороте предприятия.

Отрицательными изменениями являются:

-     увеличение величины дебиторской задолженности и ее доли в составе имущества (на 15022 тыс. руб. или на 14,97%);

-       снижение доли запасов на 4,71%.

Таблица 3.3 - Анализ состава и структуры имущества ЗАО "Кологрив-М" за 2008 г.


К положительным изменениям в составе и структуре имущества предприятия относим:

-       увеличение денежных средств (на 28 тыс. руб.);

-       более быстрый рост оборотных активов по сравнению с внеоборотными, что свидетельствует об увеличении средств в обороте предприятия.

Отрицательными изменениями являются:

-     уменьшение актива баланса (на 17137 тыс. руб.);

-       снижение доли запасов на 3,92%.

После анализа состава и структуры имущества проведена оценка состава и структуры источников образования этого имущества - капитала предприятия или пассива баланса. Составлен аналогичный аналитический баланс (таблицы 3.4, 3.5, 3.6).

Таблица 3.4 - Анализ состава и структуры капитала ЗАО "Кологрив-М" за 2006 г.


Из таблицы 3.4 видно, что на начало 2006 года капитал предприятия на 100% состоял из собственных средств. На конец года доля заемных средств составляет почти 15% за счет увеличения задолженности по краткосрочным кредитам и увеличения кредиторской задолженности.

Таблица 3.5 - Анализ состава и структуры капитала ЗАО "Кологрив-М" за 2007 г.

Таблица3.6 - Анализ состава и структуры капитала ЗАО "Кологрив-М" за 2008 г.


На конец 2007 года (таблица 3.5) доля заемных средств выросла на 41,1% - заемный капитал превышает собственный за счет продолжения роста кредиторской задолженности (на 15777 тыс. руб.) и задолженности по краткосрочным кредитам (на 1103 тыс. руб.), что является отрицательным моментом.

В течение 2008 года (таблица 3.6) произошло сокращение краткосрочной задолженности по кредитам (на 1458 тыс. руб.) и существенно сократилась кредиторская задолженность (на 15940 тыс. руб.), что привело к увеличению доли собственного капитала, доля которого к концу года составила почти 90%.

Проведем анализ каждого раздела баланса: внеоборотных активов, запасов, дебиторской задолженности, собственного капитала, заемного капитала в динамике.

Анализ состава и структуры внеоборотных активов ЗАО "Кологрив-М" представлен в таблице 3.7. Из таблицы видно, что основную часть внеоборотных активов ЗАО "Кологрив-М" составляют основные средства: их доля в общем объеме на конец 2005 г., 2006 г, 2008 г. составляет от 98,39%-99,04%-99,86%. На конец 2007 г. их доля сократилась до 61,85% за счет увеличения доли незавершенного строительства до 37,95 % (за счет приобретения объектов основных средств). Следует отметить, что ЗАО "Кологрив-М" имеет возможность обновлять основные средства, приобретая новое технически более совершенное оборудование. Стоимость основных средств за период с начала 2006 г. до конца 2008 г. увеличилась более чем в два раза (на 3931 тыс. руб.).

Анализ состава и структуры запасов ЗАО "Кологрив-М" представлен в таблице 3.8. Стоимость запасов по сравнению с началом 2006 г. снизилась до 1539 тыс. руб. Практически вся произведенная продукция реализована.

Анализ собственного капитала ЗАО "Кологрив-М" представлен в таблице 3.9. По сравнению с началом 2006 г. к концу 2008 г. доля уставного и добавочного капитала, абсолютное значение которых за этот интервал времени оставалось неизменно, снизилась за счет роста доли нераспределенной прибыли. В абсолютном значении прирост прибыли с начала 2006 г. к концу 2008 г. составил 3989 тыс. руб., но темп роста прибыли снизился с 31,2% до 2,2%.

Рассмотрим состав, структуру и изменения кредиторской задолженности за исследуемый период (таблица 3.10). Размер задолженности перед поставщиками с начала 2006 г. представлял собой отрицательную величину - переплату кредитору на сумму 505 тыс. руб., но к концу 2007 г. задолженность увеличилась на 15735 тыс. руб. (на 2238%), затем к концу 2008 г. снова сократилась до 249 тыс. руб. (на 98,5%). Задолженность перед персоналом изменялась от 221 до 248 тыс. руб. Задолженность перед государством по налогам изменялась от 163 - 162 - 62 - 247 тыс. руб. Увеличение суммы задолженности по налогам и задолженности перед государственными внебюджетными фондами к концу 2008 г. объясняется тем, что на дату составления баланса платежи по ним не были оплачены.

В целом в 2006-2008 гг. состояние бухгалтерского баланса по составу и структуре активов и пассивов ЗАО "Кологрив-М" было удовлетворительным.

Таблица 3.7 - Анализ внеоборотных активов ЗАО "Кологрив-М"


Таблица 3.8 - Анализ состава и структуры запасов ЗАО "Кологрив-М"


Таблица 3.9 - Анализ собственного капитала ЗАО "Кологрив-М"


Таблица 3.10 - Анализ состава и структуры кредиторской задолженности ЗАО "Кологрив-М"


3.2     Анализ ликвидности и платежеспособности ЗАО "Кологрив-М"

Важным этапом в анализе финансового состояния выступает анализ ликвидности и платежеспособности организации. Ликвидность баланса - возможность предприятия за счет продажи имущества (активов) погасить свои платежные обязательства, а точнее - это степень покрытия долговых обязательств предприятия его активами, срок превращения которых в денежную наличность соответствует сроку погашения платежных обязательств. Платежеспособность предприятия состоит в возможности вовремя и в полном объеме погашать свои обязательства.

Анализ ликвидности баланса ЗАО "Кологрив-М" представлен в таблицах 3.11, 3.12, 3.13.

Таблица 3.11 - Анализ ликвидности баланса ЗАО "Кологрив-М" 2006 г., тыс. руб.

Актив

На начало года

На конец года

Пассив

На начало года

На конец года

Платежный излишек (+), недостаток (-)







На начало года

На конец года

А1

9

14

П1

-38

990

+47

-976

А2

4981

8624

П2

18

1300

+4963

+7324

А3

1942

1550

П3

0

0

+1942

+1550

А4

3413

5248

П4

10600

13210

+7187

+7962

ИТОГО

10345

15436

ИТОГО

10580

15500

+14139

+15860


Таблица 3.12 - Анализ ликвидности баланса ЗАО "Кологрив-М" 2007 г., тыс. руб.

Актив

На начало года

На конец года

Пассив

На начало года

На конец года

Платежный излишек (+), недостаток (-)







На начало года

На конец года

А1

14

15

П1

990

16769

-976

-16754

А2

8624

23646

П2

1300

2403

+7324

+21243

А3

1550

843

П3

0

0

+1550

+843

А4

5248

7919

П4

13210

14328

+7962

+6409

ИТОГО

15436

32423

ИТОГО

15500

33500

+15860

+11741


Таблица 3.13 - Анализ ликвидности баланса ЗАО "Кологрив-М" 2008 г., тыс. руб.

Актив

На начало года

На конец года

Пассив

На начало года

На конец года

Платежный излишек (+), недостаток (-)







На начало года

На конец года

А1

15

43

П1

16769

829

-16754

-786

А2

23646

7399

П2

2403

945

+21243

+6454

А3

843

1509

П3

0

0

+843

+1509

А4

7919

7344

П4

14328

14588

+6409

+7244

ИТОГО

32423

16295

ИТОГО

33500

16362

+11741

+14421

Из таблиц 3.11, 3.12, 3.13 видно, что первое условие ликвидности баланса (А1 ≥ П1) выполняется только на начало 2006 г., далее соотношение текущих платежей и поступлений не выполняется. Платежный недостаток по данному условию покрывается за счет выполнения второго (А2 ≥ П2) и третьего (А3 ≥ П3) условий, которые выполняются и на начало и на конец всех исследуемых периодов. Четвертое условие (А4 ≤ П4) на начало и на конец всех исследуемых периодов также выполняется, что говорит о достаточности средств у ЗАО "Кологрив-М" не только для формирования внеоборотных активов, но и о наличии собственных средств в обороте.

Для оценки платежеспособности рассчитаем основные коэффициенты ликвидности ЗАО "Кологрив-М". Показатели ликвидности представлены в таблице 3.14.

За весь исследуемый период коэффициент абсолютной ликвидности намного ниже установленной нормы, что говорит о неплатежеспособности предприятия на конкретную или отчетную дату.

Коэффициент быстрой (срочной) ликвидности за весь исследуемый период выше установленной нормы, что говорит о платежеспособности предприятия на ближайшую перспективу с учетом поступления средств от дебиторов.

Коэффициент текущей ликвидности (покрытия) на конец 2006 г. и на конец 2008 г. выше установленной нормы, что говорит о платежеспособности предприятия на более отдаленную перспективу с учетом поступления средств от дебиторов. К концу 2007 года предприятие неплатежеспособно. Коэффициент ликвидности при мобилизации средств на конец 2006 г. и на конец 2008 г. в пределах нормы, на конец 2007 г. значение его намного ниже нижней границы нормы, что свидетельствует о недостаточности мобилизации запасов для покрытия краткосрочных обязательств.

Таблица 3.14 - Анализ показателей ликвидности.

Показатель

На конец 2006 года

На конец 2007 года

Отклонение 2007г. к 2006 г.

На конец 2008 года

Отклонение 2007г. к 2006 г.

1. Денежные средства, тыс. руб.

14

15

+1

43

+28

2. Краткосрочные финансовые вложения, тыс. руб.

0

0

0

0

0

3. Дебиторская задолженность, тыс. руб.

8624

23646

+15022

7399

-16247

4. Запасы, тыс. руб.

1588

1373

-215

1548

+175

5. Краткосрочные обязательства, тыс. руб.

2292

19172

+16880

1775

-17397

6. Коэффициент абсолютной ликвидности (от 0,2 до 0,5)

0,0061

0,00078

-0,005

0,024

+0,023

7. Коэффициент промежуточной ликвидности (не менее 1)

3,77

1,23

-2,54

4,2

+2,97

8.Коэффициент текущей ликвидности (не менее 2)

4,47

1,3

-3,17

5,08

+3,78

9. Коэффициент ликвидности при мобилизации средств (от 0,5 до 0,7)

0,7

0,07

-0,63

0,87

+0,8


Итак, за весь исследуемый период ЗАО "Кологрив-М" неплатежеспособно на конкретную или отчетную дату. На конец 2006 г. и на конец 2008 г. ЗАО "Кологрив-М" платежеспособно на отдаленную перспективу с учетом погашения дебиторской задолженности. На конец 2007 года ЗАО неплатежеспособно.

3.3     Анализ финансовой устойчивости ЗАО "Кологрив-М"

Анализ финансовой устойчивости предполагает оценку абсолютных и относительных показателей.

Определим абсолютные показатели финансовой устойчивости -показатели обеспеченности запасов источниками их формирования. Выявление излишков или недостатков источников средств для формирования запасов позволяет определить тип финансовой ситуации. Результаты представлены в таблице 3.15. Из таблицы видно, что в 2006-2008 гг. в ЗАО "Кологрив-М" имело место абсолютное устойчивое финансовое состояние.

Для более полной характеристики финансовой устойчивости предприятия кроме абсолютных показателей рассчитан ряд относительных. Результаты и выводы представлены в таблице 3.16. Анализ относительных показателей показал, что на конец 2007 г. финансовая устойчивость в ЗАО "Кологрив-М" была ниже, чем в предыдущем и последующем периоде.

Итак, в данном разделе нами выполнен анализ финансовой устойчивости ЗАО "Кологрив-М". По результатам анализа абсолютных показателей финансовой устойчивости выявлено, что в 2006-2008 гг. наблюдалось абсолютное устойчивое финансовое состояние, анализ относительных показателей выявил снижение финансовой устойчивости ЗАО "Кологрив-М" на конец 2007 г.

Таблица 3.15 - Анализ обеспеченности запасов ЗАО "Кологрив-М" источниками их формирования, тыс. руб.

Показатель

На конец 2006 года

На конец 2007 года

Отклонение 2007г. к 2006 г.

На конец 2008 года

Отклонение 2007г. к 2006 г.

1. Собственный капитал

13210

14328

+1118

14588

+260

2. Внеоборотные активы

5248

7919

+2671

7344

-575

3. Наличие собственных оборотных средств

7962

6409

-1553

7244

+835

4. Наличие долгосрочных кредитов и займов

0

0

0

0

0

5. Наличие собственных оборотных средств и долгосрочных кредитов и займов

7962

6409

-1553

7244

+835

6. Наличие краткосрочных кредитов и займов

1300

2403

+1103

945

-1458

7. Наличие общего источника формирования запасов

9262

8812

-450

8189

-623

8. Запасы

1588

1386

-202

1548

+162

9. Излишек (+), недостаток (-) собственных оборотных средств для формирования запасов

+6374

+5023

-1351

+5696

+673

10. Излишек (+), недостаток (-) собственных оборотных средств и долгосрочных кредитов и займов для формирования запасов

+6374

+5023

-1351

+5696

+673

11. Излишек (+), недостаток (-) общего источника формирования запасов

+7674

+7426

-248

+6641

-785

12. Трехкомпонентный показатель типа финансовой ситуации

1;1;1

1;1;1


1;1;1



Таблица 3.16 - Относительные показатели финансовой устойчивости ЗАО "Кологрив-М"


3.4 Анализ финансовых результатов и деловой активности ЗАО "Кологрив-М"

Финансовые результаты деятельности предприятия характеризуются суммой полученной прибыли, уровнем рентабельности и показателей деловой активности. Анализ финансовых результатов и деловой активности начнем с анализа формирования прибыли и ее динамики. Показатели отчета о прибылях и убытках ЗАО "Кологрив-М"в динамике представлены в таблице 3.17.

Таблица 3.17 - Анализ формирования прибыли ЗАО "Кологрив-М", тыс. руб.

Показатель

На конец 2006 года

На конец 2007 года

Отклонение 2007г. к 2006 г.

На конец 2008 года

Отклонение 2008г. к 2007 г.

1.Выручка от продажи продукции

30652

24947

-5705

22925

-2022

2. Себестоимость проданной продукции

(25158)

-3879

(19841)

-1438

3. Валовая прибыль (убыток)

5494

3668

-1826

3084

-584

4. Управленческие расходы

(964)

(1054)

+90

(1283)

+229

5. Прибыль (убыток) от продаж

4530

2614

-1916

1801

-813

6. Проценты к уплате

(42)

(41)

-1

(265)

+224

7. Прочие доходы

27

1

-26

204

+203

8. Прочие расходы

(720)

(864)

+144

(1213)

+349

9. Прибыль (убыток) до налогообложения

3795

1710

-2085

527

-1183

10. Текущий налог на прибыль

(1005)

(591)

-414

(267)

-324

11. Чистая прибыль (убыток)

2790

1119

-1671

260

-859


Из таблицы 3.17 видно, что сумма чистой прибыли ЗАО "Кологрив-М" была максимальна на конец 2006 г., далее наблюдается выраженная тенденция по ее снижению. Факторный анализ прибыли от продаж позволяет выявить влияние каждого из факторов. Проведем данный анализ за исследуемые периоды.

год: Для проведения факторного анализа рассчитаем индекс выручки от продаж Iв по формуле (1):

в = 30652 : 29830 = 1,02756

Далее проводится анализ влияния каждого фактора на величину прибыли от продаж:

Влияние выручки от продаж на прибыль от продаж найдем, используя формулу (2):

∆Пв = 1941*(1,02756-1)= 53,5 тыс. руб.

За счет увеличения выручки от продаж прибыль от продаж увеличилась на 53,5 тыс. руб.

Влияние себестоимости на производство и реализацию продукции на прибыль от продаж (формула (3)):

∆Пс = 26555 х 1,02756 - 25158 = 2129 тыс. руб.

При уменьшении себестоимости прибыль от продаж увеличилась на 2129 тыс. руб.

Влияние управленческих расходов на прибыль от продаж

∆Пур = 1334 х 1,02756 - 964 = 407 тыс. руб.

За счет уменьшения управленческих расходов прибыль от продаж увеличилась на 407 тыс. руб.

год:

Индекс выручки от продаж Iв (формула (1)):

в = 24974 : 30652 = 0,81476

- Влияние выручки от продаж на прибыль от продаж (формула (2)):

∆Пв = 4530 х (0,81476 - 1) = - 839 тыс. руб.

За счет уменьшения выручки от продаж прибыль от продаж уменьшилась на 839 тыс. руб.

Влияние себестоимости на производство и реализацию продукции на прибыль от продаж (формула (3)):

∆Пс = 25158 х 0,81476 - 21279 = - 781 тыс. руб.

При изменении себестоимости прибыль от продаж уменьшилась на 781 тыс. руб.

Влияние управленческих расходов на прибыль от продаж:

∆Пур = 964 х 0,81476 - 1054 = - 269 тыс. руб.

За счет увеличения управленческих расходов прибыль от продаж уменьшилась на 269 тыс. руб.

год:

Индекс выручки от продаж Iв(формула (1)):

в = 22925 : 24947= 0,91895

- Влияние выручки от продаж на прибыль от продаж (формула (2)):

∆Пв = 2614 х (0,91895 - 1) = - 212 тыс. руб.

За счет уменьшения выручки от продаж прибыль от продаж уменьшилась на 212 тыс. руб.

Влияние себестоимости на производство и реализацию продукции на прибыль от продаж (формула (3)):

∆Пс = 21279 х 0,91895 - 19841 = - 287 тыс. руб.

При изменении себестоимости прибыль от продаж уменьшилась на 287 тыс. руб.

- Влияние управленческих расходов на прибыль от продаж

∆Пур = 1054 х 0,91895 - 1283= - 314,5 тыс. руб.

За счет увеличения управленческих расходов прибыль от продаж уменьшилась на 314,5 тыс. руб. Проведен анализ показателей рентабельности ЗАО "Кологрив-М". Результаты и выводы представлены в таблице 3.18.

Таблица 3.18 - Показатели рентабельности ЗАО "Кологрив-М", %

Показатель

На конец 2006  года

На  конец 2007 года

На конец 2008 года

Выводы

Рентабельность активов (имущества)

26,4

3,3

1,6

Эффективность деятельности предприятия на конец 2008г. снизилась в результате нерационального управления

Рентабельность текущих активов

27,2

4,4

2,9

Количество прибыли, которую получает предприятие с одного рубля, вложенного в оборотные активы, имеет выраженную тенденцию к снижению

Рентабельность собственного капитала

21,1

7,8

1,8

Эффективность использования собственного капитала имеет выраженную тенденцию к снижению

Рентабельность производства

41,1

17,8

3

Количество прибыли, которую получает предприятие с одного рубля, вложенного в производство, имеет выраженную тенденцию к снижению

Рентабельность продукции

14,8

10,5

7,85

Доходность с одного рубля затрат на производство и реализацию продукции уменьшилась в два раза

Рентабельность продаж

9,1

4,5

1,1

Прибыль, полученная предприятием с одного рубля продаж, имеет выраженную тенденцию к снижению


Проведем анализ деловой активности ЗАО "Кологрив-М". Определим динамику оборачиваемости (формула (7)), длительности оборота (формула (8)) и привлечение (+), высвобождение (-) средств (формула (9)) основных показателей оборачиваемости:

. Коэффициент оборачиваемости активов.

На начало 2006 г.: Коб.А = 29830 : 10580 = 2,82

На конец 2006 г.: Коб.А = 30652 : 15502 = 1,98

На конец 2007 г.: Коб.А =24947 : 33500 = 0,75

На конец 2008 г.: Коб.А =22925 : 16363 = 1,4

На конец 2007 г. скорость оборота активов предприятия была минимальна.

Длительность (период) оборота:

На начало 2006 г.: Доб.А = 365 : 2,82 = 129 дней

На конец конец 2006 г.: Доб.А = 365 : 1,98 = 184 дня

На конец конец 2007 г.: Доб.А = 365 : 0,75 = 487 дня

На конец конец 2008 г.: Доб.А = 366 : 1,4 = 261 день

На конец 2007 г. длительность оборота активов была максимальна.

Привлечение (+), высвобождение (-) средств:

На конец конец 2006 г.: (+), (-) средств = 30652 : 365 х (184 - 129) = + 4619 тыс. руб.

На конец конец 2007 г.: (+), (-) средств = 24947 : 365 х (487 - 184) = + 20709 тыс. руб.

На конец конец 2008 г.: (+), (-) средств = 22925 : 366 х (261 - 487) = - 14156 тыс. руб.

. Коэффициент оборачиваемости текущих активов.

На начало 2006 г.: Коб.ТА. = 29830 : 7167 = 4,16

На конец 2006 г.: Коб.ТА = 30652 : 10254 = 2,99

На конец 2007 г.: Коб.ТА =24947 : 25581 = 0,98

На конец 2008 г.: Коб.ТА = 22925 : 9019 = 2,54

На конец 2007 г. скорость оборота текущих активов предприятия была минимальна.

Длительность (период) оборота:

На начало 2006 г.: Доб.ТА = 365 : 4,16 = 86 дней

На конец конец 2006 г.: Доб.ТА = 365 : 2,99 = 122 дня

На конец конец 2007 г.: Доб.ТА = 365 : 0,98 = 372 дня

На конец конец 2008 г.: Доб.ТА = 366 : 2,54 = 144 дня

На конец 2007 г. длительность оборота, по сравнению с началом 2006г., увеличилась почти в четыре раза.

Привлечение (+), высвобождение (-) средств:

На конец конец 2006 г.: (+), (-) средств = 30652 : 365 х (122 - 86 ) = + 3024 тыс. руб.

На конец конец 2007 г.: (+), (-) средств = 24947 : 365 х (372 - 122) = + 17087,5 тыс. руб.

На конец конец 2008 г.: (+), (-) средств = 22925 : 366 х (144 - 372) = = - 14282 тыс. руб.

. Коэффициент оборачиваемости дебиторской задолженности.

На начало 2006 г.: Коб.ДЗ.. = 29830 : 4981 = 5,99

На конец 2006 г.: Коб.ДЗ.. = 30652 : 8624 = 3,55

На конец 2007 г.: Коб.ДЗ.. =24947 : 23646 = 1,06

На конец 2008 г.: Коб.ДЗ.. =22925 : 7399 = 3,1

На конец 2007 г. показатель заметно ухудшился, объем реализованной продукции превышает дебиторскую задолженность в 1,06 раза, а доля выручки, приходящейся на 1 рубль дебиторской задолженности составляет 1,06 руб.

Длительность (период) оборота:

На начало 2006 г.: Доб.ДЗ = 365 : 5,99 = 61 день

На конец конец 2006 г.: Доб.ДЗ = 365 : 3,55 = 103 дня

На конец конец 2007 г.: Доб.ДЗ = 365 : 1,06 = 344 дня

На конец конец 2008 г.: Доб.ДЗ = 366 : 3,1 = 118 дней

На конец 2007 г. длительность оборота дебиторской задолженности была максимальна.

Привлечение (+), высвобождение (-) средств:

На конец конец 2006 г.: (+), (-) средств = 30652 : 365 х (103 - 61) == + 3528 тыс. руб.

На конец конец 2007 г.: (+), (-) средств = 24947 : 365 х (344 - 103) == + 16472 тыс. руб.

На конец конец 2008 г.: (+), (-) средств = 22925 : 366 х (118 - 344) = = - 14157 тыс. руб.

. Коэффициент оборачиваемости денежных средств.

На начало 2006 г.: Коб.ДС. = 29830 : 9 = 3314

На конец 2006 г.: Коб.ДС. = 30652 : 14 = 2189

На конец 2007 г.: Коб.ДС =24947 : 15= 1663

На конец 2008 г.: Коб.ДС =22925 : 43 = 533

На конец периода скорость оборота денежных средств снизилась.

Длительность (период) оборота:

На начало 2006 г.: Доб.ДС = 365 : 3314 = 0,11 дня

На конец конец 2006 г.: Доб.ДС = 365 : 2189= 0,17 дня

На конец конец 2007 г.: Доб.ДС = 365 : 1663 = 0,2 дня

На конец конец 2008 г.: Доб.ДС = 366 : 533 = 0,67 дня

Длительность оборота денежных средств на конец 2008 г. максимальна.

Привлечение (+), высвобождение (-) средств:

На конец конец 2006 г.: (+), (-) средств = 30652 : 365 х (0,17 - 0,11) = + 5,04 тыс. руб.

На конец конец 2007 г.: (+), (-) средств = 24947 : 365 х (0,2 - 0,17) = + 2,05 тыс. руб.

На конец конец 2008 г.: (+), (-) средств = 22925 : 366 х (0,67 - 0,2) = + 29,5 тыс. руб.

. Коэффициент оборачиваемости кредиторской задолженности.

На начало 2006 г.: Коб.КЗ.. = 29830 : (39) = 764,87

На конец 2006 г.: КобКЗ.. = 30652 : 991 = 30,93

На конец 2007 г.: Коб.КЗ.. =24947 : 16768 = 1,49

На конец 2008 г.: Коб.КЗ.. =22925 : 828 = 27,69

На конец периода себестоимость реализованной продукции, приходящуюся на 1 рубль кредиторской задолженности составляет 1,3 рубля, что в 20 раз ниже по сравнению с предыдущим периодом. Данный коэффициент отражает снижение возможности предприятия по погашению кредиторской задолженности.

Длительность (период) оборота:

На начало 2006 г.: Доб.КЗ = 365 : 764,87 = 0,48 дня

На конец конец 2006 г.: ДобКЗ. = 365 : 30,93 = 12 дней

На конец конец 2007 г.: Доб.КЗ = 365 : 1,49 = 245 дней

На конец конец 2008 г.: Доб.КЗ = 366 : 27,69 = 13 дней

Длительность оборота кредиторской задолженности на конец 2007 г. максимальна.

Привлечение (+), высвобождение (-) средств:

На конец конец 2006 г.: (+), (-) средств = 30652 : 365 х (12 - 0,48) = + 967,68 тыс. руб.

На конец конец 2007 г.: (+), (-) средств = 24947 : 365 х (245 - 12) = + 15925,55 тыс. руб.

На конец конец 2008 г.: (+), (-) средств = 22925 : 366 х (13 - 245) = - 14532,5 тыс. руб.

. Коэффициент оборачиваемости собственного капитала.

На начало 2006 г.: КобСК. = 29830 : 10600 = 2,81

На конец 2006 г.: КобСК = 30652 : 13210 = 2,32

На конец 2007 г.: КобСК =24947 : 14328 = 1,74

На конец 2008 г.: КобСК. =22925 : 14588 = 1,57

Оборачиваемость собственного капитала имеет тенденцию к снижению, что говорит о неэффективности его использования.

Длительность (период) оборота:

На начало 2006 г.: Доб.СК = 365 : 2,81= 130 дней

На конец конец 2006 г.: Доб.СК = 365 : 2,32 = 157 дней

На конец конец 2007 г.: ДобСК. = 365 : 1,74 = 210 дней

На конец конец 2008 г.: Доб.СК = 366 : 1,57 = 233 дня

Длительность оборота собственного капитала увеличивается период от периода, что также говорит о его неэффективном использовании.

Привлечение (+), высвобождение (-) средств:

На конец конец 2006 г.: (+), (-) средств = 30652 : 365 х (157 - 130) = + 2267,4 тыс. руб.

На конец конец 2007 г.: (+), (-) средств =24947 : 365 х (210 - 157) = + 3622,5 тыс. руб.

На конец конец 2008 г.: (+), (-) средств = 22925 : 366 х (233 - 210) = + 1440,64 тыс. руб.

Полученные выше показатели оборачиваемости представлены в таблице 3.19. Из данной таблицы видно, что на конец 2007 г. все коэффициенты оборачиваемости (за исключением оборачиваемости денежных средств) резко снижаются, а длительность оборота и относительное привлечение средств в оборот растут, то есть речь идет о снижении в ЗАО "Кологрив-М" эффективности использования средств и капитала.

Таблица 3.19 - Динамика показателей оборачиваемости ЗАО "Кологрив-М"

Показатель оборачиваемости

Конец 2006 г.

Конец 2007 г.

Конец 2008 г.

Оборачиваемость активов

 Значение коэффициента

1,98

0,75

1,4


Длительность оборота, дни

184

487

261


Привлечение (+), высвобождение (-) средств, тыс. руб.

+4619

+20709

-14156

Оборачиваемость текущих активов

Значение коэффициента

2,99

0,98

2,54


Длительность оборота, дни

122

372

144


Привлечение (+), высвобождение (-) средств, тыс. руб.

+3024

+17087,5

-14282

Оборачиваемость дебиторской задолженности

Значение коэффициента

3,55

1,06

3,1


Длительность оборота, дни

103

344

118


Привлечение (+), высвобождение (-) средств, тыс. руб.

+3528

+16472

-14157

Оборачиваемость денежных средств

Значение коэффициента

2189

1663

533


Длительность оборота, дни

0,17

0,2

0,67


Привлечение (+), высвобождение (-) средств, тыс. руб.

+5,04

+2,05

+29,5

Оборачиваемость кредиторской задолженности

Значение коэффициента

30,93

1,49

27,69


Длительность оборота, дни

12

245

13


Привлечение (+), высвобождение (-) средств, тыс. руб.

+967,68

+15925,5

-14532,5

Оборачиваемость собственного капитала

Значение коэффициента

2,32

1,74

1,57


Длительность оборота, дни

157

210

233


Привлечение (+), высвобождение (-) средств, тыс. руб.

+2267,4

+3622,5

+1440,64


Таким образом с начала 2006 г. происходит замедление оборачиваемости оборотных средств, что увеличивает потребность в них и не позволяет предприятию высвобождать часть средств из оборота для нужд хозяйства либо для дополнительного выпуска продукции, ухудшает финансовое состояние предприятия и снижает платежеспособность.

3.5 Анализ вероятности банкротства ЗАО "Кологрив-М"

Определение вероятности банкротства имеет большое значение для оценки состояния предприятия, так как дает возможность своевременно нормализовать финансовую ситуацию и принять меры для восстановления платежеспособности.

Проведем анализ вероятности банкротства нашего предприятия за исследуемый период, используя Методические положения по оценке финансового состояния предприятий и установлению неудовлетворительной структуры баланса, утвержденные распоряжением Федерального управления по делам о несостоятельности (банкротстве) от 12 августа 1994 г. N 31-р.

Оценку удовлетворительности структуры баланса исследуемого предприятия представим в таблице 3.20.

Таблица 3.20 - Оценка удовлетворительности структуры баланса предприятия ЗАО "Кологрив-М"

Показатель

Норма коэффициента

На конец 2006 года

На конец 2007 года

На конец 2008 года

Коэффициент текущей ликвидности (К1)

Не менее 2

4,47

1,3

5,08

Коэффициент обеспеченности собственными средствами (К2)

Не менее 0,1

0,78

0,25

0,8

Коэффициент восстановления платежеспособности (К3)

Не менее 1

85,3

-0,2

3,48


По результатам расчетов приняты следующие решения:

- о признании структуры баланса ЗАО "Кологрив-М" на конец 2007г. неудовлетворительной (К1 = 1,3<2), а ЗАО "Кологрив-М" - не способным восстановить свою платежеспособность в ближайшие 6 месяцев (К3 = - 0,14<1): ЗАО "Кологрив-М" - потенциальный банкрот;

о признании структуры баланса ЗАО "Кологрив-М" на конец 2006 г. и на конец 2008 г. удовлетворительной, а ЗАО "Кологрив-М" - платежеспособным.

Оценим вероятность банкротства ЗАО "Кологрив-М" с помощью модели М.А. Федотовой, которая опирается на коэффициент текущей ликвидности (Х1) и долю заемных средств в валюте баланса (Х2). Значения показателей и общего коэффициента рассчитаны, используя формулу (13), и представлены в таблице 3.21.

Таблица 3.21 - Результаты оценки вероятности банкротства ЗАО "Кологрив-М" с помощью модели М.А. Федотовой

Показатель

На конец 2006 года

На конец 2007 года

На конец 2008 года

X1

4,47

1,3

5,08

0,15

0,57

0,1

Z

- 5,19

- 1,81

- 5,84

Так как общий коэффициент отрицательный за все исследуемые периоды, вероятно, ЗАО "Кологрив-М" останется платежеспособным.

Далее исследуем ЗАО "Кологрив-М" с помощью метода рейтинговой оценки Р.С. Сайфулина и Г.Г. Кадыкова. Значения показателей и рейтинговое число, рассчитанное по формуле (14), представлены в таблице 3.22.

Таблица 3.22 - Результаты оценки вероятности банкротства ЗАО "Кологрив-М" с помощью метода рейтинговой оценки

ПоказательНа конец 2006 годаНа конец 2007 годаНа конец 2008 года




К1

0,78

0,25

0,8

К2

4,47

1,3

5,08

К3

2,99

0,98

2,54

К4

0,091

0,045

0,011

К5

0,211

0,07

0,3

К

2,5

0,8

2,6


По данным таблицы 3.22 сделаны выводы: на конец 2007 г. финансовое состояние ЗАО "Кологрив-М" характеризовалось как неудовлетворительное, так как рейтинговое число менее 1; на конец 2006 г. и на конец 2008 г. финансовое состояние характеризовалось как удовлетворительное, так как рейтинговое число более 1.

Проведем анализ вероятности банкротства нашего предприятия, используя факторную модель Z-счета Э. Альтмана.

Показатели Х12, Х3, Х4, Х5 и значение Z, рассчитанное по формуле (15), для данного предприятия представлены в таблице 3.23.

Таблица 3.23 - Результаты оценки вероятности банкротства ЗАО "Кологрив-М" с помощью модели Э.Альтмана

ПоказательНа конец 2006 годаНа конец 2007 годаНа конец 2008 года




X1

0,661

0,764

0,551

X2

0,708

0,361

0,755

X3

0,291

0,078

0,11

X4

0,852

0,428

0,89

X5

1,98

0,745

1,4

Z

4,3

1,99

3,143


Так как полученные значения Z за все исследуемые периоды более 1,23, то можно сделать вывод о низкой вероятности банкротства ЗАО "Кологрив-М".

В данном разделе нами выполнен анализ вероятности банкротства ЗАО "Кологрив-М" с использованием различных методик. В рамках анализа сделан вывод о низкой вероятности банкротства ЗАО "Кологрив-М".

Таким образом, в данной главе нами выполнен анализ финансового состояния ЗАО "Кологрив-М": проведен анализ бухгалтерского баланса, анализ ликвидности и платежеспособности, анализ финансовой устойчивости, анализ финансовых результатов и деловой активности, анализ вероятности банкротства. На основании полученных результатов сделан вывод о признании финансового состояния ЗАО "Кологрив-М" удовлетворительным.

Заключение

Анализ финансового состояния предприятия является важной составляющей эффективного управления финансами. Он позволяет не только "посмертно" оценить ликвидность, финансовую устойчивость, рентабельность и деловую активность, но и выявить основные проблемы и предложить пути их решения.

Профессиональное управление финансами неизбежно требует глубокого анализа, позволяющего более точно оценить неопределенность ситуации с помощью современных количественных методов исследования. В связи с этим существенно возрастает приоритетность и роль финансового анализа, то есть комплексного системного изучения финансового состояния предприятия и факторов его формирования с целью оценки степени финансовых рисков и прогнозирования уровня доходности капитала.

Это подтверждает актуальность темы дипломного исследования.

Предметом исследования в дипломной работе стало изучение проблемы анализа финансового состояния организации.

Объектом исследования выступило Закрытое акционерное общество "Кологрив-М".

Целью дипломной работы явилось выполнение анализа финансового состояния ЗАО "Кологрив-М"

Для достижения поставленной цели в работе поставлены и решены следующие задачи:

6)      рассмотрены теоретические и методические подходы к оценке финансового состояния предприятия;

7)      разработана интегрированная методика анализа финансового состояния организации;

)        дана характеристика и выполнен анализ хозяйственной деятельности ЗАО "Кологрив-М";

)        проведен анализ финансового состояния ЗАО "Кологрив-М";

)        сделаны выводы по проделанной работе.

В теоретической части дипломной работы определена сущность анализа финансового состояния организации, определены задачи, функции и виды анализа, источники информации.

Установлено, что финансовое состояние может быть устойчивым, неустойчивым (предкризисным) и кризисным. Способность предприятия успешно функционировать и развиваться, сохранять равновесие своих активов и пассивов в изменяющейся внутренней и внешней среде; постоянно поддерживать свою платежеспособность и инвестиционную привлекательность в границах допустимого уровня риска свидетельствует о его устойчивом финансовом состоянии, и наоборот. Финансовое состояние предприятия, его устойчивость и стабильность зависят от результатов производственной, коммерческой и финансовой деятельности.

В работе выполнена сравнительная характеристика методик анализа финансового состояния организации нескольких авторов. Разработана интегрированная методика анализа финансового состояния, которая позволяет всесторонне исследовать финансовое состояние ЗАО "Кологрив-М" и включает в себя следующие этапы: анализ бухгалтерского баланса, анализ ликвидности и платежеспособности, анализ финансовой устойчивости, анализ финансовых результатов и деловой активности, анализ вероятности банкротства.

Во второй главе дана общая характеристика деятельности ЗАО "Кологрив-М", определен вид деятельности организации, показан перечень вырабатываемой продукции и технологический процесс ее изготовления, представлена организационно-управленческая структура организации, приведена методология ведения бухгалтерского и налогового учета и особенности учетной политики. На основании годовой бухгалтерской отчетности за 2006-2008 гг. проведен анализ хозяйственной деятельности ЗАО "Кологрив-М". В процессе анализа хозяйственной деятельности установлено, что техническое состояние основных средств ЗАО "Кологрив-М" нормальное, но используются они не эффективно. Темпы роста заработной платы превышают темпы роста производительности труда, поэтому сделан вывод о неэффективности затрат на оплату труда. Показатели эффективности использования материальных ресурсов имеют тенденцию к снижению. Производство продукции является рентабельным, но рентабельность имеет тенденцию к снижению.

В третьей главе выполнен анализ финансового состояния и финансовых показателей ЗАО "Кологрив-М".

В ходе анализа бухгалтерского баланса установлено, что в 2006-2008 гг. состояние бухгалтерского баланса по составу и структуре активов и пассивов ЗАО "Кологрив-М" было удовлетворительным.

Анализ ликвидности и платежеспособности ЗАО "Кологрив-М" показал, что за весь исследуемый период ЗАО неплатежеспособно на конкретную или отчетную дату. На конец 2006 г. и на конец 2008 г. ЗАО "Кологрив-М" платежеспособно на отдаленную перспективу с учетом погашения дебиторской задолженности. На конец 2007 года ЗАО неплатежеспособно.

Проведен анализ финансовой устойчивости ЗАО "Кологрив-М". По результатам анализа абсолютных показателей финансовой устойчивости выявлено, что в 2006-2008 гг. наблюдалось абсолютное устойчивое финансовое состояние, анализ относительных показателей выявил снижение финансовой устойчивости ЗАО "Кологрив-М" на конец 2007 г.

В рамках анализа финансовых результатов и деловой активности выявлена тенденция снижения суммы чистой прибыли за счет снижения объема выпуска и выручки от продаж, увеличения управленческих и прочих расходов. Показатели рентабельности активов, собственного капитала, производства, продукции продаж имеют выраженную тенденцию к снижению. Установлено, что с начала 2006 г. происходит замедление оборачиваемости оборотных средств, что увеличивает потребность в них и не позволяет предприятию высвобождать часть средств из оборота для нужд хозяйства либо для дополнительного выпуска продукции, ухудшает финансовое состояние и снижает платежеспособность.

По данным анализа вероятности банкротства сделан вывод о низкой вероятности банкротства ЗАО "Кологрив-М".

В рамках анализа финансового состояния установлены негативные факторы в финансовом положении ЗАО "Кологрив-М". Одним из таких факторов является нерациональное управление оборотными средствами, о чем свидетельствует большая дебиторская задолженность. ЗАО "Кологрив-М" необходимо принять меры по своевременному востребованию задолженности дебиторов. К организационным мерам оптимизации дебиторской задолженности можно отнести контроль условий взаиморасчетов предприятия с покупателями и поставщиками. Отрицательным фактором также является тенденция к снижению показателей рентабельности, что свидетельствует о недостаточной отдаче на вложенный в предприятие капитал, и снижение объема получаемой прибыли. Для максимизации прибыли ЗАО "Кологрив-М" необходимо увеличить объем производства и реализации продукции, разработать меры по сокращению затрат и продвижению своей продукции на рынке путем поиска новых покупателей, рекламы, участия в выставках.

Список использованной литературы

1.       Анализ финансово-экономической деятельности предприятия: Учебно-практическое пособие / Абрютина М.С., Грачева А.В. - 2-е изд., испр. - М.: Изд-во "Дело и сервис", 2000. - 256 с.

2.       Финансовое состояние предприятия. Методы оценки / Крейнина М.Н.. - М.: ИКЦ "ДИС", 1997. - 224 с.

3.       Комплексный экономический анализ хозяйственной деятельности: Учеб. / Л.Т.Гиляровская (и др.) - М.: "ТК Велби", Изд-во Проспект, 2006. - 360 с.

.         Анализ финансово-хозяйственной деятельности организации / Ионова А.Ф., Селезнева Н.Н. - М.: Изд-во "Бухгалтерский учет", 2005. - 312 с.

5.       Борисов Л. Анализ финансового состояния предприятия // Выпуск АКДИ БП, №5, февраль 2001г.

6.       Анализ хозяйственной деятельности предприятия: Учебник. - 4-е изд., перераб. и доп. / Г. В. Савицкая - М.: ИНФРА-М, 2008. - 512 с. - (Высшее образование)

7.       Финансовый анализ: Учебное пособие / Ефимова О.В., Мельник М.В. - М: Омега-Л., 2004. - 408 с.

.        Анализ и динамика финансово-хозяйственной деятельности предприятия: Учебник / Под ред. проф. В. Я. Позднякова. - М.: ИНФРА-М, 2008. - 617 с.

9.       Анализ и диагностика финансово-хозяйственной деятельности предприятия: Учебник / Титов В.И.. - М.: Издательско-торговая корпорация "Дашков и Ко", 2005. - 352 с.

.         Анализ финансово-хозяйственной деятельности организации / В.И. Макарьева, Л.В. Андреева. - М.: Финансы и статистика, 2005. - 264 с.

.         Юрзинова И.Л. Новые подходы к диагностике финансового состояния хозяйствующих субъектов // Экономический анализ: теория и практика. - 2005. - N 14. - С. 58-64.

.         Авдеев В.В. Оценка финансового состояния торговой организации // "Финансовые и бухгалтерские консультации", №8, август 2008г.

.         Комплексный экономический анализ хозяйственной деятельности. Учеб. пособие / Н.П. Любушин. - М.: ЮНИТИ-ДАНА, 2005. - 448 с.

14.     Анализ финансово-экономической деятельности предприятия: Учеб. Пособие для вузов / Под ред. проф. Н.П. Любушина. - М.: ЮНИТИ-ДАНА, 2004. - 471 с.

15.     Анализ хозяйственной деятельности предприятия / В.В. Ковалев, О.Н. Волкова. - М.: ООО "ТК Велби", 2002. - 424 с.

16.     Финансовый анализ: методы и процедуры / Ковалев В.В. - М.: Финансы и статистика, 2001. - 560 с.

17.     Анализ и диагностика финансово-хозяйственной деятельности предприятия: Учебное пособие / Бердникова Т.Б. - М.: ИНФРА-М, 2007. - 215 с. - (Высшее образование)

18.     Финансовый анализ: Учебное пособие / Маркарьян Э.А., Герасименко Г.П., Маркарьян С.Э. - М.: ИД ФБК-ПРЕСС, 2003. - 224 с.

.        Финансовый анализ: Учебное пособие / Бочаров В.В. - СПб.: Питер, 2002. - 376 с.

.        Теория анализа хозяйственной деятельности: Учебник / Шеремет А.Д., Баканов М.И.. - 2-е изд., перераб. и доп. - М.: Финансы и статистика, 1987. - 287 с.

.        Теория экономического анализа: Учебник / Шеремет А.Д. - М.: ИНФРА-М, 2005. - 366 с.

.        Бочкова Л.С. Баланс: доскональный анализ важных показателей // "Главбух", №1, январь 2006г.

23.     Е.И. Седова. Анализ бухгалтерской (финансовой) отчетности. Оценка структуры имущества предприятия и источников его формирования // "Консультант бухгалтера", N 11, ноябрь 2006 г.

24.     Орлова Е.В. Определяем ликвидность баланса // "Финансовый вестник: финансы, налоги, страхование, бухгалтерский учет", №7, июль 2008г.

25.     Киперман Г. Оценка финансовой устойчивости коммерческой организации // "Финансовая газета. Региональный выпуск", №7, февраль 2008г.

26.     Пономарева Е.А. Как грамотно оценить финансовое состояние предприятия? // "Актуальные вопросы бухгалтерского учета и налогообложения", №16, август 2008г.

27.     Методические положения <#"553251.files/image021.gif">

Приложение Б

Методика анализа финансового состояния Ковалева В.В. и

Волковой О.Н.


Приложение В

Методика финансового состояния Т.Б. Бердниковой


Приложение Г

Методика финансового состояния Э.А. Маркарьяна, Г.П. Герасименко, С.Э. Маркарьяна



Приложение Д

Методика финансового состояния В.В. Бочарова


Приложение Е

Методика анализа финансового состояния Шеремета А.Д.




Приложение Ж

Сравнительная характеристика методик анализа финансового состояния организации

Похожие работы на - Анализ финансового состояния ЗАО 'Кологрив-М'

 

Не нашли материал для своей работы?
Поможем написать уникальную работу
Без плагиата!
Без нейросетей!