Система автоматического управления движением суппорта
Содержание
Введение
1. Неизменяемая часть
системы регулирования.
2. Расчет токового
контура системы
2.1. Расчет параметра
регулятора тока
. Расчет скоростного
контура
.1 Реализация
пропорционального регулятора скорости
. Расчет контура
положения следящей системы
4.1 Настройка на
оптимальный переходный процесс
.2
Пропорционально-интегральный регулятор (ПИ-регулятор)
4.3 Контроллеры ОВЕН
Введение
Rя =0.7 Ом
Lя=5.73 мГн
Tм=15.3 мс
Kд=6.6
Kтп=15.6
Tтп=0.7
Kр=10
KI=0.67
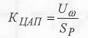
Kw=0.05
Kх=200
Kцап=0.2*10-3
KNS=1
VMAX=12
VMAX=15
σMAX=4.3 %
∆XMAX=0.01
tp=15*Ттп
1. Неизменяемая часть
системы регулирования
Передаточная
функция тиристорного преобразователя [3]:
Ттп- постоянная времени ТП;
Ктп - коэффициент передачи ТП
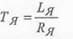
Двигатель
постоянного тока. Передаточная функция [3]:
-
постоянная времени якорной цепи;
-
индуктивность якоря;
-
сопротивление якоря;
Тм- механическая
постоянная времени с учётом приведения момента инерции к валу двигателя;
-
коэффициент передачи двигателя.
В области высоких частот (что именно
характерно для динамического режима) справедливо равенство:
С учетом этого передаточную функцию
двигателя можно представить в виде последовательного соединения двух звеньев
отражающих динамику электрической и механической частей двигателя 3 .
Редуктор (шариковой паре
"винт-гайка") преобразует угловую скорость в линейное перемещение
суппорта X.
Ему можно приписывать интегрирующие
свойства:
Тогда передаточная функция
редуктора:
где Кр - коэффициент
передачи:
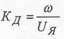
Ki - коэффициент передачи датчика тока, включенного в цепь обратной
связи по току:
-
коэффициент передачи датчика скорости, включенного в цепь обратной связи по
скорости (тахогенератора) :
-
коэффициент передачи датчика положения, включенного в цепь обратной связи по
положению (фотооптическое число импульсного датчика):
- коэффициент передачи преобразователя числа импульсов в двоичный
код:
-коэффициент передачи цифро-аналогового
преобразователя:
Изменяемая
часть системы
В изменяемую часть системы входят
регуляторы тока WpT(p) скорости Wpc(p) и положения Wpn(p). Требуется осуществить синтез регуляторов, чтобы обеспечить
следящей системе точность слежения не хуже.
при максимальной скорости
, и максимальном ускорении
, время регулирования не более tp<tpшах*
, а перерегулирование
Проведем синтез системы
последовательно, начиная с контура тока, скорости и положения.
2. Расчёт токового контура системы
Структурная схема токового контура
представляет собой внутренний контур следящей системы (рис.1), и с учетом
соотношений (3),(7),(8), приведена на рис.3.
Рис.3 Схема токового контура
Неизменная часть токового контура
(объекта) имеет передаточную функцию:
причем наибольшая постоянная
времени:
Для повышения быстродействия
внутреннего токового контура нужно скомпенсировать наибольшую постоянную времени
этого контура Тя. Для компенсации Тя используем в
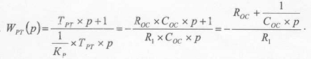
качестве регулятора тока WPT(p) ПИ регулятор с передаточной функцией:
где Крт- коэффициент
передачи регулятора тока.
Трт - постоянная времени регулятора
тока.
Запишем передаточную функцию цепи
прямого усиления с учетом (14):
Для
компенсации постоянной времени Тя настройку регулятора тока
осуществляем так, чтобы:
тогда
выражение (15) будет иметь вид:
Представим характеристическое
уравнение системы (16) в виде:
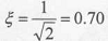
где
- степень затухания колебательного звена. Тогда:
Запишем передаточную функцию
замкнутой системы токового контура:
(18)
(19)
Из последнего соответствия степень
затухания:
(20)
Как видно из (20), изменение
коэффициента передачи регулятора тока Крт изменяет характер переходного
процесса в контуре тока. В системах подчиненного регулирования обычно выбирают
. При этом переходный процесс имеет небольшое перерегулирование
, а время регулирования получается наименьшим, т.е. значение
следует считать оптимальным [4]. Таким образом из соотношения (20) можно
определить коэффициент передачи регулятора тока:
(21)
Настройке на технический оптимум
соответствуют выражения:
Подставляя выражение (22) в (16),
получим передаточную функцию оптимизированного токового контура:
Учитывая, что
для малых постоянных времени, с достаточной степенью точности
можно записать приближенное равенство:
(23.2)
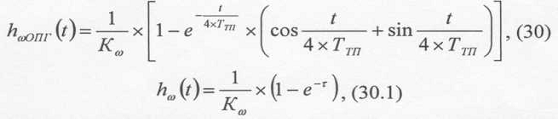
Время регулирования-5.35 мс.
Перерегулирование отсутствует
Переходная функция, соответствующая
передаточной функции (23), имеет вид [2]:
где
-вещественная и мнимая части комплексно-сопряженных корней
характеристического уравнения системы (23).
Переходная функция системы (23.1)
запишется:
Отличие переходных характеристик
систем (24) и (24.1) несущественно. В соответствии с (24.1) построим переходную
функцию
2.1 Расчет параметров регулятора тока
ПИ - регулятор в контуре тока может
быть реализован на базе операционного усилителя (например, типа 140УД7)
(рис.4).
Рис. 4
Конфигурация Z\ и Zoc выбирается таким
образом чтобы получить передаточную функцию ПИ-регулятора с заданными
параметрами:
Преобразуем последнее выражение,
положив
цепь ОС операционного усилителя.
Параметры регулятора R.i, Roc, С0с выбираются из условия настройки контура тока на
оптимум. Эти условия с учетом (22) запишутся:
Принимая во внимание числовые
значения параметров реальной системы: Тя = 1мс, Rя = 0.5 Ом (для двигателя ДПУ
240-1100-3),
и
задавшись значением Roc = 10 кОм, получим Соc, ,
.
(25.1)
(25.2)
(25.3)
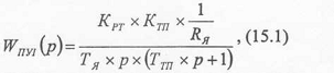
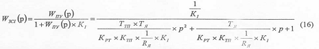
3. Расчёт скоростного контура
С учетом оптимизации токового
контура структурная схема скоростного контура будет иметь вид, как показано на
рис.5.
Рис.5 Схема скоростного контура
Подберем передаточную функцию
регулятора скорости W(p) таким образом, чтобы скомпенсировать наибольшую постоянную
времени контура Тм и чтобы обеспечить настройку скоростного контура
на технический оптимум, т.е. чтобы вырожденное характеристическое уравнение
системы имело вид:
Передаточная функция цепи прямого
усиления скоростного контура запишется:
Компенсацию Тм и
приведение характеристического уравнения замкнутой системы к виду (26)
обеспечивает пропорциональный П-регулятор с коэффициентом передачи:
Передаточная функция замкнутого
оптимизированного скоростного контура с учетом (28) равна:
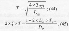
Время регулирования-6.27 мс.
Перерегулирование-10%
В соответствии с выражением (24):
Построим график переходного процесса
оптимизированного скоростного контура.
3.1 Реализация пропорционального регулятора скорости
П-регулятор скорости может быть
реализован с помощью масштабирующего операционного усилителя с коэффициентом
передачи, равным:
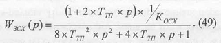
4. Расчёт контура положения следящей системы
Структурная схема следящей системы
(рис.6) с учетом передаточной функции оптимизированного скоростного контура,
может быть представлена следующим образом (рис.7), где
Рис. 6 Структурная схема следящей
системы
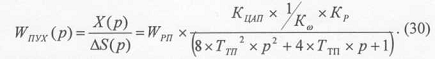
Передаточная функция цепи прямого
усиления следящей системы имеет вид:
В качестве регулятора положения
используется ПД-регулятор.
Передаточная функция ПД-регулятора
имеет вид [I] :
Запишем передаточную функцию
замкнутой системы с ПД-регулятором по задающему воздействию:
где: - добротность системы по скорости
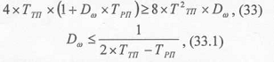
В соответствии с критерием
устойчивости Гурвица получим:
Откуда:
Если подобрать постоянную времени
ПД-регулятора равной:
то получим условие устойчивости для
достаточно больших значений:
Перейдем к уравнению в статике,
положив р=0:
Последнее выражение показывает связь
между погрешностью позиционирования ∆ХП и коэффициентом
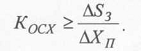
передачи датчика обратной связи по положению. Так, для обеспечения погрешности
позиционирования не более ∆Хп требуется датчик обратной связи,
коэффициент передачи (чувствительность) которого не менее:
Такое значение коэффициента передачи
цепи обратной связи можно обеспечить, используя, например, фотооптический
датчик. Исследуем связь коэффициента передачи ПД-регулятора с ошибкой слежения
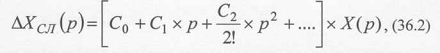
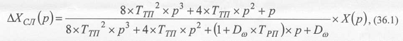
АХСл следящей системы.
Запишем соотношение для изображения
ошибки в замкнутой системе с ПД-регулятором:
Это же выражение, приведенное к
выводу системы, можно представить так:
или, разлагая в ряд по степеням р,
получим:
Где Со,
, С 2,коэффициенты
ошибок, которые определяются путем деления полинома числителя на полином
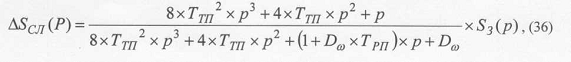
знаменателя в выражении (36.1):
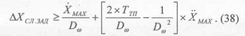
Запишем выражение для оценки ошибки
слежения:
Последнее неравенство представим в
следующем виде:
Разрешая последнее неравенство
определим область значений Do,, обеспечивающих заданную точность системы:
Для приведенных выше числовых
значений определим:
.
Таким образом выбор добротности по
скорости порядка
, дает при заданных скорости и ускорении ошибку слежения не более ∆Х.
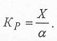
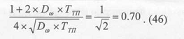
4.1 Настройка на оптимальный переходный процесс
Перейдем к построению оптимального
переходного процесса в следящей системе. Запишем характеристическое уравнение
замкнутой системы:
Принимая во внимая соотношение
, можно принебречь влиянием члена
в характеристическом уравнении(42)
Тогда имеем:
где:
Настройка на технический оптимум
имеет место при
, т.е.
при выполнении соотношения:
Преобразуя последнее выражение,
получим:

Рассчитаем переходный процесс в
оптимизированной следящей системе.
Запишем передаточную функцию
замкнутой системы с учетом условий настройки на оптимум:
Время регулирования-4.3 мс.
Перерегулирование-12%
Переходная функция определится как
обратное преобразование Лапласа [2]:
Оценить по графику переходной
функции перерегулирование системы о, и время регулирования tP. Частотными
методами оценить запас устойчивости системы по амплитуде и фазе.
4.2 Пропорционально-интегральный
регулятор (ПИ-регулятор)
ПИ-регулятор - это
параллельно соединенные П - и И- <#"552869.files/image113.gif">
1
- коэффициент усиления пропорциональной части,0 - коэффициент
усиления интегральной части
Передаточная функция
ПИ-регулятора: Wр(S)=K1+K0/S
Переходная
характеристика: h(t)=K1+K0*t, t0
Так как ПИ-регулятор
можно рассматривать как два регулятора (П-
<#"552869.files/image114.gif">
В системе регулирования
с ПИ-регулятором так же, как и в системе с И-регулятором
<http://kip-help.narod.ru/tau/ireg.htm>, отсутствует статическая ошибка,
но динамические характеристики лучше.
4.3
Контроллеры ОВЕН (ПЛК ОВЕН)
Компания ОВЕН уже более 15 лет производит
широкий ряд приборов первичной автоматики - это различные регуляторы,
индикаторы, измерители и другие приборы КИПиА. Чувствуя потребность рынка в
недорогих контроллерах малого и среднего класса компания ОВЕН в 2005 году
начала разработку свободно программируемых контроллеров. И с 2007 года начались
продажи первых программируемых контроллеров ОВЕН.
На сегодняшний день компания ОВЕН производит
широкую линейку малых и средних свободно программируемых контроллеров, а также
контроллеров с жесткой логикой для целевых задач управления такими процессами
как водо- и теплоснабжение, вентиляция и кондиционирование зданий.
Средства программирования ПЛК ОВЕН. Для
программирования своих контроллеров компания ОВЕН предлагает систему CoDeSys,
разработанной немецкой компанией 3S-Software. пропорциональный регулятор система токовый-
вертикально интегрированный и объектно-ориентированный программный комплексе
для разработки систем управления, диспетчеризации и учета. Компании ОВЕН и
ИнСАТ являются партнерами и предлагают на рынке совместное
программно-аппаратное решение - ПЛК ОВЕН, программируемые средствами
MasterSCADA. Число работающих в среде MasterSCADA проектов на сегодняшний день
составляет многие тысячи
ПЛК 63 ОВЕН (ПЛК63)
<http://www.insat.ru/products/?category=1095>
ОВЕН ПЛК63 - это программируемый контроллер для
простых задач автоматизации. Основные области применения - ЖКХ, ЦТП, ИТП,
котельные, небольшие станки. Представляет собой удобную базу для создания
законченных приборов.
Контроллер ОВЕН ПЛК63 имеет 8 универсальных
аналоговых входов, 8 дискретных входов и 6 выходов. Выходы могут быть одного из
трех типов: реле, аналоговый выход 4-20 мА или 0-10В. Для расширения числа
выходов может использоваться модуль МР1.
Для программирования ПЛК63
используется CoDeSys.
ПЛК 73 ОВЕН (ПЛК73)
<http://www.insat.ru/products/?category=1164>
ОВЕН ПЛК73 - полноценный программируемый
контроллер, позволяющий автоматизировать небольшие объекты типа ЦТП, ИТП,
котельные, небольшие станки. Контроллер ПЛК73 хорошо применять для создания ОЕМ
решений.
ПЛК73 имеет до 2 дополнительных последовательных
интерфейсов, 8 универсальных аналоговых входов, 8 дискретных входов и 8
выходов, 4 из которых могут быть аналоговыми. Выходы могут быть одного из
четырех типов: релейный выход, транзисторный дискретный выход, аналоговый выход
4-20 мА или 0-10В. Для расширения числа выходов может использоваться модуль МР1
или другие модули ввода вывода, подключаемые по RS-485.
Для программирования ПЛК73 используется CoDeSys.
ПЛК 100 ОВЕН (ПЛК100)
ОВЕН ПЛК100 предназначен для систем управления
малыми и средними объектами, а так же для создания систем диспетчеризации
различных объектов в области промышленности и ЖКХ.
Контроллер имеет 8 дискретных входов и 6
релейных выходов или 12 транзисторных выходов, оснащен интерфейсами Ethernet,
RS-232, RS-485, USB; Имеет два исполнения по питанию 220 VAC и 24 VDC.
Программируется с помощью
интегрированной SCADA и SoftLOGI Системы MasterSCADA
<http://www.insat.ru/products/?category=395> или пакетом CoDeSys.
ПЛК 150 ОВЕН (ПЛК150)
<http://www.insat.ru/products/?category=1107>
ОВЕН ПЛК150 используется для малых и
средних систем управления и диспетчеризации различных объектов в области
промышленности и ЖКХ.
ПЛК150 оснащен 6 дискретными 4
универсальными аналоговыми входами, 4 релейными выходами и 2 аналоговыми
выходами. Имеет интерфейсы Ethernet, RS-232, RS-485. Выпускается в одном
исполнении по питанию 220 VAC.
Программируется с помощью системы
CoDeSys.
ПЛК304 ОВЕН (ПЛК 304)
<http://www.insat.ru/products/?category=1098>
Контроллеры ОВЕН ПЛК304 имеют
открытую архитектуру на основе ОС Linux. Это позволяет легко встраивать их в
вертикально интегрированные среды разработки. ПЛК304 имеет быстродействующий
процессор и большой объем оперативной(SDRAM) и энергонезависимой(Flash) память.
Наличие портов USB-host позволяет подключать к контроллеру внешние накопители и
аппаратуру для организации связи с внешним оборудованием.
ОВЕН ПЛК304 могут использоваться как
программируемые логические контроллеры или как коммуникационные контроллеры.
ПЛК308 ОВЕН (ПЛК 308)
<http://www.insat.ru/products/?category=1181>
Контроллеры ОВЕН ПЛК308 имеют
открытую архитектуру на основе ОС Linux. Это позволяет легко встраивать их в
вертикально интегрированные среды разработки. ПЛК304 имеет быстродействующий
процессор и большой объем оперативной(SDRAM) и энергонезависимой(Flash) память.
Наличие портов USB-host позволяет подключать к контроллеру внешние накопители и
аппаратуру для организации связи с внешним оборудованием.
ОВЕН ПЛК308 могут использоваться как
программируемые логические контроллеры или как коммуникационные контроллеры.
Контроллеры для отопления,
кондиционирования, вентиляции и ГВС
<http://www.insat.ru/products/?category=1154>
Для решения задач управления системами
отопления, кондиционирования, вентиляции и водоснабжения компания ОВЕН
предлагает следующие изделия:
· ОВЕН ТРМ32 - контроллер для систем
отопления;
· ОВЕН ТРМ33 - контроллер для систем
отопления с приточной вентиляцией;
· ОВЕН ТРМ132М - контроллер для систем
отопления и горячего водоснабжения,
· ОВЕН ТРМ133 - контроллер приточной
вентиляции;
ОВЕН ТРМ133М - контроллер для систем вентиляции
и кондиционирования.