Разработка системы управления предприятием
Министерство
образования и науки РФ
ФГБО
ВПО Сибирский государственный индустриальный университет
кафедра
систем информатики и управления
Курсовая
работа
Выполнил ст. гр.
ИП-09 Пятаев А.М.
Проверил: к.т.н,
доцент Огнев С.П.
Новокузнецк
2012
Содержание
Задание
Постановка
задачи анализа и синтеза СУ
.
Анализ объекта управления
.1.
Построение математической модели ОУ
.2.
Статические и динамические хар-ки ОУ
.3.
Анализ частотных хар-к
.
Синтез системы управления
.1.
Определение критерия управления, ограничений, внешних факторов, выбор типового
закона управления, расчет настроечных параметров
.2.
Построение структурной схемы системы управления
.
Анализ системы управления
.1.
Анализ устойчивости
.2.
Анализ качества управления в типовой системе
.3.
Анализ чувствительности СУ к изменениям параметров модели объекта исследования
.
Программный модуль
4.1.
Листинг
Задание
Доход от импорта продукции для предприятия
колеблется от 3,5 (летний и зимний период) до 7,8 (весенний и осенний период)
млн. руб. в месяц.
Увеличение инвестиций на 25% в производство
увеличивает доход на 38% вне зависимости от сезона. Какие инвестиции необходимы
для стабилизации среднегодового дохода предприятия на уровне 70 млн. руб.?
Постановка
задачи анализа и синтеза СУ
Дано:
1) Объект управления - импортирующее
предприятие, которое характеризуется каналом управления (по каналу управления
“инвестиции - доход”).
2) Основное входное воздействие на объект:
: объем инвестиций
, %/мес.
) Основное выходное воздействие
объекта:
: доход
, млн.руб./мес.
4) Режимы работы объекта:
а) Номинальный режим характеризуется:
= 100%/мес.
=5,65 млн.р./мес.
б) Исследовательский режим
характеризуется:
=
=125% мес.
=
=7,8 млн.р./мес.
в) Заданный режим характеризуется:
y* = 5,83
млн.р./мес.
5) Производственные характеристики:
Определяют время перехода объекта в новый режим
и оцениваются:
временем распределения инвестиций:
=0,5 мес.
временем изменения дохода от импорта
(сезонное запаздывание):
=6 мес.
6) Ограничения:
а) По входному воздействию:
=
=25%/мес.
=180%/мес.
б) По выходному воздействию:
=2,09 млн.р./мес.
=8,475 млн.р./мес.
в) Ограничения по регламенту работы
объекта:
включают технологию производства,
нормы качества продукции и сырья.
Примем условия линейности объекта в
рассматриваемых диапазонах инвестиций и производительности.
) Внешние факторы:
w,
характеризуют эквивалентные изменения номинальных инвестиций, например, за счет
аварий, приобретения нового оборудования, брака и т.д.
Примем:
=
=30%/мес.
8) Линейные методы и алгоритмы анализа и
синтеза системы управления.
9) Критерии исследования и управления:
показатели качества управления,
характеризующие отклонения от заданной производительности: статическая ошибка
, время
управления
,
максимальное динамическое отклонение
, перерегулирование
, степень
затухания колебаний
, модульная
интегральная ошибка
.
Требуется разработать систему,
отвечающую всем требованиям и критериям.
1.
Анализ объекта управления
Цель: исследование основных динамических
характеристик предприятия по заданному каналу управления, результаты которого
достаточны для синтеза управляющей системы (СУ).
1.1
Построение математической модели ОУ
На основе режимов работы функционирования
объекта с соответствующими параметрами динамики построим экспериментальную
характеристику временного регламента.
Для определения средних заданных инвестиций,
необходимых для определения заданного дохода y*
решим пропорцию:
=103%
По виду экспериментальной
характеристики в исследовательском режиме определено:
объект характеризуется начальным
запаздыванием вследствие распределения инвестиций
=0,5 мес.
доход от импорта увеличивается
только в следующем сезоне (через период в 6 мес.), т.е. через
=6 мес.
состояние объекта характеризуется
установившимся периодическим режимом.
Исходя из таких предпосылок, объект
можно описать следующей структурой:
Данную структуру можно описать через
типовые звенья:
распределение инвестиций
характеризует запаздывание по денежным средствам и описывается звеном
запаздывания или транспортной моделью:
где время запаздывания
мес. Отсюда:
рост дохода до нового режима
соответствует типовому колебательному звену или транспортной модели:
при
(незатухающие колебания), где
характеризует
соотношение изменения дохода к соответствующему изменению объема инвестиций:
постоянная времени
характеризует
время роста дохода в исслед режиме:
мес. Отсюда:
Структура объекта последовательная:
Модель в дифференциальной форме:
Из уравнения Лапласа получим:
Модель в дискретной форме:
где
- период контроля продаж, который
определяется из условия:
Отсюда:
0,1 мес.
3,1 дня
Далее:
Окончательно получаем:
1.2
Статические и динамические характеристики ОУ
Статическая характеристика ОУ
На основании экспериментальной характеристики
объект характеризуется следующими выражениями:
|
Режимы
|
Номинальный
|
Исследовательский
|
Заданный
|
|
100%/мес.125%/мес.103%/мес.
|
|
|
|
|
y
|
5,65
млн.р./мес.
|
7,8
млн.р./мес.
|
5,83
млн.р./мес.
|
В диапазоне входных воздействий
характеристика
является квазилинейной, что обуславливает применение линейных методов
управления.
Переходная характеристика ОУ
Рассчитывается исходя из постоянных
инвестиций в предприятия при следующих условиях:
Начальные условия принимаем равными
нулевым:
0%/мес.
= 0 млн.р./мес.
За входное воздействие принимаем
увеличение инвестиций на 25%:
25%/мес.
Для расчета используем дискретную
модель объекта:
Расчет ведем в приращениях, т.е.
результирующее выходное значение ОУ получается за счет суммирования
и
расчетного
.
Таблица расчета переходной
характеристики
|
l
|
t
|
y(l)
|
-0,99y(l-2)
|
1,98y(l-1)
|
0,00086V(l-5)
|
V(l)
|
y(l) рез
|
|
0
|
0
|
0
|
0
|
0
|
0
|
0
|
5,65
|
|
1
|
0,1
|
0
|
0
|
0
|
0
|
25
|
5,65
|
|
2
|
0,2
|
0
|
0
|
0
|
0
|
25
|
5,65
|
|
3
|
0,3
|
0
|
0
|
0
|
0
|
25
|
5,65
|
|
4
|
0,4
|
0
|
0
|
0
|
0
|
25
|
5,65
|
|
5
|
0,5
|
0
|
0
|
0
|
0
|
25
|
5,65
|
|
6
|
0,6
|
0,021288
|
0
|
0
|
0,0212875
|
25
|
5,671288
|
|
7
|
0,7
|
0,063437
|
0
|
0,04214925
|
0,0212875
|
25
|
5,713437
|
|
8
|
0,8
|
0,125818
|
-0,02107463
|
0,125604765
|
0,0212875
|
25
|
5,775818
|
|
9
|
0,9
|
0,207604
|
-0,06280238
|
0,249118927
|
0,0212875
|
25
|
5,857604
|
|
10
|
1
|
0,307784
|
-0,12455946
|
0,411056009
|
0,0212875
|
25
|
5,957784
|
|
11
|
1,1
|
0,425172
|
-0,205528
|
0,609412409
|
0,0212875
|
25
|
6,075172
|
|
12
|
1,2
|
0,558422
|
-0,3047062
|
0,841840371
|
0,0212875
|
25
|
6,208422
|
|
13
|
1,3
|
0,706042
|
-0,42092019
|
1,1056749
|
0,0212875
|
25
|
6,356042
|
|
14
|
1,4
|
0,866414
|
-0,55283745
|
1,397963585
|
0,0212875
|
25
|
6,516414
|
|
15
|
1,5
|
1,037805
|
-0,69898179
|
1,715498997
|
0,0212875
|
25
|
6,687805
|
|
16
|
1,6
|
1,218391
|
-0,8577495
|
2,054853315
|
0,0212875
|
25
|
6,868391
|
|
17
|
1,7
|
1,406276
|
-1,02742666
|
2,412414806
|
0,0212875
|
25
|
7,056276
|
|
18
|
1,8
|
1,599506
|
-1,2062074
|
2,784425785
|
0,0212875
|
25
|
7,249506
|
|
19
|
1,9
|
1,796096
|
-1,39221289
|
3,167021646
|
0,0212875
|
25
|
7,446096
|
|
20
|
2
|
1,994047
|
-1,58351082
|
3,556270582
|
0,0212875
|
25
|
7,644047
|
|
21
|
2,1
|
2,191366
|
-1,77813529
|
3,948213573
|
0,0212875
|
25
|
7,841366
|
|
22
|
2,2
|
2,386085
|
-1,97410679
|
4,338904248
|
0,0212875
|
25
|
8,036085
|
|
23
|
2,3
|
2,576284
|
-2,16945212
|
4,724448223
|
0,0212875
|
25
|
8,226284
|
|
24
|
2,4
|
2,760105
|
-2,36222411
|
5,101041527
|
0,0212875
|
25
|
8,410105
|
|
25
|
2,5
|
2,935774
|
-2,55052076
|
5,465007733
|
25
|
8,585774
|
|
26
|
2,6
|
3,101617
|
-2,73250387
|
5,812833449
|
0,0212875
|
25
|
8,751617
|
|
27
|
2,7
|
3,256073
|
-2,90641672
|
6,141201824
|
0,0212875
|
25
|
8,906073
|
|
28
|
2,8
|
3,39771
|
-3,07060091
|
6,447023746
|
0,0212875
|
25
|
9,04771
|
|
29
|
2,9
|
3,525242
|
-3,22351187
|
6,727466462
|
0,0212875
|
25
|
9,175242
|
|
280
|
28
|
2,527668
|
-2,42760431
|
4,933985256
|
0,0212875
|
25
|
8,177668
|
|
281
|
28,1
|
2,559078
|
-2,46699263
|
5,00478353
|
0,0212875
|
25
|
8,209078
|
|
282
|
28,2
|
2,585871
|
-2,50239176
|
5,066975236
|
0,0212875
|
25
|
8,235871
|
|
283
|
28,3
|
2,607824
|
-2,53348762
|
5,120024522
|
0,0212875
|
25
|
8,257824
|
|
284
|
28,4
|
2,624768
|
-2,56001226
|
5,163492321
|
0,0212875
|
25
|
8,274768
|
|
285
|
28,5
|
2,636581
|
-2,58174616
|
5,197039768
|
0,0212875
|
25
|
8,286581
|
|
286
|
28,6
|
2,643198
|
-2,59851988
|
5,220430593
|
0,0212875
|
25
|
8,293198
|
|
287
|
28,7
|
2,644605
|
-2,6102153
|
5,233532454
|
0,0212875
|
25
|
8,294605
|
|
288
|
28,8
|
2,640838
|
-2,61676623
|
5,236317222
|
0,0212875
|
25
|
8,290838
|
|
289
|
28,9
|
2,631989
|
-2,61815861
|
5,22886022
|
0,0212875
|
25
|
8,281989
|
|
290
|
29
|
2,618196
|
-2,61443011
|
5,211338435
|
0,0212875
|
25
|
8,268196
|
|
291
|
29,1
|
2,599646
|
-2,60566922
|
5,184027734
|
0,0212875
|
25
|
8,249646
|
|
292
|
29,2
|
2,576573
|
-2,59201387
|
5,147299113
|
0,0212875
|
25
|
8,226573
|
|
293
|
29,3
|
2,549252
|
-2,57364956
|
5,101614037
|
0,0212875
|
25
|
8,199252
|
|
294
|
29,4
|
2,517999
|
-2,55080702
|
5,047518922
|
0,0212875
|
25
|
8,167999
|
|
295
|
29,5
|
2,483167
|
-2,52375946
|
4,985638818
|
0,0212875
|
25
|
8,133167
|
|
296
|
29,6
|
2,445138
|
-2,49281941
|
4,916670377
|
0,0212875
|
25
|
8,095138
|
|
297
|
29,7
|
2,404326
|
-2,45833519
|
4,841374167
|
0,0212875
|
25
|
8,054326
|
Исходя из переходной характеристики, определили:
) Характеристика соответствует экспериментальной
с некоторой погрешностью, но в целом модель адекватная.
) Объект характеризуется транспортным
запаздыванием 0,5 мес., в течение которого доход от продаж не изменяется.
) Рост дохода происходит за общее время 6,5 мес.
) Объект является колебательным с периодом Т = 6
мес.
Импульсная характеристика ОУ
Начальные условия принимаем равными нулевым:
0%/мес.
= 0 млн.р./мес.
За входное воздействие принимаем
единовременное в течение месяца увеличение инвестиций на 25%:
25%/мес.
В последующие месяцы инвестиции
остаются нулевыми.
Для расчета используем дискретную
модель объекта:
Расчет ведем в приращениях, т.е.
результирующее выходное значение ОУ получается за счет суммирования
и
расчетного
.
Таблица расчета импульсной характеристики
|
l
|
t
|
y(l)
|
-0,99y(l-2)
|
1,98y(l-1)
|
0,00086V(l-5)
|
V(l)
|
y(l) рез
|
|
0
|
0
|
0
|
0
|
0
|
0
|
0
|
5,65
|
|
1
|
0,1
|
0
|
0
|
0
|
0
|
25
|
5,65
|
|
2
|
0,2
|
0
|
0
|
0
|
0
|
25
|
5,65
|
|
3
|
0,3
|
0
|
0
|
0
|
0
|
25
|
5,65
|
|
4
|
0,4
|
0
|
0
|
0
|
0
|
25
|
5,65
|
|
5
|
0,5
|
0
|
0
|
0
|
0
|
25
|
5,65
|
|
6
|
0,6
|
0,021288
|
0
|
0
|
0,0212875
|
25
|
5,671288
|
|
7
|
0,7
|
0,063437
|
0
|
0,04214925
|
0,0212875
|
25
|
5,713437
|
|
8
|
0,8
|
0,125818
|
-0,02107463
|
0,125604765
|
0,0212875
|
25
|
5,775818
|
|
9
|
0,9
|
0,207604
|
-0,06280238
|
0,249118927
|
0,0212875
|
25
|
5,857604
|
|
10
|
1
|
0,307784
|
-0,12455946
|
0,411056009
|
0,0212875
|
25
|
5,957784
|
|
11
|
1,1
|
0,425172
|
-0,205528
|
0,609412409
|
0,0212875
|
0
|
6,075172
|
|
12
|
1,2
|
0,558422
|
-0,3047062
|
0,841840371
|
0,0212875
|
0
|
6,208422
|
|
13
|
1,3
|
0,706042
|
-0,42092019
|
1,1056749
|
0,0212875
|
0
|
6,356042
|
|
14
|
1,4
|
0,866414
|
-0,55283745
|
1,397963585
|
0,0212875
|
0
|
6,516414
|
|
15
|
1,5
|
1,037805
|
-0,69898179
|
1,715498997
|
0,0212875
|
0
|
6,687805
|
|
16
|
1,6
|
1,197104
|
-0,8577495
|
2,054853315
|
0
|
0
|
6,847104
|
|
17
|
1,7
|
1,342839
|
-1,02742666
|
2,370265556
|
0
|
0
|
6,992839
|
|
18
|
1,8
|
-1,18513278
|
2,65882102
|
0
|
0
|
7,123688
|
|
19
|
1,9
|
1,588492
|
-1,32941051
|
2,917902719
|
0
|
0
|
7,238492
|
|
20
|
2
|
1,686263
|
-1,45895136
|
3,145214573
|
0
|
0
|
7,336263
|
|
21
|
2,1
|
1,766194
|
-1,57260729
|
3,338801164
|
0
|
0
|
7,416194
|
|
22
|
2,2
|
1,827663
|
-1,66940058
|
3,497063876
|
0
|
0
|
7,477663
|
|
23
|
2,3
|
1,870241
|
-1,74853194
|
3,618773323
|
0
|
0
|
7,520241
|
|
24
|
2,4
|
1,893691
|
-1,80938666
|
3,703077942
|
0
|
0
|
7,543691
|
|
25
|
2,5
|
1,89797
|
-1,85153897
|
3,749508736
|
0
|
0
|
7,54797
|
|
26
|
2,6
|
1,883226
|
-1,87475437
|
3,757980134
|
0
|
0
|
7,533226
|
|
279
|
27,9
|
0,508025
|
-0,52774202
|
1,035766932
|
0
|
0
|
6,158025
|
|
280
|
28
|
0,488006
|
-0,51788347
|
1,005889331
|
0
|
0
|
6,138006
|
|
281
|
28,1
|
0,463307
|
-0,50294467
|
0,966251612
|
0
|
0
|
6,113307
|
|
282
|
28,2
|
0,434222
|
-0,48312581
|
0,917347754
|
0
|
0
|
6,084222
|
|
283
|
28,3
|
0,401086
|
-0,45867388
|
0,859759458
|
0
|
0
|
6,051086
|
|
284
|
28,4
|
0,36427
|
-0,42987973
|
0,79414945
|
0
|
0
|
6,01427
|
|
285
|
28,5
|
0,324179
|
-0,39707472
|
0,721254047
|
0
|
0
|
5,974179
|
|
286
|
28,6
|
0,281248
|
-0,36062702
|
0,641875058
|
0
|
0
|
5,931248
|
|
287
|
28,7
|
0,235934
|
-0,32093753
|
0,556871108
|
0
|
0
|
5,885934
|
|
288
|
28,8
|
0,188713
|
-0,27843555
|
0,467148487
|
0
|
0
|
5,838713
|
|
289
|
28,9
|
0,140077
|
-0,23357424
|
0,373651607
|
0
|
0
|
5,790077
|
|
290
|
29
|
0,090527
|
-0,1868258
|
0,27735318
|
0
|
0
|
5,740527
|
|
291
|
29,1
|
0,040568
|
-0,13867659
|
0,179244205
|
0
|
0
|
5,690568
|
|
292
|
29,2
|
-0,0093
|
-0,0896221
|
0,080323878
|
0
|
0
|
5,640702
|
|
293
|
29,3
|
-0,05857
|
-0,04016194
|
-0,018410485
|
0
|
0
|
5,591428
|
|
294
|
29,4
|
-0,10677
|
0,00920524
|
-0,115973399
|
0
|
0
|
5,543232
|
|
295
|
29,5
|
-0,15341
|
0,0579867
|
-0,21140095
|
0
|
0
|
5,496586
|
|
296
|
29,6
|
-0,19806
|
0,10570047
|
-0,303760216
|
0
|
0
|
5,45194
|
|
297
|
29,7
|
-0,24028
|
0,15188011
|
-0,392158287
|
0
|
0
|
5,409722
|
Исходя из импульсной характеристики, определили:
) Объект характеризуется транспортным
запаздыванием 0,5 мес.
1.3
Анализ частотных характеристик
Целью является исследование влияния интервалов
нагрузки и воздействия на объект по изменению по изменению дохода предприятия и
определение рабочего диапазона объекта.
При известных частотных характеристиках типовых
моделей, характеристика объекта в целом принимает вид:
где
- характеристика транспортной
модели:
- характеристика сезонной модели:
В итоге:
Построим графики частотных
характеристик:
|
w
|
T,
мес
|
A(w,
T)
|
ф(w,
T)
|
tp(w,
T), мес
|
|
0
|
Беск.
|
0,086
|
-3,14159
|
-
|
|
0,1
|
62,83185
|
0,085149
|
-3,19159
|
-0,557038
|
|
0,2
|
31,41593
|
0,082692
|
-3,24159
|
-0,28288232
|
|
0,3
|
20,94395
|
0,078899
|
-3,29159
|
-0,1914971
|
|
0,4
|
15,70796
|
0,074138
|
-3,34159
|
-0,14580449
|
|
0,5
|
12,56637
|
0,0688
|
-3,39159
|
-0,11838892
|
|
0,6
|
10,47198
|
0,063235
|
-3,44159
|
-0,10011187
|
|
0,7
|
8,975979
|
0,057718
|
-3,49159
|
-0,08705684
|
|
0,8
|
7,853982
|
0,052439
|
-3,54159
|
-0,07726557
|
|
0,9
|
6,981317
|
0,047514
|
-3,59159
|
-0,06965013
|
|
1
|
6,283185
|
0,043
|
-3,64159
|
-0,06355778
|
|
1,1
|
5,711987
|
0,038914
|
-3,69159
|
-0,05857313
|
|
1,2
|
5,235988
|
0,035246
|
-3,74159
|
-0,05441926
|
|
1,3
|
4,833219
|
0,03197
|
-3,79159
|
-0,05090444
|
|
1,4
|
4,48799
|
0,029054
|
-3,84159
|
-0,04789174
|
|
1,5
|
4,18879
|
0,026462
|
-3,89159
|
-0,04528074
|
|
1,6
|
3,926991
|
0,024157
|
-3,94159
|
-0,04299611
|
|
1,7
|
3,695991
|
0,022108
|
-3,99159
|
-0,04098026
|
|
1,8
|
3,490659
|
0,020283
|
-4,04159
|
-0,03918839
|
|
1,9
|
3,30694
|
0,018655
|
-4,09159
|
-0,03758514
|
|
2
|
3,141593
|
0,0172
|
-4,14159
|
-0,03614221
|
|
2,1
|
2,991993
|
0,015896
|
-4,19159
|
|
2,2
|
2,855993
|
0,014726
|
-4,24159
|
-0,03364989
|
|
2,3
|
2,73182
|
0,013672
|
-4,29159
|
-0,03256627
|
|
2,4
|
2,617994
|
0,012722
|
-4,34159
|
-0,03157295
|
|
2,5
|
2,513274
|
0,011862
|
-4,39159
|
-0,0306591
|
|
2,6
|
2,41661
|
0,011082
|
-4,44159
|
-0,02981554
|
|
2,7
|
2,327106
|
0,010374
|
-4,49159
|
-0,02903447
|
|
2,8
|
2,243995
|
0,009729
|
-4,54159
|
-0,02830919
|
|
48,7
|
0,129018
|
3,62E-05
|
-27,4916
|
-0,00985254
|
|
48,8
|
0,128754
|
3,61E-05
|
-27,5416
|
-0,00985024
|
|
48,9
|
0,12849
|
3,6E-05
|
-27,5916
|
-0,00984794
|
|
49
|
0,128228
|
3,58E-05
|
-27,6416
|
-0,00984565
|
|
49,1
|
0,127967
|
3,57E-05
|
-27,6916
|
-0,00984337
|
|
49,2
|
0,127707
|
3,55E-05
|
-27,7416
|
-0,0098411
|
|
49,3
|
0,127448
|
3,54E-05
|
-27,7916
|
-0,00983884
|
|
49,4
|
0,12719
|
3,52E-05
|
-27,8416
|
-0,00983659
|
|
49,5
|
0,126933
|
3,51E-05
|
-27,8916
|
-0,00983435
|
|
49,6
|
0,126677
|
3,49E-05
|
-27,9416
|
-0,00983211
|
|
49,7
|
0,126422
|
3,48E-05
|
-27,9916
|
-0,00982989
|
|
49,8
|
0,126168
|
3,47E-05
|
-28,0416
|
-0,00982767
|
|
194
|
0,032388
|
2,28E-06
|
-100,142
|
-0,00900928
|
Исходя из АЧХ максимальная
эффективность соответствует номинальному режиму
и определяется номинальной
производительностью:
Изменение интервала инвестиций
приводит к снижению эффективности по экспоненциальному закону.
Определим рабочую область, которой
соответствует снижение эффективности до уровня рентабельности:
Такой эффективности соответствует
нагрузка
или интервал
инвестирования
мес. Это
интервал кризисной ситуации.
Исходя из ФЧХ, производство
характеризуется застойным режимом на всем диапазоне
, т.к.
, при этом с
ростом нагрузки застой усугубляется и рабочему интервалу инвестирования
соответствует
застойный режим
или время
застоя
мес.
И тогда любой технологический
регламент увеличивается в 0,009 раз.
Например, обеспеченный по условию
задачи рост производительности в течение 6 мес., в случае кризиса
будет
выходить на ту же производительность в течение 6,054 мес.
Таким образом, изменение регламента
весьма слабо влияет на временные характеристики ОУ.
Выводы по 1-му разделу:
) Модель объекта управления
характеризуется колебательной моделью с запаздыванием.
) Объект статический, с колебательными
процессами, характеризующимися самовыравниванием.
) Изменение режимов работы объекта
приводит к снижению эффективности, почти не влияет на временные характеристики
ОУ. Кризисная ситуация соответствует периоду инвестирования более 4,8 мес.
2.
Синтез системы управления
Целью является в соответствии с проведенным
анализом объекта управления сформировать вариант СУ на основе типовых законов
управления. управление
система математический
2.1
Определение критерия управления, ограничений, внешних факторов, выбор типового
закона управления, расчет настроечных параметров
Для определения рационального подхода к
управлению производительностью по каналу инвестиции - доход приведем следующие
обоснования:
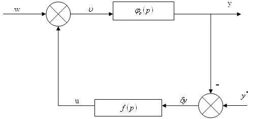
) По условию задачи требуется стабилизировать
производительность на заданном уровне:
5,83 млн.р./мес.
при этом внешние факторы в виде
дополнительных затрат являются второстепенной задачей, поэтому выбираем принцип
управления по отклонению, где рассматривается отклонение фактической
производительности от заданной:
Таким образом, общая структура СУ:
2) Модель ОУ
характеризуется параметрами:
мес.
мес.
Для выбора метода управления
рассчитаем динамические показатели:
, где
- допустимая статистическая ошибка
при стабилизации производительности:
млн.р./мес.
- максимальные внешние факторы в
виде дополнительных финансовых затрат.
По условию задачи:
Тогда:
Рассчитаем относительное
запаздывание, которое характеризует соотношение транспортного запаздывания к
инерционности объекта.
В данном случае наиболее подходящим
является непрерывный метод управления на базе типовых законов.
2.2
Построение структурной схемы системы управления
Выбор типового алгоритма управления возможен на
основе интуитивного подхода, при котором логически определяется необходимость
тех или иных составляющих управления.
Оперативность необходима, т.к. надо быстро
принимать решения при изменениях объема инвестирования.
Рост дохода сезонный или вялотекущий процесс,
поэтому достаточно времени для анализа рационального управления.
Возможно долгосрочное прогнозирование изменения
инвестиций.
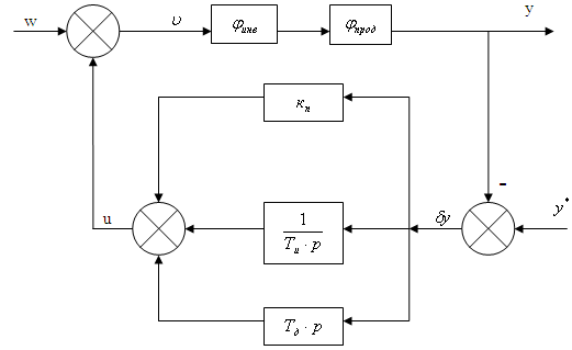
Таким образом, выбираем ПИД-закон управления.
На основе формального подхода, при котором
алгоритм управления выбирается на основе динамических показателей и требований
к качеству управления по справочным номограммам [А.Д. Копелович “Теория
автоматического управления. Краткий справочник”].
В качестве требований к типовому качеству
управления определяем переходный процесс с 20-ти процентным перерегулированием,
т.к. доход допускает небольшие колебания.
Исходя из номограмм, выбирается ПИД-закон:
Таким образом, окончательная
структура СУ имеет вид:
) Рассчитаем настроечные
коэффициенты алгоритма управления, исходя из справочных данных.
мес.
мес.
Перейдем от полученных настроек к
и
:
мес.
Характеризует период анализа
производительности и составляет 0,0358 мес.
мес.
Характеризует период прогноза на 5,5
мес.
) Алгоритм работы СУ в целом
определен следующим циклом управления:
. Формируется новое целевое
назначение или задание
. Расчет отклонения
фактического
состояния
от задания
:
. Расчет управленческого решения
на основе
алгоритма управления
:
. Расчет фактического входного
воздействия на объект
с учетом
наложения на управление внешних факторов w:
.Расчет фактического состояния
объекта y исходя из
модели объекта:
Для определения реального состояния
объекта с учетом различного рода ограничений функционирования дополнительно в
цикл управления вводится условие по ограничению.
.1. Учет ограничений по входному
воздействию:
Если
, то принимаем
;
Если
, то принимаем
;
Если
, то:
.2. Учет ограничений по выходному
состоянию:
Если
, то принимаем
;
Если
, то принимаем
;
Если
, то:
3.
Анализ системы управления СУ
3.1
Анализ устойчивости
Система управления является замкнутой, поэтому
применяем для исследования критерий Найквиста.
Передаточная функция разомкнутой системы:
Отсюда частотная характеристика
разомкнутой системы:
Рассчитаем частотную характеристику
УС, исходя из передаточной функции:
p>jw:
Тогда АЧХ УС:
ФЧХ УС:
Окончательно имеем частотную
характеристику разомкнутой системы:
Построим годограф разомкнутой
системы:
|
w
|
x
|
y
|
|
0
|
-
|
-
|
|
0,1
|
-33,728
|
-1,68622
|
|
0,2
|
-16,3656
|
-1,6269
|
|
0,3
|
-10,3998
|
-1,5354
|
|
0,4
|
-7,32296
|
-1,42081
|
|
0,5
|
-5,43528
|
-1,2928
|
|
0,6
|
-4,16698
|
-1,16005
|
|
0,7
|
-3,26901
|
-1,0294
|
|
0,8
|
-2,61214
|
-0,90557
|
|
0,9
|
-2,12086
|
-0,79141
|
|
1
|
-1,7473
|
-0,68825
|
|
1,1
|
-1,45937
|
-0,59635
|
|
1,2
|
-1,23474
|
-0,5153
|
|
1,3
|
-1,05753
|
-0,44428
|
|
1,4
|
-0,91619
|
-0,38227
|
|
1,5
|
-0,80226
|
-0,32823
|
|
18,5
|
-0,00448
|
0,025484
|
|
18,6
|
-0,00318
|
0,025534
|
|
18,7
|
-0,00189
|
0,025521
|
|
18,8
|
-0,00061
|
0,025444
|
|
18,9
|
0,000657
|
0,025305
|
|
19
|
0,00191
|
0,025105
|
|
19,1
|
0,003146
|
0,024845
|
|
19,2
|
0,00436
|
0,024525
|
|
19,3
|
0,00555
|
0,024148
|
|
19,4
|
0,006714
|
0,023715
|
|
19,5
|
0,00785
|
0,023228
|
|
19,6
|
0,008954
|
0,022687
|
|
19,7
|
0,010024
|
0,022097
|
|
19,8
|
0,011058
|
0,021457
|
Годограф не охватывает критическую точку (-1;j0),
поэтому разработанная система является устойчивой и работоспособной.
Оценим надежность системы, исходя из запасов
устойчивости, и выработаем рекомендации по сохранению такой надежности.
Определим показатели запаса устойчивости:
По амплитуде:
Поэтому система является заведомо
устойчивой и надежной при больших колебаниях входных и выходных параметров
объекта в диапазоне
от
номинальных величин, а именно инвестиции могут колебаться в диапазоне:
%/мес., что соответствует условию
задачи.
По частоте воздействия:
СУ обладает ограниченной надежностью
по всем временным регламентам работы производства, поэтому необходимо
рекомендовать стабилизацию во времени всех параметров ОУ, а именно:
) Время инвестирования не должно
отклоняться:
мес.
) Время процесса, характеризующее
рост дохода:
мес.
В том числе четко соблюдать
временные графики поставок, сбыта продукции и другие временные регламенты,
влияющие на доход от импорта.
3.2
Анализ качества управления в типовой системе
Цель: расчет переходных процессов в СУ в разных
режимах функционирования и определение соответствия показателей качества
заданным критериям.
При рассчитанных выше коэффициентах ПИД-закона
на практике мы получаем нестабильную систему:
Поэтому коэффициенты ПИД-закона были определены
эмпирически:
мес.
мес.
) Рассчитаем переходный процесс при
изменении заданного дохода предприятия, который в номинальном режиме
5,65
млн.р./мес. и требуемый y* = 5,83 млн.р./мес.
При этом примем условия, что внешние
факторы в виде дополнительных затрат отсутствуют:
= 0%/мес.
За основу принимаем алгоритм работы
СУ из пункта 2.2.
Таблица расчета переходного
процесса.
|
l
|
t,
мес
|
yид(t)
|
dy(t)
|
uп(t)
|
uи(t)
|
uд(t)
|
u(t)
|
w(t)
|
Vид(t)
|
y*(t)
|
|
0
|
0
|
5,65
|
0
|
0
|
0
|
0
|
0
|
0
|
100
|
5,65
|
|
1
|
5,6795
|
0,1505
|
2,2575
|
0,1505
|
37,625
|
40,033
|
0
|
40,033
|
5,83
|
|
2
|
0,2
|
5,73791
|
0,09209
|
1,38135
|
0,24259
|
-14,6025
|
-12,9786
|
0
|
-12,9786
|
5,83
|
|
3
|
0,3
|
5,824357
|
0,005643
|
0,084648
|
0,248233
|
-21,6117
|
-21,2788
|
0
|
-21,2788
|
5,83
|
|
4
|
0,4
|
5,937696
|
-0,1077
|
-1,61543
|
0,140538
|
-28,3347
|
-29,8096
|
0
|
-29,8096
|
5,83
|
|
5
|
0,5
|
6,076524
|
-0,24652
|
-3,69786
|
-0,10599
|
-34,7071
|
-38,511
|
0
|
-38,511
|
5,83
|
|
6
|
0,6
|
6,187627
|
-0,35763
|
-5,36441
|
-0,46361
|
-27,7758
|
-33,6038
|
0
|
-33,6038
|
5,83
|
|
7
|
0,7
|
6,224582
|
-0,39458
|
-5,91873
|
-0,8582
|
-9,2386
|
-16,0155
|
0
|
-16,0155
|
5,83
|
|
8
|
0,8
|
6,180621
|
-0,35062
|
-5,25931
|
-1,20882
|
10,99018
|
4,522054
|
0
|
4,522054
|
5,83
|
|
9
|
0,9
|
6,049657
|
-0,21966
|
-3,29486
|
-1,42847
|
32,7409
|
28,01756
|
0
|
28,01756
|
5,83
|
|
10
|
1
|
5,826387
|
0,003613
|
0,054189
|
-1,42486
|
55,81748
|
54,44681
|
0
|
54,44681
|
5,83
|
|
11
|
1,1
|
5,518187
|
0,311813
|
4,677195
|
-1,11305
|
77,0501
|
80,61425
|
0
|
80,61425
|
5,83
|
|
12
|
1,2
|
5,144113
|
0,685887
|
10,2883
|
-0,42716
|
93,51841
|
103,3795
|
0
|
103,3795
|
5,83
|
|
13
|
1,3
|
4,726228
|
1,103772
|
16,55658
|
0,67661
|
104,4713
|
121,7045
|
0
|
121,7045
|
5,83
|
|
14
|
1,4
|
4,289355
|
1,540645
|
23,10968
|
2,217255
|
109,2183
|
134,5453
|
0
|
134,5453
|
5,83
|
|
15
|
1,5
|
3,860781
|
1,969219
|
29,53829
|
4,186474
|
107,1435
|
140,8682
|
0
|
140,8682
|
5,83
|
|
16
|
1,6
|
3,467213
|
2,362787
|
35,4418
|
6,549261
|
98,39194
|
140,383
|
0
|
140,383
|
5,83
|
|
17
|
1,7
|
3,131815
|
2,698185
|
40,47277
|
9,247446
|
83,84945
|
133,5697
|
0
|
133,5697
|
5,83
|
|
18
|
1,8
|
2,873119
|
2,956881
|
44,35321
|
12,20433
|
64,67404
|
121,2316
|
0
|
121,2316
|
5,83
|
|
491
|
49,1
|
5,83
|
3,45E-07
|
5,18E-06
|
67,7907
|
4,94E-05
|
67,79075
|
0
|
67,79075
|
5,83
|
|
492
|
49,2
|
5,829999
|
5,05E-07
|
7,58E-06
|
67,7907
|
4E-05
|
67,79074
|
0
|
67,79074
|
5,83
|
|
493
|
49,3
|
5,829999
|
6,18E-07
|
9,26E-06
|
67,7907
|
2,81E-05
|
67,79073
|
0
|
67,79073
|
5,83
|
|
494
|
49,4
|
5,829999
|
6,77E-07
|
1,02E-05
|
67,7907
|
1,48E-05
|
67,79072
|
0
|
67,79072
|
5,83
|
|
495
|
49,5
|
5,829999
|
6,81E-07
|
1,02E-05
|
67,7907
|
1,15E-06
|
67,79071
|
0
|
67,79071
|
5,83
|
|
496
|
49,6
|
5,829999
|
6,34E-07
|
9,51E-06
|
67,7907
|
-1,2E-05
|
67,7907
|
0
|
67,7907
|
5,83
|
|
497
|
49,7
|
5,829999
|
5,42E-07
|
8,13E-06
|
67,7907
|
-2,3E-05
|
67,79068
|
0
|
67,79068
|
5,83
|
|
498
|
49,8
|
5,83
|
4,14E-07
|
6,21E-06
|
67,7907
|
-3,2E-05
|
67,79067
|
0
|
67,79067
|
5,83
|
Исходя из вида переходных процессов, определим
показатели качества управления:
Статическая ошибка:
млн.р./мес.
Время управления:
10 мес.
Максимальное динамическое
отклонение:
= 3 млн.р./мес.
Перерегулирование:
Степень затухания колебаний:
Модульная интегральная ошибка:
74,8
Вывод: за первые 2 месяца управления
очень
сильно колеблется (от -40%/мес. до 140%/мес.), но затем стабилизируется на
уровне 67%/мес., что на 37%/мес. меньше номинального значения
и на 40%
меньше заданного значения
без СУ.
) Рассмотрим режим функционирования
при условии, что заданная производительность не меняется, т.е.
млн.р./мес.,
но при этом присутствуют дополнительны затраты, определяемые постановкой
задачи:
Таблица расчета переходного
процесса.
|
l
|
t,
мес
|
yид(t)
|
dy(t)
|
uп(t)
|
uи(t)
|
uд(t)
|
u(t)
|
w(t)
|
Vид(t)
|
y*(t)
|
|
0
|
0
|
5,65
|
0
|
0
|
0
|
0
|
0
|
0
|
100
|
5,65
|
|
1
|
0,1
|
5,6795
|
-0,0295
|
-0,4425
|
-0,0295
|
-7,375
|
-7,847
|
-30
|
-37,847
|
5,65
|
|
2
|
0,2
|
5,73791
|
-0,08791
|
-1,31865
|
-0,11741
|
-14,6025
|
-16,0386
|
-30
|
-46,0386
|
5,65
|
|
3
|
0,3
|
-0,17436
|
-2,61535
|
-0,29177
|
-21,6117
|
-24,5188
|
-30
|
-54,5188
|
5,65
|
|
4
|
0,4
|
5,937696
|
-0,2877
|
-4,31543
|
-0,57946
|
-28,3347
|
-33,2296
|
-30
|
-63,2296
|
5,65
|
|
5
|
0,5
|
6,076524
|
-0,42652
|
-6,39786
|
-1,00599
|
-34,7071
|
-42,111
|
-30
|
-72,111
|
5,65
|
|
6
|
0,6
|
6,12065
|
-0,47065
|
-7,05976
|
-1,47664
|
-11,0316
|
-19,568
|
-30
|
-49,568
|
5,65
|
|
7
|
0,7
|
6,063536
|
-0,41354
|
-6,20304
|
-1,89017
|
14,27861
|
6,185401
|
-30
|
-23,8146
|
5,65
|
|
8
|
0,8
|
5,899471
|
-0,24947
|
-3,74207
|
-2,13964
|
41,01621
|
35,1345
|
-30
|
5,134502
|
5,65
|
|
9
|
0,9
|
5,623675
|
0,026325
|
0,394878
|
-2,11332
|
68,94909
|
67,23065
|
-30
|
37,23065
|
5,65
|
|
10
|
1
|
5,232384
|
0,417616
|
6,264237
|
-1,6957
|
97,82264
|
102,3912
|
-30
|
72,39117
|
5,65
|
|
11
|
1,1
|
4,750054
|
0,899946
|
13,49919
|
-0,79576
|
120,5825
|
133,2859
|
-30
|
103,2859
|
5,65
|
|
12
|
1,2
|
4,204566
|
1,445434
|
21,6815
|
0,649676
|
136,3719
|
158,7031
|
-30
|
128,7031
|
5,65
|
|
13
|
1,3
|
3,626904
|
2,023096
|
30,34645
|
2,672773
|
144,4157
|
177,4349
|
-30
|
147,4349
|
5,65
|
|
14
|
1,4
|
3,050767
|
2,599233
|
38,9885
|
5,272006
|
144,0342
|
188,2947
|
-30
|
158,2947
|
5,65
|
|
15
|
1,5
|
2,51214
|
3,13786
|
47,0679
|
8,409866
|
134,6567
|
190,1345
|
-30
|
160,1345
|
5,65
|
|
16
|
1,6
|
2,042604
|
3,607396
|
54,11094
|
12,01726
|
117,384
|
183,5122
|
-30
|
153,5122
|
5,65
|
|
490
|
49
|
5,65
|
3,76E-07
|
5,64E-06
|
95,69767
|
6,72E-05
|
95,69774
|
-30
|
65,69774
|
5,65
|
|
491
|
49,1
|
5,649999
|
6E-07
|
9,01E-06
|
95,69767
|
5,62E-05
|
95,69774
|
-30
|
65,69774
|
5,65
|
|
492
|
49,2
|
5,649999
|
7,67E-07
|
1,15E-05
|
95,69767
|
4,16E-05
|
95,69773
|
-30
|
65,69773
|
5,65
|
|
493
|
49,3
|
5,649999
|
8,65E-07
|
1,3E-05
|
95,69767
|
2,47E-05
|
95,69771
|
-30
|
65,69771
|
5,65
|
|
494
|
49,4
|
5,649999
|
8,93E-07
|
1,34E-05
|
95,69767
|
6,88E-06
|
95,69769
|
-30
|
65,69769
|
5,65
|
|
495
|
49,5
|
5,649999
|
8,51E-07
|
1,28E-05
|
95,69768
|
-1E-05
|
95,69768
|
-30
|
65,69768
|
5,65
|
|
496
|
49,6
|
5,649999
|
7,48E-07
|
1,12E-05
|
95,69768
|
-2,6E-05
|
95,69766
|
-30
|
65,69766
|
5,65
|
|
497
|
49,7
|
5,649999
|
5,94E-07
|
8,91E-06
|
95,69768
|
-3,8E-05
|
95,69765
|
-30
|
65,69765
|
5,65
|
|
498
|
49,8
|
5,65
|
4,04E-07
|
6,07E-06
|
95,69768
|
-4,7E-05
|
95,69764
|
-30
|
65,69764
|
5,65
|
Исходя из вида переходных процессов, определим
показатели качества управления:
Статическая ошибка:
млн.р./мес.
Время управления:
10 мес.
Максимальное динамическое
отклонение:
= 4,5 млн.р./мес.
Перерегулирование:
Степень затухания колебаний:
Модульная интегральная ошибка:
104,9
Вывод: графики переходных
характеристик аналогичны предыдущим, где велся расчет по заданному значению.
Значения показателей качества управления отличаются незначительно, кроме
модульной интегральной ошибки, которая увеличилась на 30.
) Рассчитаем переходный процесс при
изменении заданного дохода предприятия, который в номинальном режиме
5,65
млн.р./мес. и требуемый y* = 5,83 млн.р./мес.
При этом примем условия, что внешние
факторы в виде дополнительных затрат отсутствуют:
= 0%/мес.
Также введем ограничения на
и y из пунктов
6.1. и 6.2. алгоритма работы СУ.
Таблица расчета переходного
процесса.
|
l
|
t,
мес
|
yфак(t)
|
dy(t)
|
uп(t)
|
uи(t)
|
uд(t)
|
u(t)
|
w(t)
|
Vфак(t)
|
y*(t)
|
|
0
|
0
|
5,65
|
0
|
0
|
0
|
0
|
0
|
0
|
100
|
5,65
|
|
1
|
0,1
|
5,6795
|
0,1505
|
2,2575
|
0,1505
|
37,625
|
40,033
|
0
|
40,033
|
5,83
|
|
2
|
0,2
|
5,73791
|
0,09209
|
1,38135
|
0,24259
|
-14,6025
|
-12,9786
|
0
|
25
|
5,83
|
|
3
|
0,3
|
5,824357
|
0,005643
|
0,084648
|
0,248233
|
-21,6117
|
-21,2788
|
0
|
25
|
5,83
|
|
4
|
0,4
|
5,937696
|
-0,1077
|
-1,61543
|
0,140538
|
-28,3347
|
-29,8096
|
0
|
25
|
5,83
|
|
5
|
0,5
|
6,076524
|
-0,24652
|
-3,69786
|
-0,10599
|
-34,7071
|
-38,511
|
0
|
25
|
5,83
|
|
6
|
6,187627
|
-0,35763
|
-5,36441
|
-0,46361
|
-27,7758
|
-33,6038
|
0
|
25
|
5,83
|
|
7
|
0,7
|
6,257243
|
-0,42724
|
-6,40865
|
-0,89086
|
-17,404
|
-24,7035
|
0
|
25
|
5,83
|
|
8
|
0,8
|
6,285091
|
-0,45509
|
-6,82636
|
-1,34595
|
-6,96184
|
-15,1342
|
0
|
25
|
5,83
|
|
9
|
0,9
|
6,271309
|
-0,44131
|
-6,61963
|
-1,78726
|
3,4455
|
-4,96139
|
0
|
25
|
5,83
|
|
10
|
1
|
6,216451
|
-0,38645
|
-5,79677
|
-2,17371
|
13,71432
|
5,743839
|
0
|
25
|
5,83
|
|
11
|
1,1
|
6,121478
|
-0,29148
|
-4,37217
|
-2,46519
|
23,7433
|
16,90594
|
0
|
25
|
5,83
|
|
12
|
1,2
|
5,98774
|
-0,15774
|
-2,3661
|
-2,62293
|
33,43456
|
28,44554
|
0
|
28,44554
|
5,83
|
|
13
|
1,3
|
5,816962
|
0,013038
|
0,195576
|
-2,60989
|
42,69457
|
40,28026
|
0
|
40,28026
|
5,83
|
|
14
|
1,4
|
5,611222
|
0,218778
|
3,281677
|
-2,39111
|
51,43503
|
52,3256
|
0
|
52,3256
|
5,83
|
|
15
|
1,5
|
5,372927
|
0,457073
|
6,856101
|
-1,93404
|
59,57373
|
64,4958
|
0
|
64,4958
|
5,83
|
|
16
|
1,6
|
5,104785
|
0,725215
|
10,87822
|
-1,20882
|
67,03531
|
76,70471
|
0
|
76,70471
|
5,83
|
|
17
|
1,7
|
4,812741
|
1,017259
|
15,25889
|
-0,19156
|
73,01113
|
88,07845
|
0
|
88,07845
|
5,83
|
|
18
|
1,8
|
4,51013
|
1,31987
|
19,79804
|
1,128308
|
75,65261
|
96,57897
|
0
|
96,57897
|
5,83
|
|
19
|
1,9
|
4,210445
|
1,619555
|
24,29333
|
2,747864
|
74,92141
|
101,9626
|
0
|
101,9626
|
5,83
|
|
20
|
2
|
3,927118
|
1,902882
|
28,54323
|
4,650746
|
70,83171
|
104,0257
|
0
|
104,0257
|
5,83
|
|
290
|
29
|
5,830097
|
-9,7E-05
|
-0,00145
|
67,79016
|
0,010714
|
67,79942
|
0
|
67,79942
|
5,83
|
|
291
|
29,1
|
5,830049
|
-4,9E-05
|
-0,00074
|
67,79011
|
0,011895
|
67,80126
|
0
|
67,80126
|
5,83
|
|
292
|
29,2
|
5,830001
|
-9E-07
|
-1,3E-05
|
67,79011
|
0,012109
|
67,8022
|
0
|
67,8022
|
5,83
|
|
293
|
29,3
|
5,829955
|
4,47E-05
|
0,00067
|
67,79015
|
0,011398
|
67,80222
|
0
|
67,80222
|
5,83
|
|
294
|
29,4
|
5,829916
|
8,42E-05
|
0,001263
|
67,79024
|
0,009868
|
67,80137
|
0
|
67,80137
|
5,83
|
|
295
|
29,5
|
5,829885
|
0,000115
|
0,001724
|
67,79035
|
0,007684
|
67,79976
|
0
|
67,79976
|
5,83
|
|
296
|
29,6
|
5,829865
|
0,000135
|
0,002027
|
67,79049
|
0,005049
|
67,79756
|
0
|
67,79756
|
5,83
|
|
297
|
29,7
|
5,829856
|
0,000144
|
0,002158
|
67,79063
|
0,002187
|
67,79497
|
0
|
67,79497
|
5,83
|
|
298
|
29,8
|
5,829859
|
0,000141
|
0,002117
|
67,79077
|
-0,00067
|
67,79222
|
0
|
67,79222
|
5,83
|
Исходя из вида переходных процессов, определим
показатели качества управления:
Статическая ошибка:
млн.р./мес.
Время управления:
8 мес.
Максимальное динамическое
отклонение:
= 2,8 млн.р./мес.
Перерегулирование:
Степень затухания колебаний:
Модульная интегральная ошибка:
74,1
Вывод: переходные характеристики при
управлении по заданному
с
ограничениями практически не отличаются от таковых без ограничений.
Единственное существенное отличие в сокращении времени управления до 8 мес.
) Рассмотрим режим функционирования
при условии, что заданная производительность не меняется, т.е.
млн.р./мес.,
но при этом присутствуют дополнительны затраты, определяемые постановкой
задачи:
Также введем ограничения на
и y из пунктов
6.1. и 6.2. алгоритма работы СУ.
Таблица расчета переходного
процесса.
|
l
|
t,
мес
|
yфак(t)
|
dy(t)
|
uп(t)
|
uи(t)
|
uд(t)
|
u(t)
|
w(t)
|
Vфак(t)
|
y*(t)
|
|
0
|
0
|
5,65
|
0
|
0
|
0
|
0
|
0
|
0
|
100
|
5,65
|
|
1
|
0,1
|
5,6795
|
-0,0295
|
-0,4425
|
-0,0295
|
-7,375
|
-7,847
|
-30
|
25
|
5,65
|
|
2
|
0,2
|
5,73791
|
-0,08791
|
-1,31865
|
-0,11741
|
-14,6025
|
-16,0386
|
-30
|
25
|
5,65
|
|
3
|
0,3
|
5,824357
|
-0,17436
|
-2,61535
|
-0,29177
|
-21,6117
|
-24,5188
|
-30
|
25
|
5,65
|
|
4
|
0,4
|
5,937696
|
-0,2877
|
-4,31543
|
-0,57946
|
-28,3347
|
-33,2296
|
-30
|
25
|
5,65
|
|
5
|
6,076524
|
-0,42652
|
-6,39786
|
-1,00599
|
-34,7071
|
-42,111
|
-30
|
25
|
5,65
|
|
6
|
0,6
|
6,174699
|
-0,5247
|
-7,87048
|
-1,53069
|
-24,5437
|
-33,9449
|
-30
|
25
|
5,65
|
|
7
|
0,7
|
6,231645
|
-0,58165
|
-8,72468
|
-2,11233
|
-14,2365
|
-25,0735
|
-30
|
25
|
5,65
|
|
8
|
0,8
|
6,247205
|
-0,59721
|
-8,95808
|
-2,70954
|
-3,89006
|
-15,5577
|
-30
|
25
|
5,65
|
|
9
|
0,9
|
6,221638
|
-0,57164
|
-8,57457
|
-3,28117
|
6,391852
|
-5,46389
|
-30
|
25
|
5,65
|
|
10
|
1
|
6,15561
|
-0,50561
|
-7,58415
|
-3,78678
|
16,50703
|
5,136099
|
-30
|
25
|
5,65
|
|
11
|
1,1
|
6,050186
|
-0,40019
|
-6,00279
|
-4,18697
|
26,35598
|
16,16623
|
-30
|
25
|
5,65
|
|
12
|
1,2
|
5,906814
|
-0,25681
|
-3,85221
|
-4,44378
|
35,84289
|
27,54689
|
-30
|
25
|
5,65
|
|
13
|
1,3
|
5,727308
|
-0,07731
|
-1,15962
|
-4,52109
|
44,87649
|
39,19578
|
-30
|
25
|
5,65
|
|
14
|
1,4
|
5,513824
|
0,136176
|
2,042635
|
-4,38492
|
53,371
|
51,02872
|
-30
|
25
|
5,65
|
|
15
|
1,5
|
5,268837
|
0,381163
|
5,717446
|
-4,00375
|
61,24685
|
62,96054
|
-30
|
32,96054
|
5,65
|
|
16
|
1,6
|
4,995111
|
0,654889
|
9,823335
|
-3,34886
|
68,43147
|
74,90595
|
-30
|
44,90595
|
5,65
|
|
17
|
1,7
|
4,695671
|
0,954329
|
14,31493
|
-2,39454
|
74,85994
|
86,78033
|
-30
|
56,78033
|
5,65
|
|
18
|
1,8
|
4,373769
|
1,276231
|
19,14346
|
-1,1183
|
80,47552
|
98,50067
|
-30
|
68,50067
|
5,65
|
|
19
|
1,9
|
4,032848
|
1,617152
|
24,25727
|
0,498847
|
85,23018
|
109,9863
|
-30
|
79,9863
|
5,65
|
|
20
|
2
|
3,683355
|
1,966645
|
29,49968
|
2,465493
|
87,37349
|
119,3387
|
-30
|
89,33866
|
5,65
|
|
290
|
29
|
5,650164
|
-0,00016
|
-0,00246
|
95,69802
|
-0,00714
|
95,68842
|
-30
|
65,68842
|
5,65
|
|
291
|
29,1
|
5,650179
|
-0,00018
|
-0,00268
|
95,69784
|
-0,00366
|
95,6915
|
-30
|
65,6915
|
5,65
|
|
292
|
29,2
|
5,650179
|
-0,00018
|
-0,00269
|
95,69767
|
-0,00011
|
95,69487
|
-30
|
65,69487
|
5,65
|
|
293
|
29,3
|
5,650166
|
-0,00017
|
-0,00249
|
95,6975
|
0,003248
|
95,69825
|
-30
|
65,69825
|
5,65
|
|
294
|
29,4
|
5,650142
|
-0,00014
|
-0,00212
|
95,69736
|
0,006164
|
95,7014
|
-30
|
65,7014
|
5,65
|
|
295
|
29,5
|
5,650108
|
-0,00011
|
-0,00162
|
95,69725
|
0,008447
|
95,70408
|
-30
|
65,70408
|
5,65
|
|
296
|
29,6
|
5,650068
|
-6,8E-05
|
-0,00102
|
95,69718
|
0,009959
|
95,70612
|
-30
|
65,70612
|
5,65
|
|
297
|
29,7
|
5,650025
|
-2,5E-05
|
-0,00038
|
95,69716
|
0,010633
|
95,70741
|
-30
|
65,70741
|
5,65
|
|
298
|
29,8
|
5,649984
|
1,65E-05
|
0,000247
|
95,69717
|
0,010466
|
95,70789
|
-30
|
65,70789
|
5,65
|
Исходя из вида переходных процессов, определим
показатели качества управления:
Статическая ошибка:
млн.р./мес.
Время управления:
8 мес.
Максимальное динамическое
отклонение:
= 3,8 млн.р./мес.
Перерегулирование:
Степень затухания колебаний:
Модульная интегральная ошибка:
104,4
Вывод: переходные характеристики при
управлении по отклонению с ограничениями практически не отличаются от таковых
без ограничений. Единственное существенное отличие в сокращении времени
управления до 8 мес.
3.3
Анализ чувствительности СУ к изменениям параметров модели объекта исследования
Для нестационарных условий производственных
систем последним свойственно со временем изменять структуру или параметры, т.е.
характеристики объекта плавают во времени, что приводит к изменению надежности
и качества. Целью анализа чувствительности является показать влияние такого
изменения на общие характеристики СУ.
Так для объекта с моделью:
все 3 характеристики
,
,
могут
изменяться во времени:
(
,
,
)
По условию задачи свойства объекта
могут изменяться в пределах
, поэтому и параметры объекта могут
плавать в диапазоне:

мес.
мес.
Порядок расчета чувствительности:
. Расчет влияния коэффициента
передачи
на
надежность. Построим таблицу по полученным данным о запасе устойчивости по
и
.
|
-50%-25%+0%+25%+50%
|
|
|
|
|
|
|
90%82%75%70%63%
|
|
|
|
|
|
|
6,90%6,90%6,90%6,90%6,90%
|
|
|
|
|
|
2. Аналогично для
.
|
-50%-25%0%+25%+50%
|
|
|
|
|
|
|
27%66%75%77%80%
|
|
|
|
|
|
|
2,00%4,00%6,90%7,00%7,10%
|
|
|
|
|
|
3. Аналогично для
.
|
-50%-25%0%+25%+50%
|
|
|
|
|
|
|
93%87%75%56%20%
|
|
|
|
|
|
|
11,00%9,00%6,90%4,00%0,50%
|
|
|
|
|
|
4. По сводным таблицам построим
графики чувствительности
и
к параметрам
объекта.
. Выводы по анализу
чувствительности:
Параметр
имеет
обратную зависимость с
и не влияет
на
.
Параметр
имеет прямую
зависимость и с
и с
.
Параметр
имеет
обратную зависимость и с
и с
.
4.
Программный модуль
.1
Листинг
unit
Unit1;
interface, Messages, SysUtils,
Variants, Classes, Graphics, Controls, Forms,, StdCtrls, ExtCtrls, TeeProcs,
TeEngine, Chart, Grids, Series;= class(TForm): TStringGrid;: TChart;: TButton;:
TButton;: TButton;: TEdit;: TLabel;: TEdit;: TLabel;: TEdit;: TLabel;:
TLineSeries;: TEdit;: TLabel;: TEdit;: TLabel;Button1Click(Sender:
TObject);FormActivate(Sender: TObject);Button2Click(Sender:
TObject);Button3Click(Sender: TObject);
{ Private declarations }
{ Public declarations };: TForm1;,
cs: integer;,ynom,time: real;
{$R
*.dfm}TForm1.Button1Click(Sender: TObject);;;TForm1.FormActivate(Sender:
TObject);.StringGrid1.Cells[0,0]:='l';.StringGrid1.Cells[1,0]:='t';.StringGrid1.Cells[2,0]:='y(l)';.StringGrid1.Cells[3,0]:='-0,99y(l-2)';.StringGrid1.Cells[4,0]:='1,98y(l-1)';.StringGrid1.Cells[5,0]:='0,00086V(l-5)';.StringGrid1.Cells[6,0]:='V(l)';.StringGrid1.Cells[7,0]:='y(l)результирующее';:=0.1;;TForm1.Button2Click(Sender:
TObject);
//Переходная
хар-ка.Series1.Clear;.StringGrid1.RowCount:=3;:=1;:=StrToInt(Form1.Edit4.Text);.StringGrid1.Cells[0,cs]:='0';.StringGrid1.Cells[1,cs]:=FloatToStr(dT*StrToFloat(Form1.StringGrid1.Cells[0,cs]));.StringGrid1.Cells[2,cs]:=Form1.Edit1.Text;.StringGrid1.Cells[3,cs]:='0';.StringGrid1.Cells[4,cs]:='0';.StringGrid1.Cells[5,cs]:='0';.StringGrid1.Cells[6,cs]:='0';.StringGrid1.Cells[7,cs]:=Form1.Edit2.Text;:=StrToFloat(Form1.Edit2.Text);.Series1.AddXY(0,ynom);:=cs+1;
(cs<=steps)
do
begin
//Увеличение кол-ва строк
Form1.StringGrid1.RowCount:=cs+1;
//Увеличение
l.StringGrid1.Cells[0,cs]:=IntToStr(StrToInt(Form1.StringGrid1.Cells[0,cs-1])+1);
//Расчет
t.StringGrid1.Cells[1,cs]:=FloatToStr(dT*StrToFloat(Form1.StringGrid1.Cells[0,cs]));
//Расчет -0,99y(l-2)cs<3
then.StringGrid1.Cells[3,cs]:=FloatToStr(-0.99*StrToFloat(Form1.StringGrid1.Cells[2,1])).StringGrid1.Cells[3,cs]:=FloatToStr(-0.99*StrToFloat(Form1.StringGrid1.Cells[2,cs-2]));
//Расчет
1,98y(l-1).StringGrid1.Cells[4,cs]:=FloatToStr(1.98*StrToFloat(Form1.StringGrid1.Cells[2,cs-1]));
//Расчет 0,00086V(l-5)cs<6
then.StringGrid1.Cells[5,cs]:=FloatToStr(0.00086*StrToFloat(Form1.StringGrid1.Cells[6,1])).StringGrid1.Cells[5,cs]:=FloatToStr(0.00086*StrToFloat(Form1.StringGrid1.Cells[6,cs-5]));
//Расчет V(l).StringGrid1.Cells[6,cs]:=Form1.Edit3.Text;
//Расчет
y(l).StringGrid1.Cells[2,cs]:=FloatToStr(StrToFloat(Form1.StringGrid1.Cells[3,cs])+StrToFloat(Form1.StringGrid1.Cells[4,cs])+(Form1.StringGrid1.Cells[5,cs]));
//Расчет y(l)результирующее.StringGrid1.Cells[7,cs]:=FloatToStr(StrToFloat(Form1.StringGrid1.Cells[2,cs])+ynom);
//Внесение данных на
график.Series1.AddXY(StrToFloat(Form1.StringGrid1.Cells[1,cs]),StrToFloat(Form1.StringGrid1.Cells[7,cs]));
//Следующий шаг
cs:=cs+1;
end;
end;TForm1.Button3Click(Sender:
TObject);
//Импульсная
хар-ка:=StrToFloat(Form1.Edit5.Text);.Series1.Clear;.StringGrid1.RowCount:=3;:=1;:=StrToInt(Form1.Edit4.Text);.StringGrid1.Cells[0,cs]:='0';.StringGrid1.Cells[1,cs]:=FloatToStr(dT*StrToFloat(Form1.StringGrid1.Cells[0,cs]));.StringGrid1.Cells[2,cs]:=Form1.Edit1.Text;.StringGrid1.Cells[3,cs]:='0';.StringGrid1.Cells[4,cs]:='0';.StringGrid1.Cells[5,cs]:='0';.StringGrid1.Cells[6,cs]:='0';.StringGrid1.Cells[7,cs]:=Form1.Edit2.Text;:=StrToFloat(Form1.Edit2.Text);.Series1.AddXY(0,ynom);:=cs+1;
(cs<=steps)
do
begin
//Увеличение кол-ва строк
Form1.StringGrid1.RowCount:=cs+1;
//Увеличение
l.StringGrid1.Cells[0,cs]:=IntToStr(StrToInt(Form1.StringGrid1.Cells[0,cs-1])+1);
//Расчет
t.StringGrid1.Cells[1,cs]:=FloatToStr(dT*StrToFloat(Form1.StringGrid1.Cells[0,cs]));
//Расчет 1,98y(l-1).StringGrid1.Cells[4,cs]:=FloatToStr(1.98*StrToFloat(Form1.StringGrid1.Cells[2,cs-1]));
//Расчет 0,00086V(l-5)cs<6
then.StringGrid1.Cells[5,cs]:=FloatToStr(0.00086*StrToFloat(Form1.StringGrid1.Cells[6,1])).StringGrid1.Cells[5,cs]:=FloatToStr(0.00086*StrToFloat(Form1.StringGrid1.Cells[6,cs-5]));
//Расчет
V(l)StrToFloat(Form1.StringGrid1.Cells[1,cs])<=time
then.StringGrid1.Cells[6,cs]:=Form1.Edit3.Text
else.StringGrid1.Cells[6,cs]:=FloatToStr(0);
//Расчет
y(l).StringGrid1.Cells[2,cs]:=FloatToStr(StrToFloat(Form1.StringGrid1.Cells[3,cs])+StrToFloat(Form1.StringGrid1.Cells[4,cs])+(Form1.StringGrid1.Cells[5,cs]));
//Расчет
y(l)результирующее.StringGrid1.Cells[7,cs]:=FloatToStr(StrToFloat(Form1.StringGrid1.Cells[2,cs])+ynom);
//Внесение данных на график.Series1.AddXY(StrToFloat(Form1.StringGrid1.Cells[1,cs]),StrToFloat(Form1.StringGrid1.Cells[7,cs]));
//Следующий шаг
cs:=cs+1;
end;
end;.