Разработка программы формирования матрицы смежности
Аннотация
В данной пояснительной записке приведено
описание программы формирования матрицы смежности по заданному списку
окрестностей вершин ориентированного графа и работа с этим графом, формирование
динамического списка дуг ориентированного графа по заданному списку
окрестностей. Программа написана на языке C++
в интегрированной среде разработки Microsoft
Visual Studio
2005. Так же в данной пояснительной записке представлены результаты работы
программы, проведён анализ временной и ёмкостной сложности алгоритма.
Содержание
матрица смежность
вершина граф алгоритм
Аннотация
Содержание
. Теоретическая часть
. Программная часть
. Анализ временной и
ёмкостной сложности
. Заключение
. Список используемой
литературы
. Решение контрольных
примеров
. Исходный код программы
1.
Теоретическая часть
Графом называется пара (X,U),
где X - конечное
множество вершин, а U - набор
неупорядоченных и упорядоченных пар вершин. Обозначим граф G=(X,U).
Неупорядоченная пара вершин называется ребром, упорядоченная - дугой. Граф,
содержащий только ребра, называется неориентированным, только дуги -
ориентированным, или орграфом.
Если вершины v и u соединены
ребром e, то говорят, что они смежны между собой, а ребро e инцидентно каждой
из них. Количество ребер графа, инцидентных вершине v называется степенью
данной вершины. Для ориентированного графа выделяют входящую степень, равную
количеству входящих ребер и исходящую степень, равную количеству исходящих ребер,
а степенью вершины в таком случае называют сумму ее входящей и исходящей
степени. Вершины, имеющие степень 0, называют изолированными.
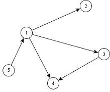
Для орграфа на рис.3 входящие
степени вершин 1,2,3,4,5 равны соответственно 0,1,1,1,0, исходящие - 2,0,0,1,0.
Степени вершин, получаемые сложением входящих и исходящих степеней равны
2,1,1,2,0. Таким образов, вершина 5 - изолированная.
Ребро, соединяющее вершину саму
с собой, называется петлей. Если одну пару вершин соединяют два или более
ребер, то такие ребра называют кратными. Граф называется простым, если он не
содержит ни петель, ни кратных ребер, иначе граф называется мультиграфом. (В
некоторых источниках граф с кратными ребрами называют мультиграфом, с петлями -
псевдографом). Простой граф, любая пара вершин которого соединена ребром,
называется полным.
Граф называется разреженным,
если общее количество ребер значительно меньше их возможного количества. Иначе
граф называется плотным.
2.
Программная часть
Общие сведения
Программа формирования матрицы смежности по
заданному списку окрестностей вершин ориентированного графа написана на языке
программирования C++ в
интегрированной среде разработки Microsoft
Visual Studio
2005. Программа имеет имя «Курсовая работа (программ. 2 семестр)».
Программа содержит около 560 строк кода и
занимает около 116 КБ на жёстком диске.
Структурная схема
Программа «Курсовая работа «программ. 2 семестр»
разбита на функции, что значительно упрощает написание и отладку исходного
кода. Структурная схема представлена на рисунке 2.1.
Список функций
Для решения поставленной задачи выполняются
следующие функции:
· void _input(int
&var),_input(char &output, char mode = 'b'),_input(string &var)
Перегруженная функция
_input. Служит,
чтобы обезопасить программу от ввода неверных данных. В качестве одного из
параметров принимает значение типа int,
string или char,
передаваемое по ссылке.
· bool
fileExists(string fileName)
Функция проверяет фалй на существование. Функции
в качестве аргумента типа string
передаётся имя файла. Возвращается true,
если файл существует, или false,
если файл с указанным именем не найден.
· void main()
Точка входа в приложение.
· DirectedGraph
*assembleGraph(int &NUM_VERTEX, ostream *stream)
Функция, собирающая динамический список по
элементам. В качестве параметров принимает переменную типа int,
NUM_VERTEX,
передаваемую по ссылке, которая впоследствии будет хранить количество вершин
заданного графа. Так же указатель *stream на
поток вывода данных.
· bool
getArcData(string graphName, int &NUM_VERTEX, DirectedGraph *&lastNode,
ostream *stream = &cout)
Данная функция производит чтение из файла,
содержащего список окрестностей вершин, одного значения за один вызов.
Принимает параметр graphName
типа string,
принимающий значение имени файла без расширения, в котором хранится граф,
параметр NUM_VERTEX
типа int,
передающийся по ссылке, ссылку на указатель lastNode
типа DirectedGraph,
а так же ссылку на поток вывода данных. Функция возвращает значение типа bool,
показывающее, прекратился ли ввод информации или нет.
· int
findVertexAndPrintNewList(DirectedGraph *firstNode, int NUM_VERTEX, int
&maxLevelOfVertex, ostream *stream)
Функция выводит на экран или в файл степени всех
вершин, а так же определяет идентификатор вершины, имеющей максимальную степень
исхода, и возвращает его. В качестве аргументов принимает указатель на первый
элемент динамического списка, количество вершин графа, пустую переменную maxLevelOfVertex,
которая принимает значение в теле данной функции, а так же указатель на поток
вывода информации.
· bool
foundInArray(int value, int *arr, int NUM_ITEMS)
Функция принимает в качестве аргументов
значение, наличие которого в массиве необходимо определить, указатель на
одномерный массив типа int
и количество элементов массива. Возвращает истину, если в массиве есть элемент
с заданным значением, или ложь, если в массиве такого элемента нет.
· fstream
openFile(string fileName, char mode)
Функция открывающая файл для заданного режима: I
- чтение, o - запись, a
- дозапись. В качестве аргументов передаются имя файла и режим. Возвращает
объект класса fstream.
· void
removeNode(DirectedGraph *node, DirectedGraph *&firstNode)
Данная функция удаляет из динамического списка
переданный ей в качестве первого аргумента элемент. Так же передаётся ссылка на
указатель на первый элемент динамического списка.
· void
removeAdjacentVertex(DirectedGraph *&firstArc, int vertexId, int
vertexLevel)
Функция удаляет из графа вершины, смежные с
заданной (идентификатор заданной вершины передаётся в параметра vertexId).
Первый аргумент функции - указатель на первый элемент динамического списка,
третий параметр - степень исхода передаваемой вершины.
· void
printNeiborhoodsList(DirectedGraph *firstNode, ostream *stream, int NUM_VERTEX,
string title = "")
Функция выводит список окрестностей вершин графа
на экран или в файл. Первый параметр - первый элемент динамического списка,
второй параметр - указатель на поток вывода, третий параметр - указатель на
поток вывода, четвёртый параметр - количество вершин в графе, пятый параметр -
заголовок перед выводом на экран или в файл.
· bool
**completeAdjacencyMatrix(DirectedGraph *firstNode, int NUM_VERTEX)
Функция создаёт и заполняет матрицу смежности
для заданного ориентированного графа. В качестве параметров передаются первый
элемент динамического списка и количество вершин в графе. Возвращается
указатель на двумерный динамический массив.
· void
printMatrix(bool **matrix, int dimension, ostream *stream, string title =
"")
функция, выводящая матрицу на экран или в файл.
В качестве аргументов передаются матрица, размерность матрицы указатель на
выходной поток и заголовок, соответственно.
· void
clearMatrix(bool **matrix, int dimention)
функция очищает память, отведённую под матрицу matrix
с размерностью dimention.
· int
getKeyByValue(int value, int *arr, int numItems)
Функция определяет и возвращает номер ключа
массива, соответствующий значению value.
В качестве параметров принимает значение для поиска, одномерный массив и его
размерность.
Входные и выходные данные
Программа получает данные из файла, в котором
хранится список окрестностей вершин ориентированного графа. Структура файла
должна быть следующей: номер строки означает номер (идентификатор) вершины
графа, в каждой строке через пробел записаны идентификаторы вершин, в которые
входят дуги, исходящие из текущей вершины. Если вершина не имеет исходящих дуг,
то в строке, соответствующей данной вершине стоит 0. На основе считанных из
файла данных строится динамический двунаправленный линейный список, хранящий
список дуг ориентированного графа.
На выходе выводятся:
· имя графа;
· список окрестностей вершин, которым
задан данный граф;
· степени исхода всех вершин и
идентификатор вершины с максимальной степенью исхода;
· список окрестностей вершин графа
после удаления вершин, смежных с вершиной, имеющей наибольшую степень исхода;
· матрица смежности нового графа.
Алгоритм одной из функций
Параметры, принимаемые функцией:
· *firstNode
- указатель на первый узел динамического списка;
· NUM_VERTEX - количество
вершин графа
.
Анализ временной и ёмкостной сложности
Анализ временной сложности
Для определения временной сложности программы
необходимо рассчитать количество итераций циклов в программе.
Количество итераций циклов зависит от количества
дуг в графе, а так же от величины идентификатора вершины с максимальной
степенью исхода и степени исхода этой вершины.
Пусть M -
количество дуг графа, 
- количество дуг графа после
удаления вершин, смежных с вершиной, имеющей максимальную степень исхода (далее
- удаление), N -
количество вершин графа, 
- степень исхода 
вершины. Тогда количество итераций
циклов в программе можно вычислить по следующей формуле:
Формула 1
Анализ ёмкостной сложности
Для определения ёмкостной сложности программы
необходимо определить размер динамического списка и матрицы смежности.
Размер динамического списка и матрицы смежности
зависит от заданного списка окрестностей, в частности от количества строк и
количества чисел в каждой строке.
Каждый узел динамического списка,
использующегося в программе, имеет следующую структуру:
struct DirectedGraph
{oneArc;*previousArc; *nextArc;
};
В состав данной структуры входят:
переменная-представитель структурного типа ArcGraph
oneArc, два указателя
типа int (под данные
типа int отводится
четыре байта). Так как структура ArgGraph
состоит из двух переменных типа int,
то переменная oneArc имеет
размер 8 байт. И этого следует, что данная структура имеет размер 4+4+8 = 16
байт.
Матрица смежности имеет тип bool,
то есть каждый элемент матрицы будет иметь размер 1 байт.
Так же в программе содержатся: указатель на
объект класса ostream,
занимающий 80 байт, объект класса fstream,
занимающий 184 байта, объект класса string,
занимающий 32 байта, пять переменных типа short,
каждая из которых занимает 2 байта, три переменных типа int,
занимающих по 4 байта, переменная типа bool,
занимающая 1 байт и семнадцать переменных типа char,
занимающих по 1 байту.
Приняв за M
количество дуг в графе, за N
количество вершин, а так же с учётом памяти, занимаемой всеми переменными, мы
получим следующую формулу
Заключение
Во время выполнения курсовой работы был
разработан алгоритм, решающий поставленную задачу. По составленному алгоритму
была написана программа, позволяющая:
· Вводить список окрестностей
ориентированного графа из файла;
· Выводить на экран или в файл список
окрестностей и степени исхода всех вершин;
· Находить вершину с наибольшей
степенью исхода;
· Удалять вершины, смежные с вершиной,
имеющей наибольшую степень исхода;
· Составлять матрицу смежности и
выводить её на экран или в файл.
Список использованной
литературы
«C/C++
программирование на языке высокого уровня» Т. А. Павловская.
«Полный
справочник по С++, 4-е издание» Герберт Шилдт
«Теория
графов» В. В. Белов, У. М. Воробьёв.
Решение контрольных примеров
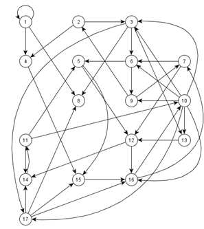
Пример 1
Исходный граф:
Граф после удаления:
матрица смежный граф алгоритм
Анализ временной сложности:
Используя формулу 1, а так же с
учётом того, что M = 38, 
16, N = 17,
степень исхода вершины 1: 3, степень исхода вершины 2: 2, степень исхода
вершины 3: 4, степень исхода вершины 4: 1, степень исхода вершины 5: 2, степень
исхода вершины 6: 2, степень исхода вершины 7: 2, степень исхода вершины 8: 1,
степень исхода вершины 9: 2, степень исхода вершины 10: 6, степень исхода
вершины 11: 3, степень исхода вершины 12: 2, степень исхода вершины 13: 1,
степень исхода вершины 14: 1, степень исхода вершины 15: 1, степень исхода
вершины 16: 1, степень исхода вершины 17: 4, получим:
проходов по циклам.
Анализ ёмкостной сложности:
В данном примере количество дуг M = 38,
количество вершин N = 17. Теперь рассчитаем ёмкостную
сложность для данного примера:
байт памяти.
Результаты работы программы:
Пример 2
Исходный граф:
Граф после удаления:
Анализ временной сложности:
Для вычисления количества проходов
по циклам воспользуемся формулой 1:
проходов по циклам.
Анализ ёмкостной сложности:
В данном примере количество дуг M = 65,
количество вершин N = 31. Исходя из этого, рассчитаем ёмкостную сложность:
байт памяти.
Результаты работы программы:

Пример 3
Исходный граф:
Граф после удаления:
Анализ временной сложности:
Воспользовавшись формулой 1,
рассчитаем временную сложность программы для данного примера (количество дуг M
= 181, 
, N = 77):
проход по циклам.
Анализ ёмкостной сложности:
В данном примере количество дуг M =
181, количество вершин N = 77. Исходя из этого, вычислим ёмкостную сложность
программы для данного примера по формуле 2:
байт памяти.
Результаты работы программы:
4.
Исходный код программы:
#include "stdafx.h"
#include <iostream>
#include <fstream>
#include <string>
#include <Windows.h>namespace
std;ArcGraph {outVertexId;inVertexId;
};DirectedGraph
{oneArc;*previousArc;*nextArc;
};_input(int &var) {BAD_STATE =
2;{.clear();.sync();>> var;
} while(cin.rdstate() == BAD_STATE);
}_input(char &output, char mode
= 'b') {char OUTPUT_MODE = 'o', ASK_MODE = 'b', MAIN_MODE = 'm',
SOME_ACTIONS_MODE = 's';successfulInput;{.sync();>> output;(output ==
'e') exit(0);(mode) {OUTPUT_MODE: successfulInput = (output == 'f' || output ==
's'); break;ASK_MODE: successfulInput = (output == 'y' || output == 'n');
break;MAIN_MODE: successfulInput = (output == 'p' || output == 'm' || output ==
'd' || output == 'r'); break;SOME_ACTIONS_MODE: successfulInput = (output ==
'p' || output == 'm' || output == 's' || output == 'r'); break;
}
} while(!successfulInput);
}_input(string &var)
{.sync();(cin, var);
}fileExists(string fileName)
{(ifstream(fileName) != NULL);
}main() {(LC_ALL,
"Russian");("cls");DirectedGraph *firstArc,
*sideNode;ostream *out;fstream fileForOutput;string fileForOutputName;short
CURRENT_STAGE = 0;int vertexWithMaxLevel, maxLevel, NUM_VERTEX = 0;bool
**adjacencyMatrix, fileOutput;char action;static short START_EXECUTION = 0,
INPUT_DATA = 1, THE_MAIN_PART = 2, SOME_ACTIONS_PERFORMED = 3;static char
ASK_MODE = 'b', MAIN_MODE = 'm', SOME_ACTIONS_MODE = 's',= 'y', NO =
'n',_THE_SCREEN = 's', INTO_A_FILE = 'f',_INPUT = 'i', FOR_OUTPUT = 'o', FOR_APPEND
= 'a',_NEIBORHOODS = 'p', MAKE_ADJACENCY_MATRIX = 'm', DELETE_VERTEX = 'd',
RESTART_PROGRAM = 'r', SAVE_NEW_GRAPH = 's', EXIT = 'e';*assembleGraph(int
&NUM_VERTEX, ostream *stream);openFile(string fileName, char
mode);findVertexAndPrintNewList(DirectedGraph *firstNode, int NUM_VERTEX, int
&maxLevel, ostream *stream);**completeAdjacencyMatrix(DirectedGraph
*firstNode, int NUM_VERTEX);saveGraph(string fileName, DirectedGraph
*firstNode, int NUM_VERTEX);removeAdjacentVertex(DirectedGraph *&firstArc,
int NUM_VERTEX, int vertexId, int vertexLevel);removeNode(DirectedGraph *node,
DirectedGraph *&firstNode);printNeiborhoodsList(DirectedGraph *firstNode,
ostream *stream, int NUM_VERTEX, bool saveMode, string title =
"");printMatrix(bool **matrix, int dimension, ostream *stream, string
title = "");clearMatrix(bool **matrix, int dimention);(CURRENT_STAGE)
{START_EXECUTION:
cout << "Режим ввода данных (f - в
файл, s - на экран, e - выход): ";
_input(action, FOR_OUTPUT);(action)
{ON_THE_SCREEN:= &cout;= false;;INTO_A_FILE:
cout << "Имя файла для записи
(расширение не требуется): ";
_input(fileForOutputName);(fileExists("output/"+fileForOutputName+".txt"))=
openFile("output/"+fileForOutputName+".txt", FOR_APPEND);=
openFile("output/"+fileForOutputName+".txt", FOR_OUTPUT);=
&fileForOutput;= true;;
}_STAGE = INPUT_DATA;;INPUT_DATA:=
assembleGraph(NUM_VERTEX, out);_STAGE = THE_MAIN_PART;;THE_MAIN_PART:
cout << "Список доступных
действий:" << endl;<< PRINT_NEIBORHOODS << " -
вывести список окрестностей" << endl;<< MAKE_ADJACENCY_MATRIX
<< " - составить и вывести матрицу смежности" <<
endl;<< DELETE_VERTEX << " - удалить смежные с вершиной,
имеющей наибольшую степень исхода, вершины" << endl;<<
RESTART_PROGRAM << " - начать выполнение программы сначала"
<< endl;
cout << EXIT << " -
выход"
<< endl;
_input(action, MAIN_MODE);(action)
{PRINT_NEIBORHOODS:(firstArc, out, NUM_VERTEX, false, "Граф
задан
следующим
списком
окрестностей:");
*out << endl <<
endl;(fileOutput)
cout << "Список окрестностей
исходного графа записан в файл." <<
endl;;MAKE_ADJACENCY_MATRIX:= completeAdjacencyMatrix(firstArc,
NUM_VERTEX);(adjacencyMatrix, NUM_VERTEX, out, "Матрица
смежности
исходного
графа:
");(adjacencyMatrix, NUM_VERTEX);
*out << endl << endl;
if(fileOutput)<< "Матрица смежности
исходного графа записана в файл." <<
endl;;DELETE_VERTEX:= findVertexAndPrintNewList(firstArc, NUM_VERTEX, maxLevel,
out);
*out << endl;_VERTEX -=
maxLevel;(firstArc, NUM_VERTEX, vertexWithMaxLevel, maxLevel);
if(fileOutput)<< "Вершины, смежные с
вершиной, имеющей максимальную степень исхода, удалены," << endl
<< "Степени исхода всех вершин
записаны в файл." <<
endl;_STAGE = SOME_ACTIONS_PERFORMED;;RESTART_PROGRAM:(firstArc != NULL) {=
firstArc;= firstArc->nextArc;sideNode;
}(fileOutput) {.close();
*out << endl << endl;<<
"Запись в файл успешно завершена!" <<
endl;
}_STAGE = START_EXECUTION;;
};SOME_ACTIONS_PERFORMED:
cout << "Список доступных
действий:" << endl;<< PRINT_NEIBORHOODS << " -
вывести список окрестностей" << endl;<< MAKE_ADJACENCY_MATRIX
<< " - соствить и вывести матрицу смежности" <<
endl;<< SAVE_NEW_GRAPH << " - сохранить новый граф"
<< endl;<< RESTART_PROGRAM << " - начать выполнение
программы сначала" << endl;
cout << EXIT << " -
выход"
<< endl;
_input(action,
SOME_ACTIONS_MODE);(action) {PRINT_NEIBORHOODS:
printNeiborhoodsList(firstArc, out, NUM_VERTEX,
false, "Список окрестностей графа после удаления вершин, смежных с
вершиной, имеющей максимальную степень исхода:");
*out << endl <<
endl;(fileOutput)
cout << "Список окрестностей нового
графа записан в файл." <<
endl;;MAKE_ADJACENCY_MATRIX:= completeAdjacencyMatrix(firstArc,
NUM_VERTEX);(adjacencyMatrix, NUM_VERTEX, out, "Матрица
смежности
нового
графа:
");(adjacencyMatrix, NUM_VERTEX);
*out << endl << endl;
if(fileOutput)<< "Матрица смежности
нового графа записана в файл." <<
endl;;SAVE_NEW_GRAPH:
cout << "Введите имя нового графа:
";
_input(fileForOutputName);(!saveGraph(fileForOutputName,
firstArc, NUM_VERTEX))
cout << "Граф с таким именем "
<< fileForOutputName << " уже существует!" <<
endl;<< "Сохранение
графа
произведено
успешно."
<< endl;;RESTART_PROGRAM:(firstArc != NULL) {= firstArc;=
firstArc->nextArc;sideNode;
}(fileOutput) {.close();
cout << "Запись в файл успешно
завершена!" << endl;
}_STAGE = START_EXECUTION;;
}
}("pause");();
}*assembleGraph(int &NUM_VERTEX,
ostream *stream) {*firstNode = NULL, *lastNode = NULL,
*currentNode;getArcData(string graphName, int &NUM_VERTEX, DirectedGraph
*&lastNode, ostream *stream = &cout);graphName;<< "Имя
графа:
";
_input(graphName);(getArcData(graphName,
NUM_VERTEX, firstNode, stream)) {= firstNode;(getArcData(graphName, NUM_VERTEX,
lastNode)) {>previousArc = currentNode;>nextArc = NULL;>nextArc =
lastNode;= lastNode;
}
}firstNode;
}getArcData(string graphName, int
&NUM_VERTEX, DirectedGraph *&lastNode, ostream *stream = &cout)
{fstream fileForReadGraph;filePath = "graphs/";inVertexId;int counter
= 0;sideChar;bool firstIn = true;fileExists(string fileName);openFile(string
fileName, char mode);(firstIn) {(!fileExists(filePath+graphName+".txt"))
{
cout << "Графа с таким именем не
существует!" << endl << "Будет загружен стандартный файл
. . ." << endl;= "default";
}=
openFile(filePath+graphName+".txt", 'i');
*stream << "Граф
" << graphName << endl;= false;++;
}(fileForReadGraph.eof()) {=
true;_VERTEX = counter;= 0;.close();false;
}= (DirectedGraph*) new
(DirectedGraph);>previousArc = NULL;>nextArc = NULL;(lastNode == NULL) {
cout << "Память не выделилась!"
<< endl << "Выполнение программы завершено . . .";
Sleep(1000);(1);
}>> inVertexId;>oneArc.inVertexId
= inVertexId;>oneArc.outVertexId = counter;=
fileForReadGraph.get();(sideChar == '\n')++;true;
}findVertexAndPrintNewList(DirectedGraph
*firstNode, int NUM_VERTEX, int &maxLevelOfVertex, ostream *stream)
{counter, inVertexCounter, vertexWithMaxLevel = 0;= 0;(counter = 1; counter
<= NUM_VERTEX; counter++) {= 0;((firstNode != NULL) &&
(firstNode->oneArc.outVertexId == counter)) {++;= firstNode->nextArc;
}
*stream << "Степень
исхода
вершины
" << counter << ": " << inVertexCounter
<< endl;(inVertexCounter > maxLevelOfVertex) {= inVertexCounter;=
counter;
}
}
*stream << "Вершина
с
максимальной
степенью
исхода:
" << vertexWithMaxLevel << endl;vertexWithMaxLevel;
}foundInArray(int value, int *arr,
int rightBound) {counter, middle, leftBound = 0;((value > arr[rightBound])
|| (value < arr[leftBound]))-1;= 0;((rightBound-leftBound) > 1) {=
(rightBound+leftBound)/2;(arr[middle] < value)= middle;= middle;
}(counter = 0; counter <=
rightBound; counter++) {(arr[counter] == value)counter;
}-1;
}openFile(string fileName, char
mode) {filePointer;(mode) {'i': filePointer.open(fileName,
ios_base::in); break;'o': filePointer.open(fileName, ios_base::out);
break;'a': filePointer.open(fileName, ios_base::app); break;
}filePointer;
}removeNode(DirectedGraph *node,
DirectedGraph *&firstNode) {((node->previousArc != NULL) &&
(node->nextArc != NULL)) {>previousArc->nextArc =
node->nextArc;>nextArc->previousArc = node->previousArc;
} else if((node->previousArc ==
NULL) && (node->nextArc != NULL)) {>nextArc->previousArc =
NULL;= node->nextArc;
} else if((node->previousArc !=
NULL) && (node->nextArc == NULL)) {>previousArc->nextArc =
NULL;
} else if((node->previousArc ==
NULL) && (node->nextArc == NULL)) {= NULL;
}node;
}saveGraph(string fileName,
DirectedGraph *firstNode, int NUM_VERTEX) {fileExists(string
fileName);printNeiborhoodsList(DirectedGraph *firstNode, ostream *stream, int
NUM_VERTEX, bool saveMode, string title = "");openFile(string
fileName, char mode);(fileExists("graphs/"+fileName+".txt"))
return false;file;= openFile("graphs/"+fileName+".txt",
'o');(firstNode, &file, NUM_VERTEX, true);true;
}removeAdjacentVertex(DirectedGraph
*&firstArc, int NUM_VERTEX, int vertexId, int vertexLevel) {*currentNode,
*nodePointer, *sidePointer;counter, currentId, *adjacentVertex, *newVertexId,
NOT_FOUND = -1;noOneBefore;removeNode(DirectedGraph *node, DirectedGraph
*&firstNode);foundInArray(int value, int *arr, int rightBound);=
firstArc;((currentNode != NULL) && (currentNode->oneArc.outVertexId
!= vertexId))= currentNode->nextArc;= 1;= new int [vertexLevel];[0] =
currentNode->oneArc.inVertexId;>oneArc.inVertexId = 0;=
currentNode->nextArc;((currentNode != NULL) &&
(currentNode->oneArc.outVertexId == vertexId)) {[counter] =
currentNode->oneArc.inVertexId;= currentNode;= currentNode->nextArc;(nodePointer,
firstArc);++;
}= firstArc;(currentNode != NULL) {=
currentNode->oneArc.outVertexId;(foundInArray(currentId, adjacentVertex,
vertexLevel-1) != NOT_FOUND) {((currentNode != NULL) &&
(currentNode->oneArc.outVertexId == currentId)) {= currentNode;=
currentNode->nextArc;(nodePointer, firstArc);
};
}((currentNode != NULL) &&
(currentNode->oneArc.outVertexId == currentId))= currentNode->nextArc;
}= firstArc;= new int [NUM_VERTEX];=
0;(currentNode != NULL) {[counter] =
currentNode->oneArc.outVertexId;(currentNode->oneArc.inVertexId != 0) {=
true;= NULL;((currentNode != NULL) &&
(currentNode->oneArc.outVertexId == newVertexId[counter]))
{>oneArc.outVertexId = counter+1;(sidePointer != NULL) {(sidePointer, firstArc);=
NULL;
}(foundInArray(currentNode->oneArc.inVertexId,
adjacentVertex, vertexLevel-1) != NOT_FOUND) {(noOneBefore)
{>oneArc.inVertexId = 0;= currentNode;= currentNode->nextArc;
} else {= currentNode;=
currentNode->nextArc;(nodePointer, firstArc);
};
}(noOneBefore)= false;=
currentNode->nextArc;
}
} else {>oneArc.outVertexId =
counter+1;= currentNode->nextArc;
}++;
}= firstArc;(currentNode != NULL)
{(currentNode->oneArc.inVertexId == 0) {= currentNode->nextArc;;
}=
currentNode->oneArc.outVertexId;((currentNode != NULL) &&
(currentNode->oneArc.outVertexId == currentId)) {>oneArc.inVertexId =
foundInArray(currentNode->oneArc.inVertexId, newVertexId, NUM_VERTEX-1)+1;=
currentNode->nextArc;
}
}
}printNeiborhoodsList(DirectedGraph
*firstNode, ostream *stream, int NUM_VERTEX, bool saveMode, string title =
"") {*currentNode = firstNode;currentVertex;(!title.empty())
*stream << title;(saveMode)
{(currentNode != NULL) {= currentNode->oneArc.outVertexId;
*stream << endl <<
currentNode->oneArc.inVertexId;= currentNode->nextArc;((currentNode !=
NULL) && (currentNode->oneArc.outVertexId == currentVertex)) {
*stream << ' ' <<
currentNode->oneArc.inVertexId;= currentNode->nextArc;
}
}
} else {(currentNode != NULL) {
*stream << endl <<
(currentVertex = currentNode->oneArc.outVertexId) << ": ";
*stream <<
currentNode->oneArc.inVertexId;= currentNode->nextArc;((currentNode !=
NULL) && (currentNode->oneArc.outVertexId == currentVertex)) {
*stream << ' ' <<
currentNode->oneArc.inVertexId;= currentNode->nextArc;
}
}
}
}**completeAdjacencyMatrix(DirectedGraph
*firstNode, int NUM_VERTEX) {*currentNode = firstNode;currentId, rowCounter,
colCounter;**adjacencyMatrix = new bool* [NUM_VERTEX];(rowCounter = 0;
rowCounter < NUM_VERTEX; rowCounter++) {[rowCounter] = new bool [NUM_VERTEX];(colCounter
= 0; colCounter < NUM_VERTEX; colCounter++)[rowCounter][colCounter] = false;
}= firstNode;(currentNode != NULL)
{(currentNode->oneArc.inVertexId !=
0)[currentNode->oneArc.outVertexId-1][currentNode->oneArc.inVertexId-1] =
true;= currentNode->nextArc;
}adjacencyMatrix;
}printMatrix(bool **matrix, int
dimension, ostream *stream, string title = "") {rowCounter,
colCounter;(!title.empty())
*stream << title;(rowCounter =
0; rowCounter < dimension; rowCounter++) {
*stream << endl << ' '
<< matrix[rowCounter][0];(colCounter = 1; colCounter < dimension;
colCounter++) {
*stream << ' ' <<
matrix[rowCounter][colCounter];
}
}clearMatrix(bool **matrix, int
dimention) {(int counter = 0; counter < dimention; counter++)[] matrix[counter];[]
matrix;
}