Разработка программно-математического обеспечения корреляционного совмещения изображений с использованием быстрого преобразования Фурье
Министерство
образования и науки Российской Федерации
Федеральное
государственное бюджетное образовательное учреждение высшего профессионального
образования
Рязанский
государственный радиотехнический университет
Пояснительная
записка
к
квалификационной работе на соискание степени бакалавра
на тему
Разработка
программно-математического обеспечения корреляционного совмещения изображений с
использованием быстрого преобразования Фурье
Реферат
В данном дипломном проекте выполнена разработка программного стенда,
предназначенного для исследования и проведения прямого и обратного
преобразований Фурье. Программный стенд обеспечивает возможность выполнения
геометрических преобразований изображения, нахождение Фурье-образов
изображений.
Результаты будут использоваться в НИР проводимой на кафедре ЭВМ ФГБОУ ВПО
«РГРТУ».
The
abstract
degree project contains development
of a program complex, designed for the study and conduct of direct and reverse
Fourier transform. The software provides the ability to make image geometric
transformation, find the Fourier transformation of images
Results will be used in research and development.
Введение
Системы управления современными летательными аппаратами (ЛА)
предназначены для управления сложными многофункциональными объектами,
действующими в сложной окружающей обстановке. При этом канал зрительного
восприятия является одним из наиболее важных источников информации как в
автоматических, так и автоматизированных (человеко-машинных) системах
управления. Вследствие этого на передний план всё в большей степени выходят
задачи создания систем технического зрения (СТЗ) для различных типов ЛА
двойного назначения.
Определение местоположения летательного аппарата (ЛА) - это одна из
первостепенных задач современной авионики. Эксплуатация ЛА невозможна без
быстродействующей, надежной навигационной системы. Одним из наиболее динамично
развивающихся и перспективных направлений в данной области являются
корреляционно-экстремальные навигационные системы (КЭНС).
Назначение автономной системы навигации и целеуказания сводится к
максимально эффективному обнаружению определённых объектов на местности, их
классификации (идентификации) в пределах установленных классов и выдаче
соответствующих директив исполнительной системе управления.
Основой работы корреляционно-экстремальных навигационных систем является
сравнение изображения совокупности ориентиров (текущего изображения) с
эталонным изображением, полученным ранее. Разница в положении этих изображений
в принятой системе координат позволяет формировать команды для удержания
объекта управления на заданной траектории движения.
В корреляционно-экстремальных системах и алгоритмах важнейшую роль играет
программно-математический аппарат нахождения экстремального значения при
наибольшем совпадении эталонного и текущего изображения подстилающей
поверхности.
1.
Технико-экономическое обоснование
Актуальность выбранной темы дипломного проекта обуславливается общими
тенденциями широкого развития и внедрения корреляционно экстремальных
навигационных систем в современных летательных аппаратах.
В настоящее время КЭНС применяются в качестве систем навигации
(наведения) пилотируемых самолетов, дистанционно-пилотируемых летательных
аппаратов, ракет. При работе КЭНС происходит сравнение ТИ подстилающей
поверхности с ЭИ, хранящимся в бортовой базе данных. На этапе предполетной
подготовки в бортовую базу данных помещаются ЭИ той местности, над которой
будет происходить полет с учетом возможных отклонений от намеченного курса.
Общая схема функционирования системы сравнения ТИ с ЭИ показана на рисунке 1.1.
Рисунок 1.1 - Общая схема функционирования системы сравнения ТИ с ЭИ
ТИ представляет собой информацию о внешнем геофизическом поле. В качестве
таких полей могут быть использованы следующие виды полей различной физической
природы:
· оптическое
· радиолокационное
· радиотепловое
· магнитное
Для представления окружающей обстановки на борту ЛА наряду с другими
системами могут присутствовать подсистемы технического зрения (СТЗ), такие как:
· бортовая радиолокационная станция
· телекамера
· тепловизионный датчик
· лазерный локатор
В автоматизированных системах снижаются и требования к «разрешению»
распознающих алгоритмов. Системе информационной поддержки достаточно привлечь
внимание оператора к определённому участку сцены, после чего распознавание
точного типа объектов и принятие решения о необходимости тех или иных действий
осуществит сам оператор. При такой постановке задачи нет необходимости
поддерживать сверхподробную базу моделей возможных целей. База моделей может
включать лишь общее описание крупных классов целей. В то же время уменьшение
подробности выдаваемых оператору «подсказок» позволяет резко увеличить скорость
обработки информации, что ведёт к высвобождению вычислительных ресурсов для
решения других задач управления ЛА.
Задача автоматического или автоматизированного обнаружения ориентиров и
навигации над местностью является базовой во всём комплексе задач машинного
зрения в перспективных ЛА. Указанные задачи могут быть сформулированы следующим
образом:
· обнаружение объектов и изменений в сцене наблюдения;
· высокоточные измерения элементов сцены;
· слежение за объектами;
· самоориентация и самопозиционирование ЛА;
· реконструкция наблюдаемых поверхностей и обнаружение
трёхмерных структур;
· описание сцены и идентификация объектов.
Знание степени информативного соответствия эталонного изображения по
отношению к текущему изображению местности необходимо для корректного
заполнения бортовой базы данных, содержащей картографическую информацию о
местности или цифровую карту местности (ЦКМ). ЭИ может быть представлено в виде
предварительной картографической информации по маршруту полета, а также
информацией из географических информационных систем (ГИС).
Географическая информационная система (ГИС) - системы, предназначенные
для сбора, хранения, анализа и графической визуализации пространственных данных
и связанной с ними информации о представленных в ГИС объектах. Другими словами,
это инструменты, позволяющие пользователям искать, анализировать и
редактировать цифровые карты, а также дополнительную информацию об объектах.
К достоинствам ГИС относятся:
· Удобные инструменты визуализации данных
· Наиболее естественное отображение пространственной информации
· Мощные возможности пространственного моделирования
· Полноценная работа со стандартными СУБД и др.
Однако независимо от типа ЭИ знание степени информативного соответствия
изображения позволяет избежать излишней избыточности при заполнении базы данных
ЛА, то есть уменьшить объем данных, устранение которых не влечет за собой
снижения вероятности и точности корреляционной привязки.
Для решения поставленной задачи разрабатывается программный стенд,
предоставляющий возможности обработки входного изображения с целью получения
его Фурье-образа. Фурье-образ исходного изображения в дальнейшем послужит
основой для сравнения эталонного и текущего изображения.
Обеспечение лучших возможностей сравнения двух изображений позволяет
существенно сократить объем данных, хранящихся в бортовой базе данных, что
позволяет снизить её массогабаритные характеристики, стоимость,
энергопотребление.
1.1 Постановка
задачи
Квалификационная работа посвящена обработке изображения с целью получения
его Фурье-образов.
Для решения данной задачи необходимо:
1. Разработать программно - математическое обеспечение, позволяющее
произвести разложение изображения в Фурье-образ, используя быстрое
преобразование Фурье.
2. Разработать программно - математическое обеспечение, позволяющее
произвести обратное Фурье-преобразование, получить изображение из его
Фурье-образа.
. Произвести анализ результатов, полученных с помощью
разработанного программно - математического обеспечения.
Основным назначением разрабатываемого программного стенда является
реализация разложения изображения в Фурье-образ с помощью быстрого
преобразования Фурье с проверкой правильности разработанного программного
продукта на реальных образцах РЛИ.
Разрабатываемый программный стенд должен обладать следующими свойствами:
1) Программный стенд должен обеспечить:
· Выбор и загрузку исходного ТИ.
· Нахождение Фурье-образа загруженного исходного ТИ.
· Восстановление исходного изображения по полученному
Фурье-образу.
· Визуальное отображение найденного Фурье-образа исходного ТИ в
виде пары изображений.
В качестве исходного РЛИ должно использоваться растровое изображение в
формате битовой карты (BMP) с
256 градациями яркости серого цвета.
Программный стенд должен быть разработан на языке C++ в среде программирования C++ Builder версии 6.0 для операционной системы Windows XP(Windows 7), иметь
удобный пользовательский интерфейс.
2. Анализ
проблем, возникающих при совмещении изображений в корреляционно-экстремальных
навигационных системах
Корреляционно-экстремальные навигационные системы зарекомендовали себя
как надежные, точные и высокопроизводительные системы навигации. Однако
серьезным недостатком систем данного класса является высокая зависимость от
качества получаемых от датчиков различной физической природы изображений.
Между тем известно, насколько изменчивы и неформализуемы могут быть
факторы, влияющие на качество реальных изображений от датчиков и соответственно
- на вероятность успешного сопоставления текущего изображения закабинной сцены
и эталонного изображения, хранящегося в бортовой базе данных.
Перечислим эти факторы более подробно:
•шумовые эффекты - имеют десятки видов источников возникновения, к числу
которых можно отнести несовершенство сенсоров приёмо-передающей аппаратуры,
аппаратуры оцифровки изображений, трудные условия съёмки, недостаток освещения
и ряд других;
•сложный текстурированный фон, на котором должно происходить обнаружение
объектов;
•эффекты загораживания (заслонения) одних объектов другими, как правило,
не определённой заранее формы, например - облако на космофотоснимке и т. п., загораживающие
помехи;
•искажающие оптические эффекты в виде различных расфокусировок и
дисторсий, ракурсные искажения и др.;
•эффекты резкой смены освещения, блики, тени, особенно в динамически
меняющихся сценах;
•разнообразие или изменчивость самих объектов обнаружения - переменная
структура, дефекты, временные изменения формы, вегетационные циклы для
растительности и т. п.;
•эффекты изменения среды между сенсорами и объектами наблюдения -
задымления, атмосферные осадки, пыль, искусственные помехи и многие другие;
•несинхронная запись и обработка данных в динамических задачах
обнаружения, связанная с ограничениями компьютерных средств хранения и анализа
изображений, особенно критическими для приложений с требуемыми высокими
временами реакции системы обнаружения объектов; сюда можно отнести также сбои в
компьютерных программах обработки.
Даже беглый анализ приведенных факторов демонстрирует практическую
невозможность их полного формального математического описания - вероятностного,
радиометрического или геометрического. Отсутствие формализованного описания
ключевых факторов, вносящих неопределённость в процесс обработки, приводит к
тому, что говорить о существовании единственного оптимального алгоритма для
решения той или иной задачи обработки изображений в подобных случаях будет
невозможно ещё многие годы. Представим себе, что существует несколько
алгоритмов, достигающих примерно одинаковых результатов на «идеальных»
(неискажённых) изображениях. Тогда возникает естественный вопрос, как сравнить
эти алгоритмы по качеству их работы. При разработке реальных алгоритмов в
настоящее время стандарт де-факто состоит в проверке эффективности работы
сконструированных алгоритмов на огромных выборках реальных данных или
изображениях, содержащих по возможности все неприятные ситуации. Такие
алгоритмы, которые обладают устойчивостью к значительным искажениям и
меняющимся факторам, принято называть робастными. Робастность следует отнести к
основным практическим требованиям, предъявляемым при разработке алгоритмов
обнаружения объектов и других алгоритмов машинного зрения.
Локализация.
Важное отличие, присущее собственно проблеме обнаружения объектов на
изображениях по сравнению с задачами распознавания или интерпретации заранее
сегментированного образа, заключается в том, что обнаружение в практических
задачах всегда связано с процедурой поиска объекта. Именно реализация процедуры
поиска объекта связана с угрозой взрывообразного роста необходимого объёма
вычислений.
Проиллюстрируем
это на примере простой задачи поиска объекта путём сравнения текущего
изображения сцены с растровым эталоном или шаблоном формы объекта. Если
построить какой-либо функционал соответствия между объектом размером M×M и фрагментом M×M из изображения размера N×N, то простой перебор фрагментов требует количества вычислений не менее
чем 
операций,
что, например, при размере объекта 50×50, а изображения - 2000×2000 элементов составляет 10 миллиардов операций. Даже с учётом
значительного увеличения мощности современных БЦВМ (бортовая центральная
вычислительная машина), такие объёмы вычислений по-прежнему далеко выходят за
пределы возможностей реализации бортовых систем реального времени,
предназначенных для таких задач как навигация и наведение ЛА.
Более
того, реальные задачи обработки визуальной информации, как правило, изобилуют
дополнительными степенями свободы, когда искомая яркостно-геометрическая
структура на изображении может иметь не только произвольные положение, угловую
ориентацию и масштаб, но и подвергаться разным преобразованиям, не только
аффинным (однозначное сопоставление объектам их отображений в новой системе
координат) или проективным, но и гораздо более сложным. Всё это катастрофически
увеличивает потребное для корреляционного перебора время расчётов и требует
применения качественно иных идей по организации процесса обнаружения. В связи с
этим второе важнейшее свойство, которым должны, как правило, обладать алгоритмы
обнаружения объектов на изображениях, можно определить как точную локализацию.
Это
понятие означает, что необходимо не только обнаружить объект, но и точно
указать в системе координат изображения (или сцены) его положение в каком-либо
смысле. Несколько неясное толкование понятия «локализации», приведенное выше,
связано с тем, что по сравнению со своей эталонной моделью объект на реальном
изображении может быть заметно искажён геометрически, причём аналитическая
модель искажения может отсутствовать. В этих случаях локализация объекта
является нетривиальной задачей. В более простой ситуации, при аналитически
известной с точностью до параметров геометрии искажений, под точной
локализацией можно понимать знание о положении какой-либо характерной точки
объекта и параметрах геометрии искажения (углы поворота, элементы проективного
преобразования и т. п.). При этом встречающиеся случаи ошибок локализации
целесообразно разделить на две группы - нормальные и аномальные ошибки.
Нормальная
ошибка - это правильная локализация объекта с некоторой позиционной или
параметрической неточностью, характеризуемой количественными оценками. Для
объектов, характеризуемых габаритными размерами, большими 3×3…5×5
элементов изображения, позиционные нормальные ошибки могут быть значительно
меньше размера элемента изображения, уменьшаясь с величиной объекта. В этом
случае принято говорить о возможности субпиксельной локализации. Это особенно
важно для задач стереообнаружения, так как при малых параллаксах 3D-объектов
субпиксельная локализация самым существенным образом определяет точность их пространственного
положения.
К
аномальным ошибкам следует отнести ситуацию перепутывания объектов или
возникновение артефактов (ложных объектов) на фоне, что связано с фатальными
количественными ошибками позиционирования или просто ложным обнаружением.
Требования по исключению или ограничению уровня аномальных ошибок составляют
очень важную часть требований к алгоритмам обнаружения, так как ошибочное
целеуказание непосредственно приводит к формированию неэффективного управления.
Вычислительная
реализуемость.
Несмотря
на отмеченный ранее колоссальный прогресс вычислительной техники и создание
обширной специализированной процессорной базы для обработки изображений, для
основной массы бортовых приложений реального времени характеристики
вычислителей и их свойства всё ещё далеки от желаемых. Даже в случае реализации
простейших алгоритмов оконной фильтрации изображения с минимальной апертурой 3×3 элемента объём вычислений составляет десятки
операций на точку изображения. При обработке более высокого уровня необходимый
объём вычислений колеблется в пределах от сотен до тысяч операций на пиксел.
Если
размер анализируемого изображения составляет порядка 1000×1000 элементов, что не является чем-либо необычным для
современных видео датчиков (можно вспомнить, что бытовые цифровые фотоаппараты
давно превзошли отметку 5 Мпикс. в ПЗС-матрице (специализированная аналоговая
интегральная микросхема, состоящая из светочувствительных фотодиодов,
выполненная на основе кремния, использующая технологию ПЗС - приборов с
зарядовой связью)), мы получим оценку количества потребных вычислений порядка
нескольких гигабайтов операций на кадр.
Между тем, для приложений реального времени необходимо выполнять эти
вычисления в темпе кадровой развертки (не менее 25 кадров в секунду), что
приводит к оценке быстродействия около 50 Гфлопс (флопс - внесистемная единица,
используемая для измерения производительности компьютеров, показывающая,
сколько операций с плавающей точкой в секунду выполняет данная вычислительная
система). Сами по себе эти оценки сегодня не являются запредельными для ЭВМ
последнего поколения, однако следует учесть, что в случае создания систем
управления перспективных ЛА массогабаритные характеристики конструируемых
вычислительных устройств должны быть весьма ограничены. Таким образом,
вычислительная реализуемость алгоритмов по-прежнему относится к числу наиболее
важных факторов, учитываемых при их разработке.
Исходя из названных выше требованиям к алгоритмам сравнения изображений и
накладываемых на них ограничений из-за не идеальности условий полета и
возникающих помех, одной из важнейших задач, решаемых КЭНС, становится
приведение ТИ и ЭИ к максимально сравнимому виду. Дополнительная обработка
изображений перед их сравнением позволяет существенно снизить вероятность
возникновения ошибок в определении местонахождения как самого летательного
аппарата, так и объектов на сцене наблюдения.
3.
Преобразование Фурье. Фурье анализ
Фурье анализ на сегодняшний день, без сомнения самый распространенный
инструмент анализа, который применяется во всех отраслях науки и техники.
Однако до появления компьютеров дискретное преобразование Фурье (ДПФ)
использовалось редко, поскольку вычисление ДПФ 32 отсчетов требует 1024
операции комплексного умножения и сложения, что вручную считать довольно долго.
Однако первое упоминание об алгоритме быстрого преобразования Фурье относится к
работе Гаусса, в которой он использовал свойства периодичности
тригонометрических функций для расчета ДПФ. Однако на эту работу долгое время
никто не обращал внимания, до тех пор пока персональные компьютеры не получили
широкое распространение.
Первая программная реализация алгоритма БПФ была осуществлена в начале
60-х годов XX века Джоном Кули в вычислительном центре IBM под руководством
тески Джона Тьюки, а в 1965 году ими же была опубликована статья, посвященная
алгоритму быстрого преобразования Фурье. С этого момента начинается настоящая
БПФ-мания. Публикуются тысячи работ посвященных алгоритму БПФ, одна за одной
выходят монографии, программисты соревнуются в эффективности реализации
алгоритма. БПФ становится основным инструментом спектрального анализа сигналов.
3.1
Физический смысл БПФ
Рассмотрим физический смысл дискретного преобразования Фурье. Пусть есть
функция синуса x = sin(t).
Рисунок 3.1 - График функции x = sin(t)
Максимальная амплитуда этого колебания равна 1. Если умножить его на
некоторый коэффициент A, то получим тот же график, растянутый по вертикали в A
раз: x = Asin(t).
Частота колебания обратна периоду: ν = 1/T. Также говорят о круговой частоте,
которая вычисляется по формуле: ω= 2πν =
2πT. Откуда: x = A
sin(ωt).
Следующий параметр это фаза, обозначаемая как φ.
Она определяет сдвиг
графика колебания влево. В результате сочетания всех этих параметров получается
гармоническое колебание или просто гармоника:
Рисунок 3.2 - График гармонического колебания x=Asin(2πt/T+φ)
Очень похоже выглядит и выражение гармоники через косинус:
Рисунок 3.3 - График гармонического колебания x=Acos(2πt/T+φ)
Принципиальной разницы в приведенных представлениях нет. Достаточно
изменить фазу на π/2, чтобы перейти от синуса к косинусу и обратно. Далее
будем подразумевать под гармоникой функцию косинуса:
x = A cos(2πt/T + φ) = A cos(2πνt + φ) = A cos(ωt + φ) (3.1)
В природе и технике колебания, описываемые подобной функцией, чрезвычайно
распространены. Например, маятник, струна, водные и звуковые волны и прочее, и
прочее.
Преобразуем (3.1.1) по формуле косинуса суммы:
x = A cos φ cos(2πt/T) - A sin φ sin(2πt/T) (3.2)
Выделим в (3.2) элементы, независимые от t, и обозначим их как Re и Im:
x = Re cos(2πt/T) - Im sin(2πt / T) (3.3) = A cos φ, Im = A sin φ
По величинам Re и Im можно однозначно восстановить амплитуду и фазу
исходной гармоники:
и
(3.4)
Обратное
преобразование Фурье будет выглядеть следующим образом:
(3.5)
Раскладывая
каждое комплексное Xk на мнимую и действительную составляющие Xk = Rek + j Imk;
разкладывая экспоненту по формуле Эйлера на синус и косинус действительного
аргумента; перемножая полученные выражения; внеся 1/N под знак суммы и
перегруппировав элементы в две суммы, получаем:
(3.6)
Рассмотрим
следующую ситуацию. Пусть у нас есть звуковое или какое-либо иное колебание в
виде функции x = f(t). Пусть это колебание задано в виде графика для отрезка
времени [0, T]. Для обработки средствами вычислительной техники необходимо
выполнить дискретизацию. Отрезок делится на N-1 частей и сохраняются значения
функции x0, x1, x2,..., xN для N точек на границах отрезков t0 = 0, t1 = T/N,
t2 = 2T/N,..., tn =nT/N,..., tN = T.
Рисунок
3.4 - Дискретизация непрерывного сигнала
В
результате прямого дискретного преобразования Фурье были получены N значений
для Xk:
(3.7)
Если
применить обратное дискретное преобразование Фурье, то получится исходная
последовательность {x}. Исходная последовательность состояла из действительных
чисел, а последовательность {X} в общем случае комплексная.
Вернемся
к рассмотрению формулы (3.6). В левой части находится действительное число xn,
а справа - две суммы, одна из которых помножена на мнимую единицу j. Сами же
суммы состоят из действительных слагаемых. Отсюда следует, что вторая сумма
равна нулю, если исходная последовательность {x} была действительной.
Отбрасывая её, получаем:
(3.8)
Поскольку
при дискретизации были выбраны tn = nT/N и xn = f(tn), то можно выполнить
замену: n = tnN/T. В результате получим:
(3.9)
Сопоставляя
эту формулу с формулами (3.1) и (3.3) для гармоники:
x = A cos(2πt/T + φ)
= A cos(2πνt + φ) = A cos(ωt + φ)
(3.1) = Re cos(2πt/T) - Im sin(2πt / T) (3.3)
Сумма
(3.1.9) представляет собой сумму из N гармонических колебаний разной частоты,
фазы и амплитуды:
(3.10)
Функцию
Gk(t) = Ak cos(2πtk/T + φk) (3.11)
Будем
называть k-й гармоникой.
Амплитуда,
фаза, частота и период каждой из гармоник связаны с коэффициентами Xk
формулами:
(3.12)
Физический
смысл дискретного преобразования Фурье состоит в том, чтобы представить
некоторый дискретный сигнал в виде суммы гармоник. Параметры каждой гармоники
вычисляются прямым преобразованием, а сумма гармоник - обратным.
3.2
Использование двумерного дискретного преобразования Фурье для обработки
изображений
Двумерное дискретное преобразование Фурье является преобразованием Фурье
для последовательности конечной длины, являющееся само по себе также конечной
последовательностью, а не непрерывной функцией, и соответствует равноудаленным
по частоте выборкам преобразования Фурье-сигнала. Дискретное преобразование
Фурье (ДПФ) играет центральную роль в разработке ряда алгоритмов обработки
сигналов вследствие существования эффективных алгоритмов вычисления ДПФ.
Представление двумерной последовательности дискретным преобразованием
Фурье имеет большое значение при дискретной обработке двумерных сигналов
(фотографии, изображения и т.п.). Двумерное ДПФ может быть описано следующим
образом:
, (3.13)
где
- функция, описывающая исходное прямоугольное
изображение, состоящее из N строк и M столбцов;
-
Фурье-образ изображения
;
- мнимая
единица;
,
.
Зависимость
(4.1) может быть представлена следующим образом:
, (3.14)
где
,
.
Число
является комплексным, поэтому с учетом равенства
зависимости (3.13) и (3.14) соответственно примут
вид:
, (3.15)
(3.16)
Из
выражения (3.15) можно выразить коэффициенты
и
, определяющие действительную и мнимую части числа
:
, (3.17)
. (3.18)
3.3
Повышение быстродействия преобразования Фурье на основе быстрого двумерного
преобразования Фурье
Использование алгоритма дискретного преобразования Фурье является не
очень практичным вследствие больших затрат времени на его реализацию. Поэтому
на практике используют алгоритмы быстрого преобразования Фурье (БПФ). В БПФ
обычно число данных ограничено и выражено степенью с основанием 2 (2, 4, 8, 16,
32, 64, 128, …). Но, несмотря на это ограничение, БПФ всё равно используется
благодаря практичности и высокой скорости вычислений.
БПФ - это алгоритм вычисления, который успешно использует свойства
периодичности тригонометрических функций для того, чтобы избежать ненужных
вычислений в дискретном преобразовании Фурье.
При
вычислении ДПФ для
значений необходимо умножить
раз и сложить
раз.
Если
невелико, как в приведенном примере, то объем
вычислений тоже мал, но если
,
например, равно 1000, то число операций достигает 1000000, что крайне
затрудняет аппаратную реализацию алгоритма.
Алгоритм
вычисления БПФ называется методом вычисления "бабочкой". Так, для
одномерной 4-точечной функции
он
выглядит следующим образом:
, (3.19)
, (3.20)
, (3.21)
, (3.22)
где
- комплексный член дискретного ряда Фурье;
;
- число
точек функции
.
Вычисление
совокупности зависимостей (3.19) - (3.21) осуществляется в 2 этапа. На 1-м
этапе осуществляется нахождение следующих коэффициентов:
, (3.23)
, (3.24)
, (3.25)
. (3.26)
На
2-м этапе на основе значений
(
) вычисляются коэффициенты
(
)
4-точечного БПФ:
,
,
,
.
Одним
из главных пунктов в алгоритме быстрого преобразования Фурье является метод
вычисления "бабочкой". Еще один важный момент заключается в
последовательных разбиениях ряда значений сигнала на две группы и перестановке
значений сигнала таким образом, чтобы в последующем перейти к методу вычисления
"бабочкой". Способ перестановки значений функции
называется техникой сортировки. Техника сортировки
основана на перестановке разрядов. Ряд значений функции
расстанавливается в порядке
,
,
,
(в
случае БПФ из 4-х членов) и в порядке
,
,
,
,
,
,
,
(в случае БПФ из 8-и членов). Таким образом, значение
индекса получается из исходного перестановкой старших и младших разрядов. Это
правило является универсальным для любого числа членов ряда.
Например,
двумерное 32x32-точечное БПФ вычисляется путем вычисления
коэффициентов
для каждой строки изображения за счет последующего их
умножения на величину
:
, (3.27)
, (3.28)
3.4
Определение числа коэффициентов, необходимых для анализа изображения
Для анализа изображений по их Фурье-образам необходимо определить
достаточное для анализа количество коэффициентов. Это позволит сократить время
анализа. Ниже приводятся примеры описания простых изображений посредством
коэффициентов ряда Фурье.
1) Описание одиночной точки на черном фоне
Воспользовавшись
зависимостями (3.17) и (3.18) можно получить следующие выражения:
, (3.29)
, (3.30)
, (3.31)
, (3.32)
. (3.33)
Из
совокупности зависимостей (3.29) - (3.33) можно выразить координаты x и y,
описывающие одиночную точку на черном фоне:
, (3.34)
. (3.35)
Как
видно из зависимостей (3.34) - (3.35), одиночная точка на черном фоне
описывается 3-мя коэффициентами ряда Фурье. Из этого следует, что для
уменьшения числа коэффициентов ряда Фурье, необходимых для анализа изображения,
следует проводить контрастирование исходного изображения.
2) Описание линии по горизонтали, состоящей из двух точек, на черном фоне
Такое изображение согласно (3.5) и (3.6) имеет следующее описание:
, (3.36)
, (3.37)
(3.38)
, (3.39)
, (3.40)
где
и
-
координаты точек линии.
Из
выражений (3.24) - (3.28) следует, что координаты искомого объекта могут быть
найдены как:
, (3.41)
. (3.42)
Как
видно из совокупности (3.41) - (3.42) линия по горизонтали, состоящая из двух
точек, описывается четырьмя коэффициентами ряда Фурье.
3.5
Восстановление изображений на основе Фурье-образов
Для проверки правильности нахождения Фурье-образа необходимо осуществить
восстановление исходного изображения путем обратного преобразования Фурье,
которое осуществляется согласно следующей зависимости:
(3.43)
3.6
Нахождение корреляционной функции радиолокационного и моделируемого изображений
на основе их Фурье образов
Корреляционный анализ радиолокационного и моделируемого изображений
целесообразно осуществлять на основе их Фурье-образов. Так корреляционная
функция Фурье-образов радиолокационного и моделируемого изображений примет вид:
, (3.44)
, (3.45)
где
- корреляционная функция радиолокационного и
моделируемого изображений по коэффициенту
ряда
Фурье (т.е. по косинусному ряду);
-
корреляционная функция радиолокационного и моделируемого изображений по
коэффициенту
ряда Фурье (т.е. по синусному ряду);
и
- коэффициенты ряда Фурье для радиолокационного
изображения;
и
- коэффициенты ряда Фурье для моделируемого
изображения;
- размер
сравниваемых изображений.
Алгоритм
нахождения корреляционной функции при совмещении радиолокационного и
моделируемого изображений, основанный на вычислении зависимостей (3.44) и
(3.45) представлен на рисунке 3.5.
Рисунок
3.5 - Алгоритм нахождения корреляционной функции при совмещении
радиолокационного и моделируемого изображений
3.7
Алгоритмы быстрого преобразования Фурье FFT (fast Fourier transform). Принцип
построения
Рассмотрим выражение для дискретного преобразования Фурье:
(3.46)
ДПФ
N отсчетам сигнала s(n), n=0..N-1(в
общем случае комплексным) ставит в соответствие N комплексных
отсчетов спектра S(k), k=0..N-1, причем для вычисления одного спектрального отсчета
требуется N операций комплексного умножения и сложения. Таким
образом вычислительная сложность алгоритма ДПФ составляет N2
комплексных умножений и сложений. При этом можно заметить что если одно ДПФ на N
точек (отсчетов) заменить вычислением двух ДПФ по N/2 точек, то
это приведет к уменьшению количества операций в 2 раза. Замена N-точечного
ДПФ двумя N/2 точечными представлено на рисунке 3.6.
Рисунок
3.5 - Замена N-точечного ДПФ двумя N/2-точечными ДПФ
При
этом каждое из N/2 - точечных ДПФ также можно вычислить путем замены N/2 -
точечного ДПФ на два N/4-точечных. В этом случае количество вычислительных
операций равно 4*(N2/16)= N2/4. Таким образом, можно продолжать разбиение
исходной последовательности до тех пор, пока возможно деление
последовательности на две. Для N=8 (L=3) такое разбиение представлено на рисунке 3.6.
Рисунок
3.6 - Разбиение и объединение последовательностей при N = 8
Каждое
разбиение делит последовательность на две половинной длительности (красную и
синюю), а каждое объединение «собирает » из двух последовательностей одну
удвоенной длительности.
Алгоритмы
БПФ, которые используют выборки длиной N=2L,
называются «алгоритмами БПФ по основанию 2». Данные алгоритмы получили
наибольшее распространение, из-за того что в машинной арифметике N=2L
является «круглым» числом. Далее мы будем рассматривать только алгоритмы по
основанию 2.
Очевидно
что делить последовательности на две можно по-разному, однако от этого зависит
сможем ли мы при объединении получить неискаженный спектр сигнала и чего с
точки зрения вычислительных затрат это будет нам стоить. Можно сказать, что
эффективность алгоритма БПФ полностью зависит от способа разбиения и
объединения последовательности, поскольку если не учитывать операции на
разбиение-объединение, то для расчета спектра требуется N/2
раз посчитать ДПФ на 2 точки, в результате общее количество вычислительных
операций составит 2*N, то есть количество операций линейно зависит от
величины выборки.
Мы
рассмотрим два способа разбиения - объединения: прореживание по времени и
прореживание по частоте.
Перед
рассмотрением способов разбиения - объединения требуется рассмотреть обратное
дискретное преобразование Фурье (ОДПФ):
(3.47)
которое
ставит в соответствие N комплексным отсчетам спектра S(k), k=0..N-1 N
комплексных значений сигнала s(n), k=0..N-1.
Имея
алгоритм вычисления БПФ, логично использовать его и для обратного преобразования.
Для этого обратим внимание на то, что:
(3.48)
Другими
словами комплексные экспоненты в выражении для прямого и обратного ДПФ являются
комплексно-сопряженными (черта сверху означает комплексное сопряжение). Теперь
рассмотрим два комплексных числа x=a+jb и y=c+jd.
Рассмотрим
произведение x на комплексно-сопряженное y:
(3.49)
Теперь
рассмотрим произведение комплексно-сопряженного
на y:
(3.50)
Сравнивая
(3.49) и (3.50) можно сделать вывод:.
(3.51)
Применительно
для выражения ОДПФ можно записать:
(3.52)
Таким
образом, берется комплексно-сопряженный спектр
выполняется
прямое ДПФ, и результат подвергается комплексному сопряжению. Вычисление ОДПФ
при использовании ДПФ приведено на рисунке 3.7.
Рисунок
3.7 - Вычисление обратного ДПФ через прямое
Если
вместо ДПФ использовать БПФ, то получим обратное быстрое преобразование Фурье
(ОБПФ). При этом для выполнения комплексного сопряжения необходимо лишь
поменять знак перед мнимой частью спектра до вызова функции БПФ и результата
после БПФ.
3.8 БПФ по
основанию 2 с прореживанием по времени
Ранее были приведены выражения для ДПФ и схема процедуры
разбиения-объединения. Они потребуются нам для дальнейшего изложения, поэтому
приведем их без пояснений.
Выражение для ДПФ имеет вид:
(3.53)
Процедура
разбиения-объединения представлена на рисунке 3.8.
Рисунок
3.8 - Разбиение и объединение последовательностей при N = 8
Вначале
комплексную экспоненту в выражении (3.53) обозначим как:
(3.54)
Тогда
выражение (3.53) принимает вид:
(3.55)
Прореживание
по времени заключается в разбиении исходной последовательности отсчетов s(n), n=0..N-1
на две последовательности длительности N/2 s0(n) и s1(n) , n=0..N-1,
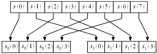
таких что s0(n)=s(2n), а s1(n)=s(2n+1), n=0..N/2-1. Другими словами, последовательность s0(n)
содержит отсчеты последовательности s(n) с четными
индексами, а s1(n) - с нечетными. Прореживание по времени для N = 8
наглядно представлено на рисунке 3.9.
Рисунок
3.9 - Прореживание по времени для N=8
Рассмотрим
ДПФ сигнала прореженного по времени:
(3.56)
Если
рассмотреть только первую половину спектра S(k), k=0..N-1,
а также учесть что
, (3.57)
тогда
(3.8.4) можно записать:
(3.58)
где
S0(k) и S1(k) - точечные ДПФ последовательностей «четной» s0(n) и
«нечетной» s1(n), n=0..N/2-1
(3.59)
Прореживание
по времени можно считать алгоритмом разбиения последовательности на две
половинной длительности. Первая половина объединенного спектра есть сумма
спектра «четной» последовательности и спектра «нечетной» последовательности,
умноженного на коэффициенты
, которые
носят названия поворотных коэффициентов.
Процедура
объединения. Граф «Бабочка»
Теперь
рассмотрим вторую половину спектра S(k+N/2),
k=0..N/2-1:
(3.60)
Рассмотрим
подробнее множитель.
(3.61)
Учтем
что,
(3.62)
тогда
выражение (3.60) справедливо для любого целого n, тогда (3.59)
можно записать :.
(3.63)
Рассмотрим
теперь поворотный коэффициент в (3.8.8):
. (3.64)
Тогда
выражение (3.60) с учетом (3.63) и (3.64) принимает вид:
(3.65)
Таким
образом окончательно можно записать:
(3.66)
Выражение
(3.66) представляет собой алгоритм объединения при прореживании по времени.
Данную процедуру объединения можно представить в виде графа (рисунок 3.10),
который называется «Бабочка».
Рисунок
3.10 - Процедура объединения на основе графа « Бабочка »
Представим
в виде графа алгоритм БПФ с прореживанием по времени основанный на разбиении -
объединении при (рисунок 3.11).
Рисунок
3.11 - Граф алгоритма БПФ с прореживанием по времени при N=8
На
первом этапе отсчеты входного сигнала переставляются местами и исходная
последовательность делится на «четную» и «нечетную последовательности»
(обозначены красными и синими стрелками). Потом «четная» и «нечетная»
последовательности в свою очередь делятся на «четную» и «нечетную»
последовательности. При N=2L такое деление можно делать (L-1) раз. В
нашем случае L=3. Данная процедура называется двоично-инверсной
перестановкой, так можно выполнить перенумерацию отсчетов переписав номер
отсчета в двоичной системе в обратном направлении. Например s(4)
имеет индекс в десятичной системе счисления 410=1002, если же 1002 переписать
справа налево то получим 0012, то есть s(4) после
разбиения на четные нечетные перед первой операцией «Бабочка» встанет на место s(1),
которая в свою очередь встанет на место s(4). По
аналогичному правилу поменяются местами все отсчеты, при этом некоторые
останутся на месте, в частности s(2), так как если 210=0102 переписать справа налево то
все равно останется 0102, аналогично s(0), s(5) и s(7).
Очень важно понять, что данный метод перенумерации должен применяться при
записи числа в двоичной системе состоящей из L разрядов.
Можно
сказать что напрямую двоично-инверсная перестановка удобна когда заранее
количество отсчетов входного сигнала фиксировано, однако в универсальных
алгоритмах БПФ на различные размеры N, двоично-инверсная перестановка
не эффективна, проще и быстрее поменять отсчеты местами.
После
двоично-инверсной перестановки получаем четыре 2-точечных ДПФ:
(3.67)
На
основе четырех 2-точечных ДПФ формируются два 4-точечных ДПФ:
(3.68)
И
на последнем уровне формируется полный спектр входного сигнала.
Поворотные
коэффициенты
Рассмотрим
подробнее поворотные коэффициенты
.
На
первом уровне (выражение (3.67)) требуется всего один поворотный коэффициент
, это означает что на первом уровне расчета спектра
операции умножения не требуются (умножения на ±1 называются тривиальными, так
как при умножении на ±1 множитель остается неизменным или меняет свой знак на
противоположный).
На
втором уровне имеем два поворотных коэффициента:
;
(3.69)
Умножение
на мнимую единицу также можно считать тривиальным, так как реальные и мнимые
части комплексного числа просто меняются местами и изменяют свой знак.
На
третьем уровне имеем уже 4 поворотных коэффициента:
(3.70)
Графически
поворотные коэффициенты можно представить как векторы на комплексной плоскости
(рисунок 3.12):
Рисунок
3.12 - Поворотные коэффициенты алгоритма БПФ с прореживанием по времени при N=8
Можно
заметить что на всех уровнях объединения количество поворотных коэффициентов
удваивается, причем все поворотные коэффициенты предыдущего уровня объединения
присутствуют и на следующем уровне. Таким образом для того чтобы перейти на
следующий уровень необходимо между поворотными коэффициентами текущего уровня
вставить поворотные коэффициенты следующего. Графически для перехода на
следующий уровень при N =16 необходимо дополнить рисунок 3.12 как это
показано на рисунке 3.13. Серые вектора показывают поворотные коэффициенты,
которые будут присутствовать на последнем уровне при N=16, которых
нет при N=8 .
Рисунок
3.13 - Поворотные коэффициенты алгоритма БПФ с прореживанием по времени при N=16
Необходимо
также отметить, что все поворотные коэффициенты за исключением нулевого,
находятся в нижней полуплоскости комплексной плоскости.
Вычислительная
эффективность алгоритма БПФ с прореживанием по времени
Алгоритм
с прореживанием по времени на каждом уровне требует N комплексных
умножений и сложений. При N=2L количество уровней разложения - объединения равно L,
таким образом общее количество операций умножения и сложения равно LN.
Рассмотрим
во сколько раз алгоритм БПФ с прореживанием по времени эффективнее ДПФ. Для
этого рассмотрим коэффициент ускорения K отношение
количества комплексных умножение и сложений при использовании ДПФ и БПФ, при
этом учтем что L=log2(N)
раз. (3.71)
В
таблице ниже приведено требуемое количество операций Mоп для
алгоритма ДПФ при различном N=2L и при использовании БПФ с прореживанием по времени.
Таблица
3.1. Эффективность БПФ с прореживанием по времени
|
L
|
4
|
6
|
8
|
10
|
12
|
|
N
|
16
|
64
|
256
|
1024
|
4096
|
|
Mоп ДПФ
|
256
|
4096
|
65536
|
1048576
|
16777216
|
|
Моп БПФ
|
64
|
384
|
10240
|
49152
|
|
К, раз
|
4
|
10,7
|
32
|
102,4
|
341
|
Из таблицы хорошо видно, что использование БПФ приводит к существенному
уменьшению требуемого количества вычислительных операций. Так например при
Т=1024 БПФ требует в 100 раз меньше операций чем ДПФ, а при Т=4096 в 341 раз.
Первое опубликование данных результатов произвело эффект разорвавшийся бомбы,
всколыхнув всю научную общественность. При этом очень важно, что выигрыш по
производительности тем больше, чем больше размер выборки N. Так например при N=216 выигрыш составит216/16=212=4096
раз.
Таким образом, для получения эффективного алгоритма БПФ по основанию 2 с
прореживанием по времени, при N=2L необходимо:
Осуществить двоично-инверсную перестановку отсчетов входного сигнала, тем
самым обеспечив разбиение последовательности.
Используя поворотные коэффициенты сделать N/2 операций «Бабочка» согласно выражению (3.68) для получения
первого объединения
Повторить операцию «Бабочка» согласно выражению (3.68) для объединения на
следующий уровень еще L-1
раз, также используя поворотные коэффициенты.
На выходе получим ДПФ входной последовательности.
3.9
Алгоритм БПФ с прореживанием по частоте
Снова запишем выражение для дискретного преобразования Фурье сигнала:
(3.72)
В
алгоритме БПФ с прореживанием по времени производилось разделение исходного
сигнала в соответствии с двоично-инверсной перестановкой. В алгоритме с
прореживанием по частоте наоборот исходный сигнал s(n)
делится пополам, т.е. s0(n)=s(n) и s1(n)=s(n+N/2), n=0..N/2-1. Тогда выражение (3.9.1) можно переписать:
(3.73)
Учитывая,
что:
(3.74)
(3.75)
Рассмотрим
теперь четные отсчеты спектра S(2k), K=0..N/2
(3.76)
Учитывая,
что
(3.77)
Тогда
(3.78)
Таким
образом, четные отсчеты спектра рассчитываются как ДПФ суммы первой и второй
половины исходного сигнала.
Рассмотрим
теперь нечетные отсчеты спектра S(2k+1), k=0..N/2
(3.79)
Окончательно
выражение для четных и нечетных отсчетов спектра:
(3.80)
Прокомментируем
полученный результат, опираясь на все вышесказанное, и с оглядкой на алгоритм с
прореживанием по времени. При делении сигнала на четные и нечетные отсчеты, в
алгоритме с прореживанием по времени получали первую и вторую половины спектра.
В данном случае алгоритм с прореживанием по частоте наоборот, по первой и
второй половине сигнала позволяет рассчитать четные и нечетные спектральные отсчеты
(поэтому и называется прореживание по частоте). Разница алгоритмов еще и в том,
что при прореживании по времени умножение на поворотные коэффициенты
производилось после ДПФ четной и нечетной последовательности, а в данном
алгоритме умножение на поворотные коэффициенты производится до ДПФ.
Граф
бабочка для алгоритма с прореживанием по частоте представлен на рисунке 3.14:
Рисунок
3.14 - Граф бабочка для алгоритма БПФ с прореживанием по частоте
Поворотные
коэффициенты в алгоритме с прореживанием по частоте полностью совпадают с
поворотными коэффициентами алгоритма БПФ с прореживанием по времени.
Представим
в виде графа алгоритм БПФ с прореживанием по частоте основанный на разбиении -
объединении при N=8 (рисунок 3.15).
Рисунок
3.15 - Граф алгоритма БПФ с прореживанием по частоте для N=8
На
первом этапе исходный сигнал делится на 2 половины (красные и синие стрелочки).
Далее вычисляются
(3.81)
Тогда
если выполнить ДПФ S0(n) , то получим четные отсчеты спектра в соответствии с
(3.9.9), а если ДПФ S1(n) - то нечетные отсчеты спектра. Таким образом одно
ДПФ длительности N=8 заменили двумя ДПФ длительности N/2=4
. Для вычисления каждой из ДПФ половинной длительности снова применим
прореживание по частоте. В результате получим:
(3.82)
В
результате получили 4 ДПФ по 2 точки каждое, которые также можно выполнить при
помощи графа бабочки. На выходе получим спектральные отсчеты, которые будут
переставлены. На первом уровне преобразования получались четные и нечетные
отсчеты спектра, на втором уровне четные и нечетные отсчеты делились снова на
четные и нечетные. В результате для расстановки спектральных отсчетов на места
необходимо применить двоично-инверсную перестановку.
Сравнение
алгоритмов БПФ по основанию 2 с прореживанием по времени и частоте
Можно
произвести сравнение алгоритма БПФ с прореживанием по частоте с алгоритмом БПФ
с прореживанием по времени:
.
В обоих алгоритмах используется двоично-инверсная перестановка. В алгоритме с
прореживанием по времени она используется вначале, в алгоритме с прореживанием
по частоте - в конце.
.
В обоих алгоритмах используются одни и те же поворотные коэффициенты. В
алгоритме с прореживанием по времени поворотные коэффициенты умножаются на
результат укороченного ДПФ, а в алгоритме с прореживанием по частоте умножение
на поворотные коэффициенты осуществляется до укороченного ДПФ.
.
В связи с вышесказанным, вычислительная эффективность обоих алгоритмов
практически идентична.
Выводы
Подведем
итог. Выше были рассмотрены пути уменьшения вычислительных затрат при
использовании ДПФ. Рассмотрены наиболее распространенные алгоритмы БПФ с
прореживанием по времени и по частоте и показана эффективность данных
алгоритмов.
Необходимо
отметить, что алгоритмы БПФ не ограничиваются алгоритмом с прореживанием по
времени и по частоте. Существует множество других алгоритмов, например
алгоритмы по основанию четыре, обобщенные алгоритмы для произвольных длин и
т.д. Существует также алгоритм Винограда, обеспечивающий минимальное количество
умножений из всех возможных алгоритмов. Но на практике наиболее широко
используются именно алгоритмы по основанию два. Это обусловлено несколькими
причинами:
.
Простота программной реализации алгоритмов и в тоже время высокая
эффективность.
.
Выигрыши, получаемые альтернативными алгоритмами БПФ, незначительные по
сравнению с алгоритмами по основанию два и нивелируются экспоненциально
растущими вычислительными мощностями процессоров.
.
Алгоритмы по основанию два прекрасно «распараллеливаются» при использовании
жесткой логики.
Все
это переводит альтернативные алгоритмы БПФ в разряд «экзотики», и на практике
алгоритмы по основанию два являются оптимальным выбором.
Однако
у алгоритмов БПФ есть и недостатки. В результате того что ускорение вычислений
достигается за счет максимального использования данных рассчитанных на
предыдущем этапе, в алгоритме БПФ происходит когерентное накопление ошибок
округления при умножении и сложении. Однако данный эффект оказывает
сколь-нибудь существенное влияние при арифметике с фиксированной точкой и
представлении чисел с количеством разрядов менее 8-ми. При представлении чисел
с плавающей точкой или 8-ми или большей разрядности данным эффектом можно
пренебречь, так как он практически не повлияет на точность расчета спектра.
4.
Разработка программно-математического обеспечения
.1
Разработка алгоритмов
Исходя из поставленной задачи, разрабатываемый программный стенд должен
содержать следующие блоки:
· ввод исходного изображения для Фурье-преобразования;
· Фурье-преобразование изображения;
· выполнение геометрических искажений изображения;
4.1.1
Нахождение Фурье-образа изображения
В данной работе был применен алгоритм Фурье-преобразования, состоящий из
следующих этапов:
) Предварительная перестановка элементов;
) Основной цикл алгоритма Фурье-преобразования, сводящийся
непосредственно к нахождению Фурье-образа изображения.
На первом шаге четные элементы с номером n переместились в позицию n/2, а
нечетные из позиции в позицию N/2+(n-1)/2. Где n=0,1,…,N-1. Таким образом,
новая позиция вычисляется из старой позиции с помощью функции:
(n,N) = [n/2] + N{n/2}
Здесь [x] означает целую часть числа, а {x} - дробную.
В ассемблере эта операция называется циклическим сдвигом вправо (ror),
если N - это степень двойки. Название операции происходит из того факта, что
берется двоичное представление числа n, затем все биты, кроме младшего (самого
правого) перемещаются на 1 позицию вправо. А младший бит перемещается на
освободившееся место самого старшего (самого левого) бита.
Рисунок
4.1 - Схема циклического сдвига вправо
Дальнейшие
разбиения выполняются аналогично. На каждом следующем шаге количество
последовательностей удваивается, а число элементов в каждой из них уменьшается
вдвое. Операции ror подвергаются уже не все биты, а только несколько младших
(правых). Старшие же j-1 битов остаются нетронутыми (зафиксированными), где j -
номер шага:
Рисунок
4.2 - Схема разбиения на шаге j
На
рисунке 4.3 проиллюстрирован второй этап вычисления ДПФ. Линиями сверху вниз
показано использование элементов для вычисления значений новых элментов. Очень
удобно то, что два элемента на определенных позициях в массиве дают два
элемента на тех же местах. Только принадлежать они будут уже другим, более
длинным массивам, размещенным на месте прежних, более коротких. Это позволяет
обойтись одним массивом данных для исходных данных, результата и хранения
промежуточных результатов для всех T итераций.
Рисунок
4.3 - Схема второго этапа вычисления ДПФ
Схема алгоритма второго шага преобразования Фурье представлена на рисунке
4.4.
Рисунок
4.4 - Схема алгоритма вычисления второго этапа ДПФ
Внешний
цикл - это основные итерации. На каждой из них 2Nmax/N ДПФ (длиной по N/2
элементов каждое) преобразуются в Nmax/N ДПФ (длиной по N элементов каждое).
Следующий
цикл по k представляет собой цикл синхронного вычисления элементов с индексами
k и k + N/2 во всех результирующих ДПФ.
Самый
внутренний цикл перебирает Nmax/N штук ДПФ одно за другим.
4.1.2
Восстановление исходного изображения по его Фурье-образу
Восстановление исходного изображение на основе его Фурье-образа
производится аналогично поиску самого Фурье-образа. Отличием является то, что в
качестве аргумента для вычислений используются значения Фурье-коэффициентов,
найденных ранее, а не значение яркостей пикселей изображения. После завершения
трех основных циклов алгоритма, необходимо произвести нормирование найденных
значений. Это производится с целью корректного графического отображения
полученных значений.
Схема алгоритма нахождения исходного изображения по его Фурье-образу
представлена на рисунке 4.5.
Рисунок
4.5 - Схема алгоритма нахождения исходного изображения по его Фурье-образу
4.2
Разработка программного обеспечения
совмещение изображение корреляционный фурье
Требования к программной системе (или же отдельной программе) принято
классифицировать как функциональные, нефункциональные и требования предметной
области.
. Функциональные требования. Это перечень сервисов, которые должна
выполнять система, причем должно быть указано, как система реагирует на те или
иные входные данные, как она ведет себя в определенных ситуациях и т.д. В
некоторых случаях указывается, что система не должна делать.
. Нефункциональные требования. Описывают характеристики системы и ее
окружения, а не поведение системы. Здесь также может быть приведен перечень
ограничений, накладываемых на действия и функции, выполняемые системой. Они
включают временные ограничения, ограничения на процесс разработки системы,
стандарты и т.д.
. Требования предметной области. Характеризуют ту предметную область, где
будет эксплуатироваться система. Эти требования могут быть функциональными и
нефункциональными.
Для выполнения поставленной в данном дипломном проекте задачи программный
стенд должен обеспечивать выполнение следующих функций:
) выбор и загрузка рабочего изображения из файла. Данное изображение
должно представлять собой растровое изображение в формате битовой карты (BMP) с 256 градациями яркости серого
цвета (если изображение не соответствует указанным требованиям, возможно его
преобразование к 256 градациям серого цвета);
2) отображение на экране загруженного изображения, которое должно
использоваться в качестве исходного для дальнейших преобразований;
3) выполнение ряда геометрических искажений загруженного
изображения, в частности поворота на произвольный угол и масштабирование
(параметры геометрических преобразований должны задаваться в процессе
выполнения программы);
) выполнение Фурье-преобразования загруженного изображения с
последующим графическим отображением найденных Фурье-образов;
) сохранение полученных результатов (графических отображений
Фурье-образов);
Дополнительные требования, предъявляемые к программному стенду:
1) программный стенд должен иметь удобный и интуитивно понятный
графический пользовательский интерфейс, позволяющий осуществлять управление
работой программы в интерактивном режиме;
2) программный стенд необходимо разработать на языке C++ в среде разработки C++ Builder 6.0;
) программный стенд должен работать в среде операционной системы Windows 2000, Windows XP SP1/SP2, Windows 7( все модификации) на IBM PC совместимой ПЭВМ;
) развертывание программного стенда должно обеспечиваться без
выполнения инсталляции путем простого копирования исполняемого , не требовать
развертывания дополнительного программного обеспечения.
4.2.1
Разработка структуры программного стенда
В соответствии приведенными в пункте 4.2 требованиям к программному
стенду, была разработана следующая обобщенная структура программного стенда,
приведенная на рисунке 4.5.
Рисунок
4.5 - Обобщенная структура программного стенда
Представленная
структура представляет собой набор компонентов ПО и видимых снаружи свойств
данных компонентов. Также в структуре указывается связь между логически
связанными компонентами программного стенда.
Под
компонентом можно понимать структурно независимый элемент ПО, который возможно
отделить от остальных, определив соответствующий интерфейс взаимодействия.
Рассмотрим
более детально указанные компоненты программного стенда.
1. Компонент «Интерфейс» отвечает за осуществление взаимодействия
программного стенда и пользователя. Отвечает за графическое отображение
исходного изображения, получаемых Фурье-образов, отображение изображений,
подвергнутых геометрическим преобразованиям. Рассматриваемый компонент тесно
связан с другими компонентами программного стенда: он обеспечивает ввод
исходных данных в другие компоненты, визуализирует результаты проведенных
операций.
При разработке компонента «Интерфейс» использовались стандартные средства
среды программирования, такие как компоненты ввода и отображения текстовой и
графической информации (окна редактирования Edit, изображения Image),
управляющие элементы (кнопки Button), компоненты - меню (MainMenu), диалоги
открытия файлов и рисунков (OpenDialog, OpenPictureDialog), компоненты внешнего
оформления (панели Panel,) и другие.
2. Компонент «Графическое отображение полученных результатов»
обеспечивает удобную и наглядную для пользователя работу с изображениями. В его
функции входит отображение на экране загружаемого из файла исходного
изображения, Фурье-образов исходного изображения, получаемых после
преобразования, изображений, подвергнутых преобразования поворота и
масштабирования, а также изображения, восстановленных по Фурье-образу.
3. Компонент «Критериальная функция» обеспечивает расчет корреляционной
функции, являющейся мерой совмещения эталонного и текущего изображения.
Фактически реализует алгоритмы корреляционного совмещения. Отметим, что в
данной работе этот компонент реализован не будет.
. Компонент «Блок преобразований» является основным для данного
программного стенда. Он обеспечивает реализацию нахождения Фурье-образа
исходного изображения, а также восстановление изображения по его Фурье-образу.
Данный компонент реализует алгоритмы БПФ и ОБПФ, передает результаты своей
работы компоненту «Графическое отображение полученных результатов» для их
графического отображения на экране.
. Компонент «Блок геометрических преобразований» обеспечивает
выполнение операций поворота и масштабирования исходного изображений, подобно
компоненту «Блок преобразований», передает результаты выполнения указанных
операций компоненту «Графическое отображение полученных результатов» с целью их
визуализации.
5.
Разработка программной документации
В данном разделе выполняется разработка программной документации в составе:
· описание применения;
· руководство программиста;
· руководство оператора.
Разработка документации выполнялась в соответствии с ЕСПД ГОСТ 19.101-77,
19.105-78, 19.502-78, 19.504-79, 19.505-79.
5.1
Описание применения
.1.1
Назначение программного стенда
Разрабатываемый в рамках данного дипломного проекта программный стенд
предназначен для выполнения прямого и обратного Фурье-преобразований
изображений, выполнения графического отображения полученных результатов.
Программный стенд предоставляет следующие возможности:
· загрузка РЛИ из файла, содержащего растровое изображение в формате BMP, и отображение его на экране в
качестве исходного;
· нахождение Фурье-образа исходного изображения и отображение
его в графическом виде;
· восстановление изображения по найденному Фурье-образу;
· выполнение геометрических преобразований исходного
изображения;
· сохранение результатов работы программного стенда.
Программный стенд не предназначен для работы с РЛИ, содержащимися в
файлах, формат которых отличен от битовой карты (BMP).
Программный стенд работает с изображениями с 256 градациями серого цвета.
При загрузке цветного изображения, оно будет преобразовано к 256 градациям
серого цвета.
5.1.2
Условия применения
Требования к
техническим средствам
Компьютер должен быть оснащен клавиатурой, дисплеем и манипулятором
«мышь», устройством для получения программы (USB-порт, CD-дисковод).
Видеоадаптер должен обеспечить разрешение не менее 800х600 пикселей
(рекомендуется 1024x768) и 256 цветов.
Требования к
программным средствам
Программный стенд работает в среде операционных систем Windows 2000, Windows XP SP1/SP2, Windows 7 (все модификации) на IBM PC совместимой ПЭВМ;
Надежность работы в операционных системах Windows более ранних версий не гарантируется.
Общие
характеристики входной и выходной информации
Программный стенд использует в качестве входной информации файлы РЛИ в
формате BMP. Размер обрабатываемого входного
изображения ограничивается производительностью процессора и объемом оперативной
памяти.
Выходная информация программного стенда отображается на экране в виде
изображений, соответствующих Фурье-образам исходного изображения.
Требования
организационного характера
Программный стенд может устанавливаться и эксплуатироваться одним
пользователем. Конечный пользователь должен обладать практическими навыками
работы с графическим пользовательским интерфейсом операционной системы,
обладать базовыми знаниями в области методов цифровой обработки сигналов в
корреляционно-экстремальных системах навигации, а также иметь общее
представление о Фурье-анализе изображений.
5.1.3
Описание задачи
В разрабатываемом программном стенде необходимо реализовать выполнение
прямого и обратного быстрого преобразования Фурье, геометрические
преобразования исходного изображения. Результаты работы требуется представить в
графическом виде, обеспечить возможность их сохранения.
Для решения поставленной задачи используется язык программирования С++,
структурный подход к программированию и модульное построение программы.
5.1.4
Входные и выходные данные
В качестве входных данных в программном стенде используются файлы РЛИ в
виде растровых изображений в формате битовой карты (BMP) с 256 градациями яркости серого цвета. Для работы
программы необходимо выполнить загрузку РЛИ из файла.
Результаты расчета отображаются на экране в виде изображений. Полученные
изображения можно сохранить в файл в формате BMP.
5.2
Руководство программиста
.2.1
Назначение и условия применения программы
Программный стенд предназначен для исследования прямого и обратного
преобразования Фурье с целью дальнейшего использования полученных Фурье-образов
для проведения корреляционного совмещения ЭИ и ТИ.
Функции, выполняемые программным стендом, описаны в документе
«Руководство пользователя».
Компьютер должен быть оснащен клавиатурой, дисплеем и манипулятором
«мышь», устройством для получения программы (USB-порт, CD-дисковод).
Видеоадаптер должен обеспечить разрешение не менее 800х600 пикселей
(рекомендуется 1024x768) и 256 цветов.
Программный стенд работает в среде операционных систем Windows 2000, Windows XP SP1/SP2, Windows 7 (все модификации) на IBM PC совместимой ПЭВМ.
5.2.2
Характеристики программы
Программный стенд позволяет выполнять одновременно обработку одного РЛИ,
загруженного в программу.
В программном стенде реализованы алгоритмы прямого и обратного
Фурье-преобразований. Время, необходимое для нахождения Фурье-образа
изображения или восстановления изображения по его образу, напрямую зависит от
размера загружаемого изображения.
В программном стенде предусмотрена стандартная обработка ошибок, не
приводящих к нарушению работы программы.
Инсталляция программного стенда не требуется. Установка программного
стенда осуществляется копированием исполняемого файла в установочный каталог.
5.2.3
Обращение к программе
Запуск программного стенда выполняется запуском на выполнение файла FourierTransformation.exe. Дополнительного программного и файлового обеспечения
для выполнения программы не требуется.
Порядок работы с программой описан в документе «Руководство оператора».
Завершение работы программного стенда возможно с помощью:
· пункта главного меню «Файл/Выход»;
· кнопки «Завершение программы» на стандартной панели
инструментов;
5.2.4
Входные и выходные данные
Входными данными для работы программного стенда служат РЛИ в виде
растровых изображений в формате битовой карты (BMP) с 256 градациями серого цвета. Для работы программы
требуется произвести загрузку РЛИ.
Результаты работы отображаются на экране в виде изображений.
Порядок загрузки изображений, отображения результатов работы программного
стенда описан в документе «Руководство оператора».
5.2.5
Сообщения
При работе программы оператору могут выдаваться сообщения в виде
стандартных модальных окон. Перечень сообщений и порядок действия описан в
документе «Руководство оператора».
5.3
Руководство оператора
.3.1
Назначение программы
Программный стенд для исследования преобразования Фурье предназначен для
исследования результатов Фурье-преобразования изображений и дальнейшего
применения полученных образов для проведения корреляционного совмещения
изображений.
Программный стенд предоставляет возможность выполнения следующих функций:
· загрузка РЛИ из файла, содержащего растровое изображение в формате BMP, и отображение его на экране в
качестве исходного;
· нахождение Фурье-образа исходного изображения и отображение
его в графическом виде;
· восстановление изображения по найденному Фурье-образу;
· выполнение геометрических преобразований исходного
изображения и отображение их результатов в графическом виде;
· ввод параметров для осуществления геометрических
преобразований;
· сохранение результатов работы программного стенда.
5.3.2
Условия выполнения программы
Компьютер должен быть оснащен клавиатурой, дисплеем и манипулятором
«мышь», устройством для получения программы (USB-порт, CD-дисковод).
Видеоадаптер должен обеспечить разрешение не менее 800х600 пикселей
(рекомендуется 1024x768) и 256 цветов.
Программный стенд работает в среде операционных систем Windows 2000, Windows XP SP1/SP2, Windows 7 (все модификации) на IBM PC совместимой ПЭВМ.
Инсталляция программного стенда не требуется. Установка программного
стенда осуществляется копированием исполняемого файла в установочный каталог.
5.3.3
Выполнение программы
Загрузка и
запуск программы
Загрузка и запуск программного стенда выполняется запуском на выполнение
файла FourierTransformation.exe.
В случае успешного запуска программы на рабочем столе будет отображено
главное окно программы (рисунок 5.1)
Рисунок 5.1 - Главное окно программного стенда
Главное окно программного стенда содержит следующие элементы:
· в верхней части окна - главное меню программы;
· рабочую часть, в которой отображаются исходное изображение,
изображения полученные при геометрических преобразованиях, графическое
отображение найденных Фурье-образов, а также восстановленное изображение
· панель ввода параметров:
- угол поворота изображения;
требуемый масштаб;
Загрузка
изображения из файла
Загрузку изображения из файла в данном программном стенде можно
осуществить следующими способами:
· выбором пункта «Файл/Открыть» главного меню;
· с помощью кнопки «Загрузить» в области «Исходное
изображение»;
В результате выполнения одного из вышеуказанных пунктов появится окно
«Открыть»
После выбора нужного файла и нажатия кнопки «Открыть» в рабочей области
программы отобразится выбранное изображение. Оно будет в дальнейшем
использоваться как исходное для всех видов преобразований (рисунок 5.3).
Рисунок 5.3 - Главное окно программы с загруженным изображением
Для выполнения прямого преобразования Фурье с помощью рассматриваемого
программного стенда, необходимо выполнить одно из следующих действий:
· выбрать пункт «Преобразования/Прямое преобразование Фурье» главного меню;
· произвести нажатие кнопки «Прямое преобразование» в области
«Преобразование Фурье»;
Результат выполнения указанных действий показан на рисунке 5.4
Рисунок 5.4 - Окно программы с выполненным преобразованием Фурье
Выполнение
прямого преобразования Фурье
Для выполнения обратного преобразования Фурье с помощью рассматриваемого
программного стенда, необходимо выполнить одно из следующих действий:
· выбрать пункт «Преобразования/Обратное преобразование Фурье» главного
меню;
· произвести нажатие кнопки «Обратное преобразование» в области
«Преобразование Фурье»;
Результат выполнения указанных действий показан на рисунке 5.5. Для
проведения обратного преобразования необходимо, чтобы уже было произведено
прямое преобразование Фурье.
Рисунок 5.5 - Окно программы с восстановленным изображением
Выполнение
геометрических преобразований
Для выполнения геометрических преобразований исходного изображения
(поворот и масштабирование), необходимо выполнить следующие действия:
· выбрать пункт «Геометрические искажения/Поворот» главного меню или
произвести нажатие кнопки «Поворот» в области «Геометрические искажения»;
· выбрать пункт «Геометрические искажения/Масштабирование»
главного меню или произвести нажатие кнопки «Масштаб» в области «Геометрические
искажения»;
Результат выполнения указанных действий показан на рисунке 5.6.
Рисунок 5.6 - Окно программы с выполненными геометрическими искажениями
Завершение
работы программы
Завершение работы программного стенда возможно с помощью:
· пункта главного меню «Файл/Выход»;
· кнопки «Завершение программы» на стандартной панели
инструментов;
5.3.4
Сообщения оператору
В ходе выполнения программы пользователю могут выдаваться сообщения об
ошибках при некорректном вводе исходных данных.
При попытке открыть исходное изображение в неподдерживаемом формате,
будет выдано сообщение об ошибке
При попытке осуществить геометрическое преобразование масштабирования с
некорректным значением масштаба, будет выдано сообщение об ошибке
При попытке осуществить геометрическое преобразование поворота с
некорректным значением угла поворота, будет выдано сообщение об ошибке
6.
Программа и методика испытаний
Программа и методика испытаний разработана в соответствии с ЕСПД ГОСТ
19.301-79.
6.1 Объект
испытаний
Объектом испытаний является программный стенд для исследования и
проведения прямого и обратного преобразования Фурье (далее - программный
стенд).
На испытания предъявляется перечень документов программного стенда:
· «Программный стенд для исследования и проведения прямого и обратного
преобразования Фурье. Описание применения»;
· «Программный стенд для исследования и проведения прямого и
обратного преобразования Фурье. Руководство программиста»;
· «Программный стенд для исследования и проведения прямого и
обратного преобразования Фурье. Руководство оператора».
6.2 Цель
испытаний
Настоящие испытания программного стенда проводятся в целях оценки:
· работоспособности программного стенда и соответствия его характеристик
функциональным и иным требованиям, предъявляемым к программе на этапе
проектирования;
· соответствия документации требованиям задания на дипломное
проектирование и ЕСПД.
6.3
Требования к программе
Состав проводимых проверок приведен в таблице 6.1.
Таблица 6.1 - Состав проводимых проверок
|
Номер пункта
|
Выполнение проверки
|
Номер пункта методики
|
|
1
|
Загрузка и запуск
программного стенда
|
6.6.1
|
|
2
|
Выполнение требований к
техническим средствам и системному программному обеспечению
|
6.6.1
|
|
3
|
Загрузка РЛИ из файла, содержащего
растровое изображение в формате BMP, отображение его на экране
в качестве исходного изображения
|
6.6.2
|
|
4
|
Выполнение прямого
преобразования Фурье текущего изображения
|
6.6.3
|
|
5
|
Выполнение обратного
преобразования Фурье полученных Фурье-образов исходного изображения
|
6.6.4
|
|
6
|
Выполнение операции
поворота текущего изображения
|
6.6.5
|
|
7
|
Выполнение операции
масштабирования текущего изображения
|
6.6.6
|
|
8
|
Сохранение результатов,
полученных при выполнении прямого преобразования Фурье
|
6.6.7
|
6.4
Требования к программной документации
В состав программной документации должны быть включены следующие
документы:
. Эксплуатационные документы:
· описание применения (ГОСТ 19.502-78);
· руководство программиста (ГОСТ 19.504-79);
· руководство оператора (ГОСТ 19.505-79).
2. Программа и методика испытаний. (ГОСТ 19.301-79).
6.5
Средства и порядок испытаний
Во время проведения испытаний используются следующие технические и
программные средства:
· персональный компьютер на базе процессора Intel Core i5 2.27 ГГц;
· ОЗУ 4 ГБ;
· монитор 17’’ Easynote LJ75;
· клавиатура;
· манипулятор типа «мышь»;
· ОС MS Windows 7 Home Basic Rus;
Испытания проводятся на контрольном примере путем ввода и обработки
данных контрольного примера. Контрольный пример включает набор файлов РЛИ в
формате BMP.
Полученные результаты отображаются на экране и сопоставляются с данными
контрольного примера. Отсутствие расхождений и получение ожидаемых результатов
означает успешное проведение проверок.
Далее проводится тестирование функций методами «белого ящика» и «черного
ящика».
6.6 Методы
испытаний
.6.1
Проверка процедуры загрузки и запуска программного стенда
Для выполнения проверки используется ПЭВМ с техническими характеристиками
и установленным системным и прикладным программным обеспечением в соответствии
с требованиями задания на проектирование.
Пользователь входит в операционную систему и выполняет процедуру загрузки
и запуска программного стенда.
Результат проверки считается положительным, если процедура загрузки и
запуска программы завершаются успешно.
6.6.2
Проверка процедуры загрузки РЛИ из файла и отображения его в качестве ТИ
Для выполнения проверки файл с РЛИ последовательно открывается
стандартной программой просмотра изображений Windows из состава операционной системы и загружается в программный
стенд. Результат работы наблюдается визуально на экране ПЭВМ.
Результат проверки считается положительным, если:
· загруженное в программу РЛИ отображается в рабочей области программного
стенда;
· загруженное в программный стенд изображение визуально
совпадает с изображением, отображаемым графическим редактором.
.6.3
Проверка процедуры прямого преобразования Фурье
После загрузки исходного изображения любым из двух доступных способов
инициируется выполнение процедуры нахождения Фурье-образа изображения.
Результат проверки можно считать положительным, если:
· в соответствующей области главного окна программы появляются два
изображения, соответствующих найденным Фурье-образам;
· данные изображения обладают характерным видом, присущим
графическому отображению Фурье-образов: черно-белое изображение, где белые
фрагменты в основном сосредоточены в углах изображения.
6.6.4
Проверка процедуры обратного преобразования Фурье
После проведения прямого преобразования Фурье появляется возможность
выполнить обратное преобразование для восстановления исходного изображения. Для
выполнения процедуры необходимо нажать соответствующую кнопку на форме или
выбрать соответствующий пункт меню.
Результат проверки считается положительным, если восстановленное
изображение визуально совпадает или почти совпадает с исходным. Это означает,
что последовательность прямого, а затем обратного преобразования привела к
желаемым результатам.
6.6.5
Проверка процедуры поворота изображения
Для выполнения данной проверки следует задать в соответствующем поле
ввода, расположенном на главной форме программы угол поворота изображения в
градусах, нажать кнопку, соответствующую процедуре поворота или выбрать
соответствующий пункт меню. Для проверки угол поворота устанавливается равным
45 градусам.
Результат проверки считается положительным, если:
· процедура нахождения повернутого изображения завершена успешно (не
выдавалось сообщений об ошибках);
· в соответствующем блоке программы отобразилось исходное
изображение, повернутое на заданный угол.
6.6.6
Проверка процедуры масштабирования изображения
Для выполнения данной проверки следует задать в соответствующем поле
ввода, расположенном на главной форме программы коэффициент масштабирования
изображения, нажать кнопку, соответствующую процедуре масштабирования или
выбрать соответствующий пункт меню. Для проверки коэффициент масштабирования
устанавливается равным 2 .
Результат проверки считается положительным, если:
· процедура нахождения изображения, подвергнутого масштабированию,
завершена успешно (не выдавалось сообщений об ошибках);
· в соответствующем блоке программы отобразилось исходное
изображение, увеличенное (уменьшенное) в указанное число раз.
6.6.7
Проверка процедуры сохранения результата Фурье-преобразования
Для выполнения проверки необходимо произвести сохранение найденных
Фурье-образов на диск, используя соответствующие кнопки, расположенные на
главной форме программы:
Результат проверки данной процедуры является успешным, если:
· в процессе выполнения процедуры не возникло ошибок;
· на диске появились файлы с заданными при сохранении именами,
содержащие соответствующие графические представления Фурье-образов.
6.6.8
Оценка комплектности и качества документации
Оценка качества и комплектности документации выполняется экспертным
методом путем анализа документации на соответствие требованиям
нормативно-технических документов. Номенклатура разработанных документов
определяется заданием на проектирование. Содержание документов проверяется на
соответствие требованиям ГОСТ ЕСПД.
6.7
Тестирование методом «белого ящика». Способ базового пути
Пронумерованный текст процедуры масштабирования изображения имеет вид:
Procedure Zoom(int WidthSource, HeightSource, Tbitmap *sour,
Tbitmap *dest)
1. if
(StrToFloat(Edit2->Text)>50){
2. MessageBox(NULL, "Масштаб
слишком велик", "Ошибка!", MB_OK | MB_ICONERROR);}
3. else {
. If (StrToFloat(Edit2->Text)<=0){
. MessageBox(NULL, "Масштаб слишком мал", "Ошибка!", MB_OK | MB_ICONERROR);}
. else {
. Image6->Height=Image1->Height*StrToFloat(Edit2->Text);Image6->Width=Image1->Width*StrToFloat(Edit2->Text)
. sour=Image1->Picture->Bitmap;
. WidthSource = sour->Width; HeightSource =
sour->Height;
. WidthDest =
Image1->Width*StrToFloat(Edit2->Text);
. HeightDest =
Image1->Height*StrToFloat(Edit2->Text);
. dest->Width = WidthDest; dest->Height =
HeightDest;
. float kX = (float)WidthDest / (float)WidthSource;
. float kY = (float)HeightDest / (float)HeightSource;
. for (int x = 0; x < WidthSource; x++)
. for (int y = 0; y < HeightSource; y++){
. for (int i = 0; i < kX; i++)
. for (int j = 0; j < kY; j++){
. dest->Canvas->Pixels[x*kX+i][y*kY+j] =
sour->Canvas->Pixels[x][y];}}
. Image6->Canvas->Draw(0,0, dest);}
. }
Потоковый граф получаем путем отображения пронумерованного текста
программы в вершины потокового графа. Полученный потоковый граф приведен на
рисунке 6.1.
Рисунок 6.1 - Потоковый граф, отображающий структуру функции
Для определения мощности базового множества независимых путей в графе
используем цикломатическую сложность графа.
.Цикломатическая сложность графа равна количеству регионов потокового
графа: V(G)=3
. Цикломатическая сложность графа равна количеству дуг минус количество
узлов плюс 2: V(G)=22 -21+2= 3
. Цикломатическая сложность графа равна количеству предикатных узлов плюс
1: V(G)=2 +1=3
Базовое множество путей приведено в таблице 6.2.
Таблица 6.2 - Базовое множество независимых путей
|
1
|
1-2-21
|
|
2
|
1-3-4-5-21
|
|
3
|
1-3-4-5-6-7-8-9-10-11-12-13-14-15-16-17-18-19-20-21
|
Каждый тестовый вариант формируется в следующем виде:
· исходные данные;
· ожидаемые результаты;
· реальные результаты.
Исходные данные выбираются так, чтобы предикатные вершины обеспечивали
нужные переключения - запуск только тех операторов, которые перечислены в
конкретном пути, причем в требуемом порядке.
В качестве исходных данных рассматриваемая функция использует исходное
изображение и задаваемый пользователем коэффициент масштабирования.
Тестовые варианты, удовлетворяющие выявленному множеству независимых
путей в структуре операторов рассматриваемой процедуры, представлены в таблице
6.3.
Таблица 6.3 - Результаты тестирования методом «белого ящика»
|
№ пути
|
Исходные данные
|
Ожидаемые результаты
|
Реальные результаты
|
|
1
|
Введен коэффициент
масштабирования, превышающий 50
|
Выдано сообщение об ошибке
(коэффициент масштабирования слишком велик)
|
Выдано сообщение об
ошибочно введенном коэффициенте масштабирования
|
|
2
|
Введен коэффициент
масштабирования меньший или равный нулю
|
Выдано сообщение об ошибке
(коэффициент масштабирования слишком мал)
|
Выдано сообщение об ошибке
(коэффициент масштабирования слишком мал)
|
Введенный коэффициент
масштабирования больше нуля и не превышает 50
|
Масштабирование выполнено
успешно, результирующее изображение выведено на экран
|
Масштабирование выполнено
успешно, результирующее изображение выведено на экран
|
Ожидаемые и реальные результаты совпадают, следовательно, в результате
тестирования методом белого ящика ошибок в рассматриваемой процедуре не
обнаружено.
6.8
Тестирование методом «черного ящика»
Рассмотрим тестирование методом «черного ящика» процедуры из п. 6.7.
Предусловия:
· Введенный коэффициент масштабирования не лежит в пределах (0; 50];
· Введенный коэффициент масштабирования лежит в пределах (0;
50].
Учет данных состояний необходим при проведении тестирования.
Постусловия:
· Вывод изображения, подвергнутого масштабированию.
Данное условие необходимо для контроля правильности хода тестирования
после его окончания. После выполнения постусловия система должна перейти в
исходное состояние.
Построенное дерево разбиений представлено на рисунке 6.2:
Рисунок 6.2 - Дерево разбиений
Дерево содержит 3 листа. Составим тестовые варианты для каждого из них:
Таблица 6.4 - Тестовые варианты и результаты
|
№ листа
|
Исходные данные
|
Ожидаемые результаты
|
Реальные результаты
|
|
1
|
Введенный коэффициент
масштабирования больше нуля и не превышает 50
|
Масштабирование выполнено
успешно, результирующее изображение выведено на экран
|
Масштабирование выполнено
успешно, результирующее изображение выведено на экран
|
|
2
|
Введен коэффициент
масштабирования меньший или равный нулю
|
Выдано сообщение об ошибке
(коэффициент масштабирования слишком мал)
|
Выдано сообщение об ошибке
(коэффициент масштабирования слишком мал)
|
|
3
|
Введен коэффициент
масштабирования, превышающий 50
|
Выдано сообщение об ошибке
(коэффициент масштабирования слишком велик)
|
Выдано сообщение об
ошибочно введенном коэффициенте масштабирования
|
Проведенные тесты не обнаружили ошибок функционирования тестируемой
процедуры.
7.
Экспериментальные исследования
7.1 Практическая проверка выполнения Фурье-преобразования
РЛИ
В качестве исходного изображения для проверки выполнения
Фурье-преобразования взято РЛИ размером 100х100 пикселей, представленное на
рисунке 7.1.
Рисунок 7.1 - Исходное РЛИ изображение
Результирующие Фурье-образы исходного РЛИ представлены на рисунке 7.2
Рисунок 7.2 - Фурье-образы исходного РЛИ
С помощью программного стенда подвергнем исходное РЛИ геометрическим
преобразованиям: масштабирования и повороту, найдем Фурье-образы полученных
таким способом изображений.
Масштабный коэффициент изображения примем равным 0.75. Полученное в
результате масштабирования изображение приведено на рисунке 7.3, его
Фурье-образы представлены на рисунке 7.4.
Рисунок 7.3 - Изображение, полученное в результате масштабирования
исходного РЛИ
Рисунок 7.4 - Фурье-образы отмасштабированного РЛИ
Угол поворота примем равным 90 градусам. Полученное в результате поворота
изображение приведено на рисунке 7.5, его Фурье-образы представлены на рисунке
7.6.
Рисунок 7.5 - Изображение, полученное в результате поворота исходного РЛИ
Рисунок 7.6 - Фурье-образы повернутого РЛИ
Из приведенных результатов видно, что Фурье-образы различных изображений,
полученных из исходного изображения, несмотря на имеющиеся различия, обладают
немалым сходством. Это свойство будет использовано для корреляционного
совмещения изображений на основе их Фурье-образов.
Заключение
В данном дипломном проекте был разработан программный стенд,
предназначенный для нахождения Фурье-образов РЛИ. Получаемые Фурье-образы РЛИ
представляются в удобной для восприятия человеком визуальной форме.
Были разработаны следующие алгоритмы:
· нахождения Фурье-образов РЛИ;
· восстановление исходного РЛИ по его Фурье-образу;
· операции поворота РЛИ на произвольный угол;
· операции масштабирования изображения/
Разработанный программный стенд может быть использован как основа для
построения программного комплекса по корреляционному совмещению РЛИ на основе
их Фурье-образов.
Было проведено тестирование программного стенда, подготовлена программная
документация.
Результаты исследований будут использоваться в НИР, проводимых на кафедре
ЭВМ.
Список
использованных источников
1 ГОСТ 19.101-77 Единая система программной документации.
ВИДЫ ПРОГРАММ И ПРОГРАММНЫХ ДОКУМЕНТОВ.
2 ГОСТ 19.105-78 Единая система программной
документации. ОБЩИЕ ТРЕБОВАНИЯ К ПРОГРАММНЫМ ДОКУМЕНТАМ.
ГОСТ 19.502-78 Единая система программной
документации. ОПИСАНИЕ ПРИМЕНЕНИЯ.
ГОСТ 19.301-79 Единая система программной
документации. ПРОГРАММА И МЕТОДИКА ИСПЫТАНИЙ. Требования к содержанию и
оформлению.
ГОСТ 19.504-79 Единая система программной
документации. РУКОВОДСТВО ПРОГРАММИСТА. Требования к содержанию и оформлению.
Блейхут Р. Быстрые алгоритмы цифровой обработки
сигналов М.: Мир, 1989. 448 с., ил.
Крот А.М, Минервина Е.Б. Быстрые алгоритмы и
программы цифровой спектральной обработки сигналов и изображений. Мн.: Навука i тэхнiка, 1995. 407 с.
Гольденберг Л.М, Поляк М.Н. Цифровая обработка
сигналов. Справочное пособие. М.: Радио и связь, 1985. 312 с., ил.
Павлидис Т. Алгоритмы машинной графики и обработки
изображений. М.: Радио и связь, 1986. 400 с., ил.
Павловская Т.А. С/С++ Программирование на языке
высокого уровня. СПб.: Питер, 2005. 461 с.
Архангельский А.Я. C++Builder 6 Справочное пособие.
Книга 1. Язык С++. Справочное пособие. М.: Бином-Пресс , 2003. 1152с.
Культин Н.Б. Самоучитель C++ Builder. СПб:
БХВ-Петербург, 2004. 320 с.
13 Теория и практика
цифровой обработки сигналов. URL:
<http://www.dsplib.ru/index.html>
14 Программирование на
С++ Builder. URL: <http://cbuilder.ru/>
Приложение
Текст модуля Unit1_log.h:
//---------------------------------------------------------------------------
#ifndef Unit1_logH
#define Unit1_logH
//---------------------------------------------------------------------------
#include <Classes.hpp>
#include <Controls.hpp>
#include <StdCtrls.hpp>
#include <Forms.hpp>
#include <ExtCtrls.hpp>
#include <Dialogs.hpp>
#include <ExtDlgs.hpp>
#include <ComCtrls.hpp>
#include <Menus.hpp>
//---------------------------------------------------------------------------TForm1
: public TForm
{
__published: // IDE-managed
Components*OpenPictureDialog1;*RadioButton1;*GroupBox1;*Button1;*Image1;*GroupBox2;*Image5;*Image6;*Button4;*Button5;*Edit1;*Edit2;*GroupBox3;*Button2;*Button3;*Image2;*Image3;*Image4;*Label1;*Label2;*MainMenu1;*N1;*N2;*N3;*N4;*N5;*N6;*N7;*N8;*N9;*N10;*N11;*N12;*N13;*Button6;*SavePictureDialog1;*Button7;__fastcall
Button1Click(TObject *Sender);__fastcall Button2Click(TObject *Sender);__fastcall
Button3Click(TObject *Sender);__fastcall FormCreate(TObject *Sender);__fastcall
Button4Click(TObject *Sender);__fastcall Button5Click(TObject
*Sender);__fastcall N4Click(TObject *Sender);__fastcall N2Click(TObject
*Sender);__fastcall N6Click(TObject *Sender);__fastcall N7Click(TObject
*Sender);__fastcall N9Click(TObject *Sender);__fastcall N10Click(TObject
*Sender);__fastcall N13Click(TObject *Sender);__fastcall Button7Click(TObject
*Sender);__fastcall Button6Click(TObject *Sender);: // User declarations: //
User declarations
__fastcall TForm1(TComponent* Owner);
};
//---------------------------------------------------------------------------PACKAGE
TForm1 *Form1;
//---------------------------------------------------------------------------
#endif
Текст модуля Unit1_log.cpp:
//---------------------------------------------------------------------------
#include <vcl.h>
#pragma hdrstop
#include "io.h"
#include "fcntl.h"
#include "unit1_log.h"
#include "math.h"
#include "stdio.h"
#include "Unit1_log.h"
//---------------------------------------------------------------------------
#pragma package(smart_init)
#pragma resource "*.dfm"*Form1;_Arr [160000];_Arr
*Ptr0; // исходное РЛС-изображение_Arr *Ptr1; // Фурье-образ РЛС-изображения (A)
PBMP_Arr *Ptr2; // Фурье-образ РЛС-изображения (B)
PBMP_Arr *Ptr3; // восстановленное РЛС-изображение
typedef struct {lpal;dummy[256];
} LogPal;i_c;i_c2;kol_k;f1; char f[160000]; // исходное РЛС-изображение
long double f1_v[160000]; // восстановленное РЛС-изображение
unsigned char f1_vc[160000]; // восстановленное РЛС-изображение
unsigned char f2[160000]; // ? --
unsigned char f7[160000]; // ? массив фрагмента для
контура корреляции
// Переменные для Фурье-образа РЛС
long double a1_tmp; // промежуточная переменная
long double a2_tmp; // промежуточная переменная
long double b1_tmp; // промежуточная переменная
long double b2_tmp; // промежуточная переменная
long double a_new[400][400]; // А-Фурье (РЛС)double
b_new[400][400]; // В-Фурье (РЛС)char a_new_uc[400][400]; // А-Фурье (РЛС)
256грchar b_new_uc[400][400]; // В-Фурье (РЛС) 256грchar
a_new_uc_tmp[160000];// А-Фурье (РЛС) 256гр - одномchar b_new_uc_tmp[160000];//
В-Фурье (РЛС) 256гр - одном
// Переменные для Фурье-образа А-Д
long double a1_tmp2; // промежуточная переменная
long double a2_tmp2; // промежуточная переменная
long double b1_tmp2; // промежуточная переменная
long double b2_tmp2; // промежуточная переменная
long double a_new2[400][400]; // А-Фурье (А-Д)double
b_new2[400][400]; // В-Фурье (А-Д)char a_new_uc2[400][400]; // А-Фурье (А-Д)
256грchar b_new_uc2[400][400]; // В-Фурье (А-Д) 256грchar
a_new_uc_tmp2[160000];// А-Фурье (А-Д) 256гр - одномchar
b_new_uc_tmp2[160000];// В-Фурье (А-Д) 256гр - одномi1, i2, i, j;char
f_new[400][400];double korr_b[160000]; // коррdouble korr_b_tmp[400][400];char
korr_b_uc[160000];//double
korr_b_max;pik_a_x;pik_a_y;pik_b_x;pik_b_y;pik_a;pik_b;k,l;::TBitmap *Bmp0 =
new Graphics::TBitmap();::TBitmap *Bmp1 = new Graphics::TBitmap();::TBitmap
*Bmp2 = new Graphics::TBitmap();::TBitmap *Bmp3 = new Graphics::TBitmap();
//---------------------------------------------------------------------------__fastcall
TForm1::FormCreate(TObject *Sender)
{
//Запрещение выполнения операций до загрузки исходного РЛИ
Button2->Enabled=false;->Enabled=false;->Enabled=false;->Enabled=false;->Enabled=false;->Enabled=false;->Enabled=false;->Enabled=false;->Enabled=false;->Enabled=false;
}
//---------------------------------------------------------------------------
__fastcall TForm1::TForm1(TComponent* Owner)
: TForm(Owner)
{
}
//---------------------------------------------------------------------------__fastcall
TForm1::Button1Click(TObject *Sender)
{ //Окрытие исходного изображения
{(OpenPictureDialog1->Execute())->LoadFromFile(OpenPictureDialog1->FileName);->PixelFormat
= pf8bit;= (PBMP_Arr
*)Bmp0->ScanLine[Bmp0->Height-1];(i_c=Bmp0->Height-1;i_c>=0;i_c--)((void
*)&f[Bmp0->Width*i_c],Bmp0->ScanLine[i_c],Bmp0->Width);->Width
= Bmp0->Width;->Height = Bmp0->Height;1->Canvas->Draw(0,0, Bmp0);
//разрешение выполнения операций
Button2->Enabled=true;->Enabled=true;->Enabled=true;->Enabled=true;->Enabled=true;->Enabled=true;
//Загрузка исходного РЛИ в соответствующих массив
i = 0;(i1=0;i1<Bmp0->Height;i1++)
{(i2=0;i2<Bmp0->Width;i2++)
{(RadioButton1->Checked == True)
{_new[i1][i2] = 0x01 && f[i];[i] = 0x01 &&
f[i];
}
{_new[i1][i2] = f[i];2[i] = f[i];
}
i++;
}
}
}
//обработка попытки открытия изображения неподходящего формата
catch(Exception *ex)
{
MessageBox(NULL, "Выбран неверный формат
изображения", "Ошибка!", MB_OK | MB_ICONERROR);
}
}
//---------------------------------------------------------------------------__fastcall
TForm1::Button2Click(TObject *Sender)
{
//разрешение выполнения операций
Button3->Enabled=true;
Button6->Enabled=true;->Enabled=true;7->Enabled=true;
//основной цикл Фурье-преобразования
//Более подробное описание - в пояснительной записке
//к дипломному проекту
kol_k = 100;
for (k=0;k<Bmp0->Height;k++)
{(l=0;l<Bmp0->Width;l++)
{_tmp = 0;_tmp = 0;(i1=0;i1<Bmp0->Height;i1++)
{_tmp = 0;_tmp = 0;(i2=0;i2<Bmp0->Width;i2++)
{_tmp = a2_tmp +
f_new[i1][i2]*cos(2*M_PI*k*i1/Bmp0->Height +
2*M_PI*l*i2/Bmp0->Width);_tmp = b2_tmp +
f_new[i1][i2]*sin(2*M_PI*k*i1/Bmp0->Height + 2*M_PI*l*i2/Bmp0->Width);
}_tmp = a1_tmp + a2_tmp;_tmp = b1_tmp + b2_tmp;
}_new[k][l] = a1_tmp / Bmp0->Height /
Bmp0->Width;_new[k][l] = b1_tmp * (-1) / Bmp0->Height / Bmp0->Width;
}
}=
0;(i1=0;i1<Bmp0->Height;i1++)(i2=0;i2<Bmp0->Width;i2++)
{_new_uc[i1][i2] = floor(a_new[i1][i2] + 0.5);_new_uc_tmp[i]
= a_new_uc[i1][i2];_new_uc[i1][i2] = floor(b_new[i1][i2] + 0.5);_new_uc_tmp[i]
= b_new_uc[i1][i2];++;
}
// Вывод коэффициента A в
графической форме
Bmp1->PixelFormat = pf8bit; //формат
Bmp1->Width = Bmp0->Width;
//ширина
Bmp1->Height = Bmp0->Height;//высота= (PBMP_Arr
*)Bmp1->ScanLine[Bmp1->Height-1];SysPal;*tempCanvas = new
TCanvas;notUsed;>Handle = GetDeviceContext(notUsed);.lpal.palVersion =
0x300;.lpal.palNumEntries =
256;(tempCanvas->Handle,0,256,SysPal.lpal.palPalEntry);(i=0;i<=255;i++)
{.lpal.palPalEntry[i].peRed = i; //красный
канал.lpal.palPalEntry[i].peGreen = i;//зеленый
канал.lpal.palPalEntry[i].peBlue = i; //синий канал
}->Palette = CreatePalette((const tagLOGPALETTE
*)&SysPal.lpal);= (PBMP_Arr
*)Bmp1->ScanLine[Bmp1->Height-1];(i_c=Bmp0->Height-1;i_c>=0;i_c--)(Bmp1->ScanLine[i_c],(void
*)&a_new_uc_tmp[(Bmp1->Width)*i_c],Bmp1->Width);->Width =
Bmp0->Width;->Height = Bmp0->Height;->Canvas->Draw(0,0, Bmp1);
// Вывод коэффициента B->PixelFormat = pf8bit;
//формат->Width = Bmp0->Width; //ширина->Height =
Bmp0->Height;//высота= (PBMP_Arr
*)Bmp2->ScanLine[Bmp2->Height-1];SysPal2;*tempCanvas2 = new
TCanvas;notUsed2;->Handle = GetDeviceContext(notUsed2);.lpal.palVersion =
0x300;.lpal.palNumEntries =
256;(tempCanvas2->Handle,0,256,SysPal2.lpal.palPalEntry);(i=0;i<=255;i++)
{.lpal.palPalEntry[i].peRed = i; //красный
канал.lpal.palPalEntry[i].peGreen = i;//зеленый
канал.lpal.palPalEntry[i].peBlue = i; //синий канал
}->Palette = CreatePalette((const tagLOGPALETTE
*)&SysPal2.lpal);= (PBMP_Arr
*)Bmp2->ScanLine[Bmp2->Height-1];(i_c=Bmp0->Height-1;i_c>=0;i_c--)(Bmp2->ScanLine[i_c],(void
*)&b_new_uc_tmp[(Bmp2->Width)*i_c],Bmp2->Width);->Width =
Bmp0->Width;->Height = Bmp0->Height;->Canvas->Draw(0,0, Bmp2);
}
//---------------------------------------------------------------------------__fastcall
TForm1::Button3Click(TObject *Sender)
{ // восстановление РЛИ
// Обратное Фурье-преобразование
i1 =
0;
i2 = 0;= 0;(i1=0;i1<Bmp0->Height;i1++)
{(i2=0;i2<Bmp0->Width;i2++)
{_v[i1*Bmp0->Width + i2] =
0;(k=0;k<Bmp0->Height;k++)
{(l=0;l<Bmp0->Width;l++)
{_v[i1*Bmp0->Width + i2] = f1_v[i1*Bmp0->Width + i2]
+_new[k][l] * cos(2*M_PI*k*i1/Bmp0->Height + 2*M_PI*l*i2/Bmp0->Width)
-_new[k][l] * sin(2*M_PI*k*i1/Bmp0->Height + 2*M_PI*l*i2/Bmp0->Width);
}
}_v[i1*Bmp0->Width + i2] = f1_v[i1*Bmp0->Width + i2] *
1 ;
}
}
// восстановление РЛИ
// визуальное отображение восстановленного РЛИ
long int tmp_x;(RadioButton1->Checked == True)
{(i=0;i<(Bmp0->Height)*(Bmp0->Width);i++)
{_vc[i] = floor (f1_v[i] + 0.5) * 256; //(f1_vc[i] > 255)
f1_vc[i] = 255;
}
}
{(i=0;i<(Bmp0->Height)*(Bmp0->Width);i++)
{_vc[i] = floor (f1_v[i] + 0.5); // * 255
}
}
// Вывод восстановленного РЛИ->PixelFormat =
pf8bit;->Width = Bmp0->Width; //ширина->Height = Bmp0->Height;=
(PBMP_Arr *)Bmp3->ScanLine[Bmp3->Height-1];SysPal3;*tempCanvas3 = new
TCanvas;notUsed3;->Handle = GetDeviceContext(notUsed3);.lpal.palVersion =
0x300;.lpal.palNumEntries =
256;(tempCanvas3->Handle,0,256,SysPal3.lpal.palPalEntry);(i=0;i<=255;i++)
{.lpal.palPalEntry[i].peRed = i;.lpal.palPalEntry[i].peGreen
= i;.lpal.palPalEntry[i].peBlue = i;
}->Palette = CreatePalette((const tagLOGPALETTE
*)&SysPal3.lpal);= (PBMP_Arr
*)Bmp3->ScanLine[Bmp3->Height-1];(i_c=Bmp0->Height-1;i_c>=0;i_c--)(Bmp3->ScanLine[i_c],(void
*)&f1_vc[(Bmp3->Width)*i_c],Bmp3->Width);->Width =
Bmp0->Width;->Height = Bmp0->Height;->Canvas->Draw(0,0, Bmp3);
}
//---------------------------------------------------------------------------__fastcall
TForm1::Button4Click(TObject *Sender)
{
//Процедура поворота РЛИ на произвольный угол
try{angle=StrToFloat(Edit1->Text); //угол поворота::TBitmap
*SrcBitmap=new Graphics::TBitmap;::TBitmap *DestBitmap=new
Graphics::TBitmap;=Image1->Picture->Bitmap;
// преобразуем градусы в
радианыradians=(2*3.1416*angle)/360;cosine=(float)cos(radians);sine=(float)sin(radians);Point1x=(-SrcBitmap->Height*sine);Point1y=(SrcBitmap->Height*cosine);Point2x=(SrcBitmap->Width*cosine-SrcBitmap->Height*sine);Point2y=(SrcBitmap->Height*cosine+SrcBitmap->Width*sine);Point3x=(SrcBitmap->Width*cosine);Point3y=(SrcBitmap->Width*sine);
//Расчет координат результирующего изображения
float minx=0;
if (minx>Point1x)
{minx=Point1x;}(minx>Point2x)
{minx=Point2x;}(minx>Point3x)
{minx=Point3x;}
//Расчет координат результирующего изображения
float miny=0;
if (miny>Point1y)
{miny=Point1y;}(miny>Point2y)
{miny=Point2y;}(miny>Point3y)
{miny=Point3y;}
//Расчет координат результирующего изображения
float maxx=Point1x;
if (maxx<Point2x)
{maxx=Point2x;}(maxx<Point3x)
{maxx=Point3x;}
//Расчет координат результирующего изображения
float maxy=Point1y;
if (maxy<Point2y)
{maxy=Point2y;}(maxy<Point3y)
{maxy=Point3y;}
//Расчет координат результирующего
изображенияDestBitmapWidth=2*(int)ceil(maxx-minx);DestBitmapHeight=2*(int)ceil(maxy-miny);>Height=DestBitmapHeight;>Width=DestBitmapWidth;
//отображение повернутого РЛИ
for(int x=0;x<DestBitmapWidth;x++)
{(int y=0;y<DestBitmapHeight;y++)
{
SrcBitmapx=(int)((x+minx)*cosine+(y+miny)*sine);SrcBitmapy=(int)((y+miny)*cosine-(x+minx)*sine);
(SrcBitmapx>=0&&SrcBitmapx<SrcBitmap->Width&&SrcBitmapy>=0&&
<SrcBitmap->Height)
{ >Canvas->Pixels[x][y]=>Canvas->Pixels[SrcBitmapx][SrcBitmapy];
}
}
}->Picture->Bitmap=DestBitmap;= NULL;= NULL;
}(Exception *ex)
{(NULL, "Неверно задан угол поворота",
"Ошибка!", MB_OK | MB_ICONERROR);
}
}
//---------------------------------------------------------------------------__fastcall
TForm1::Button5Click(TObject *Sender)
{
//процедура масштабирования исходного РЛИ
try{
if (StrToFloat(Edit2->Text)>50 |
StrToFloat(Edit2->Text)<0)
{MessageBox(NULL, "Масштаб слишком велик или мал",
"Ошибка!", MB_OK | MB_ICONERROR);}{(int i=0;
i<Image6->Width;i++)
{(int j=0; j<Image6->Height;j++)
{->Canvas->Pixels[i][j]=(255,255,255);
}
}WidthSource, HeightSource; // исходные размерыWidthDest,
HeightDest; // конечные размеры::TBitmap *sour = new Graphics::TBitmap();::TBitmap
*dest = new
Graphics::TBitmap();->Height=Image1->Height*StrToFloat(Edit2->Text);->Width=Image1->Width*StrToFloat(Edit2->Text);=Image1->Picture->Bitmap;=
sour->Width;= sour->Height;= Image1->Width*StrToFloat(Edit2->Text);=
Image1->Height*StrToFloat(Edit2->Text);>Width = WidthDest;>Height =
HeightDest;kX = (float)WidthDest / (float)WidthSource;kY = (float)HeightDest /
(float)HeightSource;(int x = 0; x < WidthSource; x++)(int y = 0; y <
HeightSource; y++)
{(int i = 0; i < kX; i++)(int j = 0; j < kY; j++)
{>Canvas->Pixels[x*kX+i][y*kY+j] =
sour->Canvas->Pixels[x][y];
}
}->Canvas->Draw(0,0, dest);
}
}(Exception *ex)
{(NULL, "Неверно задан масштаб",
"Ошибка!", MB_OK | MB_ICONERROR);
}
}
//---------------------------------------------------------------------------__fastcall
TForm1::N4Click(TObject *Sender)
{();
}
//---------------------------------------------------------------------------__fastcall
TForm1::N2Click(TObject *Sender)
{->Click();
}
//---------------------------------------------------------------------------__fastcall
TForm1::N6Click(TObject *Sender)
{{->Click();
}(Exception *ex)
{(NULL, "Исходное изображение не загружено",
"Ошибка!", MB_OK | MB_ICONERROR);
}
}
//---------------------------------------------------------------------------__fastcall
TForm1::N7Click(TObject *Sender)
{{->Click();
}(Exception *ex)
{(NULL, "Исходное изображение не загружено",
"Ошибка!", MB_OK | MB_ICONERROR);
}
}
//---------------------------------------------------------------------------__fastcall
TForm1::N9Click(TObject *Sender)
{{->Click();
}(Exception *ex)
{(NULL, "Исходное изображение не загружено",
"Ошибка!", MB_OK | MB_ICONERROR);
}
}
//---------------------------------------------------------------------------__fastcall
TForm1::N10Click(TObject *Sender)
{{->Click();
}(Exception *ex)
{(NULL, "Исходное изображение не загружено",
"Ошибка!", MB_OK | MB_ICONERROR);
}
}
//---------------------------------------------------------------------------__fastcall
TForm1::N13Click(TObject *Sender)
{
MessageBox(NULL,"Программу выполнил студент
группы 840 Ефимов А. И.", "О программе", MB_OK);
}
//---------------------------------------------------------------------------
//сохранение правого образа__fastcall
TForm1::Button7Click(TObject *Sender)
{->DefaultExt="bmp";(SavePictureDialog1->Execute())->Picture->SaveToFile(SavePictureDialog1->FileName);
}
//---------------------------------------------------------------------------
//сохранение левого образа__fastcall
TForm1::Button6Click(TObject *Sender)
{->DefaultExt="bmp";(SavePictureDialog1->Execute())->Picture->SaveToFile(SavePictureDialog1->FileName);
}
//---------------------------------------------------------------------------