Разработка механической системы принятия решений

  • Вид работы:
    Курсовая работа (т)
  • Предмет:
    Информационное обеспечение, программирование
  • Язык:
    Русский
    ,
    Формат файла:
    MS Word
    706,54 Кб
  • Опубликовано:
    2012-04-14
Вы можете узнать стоимость помощи в написании студенческой работы.
Помощь в написании работы, которую точно примут!

Разработка механической системы принятия решений

Содержание

Введение

. Фондовый рынок

.1 Понятие фондового рынка

.2 Ценные бумаги

. Технический анализ

. Индикаторы, использовавшиеся в системе приятия решений

.1 Усовершенствованный индикатор Полосы Боллинджера

.1.1 Построение и принцип расчета

.1.2 Применение и сигналы индикатора

.2 Индикатор RSI

.3 Индикатор MACD

.3.1 Экспоненциальное скользящее среднее

.3.2 Определение индикатора MACD

. Программная реализация

.1 Принцип работы и интерфейс приложения

.2 Сигналы индикаторов и стратегия торгов

Приложение

Заключение

Список используемых источников

Введение

Фондовый рынок является одной из важных составляющих экономики рыночного государства. При саморегуляции этой системы происходит естественный баланс и перераспределение денежных ресурсов.

Рынок ценных бумаг в современной России - очень перспективная площадка для успешного долгосрочного и краткосрочного инвестирования. На протяжении нескольких лет он служит источником стабильных доходов для множества отечественных и зарубежных игроков. Ценные бумаги российских компаний набирают силу и дают своим владельцам неограниченные возможности для манипулирования с целью получения весомой прибыли.

Фондовый рынок в нашей стране после кризиса 1998 года сумел за довольно небольшой промежуток времени оправиться и прийти к успешному функционированию. Об этом свидетельствует тот факт, что с 1998 по 2008 год индекс ММВБ вырос более чем в десять раз.

Современный рынок ценных бумаг очень сильно компьютеризирован, и это выражается в том, что сами ценные бумаги существуют на бирже в бездокументарной форме - в виде электронных записей. Это сделано для удобства и оперативности, поскольку торги в интернет-трейдинге проходят с большой скоростью.

Для ориентирования на фондовом рынке необходимо уметь собирать и анализировать информацию о ценных бумагах. Для этого можно использовать методы технического анализа.

Технический анализ в целом можно определить как метод прогнозирования цены, основанный на статистических, а не на экономических выкладках. Методики технического анализа вначале создавались независимо друг от друга и лишь в 70-е годы были объединены в единую теорию с общей философией, аксиомами и основными принципами.

Основными инструментами технического анализа являются индикаторы - математические преобразования котировок ценных бумаг и/или объемов сделок, в результате которых получаются значения, которые используются для характеристики состояния рынка и прогнозирования будущих изменений цен.

Технический анализ широко используется на Западе, а в последнее время находит применение и в нашей стране при разнообразной работе на всех видах биржевых рынков. В качестве примера подобных рынков можно привести ценные бумаги государств и предприятий, валютные и промышленные индексы, цены на товары.

Большинство методов прогнозирования цен, при использовании даже не самых мощных персональных компьютеров, доступны любому интересующемуся трейдеру. Все методы технического анализа работают на практике уже многие годы и приносят пользователям немалый доход.

В данной работе представлена разработанная механическая система принятия решений, основанная на комплексе индикаторов технического анализа, среди которых: усовершенствованный индикатор Полосы Боллинджера, оптимизированный индикатор MACD а также индекс относительной силы RSI. Рассматриваются их теоретические основы, выявляется целесообразность использования данных индикаторов в комплексе.

На основе статистики, полученной в результате многочисленных тестов, проанализирована работоспособность и применимость разработанной системы.

1. Фондовый рынок

 
.1 Понятие фондового рынка

Существование рыночной экономики невозможно без набора различных финансовых инструментов.

Финансовый рынок - совокупность всех денежных ресурсов, находящихся в постоянном движении, т.е. в распределении и перераспределении, под влиянием меняющегося соотношения спроса и предложения на эти ресурсы субъектами экономики.

Фондовый рынок - это часть финансового рынка, обеспечивающая возможность быстрого (оперативного) перехода финансовых средств в различные секторы экономики и способствующая активизации инвестиций.

То есть фондовый рынок является составной частью как рынка капиталов, так и денежного рынка.

Фондовый рынок занимает чрезвычайно важное место в системе рыночных отношений, в том числе и в России. Данный сегмент выполняет массу важнейших функций, без него нормальные рыночные отношения невозможны.

Российский фондовый рынок представляет собой один из развивающихся рынков. Он характерен наличием значительного числа акционерных обществ, большинство из которых не состоят в листинге ни одной из торговых площадок, но, тем не менее, в силу бурного развития представляет интерес для прямых инвестиций.

Для ориентирования на фондовом рынке необходимо уметь собирать и анализировать информацию о ценных бумагах. Для этого можно использовать методы технического анализа.

1.2 Ценные бумаги

Ценной бумагой является документ, удостоверяющий с соблюдением установленной формы и обязательных реквизитов имущественного права. В настоящее время ценные бумаги выпускаются преимущественно в бездокументарной форме, то есть существует в виде записей на счетах в реестрах владельцев ценных бумаг. Владельцы при необходимости подтверждения своих прав обращаются в компанию, которая ведет реестр за выпиской. Торговля ценными бумагами на российских биржах также ведется в электронной форме. Брокеры подключены к ММВБ и РТС через Интернет. С помощью специального программного обеспечения они передают на биржу заявки своих клиентов, принятые через Интернет или по телефону. Основные виды ценных бумаг - акции и облигации. Акция - эмиссионная ценная бумага, закрепляющая права ее владельца (акционера) на получение части прибыли акционерного общества в виде дивидендов, на участие в управлении акционерным обществом и на часть имущества, остающегося после его ликвидации. Акция является именной ценной бумагой. Акции бывают обыкновенные и привилегированные. Первые дают владельцу право голоса на собрании акционеров и право на получение дивидендов в зависимости от прибыли общества. Вторые не дают права голоса на собрании акционеров (за редкими исключениями, специально оговоренными в законе), но гарантируют владельцу получение дивидендов в размере, установленным уставом акционерного общества. Акции обоих типов дают также право на получение части имущества акционерного общества при его банкротстве. На номинальную стоимость акции, объявленную при ее выпуске, не влияют факторы, действующие на рыночную цену. Цена акции номиналом 1000 рублей на бирже может подниматься, например до 5000 рублей или опускаться до 500 - на номинале акции это не отразится, но продать или купить акцию вы можете только по рыночной цене. На бирже обращаются акции открытых акционерных обществ (ОАО) - их участники могут продавать принадлежащие им акции без согласия других акционеров (в отличие от участников закрытых акционерных обществ (ЗАО)). По закону акции могут быть только именными, то есть записанными на конкретное юридическое или физическое лицо.

Облигация - ценная бумага, удостоверяющая право владельца на получение в заранее предусмотренный срок ее номинальной стоимости с процентами. Существуют еще дисконтные облигации, в которых процент не указан: они размещаются по цене ниже номинальной стоимости (с дисконтом, то есть как бы со скидкой) и погашаются в установленный срок по номиналу - разница в цене покупки и погашения является доходом инвестора. На российском рынке большинство облигаций - именно дисконтные (еврооблигации, муниципальные, корпоративные облигации многих эмитентов). В отличие от акций, облигации являются предъявительскими ценными бумагами.

С помощью акций и облигаций разных эмитентов инвестор формирует портфель ценных бумаг. Так принято называть все ценные бумаги, которыми владеет инвестор. Портфель формируется в зависимости от предпочтений инвестора. Более высокая доходность ценных бумаг повышает его риски, а более высокая надежность снижает доходность ценных бумаг. Поэтому портфельный принцип инвестирования помогает распределить риск и получить доход.

2. Технический анализ

Технический анализ - это некоторый набор методов изучения цен, с целью определения наиболее вероятного направления их развития в будущем. Текущая динамика цен (т.е. текущие ожидания) сравнивается с сопоставимой динамикой цен в прошлом, посредством чего достигается более или менее реалистичный прогноз.

Технический анализ - метод прогнозирования цены на какой-либо финансовый актив, основанный на математических (а не экономических) расчетах. То есть, экономические составляющие просто не берутся в расчет, что значительно упрощает жизнь аналитику. Кажется абсурд - как можно спрогнозировать цену, не беря в расчет состояние экономики? Но последователи технического анализа считают, что цена и есть отражение всей экономики. И, глядя на цены в прошлом, можно предсказать цены в будущем. Если в какой-то исторический момент времени за участком цен определённой конфигурации последовал другой специфический участок, то и в следующий раз, когда возникнет участок такой же конфигурации, можно ожидать соответствующего продолжения. Учитывая результаты применения технического анализа, которые часто весьма точны, позиция эта не лишена определенного смысла. Таким образом, технический анализ - это метод прогнозирования цены актива, опираясь на показатели торгов этим активом в прошлом.

Немногие аналитики способны стабильно и точно прогнозировать цены. Даже, если у вас не получится точно предсказывать курсы валют, с помощью технического анализа, вы, сможете стабильно уменьшать риск и увеличивать прибыль.

Сегодня технический анализ очень популярен. Благодаря появлению мощных процессоров для компьютеров, доступных обывателю, и недорогого программного обеспечения мелкие инвесторы и трейдеры получили доступ в таинственный мир технического анализа. Результатом усиления межрыночных связей между четырьмя секторами рынка (товарным, валютным, фондовым и рынком долгосрочных обязательств) стало то, что трейдер вынужден одновременно следить за динамикой гораздо большего числа рынков. Глобальные связи между финансовыми рынками заставляют нас обращаться к методам, позволяющим мгновенно реагировать на стремительные изменения рыночной динамики. А методы технического анализа относятся именно к таким.

Первое упоминание о возможности прогнозирования будущего движения цен на основе итогов предыдущих торгов появилось в конце XIX века в Wall Street Journal. Это была заметка уже тогда небезызвестного Чарльза Доу - создателя популярного ныне индекса Доу-Джонса. Теория, созданная Доу, существует и по сей день и так и называется: «теория Доу». Метод развивался и улучшался вплоть до 70-х годов XX века. С появлением компьютеров стало проще не только считать, но и отображать расчеты в графическом виде.

Проистекая прямо и косвенно из теории Доу, технический анализ вобрал в себя такие принципы и понятия этой теории, как «направленный характер движения цен», «цены учитывают всю известную информацию», «подтверждение» и «расхождение», «объем как зеркало ценовых изменений» и «поддержка/сопротивление».

Прогнозирование цен в техническом анализе основывается на значениях предыдущих цен и других показателях. Из этих показателей торгов наибольший интерес вызывает объем торгов, то есть общее количество осуществленных за интересующий временной период сделок, выраженное в любой валюте.

И всё же главный фактор - цена на активы. Цены понятны, их значения легко найти частному трейдеру. Это делает показатель цены наиболее важным для работы.

На этих китах - цена, объем торгов - основывается теория технического анализа. Как любая теория, она имеет свои постулаты. Три основных звучат следующим образом:

1.   Движения цен учитывают все факторы. Это значит, что цена чутко реагирует на все внешние факторы, будь то заявление американского президента, сведения об уровне инфляции в Мексике или ураган в Калифорнии. Согласно теории Доу, любой фактор, способный повлиять на спрос или предложение, неизменно найдет свое отражение в динамике индекса (цены). Разумеется, землетрясения и цунами непредсказуемы, но и они мгновенно учитываются рынком и отражаются на динамике цен.

2.      Цены двигаются направленно. Это значит, что движения цен не хаотичны, а следуют в определенном направлении. Направление это называется тренд. Тренды бывают трех видов: бычий (движение вверх), медвежий (движение вниз) и боковой (нет ни понижения, ни повышения курса).

.        История повторяется. «Ключ к пониманию будущего кроется в изучении прошлого». Тот факт, что определенные конфигурации на графиках цен имеют свойство появляться устойчиво и многократно, причем на разных рынках и в разных масштабах времени, является следствием действия некоторых стереотипов поведения, свойственных человеческой психике.

Существует три различных подхода к анализу графиков. Первый - поверхностный, субъективный. Он основывается, главным образом, на интуиции. Это обычный «метод тыка». Он не требует ни строгого анализа, ни обоснования, поэтому большинство трейдеров работает на этом простейшем уровне. К сожалению, в угоду простоте и удобству они жертвуют логикой.

Второй подход связан с созданием рыночных индикаторов, которые помогают определять состояния перепроданности и перекупленности рынка. Хотя многие трейдеры хотя бы частично используют этот тип анализа, они, как правило, ограничиваются только самыми известными индикаторами и придерживаются общепринятых способов их толкования. В такой работе отсутствует творческий подход. Такие трейдеры не пытаются создавать собственные индикаторы или улучшать существующие. Кроме того, они часто связывают с модными индикаторами преувеличенные ожидания и не замечают их недостатков.

Самым эффективным и ценным является третий подход - разработка торговых систем, способных генерировать сигналы к покупке и продаже. Однако далеко не все аналитики обладают достаточным уровнем образования, опытом и желанием постоянно оттачивать свое мастерство.

Широкое применение в техническом анализе находят индикаторы - это результат математических расчетов на основе показателей цены и/или объема. Полученная величина используется для прогнозирования ценовых изменений. Одним из самых широко используемых индикаторов технического анализа является индикатор RSI - индекс относительной силы, изучение и модификация которого и будет основной целью данной дипломной работы.

решение торг программный стратегия

3. Индикаторы, использовавшиеся в системе

.1 Полосы Боллинджера

Этот индикатор характеризует наиболее вероятный диапазон изменения цен и ненормально резкое отклонение цены от действующего тренда. Под трендом здесь имеется в виду скользящая средняя. Линии индикатора строятся как полоса или границы вокруг средней. Ширина полосы пропорциональна среднеквадратичному отклонению от скользящей средней за анализируемый период времени.

Полосы Боллинджера обычно наносятся на ценовой график, но могут наноситься и на график индикатора. Все нижеописанное будет относится к полосам, наносящимся на ценовые графики. При удачном выборе параметров канал будет соответствовать равновесному состоянию рынка, а все выходы цены за его пределы должны сопровождаться возвращением ее назад

Рисунок 1. Полосы Боллинджера

.1.1 Построение и принцип расчета

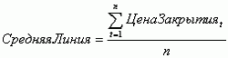
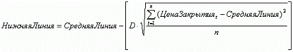
Границы полос Боллинджера строятся на расстояниях от простой скользящей средней, равных определенному числу стандартных отклонений. Стандартное отклонение - мера разброса случайных величин от среднего значения, которая равна квадратному корню из дисперсии. Поскольку величина стандартного отклонения зависит от волатильности, полосы сами регулируют свою ширину: она увеличивается, когда рынок неустойчив, и уменьшается в более стабильные периоды. Пересечение границ Боллинджера или их пробитие ценой обычно является хорошим сигналом последующего отката. Полосы Боллинджера формируются из трех линий. Средняя линия - это обычное скользящее среднее. В нижеследующем выражении «n» обозначает число единичных отрезков времени, составляющих период расчета скользящего среднего (напр., 20 дней).


Верхняя линия - это та же средняя линия, смещенная вверх на определенное число стандартных отклонений (например, на два). В следующей формуле «D» обозначает число стандартных отклонений.

 

Нижняя линия - это средняя линия, смещенная вниз на то же число стандартных отклонений (т.е. на «D»).


В разработанной системе принятия решений используется следующее значение коэффициента:

= 2±SMA’

.1.2 Применение и сигналы индикатора Полосы Боллинджера

Интерпретация полос Боллинджера основана на том, что ценам свойственно оставаться в пределах верхней и нижней границ полосы. Отличительной особенностью полос Боллинджера является их переменная ширина, обусловленная волатильностью цен. В периоды значительных ценовых изменений (т.е. высокой волатильности) полосы расширяются, давая простор ценам. В периоды застоя (т.е. низкой волатильности) полосы сужаются, удерживая цены в пределах своих границ.

Сам разработчик отмечает следующие особенности полос Боллинджера:

• Резкие изменения цен обычно происходят после сужения полосы, соответствующего снижению волатильности

• Если цены выходят за пределы полосы, следует ожидать продолжения текущей тенденции

• Если за пиками и впадинами за пределами полосы следуют пики и впадины внутри полосы, возможен разворот тенденции

• Движение цен, начавшееся от одной из границ полосы, обычно достигает противоположной границы.

Последнее наблюдение полезно для прогнозирования ценовых ориентиров.

Торговые решения на основе анализа ПБ принимаются, когда цена либо поднимается выше верхней линии сопротивления ПБ, либо опускается ниже нижней линии поддержки ПБ. Если же график цены колеблется между этими двумя линиями, то надежных сигналов о покупке/продаже на основе анализа ПБ не подается. Решение об открытии позиции принимается только тогда, когда график цены пересекает линию ПБ для возврата в нормальное состояние.

Иногда выход за границу ПБ означает «фальшивый пробой», т.е. когда цены только попробовали новый уровень и сразу же вернулись назад. В данном случае у вас появляется возможность для работы против тренда, но внимательно оцените - а правда ли пробой оказался «фальшивым». Хорошим подтверждением в таких случаях является показатель объема, который при фальшивом пробое должен резко снизиться.

.2 Индикатор RSI

Индекс относительной силы (relative strength index, RSI) является осциллятором, предназначенным для идентификации краткосрочных экстремумов (так называемых точек "перекупленности" и "перепроданности"). Создатель RSI Дж. Уэллес Уайлдер (J. Welles Wilder) впервые дает подробные пошаговые инструкции для расчета и интерпретации индикатора в своей книге "Новые концепции технических торговых систем" (New Concepts in Technical Trading Systems, Trend Research, 1978). Уайлдер описывает индикатор на дневных ценовых барах, однако RSI можно использовать в любой временной структуре.

.2.1 Расчет индикатора RSI

Расчет индикатора RSI выглядит следующим образом:

= 100 - 100 / (1 + RS),

где RS = (Прирост цен закрытия) / (Снижение цен закрытия) = CU / CD

это сокращение для Relative Strength - Относительная сила. Таким образом, CU представляет собой сумму цен закрытия с повышением для периода наблюдения. В свою очередь, CD представляет собой сумму цен закрытия с понижением для периода наблюдения, при этом эта сумма выражается положительным числом.

Рассмотрим на примере, как это работает:

На рисунке 2 расчет индикатора RSI разложен графически. Внутри каждой свечки указана величина изменения. Величина изменения рассчитывается как разница между ценой открытия (Open) и ценой закрытия (Close). Знак плюс, говорит о том, что цена выросла, т.е. цена закрытия выше цены открытия. Знак минус, говорит о том, что цена понизилась, т.е. цена закрытия ниже цены открытия. На рисунке представлено 7 свечек. Три свечи белого света (т.е. растущие) и четыре свечи черного цвета. В сумме, длина белых свечей составляет 150 (50+50+50), а черных 140 (20+50+50+20). Общая длина движения составила 290 пунктов. В итоге значение индикатора RSI будет составлять 51.

Именно в данном расчете заложен весь философский смысл индикатора RSI. Если индикатор выше 50, то это в первую очередь значит, что совокупная длина белых свечей больше, совокупной длины черных свечей в рамках заложенного в расчет периода индикатора. А значит, рынок растет быстрее, чем падает. И, в зависимости от того, на какой отметке находится индикатор, делаем вывод о силе того, или иного движения.

Рисунок 2

Графически RSI выгледит следующим образом:

Рисунок 3. Индикатор RSI

.3 Индикатор MACD

3.3.1 Экспотенциальное скользящее среднее

Экспоненциальная (или экспоненциально-взвешенная) скользящая средняя рассчитывается как сумма сегодняшней цены закрытия, умноженной на процент, с вчерашним значением скользящей средней, умноженным на процент.

Например, чтобы рассчитать 9% экспоненциальную скользящую среднюю цены закрытия акций:

1)   необходимо умножить сегодняшнюю цену закрытия на 9%.

2)      затем нужно суммировать полученное произведение со значением вчерашней скользящей средней, умноженным на 91% (100% - 9% = 91%).

Экспоненциальная скользяшая средняя = [Close сег х 0,09] + [M.A. вчера х 0,91]

Вследствие того, что большинство инвесторов более комфортно себя чувствуют при работе с временными периодами по сравнению с работой с процентами, современная программа технического анализа MetaStock преобразует в дни экспоненциальные проценты. Формула конвертации дней в экспоненциальные проценты выглядит следующим образом:

;

Например, для расчета 10-дневной экспоненциальной скользящей средней необходимо использовать коэффициент 0.18:

;

Для проведения обратной конвертации, то есть экспоненциального процента во временные периоды используется следующая формула:

;

Используя данные предыдущего примера, Вы можете проверить, что коэффициент 0.18 экспоненциальной скользящей средней, действительно соответствует скользящая средняя с периодом 10.

;

Экспоненциальная скользящая средняя характеризуется возрастанием веса значений ряда в направлении к последней дате (концу ряда) и его уменьшением в направлении к первым датам (началу ряда). Такого нет у простой скользящей средней. Этот метод часто называют экспоненциальным взвешиванием.

3.3.2 Определение индикатора MACD

Ярким представителем, выражающим подход к анализу графиков, является индикатор  (moving average convergence divergence), что переводится как схождение - расхождение (конвергенция - дивергенция) скользящих средних.

Индикатор  рассчитывается как разница между средними ценами за недавний период и средними ценами за более долгий период. Полученные при этом результаты еще раз усредняются с порядком равным 9. То есть, проще говоря, находится сглаженная разница между средними ценами за недавний период и средними ценами за более долгий период. MetaStock размещает полученный результат на отдельном графике, на котором обозначена нулевая линия. Эта линия показывает уровень на котором средние цены двух периодов равны между собой. Выход графика выше нулевого уровня свидетельствует об увеличение последних цен по отношению к обычным. Соответственно, выход значений ниже нуля означает снижение цен последних дней относительно ценового уровня текущего месяца. Графически  похож на изображение чередующихся холмов, направленных то вниз, то вверх от нулевой линии.

На рисунке 4 представлены графики курса акций, индикатора  и сигнальной линии. Сплошной линией отмечен сам индикатор , а пунктирной - сигнальная линия.

Рисунок 4

К сигналам, подаваемым , относятся:

·              Пересечение индикатора  с нулевой линией трактуется как достижение нейтрального состояния (средние сравнялись). Если на этот момент у вас есть открытые позиции, то этот сигнал означает для вас "внимание". Движение в текущем направлении может продолжиться, но за показателями этого движения следует следить с целью получения новых сигналов подтверждающих это движение. При отсутствии таких сигналов лучше зафиксироваться.

·              Выход максимальных или минимальных значений  выше или ниже определенного уровня, означает, что последние цены не просто отклонились от среднемесячных значений, а отклонились ненормально сильно. Выход значений  за отведенные им рамки трактуется как сигнал к их скорому возвращению в эти рамки. То есть, если  забрался слишком высоко, следует продавать, если нырнул слишком низко - покупать

·              Изменение направления роста "холма"  трактуется как изменение тенденции в движении цены. Eсли после периода роста  пошел на убыль, то считается, что цена будет убывать и дальше. На графике это будет выглядеть как снижение к нулевой линии - сигнал на продажу. Если "холм"  перестает расти вниз и начинает закругляться вверх к нулевой линии - это сигнал на покупку. Особенно сильными эти сигналы считаются, когда вершины "холмов" прекратили свой рост на отметках, выходящих за нормальные расчетные границы.

·              Для получения сигналов используется также сравнение высоты вершин соседних "холмов" , растущих в одном направлении. Если растущая вверх от нулевой линии вершина последнего "холма" ниже предыдущей такой же вершины (или наоборот выше, если "холмы" направлены вниз от нулевой линии), то это говорит об ослаблении движения цены в существующем на данный момент направлении. Если последняя вершина выше (ниже) аналогичной предыдущей вершины, значит, тренд усиливается.

4. Программная реализация

.1 Основной принцип действия и интерфейс приложения

Реализация механической системы принятия решений осуществлялась в среде разработки Borland Builder 6.0. Приложение имеет следующий интерфейс. (рис. 4.1)

Рис. 4.1 Окно приложения

С помощью вкладки «параметры акций» (рис. 4.2) Пользователь задает необходимые значения параметров, как то:

эмитент; выбор эмитента, акции которого будут использоваться при торгах (на данный момент задействованы эмитенты: Газпром, Лукойл, Роснефть).

дата начала; возможность выбрать дату для просмотра исторических данных анализа действенности системы за выбранное время (дата окончания по умолчанию всегда равна текущей).

интервал; выбор периода для торгов (доступны следующие интервалы: 1 мин, 5 мин, 1 час, 1 день, 1 неделя, 1 месяц)

Рис. 4.2

Далее пользователь указывает индикаторы, графики которых хотел бы увидеть на графике, а также сигналы, которые система будет учитывать при принятии решения о проведении сделки. Во вкладке «начальный капитал» указывается первоначальная сумма, на которую будут осуществляться торги.

После введения всех необходимых параметров при нажатии кнопки «Начать торги» приложение формирует запрос и по http-протоколу с помощью компонента TNMHTTP запрашивает файл с сервера finam.ru со значениями необходимых параметров (дата, цена открытия, цена закрытия и т.д.) для выбранного эмитента. После получения файла, с его помощью формируются необходимые массивы со значениями цен открытия и закрытия. Затем на основе массивов строятся графики изменения значений цен, а также выбранных индикаторов. После построения графиков приложение, опираясь на определенные сигналы индикаторов, продает или покупает акции эмитента и запускает таймер с промежутком, заданным параметром интервал по истечении которого происходит запрос на сервер finam.ru нового файла и история повторяется. (Рис. 4.3)

.2 Сигналы индикаторов и стратегия торгов

В приложении учитываются следующие сигналы:

по индикатору MACD

Рис. 4.3 Вид запущенной системы

) Пересечение сигнальной линии линией MACD (снизу вверх - сигнал к покупке, сверху вниз - к продаже, рис 4.4)

Рис. 4.4 Сигнал MACD - пересечение сигнальной линии

) Пересечение линией MACD нулевой отметки (снизу вверх - сигнал начала сильного повышательного тренда, покупаем, сверху вниз - продаем, рис 4.5)

Рис. 4.5 Сигнал MACD - пересечение нулевой отметки

- по индикатору RSI

) Выход индикатора в зону перекупленности/перепроданности (>70% - сигнал к продаже, <30% - сигнал к покупке, рис 4.6)

Рис. 4.6 Сигнал RSI - выход в зоны

) Пересечение линией RSI 50% линии (снизу вверх - сигнал о повышательном тренде, сверху вниз - о понижательном, рис 4.7)

Рис. 4.7 Сигнал RSI - пересечение линии 50%

по индикатору Полосы Боллинджера

достижение либо пересечение графиком цен одной из полос Боллинджера (верхней - сигнал к продаже, нижней - сигнал к покупке, рис. 4.8)

Рис. 4.8 Сигнал индикатора Полосы Боллинджера

Приложение позволяет использовать любой из сигналов, а также любую совокупность сигналов индикаторов. Эффективность того или иного индикатора либо комплекса индикаторов различается в зависимости от выбранного интервала. Поясним принцип работы любого комплекса. Для того чтобы система получила какой либо сигнал (продажи/покупки) этот же сигнал в данный промежуток времени должен обозначить каждый из индикаторов, входящих в комплекс. Таким образом, в случае комплекса индикаторов «отсекается» часть ложных сигналов, увеличивая тем самым гарантированную прибыль и уменьшая риски. Также имеется возможность использовать так называемую стратегию частичной продажи. Поясним: когда индикатор MACD и RSI дают слабый и менее надежный сигнал (у MACD - пересечение сигнальной линии, у MACD - выход в зону) покупаем/продаем акции не на всю, а на часть суммы (например 50%). Когда же получаем сильный и надежный сигнал (пересечение линией MACD нулевой отметки, RSI - линии 50%) продаем/покупаем на оставшуюся сумму.

В ходе многочисленных тестов была получена статистика, на основе которой можем сделать вывод, что наиболее действенным и надежным является комплекс индикаторов, в состав которого входят индикаторы MACD, RSI а также используется стратегия частичной продажи. (результаты тестов см. в приложении)

Заключение

Роль фондового рынка в мире непрерывно растет. Используя его инструменты, правительства и корпорации, по оценке ряда исследователей, привлекают до 75% необходимых для экономики средств. Опыт развитых стран убедительно доказывает, что между состоянием экономики и движением фондового рынка существует тесная взаимосвязь.

В данной работе рассматривался один из наиболее действенных помощников для любого трейдера - механичекая система принимающая решения. Исследовано несколько индикаторов технического анализа, входящих в состав данной системы, таких как Полосы Боллинджера, MACD и RSI. Разработан и проанализирован комплекс индикаторов, на основе которого система принимает гарантированно прибыльное и наименее рискованное решение.

Несмотря на то, что существует множество систем, помогающих трейдерам принимать решение о поведении на рынке, изменения и усовершенствования, представленные в данной работе, имеют место быть, ведь рынок, как живой организм находится в постоянном развитии, и для получения наилучших результатов на бирже недостаточно пользоваться уже готовыми инструментами, а надо создавать что-то новое. Хотя разработанная система может использоваться скорее как консультационная, и не позволяет самостоятельно торговать на ранке акций, разработанный комплекс индикаторов всегда возможно применить в распространенных торговых системах.

Список использованных источников


1. Стивен Б. Акелис «Технический анализ от А до Я», «Диаграмма», Москва, 2000 г.

2.      Р. Колби, Т. Мейерс «Энциклопедия технических индикаторов рынка», «Альпина», Москва, 2000 г.

.        А. Эрлих «Технический анализ товарных и финансовых рынков», «ИНФРА-М», Москва, 1996 г.

Ссылки на Интернет-источники

4. Финам.ru - Рынок и Аналитика: Интерактивный теханализ

<http://www.finam.ru/analysis/charts/default.asp>

.        ФорексКлуб <http://forexclub.com.ru/index.php>

Приложение

Газпром начальный капитал - 10000

Начало теста

Оконч. теста

Период

Компл. индикаторов

Результат

29.05.09

29.05.09

1 минута

MACD

10078.96

29.05.09

29.05.09

1 минута

RSI

10045.63

29.05.09

29.05.09

1 минута

MACD+RSI+ЧП

10086.56

28.05.09

29.05.09

5 минут

MACD

10408.32

28.05.09

29.05.09

5 минут

RSI

10487.84

28.05.09

29.05.09

5 минут

MACD+RSI+ЧП

10637.55

28.05.09

29.05.09

1 минута

MACD

10770.82

28.05.09

29.05.09

1 минута

RSI

10213.84

28.05.09

29.05.09

1 минута

MACD+RSI+ЧП

10965.84

25.05.09

29.05.09

5 минут

MACD

11152.05

25.05.09

29.05.09

5 минут

RSI

9853.46

25.05.09

29.05.09

5 минут

MACD+RSI+ЧП

11357.87

22.05.09

29.05.09

1 час

MACD

10450.66

22.05.09

29.05.09

1 час

RSI

10462.26

22.05.09

29.05.09

1 час

MACD+RSI+ЧП

10642.76

29.04.09

29.05.09

1 час

MACD

13677.98

29.04.09

29.05.09

1 час

RSI

10914.07

29.04.09

29.05.09

1 час

MACD+RSI+ЧП

10715.66

29.03.09

29.05.09

1 час

MACD

18129.59

29.03.09

29.05.09

1 час

RSI

11029.43

29.03.09

29.05.09

1 час

MACD+RSI+ЧП

18741.42

28.02.09

29.05.09

1 день

MACD

13685.64

28.02.09

29.05.09

1 день

RSI

12882.86

28.02.09

29.05.09

1 день

MACD+RSI+ЧП

14523.44

29.11.08

29.05.09

1 день

MACD

15051.35

29.11.08

29.05.09

1 день

RSI

13072.35

29.11.08

29.05.09

1 день

MACD+RSI+ЧП

17453.88

29.05.08

29.05.09

1 день

MACD

11961.34

29.05.08

29.05.09

1 день

RSI

8035.89

29.05.08

29.05.09

1 день

MACD+RSI+ЧП

17453.88

29.05.07

29.05.09

1 день

MACD

21640.63

29.05.05

29.05.09

1 неделя

MACD

34440.22


Лукойл, начальный капитал - 15000

Начало теста

Оконч. теста

Период

Компл. индикаторов

Результат

08.06.09

1 минута

MACD

15529.94

08.06.09

09.06.09

1 минута

RSI

15126.81

08.06.09

09.06.09

1 минута

MACD+RSI

15150.92

08.06.09

09.06.09

1 минута

ПБ

15022.58

08.06.09

09.06.09

1 минута

MACD+RSI+ЧП

15632.11

08.06.09

09.06.09

5 минут

MACD

15412.32

08.06.09

09.06.09

5 минут

RSI

15224.07

08.06.09

09.06.09

5 минут

MACD+RSI+ЧП

15512.71

08.06.09

09.06.09

5 минут

ПБ

15186.98

01.06.09

09.06.09

1 час

MACD

15462.79

01.06.09

09.06.09

1 час

RSI

15852.91

01.06.09

09.06.09

1 час

ПБ

15128.16

01.06.09

09.06.09

1 час

MACD+RSI+ЧП

16006.82

09.06.08

09.06.09

1 день

MACD

25708.05

09.06.08

09.06.09

1 день

RSI

15876.54

09.06.08

09.06.09

1 день

MACD+RSI+ЧП

23452.76

09.06.08

09.06.09

1 день

ПБ

27773.28


Роснефть, начальный капитал - 20000

Начало теста

Оконч. теста

Период

Компл. индикаторов

Результат

08.06.09

09.06.09

1 минута

MACD

21912.72

08.06.09

09.06.09

1 минута

RSI

20008.68

08.06.09

09.06.09

1 минута

MACD+RSI

21280.33

08.06.09

09.06.09

1 минута

ПБ

20028.53

08.06.09

09.06.09

1 минута

MACD+RSI+ЧП

21972.98

08.06.09

09.06.09

5 минут

MACD

20910.12

08.06.09

09.06.09

5 минут

RSI

20406.70

08.06.09

09.06.09

5 минут

MACD+RSI+ЧП

20896.11

08.06.09

09.06.09

5 минут

ПБ

20504.62

01.06.09

09.06.09

1 час

MACD

19969.97

01.06.09

09.06.09

1 час

RSI

20023.19

01.06.09

09.06.09

1 час

ПБ

19347.50

01.06.09

09.06.09

1 час

MACD+RSI+ЧП

20065.71

09.06.08

09.06.09

1 день

MACD

29356.98

09.06.08

09.06.09

1 день

RSI

23478.23

09.06.08

09.06.09

1 день

MACD+RSI+ЧП

34416.00

09.06.08

09.06.09

1 день

ПБ

24457.19


Похожие работы на - Разработка механической системы принятия решений

 

Не нашли материал для своей работы?
Поможем написать уникальную работу
Без плагиата!
Без нейросетей!