Программная реализация системы управления работой метрологической службы
программная реализация системы управления работой метрологической службы
Введение
В настоящее время на мировом рынке наукоемких промышленных изделий
отчетливо наблюдаются три основные тенденции:
· Повышение требований к качеству продукции;
· Повышение конкуренции на рынке;
· Развитие кооперации между участниками жизненного цикла (ЖЦ) продукции (в
т.ч., создание «виртуальных предприятий»).
Основной проблемой, стоящей сейчас перед отечественной промышленностью,
является повышение конкурентоспособности выпускаемой продукции. Добиться этого
возможно за счет:
· Повышения степени удовлетворения требований потребителя;
· Сокращения сроков выхода продукции на рынок;
· Сокращения материальных затрат на производство продукции.
Основным способом повышения конкурентоспособности изделия является
повышение эффективности процессов его ЖЦ, т.е. повышение эффективности
управления ресурсами, используемыми при выполнении этих процессов. В настоящее
время существует большое количество методов повышения эффективности управления
ресурсами разного типа: материальными, финансовыми, кадровыми или
информационными.
Для успешной деятельности предприятия необходимо организовать
производственный процесс таким образом, чтобы он был гибким и прозрачным.
Ориентированность на потребителя (удовлетворение его потребностей) - один из
главных постулатов каждого современного преуспевающего предприятия. В нынешнее
время потребности заказчиков постоянно изменяются, требования к качеству
продукции повышаются, расширяются рынки и т.д. Поэтому необходимо, чтобы
предприятие реагировало на изменение спроса продукции, требований к ней на
рынке своевременно и качественно. Это достигается за счет применения системы
менеджмента качества и процессного подхода.
Также на предприятии необходима четкая организации выпуска продукции,
четкое разграничение функций, обязанностей и ответственности, выделение в
рамках предприятия процессов на различных уровнях производства и управления.
Все это служит предпосылкой для эффективного контроля деятельности, организации
информационных потоков и потоков работ внутри предприятия, наличия более точной
информации о текущем состоянии и, следовательно, все это приведет к повышению
качества решений, принимаемых руководителями.
Особое значение в такой ситуации имеет наличие программного обеспечения
для персональных ЭВМ, как общего назначения, так и чисто прикладных программ,
решающих специализированные задачи подразделения предприятия.
В данном проекте предлагается один из вариантов решения задачи конкретной
программной реализации системы управления работой метрологической службы.
Разрабатываемое программное средство предназначено в первую очередь для
автоматизации работы специалистов метрологической службы. Использование данного
программного обеспечения должно значительно упростить и ускорить их работу за
счет автоматизации учетно-расчетных операций, формирования всей отчетности в
процессе решения конкретных задач.
Раздел 1. Литературный обзор
1.1 Жизненный цикл информационных систем
Под жизненным циклом системы обычно понимается непрерывный процесс,
который начинается с момента принятия решения о необходимости создания системы
и заканчивается в момент ее полного изъятия из эксплуатации.
Современные сети разрабатываются на основе стандартов, что позволяет
обеспечить, во-первых, их высокую эффективность и, во-вторых, возможность их
взаимодействия между собой. Все стандарты на информационные системы (как и на
любые системы вообще) можно разбить на следующие два основных класса:
· Функциональные стандарты, определяющие порядок
функционирования системы в интересах достижения цели, поставленной перед нею ее
создателями.
· Стандарты жизненного цикла, определяющие то, как создается,
развертывается, применяется и ликвидируется система.
Модели, определяемые стандартами этих двух классов взаимосвязаны, однако
решают совершенно разные задачи и характеризуются принципиально различными
подходами к их построению. Таким образом, жизненный цикл информационной системы
охватывает все стадии и этапы ее создания, сопровождения и развития:
· предпроектный анализ (включая формирование функциональной и
информационной моделей объекта, для которого предназначена информационная
система);
· проектирование системы (включая разработку технического
задания, эскизного и технического проектов);
· разработку системы (в том числе программирование и
тестирование прикладных программ на основании проектных спецификаций подсистем,
выделенных на стадии проектирования);
· интеграцию и сборку системы, проведение ее испытаний;
· эксплуатацию системы и ее сопровождение;
· развитие системы.
1.2 CALS
Аббревиатура CALS расшифровывается как Continuous Acquisition and Life
cycle Support - непрерывная информационная поддержка жизненного цикла продукта.
Встречается также другой перевод, менее схожий с исходным названием, но более
близкий по смыслу: обеспечение неразрывной связи между производством и прочими
этапами жизненного цикла изделия. Данная технология, разработанная в 80-х годах
в Министерстве обороны США, распространилась по всему миру и охватила практически
все сферы мировой экономики. Она предназначена для повышения эффективности и
качества бизнес-процессов, выполняемых на протяжении всего жизненного цикла
продукта, за счет применения безбумажных технологий. Началом создания системы
CALS-технологий явилась разработка системы стандартов описания процессов на
всех этапах жизненного цикла продукции.
В международных стандартах серии ISO 9004 (управление качеством
продукции) введено понятие "жизненный цикл изделия". Данное понятие
включает в себя следующие этапы жизненного цикла изделия: маркетинг, поиск и
изучение рынка; проектирование и/или разработка технических требований к
создаваемой продукции; материально-техническое снабжение; подготовка и
разработка технологических процессов; производство; контроль, проведение
испытаний и обследований; упаковка и хранение; реализация и/или распределение
продукции; монтаж, эксплуатация; техническая помощь в обслуживании; утилизация
после завершения использования продукции.
1.3 Реинжиниринг бизнес-процессов и информационные технологии
Реинжиниринг бизнес-процессов с момента своего возникновения тесно
взаимодействует с информационными технологиями, так как без реинжиниринга
информационные технологии почти не приносят результатов, а без информационных
технологий реинжиниринг почти невозможен. Проект реинжиниринга бизнес-процессов
компании, как правило, реализуется в два этапа; на первом этапе осуществляется
описание бизнес-процессов, их переосмысление и создание новых эффективных
бизнес-процессов. На втором этапе к управлению новыми бизнес-процессами
подключаются информационные технологии.
В последнее десятилетие самой важной технологией, связанной с
реинжинирингом, стало планирование и управление ресурсами компании (ERP -
Enterprise Ressource Planning) - интегрированная компьютерная система,
поддерживающая не отдельные области деятельности, а целые бизнес-процессы.
Корпоративные системы планирования и управления ресурсами (ERP) - это
стандартное программное обеспечение для реализации интегрированных
организационно-экономических решений, как для основных, так и для
вспомогательных процессов в организации.
Благодаря использованию единой базы данных, система способна
интегрировать различные, но при этом тесно взаимосвязанные, функциональные
области компании, например управление материальными потоками, планирование
производства, бухгалтерский учет или управление персоналом. При этом
конфигурация таких систем с учетом специфики конкретной организации
осуществляется за счет встроенных механизмов.- системы способны учитывать потребности
отдельных отраслей и специфичных для них процессов и функций. Кроме того, ERP -
системы являются центральным элементом расширенных корпоративных систем для
межфирменных и внешних процессов, таких как управление логистической цепочкой
или управления связями с клиентами.
Бизнес-процесс - это последовательность взаимосвязанных активностей или
задач, которые приводят к созданию определенного продукта или услуги для
потребителей. Часто бизнес-процессы визуализируют при помощи блок-схемы
бизнес-процессов.
Существуют три вида бизнес-процессов:
Управляющие - бизнес-процессы, которые управляют функционированием
системы. Примером управляющего процесса может служить Корпоративное управление
и Стратегический менеджмент.
Операционные - бизнес-процессы, которые составляют основной бизнес
компании и создают основной поток доходов. Примерами операционных
бизнес-процессов являются Снабжение, Производство, Маркетинг и Продажи.
Поддерживающие - бизнес-процессы, которые обслуживают основной бизнес.
Например, Бухгалтерский учет, Подбор персонала, Техническая поддержка, АХО.
Бизнес-процесс начинается со спроса потребителя и заканчивается его
удовлетворением. Процессно-ориентированные организации стараются устранять
барьеры и задержки, возникающие на стыке двух различных подразделений
организации при выполнении одного бизнес-процесса.
Бизнес-процесс может быть декомпозирован на несколько подпроцессов,
которые имеют собственные атрибуты, однако также направлены на достижение цели
основного бизнес-процесса. Такой анализ бизнес-процессов обычно включает в себя
составление карты бизнес-процесса и его подпроцессов, разнесенных между
определенными уровнями активности.
Бизнес-процессы должны быть построены таким образом, чтобы создавать
стоимость и ценность для потребителей и исключать любые необязательные или
вовсе лишние активности. На выходе правильно построенных бизнес-процессов
увеличиваются ценность для потребителя и рентабельность (меньшая себестоимость
производства товара или услуги).
Бизнес-процессы могут подвергаться моделированию с помощью различных
методов. Одним из способов есть составление модели бизнес-процесса «как есть»
(англ. as is). После этого модель бизнес-процесса подвергается критическому
анализу или обрабатывается специальным программным обеспечением. В результате
строится модель бизнес-процесса «как должно быть» (англ. to be). Некоторые
консультанты опускают фазу «как есть» и сразу предлагают модель «как должно
быть».система (англ. Product Data Management - система управления данными об
изделии) - организационно-техническая система, обеспечивающая управление всей
информацией об изделии. При этом в качестве изделий могут рассматриваться
различные сложные технические объекты (корабли и автомобили, самолёты и ракеты,
компьютерные сети и др.). PDM-системы являются неотъемлемой частью PLM-систем.
В PDM-системах обобщены такие технологии, как:
· управление инженерными данными (engineering data management -
EDM)
· управление документами
· управление информацией об изделии (product information
management - PIM)
· управление техническими данными (technical data management -
TDM)
· управление технической информацией (technical information
management - TIM)
· управление изображениями и манипулирование информацией,
всесторонне определяющей конкретное изделие.
Базовые функциональные возможности PDM-систем охватывают следующие
основные направления:
· управление хранением данных и документами
· управление потоками работ и процессами
· управление структурой продукта
· автоматизация генерации выборок и отчетов
· механизм авторизации
С помощью PDM-систем осуществляется отслеживание больших массивов данных
и инженерно-технической информации, необходимых на этапах проектирования,
производства или строительства, а также поддержка эксплуатации, сопровождения и
утилизации технических изделий. Такие данные, относящиеся к одному изделию и
организованные PDM-системой, называются цифровым макетом. PDM-системы
интегрируют информацию любых форматов и типов, предоставляя её пользователям
уже в структурированном виде (при этом структуризация привязана к особенностям
современного промышленного производства). PDM-системы работают не только с
текстовыми документами, но и с геометрическими моделями и данными, необходимыми
для функционирования автоматических линий, станков с ЧПУ и др., причём доступ к
таким данным осуществляется непосредственно из PDM-системы.
С помощью PDM-систем можно создавать отчеты о конфигурации выпускаемых
систем, маршрутах прохождения изделий, частях или деталях, а также составлять
списки материалов. Все эти документы при необходимости могут отображаться на
экране монитора производственной или конструкторской системы из одной и той же
БД. Одной из целей PDM-систем и является обеспечение возможности групповой
работы над проектом, то есть, просмотра в реальном времени и совместного
использования фрагментов общих информационных ресурсов предприятия.
Раздел 2. Характеристика отдела главного метролога, выделение
процесса и его вербальное описание
2.1 Краткая характеристика предприятия ООО «ЛУКОЙЛ-ПНГП»
Официальной датой образования ООО «ЛУКОЙЛ-ПНГП» является 1998 год, однако
фактическая история предприятия началась в 1969 году с момента пуска в
эксплуатацию Пермского газоперерабатывающего завода.
ноября 1998 года было зарегистрировано Общество с ограниченной
ответственностью «Пермнефтегазпереработка». Равные доли в уставном капитале
нового предприятия принадлежали ЗАО «ЛУКОЙЛ-ПЕРМЬ» и ОАО «Пермский ГПЗ».
В 2000 году доля Пермского ГПЗ перешла к ОАО «ЛУКОЙЛ». Этот этап
производственной жизни ООО «ЛУКОЙЛ-ПНГП» характеризуется тем, что была
проведена значительная работа по приему в собственность объектов
транспортировки попутного нефтяного и природного газа, принадлежащих ООО
«ЛУКОЙЛ-Пермнефть», расположенных на юге и на севере Прикамья.
В июне 2001 года состоялся пуск в эксплуатацию нового газопровода длиной
12,6 км, построенного в рекордные сроки за счет собственных средств ООО
«ЛУКОЙЛ-ПНГП». По трубопроводу один из видов продукции, отбензиненный газ,
транспортируется непосредственно с завода потребителям в Перми. В результате
строительства этого уникального для Пермской области газопровода продукция ООО
«ЛУКОЙЛ-ПНГП» поступает на промышленные предприятия и ТЭЦ города. Поставка
отбензиненного газа в областной центр обеспечила не только экономическую
безопасность ряда местных производств, но и значительно удешевила себестоимость
целого ряда производимых в Прикамье товаров и услуг.
В сентябре 2005 года ООО «ЛУКОЙЛ-ПНГП» завершило работу над внедрением
значимого газового проекта - на основной производственной площадке введена в
эксплуатацию установка утилизации кислых газов. Назначение установки -
производство натрия гидросульфида технического, который применяется при
обогащении и переработке руд цветных металлов, в производстве кальцинированной
соды, полисульфидного каучука, красителей, пигментов, других неорганических и
органических веществ, в кожевенной и текстильной промышленностях, в
производстве сульфатной целлюлозы, при обезвреживании некоторых видов жидких
отходов промышленных предприятий. При этом весь извлекаемый из углеводородного
сырья кислый газ полностью утилизируется, что помимо экономической выгоды
создает существенный экологический эффект, а именно: снижаются выбросы
загрязняющих веществ в атмосферу более чем на 2,4 тыс. тонн в год.
В 2007 году на ООО «ЛУКОЙЛ-ПНГП» завершилось самое крупномасштабное
строительство в истории предприятия.
октября в цехе приема сырья, хранения и отгрузки продукции была введена в
эксплуатацию новая сливо-наливная эстакада сжиженных углеводородных газов (СУГ)
и легковоспламеняющихся жидкостей (ЛВЖ).
По протяженности новая эстакада превосходит все подобные объекты в
России. Длина эстакады составляет 440 метров, эстакада имеет 72 станции
слива-налива продукции. По объему слива-налива сжиженных углеводородных газов и
по номенклатуре наливаемой продукции - объект является одним из мощнейших в
Европе. За основу определения количества фронтов налива и слива эстакады были
взяты максимальные пропускные возможности путей приема и отгрузки сырья станции
«Осенцы». Общая протяженность железнодорожных подъездных путей ООО
«ЛУКОЙЛ-ПНГП» возросла в 2 раза и составила более 14 км.
информационная система программное обеспечение
2.1.1 Продукция, выпускаемая на ООО «ЛУКОЙЛ-ПНГП»
|
СПБТ
|
ГОСТ 20448-90
|
|
ПБА
|
ГОСТ 27578-87
|
|
Фракция пропановая
|
ТУ 0272-023-00151638-99
|
|
Фракция изобутановая
|
ТУ 0272-025-00151638-99
|
|
Фракция нормального бутана
|
ТУ 0272-026-00151638-99
|
|
Углеводороды легкие
|
ТУ 0272-05-50260226-2006
|
|
Фракция пентан-изопентановая
|
ТУ 0272-030-00151638-99
|
|
Фракция гексан-гептановая, поставляемая на экспорт
|
ТУ 38.1011359-91
|
|
Бензин газовый стабильный
|
ТУ 0272-020-00148300-06
|
|
Бензин газовый стабильный (БГС-3)
|
ТУ 0272-03-50260226-2003
|
|
Газ отбензиненный для промышленного и коммунально-бытового
назначения
|
ТУ 0272-02-50260226-2001
|
|
Натрий гидросульфид технический
|
ТУ 2153-063-00151638-2005
|
|
Фракция этановая
|
ТУ 0272-07-50260226-2009
|
.2 Характеристика отдела главного метролога
Метрологическая служба создана для выполнения работ по обеспечению
единства измерений, соблюдению метрологических правил и норм в ООО «ЛУКОЙЛ-ПНГП»
(далее - Общество) в соответствии с требованиями законодательства Российской
Федерации об обеспечении единства измерений и техническом регулировании,
метрологическому надзору.
На основании процессного подхода основным бизнес-процессом отдела
считается обеспечение единства измерений (рис.1). Входом данного процесса
является Федеральный закон от 26 июня 2008 г. № 102-Ф3 «Об обеспечении единства
измерений». Результат процесса представляет собой точность измерений на
предприятии.
Рисунок 2.1 - основной бизнес-процесс ОГМетр.
2.2.1 Структура отдела главного метролога
Метрологическую службу возглавляет Главный метролог - начальник отдела
главного метролога, назначаемый на должность и освобождаемый от должности
приказом Генерального директора по согласованию с Главным метрологом ОАО
«ЛУКОЙЛ».
Главный метролог подчиняется Первому заместителю генерального директора
-Главному инженеру и несет ответственность за выполнение задач, возложенных на
метрологическую службу.
Главный метролог осуществляет общее и методическое руководство работами
по обеспечению единства измерений, метрологическому надзору и метрологическому
обеспечению в Обществе.
В своей деятельности метрологическая служба ООО «ЛУКОЙЛ-ПНГП»
руководствуется:
· законодательством Российской Федерации, в том числе
Федеральным законом от 26 июня 2008 г. № 102-Ф3 «Об обеспечении единства
измерений», Федеральным законом от 27 декабря 2002 г. № 184-Ф3 «О техническом
регулировании» (с изменениями и дополнениями);
· стандартами, правилами по метрологии и другими нормативными
документами Государственной системы обеспечения единства измерений Российской
Федерации;
· документами Федерального агентства по техническому
регулированию и метрологии Российской Федерации, Минэнерго России, Минпромторга
России в области обеспечения единства измерений;
· стандартами, приказами, указаниями, нормативными и
распорядительными актами ОАО «ЛУКОЙЛ», обязательными для исполнения
газоперерабатывающими обществами Компании;
· Положением о метрологической службе ОАО «ЛУКОЙЛ»;
· Уставом Общества, решениями органов управления Общества,
касающимися деятельности службы;
· приказами, другими обязательными для исполнения
нормативно-правовыми актами Общества;
· стратегией развития Общества и функциональной стратегией по
направлению деятельности;
· политикой ООО «ЛУКОЙЛ-ПНГП» в области промышленной
безопасности, охраны труда, окружающей среды в соответствии с требованиями
стандартов ISO 14001 и OHSAS 18001;
· действующим Положением об интегрированной системе управления
промышленной безопасностью, охраной труда и окружающей средой в ООО «ЛУКОЙЛ -
ПНГП»;
· правилами корпоративной культуры организаций Группы «ЛУКОЙЛ»;
· Кодексом деловой этики организаций Группы «ЛУКОЙЛ»;
· настоящим Положением.
На рисунке 2.2.1 представлена схема организационной структуры отдела
Рисунок 2.2. - Схема организационной структуры ОГМетр
2.2.2 Основные функции сотрудников ОГМетр
Главный метролог - начальник отдела.
Функции, выполняемые начальником отдела, включают процессы планирования и
организации работ в отделе. Подробное рассмотрение этих функций не имеет
практического смысла в данной ВКР, так как они не связаны с непосредственным
созданием графиков поверки, калибровки и технического обслуживания.
Начальник лаборатории метрологии
· Вести учёт по оборудованию узлов учёта, а также учёт
проведённого технического обслуживания и ремонтов, поверок и калибровок
оборудования узлов учёта, работ по метрологическому обеспечению производства на
базе «Автоматизированной системы управления метрологической службой («АСУ
МС»)»;
· Обеспечить подготовку, согласование, заключение, ведение и
исполнение договоров на поверку, калибровку средств измерений в соответствии с
Договорным регламентом;
· Обеспечивать формирование, ведение и выполнение, бюджета на
поверку, калибровку средств измерений в соответствии с Бюджетным регламентом
Общества;
· Обеспечивать проведение проверок полноты и качества
проведения работ подрядными организациями по поверке, калибровке средств
измерений, метрологическому обеспечению производства, ремонту и обслуживанию
кондиционеров;
· Обеспечивать подготовку, согласование, выполнение планов -
графиков производства работ по поверке, калибровке средств измерений,
метрологическому обеспечению производства на период проведения остановочного
ремонта;
· Обеспечивать бесперебойную и безаварийную эксплуатацию и
работу средств измерений;
· Контролировать правильную эксплуатацию средств измерений
работниками Общества и подрядных организаций;
· Контролировать полноту и качество ведения учёта средств
измерений в подразделениях ООО «ЛУКОЙЛ-ПНГП» ответственными за метрологическое
обеспечение;
Инженер по метрологии II категории
· Вести учёт средств измерений, а также учёт проведённых
поверок и калибровок средств измерений на базе «Автоматизированной системы
управления метрологической службой («АСУ МС»)»;
· Готовить, обеспечивать согласование, заключение, ведение и
исполнение договоров на поверку, калибровку средств измерений в соответствии с
Договорным регламентом;
· Обеспечивать выполнение в установленные договором сроки, в
установленных объёмах поверку, калибровку средств измерений;
· Разрабатывать, обеспечивать согласование, утверждение и
выполнение графиков поверки, калибровки средств измерений;
Инженер
· Обеспечить подготовку, согласование, заключение, ведение и
исполнение договоров на техническое обслуживание, текущий и капитальный ремонты
КИПиА, АСУ ТП в соответствии с Договорным регламентом
· Вести учёт КИПиА, АСУ ТП, а также учёт проведённого
технического обслуживания и ремонтов КИПиА, АСУ ТП на базе «Автоматизированной
системы управления метрологической службой («АСУ МС»)»;
· Обеспечивать выполнение в установленные договором сроки, в
установленных объёмах технического обслуживания, текущего и капитального
ремонта КИПиА, АСУ ТП;
· Проверять полноту и качество проведения технического
обслуживания, выполнения текущего и капитального ремонта КИПиА, АСУ ТП;
Таким образом, обеспечение точности измерения является основной функцией
отдела. Остальные выполняемые работы направлены на повышение эффективности
деятельности отдела.
Рассмотрение выполняемых сотрудниками ОГМетр функций позволяет
сформировать общую картину метрологического обеспечения предприятия. Однако,
для выявления слабых сторон и поиска возможных вариантов развития необходим
тщательный анализ деятельности отдела с применением процессного и системных
подходов.
.3 Вербальное описание основной бизнес-функции ОГМетр
Для того чтобы получить полное представление об отделе главного метролога
как о функционально выделенной единице в структуре предприятия, ООО
«ЛУКОЙЛ-ПНГП», необходимо представить детальное описание процессов,
происходящих внутри отдела.
Это можно сделать двумя способами:
· Вербальное описание бизнес-процессов (в виде
структурированного текста)
· Графическое представление с использованием
стандартизированных методологий (IDEF0 - диаграммы)
Основная бизнес-функция ОГМетр - обеспечение единства измерений.
Результат этого процесса - точность измерений. Вербально процесс может быть
представлен как структурированный текст.
Для обеспечения точности измерений необходимо следить за состоянием СИ,
КИПиА и АСУ ТП. Для этого требуется составление графиков поверки, калибровки,
технического обслуживания и ремонтов.
Регламентирующая документация хранится в следующем виде (см. табл.3):
Таблица 2.1 -.Способ хранения документации.
|
Наименование блока
|
Наименование документа
|
|
Блок Стандартов
|
ГОСТы
|
|
Федеральные законы
|
|
Стандарты, правила по метрологии и другие нормативные
документы Государственной системы обеспечения единства измерений Российской
Федерации
|
|
Документы Федерального агентства по техническому
регулированию и метрологии Российской Федерации, Минэнерго России,
Минпромторга России в области обеспечения единства измерений
|
|
Документы по ИСУ ПБ, ОТ и ОС
|
|
Административный блок
|
Положения и должностные инструкции отдела главного
метролога
|
|
Блок рабочих документов
|
Графики поверки, калибровки, технического обслуживания и
ремонтов
|
|
Акты метрологического надзора
|
|
Свидетельства о поверке
|
|
Методики поверки, калибровки
|
|
Паспорта на СИ
|
|
Приказы и распоряжения по ООО «ЛУКОЙЛ-ПНГП»
|
|
Переписка ОГМетр (входящая, исходящая)
|
|
Договоры
|
|
Технологический блок
|
Технологические регламенты
|
|
Проекты
|
Вербальное описание представлено в разделе технико-экономического
обоснования. Оно имеет ряд очевидных недостатков перед использованием
графического представления (за исключением отсутствия необходимости знать
принципы построения графических диаграмм), а именно:
владельцев подзадач и инструментов их решения.
На основе информации, получаемой из текстовых источников (регламенты,
стандарты, положения), строятся более информативные графические модели этих
процессов. Поэтому изначально охарактеризуем процессы вербально.
Раздел 3. Идентификация основного бизнес-процесса ОГМетр моделями
структурного анализа
Основным бизнес-процессом проектно-конструкторского отдела является
составление графиков поверки, калибровки и технического обслуживания
предприятия ООО «ЛУКОЙЛ-ПНГП». Исходными данными для его начала принимается
предыдущие графики поверки, калибровки и технического обслуживания, результатом
считается новые графики поверки, калибровки и технического обслуживания.
В предыдущем разделе было рассмотрено вербальное описание этого процесса,
имеющее ряд недостатков в сравнении с графическим представлением. Ниже приведен
анализ проектного обеспечения предприятия с использованием визуальной
методологии представления моделей - BPWin.
.1 Краткое описание методологии BPWin
- средство описания, анализа и моделирования бизнес-процессов без применения
специальных инструментов. Для решения этих задач, создана программа BPWin,
которая включает следующие методологии: IDEF0, DFD и IDEF3.
Таблица 3.1- Возможности и инструментальная среда BPWin
|
№
|
Возможности/ Инструментальная среда
|
BPWin
|
|
1
|
Поддерживаемый стандарт
|
IDEF0, IDEF3, DFD
|
|
2
|
Система хранения данных
|
Модели хранятся в файлах
|
|
3
|
Ограничение на размер базы данных
|
Нет. Размер БД ограничивается вычислительными ресурсами
|
|
4
|
Возможность групповой работы
|
Есть. Используется Model Mart.
|
|
5
|
Ограничение на количество объектов на диаграмме
|
От 2 до 8.
|
|
6
|
Возможность декомпозиции
|
Неограниченная декомпозиция. Возможен однократный переход
на другую нотацию в процессе декомпозиции.
|
|
7
|
Формат представления моделей
|
Стандартный бланк IDEF с возможностью его отключения
|
|
8
|
Удобство работы по созданию моделей
|
Простая панель управления, нет выравнивания объектов
|
|
9
|
UDP - свойства объектов, определяемые пользователем
|
Количество UDP не ограничено. Количество типов ограничено.
|
|
10
|
Возможность анализа стоимости процессов
|
Упрощенный анализ стоимости по частоте использования в
процессе. Возможность экспорта в EasyABC.
|
|
11
|
Генерация отчетов
|
RPT Win с возможностью визуальной настройки отчетов.
Включая расчет по формулам с использованием UDP.
|
|
12
|
Сложность разработки нестандартных отчетов
|
Просто
|
При запуске BPwin по умолчанию появляется основная панель инструментов,
палитра инструментов (вид которой зависит от выбранной нотации) и, в левой
части, навигатор модели - Model Explorer.
При создании новой модели возникает диалог, в котором следует указать,
будет ли создана модель заново, или она будет открыта из файла либо из
репозитория Model Mart, внести имя модели и выбрать методологию, в которой
будет построена модель.
Как было указано выше, BPwin поддерживает три методологии - IDEF0, IDEF3
и DFD, каждая из которых решает свои специфические задачи.
В BPwin возможно построение смешанных моделей, т.е. модель может
содержать одновременно как диаграммы IDEF0, так и IDEF3 и DFD. Состав палитры
инструментов изменяется автоматически, когда происходит переключение с одной
нотации на другую.
Рисунок 3.1 - Диалог создания модели
Модель в BPwin рассматривается как совокупность работ, каждая из которых
оперирует с некоторым набором данных. Работа изображается в виде
прямоугольников, данные - в виде стрелок. Если щелкнуть по любому объекту
модели левой кнопкой мыши, появляется всплывающее контекстное меню, каждый
пункт которого соответствует редактору какого-либо свойства объекта.
Методология IDEF0
В рамках методологии IDEF0 бизнес-процесс представляется в виде набора
элементов-работ, которые взаимодействуют между собой, обмениваясь
информационными и материальными потоками с помощью людских и производственных
ресурсов, потребляемых каждой работой. С помощью функционального моделирования
можно провести системный анализ бизнеса, сосредоточившись на регулярно решаемых
задачах или функциях, на показателях их правильного выполнения, необходимых для
этого ресурсах, результатах и исходных материалах.автоматически синхронизирует
изменения объектов диаграмм на всех уровнях детализации, тем самым, освобождая
пользователя от ручного ведения словаря объектов модели. Так если мы исправим
на верхнем уровне название объекта, то получим изменение на всех уровнях, где
данный объект встречается. Также невозможным является случайное дублирование
наименований работ. При появлении такой ситуации BPWin генерирует
предупреждающее сообщение.
Методология DFD
Диаграммы DFD могут дополнить то, что уже отражено в модели IDEF0,
поскольку они описывают потоки данных, позволяя проследить, каким образом
происходит обмен информацией как внутри системы между бизнес-функциями, так и
системы в целом с внешней информационной средой.
Для усиления функциональности в данной нотации диаграмм предусмотрены
специфические элементы, предназначенные для описания информационных и
документопотоков, такие как внешние сущности и хранилища данных.
Это представление потоков совместно с хранилищами данных и внешними
сущностями делает модели DFD более похожими на физические характеристики
системы - движение объектов, хранение объектов, поставка и распространение
объектов.
Методология IDEF3
Третий информационный разрез - последовательность выполняемых работ. В
отличие от диаграмм IDEF0 и DFD, элементы которых позволяют точно описать
функциональность системы и организацию документооборота, описать с их помощью
логику построения системы не удастся. Для описания логики взаимодействия
информационных потоков, последовательности выполнения работ и сценариев
взаимодействия модель дополняют диаграммами еще одной методологии - IDEF3,
также называемой диаграммами workflow.
В IDEF3 включены элементы логики, что позволяет аналитику моделировать и
анализировать альтернативные сценарии развития бизнес-процесса. Методология
моделирования IDEF3 позволяет графически описать и документировать процессы,
фокусируя внимание на течении этих процессов и на отношениях процессов и важных
объектов, являющихся частями этих процессов.предполагает построение двух типов
моделей: модель может отражать некоторые процессы в их логической
последовательности, позволяя увидеть, как функционирует организация, или же
модель может показывать «сеть переходных состояний объекта», предлагая вниманию
аналитика, последовательность состояний, в которых может оказаться объект при
прохождении через определенный процесс.
С помощью диаграмм IDEF3 можно анализировать сценарии из реальной жизни.
Каждый такой сценарий содержит в себе описание процесса и может быть
использован, чтобы наглядно показать или лучше документировать бизнес-функции
организации.
Перечисленные информационные разрезы по-своему уникальны. Каждый из них
может быть выполнен отдельно с помощью BPWin, но их совокупность, заключенная в
модель, дает аналитику полную картину предметной области клиента.
3.2 Процесс создания графиков поверки, калибровки,
технического обслуживания с использованием IDEF0, IDEF3 - диаграмм
Для наглядного представления процесса создания графиков поверки,
калибровки, технического обслуживания, разработана модель бизнес-процесса в
среде BPWin. Вид общей модели процессов представлен на рисунках. С помощью
IDЕF3 диаграмм представлены основные этапы и стадии процесса создании графиков.
Рисунок 3.2. - IDEF0 диаграмма процесса создания графика поверки
На рис.2 видно, что для процесса разработки и составления графика поверки
входящими документами являются предыдущие графики поверки и договор с
поверочной организацией, а исходящим документом новый график поверки. Так же
видно, что процесс регламентируется законом об обеспечении единства измерений,
перечнем СИ, техническими характеристиками СИ, паспортами на СИ, инструкцией по
эксплуатации СИ и методикой поверки СИ. Необходимые ресурсы для выполнения
процесса это транспорт, интернет, специалисты и оборудование. Для того чтобы
увидеть в какой последовательности выполняются процедуры разработки и
составления графиков поверки этот блок декомпозируют.
Рисунок 3.3. - Основные стадии создания графика поверки в IDEF0 диаграмме
На рис.3 представлена последовательность выполнения процедур процесса.
После составления графика поверки, он отправляется на согласование в поверочную
организацию. Следующей стадией является доставка средств измерений в
лаборатории для прохождения поверки, по результатам которой вносятся изменения
в график.
Рисунок 3.4 - Декомпозиция второй стадии с помощью IDEF3 диаграммы.
Рисунок 3.5 - Декомпозиция третей стадии с помощью IDEF3 диаграммы
Рисунок.3.6 - IDEF0 диаграмма процесса создания графика калибровки
На рис.6 видно, что для процесса разработки и составления графика
калибровки входящими документами являются предыдущие графики калибровки и
договор с сервисной организацией, а исходящим документом новый график
калибровки. Так же видно, что процесс регламентируется законом об обеспечении
единства измерений, перечнем СИ, техническими характеристиками СИ, паспортами
на СИ, инструкцией по эксплуатации СИ и методикой поверки СИ. Необходимые
ресурсы для выполнения процесса это транспорт, интернет, специалисты и
оборудование. Для того чтобы увидеть в какой последовательности выполняются
процедуры разработки и составления графиков калибровки этот блок декомпозируют.
Рисунок 3.7 - Основные стадии создания графика калибровки в IDEF0
диаграмме
На рис.7 представлена последовательность выполнения процедур процесса.
После составления графика калибровки, он отправляется на согласование в
сервисную организацию. Следующей стадией является доставка средств измерений в
лаборатории для прохождения калибровки, по результатам которой вносятся
изменения в график.
Рисунок 3.8 - Декомпозиция второй стадии с помощью IDEF3 диаграммы.
Рисунок 3.9 - Декомпозиция третей стадии с помощью IDEF3 диаграммы.
Рисунок 3.10 - IDEF0 диаграмма процесса создания графика ТО
На рис.10 видно, что для процесса разработки и составления графика ТО
входящими документами являются перечень имеющихся СИ, информация по новым СИ и
договор с сервисной организацией, а исходящим документом новый график ТО. Так
же видно, что процесс регламентируется законом об обеспечении единства
измерений, техническими характеристиками СИ, паспортами на СИ, инструкцией по
эксплуатации СИ. Необходимые ресурсы для выполнения процесса это интернет,
специалисты и оборудование. Для того чтобы увидеть в какой последовательности
выполняются процедуры разработки и составления графиков ТО этот блок
декомпозируют.
Рисунок 3.11 - Основные стадии создания графика ТО в IDEF0 диаграмме
На рис.10 представлена последовательность выполнения процедур процесса.
После закупки новых СИ, информация о них отправляется в ОГМетр. Следующей стадией
является составление полного перечня СИ в который, затем, вносятся виды ТО по
новым СИ.
Рисунок 3.12 - IDEF0 диаграмма процесса создания графика ремонтов
На рис.12 видно, что для процесса разработки и составления графика
ремонтов входящим документом является сводный график ремонтов. Необходимые
ресурсы для выполнения процесса это специалисты и оборудование. Для того чтобы
увидеть в какой последовательности выполняются процедуры разработки и
составления графиков ремонтов этот блок декомпозируют.
Рисунок 3.13 - Основные стадии создания графика ремонтов в IDEF0
диаграмме
На рис.13 представлена последовательность выполнения процедур процесса.
На основе сводного графика составляется дефектная ведомость. Следующей стадией
является составление графика ремонтов.
Раздел 4. Технико-экономическое обоснование необходимости внедрения
интегрированной системы управления
В соответствии с заданием, объектом исследования выберем процесс составления
графиков поверки, калибровки, ТО и ремонтов.
.1 Исходное состояние
Рассмотрим существующую поддержку информационных процессов ОГМетр.
Обеспечение единства измерений является первостепенной задачей ОГМетр. В
результате выполнения этой задачи СИ имеющиеся на предприятии должны
соответствовать утвержденным техническим характеристикам. Одной из функций
метрологической службы в процессе выполнения основной задачи является поверка,
калибровка, ТО и ремонт СИ и КИП. Выполнение этих видов работ требует составление
соответствующих графиков.
Графики поверки, калибровки, ТО и ремонтов составляются инженером по
метрологии. В качестве исходной информации для их составления используется:
· Перечень СИ;
· Нормативная документация;
· Межповерочные, межкалибровочные интервалы;
· Периодичность ТО, ремонтов;
· Договора на выполнение работ.
· Дефектные ведомости
Порядок составления графиков на предприятии.
График поверки (калибровки) составляется в электронном виде,
распечатывается в 2-х копиях в бумажном виде и подписывается начальником
лаборатории метрологии. На бумажном носителе направляется на утверждение
главному инженеру. Утвержденный график направляют в поверочную (сервисную)
организацию, где подписывается руководителем. Один экземпляр организация
возвращает в отдел главного метролога, а другой оставляет себе.
В ОГМетр графики хранятся в бумажном виде в папке под названием «Графики
поверки, калибровки», ранее составленный электронный вариант разбивается по
месяцам, и рассылается по установкам предприятия.
По итогам поверки выдаются в бумажном виде свидетельства о поверке или
извещения о непригодности, которые хранятся в ОГМетр, в папке «Свидетельства о
поверке».
По итогам калибровки в паспорте на СИ ставится клеймо о пригодности или
выдается извещение о непригодности. Паспорта и извещения в бумажном виде
хранятся в папках, каждая папка создается по месту фактической установки
прибора, например «Паспорта СИ Цех №1 К-120».
Графики ТО, ремонтов составляются в электронном виде, распечатываются в
2-х копиях в бумажном виде и согласовываются главным метрологом. На бумажном
носителе направляется на утверждение главному инженеру. Утвержденный график
направляют в сервисную организацию, где подписывается руководителем. Один
экземпляр организация возвращает в отдел главного метролога, а другой оставляет
себе.
В ОГМетр графики ТО, ремонтов хранятся в бумажном виде в папках под
названием «Графики ТО», «Графики ремонтов, дефектные ведомости».
На всех участников данного процесса имеются должностные и рабочие
инструкции, которые хранятся на бумажных носителях в отделе.
Формулирование проблемы
В результате анализа информационной поддержки деятельности отдела
главного метролога выявлены следующие недостатки:
1. Документация участвует в процессах отдела в основном на бумажных
носителях. А в отделе все документы формируются в электронном виде. Хранится
документация также в бумажном виде.
Хранение документации на бумажных носителях ведет к тому, что:
· участники процесса затрачивают длительное время на поиск
документации, что может повлиять на скорость принятия решений и утомляемость
участников процесса;
· документ может просматриваться только одним участником
процесса;
· затрачивается время на копирование подлинников документации;
· увеличивается расход бумаги;
2. Передача документов осуществляется на бумажных носителях, что
ведет к тому что:
ü Графики поверки, калибровки, ТО и ремонтов утверждаются
длительное время, т.к. необходимо согласование с другими отделами,
организациями, из-за этого возможна задержка поступления графиков в производство.
ü Передача паспортов на СИ, свидетельств о поверке и извещений
о непригодности осуществляется на бумажном носителе, что ведет к задержке
времени на использование документа;
Вследствие перечисленных недостатков исполнители и пользователи документов
нерационально используют свое рабочее время.
Так как описанная ситуация, сложившаяся в отделе главного метролога,
характерна и для других отделов и служб, то считаем, что на предприятии
существует проблема совершенствования поддержки информационных процессов.
Таблица 4.1
|
Анализ проблем
|
Как должно быть
|
|
Процесс взаимодействия зачастую основывается на передаче
адресату какого либо бумажного документа, что влечет за собой определенные
последствия: затраты времени на оформление, регистрацию, передачу документа,
на доведение этого документа до адресата.
|
Взаимодействие подразделений, руководства, подразделений и
руководства должно осуществляться посредством электронного документооборота;
фиксирование результатов и их рассылка так же только в электронном виде. В
результате - сокращение времени на доведение нужной информации от
исполнителей до руководителей и обратно.
|
|
Невозможно просмотреть ход работы, объективно оценить объем
выполненных работ и процент занятости каждого из исполнителей, что может
привести к неэффективному управлению человеческими ресурсами отдела.
|
Информация для расчета должна поступать сразу же в ИИС. ИИС
должна свободна совмещаться с расчетными программными средствами. Тем самым
процесс передачи от одного лица к другому значительно сократится и ускорится
работа по осуществлению нужного процесса.
|
|
Постановка задачи не всегда конкретна, она выражена общими
фразами и часто не понятно, что именно нужно сделать. Проблемой является и
то, что бывают случаи, когда начальник отдела не понимает сути задачи,
которую он ставит перед исполнителем. Из-за этого происходит неправильная
оценка времени выполнения данной задачи и/или даже неправильный выбор
исполнителя работ, что приводит к неэффективной работе цеха и некорректному
выполнению задания.
|
Анализ поставленной задачи должен происходить на уровне
восприятия и понимания полученного задания. Следовательно, произойдет
сведение к минимуму времени взаимодействия с начальником отдела и
представителями производства-заказчика работ по поводу конкретного содержания
работ. Этого можно достичь путем принятия служебных записок с производств, а
так же другой документации с корректной детализированной постановкой задачи.
|
Формулирование цели
Решение проблемы совершенствования поддержки информационных процессов
ОГМетр возможно за счет создания ЕИП на базе ИИС.
Поэтому за цель совершенствования поддержки управления информационных
процессов принимается создание ЕИП.
Внедрение ИИС обеспечит:
· создание единой информационной среды для эффективного
взаимодействия сотрудников отдела;
· хранение, учет и оперативный поиск электронных подлинников
документов;
· оперативное формирование отчетов;
· защита документов от несанкционированного доступа;
· назначение маршрута согласования и утверждения таких
документов, как графики поверки, калибровки, ТО и ремонтов, контроль за сроками
их исполнения;
· уменьшение площадей, используемых для хранения бумажных
документов.
· разграничение доступа к документам;
Раздел 5. Разработка концепции построения ИИС, выбор системы
В данном разделе будет рассматриваться основные виды обеспечение,
предъявляемые к ИИС, а также требования к ним. ИИС разрабатывается для отдела
главного метролога ООО «ЛУКОЙЛ-ПНГП».
5.1 Виды обеспечения АС
Совокупность видов обеспечения составляет комплекс средств автоматизации
некоторой деятельности. Ни один из видов обеспечения не может быть опущен.
Различают следующие виды обеспечения АС:
o лингвистическое;
o информационное;
o программное;
o техническое;
o организационное.
.1.1 Требования к видам обеспечения
Требования к видам обеспечения разделены следующие подгруппы:
· требования к информационному и лингвистическому обеспечению
системы
· требования к программному обеспечению
· требования к техническому обеспечению
· требования к организационному обеспечению
5.1.2 Информационное и лингвистическое обеспечение
.1.2.1 Требования к информационному и лингвистическому
обеспечению
Ø Уровень хранения данных в системе должен быть построен на
основе современных реляционных или объектно-реляционных СУБД.
Ø Для обеспечения целостности данных должен использоваться
механизм СУБД - MS SQL Server Management Studio.
Ø Средства СУБД, а также средства используемых операционных
систем должны обеспечивать документирование и протоколирование обрабатываемой в
системе информации.
Ø Доступ к данным должен быть предоставлен только
авторизованным пользователям с учетом их служебных полномочий, а также с учетом
категории запрашиваемой информации.
Ø В состав системы должна входить специализированная подсистема
резервного копирования и восстановления данных.
Ø Доступ со стороны пользователей АСУП должен происходить в
одностороннем порядке без возможности редактирования проектов (за исключением
руководителей для утверждения или согласования документа).
Ø Все прикладное программное обеспечение системы для
организации взаимодействия с пользователем должно использовать русский язык.
Ø Программный код интерфейса пользователя и модуля интеграции
могут быть написаны на любом объектно-ориентированном языке программирования
(например Delphi).
5.1.2.3 Информационное обеспечение
В отделе главного метролога за время работы по обеспечению единства
измерений предприятия обращается огромное количество документов, как в бумажном
виде, так и в персональных компьютерах пользователей. Вследствие большого
объема ценной информации, очень многие документы отправляются в архив.
Таким образом, для сохранения важной информации необходимо создавать
систематизированные электронные данные об этих документах - базы данных.
База данных - это совокупность сведений о реальных объектах, процессах,
событиях или явлениях, относящихся к определённой теме или задаче,
организованная таким образом, чтобы обеспечить удобное представление этой
совокупности, как в целом, так и любой её части.
База данных представляет собой множество взаимосвязанных таблиц, каждая
из которых содержит информацию об объектах определённого типа. Каждая строка
таблицы содержит данные об одном объекте (например: средстве измерения), а
столбцы таблицы содержат различные характеристики этих объектов - атрибуты (например:
дата, вид обеспечения и т.д.). Строки таблицы называются записями, все записи
имеют одинаковую структуру - они состоят из полей, в которых хранятся атрибуты
объекта. Каждое поле в записи содержит одну характеристику объекта и имеет
строго определённый тип данных (например, текстовая строка, число, дата). Все
записи имеют одни и те же поля, только в них содержатся разные значения
атрибутов.
Цель создание БД в ОГМетр:
· создать систему автоматизации метрологического учета
Определение критериев разработки:
· БД должна работать в существующей компьютерной сети
· БД должна предоставлять пользователю конкретную достоверную
информацию
· БД должна быть разработана с учетом функций и задач,
выполняемых ОГМетр
Определение масштаба и границ БД:
· БД должна охватывать все процессы, которыми занимаются
сотрудники ОГМетр
Описание информационного обеспечения находится в Приложении .
5.1.2.4 Лингвистическое обеспечение
Рассмотрим самый распространенный язык, с помощью которого происходят
практически все операции с БД.
SQL (англ. Structured Query Language - язык структурированных запросов) -
универсальный компьютерный язык, применяемый для создания, модификации и
управления данными в реляционных базах данных. Вопреки существующим заблуждениям,
SQL является информационно-логическим языком, а не языком программирования.
Возможности SQL не ограничиваются выборкой данных из базы. В SQL
поддерживаются разнообразные возможности для взаимодействия с базой данных, в
том числе:
· определение структуры данных - определение конструкций,
используемых при хранении данных;
· выборка данных - загрузка данных из базы и их представление в
формате, удобном для вывода;
· обработка данных - вставка, обновление и удаление информации;
· контроль доступа - возможность разрешения/запрета выборки,
вставки, обновления и удаления данных на уровне отдельных пользователей;
· контроль целостности данных - сохранение структуры данных при
возникновении таких проблем, как параллельные обновления или системные сбои.
Основные преимущества MS SQL Server:
1. Широкая поддержка языка XML и стандартов Интернета.
· удобное хранение и извлечение данных в формате XML при помощи встроенных
хранимых процедур.
· удобный доступ к базе данных SQL Server непосредственно через
web по протоколу HTTP.
· быстродействующий встроенный полнотекстовый поиск в текстовых данных,
хранящихся в БД и в документах.
2. Эффективные средства анализа данных на базе web.
· выявление взаимосвязей и закономерностей в web-данных при помощи новых
средств "информационной проходки".
· связывание и анализ сложно организованных данных через web,
предоставление партнерам и сотрудникам, работающим в режиме удаленного доступа,
всех возможностей анализа данных.
3. Платформа для безопасного размещения приложений.
· безопасная и надежная работа многих пользователей с многими приложениями
на одном компьютере.
4. Масштабируемость для хранилищ данных.
· значительное увеличение быстродействия даже в случае наиболее сложных
отчетов.
· анализ очень больших наборов данных.
5. Значительно увеличенные продолжительность бесперебойной работы и
надежность.
· ускорение архивирования за счет копирования только измененных данных.
· архивирование, не влияющее на быстродействие сервера
6. Интегрированные и расширяемые службы анализа.
· встроенные полнофункциональные решения для анализа данных при помощи
интегрированных средств, позволяющие эффективно использовать накопленную
информацию.
· автоматическое управление бизнес-процессами на основе
результатов анализа данных.
7. Упрощенное управление и настройка.
· централизованное управление базами данных SQL Server, осуществляемое
совместно с управлением всеми ресурсами предприятия.
· экономия времени и усилий благодаря динамическим средствам
автоматического управления и настройки.
· возможность простого перемещения или копирования базы данных
с компьютера на компьютер или между экземплярами сервера без перехода в
автономный режим.
8. Быстрые преобразование данных, разработка и отладка
· Интерактивная настройка и отладка запросов.
· Быстрое перемещение и преобразование данных из любого
источника.
5.1.3 Программное обеспечение
.1.3.1 Требования к программному обеспечению
· Программное обеспечение должно быть построено таким образом, чтобы ошибки
программного обеспечения, аварийные прекращения работы программ не приводили к
полной или частичной потере информации реестра, нарушению целостности баз
данных.
· Нарушения, которые могут возникнуть при отказах программного
обеспечения или сбоях оборудования, должны автоматически обрабатываться при
перезапуске программы.
· Многоуровневый доступ к входным данным, функциям, операциям,
отчетам, реализованным в программном обеспечении. В программе, как минимум,
должно быть предусмотрено два уровня доступа:
· администратор;
· инженер.
· Для каждого пользователя должен быть предусмотрен вход по индивидуальному
паролю.
· Для уровня доступа "администратор" должна быть
реализована возможность изменения паролей. В программе не должно быть
возможности доступа к входным данным, функциям, операциям, отчетам, без ввода
соответствующего пароля.
· В случае, если при выполнении функции (операции) выдается
соответствующее предупреждение, должна быть предусмотрена возможность либо
выполнить функцию (операцию), либо отказаться от ее выполнения.
· Программное обеспечение должно предусматривать возможность
архивации (восстановления данных реестра из архива).
5.1.3.2 Программное обеспечение
Описание программного средства выбранного для реализации метрологического
учета в разделе 5.3.
Таблица 5.1 - Оснащение программными средствами:
|
Тип программного обеспечения
|
Наименование
|
Кол-во лицензий
|
Кол-во раб. специалистов
|
|
Создание и редактирование текстовых документов
|
Microsoft Word
|
Корпоративная лицензия
|
3
|
|
Выполнение математических расчетов
|
Microsoft Excel
|
Корпоративная лицензия
|
3
|
|
Выполнение презентационных материалов
|
Microsoft Power Point
|
Корпоративная лицензия
|
3
|
|
Операционные системы
|
Microsoft Windows XP Professional
|
Корпоративная лицензия
|
3
|
|
Microsoft Office
|
2007 PRO Edition
|
Корпоративная лицензия
|
3
|
|
2010 PRO Edition
|
|
|
СУБД
Microsoft SQL Server Management Studio
Тип функционального взаимодействия.
Клиент-сервер
- сетевая архитектура, в которой устройства являются либо клиентами
<#"551741.files/image016.gif"> - «Обновить».
.3 Рекомендации по вводу информации в раздел данных
«Типоразмеры СИ»
Раздел Типоразмеры СИ по желанию Заказчика может поставляться заполненным
и содержит наименования, обозначения типов и метрологическую кодификацию СИ,
применяемых в сфере деятельности предприятия (нефть, газ, пищевая
промышленность, электроэнергетика и пр.). В разделе базы Типоразмеры СИ
представлена номенклатура типов приборов, эксплуатируемых на предприятии,
включая основные характеристики типов и типоразмеров СИ.
Ниже приводятся рекомендации к записи наименований, обозначений типов СИ,
обозначений и метрологических характеристик типоразмеров СИ.
А) Карточка Типа СИ
Рисунок 6.11 - Карточка Типа СИ
«Наименование типа СИ» - выбирается из справочника, при заполнении
которого необходимо соблюдать следующие правила:
- наименование указывается с заглавной буквы;
- наименование должно соответствовать наименованию, указанному
в Техническом описании или Технических условиях на СИ;
- порядок слов: собственно наименование, [измеряемая физическая
величина] [метод измерений] [конструктивные признаки];
- если наименование не умещается в графе, сокращаются последнее
или несколько последних слов.
Примеры: "Вольтметр переменного тока переносной",
"Амперметр постоянного тока щитовой реверсивный",
"Мановакуумметр показывающий электроконтактный", “Прибор контроля
пневматический показ. многошк”.
1) «Тип СИ» (обозначение типа) - вводится с клавиатуры. Правила
написания обозначения типа СИ:
- обозначение указывается в соответствии с Техническим
описанием или Техническими условиями на СИ;
- обозначение вводится с 1-го символа строки;
- если в качестве обозначения использована аббревиатура, ее
записывают заглавными буквами;
- если обозначение является словом, заглавной должна быть
только первая буква;
- категорически не рекомендуется в буквенном обозначении
смешивать буквы латиницы и кириллицы.
Б) Карточка Типоразмера СИ
Рисунок 6.12 - Карточка Типоразмера СИ
) «Диапазон» - вводится с клавиатуры по следующим правилам:
- пределы измерений указывают в форме двух чисел через две
точки с указанием русского обозначения единицы измеряемой величины, как
правило, после второго числа через пробел, например: «60..250 МПа», но «0,4
г..20 кг»;
- дробную часть числа отделяют от целой части десятичной
запятой, например, «0,06 МПа»;
- положительные значения единиц измерений приводят без знака
«+», например, «-100..500 кПа»;
- показатели степени в пределах измерений (и в показателях
точности) указывают без пробелов после основания степени с соответствующим
знаком, например, «3*10+6», «9*10-12»; положительные значения показателей
степени в обозначении единицы измерений записываются без знака «плюс»,
например, «16 кгс/см2»;
- обозначения единиц, входящих в произведение, разделяют знаком
умножения «*», например, «Н*м». Для указания деления одной единицы на другие
применяется косая черта «/», например, «м/с». Произведение единиц в
знаменателе заключают в скобки, например, «Вт/(ср*м2)»;
- обозначения градуса Кельвина - «К» латинское, градуса по
Цельсию - «С» латинское, процентов - «%», угловых минут и секунд пишут без
пробела после числа, остальные обозначения единиц величин отделяют от числа
пробелом, например, «1,13%», «-50..50С»;
- обозначения углового градуса - «градус» и градуса по Цельсию
- «С» отличаются от установленных ГОСТ 8-417-81. Угловые градус, минуту и
секунду обозначают «градус», « ' » и « " » соответственно. Градус по шкале
Цельсия обозначают заглавной латинской буквой «С», пример, «0..600С»;
- тип шкалы, (градуировку) указывают в графе «Диапазон» после
верхнего предела измерений через пробел «0..100C гр.50П»;
- для вторичных многоточечных приборов количество точек
измерений указывается в графе "Диапазон" через пробел после
градуировки (в случае, если данные не помещаются в графе - приоритет отдается
градуировке);
- пределы измерений мультиметров (приборов, предназначенных для
измерения нескольких физических величин) или многодиапазонных СИ отделяются
пробелом, например «0..100 В 10..50 А»;
- если для указания верхних и нижних пределов в графе не
хватает места - указываются только верхние пределы измерений.
3) «Характеристика точности» вводится с клавиатуры в соответствии
справилами:
- в случае если обозначение класса точности имеет целочисленное
значение, то оно указывается без дробной части, например, «1» а не «1,0»; в
случае если для обозначения класса используются дробные числа, то дробная часть
отделяется запятой;
- если характеристикой точности СИ является погрешность, или
цена деления, перед числовым значением характеристики через пробел указывается
«ПГ» или «ЦД» соответственно, пример «ПГ 0,01 мм», «ЦД 1 мг»;
- классы точности «Средний», «Общий» и т.п. указываются словом
с заглавной буквы без сокращения;
- допускается указание погрешности через пробел после класса
точности, например, «1 ПГ 0,05 мм»;
- если характеристикой точности СИ является разряд эталона, то
после значения разряда указывают через пробел малую русскую букву «р» с точкой,
например, «1 р.».
Для исполнительных механизмов и регуляторов вместо пределов измерений и
класса точности
6.4 Порядок резервного копирования
На стратегию резервного копирования баз данных ПК АСУ МС, размещенного на
SQL сервере под управлением ОС Windows Server 2003 или выше, влияют следующие
параметры:
· время функционирования системы (круглосуточно или в течении рабочего
дня);
· длительность рабочей недели;
· допустимое время простоя системы: определяется Главным
метрологом Предприятия, (например, 1 сутки ).
Для обеспечения повышенной надежности и сокращения времени простоя БД в
момент ее восстановления резервная копия базы данных создается с помощью backup
для СУБД MS SQL SERVER.
6.4.1 Расписание резервного копирования базы данных
Backup базы данных АСУ МС создаётся ежедневно.
Периодическое выполнение backup базы данных можно организовать средствами
SQL сервера с помощью планировщика.
ВАЖНО: при backup использовать полную модель БД;
файлы *.bak, образованные после операции backup, хранятся на основном
сервере ПК АСУ МС в папке: D:\BACKUP или в любом другом месте на усмотрение
Администратора MS SQL Server.
Максимальный срок хранения всех резервных копий - определяется политикой
сохранения архивных данных на Предприятии, (например, 2 недели).
6.4.2 Ротация носителей резервной копии
Система резервного копирования должна обеспечивать возможность периодической
замены (выгрузки) резервных носителей без потерь информации на них, а также
обеспечивать восстановление текущей информации баз данных ПК в случае отказа
любого из устройств резервного копирования.
В качестве новых носителей допускается повторно использовать те, у
которых срок хранения содержащейся информации истек, после удаления с них
информации.
6.4.3 Восстановление информации из резервных копий
В случае необходимости, восстановление баз данных из резервных копий
производится на основании Заявки Администратора АСУ МС - метролога, поданной в
Службу технической поддержки пользователей Предприятия.
После поступления заявки, восстановление данных осуществляется в
максимально сжатые сроки, ограниченные техническими возможностями Службы
технической поддержки Предприятия.
6.5 Сжатие базы данных
Сокращение размера баз данных ПК АСУ МС, функционирующих под управлением
MS SQL Server может производиться:
· автоматически - первого числа каждого месяца, если Администратор
активизирует данную функцию, используя средства SQL сервера для автоматического
запуска задач по расписанию;
· вручную: для этого в SQL Server Enterprise Manager
Администратор для базы данных АСУ МС должен запустить на выполнение функцию
сжатия базы данных (Все задачи -> Shrink Database).
6.6 Регистрация пользователей на SQL сервере
Для обеспечения пользователям возможности работы в ПК АСУ МС, они
предварительно должны быть зарегистрированы на MS SQL Server, где развернуты БД
ПК АСУ МС. В дальнейшем, по мере развития комплекса, потребуется создание
группы пользователей «Пользователи ПК АСУ МС» в Active Directory.
Рекомендуется работать с доменными именами пользователей, т.е.
пользователь, работающий с программой ПК АСУ МС, должен быть зарегистрирован в
домене.
После регистрации пользователя в домене нужно зарегистрировать его на MS
SQL Server, где развернуты БД ПК АСУ МС.
Для регистрации пользователя в ПК АСУ МС:
· Запустите программу Microsoft SQL Server Managament Studio.
· Подсоединитесь к серверу, где развёрнуты БД ПК АСУ МС
· Выберите пункт Security (Безопасность).
· Нажмите правую кнопку мыши и в появившемся всплывающем меню
выберите пункт New Login… (Новый пользователь) (Рисунок 13)
Рисунок 6.13
· Введите имя нужного пользователя (Рисунок 14)
Рисунок 6.14
Для введённого пользователя выберите пункт User Mapping (Сопоставление
пользователей), укажите БД с которой он будет работать и дайте пользователю на
данную БД следующие права: db_datareader, db_datawriter, db_owner, public
(Рисунок 15)
Рисунок 6.15
6.7 Хранение электронных копий документов
Функционал АСУ МС предусматривает возможность «привязки» к записям БД
электронных копий относящихся к ним документов, формируемых в процессе
деятельности метрологической службы
В связи с этим, необходимо выделить на сервере директорию для хранения
электронных копий документов, формируемых в процессе эксплуатации АСУ МС
(протоколов поверки, сертификатов, свидетельств и пр.). Путь к директории не
должен изменяться.
Раздел 7. Расчет численности сотрудников для обслуживания
оборудования с применением теории массового обслуживания
.1 Элементы теории массового обслуживания
Многие экономические организации и системы, получающие прибыль за счет
обслуживания клиентов, можно достаточно точно описать с помощью совокупности
математических методов и моделей, которые получили название теории массового
обслуживания (ТМО). Рассмотрим основные аспекты ТМО.
.1.1 Компоненты и классификация моделей массового обслуживания
Системы массового обслуживания (СМО)- это такие системы, в которые в
случайные моменты времени поступают заявки на обслуживание, при этом
поступившие заявки обслуживаются с помощью имеющихся в распоряжении системы
каналов обслуживания.
С позиции моделирования процесса массового обслуживания ситуации, когда
образуются очереди заявок (требований) на обслуживание, возникают следующим
образом. Поступив в обслуживающую систему, требование присоединяется к очереди
других (ранее поступивших) требований. Канал обслуживания выбирает требование
из находящихся в очереди, с тем, чтобы приступить к его обслуживанию. После
завершения процедуры обслуживания очередного требования канал обслуживания
приступает к обслуживанию следующего требования, если таковое имеется в блоке
ожидания.
Цикл функционирования системы массового обслуживания подобного рода
повторяется многократно в течение всего периода работы обслуживающей системы.
При этом предполагается, что переход системы на обслуживание очередного требования
после завершения обслуживания предыдущего требования происходит мгновенно, в
случайные моменты времени.
Примерами систем массового обслуживания могут служить:
1. магазины;
2. банки;
3. ремонтные мастерские;
. почтовые отделения;
. посты технического обслуживания автомобилей, посты ремонта
автомобилей;
. персональные компьютеры, обслуживающие поступающие заявки или
требования на решение тех или иных задач;
. аудиторские фирмы;
. отделы налоговых инспекций, занимающиеся приемкой и проверкой
текущей отчетности предприятий;
. телефонные станции и т.д.
Основными компонентами системы массового обслуживания любого вида
являются:
1. входной поток поступающих требований или заявок на обслуживание;
2. дисциплина очереди;
. механизм обслуживания.
Раскроем содержание каждого из указанных выше компонентов.
Входной поток требований. Для описания входного потока требуется задать
вероятностный закон, определяющий последовательность моментов поступления
требований на обслуживание и указать количество таких требований в каждом
очередном поступлении. При этом, как правило, оперируют понятием «вероятностное
распределение моментов поступления требований». Здесь могут поступать как
единичные, так и групповые требования (требования поступают группами в
систему). В последнем случае обычно речь идет о системе обслуживания с
параллельно-групповым обслуживанием.
Дисциплина очереди - это важный компонент системы массово го
обслуживания, он определяет принцип, в соответствии с которым поступающие на
вход обслуживающей системы требования подключаются из очереди к процедуре
обслуживания. Чаще всего используются дисциплины очереди, определяемые
следующими правилами:
· первым пришел - первый обслуживаешься;
· пришел последним - обслуживаешься первым;
· случайный отбор заявок;
· отбор заявок по критерию приоритетности;
· ограничение времени ожидания момента наступления обслуживания
(имеет место очередь с ограниченным временем ожидания обслуживания, что
ассоциируется с понятием «допустимая дли на очереди»).
Механизм обслуживания определяется характеристиками самой процедуры
обслуживания и структурой обслуживающей системы. К характеристикам процедуры
обслуживания относятся: продолжительность процедуры обслуживания и количество
требований, удовлетворяемых в результате выполнения каждой такой процедуры. Для
аналитического описания характеристик процедуры обслуживания оперируют понятием
«вероятностное распределение времени обслуживания требований».
Следует отметить, что время обслуживания заявки зависит от характера
самой заявки или требований клиента и от состояния и возможностей обслуживающей
системы. В ряде случаев приходится также учитывать вероятность выхода
обслуживающего прибора по истечении некоторого ограниченного интервала времени.
Структура обслуживающей системы определяется количеством и взаимным
расположением каналов обслуживания (механизмов, приборов и т. п.). Прежде
всего, следует подчеркнуть, что система обслуживания может иметь не один канал
обслуживания, а несколько; система такого рода способна обслуживать
одновременно несколько требований. В этом случае все каналы обслуживания
предлагают одни и те же услуги, и, следовательно, можно утверждать, что имеет
место параллельное обслуживание.
Система обслуживания может состоять из нескольких разнотипных каналов
обслуживания, через которые должно пройти каждое обслуживаемое требование, т.
е. в обслуживающей системе процедуры обслуживания требований реализуются
последовательно. Механизм обслуживания определяет характеристики выходящего
(обслуженного) потока требований.
Рассмотрев основные компоненты систем обслуживания, можно констатировать,
что функциональные возможности любой системы массового обслуживания
определяются следующими основными факторами:
1. вероятностным распределением моментов поступлений заявок на
обслуживание (единичных или групповых);
2. вероятностным распределением времени продолжительности
обслуживания;
. конфигурацией обслуживающей системы (параллельное,
последовательное или параллельно-последовательное обслуживание);
. количеством и производительностью обслуживающих каналов;
. дисциплиной очереди;
. мощностью источника требований.
В качестве основных критериев эффективности функционирования систем
массового обслуживания в зависимости от характера решаемой задачи могут
выступать:
1. вероятность немедленного обслуживания поступившей заявки;
2. вероятность отказа в обслуживании поступившей заявки;
. относительная и абсолютная пропускная способность системы;
. средний процент заявок, получивших отказ в обслуживании;
. среднее время ожидания в очереди;
. средняя длина очереди;
. средний доход от функционирования системы в единицу времени и
т.п.
Предметом теории массового обслуживания является установление зависимости
между факторами, определяющими функциональные возможности системы массового
обслуживания, и эффективностью ее функционирования. В большинстве случаев все
параметры, описывающие системы массового обслуживания, являются случайными
величинами или функциями, поэтому эти системы относятся к стохастическим
системам.
Независимо от характера процесса, протекающего в системе массового
обслуживания, различают два основных вида СМО:
¾ системы с отказами, в которых заявка, поступившая в систему в
момент, когда все каналы заняты, получает отказ и сразу же покидает очередь;
¾ системы с ожиданием (очередью), в которых заявка, поступившая
в момент, когда все каналы обслуживания заняты, становится в очередь и ждет,
пока не освободится один из каналов.
Системы массового обслуживания с ожиданием делятся на системы с
ограниченным ожиданием и системы с неограниченным ожиданием.
В системах с ограниченным ожиданием может ограничиваться:
· длина очереди;
· время пребывания в очереди.
В системах с неограниченным ожиданием заявка, стоящая в очереди, ждет
обслуживание неограниченно долго, т.е. пока не подойдет очередь.
Все системы массового обслуживания различают по числу каналов
обслуживания:
¾ одноканальные системы;
¾ многоканальные системы.
Приведенная классификация СМО является условной. На практике чаще всего
системы массового обслуживания выступают в качестве смешанных систем. Например,
заявки ожидают начала обслуживания до определенного момента, после чего система
начинает работать как система с отказами.
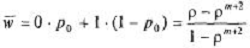
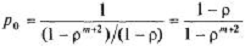
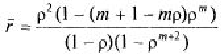
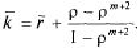
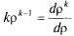
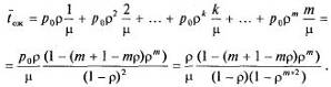
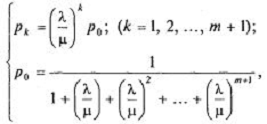
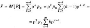
.1.2 Процессы «рождения - гибели»
Среди однородных марковских процессов существует класс случайных
процессов, имеющих широкое применение при построении математических моделей в
областях демографии, биологии, медицины (эпидемиологии), экономики,
коммерческой деятельности. Это так называемые процессы «рождения - гибели»,
марковские процессы со стохастическими графами состояний следующего вида:
Рисунок 7.1 - Размеченный граф процесса «рождения - гибели»
Этот граф воспроизводит известную биологическую интерпретацию: величина λk отображает интенсивность рождения нового
представителя некоторой популяции, например, кроликов, причем текущий объем
популяции равен k; величина μ является интенсивностью гибели
(продажи) одного представителя этой популяции, если текущий объем популяции
равен k. В частности, популяция может быть неограниченной (число n состояний
марковского процесса является бесконечным, но счетным), интенсивность λ
может быть равна нулю
(популяция без возможности возрождения), например, при прекращении
воспроизводства кроликов.
Для Марковского процесса «рождения - гибели», описанного стохастическим
графом, приведенным на рисунке 1, найдем финальное распределение. Пользуясь
правилами составления уравнений для конечного числа n предельных вероятностей
состояния системы S1, S2, S3,… Sk,…,
Sn, составим соответствующие уравнения для каждого состояния:
¾ для состояния S0 уравнение имеет вид λ0p0=μ0p1 (1);
¾ для состояния S1 уравнение имеет вид (λ1+μ0)p1=λ0p0+μ1p2 (2), которое с учетом предыдущего
уравнения для состояния S0 можно преобразовать к виду λ1р1= μ1p2 (3).
Аналогично можно составить уравнения для остальных состояний системы S2,
S3,…, Sk,…, Sn. В результате получим следующую
систему уравнений:
(4)
Решая эту систему уравнений, можно получить выражения, определяющие
финальные состояния системы массового обслуживания:
Следует заметить, что в формулы определения финальных вероятностей
состояний р1, р2, р3,…, рn, входят
слагаемые, являющиеся составной частью суммы выражения, определяющей р0.
В числителях этих слагаемых находятся произведения всех интенсивностей, стоящих
у стрелок графа состояний, ведущих слева на право до рассматриваемого состояния
Sk, а знаменатели представляют собой произведения всех
интенсивностей, стоящих у стрелок, ведущих справа на лево до рассматриваемого
состояния Sk, т.е. μ0, μ1, μ2, μ3,… μk. В связи с этим запишем эти модели в более компактном
виде:

к=1,n (6)
.1.3 Одноканальная СМО с ожиданием
Рассмотрим простейшую СМО с ожиданием - одноканальную систему (n - 1), в
которую поступает поток заявок с интенсивностью
; интенсивность обслуживания
(т.е. в среднем непрерывно занятый
канал будет выдавать
обслуженных заявок в единицу (времени). Заявка, поступившая
в момент, когда канал занят, становится в очередь и ожидает обслуживания.
Система с ограниченной длиной очереди. Предположим, что количество мест в
очереди ограничено числом m, т.е. если заявка пришла в момент, когда в очереди
уже стоят m-заявок, она покидает систему не обслуженной.
Будем нумеровать состояния СМО по числу заявок, находящихся в системе
(как обслуживаемых, так и ожидающих обслуживания):0 - канал
свободен;1 - канал занят, очереди нет;2 - канал занят,
одна заявка стоит в очереди;
…………………………………………………….k - канал занят, k-1 заявок стоят в
очереди;
…………………………………………………….m+1 - канал занят, m-заявок стоят в
очереди.
Граф этой СМО представлен на рисунке 2 и совпадает с графом рисунке 1
описывающим процесс «рождения-гибели», с тем отличием, что при наличии только
одного канала.
Все интенсивности потоков событий, переводящих в систему по стрелкам
слева направо, равны
, а справа налево -
. Действительно, по стрелкам слева
направо систему переводит поток заявок (как только придет заявка, система
переходит в следующее состояние), справа же налево - поток «освобождений»
занятого канала, имеющий интенсивность
(как только будет обслужена
очередная заявка, канал либо освободится, либо уменьшится число заявок в
очереди).
Рисунок 7.2 - Размеченный граф процесса «рождения - гибели» обслуживания
все интенсивности потоков обслуживания равны
Изображенная на рисунке 7.2 схема представляет собой схему размножения и
гибели. Для описания случайного процесса СМО можно воспользоваться изложенными
ранее правилами и формулами. Из системы уравнений (5) следует, что выражения
для предельных вероятностей состояний будет выглядеть так:
(7)
или с использованием
:
(8)
Последняя строка в (8) содержит геометрическую прогрессию с первым членом
1 и знаменателем р, откуда получаем:
(9)
в связи с чем предельные вероятности принимают вид:
(10)
Выражение (10) справедливо только при р<1 (при р=1 она дает
неопределенность вида 0/0). Сумма геометрической прогрессии со знаменателем р=1
равна m+2, и в этом случае:
(11)
Определим характеристики СМО: вероятность отказа
, относительную пропускную
способность q, абсолютную пропускную способность А, среднюю длину очереди
, среднее число заявок, связанных с
системой
, среднее время ожидания в очереди
, среднее время пребывания заявки в
СМО
.
Вероятность отказа. Очевидно, заявка получает отказ только в случае,
когда канал занят и все m-мест в очереди тоже, тогда из системы уравнений (10)
следует:
(12)
Воспользовавшись формулой (12) получим относительную пропускную
способность:
(13)
Абсолютная пропускная способность:
(14)
Средняя длина очереди. Найдем среднее число
-заявок, находящихся в очереди, как
математическое ожидание дискретной случайной величины R-числа заявок,
находящихся в очереди:
(15)
С вероятностью
в очереди стоит одна заявка, с вероятностью
- две заявки, вообще с вероятностью
в очереди стоят k-1 заявок, и т.д.,
откуда:
(16)
Поскольку
, сумму в (16) можно трактовать как производную по
от суммы геометрической прогрессии:
(17)
Подставляя данное выражение в (16) и используя
из (10), окончательно получаем:
(18)
Среднее число заявок, находящихся в системе. Получим далее формулу для
среднего числа
-заявок, связанных с системой (как стоящих в очереди, так и
находящихся на обслуживании). Поскольку
, где
- среднее число заявок, находящихся
под обслуживанием, а k известно, то остается определить
. Поскольку канал один, число
обслуживаемых заявок может равняться 0 (с вероятностью
) или 1 (с вероятностью 1 -
), откуда:
(19)
и среднее число заявок, связанных с СМО, равно:
(20)
Среднее время ожидания заявки в очереди. Обозначим его
; если заявка приходит в систему в
какой-то момент времени, то с вероятностью
канал обслуживания не будет занят, и
ей не придется стоять в очереди (время ожидания равно нулю). С вероятностью
она придет в систему во время
обслуживания какой-то заявки, но перед ней не будет очереди, и заявка будет
ждать начала своего обслуживания в течение времени
(среднее время обслуживания одной
заявки). С вероятностью
в очереди перед рассматриваемой заявкой будет стоять еще
одна, и время ожидания в среднем будет равно
, и т.д.
Если же k=m+1, т.е. когда вновь приходящая заявка застает канал
обслуживания занятым и m-заявок в очереди (вероятность этого
), то в этом случае заявка не
становится в очередь (и не обслуживается), поэтому время ожидания равно нулю.
Среднее время ожидания будет равно:
(21)
Если подставить в (21) выражения для вероятностей (10), получим:
(22)
Здесь использованы соотношения (16), (18) (производная геометрической
прогрессии), а также
из (10). Сравнивая это выражение с (18), замечаем, что иначе
говоря, среднее время ожидания равно среднему числу заявок в очереди, деленному
на интенсивность потока заявок.
(23)
Среднее время пребывания заявки в системе. Обозначим
- математическое ожидание случайной
величины - время пребывания заявки в СМО, которое складывается из среднего времени
ожидания в очереди
и среднего времени обслуживания
. Если загрузка системы составляет
100%, очевидно,
, в противном же случае:
(24)
Отсюда:
(25).
.2 Расчет численности сотрудников для обслуживания оборудования
Примем, что для обслуживания АРМ сотрудников ОГМетр необходим один
сотрудник отдела информационно-технического обеспечения и связи. Данную работу
на предприятии ООО «ЛУКОЙЛ-ПНГП» выполняет инженер-программист.
Для
расчета загруженности сотрудника представим, что специалист ОИТО является
одноканальной системой массового обслуживания с ожиданием. Допустим, количество
АРМ в ОГМетр для обслуживания равно 3. Пусть входящий поток заявок на
обслуживание - простейший поток с интенсивностью
(заявка/час).
Время диагностики АРМ распределено по показательному закону и в среднем равно 2
часам. Интенсивность потока обслуживания равна
(заявка/час).
Длительность обслуживания - случайная величина, подчиненная показательному
закону распределения. Поток обслуживаний является простейшим пуассоновским
потоком событий. Заявка, поступившая в момент, когда канал занят, становится в
очередь и ожидает обслуживания.
СМО имеет следующую интерпретацию:
- канал
свободен;
- канал занят, очереди нет;
- канал занят, одна заявка в очереди;
- канал занят, две заявки в очереди;
- канал занят, три заявки в очереди;
- канал занят, четыре заявки в очереди;
- канал занят, пять заявок в очереди;
Рисунок
7.3 - Состояния системы массового обслуживания
Находим
вначале приведенную интенсивность потока заявок:
По
формулам (10) получаем:
;
, откуда
следует что:
;
- заявок
в состоянии ожидания нет.
Определим
характеристики одноканальной СМО с ожиданием ограниченной длиной очереди,
равной m:
)
вероятность отказа в обслуживании заявки находим по формуле (12):
)
относительная пропускная способность СМО находим по формуле (13):
)
абсолютная пропускная способность СМО находим по формуле (14):
(заявка/час)
)
среднее число находящихся в СМО заявок находим по формуле (18):
т.е.
среднее число заявок, ожидающих в очереди на обслуживание, равно 0,0025.
)
среднее число заявок, находящихся под обслуживанием находим по формуле (19):
6)
среднее число заявок, связанных с сотрудником ОИТ находим по формуле (20):
)
среднее время ожидания заявки в очереди находим по формуле (23):
)
среднее время пребывания заявки в СМО находим по формуле (25):
Из проведенных выше расчетов видно, что для обслуживания АРМ
сотрудников ОГМетр одного человека вполне достаточно. Более того специально
нанимать на должность специалиста по обслуживанию АРМ нет необходимости.
Функции по обслуживанию КТС АСУ МС возложены на инженера-программиста ОИТОиС.
Раздел 8. Безопасность жизнедеятельности
Решение вопросов безопасности труда необходимо решать с учетом
комплексного воздействия на человека в процессе трудовой деятельности опасных и
вредных производственных факторов. Борьба с негативными последствиями труда
является неотъемлемой частью управления эффективностью производства, отражающей
социальный аспект.
Целенаправленная профилактическая работа включает: проведение аттестации
используемого в производстве оборудования и технологий, анализ вредных и
опасных факторов производственной среды, выбор безопасных вариантов разработок,
планирование и контроль работ по созданию безопасных условий труда.
Дисциплина “Безопасность жизнедеятельности” изучает опасности, угрожающие
человеку, закономерности их проявления и способы, методы и средства защиты от
них. При проектировании производственной среды и обеспечении безопасности труда
будущий инженер должен учитывать человеческий фактор.
Повышенное внимание к проблеме БЖД во всех средах обитания объясняется
целым рядом факторов. Например, резким ростом вероятности несчастных случаев на
производстве. Учет всех вредностей позволит инженеру правильно спроектировать
производственную среду и обеспечить БДЖ всех работающих в этой среде.
8.1 Анализ условий труда
Цель анализа - выявить потенциально опасные и вредные производственные
факторы, которыми характеризуется организационно-деловой процесс.
Рабочие места сотрудников отдела главного метролога располагаются
непосредственно на территории завода. А применяемое на производстве сырье и
получаемые продукты обладают наркотическим и отравляющим воздействием на
организм человека. Поэтому, в случае утечки обращающихся на заводе веществ,
сотрудники ОГМетр подвергаются риску отравления. Особенно опасен сероводород,
так как имеет большую плотность - 1,44 кг/м3, вследствие чего он
может скапливаться в лотках, приямках, колодцах. Сероводород представляет собой
бесцветный газ с запахом тухлых яиц, тяжелее воздуха, сильный нервный яд,
вызывающий смерть от остановки дыхания. Обладает значительным раздражающим
действием на дыхательные пути и глаза.
Рабочие места располагаются в офисном корпусе. Большую часть рабочего
времени сотрудники проводят в своём кабинете за компьютером. Выход на
производственные объекты совершается в случае.
Задачи, поставленные перед отделом, предполагают получение сотрудниками
большого количества данных из разных источников, их документальное оформление,
а после архивирование. При этом часть выполняемых функций непосредственно
связана с работой за компьютером, другая часть функций предполагает присутствие
на установках предприятия, что связано с дополнительными вредными воздействиями
целой группы факторов.
В таблице 8.1 представлены опасные и вредные производственные факторы,
которые воздействуют на работника и мероприятия по снижению или исключению
этого воздействия.
Таблица 8.1 - Опасные и вредные производственные факторы
|
Опасные и вредные производственные факторы
|
Воздействие фактора на организм
|
Мероприятия по снижению воздействия или исключению
воздействия фактора
|
|
Химические:
|
|
Сероводород.
|
Отравление, отек легких, термические ожоги
|
Фильтрующий противогаз марки ВКДФ и изолирующие - АСВ-2 и
ПШ-1,2
|
|
Физические:
|
|
повышенная или пониженная температура воздуха рабочей зоны
(в случае неисправности систем отопления и кондиционирования)
|
Воздействие повышенных температур способствует нарушению
обменных процессов в организме. Вызывает изменения в деятельности
сердечно-сосудистой системы, увеличивает частоту дыхания, а также оказывает
влияние на функционирование других органов и систем - ослабляется внимание,
ухудшается координация движений, замедляются реакции и т.д. воздействие
пониженных температур приводит к возникновению различных острых и хронических
простудных заболеваний.
|
Для обеспечения комфортных условий используются как
организационные методы (рациональная организация проведения работ в
зависимости от времени года и суток, чередование труда и отдыха), так и
технические средства (вентиляция, кондиционирование воздуха, отопительная
система).
|
|
недостаточная освещенность рабочей зоны
|
При недостаточной освещенности зрительное восприятие
снижается, развивается близорукость, появляются боль в глазах, головные боли
и общая вялость которые приводят к снижению внимания. Из-за постоянного
напряжения зрения наступает зрительное утомление.
|
В помещениях, в случаях преимущественной работы с
документами, следует применять системы комбинированного освещения (к общему
освещению дополнительно устанавливаются светильники местного освещения,
предназначенные для освещения зоны расположения документов). Освещенность на
поверхности стола в зоне размещения рабочего документа должна быть 300-500
лк.
|
|
Психофизиологические:
|
|
перенапряжение анализаторов
|
Мерцание экрана, блики, неоптимальное сочетание цветов в
поле зрения вызывают утомление глаз. Это приводит к снижению внимания,
покраснению глаз, боли, потемнению в глазах, двоению, снижению остроты
зрения.
|
В качестве профилактического средства возможно
использование очков, специально предназначенных для работы за ПК. Они
повышают отчетливость восприятия, оптимизируют цветопередачу, снижают
зрительное утомление, повышают комфортность и работоспособность. Необходимо
делать перерывы при работе с персональным компьютером, а также использовать
защитные экраны и фильтры на мониторы.
|
|
статические физические перегрузки
|
Неподвижная напряженная поза сотрудника, в течение
длительного времени прикованного к экрану монитора, приводит к усталости и
возникновению болей в позвоночнике, шее, плечевых суставах, а также
развивается мышечная слабость и происходит изменение формы позвоночника.
Интенсивная работа с клавиатурой вызывает болевые ощущения в локтевых
суставах, предплечьях, запястьях, в кистях и пальцах рук.
|
Соблюдение режима труда и отдыха, а также условий,
определяющих оптимальную организацию рабочего места работника, позволит
сохранить хорошую работоспособность в течение всего рабочего дня.
|
|
Нервно-психические перегрузки - умственное напряжение при
ведении технологического режима
|
Умственные перегрузки, монотонность труда, эмоциональные
перегрузки.
|
Смена деятельности, режим труда и отдыха,
регламентированные перерывы.
|
.2 Мероприятия по безопасному выполнению работ
Как уже отмечалось, в процессе работы с компьютером большое значение
имеет правильная организация рабочего места и соблюдение работником режима
труда и отдыха. Отдельное внимание нужно обращать на организационные и
технические мероприятия, обеспечивающие пожарную безопасность при выполнении
работ.
8.2.1 Эргономические требования к рабочему месту
Рабочее место и взаимное расположение всех его элементов должно
соответствовать антропометрическим, физическим и психологическим требованиям.
Большое значение имеет также характер работы. В частности, при организации
рабочего места сотрудника должны быть соблюдены следующие основные условия:
оптимальное размещение оборудования, входящего в состав рабочего места и
достаточное рабочее пространство, позволяющее осуществлять все необходимые
движения и перемещения.
Главными элементами рабочего места работника являются стол и кресло.
Основным рабочим положением является положение сидя.
Рабочая поза сидя вызывает минимальное утомление сотрудника. Рациональная
планировка рабочего места предусматривает четкий порядок и постоянство
размещения предметов, средств труда и документации. То, что требуется для
выполнения работ чаще, расположено в зоне легкой досягаемости рабочего
пространства.
Рисунок 7.2.1 - Зоны досягаемости рук в горизонтальной плоскости:
а - зона максимальной досягаемости; б - зона досягаемости пальцев при
вытянутой руке; в - зона легкой досягаемости ладони; г - оптимальное
пространство для грубой ручной работы; д - оптимальное пространство для тонкой
ручной работы
Оптимальное размещение предметов труда и документации в зонах досягаемости:
Дисплей размещается в зоне а (в центре);
Системный блок размещается в предусмотренной нише стола;
Клавиатура - в зоне г/д;
«Мышь» - в зоне в справа;
Сканер в зоне а/б (слева);
Принтер находится в зоне а (справа);
Документация, необходимая при работе, находится в зоне легкой
досягаемости ладони (зона в), а литература, неиспользуемая постоянно, - в
выдвижных ящиках стола.
Экран монитора располагается от глаз пользователя на расстоянии 600-700
мм, но не ближе 500 мм с учетом размеров алфавитно-цифровых знаков и символов.
Для комфортной работы выбирается стол, удовлетворяющий следующим
условиям:
высота стола выбирается с учетом возможности сидеть свободно, в
удобной позе, при необходимости опираясь на подлокотники;
нижняя часть стола сконструирована так, чтобы сотрудник мог
удобно сидеть, не был вынужден поджимать ноги;
поверхность стола обладает свойствами, исключающими появление
бликов в поле зрения сотрудника;
конструкция стола предусматривает наличие выдвижных ящиков (не
менее 3 для хранения документации, канцелярских принадлежностей).
высота рабочей поверхности в пределах 680-760мм. Высота поверхности, на
которую устанавливается клавиатура, около 650мм.
Конструкция рабочего стула (кресла) обеспечивает поддержание рациональной
рабочей позы при работе на ПЭВМ, позволяет изменять позу, что снижает
статическое напряжение мышц шейно-плечевой области и спины и предупреждает
развитие утомления. Тип рабочего стула (кресла) выбирается с учетом роста
пользователя, характера и продолжительности работы с ПЭВМ. Рабочий стул
(кресло) является подъемно-поворотным, регулируемым по высоте и углам наклона
сиденья и спинки (в пределах +-30 градусов), а также расстоянию спинки от
переднего края сиденья, при этом регулировка каждого параметра независимая,
легко осуществляемая и имеет надежную фиксацию. Поверхность сиденья, спинки и
других элементов стула (кресла) полумягкая, с нескользящим, слабо
электризующимся и воздухопроницаемым покрытием, обеспечивающим легкую очистку
от загрязнений.
8.2.2 Режим труда
В соответствии со СанПиН 2.2.2 546-96 все виды трудовой деятельности,
связанные с использованием компьютера, разделяются на три группы:
группа А: работа по считыванию информации с экрана ВДТ или ПЭВМ
с предварительным запросом;
группа Б: работа по вводу информации;
группа В: творческая работа в режиме диалога с ЭВМ.
Для видов трудовой деятельности устанавливается 3 категории тяжести и
напряженности работы с компьютером, которые определяются: для группы А - по
суммарному числу считываемых знаков за рабочую смену (не более 60000 знаков за
смену); для группы Б - по суммарному числу считываемых или вводимых знаков за
рабочую смену (не более 40000 знаков за смену); для группы В - по суммарному
времени непосредственной работы с компьютером за рабочую смену (не более 6
часов за смену).
При 8-часовой рабочей смене и работе на компьютере регламентированные
перерывы устанавливаются:
для I категории работ через 2 часа от начала рабочей смены и
через 2 часа после обеденного перерыва продолжительностью 15 минут каждый;
для II категории работ через 2 часа от начала рабочей смены и
через 1,5 - 2,0 часа после обеденного перерыва продолжительностью 15 минут
каждый или продолжительностью 10 минут через каждый час работы;
для III категории работ - через 1,5 - 2,0 часа от начала рабочей
смены и через 1,5 - 2,0 часа после обеденного перерыва продолжительностью 20
минут каждый или продолжительностью 15 минут через каждый час работы.
При 12-часовой рабочей смене регламентированные перерывы устанавливаются
в первые 8 часов работы аналогично перерывам при 8-часовой рабочей смене, а в
течение последних 4 часов работы, независимо от категории и вида работ, каждый
час продолжительностью 15 минут.
В таблице 8.2 представлены сведения о регламентированных перерывах, которые
необходимо делать при работе на компьютере, в зависимости от продолжительности
рабочей смены, видов и категорий трудовой деятельности с ВДТ (видеодисплейный
терминал) и ПЭВМ (в соответствии с СанПиН 2.2.2 542-96 «Гигиенические
требования к видеодисплейным терминалам, персональным электронно-вычислительным
машинам и организации работ»).
Таблица 8.2 - Время регламентированных перерывов при работе на компьютере
|
Категория работы с ВДТ или ПЭВМ
|
Уровень нагрузки за рабочую смену при видах работы с ВДТ
|
Суммарное время регламентированных перерывов, мин
|
|
Группа А, количество знаков
|
Группа Б, количество знаков
|
Группа В, часов
|
При 8-часовой смене
|
При 12-часовой смене
|
|
I
|
до 20000
|
до 15000
|
до 2,0
|
30
|
70
|
|
II
|
до 40000
|
до 30000
|
до 4,0
|
50
|
90
|
|
III
|
до 60000
|
до 40000
|
до 6,0
|
70
|
120
|
8.4
Пожарная безопасность при выполнении работ
По пожаро- и взрывоопасности помещения с ЭВМ обычно относятся к категории
В (пожароопасные, в которых используются горючие и трудногорючие вещества и
материалы).
Можно выделить следующие причины возникновения пожаров:
Неэлектрического характера:
неисправность оборудования
неосторожное обращение с огнем.
неисправность вентиляционных систем
Причины пожаров электрического характера:
короткое замыкание
перегрузка сетей токами
статическое электричество
Обеспечение безопасности достигается за счет следующих мероприятий:
помещение, где установлены компьютеры, предусматривается 1 или 2
степени огнестойкости (кирпич или железобетонные перекрытия);
пол диэлектрический, высотой 0,5 метра, и разделен на секции с
невозгораемыми перегородками;
каждая секция снабжена пожарной сигнализацией - датчиком,
который реагирует на дым;
наличие первичных средств пожаротушения (углекислотные
огнетушители);
наличие плана эвакуации; эвакуационные выходы открыты;
рабочие места и оборудование ежедневно очищаются от мусора и
пыли;
курение разрешается только в специально отведенных местах.
8.3 Организационные мероприятия по охране труда
Организационные мероприятия по охране труда включают: создание службы
охраны труда и обеспечение службы необходимыми измерительными приборами,
нормативными документами и производственной площадью; распределение должностных
обязанностей по охране труда между руководителями и специалистами организации;
обеспечение контроля за соблюдением работниками правил по охране труда;
организация обучения, проверки знаний и инструктажа работников; проведение
аттестации рабочих мест по условиям труда и сертификация работ по охране труда;
устранение или уменьшение степени воздействия вредных и опасных
производственных факторов; информирование работников о наличии (отсутствии)
вредных и опасных факторов, состоянии охраны труда в организации.
Организация инструктажей по охране труда
По характеру и времени проведения инструктажи подразделяют на вводный, первичный
на рабочем месте, повторный, внеплановый, целевой.
Вводный инструктаж по безопасности труда проводят со всеми вновь
принимаемыми на работу независимо от их образования, стажа работы по данной
профессии или должности, с временными работниками, командированными, учащимися
и студентами, прибывшими на производственное обучение или практику.
Вводный инструктаж проводит инженер по охране труда или лицо, на которое
возложены эти обязанности. Программа водного инструктажа разрабатывается
службой охраны труда с учетом требований стандартов ССБТ, правил, норм,
инструкций по охране труда и особенностей предприятия. О его проведении
делается запись в журнале регистрации вводного инструктажа с обязательной
подписью инструктируемого, а также в документе о приеме на работу.
Первичный инструктаж на рабочем месте до начала производственной
деятельности проводят:
− со всеми вновь принятыми на предприятие и переводимыми из
одного подразделения в другое;
− с работниками, выполняющими новую для них работу,
командированными, временными работниками;
− со строителями, выполняющими строительно-монтажные работы
на территории предприятия;
− со студентами и учащимися, прибывшими на производственное
обучение или практику перед выполнением новых видов работ.
Лица, которые не связаны с обслуживанием, испытанием, наладкой и ремонтом
оборудования, использованием инструмента, хранением и применением сырья и
материалов, первичный инструктаж на рабочем месте не проходят.
Первичный инструктаж на рабочем месте проводят с каждым работником
индивидуально с практическим показом безопасных приемов и методов труда.
Инструктаж проводится по программам, разработанным и утвержденным
руководителями производственных и структурных подразделений с учетом требований
стандартов ССБТ, соответствующих правил, норм и инструкций по охране труда,
производственных инструкций и другой технической документации.
Повторный инструктаж проводится со всеми работниками, за исключением тех,
кто освобожден от первичного инструктажа, не реже одного раза в полугодие. По
согласованию с профсоюзным комитетом и соответствующими органами
государственного надзора для некоторых категорий работников может быть
установлена более продолжительная (до 1 года) периодичность проведения
повторного инструктажа.
Повторный инструктаж проводят индивидуально или с группой работников,
обслуживающих однотипное оборудование, по программе первичного инструктажа на
рабочем месте в полном объеме.
Внеплановый инструктаж проводится:
− при введении в действие новых или переработанных
стандартов, правил, инструкций по охране труда, а также изменений к ним;
− при изменении технологического процесса, замене или
модернизации оборудования, приспособлений и инструмента, исходного сырья,
материалов и других факторов, влияющих на безопасность труда;
− по требованию органов надзора;
− при перерывах в работе для работ, к которым предъявляют
дополнительные (повышенные) требования безопасности труда более чем на 30
стандартных дней, а для остальных работ - 60 дней.
Внеплановый инструктаж проводят индивидуально или с группой работников
одной профессии. Объем и содержание инструктажа определяют в каждом конкретном
случае в зависимости от причин и обстоятельств, вызвавших необходимость его
проведения.
Целевой инструктаж проводят при выполнении разовых работ, не связанных с
прямыми обязанностями по специальности (погрузка, выгрузка, уборка территории и
т.п.), ликвидации последствий аварий, стихийных бедствий и катастроф,
производстве работ, на которые оформляется наряд-допуск, разрешение и другие
документы, проведение экскурсии на предприятии, организации массовых
мероприятий с учащимися.
8.4 Искусственное освещение производственных помещений
Искусственное освещение предусматривается в помещениях, в которых
недостаточно естественного света, или для освещения помещения в часы суток,
когда естественная освещенность отсутствует.
Искусственное освещение может быть общим (все производственные помещения
освещаются однотипными светильниками, равномерно расположенными над освещаемой
поверхностью и снабженными лампами одинаковой мощности) и комбинированным (к
общему освещению добавляется местное освещение работах мест светильниками,
находящимися у аппарата, станка, приборов и т. д.).
Использование только местного освещения недопустимо, так как резкий
контраст между ярко освещенными и неосвещенными участками утомляет глаза,
замедляет процесс работы и может послужить причиной несчастных случаев и
аварий.
По функциональному назначению искусственное освещение подразделяется на
рабочее, дежурное, аварийное. Рабочее освещение обязательно во всех помещениях
и на освещаемых территориях для обеспечения нормальной работы людей и движения
транспорта. Дежурное освещение включается во внерабочее время.
Аварийное освещение предусматривается для обеспечения минимальной
освещенности в производственном помещении на случай внезапного отключения
рабочего освещения.
В современных осветительных установках, предназначенных для освещения
производственных помещений, в качестве источников света применяют лампы
накаливания, галогенные и газоразрядные.
Лампы накаливания. Свечение в этих лампах возникает в результате нагрева
вольфрамовой нити до высокой температуры. Промышленность выпускает различные
типы ламп накаливания:
вакуумные (В), газонаполненные (Г) (наполнитель смесь аргона и азота),
биспиральные (Б), с криптоновым наполнением (К). Лампы накаливания просты в
изготовлении, удобны в эксплуатации, не требуют дополнительных устройств для
включения в сеть. Недостаток этих ламп-малая световая отдача от 7 до 20 лм/Вт
при большой яркости нити накала, низкий кпд, равный 10-13%; срок службы
800-1000 ч. Лампы дают непрерывный спектр, отличающийся от спектра дневного
света преобладанием желтых и красных лучей, что в какой-то степени искажает
восприятие человеком цветов окружающих предметов.
Основные характеристики ламп-световая отдача, световой поток, средняя
продолжительность службы - регламентированы ГОСТ 2239-79 «Лампы накаливания
общего назначения. Технические условия» ГОСТ 19190-84 «Лампы электрические.
Общие технические условия».
Галогенные лампы накаливания наряду с вольфрамовой нитью содержат в колбе
пары того или иного галогена (например, иода), который повышает температуру
накала нити и практически исключает испарение. Они имеют более продолжительный
срок службы (до 3000 ч) и более высокую светоотдачу (до 30 лм/Вт).
Газоразрядные лампы излучают свет в результате электрических разрядов в
парах газа. На внутреннюю поверхность колбы нанесен слой светящегося
вещества-люминофора, трансформирующего электрические разряды в видимый свет.
Различают газоразрядные лампы низкого (люминесцентные) и высокого давления.
Люминесцентные лампы создают в производственных и других помещениях
искусственный свет, приближающийся к естественному, более экономичны в
сравнении с другими лампами и создают освещение более благоприятное с
гигиенической точки зрения.
К другим преимуществам люминесцентных ламп относятся больший срок службы
(10000 ч) и высокая световая отдача, достигающая для ламп некоторых видов 75
лм/Вт, т. е. они в 2,5-3 раза экономичнее ламп накаливания. Свечение происходит
со всей поверхности трубки, а следовательно, яркость и слепящее действие
люминесцентных ламп значительно ниже ламп накаливания. Низкая температура
поверхности колбы (около5гр.С) делает лампу относительно пожаробезопасной.
Несмотря на ряд преимуществ, люминесцентное освещение имеет и некоторые
недостатки: пульсация светового поток, вызывающая стробоскопический эффект
(искажение зрительного восприятия объектов различия-вместо одного предмета
видны изображения нескольких, а также направления и скорости движения);
дорогостоящая и относительно сложная схема включения, требующая регулирующих
пусковых устройств (дроссели, стартеры); значительная отраженная блесткость;
чувствительность к колебаниям температуры окружающей среды (оптимальная
температура 20- 25 °С) понижение и повышение температуры вызывает уменьшение
светового потока.
Для искусственного освещения нормируемый параметр-освещенность. СНиП
11-4-79 устанавливают минимальные уровни освещенности рабочих поверхностей в
зависимости от точности зрительной работы, контраста объекта и фона, яркости
фона, системы освещения и типа используемых ламп.
Нормами установлена наименьшая освещенность, при которой обеспечивается
выполнение зрительной работы. Кроме того, нормируется степень равномерности
освещения источниками общего и местного освещения при комбинированном освещении
с целью обеспечения более полной зрительной адаптации в наименьший отрезок
времени. Для ослабления слепящего действия открытых источников света и
освещенных поверхностей с чрезмерной яркостью (блескостью) нормами предусмотрен
ряд защитных мер: наименьшая высота подвеса над уровнем пола светильников
общего освещения, наличие отражателей, допустимая яркость светорассеивающей
поверхности.
Нормы освещенности для I разряда зрительной работы даны в табл. 2.
Деление разрядов на подразряды дает возможность более оптимально выбрать
освещенность для каждой зрительной работы. Необходимый уровень освещенности тем
выше, чем темнее фон, меньше объект различения и контраст объекта с фоном.
Нормы освещенности для ламп накаливания меньше, чем для газоразрядных, их
следует снижать по шкале освещенности согласно СНиП 11-4-79.
Расчет электрического освещения выполняют при проектировании
осветительных установок для определений общей установленной мощности и мощности
каждой лампы или числа всех светильников.
Основной метод расчета- по коэффициенту использования светового потока,
которым определяется поток, необходимый для создания заданной освещенности
горизонтальной поверхности при общем равномерном освещении с учетом света,
отраженного стенами и потолком. Расчет выполняют по следующим формулам:
для ламп накаливания и ламп типов ДРЛ, ДРИ и ДНат
для
люминесцентных ламп
где
F-световой поток одной лампы, лм; Е-нормированная освещенность, лк; «S-площадь
помещения, m2; г-поправочный коэффициент светильника (для
стандартных светильников 1,1-1,3); k - коэффициент запася», учитывающий
снижение освещенности при эксплуатации (k=1,1-13) n -число светильников;
и-коэффициент использования, зависящий от типа
Подбор светильников местного освещения
Задачей подбора светильника местного освещения является выбор типа
светильника и подбор источника света соответствующей мощности, для обеспечения
необходимой освещенности.
Важной функцией осветительной арматуры светильника является защита глаз
работающих от чрезмерно больших яркостей источников света. Степень этой защиты
определяется защитным углом светильника. Защитный угол - угол, между
горизонталью и линией, соединяющей нить накала (поверхность разрядной лампы) с
краем отражателя. Глаз, при взгляде на светильник, должен находиться в его
пределах, т.е. человек, глядя на светильник, не должен видеть источник света.
Минимальное значение защитного угла - 300 (При работе с компьютерами
- 400).
Из справочной литературы выбирают тип светильника в зависимости от
требований к светораспределению, величине защитного угла, условиям установки,
степени защиты от воздействия окружающей среды.
Таблица 8.3 - рекомендуемые освещенности в системе комбинированного
освещения
|
Разряд и подразряд зрит. работы
|
Освещенность в системе комбинированного освещения, лк
|
|
При газоразрядной лампе в светильнике общего освещения и
накаливания в светильнике местного освещения.
|
При лампах накаливания в светильниках общего и местного
освещения.
|
|
Всего
|
В том числе
|
Всего
|
В том числе
|
|
|
от общего
|
от местного
|
|
от общего
|
от местного
|
|
I
|
а
|
5000
|
500
|
4500
|
4500
|
150
|
4350
|
|
б
|
4000
|
400
|
3600
|
3500
|
150
|
3350
|
|
в
|
2500
|
300
|
2200
|
2000
|
150
|
1850
|
|
г
|
1500
|
200
|
1300
|
1250
|
100
|
1150
|
|
II
|
а
|
4000
|
400
|
3600
|
3500
|
150
|
3350
|
|
б
|
3000
|
300
|
2700
|
2500
|
150
|
2350
|
|
в
|
2000
|
200
|
1800
|
1500
|
150
|
1350
|
|
г
|
1000
|
200
|
800
|
750
|
100
|
650
|
|
III
|
а
|
2000
|
200
|
1800
|
1500
|
150
|
1350
|
|
б
|
1000
|
200
|
800
|
750
|
75
|
675
|
|
в
|
750
|
200
|
550
|
600
|
75
|
525
|
|
г
|
400
|
200
|
200
|
400
|
75
|
325
|
|
IV
|
а
|
750
|
200
|
550
|
600
|
75
|
525
|
|
б
|
500
|
200
|
300
|
400
|
75
|
325
|
|
в
|
400
|
200
|
200
|
300
|
75
|
225
|
После выбора типа светильника, из справочной литературы находят условные
кривые равной горизонтальной освещенности - изолюксы, для выбранного типа
светильника. Используя графики условных изолюкс по известным значениям h
-высоте подвеса светильника над рабочей поверхностью и d -размеру рабочей зоны
(расстояние от центра горизонтальной проекции светильника до границы рабочей зоны)
определяют условную горизонтальную освещенность (e) в заданной точке.
По значениям нормируемой освещенности местного освещения (E) и найденной
условной освещенности (e), задавшись коэффициентом запаса к = 1,3...1,7
(учитывается снижение освещенности в процессе эксплуатации за счет загрязнения
светильника, старения ламп и т.п.) рассчитывается потребный световой поток
лампы F.
По рассчитанному значению светового потока и напряжению подбирается
мощность лампы с ближайшим стандартным световым потоком (в пределах 0,9F < F £ 1,2F).
Результаты внедрения ИИС приведены в таблице.
Таблица - Результаты внедрения
|
Наименование мероприятия
|
Результаты
|
|
Организационные
|
Экономические
|
Социальные
|
|
|
Первичные
|
Вторичные
|
|
|
1.Систематизация информации, хранящейся в архиве и на
компьютерах пользователя (формирование электронного архива)
|
1. Повышение уровня организации хранения электронных
документов. 2. Уменьшение количества ошибок при выполнении рутинной работы.
3. Повышение производительности труда.
|
1. Сокращение времени поиска документов. 2. Сокращение
времени на получение необходимой информации и ее анализ. 3.Относительное
снижение затрат рабочего времени на выполнение единицы работы.
|
Уменьшение доли затрат времени на выполнение рутинных
операций.
|
1.Повышение доли затрат рабочего времени на выполнение
творческой работы. 2.Повышение качества выполнения сотрудниками своих
функций.
|
|
2.Создание системы оперативного контроля руководителем
работы сотрудников подразделения
|
Повышение уровня организации контроля занятости персонала и
оценка продуктивности работы каждого сотрудника.
|
Относительное снижение затрат рабочего времени на
выполнение единицы работы.
|
Уменьшение доли затрат времени руководителя на контроль
работы сотрудников подразделения
|
|
Заключение
информационная система программное обеспечение
В ходе дипломного проекта сделан обзор CALS-технологии, которая
предполагает создание ЕИП предприятия, включающее в себя совокупность
распределенных баз данных.
Система соответствует существующей практике подготовки работы в подразделении
предприятия и в дальнейшем, если необходимо, будет расширяться за счет
разработки новых модулей.
До внедрения системы специалистам метрологической службы приходилось
вручную обрабатывать данные: рассчитывать их по определенному алгоритму, подводить
итоги, заполнять различные бланки по не-сколько экземпляров (то есть все
обрабатываемые данные вносились в различные журналы, тетради учета ит.д.),
самостоятельно анализировать и контролировать полученные результаты, что
доставляло массу неудобств, затруднялись хранение и поиск нужных данных.
Рассматривая выполнение задачи со всех сторон, можно заметить, что,
во-первых, реализованная система, наиболее удобна в условиях, принятых на
данном рабочем месте, во-вторых, она организована таким образом, что понятна
пользователю, даже в обязанности которого не входит работа с компьютером как
основная, в-третьих, если будут соблюдаться правила работы с компьютером, то
использование программы, не принесет ущерба здоровью и, наконец, система
позволяет экономить рабочее время и обеспечивать более продуктивную работу
людей.