Проект подготовки и открытия торгового зала компании ОАО 'Плюс Капитал'

  • Вид работы:
    Курсовая работа (т)
  • Предмет:
    Информационное обеспечение, программирование
  • Язык:
    Русский
    ,
    Формат файла:
    MS Word
    1,51 Мб
  • Опубликовано:
    2012-05-24
Вы можете узнать стоимость помощи в написании студенческой работы.
Помощь в написании работы, которую точно примут!

Проект подготовки и открытия торгового зала компании ОАО 'Плюс Капитал'














Проект подготовки и открытия торгового зала

компании ОАО "Плюс Капитал"

Введение

В современных условиях эффективное управление представляет собой ценный ресурс организации, наряду с финансовыми, материальными, человеческими и другими ресурсами. Следовательно, повышение эффективности управленческой деятельности становится одним из направлений совершенствования деятельности предприятия в целом. Наиболее очевидным способом повышения эффективности протекания трудового процесса является его автоматизация.

Microsoft Project - программа управления проектами, разработанная и продаваемая корпорацией Microsoft. Данный программный продукт создан, чтобы помочь менеджеру проекта в разработке планов, распределении ресурсов по задачам, отслеживании прогресса и анализе объёмов работ.

При планировании проекта нужно составить список задач, требующих решения, и список ресурсов, которые могут в этом помочь, а затем назначить ресурсы задачам. [1, c. 20]. На этапе осуществления проекта необходимо следить за ходом работы, сроками и затраченными средствами. Microsoft Project автоматизирует эти процессы - процессы планирования и управления проектами.

Актуальность - разработка и внедрение проекта MS Project это:

1.      уменьшение количества времени, затрачиваемого на оформление документации, что позволит сократить цикл основного производства;

2.       сокращение объема документооборота, что позволит снизить расходы на хранение и утилизацию промежуточной документации;

3.      наглядность представления и быстрота получения информации позволит ускорить и облегчить процесс принятия управленческих решений, что могло бы благоприятно сказаться на хозяйственной деятельности предприятия в целом.

Проблема - В настоящее время в России мало используются программные средства для управления проектами. Уровню управления уделяется недостаточное количество внимания, а это способствует снижению эффективности разрабатываемых проектов.

Обьект - деятельность фирмы ОАО «Плюс Капитал»

Предмет - процесс управления, разработки и внедрения проекта открытия торгового зала

Цель курсовой работы - создание проекта подготовки и открытия торгового зала компании ОАО «Плюс Капитал»

Основные задачи:

·        изучить теоретические основы управления проектами;

·        структурировать план проекта;

·        разработать, реализовать и проконтролировать выполнение проекта в MS Project;

Гипотеза - внедрение программного продукта MS Project позволит лучше управлять планированием проекта и контролировать выполнение плана

Методологическая основа исследования - разработка плана проекта на основе сетевого планирования и управления, который включит в себя помимо календарного плана работ, планы управления целями, ресурсами и информационными потоками. исследования является то, что в основе современных методов управления проектами лежат методики структуризации работ и сетевого планирования. Основными источниками исследования послужили работы в области ИТ (Бастриков М.В., Пономарёв О.П. «Информационные технологии управления»; Сапожников В.Н. «Информационные системы обработки экономической информации»; Рагулин П.Г. «Информационные технологии»), в области управления (Щепкин А.В. «Внутрифирменное управление (модели и методы)»; Виханский О.С. «Стратегическое управление»), в области сетевого планирования (Бороздин И.Г. «Сетевое планирование и управление строительством»; Зинкевич В.С. «Сетевые методы планирования и управления»; Бухалков М.И. «Внутрифирменное планирование»).

Методы исследования - анализ научной и технической литературы, наблюдение, беседа со специалистами.

Элементы новизны и теоретической значимости - ознакомление с видами систем управления проектами, оценкой их роли в управлении проектами, а также в построении графиков и диаграмм сетевого планирования.

Практическая значимость - разработка проекта подготовки и открытия торгового зала позволит получить наиболее оптимальный вариант хода выполняемых работ, достичь минимальной длительности проекта при минимальных затратах ресурсов, учесть возможные риски, реально оценить финансовые возможности разработчика.

Структура работы включает следующие разделы: введение, три главы, выводы по каждой из них, заключение и список литературы.

Первая глава - теоретическая часть. Во-первых в ней рассматриваются основные понятия, связанные с системой управления проектами. Даётся определение понятий «Проект», «Управление проектами», «Менеджер проекта» и т.д, .Также определяются основные черты проекта такие как : направленность на достижение целей; координированное выполнение взаимосвязанных действий; уникальность; ограниченность ресурсов; масштаб; Далее рассматриваются понятия цель проекта, характеристики, которым должна соответствовать цель, миссия и стратегия проекта.

В завершении первой главы происходит анализ систем управления проектами, присутствующих в данное время на российском рынке.

Вторая глава - аналитическая часть, в которой производятся все расчёты, а также строятся графики. В ходе данной главы производится разделение проекта на 5 блоков в каждый из которых заносятся работы проекта. При этом каждый последующий блок может начаться только после завершения предыдущего. Для каждой из работ задаётся буквенное обозначение, наименование, длительность и количество исполнителей. На основании этих данных строится сетевая модель проекта, также разбитая на 5 частей. После построения сетевой модели рассчитываются все её основные показатели, а также критический путь. Далее составляется график календарного плана на основе диаграммы Ганта, на нём указываются работы каждого блока с расчётом их длительности и количеством участников. После этого строятся графики загруженности трудовых ресурсов. На основании календарного плана и графиков нагрузки ресурсов производится оптимизация проекта, если она возможна.

Третья глава - практическая часть, которая включает в себя собственно программную реализацию проекта.

Все операции производятся в программе MS Project 2003. Создание проекта происходит по стадиям: 1)определение проекта 2)создание календаря проекта 3) составление списка задач 4)определение связей между задачами

) выявление критических задач 6) формирование списка ресурсов 8) распределение ресурсов между задачами.

После того , как данные действия выполняются, производится изучение видов отображения проекта в MS Project ( диаграмма Ганта, диаграмма Ганта с отслеживанием, Сетевая модель и т.д), изучение таблиц ( Затраты, Трудозатраты, Отслеживание и т.д) и формы отчётов( «Сводка по проекту»).

Список литературы включает в себя 15 источников.

проект управление сетевая модель программирование

Глава 1. Управление проектом, как особый тип управления

1.1    Основные понятия и методы управления проектами

Проект, как объект управления, обладает таким набором особенностей, которые требуют использования специальных приемов и методов для управления им. В течение примерно сорока последних лет управление проектами (УП) сформировалось как особая профессиональная область деятельности и самостоятельная дисциплина, вооружающая руководителей проекта технологиями и инструментальными средствами планирования, контроля и координации осуществления проектов.

Диапазон обязанностей руководителя проекта как системного интегратора отличается широтой. Руководитель проекта должен согласовывать, примерять, удовлетворять противоречивые интересы сред (социальной, организационной, технической, финансовой, политической), на пересечении которых реализуются все фазы жизненного цикла инновационного проекта: от маркетинга и бизнес - планирования до разработки, комплектной поставки и сдачи «под ключ». [2, c. 54]. Руководитель проекта должен использовать специальные методы управления, владеть современными инструментальными средствами и обладать разными способностями. Разработкой этих методов и средств, развитием системных способностей руководителей проектов занимается иноватика - область знаний, охватывающая вопросы методологии и организации инновационной (нововведенченской) деятельности.

Применение методов и средств управления проектами позволяет не только достичь результатов проекта требуемого качества, но и экономить деньги, время, другие ресурсы, снижает риск и повышает надежность, так как помогает:

-       определить цели проекта и провести его обоснование;

-       выявить структуру проекта (подцели, основные этапы работы и т.п.);

-       определить необходимые объемы и источники финансирования;

-       подобрать исполнителей, в частности, через процедуры торгов и конкурсов;

-       подготовить и заключить контракты;

-       определить сроки выполнения проекта, составить график его реализации, рассчитать необходимые ресурсы;

-       произвести калькуляцию и анализ затрат;

-       планировать и учитывать риски;

-       организовать реализацию проекта, в том числе подобрать «команду проекта»;

-       обеспечить контроль за ходом выполнения проекта.

Выбор соответствующих методов и средств управления проектами, определяется, прежде всего, сложностью, масштабом и типом проекта. Причем, основные сложности, в общем случае, возникают на начальных фазах проекта, когда должны быть приняты основные решения, требующие нетрадиционных методов и средств.

Проект - это совокупность взаимосвязанных задач, направленных на достижение определенного результата (строительство какого-либо объекта, создание изделия, модернизация предприятия, написание отчета и т.д.).

Для выполнения той или иной задачи проекта необходимы соответствующие ресурсы: материальные (оборудование, инструменты и т.д.) и людские (рабочие, инженеры, исследователи и т.д.). [3, c. 154]. Выделение того или иного ресурса на задачу называется назначением, у каждой задачи может быть определенное число назначений.

Управление проектами в широком смысле этого понятия - интегрированная система организации, планирования и управления выполнением задач проекта и проекта в целом.

Организация проекта - это определение и структурирование комплекса взаимосвязанных задач (работ, операций) и ресурсов, обеспечивающих выполнение проекта.

Планирование проекта - это разработка плана сроков выполнения комплекса взаимосвязанных задач (работ, операций) до начала его выполнения.

Управление проектом в более узком смысле, как некоторая совокупность определенных этапов - это контроль, сравнение, анализ и принятие решения для внесения изменений в ход выполнения проекта.

Во-первых, каждый проект характеризуется конкретной целью, ради которой он затевается (получение дополнительного дохода, победа на выборах, повышение эффективности боевых действий и т.д.).

Во-вторых, каждый проект в чем-то уникален: либо по преследуемым целям, либо по составу исполнителей, либо по условиям, в которых он реализуется. А может, и по всем перечисленным параметрам.

В-третьих, любой проект ограничен по времени «жизни». Успешный проект благопристойно «умирает» сразу, как только достигнута поставленная перед ним цель. [4, c. 154].При этом длительность «жизни» проекта может быть самой разной. Например, курсы по подготовке пользователей новой версии MS Project могут быть организованы и проведены в течение одного месяца, а проект по строительству кольцевой автодороги вокруг Санкт-Петербурга может длиться 4 года.

В-четвертых , каждый проект характеризуется конкретными ресурсами, выделенными на его выполнение.

В реальной жизни ресурсы всегда ограничены. Либо по количеству, либо по периоду времени, в течение которого они могут использоваться, либо по качеству (в частности, по уровню подготовки исполнителей). В определенном смысле ограниченным ресурсом является и время, отводимое на реализацию проекта.

Именно ограниченность ресурсов и располагаемого времени заставляет заинтересованную сторону предпринимать специальные меры, чтобы использовать их наилучшим образом в интересах достижения поставленной перед проектом цели. [5, c. 84].Вот эти-то меры и составляют суть управления проектом.

Масштаб проекта (иногда этот термин заменяют словосочетанием «содержание и границы проекта») - это совокупность цели проекта и планируемых для ее достижения затрат времени и средств.

Другими словами, это своеобразное трехмерное пространство (цель-время-деньги), в котором живут участники проекта, да и сам проект.

Опираясь на введенное понятие масштаба, можно сказать, что управление проектом направлено на сохранение его исходного масштаба («содержания и границ»).

Более развернутое определение этого понятия может выглядеть так: Управление проектом (Project Management) - это процесс планирования, организации и контроля за состоянием задач и ресурсов проекта, направленный на своевременное достижение цели проекта.

Менеджер проекта - это лицо, ответственное за достижение целей проекта.

Менеджер проекта отвечает за составление плана проекта, обеспечение проекта запланированными ресурсами, контроль и составление отчетов о ходе проекта в соответствии с планом. Он добивается предоставления необходимых для проекта физических ресурсов, набирает сотрудников, при необходимости увольняет их. [6, c. 65.] Он отвечает и за качество результатов проекта и за качество работ, выполняемых в соответствии с планом качества.

Менеджер проекта согласовывает с заказчиком область охвата проекта и обеспечивает проведение проекта в согласованных рамках. Он определяет или одобряет всю стратегию, которую группа управления проектом будет использовать для достижения поставленных целей проекта

Так или иначе, руководитель любого проекта должен быть готов к тому, что на каком-то шаге между исходным планом и реальным положением возникнет некоторое расхождение. Поэтому одной из основных задач управления проектами является своевременная коррекция первоначального плана, причем с наименьшими накладными расходами.

В рамках самого проекта, а также его окружения следует выделить и, участников проекта, т.е. субъектов деятельности, подвергаемой проектному управлению.

Состав участников проекта, их роли, распределение обязанностей, прав и ответственности зависят от типа, вида, масштаба, сложности, а также жизненного цикла проекта. Структура участников проекта не является стабильным во времени состоянием. [7, c. 57].Между проектом и окружающей его средой происходит постоянное взаимодействие и обмен материальными, финансовыми, энергетическими и информационными ресурсами с изменением состава участников, их ролей, системы взаимодействия между ними.

Наиболее активными непосредственными участниками проекта выступают:

. Инициатор проекта;

. Заказчик;

. Инвестор;

. Руководитель проекта;

. Команда проекта.

Современные системы управления проектами не требуют большой специальной подготовки пользователя и обеспечивают легкое и быстрое применение системы для решения самых разнообразных практических задач.

Условно проекты, включающие до 80 задач (работ, операций) и 15 видов ресурсов, относят к проектам малых размеров. Проекты, включающие от 80 до 400 задач и от 15 до 50 видов ресурсов, относят к средним проектам, а включающие от 400 до 1200 задач и от 50 до 150 видов ресурсов и более к большим проектам.

Для эффективной организации, планирования и управления ходом выполнения самых разнообразных работ необходимо весь процесс представить в виде логической последовательности определенных операций. Разработать, так называемую, структуру задач проекта.

Логическая последовательность работ любого процесса может иметь различные визуальные отображения. Это может быть график Ганта с различной степенью представленности задач, сетевой график, календарный график или какое-либо другое представление. Каждый из видов представления имеет свои преимущества и недостатки, а в совокупности они значительно упрощают расчет, анализ и управление проектами.

После представления структуры задач проекта в виде диаграммы Ганта, сетевого графика или другого представления производится их расчет по методу критического пути (МКП).

1.2    Цель и стратегия управления проектами

Любое дело начинается с формализации цели. Цель проекта - желаемый результат деятельности, достигаемый в переделах установленного интервала времени.

Четко определенная цель - это необходимое условие выполнения проекта.

Чтобы быть значимыми, цели должны удовлетворять ряду характеристик:

Во-первых, цели должны быть конкретными и измеримыми. Лишь устанавливая измеримые цели можно отслеживать и оценивать их достижение.

Во-вторых, цели должны быть ориентированы во времени, то есть, связаны с определенными горизонтами планирования.

В-третьих, цель должна быть достижима.

Кроме того, цели должны поддерживать друг друга, то есть достижение одной цели не должно мешать достижению других.

Это означает, что цели проекта должны быть четко определены, иметь ясный смысл; результаты измеримы, а заданные ограничения и требования выполнимы .

Миссия - это генеральная цель проекта, четко выраженная причина его существования. Она детализирует статус проекта, обеспечивает ориентиры для определения целей следующих уровней, а также стратегий на различных организационных уровнях. [8, c. 154].Говорят также, что миссия - это главная задача проекта, с точки зрения его будущих основных услуг или изделий, его важнейших рынков и преимущественных технологий.

Миссия проекта, детализируется на цели, подцели и задачи более низкого уровня (так называемое дерево целей проекта - схема представления иерархической декомпозиции системы целей проекта.). Установленный приоритет целей определяет, что нижний уровень задач проекта обеспечивает выполнение целей более высокого уровня. Представление целей осуществляется с верхнего уровня. Дерево целей представляет собой графическую модель соподчиненности целей проекта с учетом их взаимосвязей.

Стратегия проекта - центральное звено в выработке направлений действий с целью получения обозначенных миссией и системой целей результатов проекта. Это комплекс целей и принципов, позволяющих распределить необходимые ресурсы на период времени, представляющий собой горизонт планирования проекта. С одной стороны, это - общий всесторонний план достижения всех целей проекта; С другой стороны, это - система управленческих решений, определяющих основные направления развития проекта в целом.

Разработку стратегии проекта можно разделить на 3 реализуемых последовательно процедуры:

• стратегический анализ

• разработка/выбор стратегии

• реализация выбранной стратегии.

Стратегический анализ начинают с анализа внутренней и внешней. Со стороны внешней среды как правило ожидают или угрозы, или возникновения благоприятных возможностей для реализации проекта. Для этого используют популярный метод SWOT-анализа.

К факторам внешней среды относятся:

• технологические, т.е. уровень существующих технологий, наличие “ноу-хау”;

• доступ к ресурсам;

• инфляцию, курсы валют, налоги (экономические и макроэкономические факторы);

• ограничения со стороны законодателя (например лицензирование);

• уровень безработицы, традиции, пол, возраст (т.е. социальные факторы);

• политические факторы (внешняя политика, экономическая и внутренняя политика);

• экологические факторы (уровень загрязнения внешней среды, экологические мероприятия);

• количество и сила конкурентов.

Факторы внутренней среды включают в себя:

• рынок на котором работает фирма, клиенты фирмы;

• маркетинговые мероприятия и сбытовая политика;

• оснащенность производства;

• лояльность, компетентность и численность персонала;

• снабжение фирмы (лояльность поставщиков, условия поставки);

• финансы фирмы (структура капитала, его оборачиваемость и ликвидность, финансовое состояние организации);

• номенклатура продукции.

Главная задача стратегии управления проектом - успешное завершение проекта, получение конечных ожидаемых результатов.

.3 Обзор систем управления проектами

Первые системы позволяли представить проект в виде сети, рассчитать ранние и поздние сроки начала и окончания работ проекта и отобразить работы на временной оси в виде диаграммы Ганта. Позже такие системы были дополнены функциями ресурсного и стоимостного планирования, а также средствами контроля за ходом выполнения работ.

К настоящему времени количество таких продуктов измеряется десятками, а то и сотнями. Имеющиеся на рынке программного обеспечения продукты различаются набором предоставляемых функций, уровнем поддержки пользователя, надежностью и, соответственно, стоимостью. Существует два подхода к классификации таких продуктов: по цене (неявно предполагается, что она отражает уровень продукта) и по набору реализуемых функций.

По первому из названных критериев продукты обычно делят на системы высокого уровня (их стоимость составляет $1000 и выше) и системы начального уровня (дешевле $1000).

По второму критерию средства сетевого планирования и управления также разделяют на две группы (которые чаще всего соответствуют ценовому делению): на профессиональные и настольные. Считается, что профессиональные системы реализуют более сложные алгоритмы планирования и анализа проектов, и для их освоения требуются более глубокие знания в области менеджмента. [9, c. 94].

Вместе с тем, подобное разделение инструментальных средств становится с каждым годом все более условным, поскольку даже наиболее простые из них обеспечивают вполне приемлемое качество планирования, обеспечивают планирование проектов, состоящих из десятков тысяч задач и использующих тысячи видов ресурсов, поддерживают групповую работу над проектами и многое другое. К достаточно устоявшемуся, «базовому» набору функций, реализованному на сегодняшний день практически во всех системах, можно отнести следующие:

. описание логической структуры проекта с указанием иерархии работ;

. расчет критического пути, а также вычисление резервов времени для некритических работ;

. возможность указания произвольного типа связи между работами, в отличие от «классического» варианта метода PERT-CPM, в котором предусмотрен только один тип связи - «конец-начало»;

. возможность указания для каждой некритической работы способа ее планирования («как можно раньше», «как можно позже», «фиксированная дата начала», «фиксированная дата окончания»);

. поддержка расписания из неограниченного количества работ с учетом их приоритетов;

. возможность выбора минимальной единицы измерения длительности работ и проекта в целом (в минутах, в часах, днях и т.д.);

. работа с календарем (указание рабочего и нерабочего времени, выходных и праздничных дней) с возможностью индивидуальной настройки календаря для каждого ресурса;

. назначение ресурсов работам с указанием типа ресурса (возобновляемый или невозобновляемый);

. выявление конфликтующих и перегруженных ресурсов, возможность их «выравнивания» (устранения перегруженности);

. фиксация исходного (базового) плана проекта и регистрация фактического текущего состояния работ и проекта в целом;

. применение графических средств представления структуры проекта (как в виде диаграммы Ганта, так и в виде сетевого графика, который в некоторых пакетах называется PERT-диаграммой);

. возможность импорта/экспорта данных по проекту в другие системы управления проектами, а также поддержка стандартов SQL и ODBC;

. возможность создания различных отчетов по проекту, необходимых для планирования и контроля.

Рассмотрим подробно несколько примеров таких систем:

1.Программный комплекс Microsoft Project

Программный комплекс Microsoft Project является наиболее популярным в среде менеджеров малых и средних проектов. Это объясняется достаточно широкими возможностями пакета, удобным, и, что немаловажно, хорошо знакомым большинству пользователей графическим интерфейсом.Project (MS Project) позволяет эффективно управлять проектом на различных этапах его реализации. Он дает возможность выполнить структуризацию проекта путем разделения его на этапы, задачи и подзадачи, выявить критические задачи (задачи, длительность которых существенно влияет на длительность реализации всего проекта), получить сетевой график и календарный план проекта, осуществить назначение ресурсов задачам проекта, эффективно контролировать загрузку ресурсов. Пакет поддерживает все необходимые типы связей между задачами: FS (Finish-Start), SS (Start-Start), FF (Finish-Finish).

Семейство продуктов Microsoft Office Project состоит из следующих продуктов:Office Project Standard - настольное приложение для индивидуального планирования и управления проектами. Использует дружественный интерфейс Microsoft Office, что обеспечивает ускорение освоения программы менеджерами проектов.Office Project Professional - настольное приложение, исполняющее роль клиента в связке с сервером Microsoft Project Server. Содержит всю функциональность Microsoft Project Standard и в связке с Microsoft Project Server обеспечивает пользователей средствами корпоративного управления проектами. Помимо традиционных средств планирования, менеджерам проектов предоставляются централизованные настройки, единый пул ресурсов и возможность автоматически согласовывать свои планы с другими проектами. [10, c. 254]. Менеджерам портфеля проектов предоставляется инструмент для эффективного управления ресурсами предприятия.

Microsoft Office Project Server - серверный продукт, основа корпоративного решения Enterprise Project Management. Включает в себя централизованную базу данных и службы, исполняющее роль сервера в связке с клиентом Microsoft Project Professional. Microsoft Project Server обеспечивает централизованные настройки для пользователей, единый пул ресурсов, Веб-интерфейс для совместной работы участников проекта, а также содержит средства OLAP-анализа и моделирования портфеля проектов.

Microsoft Office Project Web Access - веб-интерфейс Microsoft Project, позволяющий не только менеджерам, но и остальным участникам проектов получить доступ к проектной информации через Веб-браузер Internet Explorer. Является составной частью Microsoft Project Server. В сочетании с Windows SharePoint Services обеспечивает управление документами, ресурсами и рисками проектов. Для использования Microsoft Project Web Access пользователи должны обладать клиентской лицензией на доступ к Microsoft Project Server.

Все продукты линейки Microsoft Office Project 2003 полностью русифицированы.

Поддерживая современные информационные технологии, пакет MS Project позволяет импортировать данные из файлов, созданных в среде других приложений, например MS Excel и MS Access. Неоспоримым достоинством пакета является наличие встроенного языка программирования Visual Basic For Application, что обеспечивает возможность разработки программных компонент, обеспечивающих решение специфических задач.Project позволяет составить список задач проекта, разделить задачи на подзадачи, задать последовательность их выполнения, определить стоимость выполнения всего проекта, исходя из стоимости ресурсов. Кроме того, что особенно важно для малого предпринимательства, назначить ресурсы (работников и оборудование) конкретным задачам проекта.

Особо следует обратить внимание на то, что если менеджер проекта одновременно реализуется несколько однотипных проектов, то объединив несколько проектов в один, можно выполнять распределение ресурсов между проектами. [11, c. 154].

. Программный пакет Spider project

На рынке программных средств управления проектами в России наряду с известными зарубежными пакетами присутствует и Российский пакет Spider Project. В России этот пакет достаточно популярен и используется крупнейшими корпорациями для управления самыми разнообразными проектами. У пакета Spider Project много отличий от своих зарубежных аналогов, которые делают его привлекательным для Российских потребителей. Это, прежде всего, связано с принятой в России технологией управления проектами, которая отличается от той, которая лежит в основе зарубежных пакетов. Так, например, в России практически во всех областях приложения управления проектами планируются физические объемы работ, а длительность рассчитывается исходя из производительностей назначенных ресурсов, а не является исходной информацией.

Пакет Spider Project разработан компанией Spider Management Technologies - одной из ведущих в России консалтинговых компаний по управлению проектами.

Из основных особенностей этого пакета следует отметить:

-       возможность составления расписания проекта, основываясь на физических объемах работ и производительности ресурсов;

-       оптимизация использования ресурсов проекта и широкие возможности моделирования их работы;

-       включение в модель проекта поставок и финансирования и расчет расписания с их учетом;

-       расчет и использование ресурсного критического пути и ресурсных резервов;

-       интенсивное использование в проектах всевозможных баз данных;

-       использование множественных иерархических структур работ и ресурсов проекта;

-       оригинальные подходы к моделированию рисков;

-       дополнительные формы графических отчетов.

Главным недостатком, сдерживающим продвижение Spider Project на рынке программных продуктов управления проектами, является отсутствие возможности территориально разнесенного управления корпоративными проектам

. Программный комплекс Primavera

Primavera Systems, Inc. - мировой лидер по разработке программного обеспечения для управления портфелями проектов, программами, проектами и ресурсами. Разработан большой спектр программного обеспечения для процессов управления проектами, который включает: Primavera Project Planner Professional (P4); MyPrimavera; Primavera Con59 tractor; PMSystems for Construction; PMExchange; Primavera Expedition; Типовое решение по ведению договоров; Primavera Charts и Primavera Chart Design; Primavera Project Planner (P3); PrimeContract; SureTrak Project Manager; Webster for Primavera; MonteCarlo™ for Primavera; Ra; Primaplan Project Investigator; Primaplan Flint; A0; PMAgent; Linea Time Chainage Diagram и др.

Решение компании Primavera Systems, Inc. ориентировано на создание единой корпоративной системы управления проектами. Данное программное обеспечение разработано с учетом отраслевых стандартов управления и может быть адаптировано в соответствии со специфическими потребностями каждой конкретной организации.

Применение ПО Primavera позволяет:

-       всем уровням управления проектами компании единовременно пользоваться одной и той же информацией с необходимой степенью агрегации с учетом прав доступа каждого пользователя;

-       координировать работу всех участников проектов (проектировщиков, поставщиков, строителей, монтажников, наладчиков и т.д.);

-       автоматически рассчитывать критический путь, определять загрузку ресурсов и помогать устранять ресурсные конфликты как внутри одного проекта, так и с учетом всех проектов, ведущихся компанией;

-       сокращать время, затрачиваемое на планирование и перепланирование, в том числе благодаря использованию базы знаний компании, в которой сохраняются ранее выполненные типовые проекты и фрагменты проектов. На основании них ИСУП позволяет проводить планирование новых проектов, набирая состав работ из готовых «блоков». Подобная методика не только сокращает время, затрачиваемое на планирование, но и уменьшает количество ошибок планирования;

-       автоматизировано вводить фактические данные в графики работ проекта, что дает возможность оценивать реальное состояние дел на площадке и сравнивать его с отчетностью подрядчиков (например, актами выполненных работ, формами КС-2, КС-3);

-       прогнозировать развитие проектов, проводить анализ «Что-Если» и выбирать вариант проекта, наиболее соответствующий целям компании.

Основным продуктом в составе Primavera Enterprise является Primavera Project Management (Primavera Project Planner Professoinal, P4) - средство календарно-сетевого планирования работ, составления бюджета, управления сроками, укрупненного анализа и контроля хода выполнения и координация работ одного, нескольких или всех проектов организации. Поддерживается организация проектов в портфели, ситуационное моделирование «Что-Если», управление рисками и показателями и т.д.Expedition - продукт, функционал которого связан с контролем договорных обязательств в ходе выполнения проекта, согласования рабочей документации и ее изменений, учет всей входящей и выходящей корреспонденции, учет изменений в контрактах, всесторонний контроль за проектной информацией.Contractor - решение для строительного комплекса.Reporter - web-приложение, которое позволяет выдать исполнителям задание на период времени и получить отчет об их выполнении. Progress Reporter может использоваться как табель учета рабочего времени.for Primavera обеспечивает доступ к проектной информации используя Интернет. Может работать как с Р3, Р4, так и c SureTrak.Project Manager® - SureTrak ориентирован на контроль выполнения небольших проектов или/и фрагментов крупных проектов.

Функционирует как самостоятельно, так и совместно с Р3 в корпоративной системе управления проектами.™ for P3e® - программный продукт, расширяющий возможности Р3 по управлению рисками.

Primaplan Project Investigator - программный продукт, позволяющий сравнивать две версии проекта или группы проектов, просматривая при этом все поля данных, существующих в проекте, и при необходимости объединять отдельные данные в единый проект.

Пользователи могут создавать и редактировать более 90 различных вариантов графиков, используя большой выбор шаблонов диаграмм, гистограмм, круговых и пузырьковых диаграмм.Integration API - Информационная система управления проектами (ИСУП) является ядром Корпоративной информационной системы (КИС) проектно-ориентированной компании. Поэтому многие компании решают задачи интеграции ИСУП со смежными системами, такими как ERP/MRP, EAM, CAD/CAM, PDM/PLM, GIS, CRM и другими. Для интеграции Primavera со сторонними приложениями предназначен программный модуль Primavera Integration API. Этот модуль разработан с использованием современных java-технологий, полностью поддерживает бизнес-логику Primavera и позволяет обеспечивать доступ к любым ее данным с учетом прав доступа. Обмен данными с другими приложениями производится с помощью формата XML.

Функциональность продуктов Primavera существенно расширяют модули и программные комплексы сторонних организаций. Наиболее распространенными являются продукты компании PMSystem и Инфострой.

Основной «интеллектуальной» силой Primavera выступает многовариантный анализ, возможность с использованием глобальной замены перенастраивать весь проект, возможность создавать любые отчетные формы по любым выборкам. Кроме того, наличие модуля Primavera Expedition Express, работающего на платформе Palm (наладонный компьютер) позволяет в удаленном режиме вводить информацию о текущем положении дел в проекте.

Особенную функцию несет модуль Primavera Architect - база знаний по управлению проектами, хранилище типовых фрагментов графиков, собственных наработок и отраслевых стандартов, называемых методологиями, создаваемых с использованием Primavera Methodology Manager.

Выводы по 1 главе

В первой главе были рассмотрены основные положения систем управления проектами. Они обеспечивают поддержку временного, ресурсного и стоимостного планирования и контроля на основе алгоритмов сетевого планирования, метода критического пути, метода освоенного объема и т.п.

Под проектом понимают совокупность взаимосвязанных задач, направленных на достижение определенного результата. Каждый проект обладает специфические чертами: направленность на достижение целей; координированное выполнение взаимосвязанных действий; уникальность; ограниченность ресурсов; масштаб; динамичность. [15, c. 91].

Управление проектами - интегрированная система организации, планирования и управления выполнением задач проекта и проекта в целом. Это некоторая совокупность определенных этапов : контроль, сравнение, анализ и принятие решения для внесения изменений в ход выполнения проекта.

Также в ходе работы были рассмотрены понятия цели и стратегии проекта.

Цель проекта - желаемый результат деятельности, достигаемый в переделах установленного интервала времени. Цели проекта должны быть четко определены, иметь ясный смысл; результаты измеримы, а заданные ограничения и требования.

Стратегия проекта - центральное звено в выработке направлений действий с целью получения обозначенных миссией и системой целей результатов проекта. Это комплекс целей и принципов, позволяющих распределить необходимые ресурсы на период времени, представляющий собой горизонт планирования проекта.

В заключительной части данной главы были проанализированы наиболее популярные на российском рынке системы автоматизированного управления проектами: Primavera Systems, компания Microsoft со своим пакетом Project 2003 и отечественный разработчик Spider Project Management Technologies, продукт которого отражает локальную специфику. Подводя итоги анализа можно сказать, что рассмотренные программные продукты обладают широкими возможностями, но Microsoft Project де-факто стал на рынке стандартом для управления проектами как средство индивидуальной работы менеджеров проектов. По оценке специалистов, для корпоративных клиентов Microsoft Project Professional представляет собой лучшее решение для проектов, охватывающих несколько департаментов, в которых ключевые требования - это автоматическая разработка графиков работ, прогнозирование их хода и отслеживание выполнения.

Глава 2. Структурное планирование подготовки и открытия торгового зала ОАО «Плюс капитал»»

.1 Построение сетевой модели

Для описания, анализа и оптимизации проектов наиболее подходящими являются сетевые модели, представляющие из себя разновидность ориентированных графов.

Сетевая модель - это графическое представление взаимосвязей и порядка выполнения операций проекта.

Сетевой график состоит из элементов двух видов - работ и событий - и позволяет в наглядной форме представить структуру проекта с точки зрения входящих в него работ.

Другими словами, сетевой график отображает взаимосвязи между работами внутри проекта и порядок их выполнения.

Сформулируем основные правила построения сетевого графика:

1.      Каждая операция в сети должна быть представлена одной и только одной дугой. Если в процессе построения модели принято решение детализировать какую-либо операцию, т.е. разбить ее на составные части, то старая операция заменяется несколькими новыми, что приводит к появлению в графе нескольких дуг вместо одной.

2.      Ни одна пара операций не должна определяться одинаковыми начальной и конечной вершинами (кратные дуги в графе запрещены). Для выполнения этого правила необходимо ввести фиктивную операцию. Использование фиктивных операций, имеющих нулевую длительность, позволяет правильно отображать требуемую последовательность операций.

.        При включении каждой операции в модель для обеспечения правильного порядка следования необходимо дать ответы на следующие вопросы:

-       какие операции необходимо завершить непосредственно перед началом рассматриваемой операции;

-       какие операции должны непосредственно следовать заданно операцией;

-       какие операции могут выполняться одновременно с рассматриваемой.

4.      Номер каждого последующего события должен быть больше предыдущего события. Это позволяет отслеживать соблюдение логической последовательности выполнения работ.

5.      В сетевой модели одно исходное событие и одно завершающее.

Построим сетевую модель для каждого блока проекта. Проект состоит из пяти блоков.

В Таблице 2.1 приведены данные для каждого блока работ. В таблице поочерёдно указаны: номер работы, название работ, их длительность и количество исполнителей, необходимых для реализации данного вида работ.

Упорядочение работ происходит по графику. Проект разбит на 5 блоков работ, которые имеют следующие названия:

1)    инициация проекта;

2)      планирование проекта;

)        выполнение проекта;

)        внедрение проекта;

)        завершение.

Любой из блоков включает в себя определенные работы. Каждый последующий блок работ начинается после завершения предыдущего.

Таблица 2.1

№ работы

Название работ

Описание работ

Длительность

Количество исполнителей

1

2

3

4

5

Работы 1 блока

1

A1

Определение главной цели проекта

1

2

2

B1

Исследование рынка

4

3

3

C1

Принятие решения о целесообразности проекта

1

2

4

D1

Решение юридических вопросов

2

2

5

E1

Составление и принятие устава проекта

2

2

6

F1

Назначение менеджера проекта

1

1

Работы 2 блока

7

A2

Создание плана подготовки торгового зала

2

2

8

B2

Планирование бюджета

3

2

9

C2

Поиск строительно-ремонтных компаний

5

2

10

D2

Заключение договора на ремонт и оформление помещения

1

1

11

E2

Выбор поставщиков мебели

4

2

12

F2

Заключение договора о поставках

1

1

13

G2

Поиск рекламного агентства

1

2

14

H2

Заключение договора о рекламе

1

1

15

I2

Найм управляющего персонала

7

2

Работы 3 блока

16

A3

Установка подвесного потолка

1

4

17

B3

Замена напольного покрытия

4

4

18

C3

Замена стеновых панелей

3

4

19

D3

Замена электросетей и комуникаций

5

4

20

E3

Штукатурные работы

3

4

21

F3

Покраска стен

5

4

22

G3

Установка и подключение оборудования

3

4

23

H3

Расстановка мебели

2

5

24

I3

Оплата ремонта

1

1

25

J3

Создание системы внутреннего документооборота

3

2

Работы 4 блокаK3 Найм персонала 5+++++++++++++++++++++66666666666666445ееееееееееее 2

26

A4

Найм персонала

5

2

27

Обучение персонала

5

1

28

C4

Установка цен на услуги

2

2

29

D4

Привоз первой партии товара

2

2

Работы 5 блока

30

A5

Расчёт с поставщиками

1

1

31

B5

Расчёт с рекламной фирмой

1

1

32

C5

Подготовка зала мерчендайзерами

3

3

33

D5

Открытие зала

1

2


Упорядочивание работ 1 блока будет иметь вид :

A1 - исходная работа;

Работа B1 следует за A1;

Работа C1 выполняется после завершения В1;

Работа D1 и Е1 следуют одновременно, но после завершения работы С1;

Работа F1 следует после завершения работы Е1;

После окончания работ первого блока начинается второй блок работ:

Работа А2 - исходная работа;

Работа B2 начинается после завершения работы А2;

Работы С2 и E2 начинаются одновременно, но не раньше чем закончится работа, B2

Работа D2 может начаться только после завершения работы С2;

Работа F2 следует за Е2;

Работы G2 и I2 производятся параллельно но только после завершения работ F2 и D2 ;

Работа H2 производится после завершения работы G2;

Третий блок работ начинается после окончания второго блока работ:

А3 - исходная работа;

Работы В3 совершается после завершения А3 ;

Работы С3 и D3 начинается одновременно после завершения работы В3;

Работа Е3 выполняется после окончания работ С3 и D3;

Работа F3 может совершаться после окончания работы Е3;

Работы G3,H3,I3 и J3 начинаются одновременно после завершения работы F3;

После завершения последней работы третьего блока работ начинаются работы четвёртого блока:

А4 - исходная работа;

Работы В4 и С4 начинаются одновременно после окончания работы А4;

Работа D4 выполняется после завершения работ В4 и С4

Пятый блок работ начинается после окончания четвёртого блока работ:

А5 - исходная работа ,

Работы В5 и С5 выполняются после завершения А5 ;

Работа D5 должна начаться после завершения работы С5.

После рассмотрения блоков работ можно начинать непосредственное построение сетевой модели с определением критического пути работ.

Критический путь - это непрерывная последовательность работ и событий от начального до конечного события, требующая наибольшего времени для ее выполнения. Работы критического пути не имеют резервов времени. [12, c. 54].Знание критического пути позволяет сосредоточить на соответствующих работах дополнительные силы и средства и, сократив этот путь, ускорить достижение общей цели всего комплекса мероприятий

Критический путь может быть не единственным в сетевой модели. Критической называют операцию, входящую в хотя бы один критический путь. Остальные операции называют не критическими.

В основе метода лежит определение наиболее длительной последовательности задач от начала проекта до его окончания с учетом их взаимосвязи. Задачи лежащие на критическом пути (критические задачи) имеют нулевой резерв времени выполнения и в случае изменения их

длительности изменяются сроки всего проекта. В связи с этим при выполнении проекта критические задачи требуют более тщательного контроля, в частности, своевременного выявления проблем и рисков, влияющих на сроки их выполнения и, следовательно, на сроки выполнения проекта в целом. В процессе выполнения проекта критический путь проекта может меняться, так как при изменении длительности задач некоторые из них могут оказаться на критическом пути.

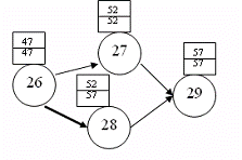
Рисунок 2.3 - Сетевая модель третьего блока

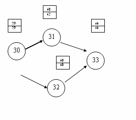
Рисунок 2.4 - Сетевая модель четвёртого блока

Рисунок 2.5 - Сетевая модель пятого блока

Сразу после построения сетевой модели рассчитываются необходимые для дальнейшей работы показатели (Таблица 2.2) по приведённым ниже формулам.

Для начала определяется, что i, j - номера предшествующего и последующего событий соответственно;

1.      , где  - позднее начало работ;  - позднее окончание работ;  - длительность работы.

.        , где  - ранний срок окончания работ;  - ранее начало работ;  - длительность работы.

.        , где  - полный резерв времени работы;  - ранний срок окончания работ;  - позднее окончание работ;  - длительность работы.

.        , где  - свободный резерв времени работы;  - общая длительность работ (с резервом времени);  - раннее начало работ;  - длительность работы (без резерва времени).

Таблица 2.1 Показатели сетевой модели

Операция (i,j)

Dij

Ранее

Позднее

TFij

FFij

ESj



Начало ESi

ОкончаниеESij

НачалоLCij

ОкончаниеLCj




1

2

3

4

5

6

7

8

9

Первый блок работ

1,2

1

0

1

0

1

0

0

1

2,3

4

1

5

1

5

0

0

5

3,4

1

5

6

5

6

0

0

6

3,5

2

6

8

6

8

0

0

8

4,6

2

6

8

6

8

0

0

8

5,6

1

8

9

8

9

0

0

9

Второй блок работ

7,8

2

9

11

9

11

0

0

11

8,9

3

11

14

11

14

0

0

14

8,11

4

14

18

15

19

1

1

19

9,10

5

14

19

14

19

0

0

19

10,13

1

19

20

19

20

0

0

20

11,12

1

18

19

19

20

1

1

20

12,13

1

19

20

24

25

5

5

25

12,15

7

19

26

19

26

0

0

26

13,14

1

20

21

25

26

1

1

26

Третий блок работ

16,17

1

26

27

26

27

0

0

27

17,18

4

27

31

27

31

0

0

31

17,19

5

31

36

31

36

0

0

36

18,20

3

31

34

33

36

2

2

36

19,20

3

36

39

36

39

0

0

39

20,21

5

39

44

39

44

0

0

44

21,22

3

44

47

44

47

0

0

47

21,23

2

44

46

45

47

1

1

47

21,24

1

44

45

46

47

2

2

47

21,25

3

44

47

44

47

0

0

47

Четвертый блок работ

26,27

5

47

52

47

52

0

0

52

26,28

2

52

54

55

57

3

3

57

27,29

5

57

52

57

0

0

57

28,29

2

57

59

57

59

0

0

59

Пятый блок работ

30,31

1

59

60

59

60

0

0

60

30,32

3

60

63

60

63

0

0

63

31,33

1

60

61

62

63

2

2

63

32,33

1

63

64

63

64

0

0

64


2.2       Построение календарного плана и оптимизация сетевой модели

Календарное планирование в управлении проектами - это ключевой и важный процесс, результатом которого является утвержденный руководством предприятия календарный план проекта. Иногда его называют календарным графиком или планом управления проектом. Цель календарного планирования - получить точное и полное расписание проекта с учетом работ, их длительностей и необходимых ресурсов [4, с.112].

Календарный план строится на основе Диаграммы Ганта, которая представляет собой линейный график, задающий сроки начала и окончания взаимосвязанных работ, с указанием ресурсов, используемых для их выполнения. На диаграмме Ганта линии, обозначающие работы проекта в отличие от дуг сетевой модели отражают относительную продолжительность работ. [13, c. 26].Основное достоинство диаграммы Ганта - наглядное представление работ, выполняемых одновременно. Изначально диаграмма Ганта не приспособлена к проведению количественного анализа рассматриваемых процессов, поэтому эта форма в сетевом планировании используется в модифицированном виде. Таким образом, календарный план представляет собой модифицированный вариант диаграммы Ганта. В качестве исходных данных для его построения используются:

-   структура работ проекта, полученная на основе сетевой модели;

-       длительность работ;

-       расчетные показатели (ранний срок начала, поздний срок окончания);

-       количество используемых ресурсов;

-       распределение ресурсов между работами.

На Рисунке 2.6 представлен календарный график первого блока работ., Рисунок 2.7 отражает календарный график второго блока работ. На Рисунке 2.8 представлен календарный план третьего блока работ. Рисунок 2.9 отражает календарный план четвертого блока. Рисунок 2.10 отражает календарный план пятого заключительного блока работ.

Рисунок 2.6 - Диаграмма Ганта первого блока работ

Рисунок 2.7 - Диаграмма Ганта второго блока работ

 








Рисунок 2.8 - Диаграмма Ганта третьего блока работ





Рисунок 2.9 - Диаграмма Ганта четвёртого блока работ






Рисунок 2.10 - Диаграмма Ганта пятого блока работ

 

Исходя из данных диаграммы Ганта, мы можем построить графики нагрузки рабочих. На каждом отрезке - виде работ - задействовано n количество рабочих. Подсчитывая количество рабочих по дням (соответственно с учётом видов и количества работ, производимых в данный период времени), можно построить график, который будет показывать, сколько будет задействовано единиц рабочей силы на каждый день данного проекта.

На рисунке 2.11представлен график нагрузки рабочих для первого блока работ.

Рисунок 2.11 - График нагрузки рабочих первого блока работ

На рисунке 2.12 представлен график нагрузки рабочих для второго блока работ.

Рисунок 2.12 - График нагрузки рабочих второго блока работ

На рисунке 2.13 представлен график нагрузки рабочих для второго блока работ.

Рисунок 2.13 - График нагрузки рабочих третьего блока работ

 

На рисунках 2.14 и 2.15 представлены графики нагрузки рабочих для четвёртого и пятого блоков работ.

Рисунок 2.14 - График нагрузки рабочих четвертого блока работ

Рисунок 2.15 - График нагрузки рабочих пятого блока работ

Роль полных и свободных резервов времени при выборе конкретных календарных сроков выполнения не критических операций объясняются следующими правилами:

1.      Если свободный резерв времени равен полному, то календарные сроки не критической операции можно выбирать в пределах между ее ранним началом и поздним окончанием.

2.      Если свободный резерв времени меньше полного, то начало не критической операции можно сдвигать вправо от раннего начала не более чем на величину свободного резерва времени, не влияя на выбор календарных сроков непосредственно следующих .Оптимизация нагрузки показана на рисунках 2.16, 2.17, 2.18, 2.19

Рисунок 2.16 - Оптимизация работ 2 блока

Рисунок 2.18 Оптимизация работ 3 блока


Рисунок 2.19 Оптимизация работ 5 блока

Выводы по 2 главе

Во второй главе было произведено структурное планирование проекта

« Подготовка и открытие торгового зала ОАО « Плюс Капитал»».

В ходе работы была построена сетевая модель - графическое представление взаимосвязей и порядка выполнения операций проекта, для этого были заданны исходные данные по проекту, в которых указанно буквенное обозначение задач, их длительность и количество исполнителей. Все данные распределены между пятью блоками: 1 блок - инициация проекта, 2 блок - планирование проекта, 3 блок - выполнение проекта, 4 блок - внедрение проекта, 5 блок - завершение проекта. Каждый последующий блок работ начинается после завершения предыдущего.

Данная сетевая модель представляет собой график также разбитый на 5 частей для удобства восприятия. На графике обозначены 33 работы, из которых состоит разрабатываемый проект, из них: в 1 блоке - 6 задач; во 2 блоке - 9 задач; в 3 блоке - 10 задач, в 4 и 5 блоках по 4 задачи.

Следующим этапом были расчеты параметров сетевой модели: ранний срок начала, ранний срок окончания, поздний срок начала, поздний срок окончания, полный резерв времени, свободный резерв времени. Из полученных данных была сформирована таблица показателей сетевой модели.

Также был построен календарный план работ. Он основывается на диаграмме Ганта, которая представляет собой линейный график, задающий сроки начала и окончания взаимосвязанных работ, с указанием ресурсов, используемых для их выполнения.

Далее были построены графики нагрузки рабочих путём подсчёта количества рабочих по дням соответственно с учётом видов и количества работ, производимых в данный период времен. Данные графики показывают, сколько будет задействовано единиц рабочей силы на каждый день данного проекта.Конечным этапом была проведена оптимизация работ.

Глава 3. Разработка и реализация проекта в среде MS PROJECT

 

3.1    Подготовка программы к работе

Программный комплекс Microsoft Project, входящий в состав пакета прикладных программ Microsoft Office, позволяет эффективно управлять проектом на различных этапах его разработки и внедрения. Данная курсовая работа была реализована с помощь версии MS Project 2003.Project 2003 позволяет эффективно управлять проектом на различных этапах его реализации. Он дает возможность выполнить структуризацию проекта путем разделения его на этапы, задачи и подзадачи, выявить критические задачи (задачи, длительность которых существенно влияет на длительность реализации всего проекта), получить сетевой график и календарный план проекта, осуществить назначение ресурсов задачам проекта, эффективно контролировать загрузку ресурсов. Пакет поддерживает все необходимые типы связей между задачами: FS (Finish-Start), SS (Start-Start), FF (Finish-Finish)

Создание нового проекта начинается с выбора шаблона. Шаблон поставляется с программой, либо можно выбрать шаблон, созданный ранее пользователем. Далее необходимо указать основную информацию о проекте в специальном окне даты начала и окончания проекта, а также способ привязки проекта к этим датам. [13, c. 84].Пользователем может быть установлена привязка к дате начала проекта. В этом случае MS Project выставляет начало работ настолько рано, насколько это возможно, а сроки окончания работ и проекта вычисляются автоматически. Возможен и обратный вариант - в этом случае фиксированным значением будет дата окончания проекта, все работы по умолчанию начинаться настолько поздно, насколько это возможно при заданной дате завершения проекта, а дата начала проекта будет определена автоматически.

MS Project содержит множество встроенных режимов отображения проектной информации.

Виды отображения проекта в MS Project:

·        Диаграмма Ганта;

·        Диаграмма Ганта с отслеживанием - это представление вида обычной диаграммы Ганта, различие заключается только в том, что на ней отслеживается ход выполнения работ;

·        Использование задач - это представление типа таблицы, в которой отслеживается трудозатраты на каждый день проекта;

·        Календарь - название говорит само за себя - представление проекта в виде календаря с большими ячейками для наглядности просмотра;

·        Сетевой график - это представление проекта в форме сетевого графика.

Форма представления информации формируются на основании содержимого базы данных Microsoft Project . Выбор того или иного представления ничего не изменяет в содержимом базы данных - просто используются те или иные средства его представления. Любое изменение внесенное в одном представлении, автоматически отображается в других. Ни одна из используемых форм представления не в состоянии отобразить всю информацию о проекте - все формы дополняют друг друга.

Методику использования пакета Microsoft Project для управления инновационным проектом на этапе подготовки к реализации, целью которой является получение сетевого графика и календарного плана проекта, представлятся в виде последовательности следующих шагов:

-       создание календаря проекта (т.е. учет нерабочих и праздничных дней);

-       составление списка задач, которые надо выполнить для успешной реализации проекта;

-       определение связей между задачами;

-       выявление задач, длительность реализации которых существенно влияет на длительность реализации всего проекта, и возможно, изменение порядка выполнения задач проекта;

-       формирование списка доступных для реализации проекта ресурсов;

-       распределение ресурсов (назначение ресурсов конкретным задачам проекта).

Рисунок 3.1 - Алгоритм использования MS Project на этапе подготовки проекта к реализации

Подробный алгоритм создания нашего проекта имеет вид :

.Определение проекта. На данном этапе задаётся предполагаемая дату начала проекта в специальном окне.(Рисунок 3.2)

Рисунок 3.2 - Ввод даты начала проекта

.Определение рабочего времени проекта. Для того чтобы задать общие рабочие часы для проекта мы во-первых выбираем шаблон календаря , содержащийся в MS Project.

Рисунок 3.3 - Шаблон календаря

Во-вторых, определяем рабочую неделю (Рисунок 3.4)

Рисунок 3.4 - Определение рабочей недели

В-третьих, задаём праздники и выходные (Рисунок 3.5)

Рисунок 3.5 - Задание праздников и выходных

В-четвёртых определяем количество единиц времени (Рисунок 3.6)

Рисунок 3.6 - Определение количества единиц времени

В итоге Рабочее время для проекта указано, благодаря чему создан базовый календарь для всех ресурсов.

3.2 Разработка базового проекта в среде MS Project

После того как задана дата начала и определенно рабочее время проекта начинается полноценная разработка проекта состоящая из трёх стадий:

1. Ввод задач проекта. Мы составляем список задач, которые надо выполнить для успешной реализации проекта.

Каждая задача (работа) определяется очень большим числом показателей: название, длительность, названия используемых ресурсов, предшествующие задачи, связи.

Все эти данные мы вводим при помощи вызова диалога «Сведения о задаче»( Рисунок 3.7)

Рисунок 3.7 - Сведения о задаче

Итогом заполнения Вкладок «Общие» и « Предшественники» будет установка связей между работами.

Фрагмент взаимосвязей задач проекта представлен на Рисунке 3.8

Рисунок 3.8 - Взаимосвязи задач проекта

2.Формирование списка ресурсов. Для этого выполняются следующие действия Вид->Лист ресурсов. В окно Лист ресурсов заносятся все необходимые ресурсы (Рисунок 3.9)

Рисунок 3.9 - Лист ресурсов

. Распределение ресурсов. Переходим на диаграмму Ганта. В таблице, с которой производится работа, необходимо пометить задачу и на панели инструментов нажать кнопку «Назначить ресурсы». В открывшемся окне Назначение ресурсов в соответствии с информацией таблицы задания выделить требуемый ресурс и в столбце Единицы выбрать 100%. Далее нажать последовательно кнопки Назначить и далее Закрыть. После назначения очередного ресурса (с указанием его стоимости и объема) выполняется автоматический пересчет стоимости проекта, благодаря чему очень легко получить сравнительную оценку различных вариантов назначений. (Рисунок 3.10)

Рисунок 3.10 - Распределение ресурсов проекта

В режиме диаграммы Ганта окно проекта делится на три области (Рисунок 3.11). Слева расположена панель представлений, которая позволяет изменять способы отображения информации. Справа от палитры располагается таблица с параметрами работ: порядковым номером, отметкой о специальных свойствах, названием, длительностью, временем начала и окончания, порядковыми номерами работ-предшественниц, используемыми ресурсами.

Рисунок 3.11 - Диаграмма Ганта

На рисунке 3.12 представлена диаграмма Ганта с отслеживанием.

Рисунок 3.12- Диаграмма Ганта с отслеживанием

3.3 Сетевой график работ проекта «Подготовка и открытие торгового зала ОАО «Плюс Капитал»»

На сетевом графике отдельными блоками показаны все задачи, составляющие проект в целом. Красным цветом обозначены задачи, входящие в критический путь проекта, а синим - не входящие в него работы. Все задачи объединены связями. [14, c. 54].

В представлении «Сетевой график» можно быстро создавать задачи в формате, удобном для визуального восприятия. Название и длительность каждой работы можно ввести при ее создании или сделать это позже сразу для всех. На рисунке 3.13 представлен фрагмент разработанного проекта с помощью сетевого графика.

Рисунок 3.13 - Представление фрагмента проекта с помощью сетевого графика

С помощью MS Project можно проследить использование задач проекта, трудозатраты по каждой из задач, их отдельную и совместную длительность, использование ресурсов проекта и т.д. Все эти таблицы мы можем посмотреть при помощи пунктов меню «Вид» панели инструментов «Стандартная».(Рисунок 3.14, Рисунок 3.15,)

Рисунок 3.14 - Использование задач проекта

Рисунок 3.15 - Затраты

Рисунок 3.16 - Трудозатраты

Ещё одна функция которую поддерживает MS Project - сохранение базового плана.(Сервис - Отслеживание - Сохранить базовый план) Благодаря ей мы чётко видим расхождения фактических цифр с запланированными, будь то даты или затраты, связанные с работами. (Рисунок 3.16)

Рисунок 3.17 - Соотношение с базовым планом проекта

Кроме этого программа MS Project позволяет делать отчеты. Создание отчета ведется при помощи мастера представлений и отчетов. На Рисунке 3.18 представлен отчет «Сводка по проекту».

Рисунок 3.18 - Отчет «Сводка по проекту»

Выводы по 3 главе

В третьей главе был рассмотрен процесс разработки и реализации подготовки и открытия торгового зала ОАО « Плюс Капитал»» с помощью программы Microsoft Office Project версии 2003 года. Для управления инновационным проектом на этапе подготовки к реализации, целью которой является получение сетевого графика и календарного плана проекта, была выполнена следующая последовательность шагов:

1.создание календаря проекта;

.составление списка задач, которые надо выполнить для успешной реализации проекта;

.определение связей между задачами;

.выявление задач, длительность реализации которых существенно влияет на длительность реализации всего проекта, и возможно, изменение порядка выполнения задач проекта;

.формирование списка доступных для реализации проекта ресурсов;

.распределение ресурсов (назначение ресурсов конкретным задачам проекта).

После выполнения данного алгоритма были подробно рассмотрены такие виды отображения проекта в MS Project, как диаграмма Ганта со всеми задачами, составляющими проект с их основными показателями (наименование, длительность, сроки исполнения, предшественники и ресурсы), диаграмма Ганта с отслеживанием и сетевой график представления работ проекта. Так же были рассмотрены таблицы : Затраты, трудозатраты, отклонения и отслеживания.

Последним шагом был создан отчёт «Сводка по проекту».

Пакет MS Project 2003 обычно позиционируется ,как непрофессиональный инструмент, ориентированный на управление проектами в малых и средних предприятиях.Данное приложение предназначено для руководителей проектов, которым необходима настольная система для независимого управления проектами, однако не требуется строгая координация с другими руководителями проектов или возможность управления ресурсами с помощью центрального хранилища данных.

Заключение

Целью данной курсовой работы являлось создание проекта подготовки и открытия торгового зала ОАО « Плюс Капитал».

Для выполнения поставленной цели были решены следующие основные задачи:

1.      изучить теоретические основы управления проектами;

2.      структурировать план проекта;

.        разработать, реализовать и проконтролировать выполнение проекта в MS Project;

В ходе решения первой задачи были рассмотрены:

·        основные понятия и методы управления проектами (1.1)

·        цель и стратегия управления проектами (1.2)

·        системы управления проектами, представленные на российском рынке (1.3)

В параграфе 1.1 даны определения для таких основных понятий ,как: проект, управление проектом, организация и планирование проекта, основные характеристики проекта, масштаб, ресурсы, участники, менеджер проекта.

В параграфе 1.2 рассмотрены понятия: цель проекта, характеристики цели проекта, миссия и стратегия проекта.

В параграфе 1.3 были проанализированы ведущие системы автоматизированного управления проектами на российском рынке такие как

Microsoft Project 2003, Spider Project Management Technologies и Primavera Systems.

В ходе решения второй задачи были созданы:

·   сетевая модель с расчётом критического пути (2.1)

·        календарный план (2.2)

·        графики нагрузки рабочих (2.2)

·        оптимизация проекта (2.2)

В параграфе 2.1 были произведены следующие операции :

. формулировка правил для построения сетевого графика;

. создание 5 блоков работ, составляющих разрабатываемый проект;

. построение сетевой модели для каждого из блоков

. расчёт критического пути

.создание таблицы показателей сетевой модели

В параграфе 2.2 были построены : графики календарного плана, графики нагрузки рабочих и проведён расчет оптимизации проекта.

В ходе решения третьей задачи были проведены :

·        подготовка программы к работе(3.1)

·        разработка базового проекта(3.2)

В параграфе 3.1 были заданны :

. дата начала проекта;

. рабочее время проекта;

В параграфе 3.2 были произведены следующие операции:

. ввод задач проекта

. расстановка связей между задачами;

. формирование списка ресурсов;

. распределение ресурсов между задачами;

. создание диаграммы Ганта;

. определение критического пути.

Далее были рассмотрены виды отображения проекта в MS Project и таблицы для контроля за ходом выполнения проекта.

В целом, в результате создания программы, была выполнена поставленная задача по разработке проекта «Подготовки и открытия торгового зала ОАО «Плюс Капитал»». Таким образом был автоматизирован процесс создания данного проекта и тем самым снижена возможность возникновения ошибочных данных и нестыковок в ходе выполнения, которые могли бы произойти при составлении проекта вручную.

Microsoft Project - идеальное средство для бизнес-менеджеров мелкого и среднего бизнеса, хотя он не всегда был рассчитан на профессиональных менеджеров в области управления проектами. К тому же Microsoft Project совместим с приложениями Microsoft Office, но безусловно главное его достоинство - это низкая цена по сравнению с другими системами.

Использование системы управления проектами в строительстве имеет широкие перспективы, учитывая растущие объемы строительства, потоки информации и множественность участников инвестиционных процессов.

Список литературы

1.       Алексеева М.М. «Планирование деятельности фирмы.» - М.: Финансы и статистика, 1997. - 248с.

2.      Анисимов С.Н., Анисимова Е.В. «Управление проектами. Российский опыт.» - СПб.: Вектор, 2006. - 321с.

.        Бухалков М.И. «Планирование на предприятии» - М.: ИНФРА-М, 2007. - 416с.

.        Грашина М. «Основы управления проектами.» - СПб.: Питер, 2006. - 208с.

5.    Ковалев А., Привалов В. «Анализ финансового состояния предприятия.» - М.: Центр экономики и маркетинга, 1998. - 450 с.

6.       Лебединский Н.П. «Основы методологии планирования и автоматизации плановых расчетов.» - М.: Экономика, 1989. - 272 с.

7.    Меняев М.Ф. «Управление проектами MS Project.» - М: ДМК, 2005. - 217с.

8.       Попов В.М. «Деловое планирование.» - М.: Финансы и статистика, 1997. - 368с.

9.    Портни С.И. «Управление проектами для чайников.» - М: Вильямс ИД, 2005. - 207с.

10.    Румянцев В.П. «Проектирование сетевых моделей планирования и управления.» - М.: МИФИ, 2003. - 145 с.

11.     Сапожников В.Н. «Информационные системы обработки экономической информации.» - М.: СЛОВО - СИМС, 2006. - 244с.

12.    Сыроежин И.М. «Планомерность. Планирование. План. Теоретические очерки.» - М.: Экономика, 1986. - 248с.

.        Уткин Э.А. «Управление фирмой.» - М.: Акалис, 1996. - 516с.

.        Хелферт Э. «Эффективное управление проектами» - М.: Издательство ЮНИТИ, 2004. - 290с.

Похожие работы на - Проект подготовки и открытия торгового зала компании ОАО 'Плюс Капитал'

 

Не нашли материал для своей работы?
Поможем написать уникальную работу
Без плагиата!
Без нейросетей!