Тепловой расчет судового парового котла
МИНИСТЕРСТВО ОБРАЗОВАНИЯ И НАУКИ
РЕСПУБЛИКИ КАЗАХСТАН
АТЫРАУСКИЙ ИНСТИТУТ НЕФТИ И ГАЗА
Кафедра: «Технологическое машины и оборудование»
Курсовой
проект
По
дисциплине: «Судовые энергетические установки»
На
тему: «Тепловой расчет судового парового котла»
Выполнил
ст.гр.
МТТ-09к/о
Жаксылыков
Ж.М
Проверил
доц.
Абишев. М.Н
Атырау
2011г.
Содержание
Введение
. Техническая
часть
.1
Паровой котел
1.2. Характеристики паровых котлов
.3
Описание судового вспомогательного парового котла КВВА 6,5/7
.
Расчетная часть
.1
Расчет объема и энтальпии дымовых газов
.2
Выбор топочного устройства
.3
Коэффициент избытка
.4
Объемы воздуха и продуктов сгорания топлива
.5
Тепловой баланс
.6
Расчет топки котла
.7
Расчет конвективной поверхности нагрева
Заключение
Список
литературы
Введение
Современные суда насыщены разнообразным
пароэнергетическим оборудованием, основой которого, как правило, является
генератор пара - котел.
Паровой котел - это теплообменник, аппарат, в
котором при сжигании органического топлива вода превращается в пар,
используемый для нужд судна. В судовых установках энергия может подводиться
путем непосредственного сжигания топлива в топке котла и путем подвода
отработавших газов от ДВС или ГТУ. В последнем случае котлы называются
утилизационными.
На судах с главными паровыми двигателями,
являющимися основными потребителями пара, обслуживающие их котлы называются
главными. Главные котлы обеспечивают паром одновременно и все другие
вспомогательные потребители. На судах с главными дизельными или газотурбинными
двигателями применяются вспомогательные котельные установки, в состав которых,
как правило, входят вспомогательные и утилизационные котлы. Вспомогательные,
как и главные котлы, работают на топливе, сжигаемом в топке, и обеспечивают
паром вспомогательные потребители.
Такими потребителями независимо от типа главного
двигателя могут быть: паровые вспомогательные механизмы аппараты
(турбогенераторы, турбонасосы, испарители); паровые палубные механизмы (шпили,
брашпили, лебедки); паровые подогреватели воды, топлива, масла, воздуха,
жидкого груза, запаса топлива и воды 6 в танках, воды в системе мойки танков;
система пропаривания танков, продувания кингстонных решеток и др.;
оборудование, служащее для удовлетворения бытовых нужд в паре (системы отопления,
бани, прачечные).
Котлы, вырабатывающие пар на основе теплоты,
выделяющейся при сгорании топлива в топке, представляют собой агрегат, в состав
которого входят: непосредственно котел с парообразующими элементами, топка,
топочное устройство, котельная арматура и контрольно-измерительные приборы
(КИП). Совместно с котельным агрегатом они образуют котельную установку
1. Техническая часть
1.1 Паровой котел
Паровым котлом называют теплообменный аппарат,
предназначенный для превращения воды в пар заданных параметров за счет тепловой
энергии, выделяющейся при сжигании органического топлива.
Принцип действия парового котла определяется
сущностью рабочих процессов, происходящих в нем. Рабочие процессы в паровых
котлах протекают в воздушно-газовом тракте, в пароводяном тракте, и тесно
взаимосвязаны друг с другом.
Существует два основных источника получения
тепла в паровом котле:
непосредственное сжигание органического топлива
в топке котла (основной способ). При этом образуется большой объем горячих
продуктов сгорания (дымовых газов), которые являются теплоносителем, передающим
теплоту нагреваемой и испаряемой воде и перегреваемому пару;
использование теплоты отработавших газов других
типов тепловых двигателей: дизельного двигателя или газотурбинной установки.
Судовые паровые котлы можно классифицировать по
следующим признакам:
по назначению:
— на главные, обеспечивающие паром
главный двигатель (паровую турбину) и все потребители пара на ходу судна
(корабля);
— вспомогательные, обеспечивающие
паром все потребители судна на стоянке при неработающих главных котлах, а также
используемые для ввода в действие главных котлов. На судах с ГТУ и ДЭУ
вспомогательные котлы работают и на ходовых режимах для обеспечения паром всех
потребителей судна;
по способу использования:
— на автономные, имеющие собственную
топливную систему и систему подвода воздуха, и использующие для выработки пара
теплоту продуктов сгорания, образующихся при сжигании органического топлива в
топке;
— утилизационные, использующие теплоту
выхлопных газов ДЭУ или ГТУ;
— комбинированные, в которых подогрев
воды и ее испарение могут осуществляться как от собственной топливной и
воздушной систем, так и от теплоты продуктов сгорания других типов ЭУ;
по конструкции:
— на водотрубные, в которых вода и
пароводяная смесь движутся внутри труб, омываемых снаружи горячими газами;
— огнетрубные, в которых горячие газы
движутся внутри труб, омываемых снаружи водой;
— комбинированные, имеющие в своем
составе водотрубную и огнетрубную части;
по принципу организации движения воды и
пароводяной смеси:
— на котлы с естественной циркуляцией
(ЕЦ), в которых движение воды и пароводяной смеси по контуру циркуляции
происходит за счет разности плотностей питательной воды и образующейся при
испарении воды пароводяной смеси;
— котлы с принудительной циркуляцией
(ПЦ), в которых движение воды и пароводяной смеси в контуре циркуляции
происходит за счет работы специального циркуляционного насоса.
В свою очередь паровые котлы с ПЦ по кратности
циркуляции делятся на котлы:
- прямоточные;
- с принудительной циркуляцией малой
кратности (ПЦ МК);
- с многократной принудительной
циркуляцией (МПЦ);
по способу организации движения воздуха:
— на котлы с вентиляторным дутьем
(открытым и закрытым), в топке которых топливо сгорает при давлении, незначительно
превышающем атмосферное, а подача воздуха в топку осуществляется котельным
вентилятором;
— котлы с компрессорным наддувом
(высоконапорные котлы), в топке которых топливо сгорает при давлении,
существенно превышающем атмосферное: 0,2 ÷ 0,4 МПа
(2 ÷
4 кгс/см2),
а нагнетание воздуха в топку производится с помощью специального компрессорного
агрегата;
по типу используемого топлива:
— на котлы, работающие на твердом
топливе (уголь и угольная пыль);
— котлы, работающие на жидком топливе
(мазуты, дизельное топливо);
— котлы, работающие на газообразном
топливе (природные и синтетические газы);
Для работы судовых и корабельных паровых котлов
обычно применяется жидкое топливо: мазуты или (значительно реже) дизельные
топлива. В исключительных случаях на судах-газовозах с ПТУ могут использоваться
паровые котлы с газовым отоплением, работающие на перевозимом судном газе.
По расположению топочных устройств:
— с двухфронтовым отоплением, в
которых топочные устройства расположены на переднем и заднем фронтах котла;
— с потолочным расположением топочных
устройств;
— с боковым расположением топочных
устройств;
Судовые паровые котлы также могут
классифицироваться и по другим признакам, характеризующим их конструктивные
особенности:
— по типу применяемых поверхностей
нагрева: испарительных пучков труб, экономайзера, воздухоподогревателя и
пароперегревателя;
— по наличию или отсутствию хвостовых
поверхностей нагрева (экономайзеров и воздухоподогревателей);
— по взаимному размещению поверхностей
нагрева;
— по количеству коллекторов;
— по организации топочного процесса, и
др.
Как правило, в состав КТЭУ входит несколько
котлоагрегатов. Один или несколько котлоагрегатов, обеспечивающих выработку
пара заданных параметров, вместе с обслуживающими их системами,
вспомогательными механизмами и устройствами, называются судовой котельной
установкой.
1.2 характеристики
паровых котлов
Рабочий процесс, происходящий в паровом котле,
весьма сложен. Его можно рассматривать состоящим из отдельных процессов,
происходящих в воздушно-газовом и пароводяном трактах котла.
В воздушно-газовом тракте котла происходит
непрерывный подвод воздуха и топлива, горение топлива и отвод продуктов
сгорания (дымовых газов), которые являются основным теплоносителем. Горение
топлива и движение продуктов сгорания по газоходам обеспечивают протекание
основного процесса, связанного с тепловыделением и передачей теплоты поверхностям
нагрева котла. При движении воздуха и газов в ВГТ котла возникает
сопротивление, на преодоление которого требуется определенный расход энергии,
затрачиваемой котельным вентилятором или компрессорным агрегатом.
В пароводяном тракте котла происходят процессы
подвода питательной воды, нагрев ее до кипения, парообразование, перегрев пара
и отвод его к потребителям.
Оценку различных типов паровых котлов можно
произвести по их характеристикам.
К основным характеристикам паровых котлов
относятся:
паропроизводительность -
, [т/ч]
(кг/ч) - весовое количество пара, вырабатываемое котлом в единицу времени;
Паропроизводительность является главным
показателем, характеризующим нагрузку котла. В зависимости от мощности ПТУ
судна паропроизводительность современных главных котлов может составлять от 10
до 100 т/ч и более, вспомогательных котлов - от 0,5 до 15 т/ч.
Так как в современных котлах может производиться
отбор не только перегретого, но и насыщенного пара, в этом случае общая
паропроизводительность котла равна сумме паропроизводительностей по перегретому
и насыщенному (охлажденному) пару:
рабочее давление пара в котле -
, [МПа]
(кгс/см2) - это избыточное давление пара:
- в паровом коллекторе котла с ЕЦ;
- в сепараторе котла с МПЦ;
- за главным стопорным клапаном
прямоточного котла.
Рабочее давление пара современных главных судовых
паровых котлов находится в пределах от 2,5 до 9,0 МПа (25 ÷
90 кгс/см2);
температура перегретого пара -
, [оС]
- температура пара за пароперегревателем котла;
Температура перегретого пара,
вырабатываемого современными главными судовыми котлами, составляет от 350 до
540 оС.
коэффициент полезного действия котла
-
, [%] - это
отношение полезно использованного тепла, ушедшего на производство и перегрев
пара, к подведенному теплу в топке котла:
где:
- паропроизводительность котла по
перегретому и насыщенному пару, [кг/ч];
- энтальпии питательной воды,
насыщенного и
перегретого пара соответственно,
[кДж/кг];
- низшая теплота сгорания топлива,
[кДж/кг];
- расход топлива, [кг/ч].
КПД парового котла характеризует его
экономичность и совершенство протекающих в нем процессов горения топлива,
теплообмена, полноты использования тепла продуктов сгорания. Для современных
судовых паровых котлов значение КПД находится в следующих пределах:
- главные котлы с вентиляторным дутьем
-
72 ÷ 80 %;
- котлы с развитыми хвостовыми
поверхностями нагрева - 92 ÷ 94 %;
- котлы с промежуточным перегревом
пара -
96 ÷ 97 %;
- высоконапорные котлы -
83 ÷ 92 %.
Расход топлива в единицу времени −
, [кг/ч] -
также, как и паропроизводительность, характеризует нагрузку котла;
Существенное значение для судовых котлов имеет
способность их работы в течение длительного времени с перегрузкой и
значительной недогрузкой. При выходе из строя одного главного котла, оставшиеся
должны за счет перегрузки обеспечить паропроизводительность установки,
достаточную для дачи судном заданной скорости хода.
Температура питательной воды −
, [оС]
- температура воды, подаваемой в котел. Этот параметр имеет существенное
значение, так как его величина взаимосвязана с другими характеристиками котла:
расходом топлива, паропроизводительностью, температурой перегретого пара, КПД.
Температура питательной воды определяется
тепловой схемой установки и используемым способом регенеративного подогрева
питательной воды. Основным показателем при этом является величина недогрева
питательной воды до кипения, обеспечивающая надежную работу экономайзера котла.
Температура воздуха, поступающего в
топку −
, [оС]
- также влияет на расход топлива и экономичность котла, и зависит от
компоновочной схемы котла, наличия и конструкции воздухоподогревателя. Подача в
топку подогретого воздуха улучшает как процессы испарения топлива и
перемешивания его с воздухом, так и сам процесс горения топлива.
О степени совершенства паровых
котлов можно судить по следующим характеристикам:
Теплонапряжение топочного объема −
, [кДж/м3·ч]
(Вт/м3) - количество теплоты, выделяющейся в одном кубическом метре
топочного объема в единицу времени при сжигании вводимого в топку топлива:
где:
- объем топки, [м3].
в старых котлах значение
составляло:
= 1,5 ¸ 2,0 МВт/м3;
в современных котлах:
= 14 ¸ 16 МВт/м3.
теплонапряжение поверхностей нагрева
котла -
, [кДж/м2·ч]
(Вт/м2) - количество тепла, воспринимаемое от продуктов сгорания
топлива одним квадратным метром поверхности нагрева котла в единицу времени;
удельный паросъем -
, [кг/м2×ч] -
отношение паропроизводительности котла -
к площади испарительной поверхности
нагрева -
Удельный паросъем характеризует интенсивность
парообразования и показывает, сколько (в среднем) килограммов пара образуется с
каждого квадратного метра испарительной поверхности нагрева котла;
относительное водосодержание котла -
, [ч] -
отношение весового количества воды в парообразующих элементах котла к его
паропроизводительности:
Величина относительного водосодержания
показывает, сколько потребуется времени на испарение всей воды, содержащейся в
испарительном контуре котла, если его нагрузка будет соответствовать данной
паропроизводительности. Чем меньше величина относительного водосодержания, тем
более заметны колебания уровня воды и давления пара при изменении режимов
работы котла.
для слабонапряженных паровых котлов:
= 0,5 ÷
1,0 ч
и более;
для высоконапряженных котлов:
< 0,3 ч.
относительный вес сухого котла -
, [(кг×c)/кг] -
отношение полного веса котла без воды к его паропроизводительности:
относительный вес котла с водой -
, [(кг×c)/кг] -
отношение полного веса котла, заполненного водой до рабочего уровня при
температуре 20 оС, к его паропроизводительности.
паровой котел судовой топка теплообмен
относительный объем котла -
, [(м3×с)/кг] -
отношение полного объема, занимаемого котлом, к его паропроизводительности:
Об эксплуатационных свойствах
паровых котлов можно судить по следующему ряду показателей:
маневренности, характеризующейся
скоростью подъема давления пара в котле из холодного состояния, состояния горячего
резерва, и скоростью изменения нагрузки котла;
надежности действия во всех условиях
повседневной деятельности судна и повседневной и боевой деятельности корабля;
скрытности действия,
характеризующейся бездымностью, бесшумностью работы и достижением минимального
уровня теплового поля, создаваемого при работе котла;
простотой устройства, эксплуатации и
ремонта, доступностью ремонта отдельных элементов в условиях судна;
сроком службы.
Создать конструкцию универсального судового
котла, имеющего высокими все перечисленные показатели невозможно, так как
многие из рассмотренных показателей противоречат друг другу. По этой причине не
может существовать универсального типа паровых котлов, пригодных для любых
типов КТЭУ и любых условий эксплуатации. Выбор приоритета того или иного
показателя зависит от типа судна и тепловой схемы установки, в которой этот
котел работает.
1.3 Описание судового
вспомогательного парового котла КВВА 6,5/7
Котлоагрегаты КВВА полностью автоматизированы и
рассчитаны на эксплуатацию без постоянной вахты.
Основы котла составляют трубы конвективного
парообразующего пучка и экрана, три ряда опускных труб, пароводяной и водяной
барабаны. Трубы в котельном пучке и опускные трубы расположены в шахматном
порядке.
Барабаны сварные и состоят из обечаек и двух
приварных штампованных днищ. На заднем днище пароводяного барабана и на обоих
концах водяного барабана сделаны овальные лазовые отверстия, закрываемые
изнутри крышками с помощью двух наружных скоб, шпилек и гаек. К стенкам
барабанов приварены штуцера, патрубки и другие элементы для присоединения труб,
арматуры и стенок кожуха.
Кожух котла сварной, газо-плотный, образован двойными
фронтовыми (передней, задней), боковыми и потолочной стенками, выполненными из
листового и профильного проката. Наружные и внутренние стенки кожуха образуют
межкожуховое пространство, через которое проходит воздух перед поступлением в
топку. Такое устройство стен защищает котельное отделение от проникновения в
него продуктов сгорания и уменьшает потери от наружного охлаждения. Жесткость
конструкции кожуха обеспечивается установкой распорных скоб, трубных связей и
перегородок. На внутренних и наружных стенках кожуха имеются окна, плотно
закрываемые крышками с помощью задраек. Окна служат для доступа к трубным
поверхностям нагрева и в межкожуховое пространство. На задних стенках кожуха
расположено лазовое отверстие для проникновения внутрь топки котла.
С целью наблюдения за горением и состоянием
кладки в передней и задней стенках кожуха сделаны отверстия, соединенные
патрубком с головкой специального смотрового устройства. Корпус головки, где
находится обойма с двумя синими жаростойкими стеклами, имеет внутреннюю и
наружные крышки, защищающие стекла от перегрева из топки и от механических
повреждений снаружи. Кирпичная клада передней и задней стенок в районе топки
частично в районе трубного пуска выполнена из огнеупорных шамотных кирпичей,
установленных на слой асбестового картона. Для кладки использую кирпичи:
квадратные с центральными и смещенными отверстиями для болтов, фасонные для
фурмы и для смотровых устройств - трехгранные. В районе топки кирпичи крепят к
внутренним стенкам болтами, головки которых утапливают в отверстие кирпича, а
затем замазывают раствором мертеля.
В районе пусков труб кирпичи крепят на таврах
или угольниках. Все кирпичи скрепляют между собой раствором шамотного мертеля.
Боковые и потолочные стенки, а также передние и задние стенки кожуха, свободные
от кирпичной кладки, изолируют слоем асбестового картона, который со стороны
газов покрыт листами из нержавеющей стали 12Х18Н10Т. Открытые наружные
поверхности коллекторов изолируют совелитовыми плитами, укладываемыми на слой
совелитовой подмазки. Плиты обтягивают металлической сеткой и покрывают слоем
совелитовой штукатурки.
Изоляцию обечаек коллекторов закрывают
оцинкованными стальными листами, на днищах пароводяного барабана ее оклеивают
тканью и окрашивают. Торцы водяного барабана имеют патрубки, на которые
устанавливают наружные крышки.
Опоры крепят к переходным стульям болтами и
гайками. Одну из опор закрепляют неподвижно, остальные для обеспечения
температурных деформаций делают подвижными. За неподвижную обычно выбирают
опору, которая в плане располагается ближе к стопорному клапану с целью
уменьшения влияния теплового расширения конструкции котла на деформацию
главного паропровода. Следующая опора, установлена на одной с ней линии,
параллельной оси барабана, подвижна только в направлении этой линии. Третья
опора подвижна в поперечном, а четвертая - в продольном и поперечном
направлениях. Подвижность опоры обеспечивается тем, что отверстия под болты
делают овальными. На болты всех опор надеты дистанционные втулки, высота
которых на 1 мм больше толщины плиты опоры. Переходные стулья приваривают к
судовому фундаменту.
2. Расчетная часть
.1 Расчет объема и
энтальпии дымовых газов
Исходные данные:
- тип парового котла - КВВА 6.5/7
- параметры пара - Pk=0,6
МПа
паропроизводительность - Dk=1.7
кг/с
температура питательно воды - tпв=50оС
род и марка топлива - моторное топливо
2.1 Расчет рабочей
массы топлива
Состав горючей массы:
Состав рабочей массы:
Проверка:

(2.1)
Низшая теплотворная способность
топлива

(2.2)
2.2 Выбор топочного
устройства
Выбираем паромеханическую форсунку.
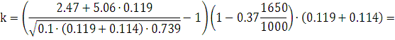
2.3 Коэффициент избытка
Коэффициент избытка воздуха на
выходе из котельного агрегата - 
определяется по формуле:

(2.3)
где 
- суммарная величина присосов
холодного воздуха в газоходах котла.
Для морских котлов обшитых листовым
железом можно принять 
. Следует:
Принимаем 
.
2.4 Объемы воздуха и
продуктов сгорания топлива
Теоретический объем воздуха
Теоретический объем сухих продуктов сгорания:
Теоретический объем дымовых газов
при 
где 
) - для паромеханической форсунки.
Принимаем 
Действительные объемы продуктов
сгорания при избытке воздуха в газоходах при 
определяют для твердого, жидкого и
газообразного топлива.
Теоретическое количество влажного
воздуха:
2.5 Тепловой баланс
Тепловой баланс составляется для
оценки расходов топлива 
. Есть 2 уравнения теплового
баланса: 1 - прямое уравнение теплового баланса
- обратное уравнение теплового баланса
Прямое уравнение теплового баланса
позволяет быстро оценить КПД котла. Выявить причину отклонения от нормальной
работы невозможно. Для этого используется обратное уравнение теплового баланса,
которое анализируя тепловые потери, позволяет выявить причину.

(2.4)


из таблицы 3.1 (
)
Энтальпия питательной воды 
определяется по формуле:


(2.5)
Располагаемая теплота рабочей массы топлива
определяется по формуле

(2.6)
где: 
- физическое тело топлива;

- температура подогретого топлива.

(2.7)

для паромеханической форсунки

(2.8)
где: 
- удельная теплоемкость жидкого
топлива;

- температура подогретого топлива.

при вязкости 
(для паромеханической форсунки)
КПД котла определяется из обратного
уравнения теплового баланса по формуле:

(2.9)
где: 
- потеря теплоты с уходящими
газами;

- тепловые потери от химического
недожога;

- тепловые потери от химического
недожога;

- потери теплоты через
обмундировку.

(2.10)
где: 
- энтальпия уходящих газов,
определяемая по диаграмме дымовых газов при температуре уходящих газов 
;

;

;

- для вспомогательного котла

- для двухстеночного котла
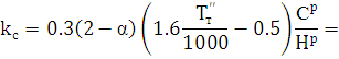
2.6 Расчет
топки котла
Поверочный расчет топки котла
сводится к определению температуры газов на выходе из топки 
и тепловосприятие 
при заданной величине радиационной
поверхности нагрева 

(2.11)

(2.12)
Поскольку величины критерия
Больцмана 
и степени черноты топки 
зависят от температуры дымовых
газов на выходе из топки 
, расчет проводят методом
последовательных приближений.
Задаются в первом приближении
величиной температуры дымовых газов на выходе из топки 
и вычисляют величины степени
черноты топки 
и критерия Больцмана 
.
В общем случае для первого
приближения можно принимать (для жидкого и газообразного топлива)
; принимается 
.
Сравнение величин фактического и допускаемого
тепловых напряжений.

(2.13)
где:
- объем топки (по прототипу)

топка выдержит
Определение степени черноты камерной топки котла

(2.14)
где:
- коэффициент, учитывающий снижение
тепловосприятия вследствие загрязнения или изоляции поверхности;

- степень экранирования топки,
определятся по формуле:

(2.15)
где: 
- радиационная поверхность нагрева
(по прототипу)

- суммарная поверхность стен топки.

- эффективная степень черноты
факела:

(2.16)
где: 
- коэффициент усреднения (для 
)

- степень черноты светящегося
пламени

степень черноты несветящего пламени

(2.17)

(2.18)
Коэффициент ослабления лучей

(2.19)
Для топок работающих без наддува:
Эффективная толщина излучающего слоя
пламени:
Тогда:

Коэффициент ослабления лучей
сажистыми частицами
Тогда:
Определение адиабатной температуры горения:

(2.20)

влажность.

температура горячего воздуха
По величине 
по диаграмме 
дымовых газов величина абсолютной
теоретической температуры горения 
.
По диаграмме 
дымовых газов величина
теплосодержания дымовых газов на выходе из топки 
при температуре 
.
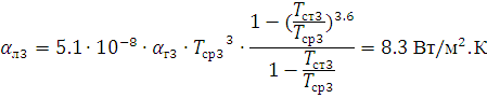
Определение критерия Больцмана:
Суммарная объемная теплоемкость:

(2.21)
Коэффициент сохранения теплоты:

(2.22)
Примем:
Критерий Больцмана:
Определение температуры газов на выходе из
топки:

коэффициент зависящий от режима
горения и теплообмена, а также от вида факела.
Температуры дымовых газов на выходе
из топки:
Что меньше 50 К, следовательно
температура выбрана верно.
Определение тепловосприятия котла:
2.7 Расчет конвективной
поверхности нагрева
Расчет теплообмена в парообразующем пучке:
Расчет конвективной поверхности сводиться
определению температура газов на выходе и количество теплоты, переданное в
конвективном пучке при заданной поверхности.
1 наружный
диаметр труб 
2 количество
рядов труб 
3 поперечный
шаг труб 
продольный шаг труб 
4 количество
труб в одном ряду
где: 
- ширина газохода.
5 Площадь
живого сечения для прохода газов:
где: 
- средняя длина проекции активно
работающей, в рассматриваемом пучке, трубы (без учета застойных зон) на
плоскость, перпендикулярную направлению потока.
Расчет проводится с помощью двух
уравнений

(2.23)

(2.24)
Задаемся тремя значениями
температуры газов на выходе



Энтальпия газа соответственно



Количество теплоты соответственно
Температура насыщенного пара

Температура газа на выходе из топки
Наибольшая разность температур между
теплоносителями
Наименьшая разность температур между
теплоносителями
Температурный напор

Средняя температура потока
Скорость потока газов при поперечном омывании
трубок

Коэффициент загрязнения соответственно



Относительный поперечный шаг 
Относительный продольный шаг 
Поправка на число рядов труб
Поправка на компоновку
Кинематическая вязкость
,
коэффициент теплопроводности
, критерий Прандтля 
для дымовых газов принимают по
средней температуре потока









Коэффициент теплоотдачи
Эффективная толщина излучающего его
слоя в межтрубном пространстве

Средняя температура
Коэффициент ослабления лучей для
трехатомных газов
Степень черноты газового потока
Температура наружной поверхности
стенки труб
где 
- Испарительная конвективная
поверхность нагрева.
Коэффициент теплоотдачи излучением
Коэффициент теплоотдачи от дымовых
газов к стенке
Коэффициент теплопередачи
Уравнение теплопередачи



Заключение
Курсовой проект включается в себя описание,
определение объема и энтальпия дымовых газов, расчет теплового баланса, расчет
топки, расчет конвективной поверхности нагрева, расчет теплообмена в
экономайзере и эксплуатация судового вспомогательного парового котла КВВА
6.5/7.
В данной курсовом проекте был выполнен тепловой
расчет судового главного парового котла КВВА 6.5/7 с паропроизводительностью Dк
=
1.7 (кг/с), параметром пара Р = 0.6 (МПа) и температурой питательный воды tпв=500С
В работе выполнены расчет теплового
баланса и получен расход топлива B = 0.121 (кг/с), расчет топки котла
и получен температура дымовых газов на выходе из топки 
.
В работе выполнены расчет
конвективной поверхности нагрева и получены температура газов на выходе из
пучка tист= 318оС
и количество теплоты, переданное в первом пучке Qист= 3000 (кВт
В работе выполнен расчет теплообмена
в экономайзере, выбран трубы 29х3, получены поперечный и продольный шаги 
и 
количество трубок в одном ряду 
, количество рядов труб 
, скорость воды в экономайзере 
Список
литературы
1.
Электронное пособие для котлов. - Кафедра «Эксплуатация водного транспорта».
.
Верете А. Г., Дельвинг А. К. Судовые паровые и газовые энергетические
установки.