Тепловой расчет котла ДЕ16–14ГМ
Федеральное
агентство по образованию Российской Федерации
Государственное
образовательное учреждение высшего профессионального образования
Московская
академия коммунального хозяйства и строительства
Факультет
инженерных систем и экологии
Кафедра
теплогазоснабжения и вентиляции
Курсовой
проект
дисциплина:
Теплогенерирующие установки
на
тему: Тепловой расчет котла ДЕ16 - 14ГМ
Москва,
2011
Введение
Газомазутный вертикально-водотрубный паровой
котел типа ДЕ16 т/ч предназначен для выработки насыщенного и слабоперегретого
пара, идущего на технологические нужды промышленных предприятий, в системы
отопления, вентиляции и горячего водоснабжения. Топочная камера котла
размещается сбоку от конвективного пучка, образованного вертикальными трубками,
развальцованными верхнем и нижнем барабанах. Ширина топочной камеры по осям
боковых экранных труб - 1790 мм. Основными составными частями котлов являются
верхний и нижний барабаны, конвективный пучок, фронтовой, боковой и задний
экраны, образующие топочную камеру. Трубы правого бокового экрана, образующего
также пол и потолок топочной камеры, вводятся непосредственно в верхний и
нижний барабаны. Трубы фронтового экрана развальцованы в верхнем и нижнем
барабанах. Диаметр верхнего и нижнего барабанов 1000 мм. Расстояние между
барабанами по вертикали 2750 мм. Длина цилиндрической части барабанов - 7500
мм. Для доступа внутрь барабанов в переднем и заднем днище каждого из них
имеются специальные лазы. Материал барабанов для котлов с рабочим давлением
1,36 МПа и 2,36 МПа сталь 16ГС, толщина стенки соответственно 13 и 22 мм. В
водяном пространстве верхнего барабана находится питательная труба и труба для
ввода фосфатов, в паровом объёме - сепарационные устройства. В нижнем барабане
размещаются перфорированные трубы для продувки, устройство для парового
прогрева воды в барабане при растопке и патрубки для спуска воды.
Котлы паропроизводительностью 16 т/ч имеет
непрерывную продувку из второй ступени испарения (соленый отсек) верхнего
барабана и периодическую продувку из нижнего барабана нижнего коллектора
заднего экрана в случае его наличия. Котлы ДЕ16-14ГМ выполнены с
двухступенчатой схемой испарения. Во вторую ступень испарения при помощи
поперечных перегородок в барабанах включена задняя часть правого и левого экранов
топки, задний экран и часть конвективного пучка, расположенного в зоне с более
высокой температурой газов. Питание второй ступени испарения осуществляется из
первой по перепускной трубе диаметром 108 мм, проходящей через поперечную
разделительную перегородку верхнего барабана. Контур второй ступени испарения
имеет необогреваемые опускные трубы диаметром 159x4,5
мм. Опускным звеном циркуляционных контуров котлов и первой ступени испарения
являются последние по ходу газов наименее обогреваемые ряды труб конвективного
пучка. Конвективный пучок от топочной камеры отделён газоплотной перегородкой,
в задней части которой имеется окно для входа газов в пучок. Перегородка
выполнена из вплотную поставленных (S=55 мм.) и сваренных между собой труб
диаметром 51 х 2,5 мм. При вводе в барабаны трубы разводятся в два ряда. Места
разводки уплотняются металлическими проставками и шамобетоном. Выход дымовых
газов из котлов осуществляется через окно в левой боковой стенке в конце
конвективного пучка. Все типоразмеры котлов имеют одинаковую циркуляционную
схему. Контур боковых экранов и конвективного пучка замкнуты непосредственно на
барабан.
Пароперегреватель вертикальный, дренируемый из
двух рядов труб диаметром 51 х 2,5 мм.
Обмуровка фронтовой стены выполнена из шамотного
кирпича толщиной 125 мм и нескольких слоев изоляционных плит толщиной 175 мм,
общая толщина обмуровки фронтовой стены 300 мм обмуровка задней стены состоит
из слоя шамотного кирпича толщиной 65 мм и нескольких слоев изоляционных плит
толщиной 200 мм. Общая толщина обмуровки составляет 265 мм. для уменьшения
присосов газовый тракт котла снаружи изоляции покрывается металлической
листовой обшивкой толщиной 2 мм, которая приварена к обвязочному каркасу.
В качестве хвостовых поверхностей нагрева котлов
применяются чугунные экономайзеры из труб ВТИ.
Котлы оборудованы стационарными обдувочными
аппаратами, расположенными от них с левой стороны. Для обдувки котлов
используется насыщенный или перегретый пар давлением не менее 0,7 МПа.
Каждый котел ДЕ снабжен двумя пружинными
предохранительными клапанами, один из которых является контрольным.
Диапазон регулирования нагрузок 20-100%
номинальной паропроизводительностью. Допускается работа с нагрузкой 110%
номинальной паропроизводительности.
Исходные данные
Паропроизводительностью - 16 т/ч (4,44 кг/с)
Давление - 1,4 МПа (14 атм)
Температура питательной воды - 95°С
Вид топлива - мазут малосернистый.
Состав:







Температура воздуха на входе в котел
- 
Теплоемкость воздуха при 
- 
Температура уходящих газов - 200°С
Сухой остаток исходной воды - 400
мг/кг
Процент возврата конденсата - 50 %.
Конструктивные характеристики
котельного агрегата ДЕ16-14ГМ:
Объем топки по чертежам 
Полная поверхность стен топки по
чертежам 
Лучевоспринимающая поверхность топки 
Диаметр труб конвектива 
Шаг труб поперечный 
Шаг труб продольный 
Средняя высота труб 
Ширина газохода 
Средняя высота газохода 
Число труб в ряду газохода 
Число рядов труб газохода 
Сечение для прохода газов газохода 
Поверхность нагрева пучка 
1.
Расчет объемов воздуха и продуктов сгорания
Низшая теплотворная способность жидкого топлива:
Теоретическое количество воздуха, необходимое
для сжигания 1 мі топлива:
Теоретическое количество
образующихся продуктов сгорания при сжигании жидкого топлива при коэффициенте
избытка воздуха 
:
- трехатомных газов:
двухатомных газов:
водяных паров:
При коэффициенте избытка воздуха 
>1
Значение коэффициента избытка
воздуха в топке: 
Газоход котла: 
Экономайзер: 
Объём избыточного воздуха в
продуктах сгорания по элементам котла составит:
Топка

Газоход

Экономайзер

Избыточный объём водяных паров в
продуктах сгорания по элементам котла:
Топка

Газоход

Экономайзер

Действительный суммарный объём
дымовых газов по элементам котла:
Топка

Газоход

Экономайзер

Объемная доля трехатомных газов по
элементам котла:
Топка

Газоход

Экономайзер

Объемная доля водяных паров по
элементам котла:
Топка

Газоход

Экономайзер

Суммарная объемная доля по элементам
котла:
Топка

Газоход

Экономайзер

2. Энтальпия воздуха и
продуктов сгорания

,
где 
, 
, 
, 
- удельные теплоёмкости
соответственно трёхатомных газов, водяных паров, двухатомных газов (азота) и воздуха,

,
, их значения приведены таблице.
t 0C
Св
100
,33
,70
,30
,49
,347
,86
,31
,54
,372
,98
,33
,59
,403
,08
,35
,64
,428
,17
,38
,69
,440
,23
,41
,74
,476
,28
,43
,80
,498
,33
,44
,85
,514
,37
,46
,9
,529
,41
,47
,94
,544
,44
,48
,98
,51
,46
,50
,02
Энтальпия воздуха на входе в котел:

Энтальпия теоретически необходимого
объема воздуха.
Топочная камера:











Газоход котла:







Экономайзер:



Энтальпия теоретически необходимого
объема продуктов сгорания.
Топочная камера:











Газоход котла:







Экономайзер:



Энтальпия продуктов сгорания при избытке
воздуха 
.
где 
- энтальпия избыточного воздуха при
температуре, соответствующей температуре продуктов сгорания.
Топочная камера:











Газоход котла:







Экономайзер:



3. Расчетный тепловой баланс и
расход топлива
Тепловым балансом котельного агрегата называют
равенство между поступившей в него теплотой и суммой выработанной полезной
теплоты и теплоты, израсходованной на покрытие тепловых потерь. Поступившую в
котельный агрегат теплоту называют располагаемой теплотой.
где 
- низшая теплота сгорания рабочей
массы топлива, кДж/кг;

- теплота, внесенная в котельный
агрегат воздухом при подогреве его вне агрегата, кДж/кг:
где 
- коэффициент избытка воздуха;

- теплосодержание теоретически
необходимого количества воздуха на входе в котельный агрегат и холодного
воздуха, кДж/кг;

- физическая теплота, внесенная
топливом, кДж/кг:
где 
- удельная теплоемкость рабочего
топлива, кДж/(кг·К);

- температура топлива, єС, (для
мазута 
принимается в зависимости от его
вязкости 90-130 єС:

- теплота, вносимая в агрегат при
паровом распыле жидкого топлива, кДж/кг:
где 
- энтальпия пара, идущего на
распыление топлива, кДж/кг.
На котлах серии ДЕ установлены
газомазутные горелки типа ГМГм, с паромеханическим распылением с незначительным
расходом пара, поэтому величиной 
можно пренебречь.
Тепловой баланс составляется для
котельного агрегата на 1 кг жидкого или 1 м3 газообразного топлива при нормальных
условиях.
Уравнение теплового баланса:
где 
- полезная теплота, выработанная
котельным агрегатом, кДж/кг;

- потеря теплоты с уходящими
продуктами горения, кДж/кг:
где 
- энтальпия уходящих газов,
определяемая по h-t диаграмме, при соответствующих значениях коэффициента
избытка воздуха за котлом 
выбранной температуре уходящих
газов, кДж/кг;

- энтальпия теоретически
необходимого объема холодного воздуха, определяемая при температуре воздуха,
поступающей в котел 
.

- потеря теплоты от химической
неполноты сгорания, кДж/кг;

- потеря теплоты от механической
неполноты сгорания, имеет место только при сжигании твердого топлива;

- потеря теплоты в окружающую среду
(от наружного охлаждения), кДж/кг;

- физическая теплота, внесенная
топливом при сжигании топлива. Можно не учитывать.
Расчет теплового баланса котельного
агрегата.
Энтальпия воздуха на входе в котел
при теплоемкости воздуха на входе в котел:

Энтальпия уходящих газов:

Потери тепла с уходящими газами:
Потери тепла от химической теплоты
сгорания по нормативному методу:

Потери тепла от механического
недожога по нормативному методу:

Потери тепла от потерь в окружающую
среду по нормативному методу:

Сумма тепловых потерь:
КПД котла:
Расчет топлива.
Паропроизводительность котла - 
.
Температура питательной воды на
входе в водяной экономайзер:

Энтальпия питательной воды на входе
в водяной экономайзер:
Энтальпия пара за котлом:
Полезная мощность котла:
Расход топлива:
Коэффициент сохранения тепла в
топке:
4. Поверочный расчет топочной
камеры
Поверочный расчет топки котельного агрегата
производиться с целью определения параметров, характеризующих тепловые режимы
работы топки. Проверяется соответствие температуры продуктов сгорания на выходе
из топки условиям эксплуатации.
Температура уходящих газов:
Полная площадь стен топки (суммарная площадь
всех поверхностей, ограничивающих объем топочной камеры (экранированных и
неэкранированных стен, свода, выходного окна, пола и т.д.)):

Площадь лучевоспринимающей
поверхности топки:

Объем топочной камеры:

Степень экранирования топки:
воздух сгорание тепловой
котел
Коэффициент загрязнения или закрытия
экранов (учитывает снижение тепловосприятия экранов вследствие их загрязнений
или закрытия огнеупорной массой их поверхности):

Среднее значение коэффициента
тепловой эффективности всей топки:
Параметр поля температур в топке:
Эффективная толщина излучающего слоя:
Полезное тепловыделение в топке:
Теоретическая (адиабатная) температура горения
по графику h-t диаграммы:

Удельная нагрузка топочного объема:
Средняя суммарная теплоемкость
продуктов сгорания:
где 
- энтальпия продуктов сгорания на
выходе из топки при принятой температуре сгорания за топкой 
с последующим уточнением.
Давление в топочной камере (для
топок, работающих без наддува) принимается - 
.
Суммарная объемная доля трехатомных
газов - 
.
Суммарное парциональное давление
трехатомных газов в топке:
Объемная доля водяных паров топки - 
:
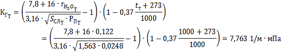
Коэффициент ослабления лучей трехатомными
газами:
Коэффициент ослабления лучей несветящейся частью
топочной среды:
Степень черноты несветящейся части пламени:
Коэффициент ослабления лучей сажистыми
частицами:
где 
, 
- содержание углерода и водорода в
рабочей массе жидкого топлива;

- коэффициент избытка воздуха в
топке.
Коэффициент ослабления светящейся
частью газомазутного пламени:
Степень черноты светящейся части
пламени:
Степень черноты топки.
где 
- эффективная степень черноты
топки:
где 
- коэффициент заполнения объема
топки светящимся пламенем (зависит от теплового напряжения объема топки 
и вида сжимаемого топлива, так, для

независимо от нагрузки 
для жидкого топлива. При 
, 
для жидкого топлива).
При значении 
коэффициент 
:
Расчетная температура уходящих газов на выходе
из топки:
Так как разница расчетной температуры и
предварительно задавшиеся больше 50єС, проводится повторный расчет задавшись
полученным расчетным значением.
Средняя суммарная теплоемкость продуктов
сгорания:
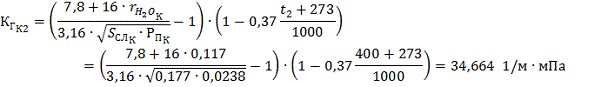
Коэффициент ослабления лучей трехатомными
газами:
Коэффициент ослабления лучей несветящейся частью
топочной среды:
Степень черноты несветящейся части пламени:
Коэффициент ослабления лучей сажистыми
частицами:
Коэффициент ослабления светящейся частью
газомазутного пламени:
Степень черноты светящейся части пламени:
Степень черноты топки.
где 
- эффективная степень черноты
топки:
Расчетная температура уходящих газов на выходе
из топки:

- температура попадает в интервал 
, считаем её действительной.
Энтальпия продуктов сгорания на
выходе из топки - 
Тепло, переданное излучением:
Удельная нагрузка лучевоспринимающей
поверхности нагрева:
5. Поверочный тепловой расчет
конвективных поверхностей нагрева
Задаемся двумя значениями температур
продуктов сгорания при коэффициенте избытка воздуха в газоходе котла: 
:

Теплота, отданная продуктами
сгорания:
где 
- коэффициент сохранения тепла;

присос воздуха в конвективную
поверхность нагрева, определяемый как разность коэффициентов избытка воздуха на
входе и выходе из неё;

энтальпия присасываемого воздуха в
конвективную поверхность, при температуре воздуха 
;

- энтальпия продуктов сгорания
перед поверхностью нагрева при 
;

- энтальпия продуктов сгорания
после рассчитываемой поверхности нагрева, определяемая для двух предварительно
принятых температур после конвективной поверхности нагрева:
при 
,
при 
.
Температурный напор в газоходе:
где 
- температура продуктов сгорания
перед расчетным газоходом;

- температура охлаждающей среды,
для паровых котлов принимается равной температуре кипения воды при
действительном давлении в котле (Приложение 1 - таблица насыщенного водяного
пара).
Средняя температура продуктов
сгорания в газоходе:


Средняя скорость продуктов сгорания
в газоходе:
где 
- расход топлива;

- действительный суммарный объем
дымовых газов в газоходе образующийся при сгорании 1 кг жидкого топлива при
соответствующем коэффициенте избытка воздуха;

- площадь живого сечения для
прохода продуктов сгорания при поперечном омывании гладких труб.
Коэффициент теплоотдачи конвекцией
от продуктов сгорания к поверхности нагрева:
где 
- поправка на число рядов труб по
ходу продуктов сгорания, определяется при поперечном омывании коридорных пучков
по номограмме (Рис.3 «Учебно-методического пособия к выполнению курсовой
работы»);

- поправка на компоновку пучка,
определяется по номограмме (Рис.3 «Учебно-методического пособия к выполнению
курсовой работы»):
при 
,
при 
.

- коэффициент, учитывающий влияние
изменения физических параметров потока, определяется при поперечном омывании
коридорных пучков по номограмме (Рис.3 «Учебно-методического пособия к
выполнению курсовой работы»):
при 

- 
,
при 

- 
;

- коэффициент теплоотдачи,
определяемый по номограмме (Рис.3 «Учебно-методического пособия к выполнению
курсовой работы»):
при 

- 
,
при 

- 
.
Толщина излучающего слоя для
гладкотрубных пучков:
Давление в газоходе (для котлов,
работающих без наддува) принимается - 
.
Суммарная объемная доля трехатомных
газов - 
.
Суммарное парциональное давление
трехатомных газов в газоходе:
Коэффициент ослабления трехатомными
газами:
Суммарная оптическая толщина:
Степень черноты газового потока:
Температура загрязненной стенки:
где 
- температура охлаждающей среды,
для паровых котлов принимается равной температуре кипения воды при
действительном давлении в котле (Приложение 1 - таблица насыщенного водяного
пара).
Коэффициент теплоотдачи, учитывающий
передачу теплоты излучением в конвективных поверхностях нагрева при сжигании
топлива:
где 
- коэффициент теплоотдачи
излучением по номограмме (Рис.4 «Учебно-методического пособия к выполнению
курсовой работы»):
при 
- 
,
при 
- 
.

- поправочный коэффициент, определяемый
по номограмме (Рис.4 «Учебно-методического пособия к выполнению курсовой
работы»):
при 
- 
,
при 
- 
.

,

.
Суммарный коэффициент теплоотдачи от
продуктов сгорания к поверхности нагрева:
где 
- коэффициент использования
поверхностей нагрева, учитывающий уменьшение тепловосприятия поверхностей
нагрева, вследствие неравномерного омывании их продуктов сгорания, частично
протекания продуктов сгорания мимо нее и образования застойных зон.

,

.
Коэффициент теплопередачи:

,
где 
- коэффициент тепловой
эффективности, величина которого зависит от вида сжигаемого топлива.

,

.
Количество теплоты, воспринимаемое
поверхностью нагрева по уравнению теплопередачи:
где 
- площадь поверхности нагрева.
По принятым двум значениям
температуры продуктов сгорания за газоходом 
и полученным значениям 
и 
производится графическая
интерполяция для определения температуры продуктов сгорания после поверхности
нагрева (зависимость 
), см. Рис.2
Температура продуктов сгорания - 
.
Температурный напор в газоходе:
где 
- температура продуктов сгорания
перед расчетным газоходом;

- температура охлаждающей среды,
для паровых котлов принимается равной температуре кипения воды при
действительном давлении в котле (Приложение 1 - таблица насыщенного водяного
пара).
Количество теплоты, воспринимаемое
поверхностью нагрева по уравнению теплопередачи:
Теплота, отданная продуктами
сгорания:
где 
- коэффициент сохранения тепла;

- присос воздуха в конвективную
поверхность нагрева, определяемый как разность коэффициентов избытка воздуха на
входе и выходе из неё;

- энтальпия присасываемого воздуха
в конвективную поверхность, при температуре воздуха 
;

- энтальпия продуктов сгорания
перед поверхностью нагрева при 
;

- энтальпия продуктов сгорания
после рассчитываемой поверхности нагрева при при 
.
Относительная разность
тепловосприятий определенных по уравнению теплового баланса и уравнения
теплопередачи:
Так как относительная разность менее
2 %, то температура газов за газоходом была принята правильно.
Расчет водяного экономайзера. Количество
теплоты, которое должны отдать продукты сгорания при принятой температуре
уходящих газов:
где 
- коэффициент сохранения тепла;

- присос воздуха в конвективную
поверхность нагрева, определяемый как разность коэффициентов избытка воздуха на
входе и выходе из неё;

- энтальпия присасываемого воздуха
в конвективную поверхность, при температуре воздуха 
;

- энтальпия продуктов сгорания
перед экономайзером при 
;

- энтальпия продуктов сгорания
после экономайзера для принятой по заданию температуре уходящих газов 
.
Энтальпия воды после водяного
экономайзера:
где 
- паропроизводительность котла по
заданию;

- расход топлива;

- энтальпия питательной воды на
входе в водяной экономайзер при температуре питательной воды по заданию 
.

- процент воды удаляемой из котла
непрерывной продувкой:
где 
- сухой остаток химически очищенной
воды, принимается приблизительно равным сухому остатку исходной воды, по
заданию;

- принимается по табличным данным
для котлов с одноступенчатым испарением без пароперегревателя;

- доля потерь конденсата:

,
где 
- процент возврата конденсата, по
заданию.
Температура воды на выходе из
экономайзера:
Температурный напор в экономайзере:
Средняя температура продуктов
сгорания в экономайзере:
Объемный расход продуктов сгорания в
экономайзере:
где 
- расход топлива;

- суммарный объем дымовых газов,
образующийся при сжигании топлива в экономайзере.
Необходимое живое сечение для
прохода газов, при их скорости 
:
Необходимое число труб конструкции
ВТИ в ряду с площадью живого сечения одной трубы для прохода газов 
:
Действительное живое сечение для
прохода продуктов сгорания:
Действительная скорость движения
продуктов сгорания в экономайзере:
Коэффициент теплопередачи:
где 
- коэффициент теплопередачи,
определяемая по номограмме (Рис.6 «Учебно-методического пособия к выполнению
курсовой работы»);

- поправочный коэффициент на
среднюю температуру продуктов сгорания в экономайзере, определяется по
номограмме (Рис.6 «Учебно-методического пособия к выполнению курсовой работы»).
Необходимая расчетная поверхность
нагрева:
Общее потребное число чугунных труб
конструкции ВТИ длиной 3 м и с площадью поверхности нагрева с газовой стороны:
Число рядов труб:

Абсолютная невязка теплового
баланса.
Относительная невязка теплового
баланса.
Список использованной литературы
1. Учебно-методическое пособие к
выполнению курсовой работы по теплогенерирующим установкам, МИКХиС, 2007.
2. Тепловой расчет котельных
агрегатов (нормативный метод). - М.: Энергия, 1979.
. СНиП II-35-76.
Котельные установки, с дополнениями. Нормы проектирования с дополнениями и
исправлениями.
. Эстеркин Р.И. Котельные
усановки. Курсовое и дипломное проектирование. - Л.: Энергоатомиздат, 1989.
. Гусев В.И. Основы
проектирования котельных установок. - М.: Стройиздат, 1973.