Тепловизор в терагерцевом диапазоне
Оглавление
Введение
Глава 1. Принципы построения и
работы терагерцовых систем радиовидения
1.1 Области применения тепловизоров
1.2 Активная и пассивные системы
тепловидения
1.3 Активные системы терагерцевого
радиовидения
1.4 Пассивные системы терагерцового
радиовидения
Глава 2. Описание экспериментальной
установки
.1 Криогенная секция
.2 Твердотельный гетеродин
.3 Оптическая схема сканирования и
фокусировки теплового изображения
.4 Блок управления с системой
обработки сигналов и визуализации поля теплового излучения
.5 Программа построения теплового
изображения
Глава 3. Исследование условий
получения теплового изображения объектов в ММ и СММ диапазоне
Заключение
Список литературы
радиовидение тепловизор терагерцовый
изображение
Введение
Успехи, достигнутые за последнюю четверть века в
освоении инфракрасного диапазона электромагнитного спектра, привели к созданию
разнообразной информационной аппаратуры, и в частности, тепловизоров -
устройств, предназначенных для наблюдения объектов по их собственному инфракрасному
излучению. Предшественники тепловизоров - были способны только обнаруживать
теплоизлучающие объекты и определять на них направление. По мере развития
теплопеленгенераторов появилась возможность использовать их не только для
указанных целей, но и для визуального наблюдения распределения температуры
теплоизлучающих объектов и их опознания. Так совершился логический переход к
тепловизорам. Возможность тепловизоров дистанционно оценивать температурные
поля в реальном масштабе времени и без каких-либо нарушений тепловой среды,
неизбежных при использовании контактных датчиков температуры, вызвала широкое
применение тепловизоров в различных областях промышленного производства,
научных исследованиях и в медицинской практике.
Все тела, температура которых отлична от
абсолютного нуля, являются источниками инфракрасного излучения. Характер
излучения зависит от агрегатного состояния вещества. Спектры излучения газов
состоят, как правило, из отдельных линий и полос, характерных для данного газа.
Линейчатые спектры атомов и полосатые спектры молекул проявляются только в том
случае, когда газ находится в разреженном состоянии. При увеличении связи между
частицами (например, при изменении давления и температуры) линии и полосы
расширяются и становятся нерезкими.
Для спектров жидкостей характерно большое
влияние межмолекулярного взаимодействия. Ширина полос возрастает и появляются
новые полосы, отсутствующие в спектрах газов. У твердых тел вследствие сильного
взаимодействия между молекулами спектры излучения становятся сплошными, так как
линии поглощения оказываются широко размытыми и сливаются в полосы, а полосы -
в участки сплошного спектра.
Инфракрасное излучение является частью
оптического диапазона излучения и занимает в спектре электромагнитных волн
диапазон, характеризуемый длинами волн от 0,76 до 1000 мкм.. В оптическое
излучение входят также рентгеновское излучение (λ =
0,01...5 нм), ультрафиолетовое (λ
= 0,005...0,40 мкм) и видимое (λ
= 0,40...0,76 мкм). Составляющие видимого излучения имеют
следующие диапазоны длин волн: красная - 0,76...0,62 мкм; оранжевая -
0,62...0,59 мкм; желтая - 0,59...0,56 мкм; зеленая - 0,56......0,50 мкм;
голубая - 0,50...0,48 мкм; синяя - 0,48...0,45 мкм и фиолетовая - 0,45...0,40
мкм.
Инфракрасное излучение занимает весьма протяженную
спектральную область, примыкая с одной стороны к видимому излучению, а с другой
- электромагнитным колебаниям радиодиапазона. Инфракрасную область спектра
принято делить на четыре части: ближнюю (λ = 0.76...3
мкм), среднюю(λ = 3...6 мкм), дальнюю (λ=
6...15 мкм)
и очень далекую (λ = 15...1000 мкм).
Инфракрасное излучение так же, как и видимый
свет, распространяется в однородной среде по прямой линии, подчиняется закону
обратных квадратов, может отражаться, преломляться, претерпевать дифракцию,
интерференцию и поляризацию. Скорость распространения инфракрасных лучей равна
скорости света.
Характеризуя излучение тепловых источников,
выделяют три вида излучателей: абсолютно черное тело, серые тела и селективные
излучатели. Абсолютно черное тело - это идеализированное понятие. При данной
температуре оно испускает и поглощает теоретически возможный максимум
излучения.
У большинства твердых тел, особенно у
диэлектриков, полупроводников и окислов металлов, при температурах около 300 К
распределение энергии излучения по спектру имеет такой же характер, как и у
абсолютно черного тела. Такие тела называют «серыми». Они характерны тем, что
отношение их энергетической светимости к энергетической светимости абсолютно
черного цвета, имеющего такую же температуру, не зависит от длины волны и
называется коэффициентом теплового излучения.
Строго говоря, серых тел также в природе не
существует, однако в ограниченных спектральных диапазонах многие тела с
достаточной для практики точностью можно считать серыми. Введение понятия «серого
тела» позволяет использовать законы теплового излучения, выведенные для
абсолютно черного тела. Аналогичное допущение делают и при рассмотрении
излучения селективных излучателей, для которых коэффициентом теплового
излучения считают условную величину, зависящую от ряда параметров излучателя.
Терагерцевое излучение
Терагерцевое (ТГц) излучение - вид
электромагнитного излучения, спектр частот которого расположен между
инфракрасным и сверхвысокочастотным диапазонами. Границы между этими видами
излучения в разных источниках определяются по-разному. Максимальный допустимый
диапазон ТГц частот 1011-1013 Гц, диапазон длин волн
3-0,03 мм соответственно. Такие волны еще называются субмиллиметровыми, если
длина волны попадает в диапазон 1-0,1 мм.
ТГц излучение - не ионизирующее, легко проходит
сквозь большинство диэлектриков, но сильно поглощается проводящими материалами
и некоторыми диэлектриками. Например, дерево, пластик, керамика для него
прозрачны, а металл и вода - нет.
Наука и техника ТГц (субмиллиметровых) волн
начала активно развиваться с 60-70-х годов 20-го века, когда стали доступны
первые источники и приёмники такого излучения. Сейчас это бурно развивающееся
направление, имеющее большие перспективы в разных отраслях народного хозяйства.
На сегодняшний день широко используются частоты
в районе гигагерца - это частоты сотовой связи, это частоты, на которых
работают процессоры в компьютерах.
Терагерцовое излучение обладает и ещё одним
весьма полезным свойством: подобно рентгеновскому, оно позволяет заглянуть
внутрь материи, просветить её. Это может означать новые методы дефектоскопии и
контроля качества на производстве. Ничуть не менее радужные перспективы
открываются и перед биологами и медиками. Дело в том, что терагерцовое
излучение, в отличие от рентгеновского, не наносит вреда живым тканям,
поскольку для получения снимка достаточно очень слабого и очень короткого
импульса. Но, несмотря на низкую интенсивность и малую продолжительность
облучения, контрастность изображения при этом оказывается значительно выше, чем
при традиционном рентгенологическом или ультразвуковом обследовании. Так же
терагерцовое излучение позволяет очень точно улавливать наличие воды и
определять её содержание в тканях.
Целью моей работы будет исследование условий
получения теплового изображения объектов в ММ и СММ диапазоне.
Глава 1. Принципы построения и
работы терагерцовых систем радиовидения
.1 Области применения тепловизоров
В настоящее время тепловизоры имеют
большую область применения, такие как машиностроение, энергетика, медицина и
другие. Тепловизор позволяет заглянуть туда, куда не позволяет заглянуть
человеческий глаз. Этим объясняется широкий спектр применения тепловизоров в
разных отрослях хозяйства. Некоторые области применения можно посмотреть в
таблице 1. [2 3]
Таблица 1. Области применения тепловизоров.
|
Область
применения тепловизоров
|
Объекты
контроля
|
Обнаруживаемые
дефекты или контролируемые процессы
|
|
Энергетика
|
Электрические
подстанции, линии электропередач, теплотрассы, тепломеханическое
оборудование, парораспределительные сети, пруды-
|
Ухудшение
электро- и теплоизоляции, ослабление механического контакта, засорение
теплообменника, трещины в трубах, короткие замыкания, пробой изолятора, износ
токоведущих частей, места самовозгорания сыпучих материалов
|
|
Машиностроение,
металлургия, производство конструкционных материалов
|
Печи
металлургические, ковши для разливки металла, горячий прокат, шины,
древесностружечные плиты, композиционные материалы, сварные соединения,
паяные соединения, клееные соединения, трубы, машины и механизмы, бойлеры,
теплообменники, батареи коксовых печей и сборников газа, трубопроводы,
агломераторы, изложницы, валки, кауперы
|
Утолщение,
трещины и отсутствие футеровки, краевые расслоения, непровары, непроклеи,
непропаи, нарушения целостности, отрыв матрицы, утончение стенок,
коррозионный износ, дефекты сборки, посторонние примеси, износ механических
частей, засорение труб, утечка воды или пара
|
|
Производство
бумаги
|
Бумажная
лента
|
Места
аномальной влажности
|
|
Электронная
техника
|
Полупроводниковые
приборы, интегральные микросхемы, печатные платы, узлы и блоки электронной
аппаратуры, резисторы, конденсаторы, трансформаторы
|
Однородность
полупроводника, непровары, непропаи, непроклеи, дефекты р-n перехода,
изменение номинала, короткие замыкания, обрывы, некачественный монтаж,
загрязнения, подтравливание проводников, неверное размещение элементов,
токовые утечки, неудачный дизайн
|
|
Автомобилестроение
|
Кузов,
стекла, система обогрева, шины
|
Трещины
в стеклах, утечки тепла, отслоение корда от резины
|
|
Строительство
|
Стеновые
панели, крыши зданий, дымовые трубы
|
Дефекты
стыка панелей, трещины, ухудшение теплоизолирующих свойств, участки
инфильтрации воды, обрыв арматуры, утерянные трубы, участки более позднего
ремонта
|
|
ИК
аэрофотосъемка
|
Элементы
земного ландшафта, подземные теплотрассы, ледники, участки геотермальной
деятельности, лес и водные бассейны, фауна, служба спасения людей, геология,
сельхозпосевы
|
Тепловое
загрязнение водного и воздушного бассейна, очаги пожаров, трещины в ледовом
покрове, полезные ископаемые, тектонические изменения, утечки тепла, болезни
растений, степень созревания культур
|
|
Авиакосмическая
и военная техника
|
Бортовое
радиооборудование, винты пропеллеров, панели ракет и самолетов, теплозащитная
обшивка, система самонаведения на цель, аэродромные покрытия, системы
оповещения о раннем запуске ракет, тепловая разведка
|
Дефекты
тепло- и электрооборудования, трещины, некачественное литье, дефекты
сплошности, места инфильтрации воды, ледяные пробки, обнаружение живой силы и
техники противника ночью, выхлопные факелы ракет
|
|
Железнодорожный
транспорт и метрополитен
|
Буксы,
тиристоры, вагоны-холодильники, энергохозяйство
|
Перегревы,
утечки тепло- и электроэнергии, дефекты теплоизоляции
|
|
Нефтехимия
|
Энергохозяйство,
трубопроводы, цистерны, химические реакторы
|
|
Искусство
|
Настенная
живопись, картины, кинематография
|
Структура
и дефекты фресок, исправление первоначального замысла (краски, глины,
конструкции), создание специальных визуальных эффектов
|
|
Медицина
|
Гастроэнтерология,
онкология, нейрохирургия, педиатрия, дерматология, ортопедия, ревматология,
травматология, ЛОР-патология, пульмонология, ангиология, эндокринология, психология
и психиатрия
|
Воспалительные
процессы, локальные опухоли, нарушения кровообращения, процессы заживления
ран, сверхчувствительное восприятие, травмы, психические процессы
|
|
Прочие
области
|
Аэродинамика,
криминалистика, таможня
|
Разогрев
обшивки летательных аппаратов, обнаружение трупов, стреляных гильз,
автомобилей, детектор лжи, обнаружение тайников
|
.2 Активная и пассивные системы
тепловидения
Существует несколько различных подходов к
построению терагерцевой системы радиовидения. Все системы, разрабатываемые в
настоящее время, делятся на активные и пассивные. В первом случае объект
наблюдения облучается терагерцевым излучением, а регистрирующая аппаратура
принимает отраженное от объекта или прошедшее сквозь него излучение. В случае
пассивной системы радиовидения регистрируется собственное тепловое излучение
объекта наблюдения.
Основным плюсом первого метода являются низкие
требования по чувствительности к приемнику излучения, однако использование
активных методов в ряде случаев нежелательно, например при использовании в
медицине и службах безопасности. Для пассивных систем радиовидения видимое
изображение получается по собственному тепловому излучению тел. В этом случае
пассивные системы радиовидения вправе
называться тепловизорами
Рис. 1.1. Существующие подходы к построению
терагерцовых систем радиовидения
1.3 Активные системы терагерцевого
радиовидения
Одним из основных узлов активной системы
радиовидения является источник излучения, с помощью которого объект наблюдения
подвергается облучению. При этом сигнал приемника зависит от коэффициентов
пропускания, отражения, а также величины поглощения и рассеяния в наблюдаемом
объекте. Принято использовать два различных подхода к получению изображений
активными методами.
В первом случае приемник принимает прошедшее
сквозь объект излучение, при таком подходе контраст изображения определяется
коэффициентом пропускания разных частей объекта. В другом случае принимается
отраженное от объекта излучение и изображение определяется распределением
коэффициента отражения наблюдаемого объекта.
Основной плюс работы с активными
системами радиовидения заключается в низких требованиях к чувствительности
приемника. Благодаря этому имеется возможность использовать приемники,
работающие при комнатных температурах, такие как диоды с барьером Шоттки или
MMIC-структуры (Monolithic Microwave Integrated Circuit)[4]. Имея источник с изменяемой частотой излучения,
также можно проводить спектральные исследования объектов наблюдения, а,
следовательно, получать дополнительную информацию об объекте наблюдения.
Основными же минусами подобных
систем являются высокие требования к оптической схеме такого приемника,
позволяющей предотвратить появление бликов, связанных с переотражениями от
объекта, стен помещения и предметов, окружающих объект. В ряде случаев,
использование активных систем крайне нежелательно (прежде всего речь идет о
случаях, когда объектом наблюдения является человек).
Импульсная активная система
терагерцового радиовидения.
Импульсные активные системы
терагерцового радиовидения к настоящему времени уже получили достаточно большое
развитие. Стоит также упомянуть, что к настоящему времени существуют уже
коммерческие модели терагерцовых импульсных систем, позволяющие получать
спектральные характеристики исследуемых образцов, например системы TPS spektra
1000, TPITM imaga 2000 компании Teraview [5]
В качестве источника излучения в
таких системах служит импульсный терагерцевый источник. Одним из способов
получения терагерцевого импульса является облучение фемтосекундным импульсом
GaAs структуры с выполненной на ней металлической антенной[6].Короткий фемтосекундный импульс обладает
чрезвычайно широким спектром, перекрывающим терагерцовый диапазон частот. При
этом спектр сигнала, переизлученного GaAs структурой определяется только
характеристиками антенны. Изменяя топологию антенны, можно формировать спектр
импульса. Приниматься такой терагерцовый импульс может точно такой же
структурой (GaAs с выполненной на нем терагерцовой металлической антенной). Однако,
при всей простоте получения терагерцевого импульса остается крайне сложным
получение узких линий излучения такой структуры. Для получения спектральных
зависимостей отражения и пропускания необходимо использовать
интерферометрические методы, существенно усложняющие конструкцию прибора. В
настоящее время разрабатываются различные подходы получения терагерцовых
изображений при помощи таких систем, работающих как c прошедшим сквозь объект
излучением, так и с отраженным от него излучением.
На рисунке 1.2 представлена типичная
схема используемая в импульсных активных системах построения терагерцовых
изображений.[7]
Рис. 1.2. Блок схема импульсной
активной системы радиовидения
В качестве источника излучения
используется металлическая антенна, выполненная на полупроводниковой структуре,
подвергаемая облучению коротким фемтосекундным импульсом лазера накачки.
На рисунке представлено 3 отдельных
блока: блок генерации импульса терагерцевого излучения, блок детектирования и
система согласования терагерцового излучения с исследуемым образцом. При этом
сам образец может перемещаться, что позволяет производить получение изображения
объекта его сканированием. В приведенном примере исследуется прошедшее сквозь
образец излучение.
Существуют и другие варианты
построения активной импульсной системы построения изображений. Например, можно
использовать в качестве сигнала отраженное от наблюдаемого объекта излучение.
При этом, если объект имеет слоистую структуру и состоит из материалов
различных по своим электродинамическим свойствам, то на каждой границе будет
происходить частичное отражение сигнала. Вводя дополнительную задержку в тракт
сигнала опорного импульса, можно добиться получения изображений от слоев
расположенных внутри объекта. Результат работы подобной системы приведен на
рисунке 1.3 [8]
Компенсация задержки в тракте
сигнала позволяет получать изображения слоев расположенных внутри исследуемого
объекта. Слева вверху приведена фотография исследуемого объекта (чемодан) в
видимом диапазоне частот. Слева внизу приведено терагерцевое изображение
поверхности объекта. Справа вверху приведено терагерцевое изображение пакета,
лежащего внутри чемодана. И наконец, справа внизу представлено терагерцевое
изображение содержимого пакета. На последней картинке отчетливо видны нож и
пистолет, лежащие внутри исследуемого багажа.
Активная система
терагерцевого радиовидения,использующая приемник прямого детектирования.
Представленные на рисунке 1.1 типы
активных систем терагерцевого радиовидения разделены по типу используемого
источника излучения. Существенным отличием описываемых в данном параграфе
терагерцовых систем радиовидения от рассмотренных ранее импульсных активных
систем является использование источников непрерывного излучения терагерцевых
волн.
В качестве примера такой системы на
рисунке 1.4 приведена блок-схема активной системы терагерцевого радиовидения В
качестве прямого детектора в этой работе был использован пиродетектор, не
обладающий рекордными чувствительностью и шумовыми характеристиками среди
детекторов терагерцевого диапазона частот. В качестве перестраиваемого
источника излучения служил параметрический генератор терагерцовых волн.
В работе проведено качественное
сравнение систем построения изображений, использующих импульсные источники, с
системами использующими непрерывный источник излучения. Последние являются
более выгодными системами как по своей стоимости, скорости работы, так и по
своим характеристикам (контрастности получаемых изображений).
Проигрывают же они только по
информативности: данный метод несет информацию лишь об коэффициенте отражения
или поглощения в веществе, при этом невозможно строить срезы наблюдаемого
объекта.
Рис. 1.4. Блок-схема терагерцового
спектрометра, используемого при построении терагерцовых изображений строить
срезы наблюдаемого объекта. [9]
Активная система
терагерцевого радиовиденияиспользующая супергетеродинный приемник.
В случаях, когда активная система
построения радиоизображений используется в условиях большого рассеяния или
поглощения сигнала (например, при работе в открытом пространстве на больших
расстояниях или при обнаружении объектов спрятанных за препятствиями с большим
поглощением), необходимо использовать высокочувствительные приемники. В качестве
примера такой системы на рисунке 1.5 представлена блок-схема активной системы
терагерцового радиовидения с супергетеродинным приемником в качестве приемного
элемента. При проектировании
оптической системы, предназначенной для работы
Рис. 1.5. Активная система
терагерцевого радиовидения, использующая супергетеродинный приемник
Слева представлена блок-схема
системы получения радиоизображений, справа приведено терагерцовое изображение,
совмещенное с видеоизображением человека. Объект наблюдения облучается при
помощи терагерцового лазера, снабженного обратной связью для стабилизации
мощности. В качестве приемного элемента используется смеситель на эффекте
электронного разогрева (HEB-смеситель). В качестве гетеродина используется
твердотельный источник с умножителем частоты. Выходная мощность гетеродина
достаточно мала и для согласования ее со смесителем приходится импользовать
поляризационный интерферометр Мартин-Паплетт. Оптическая схема приемника сложна
и громоздка. При этом качество получаемого изображения низко: яркое пятно в
центре изображения соответствует спрятанному под одеждой металлическому
предмету, при этом распознать форму предмета невозможно. [10]
В открытом помещении неизбежно
приходится учитывать вклад переотраженной мощности как от самого объекта
наблюдения, так и от стен и других объектов, находящихся в помещении. Влияние
таких переотражений приводит к серьезному искажению получаемых терагерцовых
изображений, избежать которые можно лишь в специальных лабораторных условиях.
Поэтому при использовании активных систем в системах построения изображений
приводит к существенным искажениям изображений, вплоть до невозможности
определить форму объекта (см. рис. 1.5).
1.4 Пассивные системы терагерцового
радиовидения
Принцип работы систем пассивного
радиовидения основан на регистрации мощности собственного теплового
радиоизлучения объектов. Тепловое излучение носит шумовой характер и в области
радиоволн имеет весьма низкую интенсивность. Спектральная плотность потока
излучения абсолютно черного тела задается формулой Планка, [11]
(1.1)
В области радиоволн, где
, формула
Планка переходит в закон Рэлея-Джинса,
(1.2)
Таким образом, интенсивность
микроволнового излучения прямо пропорциональна физической температуре абсолютно
черного тела (АЧТ), что ведет к заметному упрощению методов радиометрии и
интерпретации данных. Для исследуемых объектов вводят понятие радиояркостной
температуры, которая равна физической температуре такого АЧТ, имеющего те же
форму и размеры, которое создавало бы излучение такой же интенсивности в
рассматриваемом частотном диапазоне, как и исследуемый объект [12]. Коэффициент
пропорциональности между термодинамической 𝑇 и радиояркостной
температурой 𝑇𝑆 равен
коэффициенту серости тела:
(1.3)
В общем случае контраст получаемого
изображения образуется из-за различных физических свойств и температур
наблюдаемых предметов. Излучение каждого объекта складывается из трех частей:
отраженного, прошедшего и собственного теплового излучения. Если для простоты
пренебречь поглощением сигнала в атмосфере и в объекте, то выражение для
радиояркостной температуры, фиксируемой датчиком, запишется следующим образом:
(1.4)
где r - коэффициент отражения, t -
коэффициент пропускания,
-
коэффициент серости.
В силу закона сохранения энергии эти
коэффициенты связаны соотношением
.
- наблюдаемая радиояркостная
температура;
- радиояркостная температура
стороннего излучения, падающего на объект и отражающегося от него;
- радиояркостная температура
стороннего излучения, падающего на объект и проходящего через него;
- радиояркостная температура самого
объекта. Если объект состоит из хорошо поглощающего материала, то есть его
коэффициент поглощения (и излучения)
, то его наблюдаемая радиояркостная
температур близка к физической (термодинамической) температуре.
Если же объект хорошо отражает
(например, металл), то его видимая радиояркостная температура будет
соответствовать радиояркостной температуре окружающих объект предметов,
например неба.
Поскольку в пассивных системах
построения изображений речь идет о сигнале, связанном с радиояркостной
температурой наблюдаемых объектов, мы вправе выражать выходной сигнал в
единицах температуры, а подобный прибор по аналогии с инфракрасными системами
приема теплового излучения можно называть терагерцовым тепловизором (для
приборов радиодиапазона более употребляемое название - радиометр).
Существуют несколько отличающихся
друг от друга подходов к построению пассивных систем терагерцевого
радиовидения. Для этого могут быть использованы как приемники прямого
детектирования, так и более сложные супергетеродинные приемники. Приемник
прямого детектирования обладает преимуществом простоты, а следовательно и
дешевизны.
Другим важным его достоинством
является то, что его чувствительность может быть безгранично улучшена за счет
расширения входной полосы (это справедливо только теоретически, поскольку
сделать действительно широкую входную полосу приемника крайне сложно). Шумы
супергетеродинного приемника ограничены квантовыми шумами (на практике для всех
существующих смесителей шумы в несколько раз превышают квантовый предел шума),
и это является одним из основных ограничений чувствительности
супергетеродинного приемника. Основным же достоинством супергетеродинного
приемника является возможность получения спектральных характеристик наблюдаемых
объектов. Это свойство супергетеродинного приемника делает его более выгодным в
биомедицинских применениях и системах безопасности. В последующих параграфах
будут описаны особенности применения пассивных систем и сравнение предельно
достижимых чувствительностей приемников прямого детектирования и
супергетеродинных приемников при использовании их в системах построения
радиоизображений.
Рис. 1.6. Блок-схема приемника
прямого усиления. На схеме блоками показаны усилитель высоких частот (УВЧ),
квадратичный детектор (КД) и фильтр низких частот (ФНЧ).\
Пассивная система
терагерцового радиовидения, основаннаяна приемнике прямого детектирования.
На рисунке 1.6 приведена блок схема
типичного приемника прямого детектирования. Использование квадратичного
детектора приводит к тому, что выходной сигнал приемника прямопропорционален
радиояркостной температуре наблюдаемого объекта. Основным параметром
определяющим чувствительность приемника в тепловизионных применениях является
его флуктуационная чувствительность. Флуктуационная чувствительность приемника
прямого детектирования (в англоязычной терминологии noise equivalent temperature
difference - NETD) - это такое изменение физической температуры наблюдаемого
абсолютно черного тела, которое приводит к изменению выходного сигнала
детектора на величину, равную величине шума. Основным параметром, определяющим
чувствительность приемника прямого детектирования, является 𝑁𝐸𝑃 (noise
equivalent power - эквивалентная мощность шума), ширина входной полосы частот
приемника 𝐵𝐷 и ширина
выходной полосы приемника, определяемая постоянной времени интегрирования
сигнала 𝜏. Выражение для флуктуационной чувствительности
детекторного приемника следует из определения и может быть записано как :
(1.5)
где
- амплитуда шума на выходе
приемника,
s - его вольт-ваттная
чувствительность,
- скорость изменения величины
падающей мощности при изменении яркостной температуры наблюдаемого объекта.
(1.6)
здесь NEP -
эквивалентная мощность шума,
- постоянная Больцмана,
M- число
пространственных мод, принимаемых антенной приемника.
Чувствительность приемника может
быть улучшена расширением входной полосы частот приемника, а также увеличением
времени интегрирования, однако получить бесконечно малое значение ΔTD все же
невозможно. Основными препятствиями в этом служат следующие факторы.
Во-первых, изготовление
широкополосных приемных антенн терагерцевого диапазона частот, сопряженных с
чувствительным элементом приемника, достаточно сложная задача. В качестве
наиболее широкополосной в терагерцевом диапазоне частот используется
логопериодическая спиральная антенна, при этом относительная ширина полосы
такой антенны
где
- центральная частота антенны.
Вторым ограничивающим фактором
является тот факт, что с увеличением постоянной времени, существенную роль в
формировании значения
начинают
вносить дрейфы системы, связанные с нестабильностью питания приемника, а
следовательно, увеличение постоянной времени разумно лишь до некоторого
значения. Особо следует отметить, что создание высокостабильных во времени
приемных систем отдельная весьма сложная задача.
Кроме того, при конструировании
систем построения радиоизображений реального времени время накопления
определяется частотой смены кадров и увеличение постоянной времени до единиц
секунд уже крайне нежелательно. И наконец последнее ограничение вносят
флуктуации температуры фона, приводящие к ограничению NEP, что
является очень важным при создании систем радиовидения, ориентированных на
работу с объектами комнатной температуры.
Приведем теоретический расчет
предельного значения флуктуационной чувствительности на примере
болометрического приемника на эффекте электронного разогрева в тонких
сверхпроводящих пленках[13].Для
подобного приемника существует несколько вкладов в его шумы, среди которых
можно назвать джонсоновский шум, шумы флуктуации температуры приемника и шумы
флуктуации температуры фона (речь идет о флуктуации температурынаблюдаемого
объекта). Помимо этого существуют еще и фликкер-шумы, природа которых часто
бывает не совсем ясна, а интенсивность с увеличением частоты сигнала
существенно уменьшается. В пределе, когда собственные шумы приемника будут
бесконечно малы, его чувствительность будет определятся только шумами
флуктуации температуры наблюдаемого объекта. В этом случае
(1.7)
здесь
- постоянная Стефана-Больцмана,
- радиояркостная температура
наблюдаемого объекта,
S - площадь
чувствительного элемента детектора,
Ω - телесный угол, в котором
излучение приходит от объекта на детектор,
a -
коэффициент, связанный с эффективностью согласования падающего излучения с
антенной детектора.
Выбирая в качестве переменных
величин стандартные значения для болометрических детекторов на эффекте
электронного разогрева в сверхпроводниках, получим предельное значение для
.
При ширине входной полосы
= 0.5 ТГц и постоянной времени t = 1 c для
приемника, снабженного одномодовой антенной, величина
≥ 5
мК.
Приведенный расчет соответствует
реальному положению дел в области построения пассивных приемников терагерцового
диапазона. Такие высокочувствительные приемники как детекторы на кинетической
индуктивности (KID - kinetic inductunce detector) и детекторы на
сверхпроводящем переходе (TES - transition edge sensor) обладающие
превосходными шумовыми характеристиками, теряют свои уникальные свойства при
наблюдении объектов, находящихся в условиях земной поверхности.
В качестве примера пассивной
терагерцовой системы построения изображений, основанной на приемнике прямого
детектирования, приведем результаты опубликованные в работах (см. рисунок 1.7).
Описываемая в этих работах, достаточно удачная по своим характеристикам
приемная система основана на сверхпроводящем микроболометре, изготовленным по
технологии.вакуумный мост.
(.vacuum-bridge. или.air-bridge.).
\
Представленное изображение получено
с флуктуационной чувствительностью 125 мК при времени получения одного пиксела
= 10 мс (в той же работе приведено значение флуктуационной чувствительности 2.5
мК при постоянной времени 30 мс без учета влияния оптических потерь и шумов
флуктуации температуры наблюдаемого объекта). Пространственное разрешение
представленного изображения = 1 см.
Также стоит упомянуть, как о
наиболее передовой, о MMIC технологии (монолитные микроволновые интегральные
схемы, от англ. Monolithic Microwave Integrated Circuits) создания приемников
прямого детектирования
В этом случае приемник снабжается
УВЧ, работающих на HEMT транзисторах (транзисторы с высокой подвижностью электронов,
от англ. High electron mobility transistor) Данная технология позволяет
создавать приемные системы с рабочими частотами до 300 ГГц.
Особо следует отметить тот факт, что
благодаря простоте приемника прямого детектирования возможно создание матричных
приемников. Такое усложнение приемника позволит получать терагерцевые
изображения без использования сложных сканирующих систем, помимо этого
чувствительность матричного приемника увеличивается за счет использования
большего количества приемников в
раз, где
- число
элементов матричного приемника. Ранее матричные приемники разрабатывались
исключительно для астрономических наблюдений (проекты SCUBA, SCUBA2). Вместе с
тем, продолжающееся развитие детекторов терагерцевого диапазона частот
позволяет надеяться на скорое создание терагерцевых матричных детекторных
приемников широкого применения.
Пассивная система
терагерцового радиовидения,использующая супергетеродинный приемник.
На рисунке 1.8 представлена блок
схема типичного супергетеродинного приемника. Ключевым элементом
супергетеродинного приемника является нелинейный элемент - смеситель. При
попадании на него двух монохроматических волн (гетеродин и сигнал) на выходе
смесителя возникает большое количество гармоник на частотах
.
Здесь
- частота
гетеродина,
- частота
сигнала. При использовании квадратичного смесителя число гармоник в выходном
сигнале ограничено.
Рис. 1.8. Блок-схема
супергетеродинного приемника.
На схеме блоками показаны усилитель
высоких частот (УВЧ) (практически по всех приемниках терагерцового диапазона
частот данный блок отсутствует), смеситель (СМ), гетеродин (Г), усилитель
промежуточной частоты (УПЧ), квадратичный детектор (КД) и фильтр низких частот
(ФНЧ).
Основная работа ведется с гармоникой
на частоте
, называемой
промежуточной частотой. Мощность данной гармоники пропорциональна мощности
сигнала. При помощи усилителя промежуточной частоты отсеиваются все лишние
гармоники и напряжение на выходе квадратичного детектора пропорционально
мощности входного сигнала, или его радиояркостной температуре. Основными
характеристиками смесителей являются ширина полосы промежуточных частот (ширина
”окна” вокруг частоты гетеродина, в котором собирается информация),
динамический диапазон (диапазон измеряемых мощностей) и шумовая температура
(мера собственных шумов смесителя).
Среди наиболее развитых смесителей
терагерцового диапазона частот можно назвать смесители на диодах с барьером
Шоттки,14 СИС смесители и HEB смесители[14]. На
рисунке 1.9 представлены шумовые характеристики перечисленных терагерцевых
смесителей. Каждый из них обладает своими достоинствами и недостатками. Так ДБШ
способны работать без дополнительного охлаждения, но при этом требуют
достаточно большую мощность гетеродина ( 1 мВт), что в терагерцовом диапазоне
частот является серьезной проблемой.
СИС смесители (смесители на
квазичастичной нелинейности вольт-амперной характеристики туннельного перехода
сверхпроводник-изолятор-сверхпроводник) обладают шумовой температурой сравнимой
с квантовыми шумами и теоретически неограниченной полосой промежуточных частот,
но при этом их рабочий диапазон частот ограничен сверху величиной 2Δh/2, здесь Δ - величина
энергетической щели сверхпроводника, h -
постоянная Планка.
Выше данной частоты шумовая
температура СИС смесителя начинает резко возрастать. HEB смесители (hot
electron bolometer mixers - смесители на эффекте электронного разогрева в
сверхпроводниках) также обладают шумовой температурой лишь в несколько раз
превышающей квантовый предел
, однако
равномерный электронный разогрев в таких приемниках возможен только при
частотах гетеродина ≥ Δh/2, ниже данной частоты шумовая
температура HEB-смесителя хоть и незначительно, но возрастает, уступая при этом
по шумовым характеристикам СИС-смесителям. В качестве терагерцовых гетеродинов
могут быть использованы лампы обратной волны (ЛОВ),газовые лазеры, генераторы Ганна с
полупроводниковыми умножителями,а также
квантовый каскадный лазер.
Помимо этого, существуют и
сверхпроводниковые генераторы на вязком течении джозеффсоновских вихрей
(FFO-flux flow oscillator). Эта технология может быть использована для создания
интегральных супергетеродинных приемников на базе СИС-смесителей или
HEB-смесителей. Для сравнения характеристик супергетеродинного приемника и
приемника прямого детектирования применительно к использованию их в пассивных
терагерцевых системах радиовидения также можно ввести понятие флуктуационной
чувствительности. Для супергетеродинного приемника в случае большого сигнала
флуктуационная чувствительность определяется в соответствии с формулой
(1.8)
здесь
- флуктуационная чувствительность
супергетеродинного приемника,
- шумовая температура приемного
устройства,
- радиояркостная температура
наблюдаемого объекта,
- ширина полосы промежуточных
частот,
- постоянная времени фильтра низких
частот,
- безразмерный коэффициент порядка
единицы, величина которого меняется от 2 до 4 и зависит от выбора схемы
приемника.
Рис. 1.9. Зависимость двухполосной шумовой
температуры 𝑇𝑅 от типа смесителя
и частоты гетеродина, HEB смесители представлены как в квазиоптической, так и в
волноводной модификациях. [13]
Выражение
принято
называть радиометрическим выигрышем, и обозначать через
.
Наиболее часто в литературе встречается другая
формула, являющаяся частным случаем формулы (1.8) в пределе, когда шумовая
температура приемника существенно превышает радиояркостную температуру
наблюдаемого объекта.
(1.9)
На рисунке (1.10) приведены зависимости
флуктуационной чувствительности от шумовой температуры смесителя, выраженные
формулами (1.8) и (1.9), при температуре наблюдаемого объекта равной 300 К. При
этом заметные отклонения от линейного закона в формуле (1.9) начинают
проявляться уже при шумовых температурах смесителя 500 К. Исходя из этого можно
сделать вывод, что дальнейшее снижение шумовой температуры приемника не имеет
смысла и улучшение флуктуационной чувствительности приемника можно достичь лишь
за счет увеличения радиометрического выигрыша, то есть расширением полосы
промежуточных частот и увеличением постоянной времени интегрирующей цепи
(фильтра низких частот).
Приведем теоретический расчет предельного
значения флуктуационной чувствительности супергетеродинного приемника. Для HEB
смесителей рекордные значения ширины полосы промежуточных частот составляют 6
ГГц для СИС смесителей теоретического ограничения полосы промежуточных частот
нет, однако реализовать действительно широкую полосу преобразования на практике
очень сложно. Сложность прежде всего определяется необходимостью использовать
широкополосные охлаждаемые усилители промежуточной частоты. В настоящее время
существуют разработки охлаждаемых усилителей, в которых реализована полоса
усиления до 12 ГГц.
Рис. 1.10. Зависимость флуктуационной
чувствительности от шумовой температуры смесителя, для получения точного
значения
необходимо
поделить значение на графикена
. Красная линия
соответствует выражению (1.8) (температура наблюдаемого объекта- 300 К), синяя
- формуле (1.9).
При ширине полосы промежуточных частот
=
12 ГГц, шумовой температуре
= 200 К,
постоянной времени
= 1 с и
=
(для
схемы модуляционного радиометра с прямоугольной модуляцией и синусоидальной
демодуляцией) флуктуационная чувствительность будет составлять
.
Полученное значение не существенно отличается от
теоретического предела флуктуационной чувствительности, полученной для
терагерцевого приемника прямого детектирования. Однако, использование
супергетеродинного приемника несет в себе явные плюсы (возможность получения
спектральной информации), делающие его незаменимым при проектировании систем
построения терагерцовых изображений.
Глава 2. Описание экспериментальной
установки
Прибор состоит из 5 основных узлов (Рис. 2.1)
.1 Криогенная секция
Криогенная секция предназначена для:
а) установки и охлаждения смесительного
элемента,
б) изоляции приёмных элементов от нагрева их
комнатным тепловым излучением,
в) фокусировки изображения в субмиллиметровом
диапазоне длин волн на приёмные элементы,
г) установки и охлаждения широкополосных
предусилителей видео сигнала
д) ввода напряжений питания и управляющих
сигналов системы приёма изображения в субмиллиметровом диапазоне,
е) осуществления передачи СВЧ сигнала в
радиометрический тракт регистрации.
Особенностями спроектированной
низкотемпературной секции является:
а) обеспечение надёжного теплового контакта
охлаждаемых элементов с охлаждаемой поверхностью холодильной установки,
в) наличие тепловой изоляции охлаждаемых
элементов путём вакуумирования рабочей камеры, снижения теплопередачи за счёт
выбора конструкций подводящих соединений, установки теплового фильтра на
входном окне тепловизора.
На рис. 2.1 представлена криогенная секция
лабораторного образца тепловизора, охлаждаемая жидким гелием. На холодной плате
размещены все узлы тепловизора, требующие охлаждения. Приёмный элемент вместе с
гиперполусферической кремниевой линзой установлена на держателе, через который
осуществляется охлаждение смесителя поверхностью холодной платы. Адаптер
смещения развязывает высокочастотный тракт ПЧ от низкочастотной схемы смещения
смесителя (на снимке представлен монтаж одного из каналов тракта ПЧ). Для
согласования смесителя с усилителем ПЧ применяется ВЧ вентиль. Усилитель ПЧ
вместе с ВЧ вентилем имеют тепловой контакт с холодной платой, за счёт чего
понижается уровень вносимых ими шумов. Криогенная секция имеет герметичные
вводы СММ излучения и подачи смещения, а также вывод сигналов ПЧ. Перед
охлаждением секция герметизируется и в ней создаётся высокий вакуум. В
криогенной секции установлены 4 высокочастотных канала тракта ПЧ
В качестве чувствительного элемента
использовалась, разработанный ранее в МПГУ смеситель на основе эффекта
электронного разогрева в тонких сверхпроводящих NbN
пленках. Смесители имеют шумовую температуру 3000 К, эффективную ширину полосы
в двухполосном режиме - 7 ГГц, ограниченную полосой охлаждаемого усилителя
промежуточной частоты с полосой частот 0,7-4,2 ГГц. Теоретический расчет
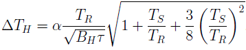
флуктуационной чувствительности определяется формулой (1.8).
ΔТ - флуктуационная
чувствительность;
ТN - шумовая
температура приемника;
TS - Яркостная
температура сигнала;
α - безразмерный коэффициент
порядка единицы, связанный с типом модулятора на входе тепловизионного
приемника;
q -
Радиометрический выигрыш;
При радиометрическом выигрыше q=2*104
теоретически рассчитанная чувствительность составляет 0,2К. То же значение было
экспериментально получено при измерении флуктуационной чувствительности
тепловизора.
На рис. 2.3 и 2.4 показаны зависимости от
частоты коэффициента шума и коэффициента усиления усилителей промежуточной
частоты, охлажденных до температуры 4,2К. Криогенная часть тракта промежуточной
частоты размещена на охлаждаемой панели вместе с приемной матрицей.
Рис. 2.3 Рис
2.4
2.2 Твердотельный гетеродин
Рис. 2.5 Блок-схема твердотельного гетеродина на
основе полупроводниковых умножителей частоты.
Блок-схема твердотельного гетеродина на основе
полупроводниковых умножителей частоты представлена на Рис. 2.5. Он состоит из
генератора СВЧ излучения, выполненного на основе диода Ганна. Частота излучения
генератора составляет 90ГГц. Выходная мощность - 50 мВт. Через согласующий
вентиль излучение 3х миллиметрового диапазона длин волн поступает на
вход варакторного умножителя частоты. На Рис.6 представлена зависимость
выходной мощности от рабочей частоты варакторного умножителя при разных уровнях
мощности генератора накачки. Одной из задач, решаемых в процессе проектирования
и изготовления твердотельного гетеродина, являлось определение оптимальной
рабочей частоты. Хотя максимальная выходная мощность варакторного утроителя
частоты достигалась при частоте 295ГГц, но снижение мощности накачки 3х миллиметрового
генератора Ганна на соответствующей частоте не позволяло повысить выходную
мощность всего устройства. Поэтому оптимальной по уровню выходной мощности
оказалась частота 270 ГГц. Выходная мощность твердотельного гетеродина
составляет 1мВт. Генератор Ганна и варакторный умножитель частоты изготовлены в
волноводном исполнении и представляют собой единый блок.
Излучение твердотельного гетеродина
миллиметрового диапазона длин волн через волноводно-лучеводный переход (ВЛП) поступает
в квазиоптический тракт. Квазиоптический тракт состоит из диплексера, в котором
излучение гетеродина объединяется с тепловым излучением исследуемого объекта,
фокусирующей тефлоновой линзы и собирающей кремниевой линзы, на плоской
поверхности которой помещена приемная матрица. Приемная матрица вместе с
кремниевой линзой охлаждается в криостате. Основными задачами при настройке
твердотельного гетеродина являлись фокусировка излучения и достижение
равномерности распределения мощности по поверхности приемной матрицы. Но
равномерное распределение мощности по поверхности матрицы само по себе
предусматривает несфокусированность излучения. Добиться оптимального
компромисса удавалось изменением расстояния между ВЛП и диплексером, а также
изменением расходимости луча после прохождения ВЛП.
Рис.2.6 Зависимость выходной мощности от рабочей
частоты варакторного умножителя при разных уровнях мощности генератора накачки.
Первоначальная настройка генератора Ганна и
варакторного умножителя частоты производилась в отдельности. Генератор Ганна
был нагружен на согласованную нагрузку, состоящую из СВЧ вентиля,
измерительного аттенюатора, волномера и термисторного измерителя мощности.
Механической настройкой и изменением режима питания генератор Ганна
настраивался на максимальную выходную мощность, после чего определялась частота
излучения. При настройке варакторного умножителя частоты в качестве генератора
накачки использовался генератор на основе лампы обратной волны, позволяющий проводить
измерения в широком диапазоне частот. С его помощью были получены выходные
характеристики утроителя частоты в диапазоне от 270 ГГц до 360 ГГц. На основе
сопоставления технических характеристик генератора Ганна и варакторного
умножителя частоты был произведен выбор рабочей частоты и затем осуществлена
сборка твердотельного гетеродина.
2.3 Оптическая схема сканирования и
фокусировки теплового изображения
В рамках данной работы разработана
математическая модель и проведены численные эксперименты сканирующего в
реальном времени радиообъектива. Для проведения численных экспериментов были
взяты следующие характеристики сканирующей системы: скорость получения
изображения 250 точек/с, размер области сканирования 0,5 х 0,5 м2, расстояние
до объекта 3 м, пространственное разрешение менее 10 мм, линейные размеры
объектива не более 1 м х 1 м. Таким образом можно получить 1 полный кадр
размером 250х250 за 10 секунд.
Для решения поставленной задачи предложена
следующая схема сканирующего объектива:
Оптическая зеркальная система, состоящая из
сферического зеркала, асферического контррефлектора и двух поворотных плоских
зеркал (рис. 2.7). Исходя из указанных характеристик были выбраны следующие
параметры главного зеркала:
Сферическое главное зеркало с радиусом кривизны
530 мм и апертурой 0.3 м. Расчетное значение пространственного разрешения по
критерию Рэлея будет составлять (с учетом малости угла схождения пучка):
где l - расстояние от главного зеркала до
объекта, λ - длина волны, D
- апертура, d -пространственное разрешение.
Форма поверхности описывается следующей
формулой:
где, с = 0,001887 мм-1, k = 0. Диаметр отверстия
в центре зеркала был выбран 20 мм, так как ширина гауссового пучка для
используемой нами кремниевой линзы в этой области равна 15 мм.
Допустимые значения шероховатости и отклонения
от поверхности 10 мкм и 50 мкм соответственно.
Рис 2.7. Оптическая схема сканирующего в
реальном времени объектива. 1 - главное зеркало; 2 - контррефлектор; 3 -
медленное поворотное зеркало; 4 - быстрое поворотное зеркало.
Для уменьшения влияния сферической аберрации
главного зеркала на пространственное разрешение оптической системы в качестве
контррефлектора было выбрано асферическое зеркало диаметром 40 мм, поверхность
которого описывается той же формулой, что и поверхность сферического зеркала,
но со значениями c = 0,01 мм-1, k = 9. Требования к качеству поверхности те же,
что и для большого зеркала. Расстояние между главным зеркалом и
контррефлектором составляет 0,27 м.
Для получения двухмерного изображения было
предложено использовать два прямоугольных зеркала, колеблющихся в двух
взаимноперпендикулярных плоскостях относительно одной из осей симметрии и
расположенных под углом 45° к гауссовому пучку. Момент инерции такого зеркала
рассчитывается по формуле:
где I - момент инерции, ρ
- плотность
материала, a - сторона, параллельная оси вращения, b - сторона, перпендикулярная
оси вращения,
d - толщина зеркала.
Для получения изображений было решено
использовать строчную развертку кадра, поскольку это самый простой вариант для
реализации. Для обеспечения необходимого пространственного разрешения и
скорости сканирования были выбраны следующие размеры зеркал, и учитывая, что
пучок после главного зеркала системы является слабо сходящимся:
Для быстрого зеркала:
. Ширина: 0,28 м;
. Длина: 0,38 м;
. Ось вращения проходит параллельно длинной
стороне, по оси симметрии зеркала;
. Толщина зеркала 2 мм.
. Момент инерции: 3,75 г*м2
Для медленного зеркала:
. Ширина: 0,405 м;
. длина: 0,275 м;
. Ось вращения проходит параллельно короткой
стороне, по оси симметрии зеркала;
. Толщина зеркала 2 мм.
. Момент инерции: 8,22 г*м2
Для управления такими зеркалами возможно
использование шаговых двигателей. Минимальный момент сил, который должен
обеспечивать двигатель с учетом скорости сканирования и момента инерции
быстрого зеркала составляет:
где ε = 20,9 рад/с2
- угловое ускорение, необходимое для достижения скорости 0,42 рад/с за время
0,02 с.
Для реального двигателя момент сил нужно
рассчитывать, зная момент инерции его ротора, но он, как правило, на порядки
меньше момента инерции нагрузки. Исходя из этих данных была предложена
математическая модель программы управления шаговым двигателем быстрого зеркала
для обеспечения необходимой скорости сканирования. Исходя из того, что ротор
шагового двигателя поворачивается только на определенный угол, а скорость вращения
определяется частотой импульсов, получено следующее выражение для интервала
равноускоренного движения:
где Δtn - временной
интервал между импульсами, n - порядковый номер импульса, Δα
-минимальный
угол поворота шагового двигателя, E - угловое ускорение. Графики зависимости
скорости и угла поворота шагового двигателя от времени для ускорения ε
= 20,9
рад/с2, представлены на рисунке 2.8.
Рисунок 2.8. Графики зависимости скорости и угла
поворота от времени. Δ - зависимость
скорости от времени; о - зависимость угла поворота от времени
Таким образом, мы можем получить одну строчку
кадра за время, 200 мс с двумя участками равноускоренного вращения зеркала по
~20 мс каждый и с участком равномерного ~160 мс, и кадр за 10 с.
.4 Блок управления с системой
обработки сигналов и визуализации поля теплового излучения
Блок управления с системой обработки сигналов и
визуализации поля теплового излучения создан на базе персонального компьютера.
Он соединен с микропроцессором тракта промежуточной частоты аппаратным
интерфейсом SPI, а также
передает информацию с аналого-цифровых преобразователей, следящих за положением
сканирующей системы. Сигнал с видеодетекторов поступает на 8 разрядные аналого-цифровые
преобразователи канала видеосигнала и далее цифровая информация через
контроллер вводится в персональный компьютер. Считывание информации
осуществляется с частой около 10кГц, синхронизированной с частотой вращения
отражателя, что соответствует 500 точкам изображения за один оборот отражателя.
Всего в кадре содержится около 2*104 точек. Со сканера в канал
синхронизации поступают синхронизирующие импульсы, отмечающие начало каждого
оборота и синхронизирующие импульсы начала кадра. По кадровому синхронизирующему
импульсу закрывается массив данных кадра изображения и вырабатывается сигнал
разрешения на формирование нового массива данных о видеосигнале. Этот массив
начинает формироваться по приходу очередного синхронизирующего импульса начала
оборота отражателя. Синхронизирующие импульсы начала оборота отражателя
используются для синхронизации моментов считывания сигнала в видеоканале.
С целью настройки установки программное
обеспечение позволяет просматривать в реальном времени в графическом интерфейсе
запись видео информации в массив данных. Тем самым в процессе настройки
возможен выбор динамического диапазона яркости кадра. Кроме того, этот режим
позволяет выявлять источники избыточного шума и помех.
Перед построением изображения полученная видео информация
подвергается цифровой обработке с целью устранения или ослабления шумов и
помех. Одним из источников помех являются электрические колебания на
промышленной частоте. Прямым Фурье преобразованием в диапазоне частот до 3 кГц
выявляются компоненты вызванные наводкой промышленной частоты 50 Гц и ее
гармониками. После их устранения сигнал восстанавливается обратным Фурье
преобразованием.
Шумы в полосе видео детектора составляют другой
источник помех. Поскольку частота считывания информации не ограничивает
разрешающую способность прибора, снижение шумов можно добиться усреднением
данных по 3 или 5 соседним точкам. Программой предусмотрены такие режимы
усреднения.
Серьезную помеху создает шумоподобный дрейф
напряжения на выходе видеодетектора. Снизить его величину позволяет накопление
видео сигнала по различным кадрам. Это накопление можно осуществить, т.к.
разбиение по полю, благодаря синхронизации моментов считывания с разверткой
сканера, идентично для всех кадров. В результате такого режима работы удается
повысить чувствительность и контрастность статических или медленно меняющихся
изображений.
Цифровая обработка кадра осуществляется
параллельно с приемом следующего кадра и экспозицией предыдущего. Обновление
кадра производится автоматически после его цифровой обработки.
.5 Программа построения теплового
изображения
Программа построения теплового изображения
предназначена как для обеспечения работы прибора в режиме визуализации, так и
для настройки, тестирования и калибровки отдельных узлов тепловизора и всего
устройства в целом. Она состоит из программных блоков, управляющих режимами:
калибровки
считывания и хранения видео информации
цифровой обработки информации
построения изображения.
Режим настройки применяется при сборке
тепловизора и достижения согласованной работы его узлов.
Режим калибровки предназначен для определения и
задания необходимых параметров, позволяющих правильно интерпретировать видео
сигнал с целью построения изображения.
В режиме считывания и хранения видео информации
осуществляется отображение видео информации в реальном времени на экране
монитора и ее запись в файл данных.
Режим цифровой обработки информации позволяет
проводить временную и спектральную фильтрацию видео сигнала с целью снижения
влияния синхронных и импульсных помех.
В режиме построения изображения используются
калибровочные параметры и настройки, установленные в других режимах работы. В
этом режиме в реальном времени тепловое изображение отображается на экране
монитора.
Особенности разработанной программы
построения теплового изображения.
Программа построения теплового изображения
написана на языке программирования Borland
Delphi 6.0.
Программа управляет процессом обмена информацией
между регистрирующим устройством и персональным компьютером.
Пользовательский интерфейс выполнен в
многооконном диалоговом режиме.
Описание программы построения
теплового изображения.
В диалоговом окне программа предлагает выбрать
режим работы.
В режиме настройки на экран монитора выводится в
реальном времени график зависимости от времени напряжения видеосигнала,
пропорционального яркости изображения. В этом режиме осуществляется настройка
на оптимальную мощность гетеродина субмиллиметровых смесителей, подбирается
оптимальное смещение, производится фокусировка оптической схемы, устраняются
причины синхронных и импульсных помех. Также в этом режиме методом трех
отсчетов измеряется шумовая температура смесителей, контролируется необходимый
уровень чувствительности. Помимо графика не экран монитора выводится информация
о величине сигнала и результат расчета шумовой температуры смесителей.
В режиме калибровки формируется таблица
соответствия сигналов с датчиков углов поворота сканера с точками на поле
изображения. Механический сканер проходит поле теплового изображения по двум
координатам, фокусируя оптическую систему последовательно на точках
изображения. Для увеличения скорости сканирования перемещение точки наблюдения
происходит в результате вращения отражающего зеркала вокруг прецессирующей оси
вращения. Траектория движения точки фокусировки по полю изображения
определяется углами наклона нормали зеркала к оси вращения и углом прецессии.
Эти величины измеряются по прохождению луча лазера через отражающую систему и в
качестве параметров вносятся в компьютер.
Режим считывания и хранения информации может
включаться параллельно с другими режимами работы. В этом случае запрашивается
имя файла для хранения информации, этот файл открывается или создается. Данные
заносятся параллельно с выводом видео информации или построением изображения на
мониторе. При этом можно задавать один из двух режимов хранения - до цифровой
обработки видео сигнала или после неё. В первом случае оцифрованный сигнал с
видео датчиков непосредственно заносится в память компьютера, во втором
запоминается результат обработки видео информации. Формат данных -
последовательность чисел, показывающих яркость элемента изображения. Порядок
записи чисел отражает последовательность сканирования изображения. В начале
файла заносятся параметры необходимые для восстановления изображения.
Цифровая обработка информации производится с
помощью трех функций.
Для снижения влияния импульсных промышленных
помех можно вводить режим усреднения по 3-5 последовательным точкам
изображения. Это эквивалентно методу аналогового интегрирования сигнала по
времени. При этом несколько снижается пространственное разрешение, но
улучшается отношение сигнал/шум.
Снижение помех на низких частотах (прежде всего
сетевых помех и помех от механических вибраций) производится прямым и обратным
Фурье преобразованием. На выбранном промежутка времени определяется спектр
сигнала. Этот спектр в виде спектральной диаграммы выводится на экран монитора.
Оператор может задать участки частотного диапазона, подлежащие исключению при
обратном Фурье преобразовании. После задания этих параметров можно вернуться в
режим построения изображения, где заданный режим настройки сохранится.
За время прохождения кадра оцифровывается около
2 тысяч точек. Чтобы изображение на экране монитора выглядело непрерывным,
вокруг каждой точки задается область, яркость которой пропорциональна яркости
центральной точки, но убывает по закону Гаусса по мере удаления от нее. Задавая
параметры распределения Гаусса можно достичь непрерывности изображения по всему
полю. Эти параметры также сохраняются при переходе к построению изображения.
Режим построения изображения является основным
при эксплуатации прибора. В этом режиме используются параметры, определенные и
заданные в других режимах работы. Также возможно изменение этих параметров
непосредственно из режима построения изображения с непрерывным отслеживанием
результатов этих изменений по формируемому тепловому изображению.
Глава 3. Исследование условий
получения теплового изображения объектов в ММ и СММ диапазоне
С помощью экспериментальной установки для
измерений при криогенных температурах физических характеристик
полупроводниковых и сверхпроводниковых смесителей и исследования условий
получения теплового изображения в СММ диапазоне длин волн проведены
исследования по прохождению миллиметрового и субмиллиметрового излучения через
различные препятствия и возможность получения теплового изображения объектов в
этом диапазоне длин волн. На Рис.3.1 - 3.8 приведены некоторые из полученных
изображений, а также построены зависимости распределения яркости по полю кадра
излучения на частоте 250 ГГц. Рис. 3.1-3.6 отличаются материалом использованных
экранов. На всех из них изображён один и тот же объект - металлический стержень
с резиновым покрытием на фоне поверхности с температурой на 30о ниже
комнатной. Характерно, что линейные размеры изображения одинаковы на всех
кадрах. На Рис. 3.7, 3.8 представлены изображения полоски пластика толщиной 2мм
и шириной 2,5см. Вдоль правого края на ширину 5мм был нанесён тонкий слой
графита. Видно, что структура предмета получена с разрешением около 5мм. Кадр
на Рис.3.8 был получен сквозь поролоновый экран от пластиковой полоски,
расположенной на фоне поверхности нагретой до 40оС.
О поглощении материала следует судить по
контрастности кадра. Наибольшее поглощение В результате показано, что все
выбранные материалы непрозрачные для видимого и ИК излучения, пропускают
субмиллиметровое излучение без заметного рассеяния и не препятствуют
правильному формированию изображения. О поглощении материала следует судить по
контрастности кадра. Наибольшее поглощение наблюдается в материалах активно
адсорбирующих воду (фанера).
С целью определения возможности применения СММ
тепловизоров в системах дистанционного контроля человека для определения
скрытых под одеждой опасных предметов: взрывчатки, холодного и огнестрельного
оружия, было проведено сканирование поверхности человеческого тела. В
результате измерений было получено, что контрастность теплового излучения
человеческого тела в СММ диапазоне по отношению к комнате составляет 180С
(температура в комнате 180С -200С). Эта величина не
зависела от температуры поверхности кожи, что свидетельствовало о том, что
тепловизор определял температуру внутренних тканей, составляющую около 370С.
Хлопчатобумажная и шерстяная одежда практически не меняла тепловое излучение
человеческого тела, но металлические предметы любой толщины и различные виды
пластика толщиной выше 3см, размещённые под одеждой, экранировали его
практически полностью. Таким образом, легко можно было определить их место положения.
Исследование спектральных зависимостей
пропускания различных материалов позволило определить границы частотного
диапазона работы тепловизоров миллиметрового и субмиллиметрового диапазона.
Измерены коэффициенты прохождения и отражения электромагнитной волны различных
диэлектрических материалов. Основное внимание было уделено измерению
электрических свойств тканей и материалов, применяющихся при пошиве одежды. Эти
исследование необходимы для определения возможности применения тепловизора в
инспекционных и охранных системах для обнаружения различных предметов под
одеждой на фоне теплового излучения человеческого тела. Измерения проводились в
диапазоне длин волн от 150 ГГц до 350 ГГц. На Рис. 3.9. для примера показаны
зависимости пропускания материалов, применяющихся для изготовления верхней
одежды: плотная шерстяная ткань, драп различной текстуры и драп с утеплителем.
Измерения показали, что данные материалы обладают высокой прозрачностью в
диапазоне частот от 150 ГГц до 200 ГГц независимо от плотности и толщины.
Переходная область наблюдается в диапазоне от 200 ГГц до 250 ГГц, а в районе
300 ГГц имеется резкий спад пропускания. Характер спада и граничная частота
сильно зависят не только от плотности материала, но и от текстуры, т.е. способа
расположения волокон. Для повышения пространственного разрешения необходимо
принимать тепловое излучение в наиболее коротковолновой части диапазона
прозрачности.
На основании проведенных измерений шерстяных
тканей и других материалов следует сделать заключение, что оптимальный
частотный диапазон субмиллиметрового тепловизора находится вблизи 250 ГГц. Это
крайняя частота диапазона прозрачности исследованных материалов, которая
соответствует наиболее коротким длинам волн.
На Рис. 3.10 представлен спектр пропускания деревянных
брусков (бук) различной толщины. Измерения показывают, что на частотах выше
160ГГц наблюдается сильное поглощение излучения (для толщины 7 мм). При малой
толщине доски (2 мм) неравномерность спектра пропускания обусловлена
интерференцией волн, отраженных от поверхностей деревянного бруска. Спектр
пропускания другого органического вещества - куска мыла показан на Рис. 3.11.
Высокое поглощение этих материалов на выбранной рабочей частоте 250ГГц делает
их заметными на фоне теплового излучения человеческого тела.
Проведённые тестовые измерения демонстрируют
работоспособность СММ тепловизора и перспективность создания на его основе
инспекционных систем контроля человека для определения скрытых под одеждой
опасных предметов: взрывчатки, холодного и огнестрельного оружия.
Заключение
1. Измерены характеристики
сверхпроводникового HEB смесителя. Получено: При ширине
полосы промежуточных частот 
, шумовой температуре
= 200 К,
постоянной времени
= 1 с и
=
флуктуационная
чувствительность будет составлять
.
Достоверность полученных значений
флуктуационной температуры подтверждается согласием полученных данных с
экспериментальными и теоретическими исследованиями других авторов.
. Разработан Супергетеродинный
приемник.
3. Изучены свойства материалов в
терагерцевом диапозоне частот. Получено что Хлопчатобумажная ткань и пластик
почти не поглощают ТГЦ излучение.
Картон и фанера сильно поглощают,
это может быть связано с влагой внутри материала.
4. С помощью разработанного приемника получены
тепловые изображения в терагерцевом диапазоне частот. Проведено исследование
условий получения теплового изображения объектов в ММ и СММ диапазоне. Продемонстрировано
влияние препятствий на качество изображения, а также разработаны требования к
возможности получения тепловых изображений за препятствиями;
Список литературы
1.
ОЖЕГОВ Роман Викторович - Флуктуационная чувствительность и стабильность
приемников с СИС и HEB смесителями для терагерцового тепловидения.
2.
http://www.thermoview.ru/articles/primenenie/
. Пирогов Ю. А.
Пассивное радиовидение в миллиметровом диапазоне длин волн // Известия ВУЗов
”Радиофизика”. 2003. Т. XLVI, № 8 - 9. С. 660 - 670.
4. http://en.wikipedia.org/wiki/MMIC.
5. http://www.teraview.co.uk.
6. Karpovicz N., Dawes D., Perry M.
J., Zhang X.-C. Fire damage on carbonfiber materials characterized by THz waves
// International Journal of High Speed Electronics and Systems. 2007. Vol. 17,
no. 2. Pp. 213 - 224.
7.
<http://www.frascati.enea.it/THZ-BRIDGE/>.
8. Zimdars D., White J., Stuck G., et
al. Time Domain Terahertz Imaging of Threats in Luggage and Personnel //
International Journal of High Speed Electronics and Systems. 2007. Vol. 17, no.
2.
9. Kawase K., Ogawa Y., Minamide H.,
Ito H. Terahertz parametric sources and imaging applications // Semicond. Sci.
Technol. 2005. no. 20. Pp. 258 -- 265.
. Hubers H.-W. Active Terahertz
Imaging for Security (TeraSec). SRC 07, Berlin, 27.03.2007.
11.
Краус Д. Д. Радиастрономия. Пер. с англ., под ред. Железнякова В. В. Москва:
Сов. радио, 1973.
12.
Есепкина Н. А., Корольков Д. В., Парийский Ю. Н. Радиотелескопы и радиометры.
Москва: Наука, 1973.
13.
Гершензон Е. М., Гершензон М. Е., Гольцман Г. Н. и др. О предельных
характеристиках быстродействующих сверхпроводниковых болометров.