Свойство высокоэнергетических магнитов и их применение

  • Вид работы:
    Реферат
  • Предмет:
    Физика
  • Язык:
    Русский
    ,
    Формат файла:
    MS Word
    70,2 Кб
  • Опубликовано:
    2012-06-24
Вы можете узнать стоимость помощи в написании студенческой работы.
Помощь в написании работы, которую точно примут!

Свойство высокоэнергетических магнитов и их применение

Министерство образования и науки Российской Федерации

Новосибирский Государственный Технический Университет

Кафедра общей электротехники









Реферат на тему:

Свойство высокоэнергетических магнитов и их применение










Новосибирск 2012

ВВЕДЕНИЕ

ХХ век характеризуется огромными достижениями в разных областях науки и техники. Одним из таких направлений является создание электротехнологических процессов, основанных на воздействии высокочастотных электромагнитных полей на проводящие материалы и среды. Создаются технологические процессы, связанные с нагревом металлов (термообработка, высокочастотная сварка, нагрев заготовок перед пластической деформацией), полупроводниковых материалов (выращивание монокристаллов кремния, германия, окислов, имеющих высокую температуру плавления и т.п.), ионизированных газов с получением водорода и др., сфероидизация частиц, переработка жидких радиоактивных отходов и т.п.).

Применение этих процессов и перспективы их развития обусловлены рядом постоянно действующих факторов:

высоким качеством нагрева вследствие быстроты процесса, отсутствием загрязнений, достижимостью любых температур, возможностью использования различных атмосфер и вакуума и т.д.; существует ряд процессов, реализация которых без индукционного нагрева практически невозможна;

гибкостью и высокой точностью управления из-за малой инерционности процесса, возможностью точного дозирования энергии, наличием нескольких каналов управления;

сбережением материальных, трудовых и во многих случаях энергетических ресурсов за счёт уменьшения потерь материала в процессе нагрева, повышения качества продукции, увеличения производительности (изменение структуры топливно-энергетического баланса делает электроэнергию наиболее перспективным энергоносителем для промышленного нагрева;

уменьшением вредных воздействий на окружающую среду и улучшением условий труда обслуживающего персонала.

Одним из полезных процессов является намагничивание постоянных магнитов.

На основании расчета процесса намагничивания постоянных магнитов (ПМ) из редкоземельных материалов (РЗМ), а также многочисленных экспериментальных исследований было разработано специальное технологическое оборудование для намагничивания редкоземельных постоянных магнитов в составе роторов двигателей 5ДВМ. Применением же импульсных намагничивающих установок, способных накапливать энергию с помощью конденсаторной батареи можно достаточно легко достичь большего уровня напряженности магнитного поля.

С конца 70-х - начала 80-х г.г. прошедшего столетия авторским коллективом разрабатываются установки импульсного поля и проводятся исследования процессов импульсного намагничивания редкоземельных ПМ. Новая установка УИН-3000 разработана специально для обеспечения производства двигателей 5ДВМ и комплектуется индукторными системами в зависимости от габарита двигателя, подлежащего намагничиванию.

Следует отметить, что за последние 10-20 лет появилось большое разнообразие марок ПМ из РЗМ на основе соединения SmCo5, Sm2Co17, и N2Fe14B, которые имеют значение энергетического произведения (ВН)мах до 350 кДж/м^3 и более, значение остаточной индукции Вr в пределах от 0,7 до 1,3 Тл и более, коэрцитивной силы по намагниченности Нсм в пределах 1000 - 2000 кА/м и более. Уровень напряженности магнитного поля, требуемого для их намагничивания довольно высок и находится в интервале Н = 3200 - 4000 кА/м, а иногда и выше. Указанный уровень поля трудно достичь в устройствах стационарного магнитного поля.

МАГНИТЫ РЕДКОЗЕМЕЛЬНЫЕ

Редкоземельные магниты - это магниты, произведенные с добавлением элементов лантаноидной группы. Двумя элементами этой группы, наиболее часто используемыми при производстве постоянных магнитов, являются неодим (Nd) и самарий (Sm). Существует большое количество смесей и сплавов с использованием этих элементов, но наиболее часто используются сплавы неодим-железо-бор (Nd-Fe-B) и самарий-кобальт (SmCo).

Магниты Nd-Fe-B делятся на два вида: спеченные и магнитопласты. Спеченные магниты изготавливаются по технологии порошковой металлургии, обладают высокими магнитными свойствами, но дороги в производстве и хрупки. Магнитопласты используют полимерный наполнитель для удержания частиц магнитного сплава, обладают более слабыми магнитными свойствами, но дешевы, пластичны и легко обрабатываются. 

Материалы, используемые для производства постоянных магнитов.

Существует 4 класса современных коммерческих магнитов, каждый из которых основывается на своем составе используемых материалов. Внутри каждого класса различают семейства градаций со своими магнитными свойствами. Эти основные классы следующие:

Неодим-железо-бор (Nd-Fe-B, NdFeB, NIB);

Самарий-кобальт (SmCo);

Альнико (Alnico);

Керамические (ферриты).

Таблица, приведенная ниже, представляет некоторые специальные характеристики этих классов постоянных магнитов.

Материал

Br (Гс)

Hc (Э)

(BH)max (МГсЭ)

TcofBr (% на ºС)

Tmax (ºС)

Tcur (ºС)

Nd-Fe-B

12800

12300

40

-0.12

150

310

SmCo

10500

9200

26

-0.04

300

750

Альнико

12500

640

5.5

-0.02

540

860

Керамические

3900

3200

3.5

-0.20

300

460


Современные магнитные материалы.

Магниты из сплава неодим-железо-бор и самарий-кобальт известны также как редкоземельные магниты, так как в их состав входят элементы редкоземельной, или лантаноидной, группы периодической системы элементов. Как видно из таблицы, эти магниты являются сильнейшими из постоянных магнитов, и их трудно размагнитить. В тоже время, рабочая температура у магнитов из сплава неодим-железо-бор наименьшая.

Магниты альнико сделаны из сплава алюминия, никеля, кобальта и железа. Как видно из таблицы, данный класс магнитов меньше всего подвержен влиянию температуры, но легко размагничивается. В тоже время, максимальная рабочая температура у данного класса магнитов наибольшая.

Керамические магниты - наиболее известный класс магнитов. Это довольно сильные магниты, не так легко размагничивающиеся как альнико, но их магнитные характеристики наиболее подвержены влиянию температуры.

Фериты

Ферриты (или керамика, керамические магниты, ceramic) - самые популярные постоянные магниты, существующие в настоящее время. Они производятся из комбинации феррита бария или стронция и оксида железа и демонстрируют высокую коэрцитивную силу, что говорит о хорошей сопротивляемости к размагничиванию. Ферриты обладают наименьшей стоимостью, что обеспечивает им успех в тех магнитных приложениях, где не требуется выдающихся результатов по величине магнитного поля. Ферриты имеют очень хорошую коррозионную стойкость и устойчиво работают в диапазоне температур от -40 до +250 градусов Цельсия. Диапазон максимальной энергии - от 1,1 до 4,5 МГЭ.

Альнико

Магниты альнико (Alnico, AlNiCo, алюминий-никель-кобальт) демонстрируют высокое значение остаточной магнитной индукции, отлично работают при повышенных температурах, имеют достаточно высокое значение максимальной энергии, однако основным их недостатком является относительно легко размагнитить. Они производятся из сплавов алюминия, никеля и кобальта с добавлением различных химических элементов и могут быть как литые, так и спеченные. Литые магниты альникомогут быть сделаны столь замысловатых форм, которые не могут быть осуществлены с другими материалами. Спеченные магниты альнико обычно ограничены небольшими размерами. Магниты альнико самые термостабильные среди всех видов магнитов и могут быть использованы без значительной потери свойств до 500-600 градусов Цельсия. Диапазон максимальной энергии - от 1,4 до 7,5 МГЭ.

Как представители второго поколения редкоземельных магнитов, магниты самарий-кобальт (Samarium, SmCo) не только имеют достаточно высокое значение максимальной энергии и подходящую величину коэрцитивной силы, но также демонстрируют лучшие температурные характеристики в семействе редкоземельных магнитных материалов. Магниты самарий-кобальт могут работать при температуре до 350 градусов Цельсия, имеют лучшую температурную стабильность и лучшую коррозионную стойкость по сравнению с остальными редкоземельными материалами. Диапазон максимальной энергии - от 18 до 32 МГЭ.

Неодим-железо-бор

Магниты неодим-железо-бор (Neodymium, Nd-Fe-B, NdFeB, неодимовые магниты), третье поколение редкоземельных магнитов, имеют наиболее высокие значения остаточной магнитной индукции, коэрцитивной силы, максимальной энергии и соотношения производительность/цена. Их легко производить различных форм и размеров, поэтому магниты неодим-железо-бор широко используются в авиации, электронике, метрологии, медицинских инструментах и т.п. Они особенно подходят для разработки высокопроизводительных, компактных и легких устройств.

Диапазон максимальной энергии - от 1 до 48 МГЭ.

Рис. 1

В заключение нужно отметить, что представленные диаграммы характеризуют наиболее распространенные характеристики семейств магнитных материалов. Для конкретных магнитов различных производителей конкретные характеристики могут отличаться от приведенных (например, коэрцитивная сила магнитов Nd-Fe-B при некоторых добавках может достигать величины 22 кЭ). Тем не менее, диаграммы демонстрируют общие соотношения между семействами магнитных материалов.

Формулы для расчета постоянных магнитов

Ниже приведены методы и формулы для приблизительного расчета несложных магнитных систем на основе постоянных магнитов, рекомендуемые английской фирмой, вполне доступные для понимания пожилого дровосека. Все последующие формулы, комментарии и картинки взяты непосредственно со страницы фирмы , правда не могу поручиться за абсолютную точность моего перевода.

Расчет магнитной индукции аксиально-намагниченных цилиндрических магнитов с радиусом (r) и длиной (l ), в точке расположенной на расстоянии (d) от повехности, вдоль оси производится по формуле:


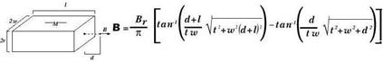
Расчет магнитной индукции для призматических магнитов намагниченных по длине, толщиной (2t), шириной (2w) и длиной ( l), для точки расположенной на расстоянии (d) от поверхности вдоль магнитной оси производится по формуле:


ВЕНТИЛЬНЫЙ ЭЛЕКТРОДВИГАТЕЛЬ

Вентильный электродвигатель - это синхронный двигатель <http://ru.wikipedia.org/wiki/%D0%A1%D0%B8%D0%BD%D1%85%D1%80%D0%BE%D0%BD%D0%BD%D0%B0%D1%8F_%D0%BC%D0%B0%D1%88%D0%B8%D0%BD%D0%B0>, основанный на принципе частотного регулирования с самосинхронизацией, суть которого заключается в управлении вектором магнитного поля статора в зависимости от положения ротора. Вентильные двигатели ещё называют бесколлекторнымидвигателями постоянного тока <http://ru.wikipedia.org/wiki/%D0%9C%D0%B0%D1%88%D0%B8%D0%BD%D0%B0_%D0%BF%D0%BE%D1%81%D1%82%D0%BE%D1%8F%D0%BD%D0%BD%D0%BE%D0%B3%D0%BE_%D1%82%D0%BE%D0%BA%D0%B0>, потому что коллектор такого двигателя обычно питается от постоянного напряжения.

Описание ВД

Этот тип двигателя создан с целью улучшения свойств электродвигателей постоянного тока <http://ru.wikipedia.org/wiki/%D0%AD%D0%BB%D0%B5%D0%BA%D1%82%D1%80%D0%BE%D0%B4%D0%B2%D0%B8%D0%B3%D0%B0%D1%82%D0%B5%D0%BB%D1%8C_%D0%BF%D0%BE%D1%81%D1%82%D0%BE%D1%8F%D0%BD%D0%BD%D0%BE%D0%B3%D0%BE_%D1%82%D0%BE%D0%BA%D0%B0>. Высокие требования к исполнительным механизмам (в частности, высокооборотных микроприводов точного позиционирования) обусловили применение специфических двигателей постоянного тока: бесконтактных трехфазных двигателей постоянного тока. Конструктивно они напоминают синхронные двигатели переменного тока: магнитный ротор вращается в шихтованом статоре с трехфазными обмотками. Но обороты являются функцией от нагрузки и напряжения на статоре. Эта функция реализована с помощью переключения обмоток статора в зависимости от координат ротора. При вращении магнита, ротор наводит в обмотках статора ЭДС, в результате чего возникает ток.

В вентильном двигателе индуктор <http://ru.wikipedia.org/wiki/%D0%98%D0%BD%D0%B4%D1%83%D0%BA%D1%82%D0%BE%D1%80> находится на роторе <http://ru.wikipedia.org/wiki/%D0%A0%D0%BE%D1%82%D0%BE%D1%80> (в виде постоянных магнитов <http://ru.wikipedia.org/wiki/%D0%9F%D0%BE%D1%81%D1%82%D0%BE%D1%8F%D0%BD%D0%BD%D1%8B%D0%B9_%D0%BC%D0%B0%D0%B3%D0%BD%D0%B8%D1%82>), якорная обмотка находится на статоре <http://ru.wikipedia.org/wiki/%D0%A1%D1%82%D0%B0%D1%82%D0%BE%D1%80> (синхронный двигатель <http://ru.wikipedia.org/wiki/%D0%A1%D0%B8%D0%BD%D1%85%D1%80%D0%BE%D0%BD%D0%BD%D1%8B%D0%B9_%D0%B4%D0%B2%D0%B8%D0%B3%D0%B0%D1%82%D0%B5%D0%BB%D1%8C>). Напряжение питания обмоток двигателя формируется в зависимости от положения ротора. Если в двигателях постоянного тока для этой цели использовался коллектор <http://ru.wikipedia.org/wiki/%D0%9A%D0%BE%D0%BB%D0%BB%D0%B5%D0%BA%D1%82%D0%BE%D1%80%D0%BD%D0%BE-%D1%89%D1%91%D1%82%D0%BE%D1%87%D0%BD%D1%8B%D0%B9_%D1%83%D0%B7%D0%B5%D0%BB>, то в вентильном двигателе его функцию выполняет полупроводниковый коммутатор <http://ru.wikipedia.org/wiki/%D0%9A%D0%BE%D0%BC%D0%BC%D1%83%D1%82%D0%B0%D1%82%D0%BE%D1%80> (датчик положения ротора <http://ru.wikipedia.org/wiki/%D0%94%D0%B0%D1%82%D1%87%D0%B8%D0%BA_%D0%BF%D0%BE%D0%BB%D0%BE%D0%B6%D0%B5%D0%BD%D0%B8%D1%8F_%D1%80%D0%BE%D1%82%D0%BE%D1%80%D0%B0> (ДПР) с инвертором <http://ru.wikipedia.org/wiki/%D0%98%D0%BD%D0%B2%D0%B5%D1%80%D1%82%D0%BE%D1%80_%28%D0%BF%D1%80%D0%B5%D0%BE%D0%B1%D1%80%D0%B0%D0%B7%D0%BE%D0%B2%D0%B0%D1%82%D0%B5%D0%BB%D1%8C%29>).

Основным отличием ВД от синхронного двигателя является его самосинхронизация с помощью ДПР, в результате чего у ВД, частота вращения поля пропорциональна частоте вращения ротора.

Статор

Статор имеет традиционную конструкцию и похож на статор асинхронной машины <http://ru.wikipedia.org/wiki/%D0%90%D1%81%D0%B8%D0%BD%D1%85%D1%80%D0%BE%D0%BD%D0%BD%D0%B0%D1%8F_%D0%BC%D0%B0%D1%88%D0%B8%D0%BD%D0%B0>. Он состоит из корпуса, сердечника из электротехнической стали и медной обмотки, уложенной в пазы по периметру сердечника. Количество обмоток определяет количество фаз двигателя. Для самозапуска и вращения достаточно двух фазсинусной и косинусной. Обычно ВД трёхфазные, реже - четырёхфазные.

По способу укладки витков в обмотки статора различают двигатели имеющие обратную электродвижущую силу <http://ru.wikipedia.org/wiki/%D0%AD%D0%BB%D0%B5%D0%BA%D1%82%D1%80%D0%BE%D0%B4%D0%B2%D0%B8%D0%B6%D1%83%D1%89%D0%B0%D1%8F_%D1%81%D0%B8%D0%BB%D0%B0> трапецеидальной (BLDC) и синусоидальной (PMSM) формы. По способу питания фазный токов соответствующих типах двигателя также изменяется трапецеидально или синусоидально.

Ротор

Ротор изготавливается с использованием постоянных магнитов <http://ru.wikipedia.org/wiki/%D0%9F%D0%BE%D1%81%D1%82%D0%BE%D1%8F%D0%BD%D0%BD%D1%8B%D0%B9_%D0%BC%D0%B0%D0%B3%D0%BD%D0%B8%D1%82> и имеет обычно от двух до восьми пар полюсов с чередованием северного и южного полюсов.

Вначале для изготовления ротора использовались ферритовые <http://ru.wikipedia.org/wiki/%D0%A4%D0%B5%D1%80%D1%80%D0%B8%D1%82%D1%8B_%28%D0%BE%D0%BA%D1%81%D0%B8%D1%84%D0%B5%D1%80%D1%8B%29> магниты. Они распространены и дёшевы, но им присущ недостаток в виде низкого уровня магнитной индукции. Сейчас получают популярность магниты <http://ru.wikipedia.org/wiki/%D0%A0%D0%B5%D0%B4%D0%BA%D0%BE%D0%B7%D0%B5%D0%BC%D0%B5%D0%BB%D1%8C%D0%BD%D1%8B%D0%B9_%D0%BC%D0%B0%D0%B3%D0%BD%D0%B8%D1%82> из сплавов редкоземельных элементов <http://ru.wikipedia.org/wiki/%D0%A0%D0%B5%D0%B4%D0%BA%D0%BE%D0%B7%D0%B5%D0%BC%D0%B5%D0%BB%D1%8C%D0%BD%D1%8B%D0%B5_%D1%8D%D0%BB%D0%B5%D0%BC%D0%B5%D0%BD%D1%82%D1%8B>, так как они позволяют получить высокий уровень магнитной индукции и уменьшить размер ротора.

Датчик положения ротора

Датчик положения ротора (ДПР) реализует обратную связь по положению ротора. Его работа может быть основана на разных принципах - фотоэлектрический <http://ru.wikipedia.org/wiki/%D0%A4%D0%BE%D1%82%D0%BE%D1%8D%D1%84%D1%84%D0%B5%D0%BA%D1%82>, индуктивный, на эффекте Холла <http://ru.wikipedia.org/wiki/%D0%AD%D1%84%D1%84%D0%B5%D0%BA%D1%82_%D0%A5%D0%BE%D0%BB%D0%BB%D0%B0>, и т.д. Наибольшую популярность приобрели датчики Холла и фотоэлектрические, так как они практически безинерционны и позволяют избавиться от запаздывания в канале обратной связи по положению ротора.

Фотоэлектрический датчик, в классическом виде, содержит три неподвижных фотоприёмника, которые поочерёдно закрываются шторкой вращающейся синхронно с ротором. Это показано на рисунке 1 (желтая точечка). Двоичный код, получаемый с ДПР, фиксирует шесть различных положений ротора. Сигналы датчиков преобразуются управляющим устройством в комбинацию управляющих напряжений, которые управляют силовыми ключами, так, что в каждый такт (фазу) работы двигателя включены два ключа и к сети подключены последовательно две из трёх обмоток якоря. Обмотки якоря U, V, W расположены на статоре со сдвигом на 120° и их начала и концы соединены так, что при переключении ключей создаётся вращающийся градиент магнитных полей.

Принцип работы ВД

Принцип работы ВД основан на том, что контроллер ВД коммутирует обмотки статора так, чтобы вектор магнитного поля статора всегда был ортогонален <http://ru.wikipedia.org/wiki/%D0%9E%D1%80%D1%82%D0%BE%D0%B3%D0%BE%D0%BD%D0%B0%D0%BB%D1%8C%D0%BD%D0%BE%D1%81%D1%82%D1%8C> вектору магнитного поля ротора. С помощью широтно-импульсной модуляции (ШИМ) <http://ru.wikipedia.org/wiki/%D0%A8%D0%B8%D1%80%D0%BE%D1%82%D0%BD%D0%BE-%D0%B8%D0%BC%D0%BF%D1%83%D0%BB%D1%8C%D1%81%D0%BD%D0%B0%D1%8F_%D0%BC%D0%BE%D0%B4%D1%83%D0%BB%D1%8F%D1%86%D0%B8%D1%8F> контроллер управляет током, протекающим через обмотки ВД, т.е. вектором магнитного поля статора, и таким образом регулируется момент, действующий на ротор ВД. Знак у угла между векторами определяет направление момента действующего на ротор.

Коммутация производится так, что поток возбуждения ротора - Ф0 поддерживается постоянным относительно потока якоря. В результате взаимодействия потока якоря и возбуждения создаётся вращающий момент M, который стремится развернуть ротор так, чтобы потоки якоря и возбуждения совпали, но при повороте ротора под действием ДПР происходит переключение обмоток и поток якоря поворачивается на следующий шаг.

В этом случае и результирующий вектор тока будет сдвинут и неподвижен относительно потока ротора, что и создаёт момент на валу двигателя.

В двигательном режиме работы МДС статора опережает МДС ротора на угол 90°, который поддерживается с помощью ДПР. В тормозном режиме МДС статора отстаёт от МДС ротора, угол 90° так же поддерживается с помощью ДПР.

Управление двигателем

Контроллер ВД регулирует момент, действующий на ротор, меняя величину ШИМ.

В отличие от щёточного электродвигателя постоянного тока, коммутация в ВД осуществляется и контролируется с помощью электроники.

Распространены системы управления, реализующие алгоритмы широтно-импульсного регулирования и широтно-импульсной модуляции <http://ru.wikipedia.org/wiki/%D0%A8%D0%98%D0%9C> при управлении ВД.

Система, обеспечивающая самый широкий диапазон регулирования скорости - у двигателей с векторным управлением <http://ru.wikipedia.org/wiki/%D0%92%D0%B5%D0%BA%D1%82%D0%BE%D1%80%D0%BD%D0%BE%D0%B5_%D1%83%D0%BF%D1%80%D0%B0%D0%B2%D0%BB%D0%B5%D0%BD%D0%B8%D0%B5>. С помощью преобразователя частоты осуществляется регулирование скорости двигателя и поддержание потокосцепления в машине на заданном уровне.

Особенность регулирования электропривода с векторным управлением - контролируемые координаты, измеренные в неподвижной системе координат преобразуются к вращающейся системе, из них выделяется постоянное значение, пропорциональное составляющим векторов контролируемых параметров, по которым осуществляется формирование управляющих воздействий, далее обратный переход.

Недостатком этих систем является сложность управляющих и функциональных устройств для широкого диапазона регулирования скорости.

ВЫСОКОМОМЕНТЫЙ ЭЛЕКТРОДВИГАТЕЛЬ ПОСТОЯННОГО ТОКА

магнит производство вентильный электродвигатель

Высокомоментный электродвигатель - это электродвигатель постоянного тока, у которого вместо электромагнитного возбуждения используют возбуждение от постоянных магнитов. Высокомоментные электродвигатели применяют в электроприводах подач станков с числовым программным управлением. Они позволяют получать большие крутящие моменты при непосредственном соединении с ходовым винтом без промежуточных передач. Благодаря наличию возбуждения от постоянных магнитов, эти двигатели выдерживают значительные перегрузки и отличаются высоким быстродействием, так как способны кратковременно развивать большой (50 - 20-кратный) крутящий момент при малых частотах вращения. Отсутствие обмотки возбуждения, нагревающейся при работе двигателя с электромагнитным возбуждением, обусловливает меньший нагрев двигателя с постоянными магнитами.

Высокомоментные электродвигатели (ВМЭД) - относительно тихоходные двигатели постоянного тока с возбуждением от постоянных магнитов. Эти двигатели применяются в замкнутых системах ЧПУ. Структурная схема привода подач с ВМЭД показана на рис. В приводе подач станков с ЧПУ применяют беззазорные редукторы, передающие вращение от двигателя к ходовому винту.

Весьма перспективно использование малоинерционных высокомоментных электродвигателей.

Для точности позиционирования используются высокомоментные электродвигатели постоянного тока, которые соединяют непосредственно с винтом подач через бесшпоночные соединения, образуя жесткую передачу без кинематической цепи. Также используются электродвигатели, мощность которых в комплекте с гидроусилителями моментов служит для управления более мощными приводами и другие устройства.

Следующим направлением является разработка новых малоинерционных высокомоментных электродвигателей со сравнительно низкой номинальной частотой вращения (800 - 1200 об / мин) без обмоток возбуждения, в которых для создания магнитного поля возбуждения применяют постоянные магниты из магнитных материалов с высокой коэрцитивной силой. Это позволило значительно снизить потери, габариты, массу и получить высокую кратность тока и момента по отношению к номинальным без размагничивания основного поля двигателя, а также получить весьма низкие частоты вращения ( 0 1 об / мин) при равномерном вращении.

Приводами движений продольной и поперечной подач служат высокомоментные электродвигатели постоянного тока: для движения продольной подачи М2, для движения поперечной MS. Регулирование скоростей подач - бесступенчатое.

Перемещения всех исполнительных органов станка осуществляются отвысокомоментных электродвигателей с постоянными магнитами.

Привод подач МС чаще всего состоит извысокомоментного электродвигателя постоянного тока с бесступенчатым регулированием. Электродвигатель через редуктор соединяется с парой винт - гайка качения. В крупных станках вместо редуктора используют двухступенчатые коробки скоростей с электромагнитными муфтами. Применяют и гидроприводы подач.

В приводах движения подачи станков с ЧПУ используют высокомоментные электродвигатели серии ПБВ с возбуждением обмотки от постоянных магнитов или двигатели постоянного тока серии 2П или ПБС с электромагнитным возбуждением обмотки.

ЗАКЛЮЧЕНИЕ

В реферате рассмотрены основные создание высокоэнергетических магнитов с применение редкоземельных элементов. Применение высокоэнергетических магнитов в основных электродвигателях и применение этих двигателей в производстве.

Список литературы

1.    Монтгомери Д.Б. Получение сильных магнитных полей с помощью соленоидов: Пер. с англ. М.: Мир, 1971. - 360 с.

2.      Плетнев С.В. Магнитное поле, свойства, применение. - СПб: Гуманистика, 2004. - 624 с.

.        “Химия и жизнь”, научно-популярный 1998 №8.

. <http://www.dissercat.com/content/issledovanie-chastichnogo-razmagnichivaniya-vysokoenergeticheskikh-postoyannykh-magnitov-v-i>

.        <http://www.74rif.ru/magnit-mat.html>

Похожие работы на - Свойство высокоэнергетических магнитов и их применение

 

Не нашли материал для своей работы?
Поможем написать уникальную работу
Без плагиата!
Без нейросетей!