Расчет и анализ газового цикла

  • Вид работы:
    Контрольная работа
  • Предмет:
    Физика
  • Язык:
    Русский
    ,
    Формат файла:
    MS Word
    335,75 Кб
  • Опубликовано:
    2012-05-19
Вы можете узнать стоимость помощи в написании студенческой работы.
Помощь в написании работы, которую точно примут!

Расчет и анализ газового цикла

Министерство образования и науки Российской Федерации

Ульяновский государственный технический университет

Кафедра «Теплоэнергетика»









« Расчёт и анализ газового цикла»

Выполнил студент группы Тэбд-11 Обабков А.

Проверил: Ртищева. А. С









Ульяновск 2011

Расчётно- графическая работа №1

«Расчёт и анализ газового цикла.»

Цель расчётно-графической работы - освоить расчёт термодинамических процессов и цикла, когда в качестве рабочего тела используется смесь идеальных газов. Каждый студент выполняет расчёт по индивидуальному заданию, закрепляя теоретические знания, полученные на лекциях и при самостоятельной работе со специальной литературой.

.1      Исходные данные для расчёта и задание

Каждый студент получает от преподавателя номер варианта газовой смеси , для которой выполняется расчёт.

Составы газовых смесей (по объему или по массе) для различных вариантов приведены в таблице 2 Приложения. Количество смеси равно 1 кг.

В процессе работы теплового двигателя эта газовая смесь совершает цикл, начинающаяся в точке ǁ с параметрами   и состоящая из следующих пяти процессов:

.        Адиабатный 1-2 (

.        Изохорный 2-3 (

.        Изотермический 3-4 (

.        Политропный 4-5 (

.        Политропный 5-1

При выполнении расчётно-графической работы требуется:

.        Определить значение параметров (

.        Рассчитать характеристики процессов, составляющих (, а также характеристики цикла и заполнить итоговую таблицу 1.3

.        Построить цикл в координатах ( c соблюдением масштабов), показать  для процессов

.        Определить термический К.П.Д (цикла.

.        Оформить отчёт и подготовиться к защите.

При расчётах считать газовую смесь идеальным газом все процессы- обратимыми, а теплоёмкость- постоянной величиной, не зависящей от температуры. Все расчёты проводить для 1кг рабочего тела ( смеси).

.2      Методические указания

В начале работы надо определить для заданной смеси  Далее, используя данные таблицы 1.1, определяют теплоёмкость , а также показатель адиабаты K. Значения  проверяют по уравнению Майера.

Таблица 1.1

Киломольные теплоёмкости газов (приближённые значения)

Газы

 Ккал/(кмоль*K)

 Ккал/(кмоль*K)

 кДж/(кмоль*K)

 кДж/(кмоль*K)

Одноатомные Двухатомные Трёх-и многоатомные

3 5 7

5 7 9

12.56 20.93 29.31

20.93 29.31 37.68


Затем, используя уравнение Kлайперона и термодинамических процессов, надо определить в характерных точках цикла 1,2,3,4,5 основные параметры  а также функции состояния

Результаты расчётов сводят в таблицу 1.2

Таблица 1.2 Параметры и функции состояния рабочего тела в характерных точках цикла

№ точки


Па(кПА)

/кг

К

кДЖ/кг

кДЖ/кг

кДЖ/кг*К

1

101308

1.47

293

25.6

35.8

0.111

2

0.29

569

378.8

529.8

0.1184

0.29

796

669.5

936.17

0.54

4

4.7*

1.17

796

669.5

936.17

1.27

5

101308

2.2

437

210

293.5

0.83


Следующим этапом работы является определение основных характеристик процессов цикла:

Результаты расчётов сводят в таблицу 1.3 .Далее находят  для всего цикла, суммируя в таблице 1.3 значения по графам 2,3,4. Для проверки нужно провести суммирование и в графах 5,6,7.

газовый смесь термодинамический цикл

Таблица 1.3

Основные характеристики процессов цикла

Процесс

-

-

кДж/кг

кДж/кг

кДж/кг

кДж/кг

кДж/кг

кДж/кг*К

кДж/кг

кДж/кг

0

1

2

3

4

5

6

7

8

9

1-2

1.4

0

-351.9

492.6

353.2

424

0.007

1.3

68.6

2-3

290.7

0

0

406.3

0.42

0

-115.6

3-4

1

1434

1434

1434

0

0

0.73

0

0

4-5

2.6

-345.1

114.1

297.4

-459.5

-642.5

-0.44

0

-183

5-1

0

-491

140.7

0

-184.5

-257.7

0.719

-454.2

-240.3


888.6

1336.9

2224







Далее необходимо построить цикл в координатах  c соблюдением масштабов, изобразив для её процессов, образующих цикл.

В заключении работы определяется термический К П Д цикла

/

Где

Для определения

Вариант 13 По обьёму V=1кг

Дано:

=55% =20

1.      Адиабатный 1-2 () Q=0

.        Изохорный 2-3 ( V=const =14*

.        Изотермический 3-4 ( T=const

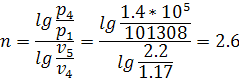
.        Политропный 4-5 (

.        Политропный 5-1

Найти:

, n-?

Построить график  

Расчёты:

1.1     )=(2*0.45+28*0.55)=0.9+15.4=16.3

 1.79=1.28+0.510=1.79

25.6 кДж/кг*К  кДж/кг*К

/кг

ДЖ/кг*К

=0.29

==569 k  =0.1184

669.5 кДж/кг*К  кДж/кг*К

ДЖ/кг*К

ДЖ/кг*К

5

210 кДж/кг*К  кДж/кг*

-3  

-4 =510*669.5*4.2=1434.069

-5

 

-1


Вывод

В результате проведённой расчётно-графической работы, я освоил расчёт термодинамических процессов и цикла закрепил теоретические знания, полученные на лекциях и при самостоятельной работе со специальной литературой.

Похожие работы на - Расчет и анализ газового цикла

 

Не нашли материал для своей работы?
Поможем написать уникальную работу
Без плагиата!
Без нейросетей!