Программа сортировки файла с данными
Федеральное
агентство по образованию
Государственное
общеобразовательное учреждение высшего
профессионального
образования
Омский
Государственный Технический университет
Кафедра:
Радиотехнические устройства и системы диагностики
Специальность:
Радиотехника
Курсовая
работа
На
тему: Программа сортировки файла с данными
По
дисциплине: Информатика
Студент
Савченко
Андрей Анатольевич
Группа:
РИБ-110
Омск-2011г.
Содержание
1.
Описание используемых в программе операторов, процедур и функций
.1
Директивы. Директива #include
.2
Операторы
.3
Цикл с параметром (For)
.4
Условный оператор (If)
.5
Заголовочные файлы
.7
Функция main()
.8
Функции ввода-вывода
.9
Функции чтения-записи
.
Блок-схема алгоритма программы
.1
main()
.2
ReadFileParse()
.3
psort()
.4
WriteFile()
.
Исходный текст программы с комментариями
.
Список использованных литературных источников
1. Описание используемых в программе операторов,
процедур и функций
.1 Директивы. Директива #include
В программировании термин
«директива» (указание) по использованию похож на термин «команда», так как
также используется для описания некоторых конструкций языка программирования
<#"551429.files/image001.gif">
2.2
ReadFileParse()
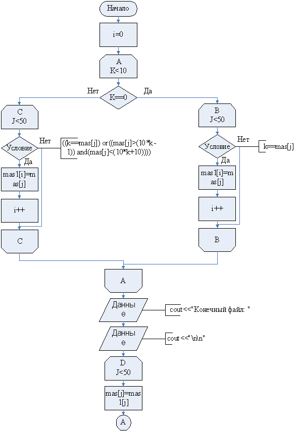
2.3 psort()
.4 WriteFile()

#include <cstdlib> //
Проверка нормального завершения программы
#include <iostream> //
Ввод-вывод (Для работы с потоками)
#include <fstream> //
Работа с файлами
#include <Windows.h> //
Создания паузы во время работы программы
#include <math.h> //Работа с
математическими функциями
namespace std; //Используем
стандартное пространство имён
mas[50]; //Описываем массив целых
чисел
psort() //Подпрограмма сортировки
чисел
{i,j, k; //Описываем переменные
целого типаmas1[50]; //Описываем массив целых чисел, дополнительный=0;
//Счётчик для временного массива(k=0; k<10;k++) //Инициализируем цикл
{(k==0) //Условие для поиска нулей
{(j=0;j<50;j++) //Инициализируем
вложенный цикл
{(k==mas[j]) //Если текущее значение
равно 0,то
{[i]=mas[j]; //Текущее значение
сохраняем во временном массиве++; //Прибавляем счетчик для временного массива
}
}
}//Если к не равно 0
{(j=0;j<50;j++) //Инициализируем
цикл
{((k==mas[j])
or((mas[j]>(10*k-1)) and(mas[j]<(10*k+10)))) //Проверяем условие сортировки
{[i]=mas[j]; //Сохраняем текущее
значение во временно массиве++; //Прибавляем счетчик для временного массива
}
}
}<<"Конечный файл:
"; //Выводим сообщение<<"\n\n"; //Переходим на новую
строку и выводим пустую строку(j=0;j<50;j++) //Инициализируем цикл
{mas[j]=mas1[j]; //Переносим
значения из маs1 в mas<<j<<" - "<<mas[j]
<<"\n";} //Выводим результат сортировки(30); //Приостанавливаем
выполнение программы на заданное время
}
ReadFileParse(void) //Подпрограмма чтения
из файла
{i; //Описываем переменные целого
типаinfile("first1.txt"); //Подключаем файл с числами
cout<<"Исходный файл: ";<<"\n\n"; //Переходим
на новую строку и выводим пустую строку
for (i=0;
i<50; i++) / /Инициализируем цикл
{>> mas[i]; //Считываем числа
из файла в массив<< i << " - " <<
mas[i]<<"\n"; //Выводим исходный файл на печать(30);
//Приостанавливаем выполнение программы на заданное время
}<<"\n\n"; //Выводим
2 пустые строки
}
WriteFile() //Подпрограмма записи в
файл
{i; //Описываем переменные целого
типаoutfile("sort.txt"); //Подключаем файл для записи
for (i=0;
i<50; i++) //Инициализируем цикл
{<<mas[i]; //Записываем число
в выходной файл<<"\n"; //Переводим курсор для записи на новую
строку
}
}
main() //Основная часть программы
{
(); //Вызов подпрограммы чтения
файла(); //Вызов подпрограммы сортировки чисел(); //Вызов подпрограммы записи в
файл("PAUSE"); //Делаем паузу для просмотра результатов
работыEXIT_SUCCESS; //Проверяем нормальное завершение программы
}
1.
С\С++. Программирование на языке высокого уровня \ Т.А. Павловская. - СПб.:
Питер, 2003. - 461 с
.
Липпман, Стенли Б., Лажойе, Жози, Му, барбара Э. Язык программирования С++.
Вводный курс, 4-е издание.: Пер. с англ. - М.: ООО «И. Д.Вильямс», 2007. - 896
с.
.
ГОСТ 19.701-90 (ИСО 5807-85). Единая система программной документации. Схемы
алгоритмов, программ данных и систем. Условные обозначения и правила
выполнения.