|
ω, рад/c
|
Re(ω)
|
Im(ω)
|
|
0,0001
|
13,92
|
0,30
|
|
0,006
|
13,39
|
16,59
|
|
0,008
|
12,97
|
21,38
|
|
0,01
|
12,43
|
25,78
|
|
0,015
|
10,55
|
35,03
|
|
0,02
|
7,87
|
41,65
|
|
0,025
|
4,36
|
45,51
|
|
0,03
|
-0,04
|
46,48
|
|
0,04
|
-11,75
|
39,19
|
|
0,05
|
-27,88
|
18,79
|
|
0,06
|
-49,22
|
-15,57
|
|
0,07
|
-76,65
|
-64,64
|
Данная система автоматического регулирования температуры
методической печи будет устойчива, так как годограф Михайлова, начинаясь в
точке на положительной части действительной оси при изменении частоты 
от 0 до +∞, обходит против часовой стрелки 3 квадранта,
поворачиваясь на угол 3π/2, нигде
не обращаясь в нуль.
Критерий Найквиста.
Этот критерий позволяет судить об устойчивости замкнутой
автоматической системы управления по расположению АФХ разомкнутой системы.
Устойчивость системы по Найквисту определяется на основании
АФХ разомкнутой системы.
Если разомкнутая система устойчива, то для её устойчивости в
замкнутом состоянии необходимо и достаточно, чтобы АФХ разомкнутой системы не
охватывало критическую точку с координатами [-1; 
0].
Если разомкнутая система неустойчива, то для её устойчивости в
замкнутом состоянии необходимо и достаточно, чтобы АФХ разомкнутой системы
охватывало критическую точку с координатами [-1; 
0] против часовой стрелки К/2 раза, где К - число корней правой
полуплоскости. Устойчивость разомкнутой системы определяется на основании
характеристического уравнения разомкнутой системы Ляпунова или Рауса-Гурвица.
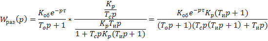
Передаточная функция разомкнутой системы описывается
уравнением:
Заменив в левой части характеристического уравнения 
на 
, получим передаточную функцию АФХ разомкнутой системы:
Выбор автоматического управляющего устройства.
Ядром системы управления печью является контроллер, без
которого функционирование САР температуры методической печи невозможна. В
настоящее время на современном рынке систем автоматизации в области
программируемых логических контроллеров ведущие позиции занимают такие фирмы,
как TOSHIBA (Япония), OMRON (Япония), Telemecanique (Франция), SIEMENS
SIMATIC AG (Германия).
Все контроллеры SIMATIC отличаются высокой
производительностью, имеют незначительные размеры и массу, отвечают жестким
требованиям условий эксплуатации в промышленных условиях, допускают расширение.
В настоящее время наименование SIMATIC считается синонимом программируемых
логических контроллеров во всех областях их использования. В течение последних
лет изделия SIMATIC прекрасно зарекомендовали себя во всех сферах применения,
установили новые стандарты на технические средства автоматизации, позволили
компании SIEMENS завоевать лидирующее положение в мире в области производства
программируемых контроллеров. Все контроллеры SIMATIC стали более простыми в
использовании, более унифицированными, более экономичными.
Рассмотрим несколько серий контроллеров SIMATIC. Семейство
контроллеров SIMATIC включает в свой состав широкую гамму изделий от
миниатюрных контроллеров до главных компьютеров, которые могут быть
использованы для решения задач автоматизации любой степени сложности. Основу
семейства SIMATIC S7 составляет ряд контроллеров различной производительности:
серия S7-200, серия S7-300, серия S7-400.
Анализируя характеристики контроллеров SIMATIC серии S7-200,
серии S7-300, серии S7-400 и учитывая особенности разрабатываемой схемы САР
температуры (задача оптимизации низкой сложности, сравнительно небольшое
количество входных и выходных сигналов) в качестве программируемого логического
контроллера будет целесообразно использовать контроллер семейства S7-300.
Программируемые контроллеры Siemens S7-300 выпускаются в трех
вариантах:
· контроллеры Siemens
SIMATIC S7-300 стандартного исполнения для эксплуатации в нормальных
промышленных условиях;
· контроллеры Siemens
SIMATIC S7-300F с встроенными функциями автоматики безопасности для
эксплуатации в нормальных промышленных условиях;
· контроллеры Siemens
SIPLUS S7-300 для наружной установки и эксплуатации в тяжелых промышленных
условиях;SIMATIC S7-300 - это модульный программируемый контроллер
универсального назначения. Модульная конструкция, работа с естественным
охлаждением, возможность применения структур распределенного ввода-вывода,
удобство обслуживания обеспечивают экономичность применения SIMATIC S7-300 при
решении широкого круга задач автоматизации.S7-300 является универсальным
контроллером:
· он является идеальным изделием
для работы в промышленных условиях благодаря высокой степени электромагнитной
совместимости, высокой стойкости к вибрационным и ударным нагрузкам;
· модульный программируемый
контроллер универсального назначения для решения задач автоматизации низкой и
средней степени сложности;
· широкий спектр модулей
для максимальной адаптации аппаратуры к решению любой задачи;
· высокая гибкость,
возможность использования систем распределенного ввода-вывода, мощные
коммуникационные возможности;
· удобная конструкция,
простота монтажа, работа с естественным охлаждением;
· простота расширения
системы в ходе модернизации объекта;
· высокая
производительность благодаря наличию большого количества встроенных функций.
Расчет конфигурации устройства управления и
составление заказной спецификации
Семейство S7-300 включает в себя широкий
спектр CPU: S7-312, S7-314, S7-315 и S7-316. Мощность CPU этих контроллеров
оптимальным образом рассчитана на емкость подключаемой периферии входов /
выходов. Это множество CPU предоставляет в распоряжение ряд функциональных
возможностей, допускающий разработку решений задач автоматизации, требующих
минимальных затрат. Для подключения термопары и Метран-100 используется модуль
SM331 (6ES7 331-1KF01-0AB0), имеющий следующие характеристики:
· 2 или 8 каналов
аналогового ввода;
· Разрешение: 12 разрядов;
· Тип источника сигналов:
мА, В, ТС, RTD;
· Время преобразования: 2,5
…100 мсек;
· Возможность подключения
до 32 модулей расширения в один ряд;
· Светодиодные индикаторы
состояния;
· Напряжение питания 5 В
постоянного тока;
· Диапазон рабочих
температур от 0 до +60°С.
Для подключения исполнительного механизма МЭО-100
используется модуль SM332 имеющий следующие характеристики:
· 2 или 4 канала
аналогового вывода;
· Разрешение: 12 разрядов;
· Тип выходного сигнала:
мА, В;
· Возможность подключения
до 32 модулей расширения в один ряд;
· Светодиодные индикаторы
состояния;
· Напряжение питания 5 В
постоянного тока;
· Диапазон рабочих
температур от 0 до +60°С.
.6 Требования, предъявляемые к программному
обеспечению автоматизированной системы управления технологическим процессом и
производством
Программное обеспечение (ПО) должно базироваться на
международных стандартах и отвечать следующим принципам:
· модульность построения всех составляющих;
· иерархичность собственно ПО и данных;
· эффективность (минимальные затраты
ресурсов на создание и обслуживание ПО);
· простота интеграции (возможность
расширения и модификации);
· гибкость (возможность внесения изменений и
перенастройки);
· надежность (соответствие заданному
алгоритму, отсутствие ложных действий), защита от несанкционированного доступа
и разрушения как программ, так и данных;
· живучесть (выполнение возложенных функций
в полном или частичном объемах при сбоях и отказах, восстановление после сбоев);
· унификация решений;
· простота и наглядность состава, структуры
и исходных текстов программ.
Должно предусматриваться разделение ПО на базовое
(фирменное), поставляемое разработчиком ПТК, и прикладное (пользовательское),
которое может разрабатываться как поставщиком ПТК, так и разработчиком АСУ ТП.
Должны быть предусмотрены меры по защите информации и
недопущению внесения изменений в базовое ПО без привлечения разработчика ПТК.
Должна иметься возможность задания паролей и установления границ санкционированного
доступа при внесении изменений в прикладное ПО АСУ ТП. Фирменное ПО должно
сопровождаться эксплуатационной документацией.
Требования к базовому (фирменному) программному
обеспечению.
В качестве базового выбрано ПО фирмы Siemens SIMATIC STEP7, так как объект
модернизации с точки зрения АСУ входит в одну единую модель управления ТП и
находится под управлением ПЛК, реализующего процесс управления различных
подсистем.
STEP 7 - это базовый пакет программ, включающий в свой
состав весь спектр инструментальных средств, необходимых для конфигурирования
аппаратуры и промышленных сетей, настройки параметров, программирования,
диагностики и обслуживания систем управления, построенных на основе
программируемых контроллеров SIMATIC S7-300/S7-400/C7/WinAC. Отличительной
особенностью пакета STEP 7 является возможность разработки комплексных проектов
автоматизации, базирующихся на использовании множества программируемых
контроллеров, промышленных компьютеров, устройств и систем человеко-машинного
интерфейса, устройств распределенного ввода-вывода, сетевых структур
промышленной связи. Ограничения на разработку таких проектов накладываются
только функциональными возможностями программаторов или компьютеров.
При необходимости STEP 7 может дополняться инструментальными
средствами проектирования, значительно упрощающими разработку сложных проектов.
STEP 7 входит в комплект поставки программатора SIMATIC Field PG. Он может
поставляться в виде самостоятельного пакета программ для персональных
компьютеров, работающих под управлением операционной системы Windows XP
Professional.7 содержит полный спектр инструментальных средств, необходимых для
выполнения всех этапов разработки проекта, а также последующей эксплуатации
системы управления:
• SIMATIC Manager - ядро пакета STEP 7, позволяющий выполнять
управление всеми составными частями проекта, осуществлять быстрый поиск
необходимых компонентов, производить запуск необходимых инструментальных
средств.
• Symbol Editor - программа задания символьных имен, типов
данных, ввода комментариев для глобальных переменных. Символьные имена доступны
во всех приложениях.
• Hardware Configuration - для программного конфигурирования
аппаратуры системы автоматизации и настройки параметров всех модулей.
Выполняется автоматическая проверка корректности всех вводимых данных.
• Communication - для задания управляемой по времени
циклической передачи данных между компонентами автоматизации через MPI или для
событийно управляемой передачи данных через MPI, PROFIBUS или Industrial Ethernet.
• System diagnosis - предоставляет пользователю обзор
состояния контроллера.
• Information functions - для быстрого обзора данных CPU и
поведения написанной пользователем программы.
• Документирование - предоставляет пользователю функции
документирования всего проекта.
Редактор программ STEP 7 позволяет выполнять разработку
программ на языках:
· Statement List
(STL - список инструкций);
· Ladder Diagram (LAD -
язык релейно-контактных символов);
· Function Block Diagram
(FBD - язык функциональных блоков).
Требования и характеристика используемого
системного ПО.
Для программирования систем автоматизации SIMATIC S7/C7/WinAC
может быть использовано три языка: STL, LAD и FBD.
Язык STL (Statement List) позволяет создавать
наиболее компактные программы, обладающие наиболее высоким быстродействием.
Язык поддерживает выполнение следующих функций:
· Поиск. Любая точка программы может быть
быстро найдена по указанию символьного имени, оператора и т.д.
· Возможность ввода данных в пошаговом или
свободном текстовом режиме.
Программа может вводиться с проверкой синтаксиса каждой
строки или набираться в текстовом редакторе с последующим преобразованием.
Классические языки программирования контроллеров LAD (Ladder Diagram - LAD) и FBD (Function Block Diagram) позволяют создавать
программы, отвечающие требованиям DINEN 6.1131-3. Редакторы стандартных языков
LAD и FBD обеспечивают полную графическую поддержку программирования со
следующими характеристиками:
· Простое и интуитивное использование,
наглядный интерфейс, использование стандартные механизмы работы с Windows.
· Библиотеки заранее подготовленных сложных
функций (например, ПИД регулирования) и разработанных пользователем решений.
Требования и характеристики используемых
операционных систем верхнего и нижнего уровней АСУ ТП
Технические характеристики рабочей и инженерной станции:
· Модель и частота процессора - Intel(R) Celeron(R) CPU 2.8 GHz
· Объём оперативной памяти - 512 Мб;
· Видеокарта - NVIDIA GeForce 8400 GS;
ПО верхнего уровня
· операционной системы (MS Windows XP);
· коммуникационных протоколов (Ethernet
802.3, TCP/IP);
· форматов файлов (TXT, DOC, XLS);
· интерфейсов с СУБД (ODBC, SQL);
· интерфейсов динамического обмена данными
DDE, NetDDE.
Программное обеспечение информационного сервера:
· операционная система MS Windows 2003 Server
(SP2);
· «мастер» приложение на базе SCADA-системы InTouch (Wonderware, США)
· InTouch
Runtime;
· Сервер базы данных Microsoft SQL
Server 2005.
ПО нижнего уровня
Программное обеспечение автоматизированных рабочих мест,
входящих в АСУ ЦППН, основывается на следующих базовых средствах:
· Операционная система MS Windows XP Professional (SP2);
· «подчиненное» приложение на базе
SCADA-системы Wonderware InTouch:
· InTouch Runtime для АРМ управления;
· FactoryFocus для АРМ наблюдения за
технологическим процессом;
· ActiveFocus для осуществления связи с
базой данных Industrial SQL Server.XP - многопользовательская, многозадачная
сетевая ОС с графическим
интерфейсом. В ней использовано 3 варианта файловой системы
(FAT 16, FAT32, NTFS)
Основные характеристики:
· 32 - разрядная
архитектура, вытесняющая многозадачность
· Многопоточность
(позволяет одновременно выполнять несколько, несвязанных друг с другом,
участков программы)
· Возможность подключения
новых устройств по Plug and Play
· Совместимость с ранними
версиями
· Наличие коммуникационных
программ
· Возможность использования
виртуальной памяти
Требования и характеристика используемых пакетов
программной поддержки обмена данными.
Именное обозначение SIMATIC NET объединяет полностью все
семейство коммуникационных продуктов и сетей фирмы Siemens для промышленной
автоматизации. Различные сети удовлетворяют широкому кругу требований к
эксплуатационным характеристикам применительно к различным задачам, которые
стоят перед проектировщиком систем автоматизации:
· SIMATIC NET предоставляет решения,
отвечающие запросам современной промышленной связи;
· SIMATIC NET занимает центральное место в
системе автоматизации SIMATIC;
· SIMATIC NET обеспечивает однотипный
интерфейс между системами и другими компонентами автоматизации;
· способ коммуникации SIMATIC NET полностью интегрируется
в проект системы автоматизации благодаря использованию своей собственной
технологии связи S7, которая легко интегрируется со всеми известными топологиями и
видами сетей.
Коммуникационные сети семейства SIMATIC NET являются
компонентами концепции TIA (Полностью интегрированная автоматизация) от
Siemens. Шинные системы SIMATIC NET и их функции вписываются в пирамидообразную
модель автоматизации.
· Industrial Ethernet (IEEE 802-3 и IEEE
802.3u) - международный стандарт организации обмена данными на верхних уровнях
управления через локальные или глобальные информационные сети. Это мощная
коммуникационная сеть, специально предназначенная для работы в промышленных
условиях.
Она обладает следующими основными свойствами:
· объединяет в единую сеть различные уровни
предприятия, например, офис и производственный цех;
· надежность конструкции и электромагнитная
устойчивость;
· высокая скорость передачи даже при большом
количестве узлов благодаря общедоступным сетевым компонентам, соответствующим
стандарту Fast Ethernet (быстрая сеть Ethernet) и поддерживающим скорость 100
Мбит/с.;
· поддержка различных сред передачи
(например, промышленная витая пара (ITP), волоконно-оптический кабель);
· возможность расширения системы с
использованием технологии коммутации;
· высокая степень надежности сетевых
топологий с резервированием.
TCP/IP (TransmissionControlProtocol/InternetProtocol) - набор сетевых
протоколов, служащий для обмена данных между двумя узлами. Он обеспечивает
приемлемую скорость передачи данных. Однако в последнее время протокол TCP/IP
стал использоваться в качестве транспортного протокола для обмена информацией
между узлами гибридных систем автоматизированного управления технологическими
процессами.
PROFIBUS (IEC 61158/EN 50170) -
международный стандарт построения сетей полевого уровня. Она объединяет
технологические и функциональные особенности последовательной связи полевого
уровня, а также позволяет объединять разрозненные устройства автоматизации в единую
систему на уровне датчиков и приводов.DP - протокол, ориентированный на
обеспечение скоростного обмена данными между системами автоматизации (ведущими
DP-устройствами) и устройствами распределённого ввода-вывода (ведомыми
DP-устройствами). Протокол характеризуется минимальным временем реакции и
высокой стойкостью к воздействию внешних электромагнитных полей, оптимизирован
для высокоскоростных и недорогих систем. Эта версия сети была спроектирована
специально для связи между автоматизированными системами управления и
распределенной периферией.
Интеллектуальные Ethernet-коммутаторы Cisco позволяют
реализовать расширенные сервисы в локальных сетях крупных и средних
предприятий. Представители этого семейства автономных коммутаторов с
фиксированной конфигурацией обеспечивают подключение рабочих мест на скоростях
10/100 Fast Ethernet и 10/100/1000 Gigabit Ethernet.
Возможности моделей серии:
· Подключение: подключения
Fast Ethernet и Gigabit Ethernet в конфигурациях с 8, 24 и 48 портами
· Питание устройств по витой
паре: конфигурации с 24 портами с полной поддержкой PoE и 24 портами (с
поддержкой PoE на 8 портах)
· Интегрированные функции
безопасности, включая контроль доступа в сеть (NAC)
Требование и характеристика используемой системы
управления локальными и распределенными базами данных.
Требования к базе данных (БД):
· обеспечение средств доступа ко всем
необходимым данным с использованием распределенных БД, средств репликации
данных, управления событиями в данных и процессах обработки транзакций;
· предложение единого интерфейса оператора
для работы с разными функциям;
· применение методов компонентного
проектирования предметных БД как для операционных БД, так и для исторических БД
хранилищ данных, архивов документов, иных данных;
· динамическое администрирование фрагментами
распределенной БД при изменении частоты их использования, при модификации их
структуры и при изменении их размещения.
База данных для разработанной системы автоматизированного
регулирования построена на основе технологии Microsoft SQL Server 2005 и
содержит:
· значения расхода газа;
· значения расхода воздуха;
· значения температуры;SQL Server 2005
является высокопроизводительной и надежной системой управления базами данных,
представляющей собой удобную платформу для бизнес-приложений и хранилищ данных.
Помимо собственно СУБД, Microsoft SQL Server 2005 содержит средства поддержки
языка XML, средства масштабирования и обеспечения надежности, средства создания
и отладки серверного кода. Особо следует отметить наличие в составе этого
продукта аналитических служб (Analysis Services), позволяющих создавать и
использовать OLAP1-кубы и обращаться к ним через Internet, а также производить
интеллектуальный анализ данных и поиск закономерностей (Data Mining).SQL Server
2005 интегрирован с Microsoft Windows XP, что упрощает развертывание системы и управление
данными масштаба предприятия, а также повышает эффективность обработки и
анализа данных. В частности, SQL Server 2005 использует встроенные в Windows XP службы Active Directory
как единый депозитарий данных, относящихся к конфигурации и местонахождению баз
данных, а также сведений, необходимых для их обслуживания. Это во многом
упрощает администрирование баз данных, управление репликациями данных,
развертывание и обновление серверов.
Требование и характеристика используемого
программного обеспечения инструментальных средств разработки, отладки и
документирования.
В данной системе используется система визуализации InTouch.- это
приложение-генератор человеко-машинного интерфейса (HMI) для систем SCADA и
других систем автоматизации производства. InTouch дает возможность
пользователям создавать операторские интерфейсы под Windows, которые тесно
взаимодействует с другими компонентами программного обеспечения фирмы
Wonderware, например FactorySuite (интегрированный пакет программного
обеспечения для полной автоматизации производства) и стандартными приложениями
Microsoft Office.
Основные задачи, решаемые с помощью InTouch:
· Сбор сигналов (определяющих состояние
производственного процесса в текущий момент времени - температура, давление,
положение и т.д.) с промышленной аппаратуры (контроллеры, датчики и т.д.).
· Графическое отображение собранных данных
на экране компьютера в удобной для оператора форме (на мнемосхемах,
индикаторах, сигнальных элементах, в виде текстовых сообщений и т.д.).
· Автоматический контроль за состоянием
контролируемых параметров и генерация сигналов тревоги, и выдача сообщений
оператору в графической и текстовой форме в случае выхода их за пределы
заданного диапазона.
· Разработка и выполнение (автоматическое
или по команде оператора) алгоритмов управления производственным процессом.
Сложность алгоритмов не ограничена и может представлять собой любую комбинацию
из математических, логических и других операций.
· Контроль над действиями оператора путем
регистрации его в системе с помощью имени и пароля, и назначения ему
определенных прав доступа, ограничивающих возможности оператора (если это
необходимо) по управлению производственным процессом.
· Вывод (автоматически или по команде оператора)
управляющих воздействий в промышленные контроллеры и исполнительные механизмы
для регулировки непрерывных или дискретных процессов, а также подача сообщений
персоналу на информационное табло и др.
Преимущества, которые дает использование InTouch:
· Повышение эффективности работы
производства. Сюда можно отнести как увеличение объема выпуска продукции,
повышения качества, производственной дисциплины, так и косвенные расходы -
сокращение стоимости обучения персонала, автоматическая генерация отчетов для
руководящего состава, упрощение процедур планирования и расчета
технико-экономических показателей. Среднее повышение экономической
эффективности составляет от 30 до 70%.
· Малые сроки внедрения благодаря простоте
освоения и использования средств разработки.
· Простота технического сопровождения
(исчерпывающая документация, программы специальной поддержки, стандартные курсы
обучения).
· Гарантированное сопряжение с любыми
аппаратными средствами, имеющимися на предприятии, благодаря большому числу
имеющихся серверов ввода-вывода (более 600), использованию стандартных
протоколов обмена и наличию средств разработки собственных драйверов.
· Ориентация на перспективные и популярные
компьютерные стандарты и платформы (Windows NT, DCOM, OPC, ActiveX и др.).
Процесс регулирования температуры методической печи
отображается на персональном компьютере, находящемся на АРМ оператора.
Требования и характеристика используемых средств
настройки базового ПО, диагностики и самодиагностики работоспособности ПЛК.
Инструментальные средства проектирования - это проблемно
ориентированное программное обеспечение, используемое дополнительно к
стандартным инструментальным средствам. Они позволяют проектировщику
сосредоточиться на решении поставленной задачи и решать ее в наиболее удобной
форме. Инструментальные средства проектирования снижают затраты на
проектирование и повышают удобство выполнения проектных работ. Они включают в
свой состав:
· Графические языки для специалистов в
области технологии.
· Сопутствующее программное обеспечение для
диагностирования, имитации, дистанционного обслуживания, разработки заводской
документации и т.д.
Программное обеспечение Runtime. Позволяет использовать при
разработке проектов заранее созданные программные блоки, выполняющие
стандартные функции автоматического управления. Эти программные блоки могут
вызываться из программы пользователя и требуют для своего использования только
предварительной настройки параметров. Существует два вида программного
обеспечения Runtime:
· Аппаратно зависимое: программное
обеспечение для поддержки конкретных видов аппаратуры. Например, функциональные
блоки (FB) для функциональных модулей (FM).
· Аппаратно независимое: программное
обеспечение для работы с широким спектром аппаратуры.
Программное обеспечение Runtime включает в свой состав:
· Пакет PID Self Tuner для разработки
самонастраивающихся ПИ и ПИД-регуляторов на базе существующих ПИД-регуляторов.
· Инструментарий для связи систем
автоматизации с приложениями Windows
· Инструментарий для организации
программного дублирования SW-Redundancy
· Загружаемые драйверы предназначены для
использования в коммуникационных процессорах CP 341 и CP 441-2 и обеспечивают
поддержку последовательной передачи данных в соответствии с протоколами
передачи других производителей
Пакет Easy Motion Control для построения систем
позиционирования на основе стандартных компонентов SIMATIC S7/ C7/ WinAC,
стандартных приводов, инкрементальных датчиков позиционирования и датчиков
абсолютного перемещения.
автоматизированный программный температура печь
2.7 Требования и
характеристика используемого прикладного программного обеспечения
Для подготовки технической документации целесообразно
использовать пакет DOCPRO, который позволяет готовить и обрабатывать заводскую
документацию, систематизировать данные проекта, оформлять их в виде связанных
описаний и руководств, и распечатывать в виде стандартных форм. Пакет DOCPRO
работает со всеми пакетами для инструментальной разработки. Хорошо
подготовленная документация облегчает эксплуатацию системы, а также подготовку
решений по дальнейшему развитию системы.
Функции пакета:
· Разработка технических
руководств и составление их перечня.
· Централизованная
разработка, обслуживание и управление титульными блоками данных.
· Разработка собственных
шаблонов и форм на базе имеющихся заготовок.
· Ручная или автоматическая
нумерация рисунков по заданным критериям.
· Автоматическая подготовка
перечня документации и печать документации.
· Печать списка рабочих
мест и необходимых для них технических руководств. Перечень работ и рабочих
мест выводятся на печать в заданном порядке. Оператор может получать отчет о
подготовленной документации.
Для надежной работы ПЭВМ инженерной и рабочей станции, а
также бесперебойности работы всей системы, необходимо использовать антивирусную
защиту, примером которой может быть антивирус Касперского 6.0.
Основными преимуществами этого пакета являются:
· обеспечение защиты от
вирусов на основе анализа процессов и поведения приложений на компьютере
пользователя, а также позволяют полностью восстановить систему после
вредоносного воздействия.
· Простота и удобство
использования.
3. Организация производства
и труда
.1 Монтаж датчиков
Монтаж датчиков расхода воздуха и газа
Метран-100 ДД.
Сужающие устройства (диафрагмы)
устанавливают на вертикальном, горизонтальном или наклонном трубопроводах.
Перед монтажом диафрагму очищают от антикоррозийной смазки и проверяют:
· Внутренний диаметр
трубопровода и место установки диафрагмы
· Трубопровод (отсутствие
грязи, сварочных швов и т.п.)
· Направление потока
измеряемой среды
· Марку материала диафрагмы
Диафрагму устанавливают на прямолинейном
участке трубопровода, чтобы ее торец был перпендикулярен оси трубопровода; оси
трубопровода и диафрагмы совпадали. Ее устанавливают между приваренными встык
фланцами, внутренний диаметр которых должен быть равен внутреннему диаметру
трубопровода. Между кольцевыми камерами и фланцами устанавливают уплотнительные
прокладки. На рисунке 8.1. показан пример установки камерной диафрагмы.
К горизонтальному участку трубопровода
параллельно друг другу, перпендикулярно оси трубопровода приварены 2 фланца,
стянутые по окружности болтами с гайками. Между фланцами установлена диафрагма,
по обе стороны которой смонтированы четыре пары отборных патрубков.
Диафрагма
Точность измерения давления зависит от правильной установки
датчика и соединительных трубок от места отбора давления до датчика.
Соединительные трубки должны быть проложены по кратчайшему расстоянию. Отбор
давления рекомендуется производить в местах, где скорость движения среды
наименьшая.
Температура измеряемой среды в рабочей полости датчика не
должна превышать допускаемой температуры окружающего воздуха. Для снижения
температуры измеряемой среды на входе в рабочую полость датчик устанавливают на
соединительной линии, длина которой для датчика Метран-100-ДД рекомендуется не
менее 3 м. Соединительные линии должны иметь односторонний уклон (не менее
1:10) от места отбора давления, вверх к датчику.
В соединительных линиях от места отбора давления к датчику
давления рекомендуется установить два вентиля или трехходовой кран для
отключения датчика от линии и соединения его с атмосферой.
При монтаже для прокладки линии связи рекомендуется применять
кабели с резиновой изоляцией, кабели для сигнализации и блокировки - с
полиэтиленовой изоляцией.
На рисунке приведена схема соединительных линий датчика
расхода газа (воздуха) Метран-100 ДД. Угол наклона импульсных линий
Схема соединительных линий датчика
Монтаж термопары ТППТ конструктивной
модификации 01.20.
1) Нанесение разметки для монтажа отборов.
) Вырезание участка трубопровода установленной длины
) Приварка фланцев параллельно друг другу
) Установка диафрагмы через прокладку и стягивание ее
болтами
) Установка в бобышку через прокладку защитной гильзы,
заливка в нее трансформаторного масла и установка в нее ТППТ.
3.2 Маркировка труб и кабелей
Для передачи сигнала от термопар к
преобразователю используется кабель типа ПТВП с ПВХ изоляцией в экране.
Для передачи сигнала от датчиков давления
Метран-100 ДД до модуля аналогового ввода контроллера. От модуля дискретного
вывода до исполнительного механизма используется кабель КВВГЭ.
Позиция 1.1-в-импульсные линии от
диафрагмы до Метран-100 ДД
Позиция 1.2-в-импульсные линии от
диафрагмы до Метран-100 ДД
Позиция 1.3-в-импульсные линии от диафрагмы
до Метран-100 ДД
Позиция 1.4-в-импульсные линии от
диафрагмы до Метран-100 ДД
Позиция 1.1 - кабель от ТППТ до ИП-Т10И 2х1мм2
Позиция 1.2 - кабель от ТППТ до ИП-Т10И 2х1мм2
Позиция 1.3 - кабель от ТППТ до ИП-Т10И 2х1мм2
Позиция 1.4 - кабель от ТППТ до ИП-Т10И 2х1мм2
Позиция 2.1 - кабель от Метран-100 ДД до SM 331 (1) 2х2х0,5
мм2
Позиция 2.2 - кабель от Метран-100 ДД до SM 331 (1) 2х2х0,5
мм2
Позиция 2.3 - кабель от Метран-100 ДД до SM 331 (1) 2х2х0,5
мм2
Позиция 2.4 - кабель от Метран-100 ДД до SM 331 (1) 2х2х0,5
мм2
Позиция 3.1 - кабель от ПЛК SIMATIC S7-300 до МЭО-100 2х2х0,5
мм2
Позиция 3.2 - кабель от ПЛК SIMATIC S7-300 до МЭО-100 2х2х0,5
мм2
Позиция 3.3 - кабель от ПЛК SIMATIC S7-300 до МЭО-250 2х2х0,5
мм2
Позиция 3.4 - кабель от ПЛК SIMATIC S7-300 до МЭО-250 2х2х0,5
мм2
Позиция 4.1 - кабель от блока датчиков МЭО 100 до
SM 331 (2) 2x2x0,5 мм2
Позиция 4.2 - кабель от блока датчиков МЭО 100 до
SM 331 (2) 2x2x0,5 мм2
Позиция 4.3 - кабель от блока датчиков МЭО 250 до
SM 331 (2) 2x2x0,5 мм2
Позиция 4.4 - кабель от блока датчиков МЭО 250 до
SM 331 (2) 2x2x0,5 мм2.
.3 Монтаж щитов и пультов
Шкафы предназначены для установки на них средств контроля и
управления технологическим процессом (ТП), а именно контрольно измерительные
приборы (КИП). Они изготовляются на заводах электромонтажных изделий. Несущей
основой их является каркас из швелера, на который закрепляют винтовыми и
болтовыми соединениями панели, стенки, двери т.д.
· Щиты и пульты устанавливаются в
производственных помещениях, например в ЦПУ.
· Для установки датчиков на улице, шкафные
щиты оборудуются отопительной электросистемой. Стены с термодатчикам
уплотняются теплоизоляцией из пенопласта. В местах установки щитов с вибрацией
их оборудовают амортизаторами.
· Многоканальные щитовые сборки собирают
строго по отвесу и уровню, что бы лицевые панели их находилсь в одной
плоскости, а так же в поле зрения оператора технолога.
· Зазоры стыков между щитами должны быть не
более 2 мм. А крепления щитов между собой, а так же и к полу (фундаменту)
должно быть разъёмным (болтовым).
· Плоские панельные щиты, для увелечения
жёсткости, кроме того, крепят вверху к стене специальными регелями.
· При значительной протяжённости щитовых
сборок их устанавливают в виде многограника или в виде П-образной или Г-образной
формы. Щиты и пульты устанавливаются либо на бетонное основание в двойном полу,
либо над кабельным каналом в бетонном основании пола.
· Ввод кабелей под раму щита производится из
кабельного канала шита. Щит перед установкой по месту крепится к опорной раме
(швелеру) болтовыми соединениями, а в углах этой рамы для большей жёсткости
приваривают косынки.
· Малогаборитные шкафы щиты монтируют на
стенах, коллонах или на полу на подставке на высоте от пола от 0,8 м до 2 м для
показывающих приборов, и от 1 до 1.5 м для самопишущих приборов и
вспомогательной аппаратуры (переключатели, ключи, пробки).
· Ширина прохода для обслуживания между
стеной и щитом должна быть не менее 0,8 м. Нельзя устанавливать аппараты и
приборы с открытыми токоведущими частями на деврях щитов и углом их открытия
90-110о.
· Шкафы после их установки необходимо
обязательно заземлять, а металло свзяь между щитовыми сборками должны быть не
более 0,1 Ом.
3.4 Монтаж РО и ИМ
Исполнительные механизмы МЭО предназначены для перестановки регулирующих
органов, осуществляющих управляющее воздействие на технологический процесс.
Электрические исполнительные механизмы состоят из электродвигателя, редуктора,
выходного рычага и различных дополнительных устройств.
Управление МЭО осуществляется с помощью пускателя
бесконтактного реверсивного типа ПБР-3А. Пусковые устройства обеспечивают
необходимое усиление мощности управляющих сигналов, поступающих от
регулирующего устройства.
Механизм допускает установку с любым пространственным
расположением выходного вала непосредственно на регулирующем органе или
промежуточных конструкциях.
) Крепление механизма производить четырьмя болтами.
Предусмотреть место для обслуживания механизма. Обеспечить доступ к блоку
сигнализации положения и ручному приводу.
) Электрическое подключение механизмов производить
через разъем, который расположен в штепсельном вводе гибким кабелем сечением
одной жилы от 0,35 до 0,5 мм.
) Пайку монтажных проводов цепей внешних соединений к
контактам розетки разъема производить оловянно-свинцовым припоем с применением
бескислотных флюсов. После пайки флюс необходимо удалить путем промывки мест
паек спиртом, а затем покрыть бакелитовым лаком или эмалью.
) Провода, идущие к блоку датчика, должны быть
пространственно разделены от силовых цепей и экранированы. Сопротивление
каждого про - вода линии связи между механизмом и блоком питания должно быть не
более 12 Ом.
) После окончания монтажа с помощью мегомметра
проверить величину сопротивления изоляции, которая должна быть не менее 20 МОм,
и сопротивление заземляющего устройства.
Для ввода механизма в действие на месте эксплуатации
необходимо произвести его настройку и регулировку в следующей
последовательности:
· снять упоры;
· отрегулировать длину тяги, перемещая
ручной рычаг механизма на рабочем угле;
· установить упоры в крайних положениях
рабочего угла поворота рычага;
· установить регулирующий орган в среде
положение.
Выводы
В данном проекте рассматривалась модернизация
автоматизированной системы регулирования температуры с коррекцией по соотношению
газ-воздух методической печи стана 250 сортопрокатного производства ЧерМК ОАО
«Северсталь».
Перед началом работы была поставлена задача усовершенствовать
автоматизированную систему регулирования и обеспечить высокую стабильность
требуемых технологических условий в частности улучшить технико-экономические
показатели работы печи при сокращении удельного расхода топлива, повысить
надежность и безопасность работы оборудования, а также улучшить условия труда
персонала.
Эти задачи были решены в первую очередь за счет замены
морально и физически устаревшего регулятора на современный контроллер SIMATIC
S7-300. Была доработана функциональная схема автоматизированной системы
регулирования. Для визуализации технологического процесса использовалось SCADA система InTouch, которая помогла
повысить эффективность работы производства.
Литература
1.
Беленький А.М. Автоматическое управление металлургическими процессами. М.:
Металлургия, 1989. - 384 с.
.
Техническая документация по эксплуатации методической печи стана 250 СПЦ ОАО
«Северсталь»
.
Тюриков С.П. Методические рекомендации и расчеты по курсовому проектированию
для студентов 3 и 4 курсов. Череповец 2006 год.
.
АСУ ТП в черной металлургии. - Г.М. Глинкин, В.А. Маковский - М.: Металлургия,
1999. - 310 с.
.
Руководство по эксплуатации Метран-100, версия 4.6 - 2009. - 152 с.
.
Средства измерения, контроля и автоматизации технологических процессов.
Вычислительная и микропроцессорная техника. - Котов К.И., Шершевер М.А. - М:
Металлургия, 1989.
.
Статья из Internet: Руководство по эксплуатации преобразователей термоэлектрических
ТППТ. Сайт: www.tesey.com.
.
Статья из Internet: Описание ПЛК SIMATIC S7-300. Сайт: siemens.ru.
.
Оформление пояснительной записки курсовых и дипломных проектов в соответствии с
требованиями ГОСТ 2.105 - 95. Череповецкий металлургический колледж, 1999.