Параметры функционального устройства на операционных усилителях
Задание
Рассчитать параметры функционального устройства
на операционных усилителях (ОУ), функциональная схема которая приведена на рис.
1, и обеспечивающего:
усиление напряжения u1
с коэффициентом передачи по напряжению k1.
сложение напряжений u2
и u3 с коэффициентами
передачи по напряжению k2
и k3 соответственно.
выпрямление напряжения u4
после сумматора с коэффициентом передачи по напряжению k4.
Определить для заданных напряжений u1
и u3
средневыпрямленное выходное напряжение U0.
Значение u1
, u3 , k1
, k2 , k3
и k4 приведены в
таблице 1.
Для нечетных вариантов использовать
однополупериодное выпрямление, а для четных вариантов - двухполупериодное.
Таблица 1
|
№
вар.
|
u1 , В
|
u3 , В
|
k1
|
k2
|
k3
|
k4
|
|
4
|
|
|
2
|
-2
|
1
|
Решение
Рисунок 1. Функциональная схема устройства
. Усилительный блок
Поскольку коэффициент усиления k1
положительный, необходимо использовать схему неинвертирующего усилителя:
Рисунок 2. Неинвертирующий усилитель
Определяем соотношение сопротивлений:
Выбираем номинал сопротивлений:
Напряжение на выходе усилителя:
2. Суммирующий блок
Поскольку коэффициенты суммирующего блока k2
и k3 отрицательные,
необходимо использовать инвертирующий сумматор с заданным весовым
коэффициентом.

Сумматор, приведенный выше не имеет
принципиального ограничения по числу суммируемых входов, но в данном случае
используются только два.
Выходное напряжение:
Определим номиналы сопротивления исходя из
коэффициентов усиления:
Пусть сопротивление обратной связи Rос=6
кОм, тогда R1=4 кОм, R2=3
кОм.
Напряжение на выходе сумматора:
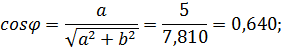
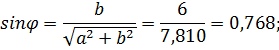
Определяем φ:
Напряжение на выходе сумматора:
. Выпрямительный блок
Используем саму простую схему двухполупериодного
выпрямителя на одном операционном усилителе.
Рисунок 4. Двухполупериодный выпрямитель с
незаземленной нагрузкой
усилитель сопротивление
электрический выпрямитель
Так как k4=1
по условию задачи, то сопротивления сопротивлений можно принять одинаковыми и
равными 10 кОм. Параллельно нагрузке должен быть подключен сглаживающий
конденсатор, величина которого зависит от частоты источников напряжения.
Выпрямленное напряжение для двухполупериодного
выпрямителя:
После того, как все элементы рассчитаны можно
строить принципиальную электрическую схему цепи.
Рисунок 5. Схема электрическая принципиальная