Определение зависимости ионного тока тлеющего разряда в азоте и гелии от расстояния между коллектором ионов и катодом

  • Вид работы:
    Курсовая работа (т)
  • Предмет:
    Физика
  • Язык:
    Русский
    ,
    Формат файла:
    MS Word
    703,75 Кб
  • Опубликовано:
    2012-09-13
Вы можете узнать стоимость помощи в написании студенческой работы.
Помощь в написании работы, которую точно примут!

Определение зависимости ионного тока тлеющего разряда в азоте и гелии от расстояния между коллектором ионов и катодом












Курсовая работа

Определение зависимости ионного тока тлеющего разряда в азоте и гелии от расстояния между коллектором ионов и катодом

Оглавление

Аннотация

.        Введение

.        Теория тлеющего разряда

2.1    Разряд в газах. Самостоятельный и несамостоятельный разряды

.2      Классификация самостоятельных разрядов

.3      Тлеющий разряд

.        Модель физического процесса

.        Экспериментальная установка

.1      Описание установки

.2      Методика эксперимента

.        Анализ полученных результатов

.1 Результаты

.2      Анализ погрешностей

.        Выводы и заключения

Список литературы

Аннотация

В рамках данной работы проведено исследование зависимости ионного тока, представлена модель поведения частиц, подтвержденная экспериментом. Также проведен соответствующий анализ полученных данных, максимальные токи, зафиксированные в эксперименте - 1,2 мА. Эксперимент проводился в диапазоне давлений от 0,06 до 0,3 торр и диапазоне подаваемых на анод напряжений: 1000 В -1500 В.

1. Введение

Одним из важных и интересных явлений в физике газового разряда является тлеющий разряд. И, несмотря на то, что он был открыт более ста лет назад, и было проведено множество исследований, актуальность изучения тлеющего разряда не исчезает. Значение применений тлеющего разряда во многих областях науки и техники значительно возросло. Рациональное практическое использование газоразрядных явлений требует не только качественного знания всех процессов, определяющих собой свойства тлеющего разряда, но и полного овладения его количественной стороной.

Плазмохимическая технология постепенно находит все большее применение в текстильной промышленности. Главная причина, заставляющая производителей текстильных материалов обращать внимание на плазмохимические методы, - это их экологическая безопасность. В текстильной промышленности на производство 1 кг ткани затрачивается в среднем около 300 кг воды. Внедрение плазмохимических технологий на текстильных предприятиях ведет к уменьшению потребления чистой воды на технологические нужды, существенному уменьшению количества сточных вод, заметному сокращению потребления химических реактивов и материалов. [4]

Также газовый разряд применяют для создания плазменных дисплеев (PDP), наиболее перспективных для создания плоских мониторов высокого разрешения. [5]

В настоящее время трубки с тлеющим разрядом находят практическое применение как источник света - газоразрядные лампы. Для целей освещения часто применяются люменесцентные лампы, в которых разряд происходит в парах ртути, причём вредное для зрения ультрафиолетовое излучение поглощается слоем флюоресцирующего вещества - люминофора, покрывающего изнутри стенки лампы.

Важнейшее применение тлеющий разряд получил в сравнительно недавно созданных квантовых источниках света - газовых лазерах.

2. Теория тлеющего разряда

.1 Разряд в газах. Самостоятельный и несамостоятельный разряды

Газовый разряд - это процесс протекания электрического тока через газ. Различают несамостоятельный и самостоятельные разряды. Несамостоятельный разряд возможен при инжекции электронов в разрядный промежуток (например, термоэмиссия с катода) или при ионизации газа каким-либо внешним источником. [2]

Несамостоятельные разряды используют довольно широко: это и ионизационные камеры технологического и дозиметрического назначения на атомных реакторах, газотроны в выпрямительных установках сетей питания постоянным током, плазмотроны с накаливаемым катодом и т.д. [2]

Однако наиболее широко применяются самостоятельные разряды, о них и будет идти речь.

Опыт показывает, что если постепенно повышать напряжение между двумя электродами в газе, то можно достигнуть некоторого его значения, зависящего от природы газа и давления, при котором в газе возникает электрический ток и без воздействия внешних ионизаторов. Явление прохождения через газ электрического тока, не зависящего от внешних ионизаторов, и называется самостоятельным разрядом в газе. [3]

Основной механизм ионизации газа при самостоятельном электрическом разряде - ионизация атомов и молекул ударами электронов.

Развитие самостоятельного электрического разряда в газе протекает следующим образом. Как только в газе появляется свободный электрон, он под действием электрического поля ускоряется, его кинетическая энергия возрастает, и если выполняется условие еЕλ ≥ Aи, то он при соударении с молекулой ионизует ее. [3]

Первичный электрон и вторичный, возникший в результате ударной ионизации, вновь ускоряются под действием электрического поля, и каждый из них при следующих соударениях освобождает еще по одно­му электрону и т. д. Число свобод­ных электронов нарастает лавинообразно до тех пор, пока они не достигнут анода (рис. 1).

Положительные ионы, возникающие в газе, движутся под действием электрического поля от анода к катоду. При ударах положительных ионов о катод, а также под действием излучения, возникающего при развитии разряда, с катода могут освобождаться новые электроны. Они разгоняются электрическим полем и создают новые электронно-ионные лавины, и этот процесс может продолжаться непрерывно. [3]

Рис. 1. Лавинообразное развитие самостоятельного электрического разряда

.2 Классификация самостоятельных разрядов

Различают различные виды самостоятельных разрядов.

Темный (таунсендовский) разряд - это электрический разряд в газах при очень низком давлении (порядка нескольких Торр) и очень малых токах (менее  А). Электрическое поле в разрядном промежутке однородно или слабо неоднородно, и не искажается пространственным зарядом. Очень малый ток таунсендовского разряда обусловлен большим сопротивлением внешней цепи. Если это сопротивление уменьшать, увеличивая ток, то таунсендовский разряд переходит в тлеющий. [2]

Тлеющим разрядом обычно называют самостоятельный разряд в разреженном газе, в котором катод испускает электроны вследствие бомбардировки его положительными ионами и световыми квантами, образующимися в газе. Тепловые явления либо вообще отсутствуют, либо, по меньшей мере, не являются необходимым условием суще­ствования разряда. Тлеющий разряд получил свое название от светящейся области, появляющейся вблизи катода и отделенной от него темным пространством. Для тлеющего разряда характерна большая напряженность электрического поля и соответствующее ей большое падение потенциала вблизи катода (так называемое катодное падение) [1]

Если источник тока не способен поддерживать самостоятельный электрический разряд в течение длительного времени, то наблюдается форма самостоятельного разряда, называемая искровым разрядом. Он характеризуется прерывистой формой даже при пользовании источниками постоянного тока и возникает в газе обычно при давлениях порядка атмосферного. По внешнему виду искровой разряд представляет собой пучок ярких зигзагообразных разветвляющихся тонких полосок, мгновенно пронизывающих разрядный промежуток, быстро гаснущих и постоянно сменяющих друг друга (рис.2). В естественных условиях искровой разряд наблюдается в виде молнии.[1]

Рис. 2. Искровой разряд

В сильно неоднородных электрических полях, образующихся, например, между острием и плоскостью или между проводом линии электропередачи и поверхностью Земли, возникает особая форма самостоятельного разряда в газах, называемая коронным разрядом. Основная особенность коронного разряда заключается в том, что процесс ионизации атомов электронным ударом происходит лишь на небольших расстояниях одним из электронов в области с высокими значе­ниями напряженности электрического поля. [3]

Если после получения искрового разряда от мощного источника постепенно уменьшать расстояние между электродами (или сопротивление внешней цепи), то разряд из прерывистого становится непрерывным - возникает новая форма газового разряда, называемая дуговым разрядом. При этом ток резко увеличивается, достигая десятков и сотен ампер, а напряжение на разрядном промежутке падает до нескольких десятков вольт. [1]

.3 Тлеющий разряд

Как уже отмечалось ранее тлеющий разряд может возникнуть в разреженном газе, значит для его поддержания не требуется высоких напряжений. Тлеющий разряд в газоразрядной трубке представляет собой сложную, но всегда определенную, последовательность по-разному светящихся зон, которые показаны на рис.3.

Рис. 3. Характерные области тлеющего разряда

Непосредственно к катоду примыкает узкое так называемое астоново темное пространство, где электроны, исходящие из катода, еще не успели приобрести скорости, достаточной для возбуждения атомов и молекул газа.

Затем идет тонкая светящаяся пленка, называемая катодным свечением, где происходит возбуждение атомов и молекул ударами электронов, но еще нет ионизации. Возвращаясь в нормальное состояние, возбужденные атомы излучают световые кванты, чем и объясняется свечение.

За катодным свечением следует темное катодное пространство. На самом деле оно не совсем темное, но кажется таковым лишь на фоне примыкающих к нему более светлых областей разряда. В этой части пространства начинается ионизация атомов и молекул и нарастание электронных лавин. Из-за возможности ионизации уменьшается вероятность возбуждения атомов, с чем и связано ослабление свечения газа. Область темного катодного пространства наиболее важна для поддержания разряда, так как созданные здесь положительные ионы обеспечивают необходимую эмиссию электронов с катода.

Темное катодное пространство резко переходит в отрицательное свечение. Это свечение резко ограничено только со стороны катода. Свечение возникает из-за рекомбинации электронов с положительными ионами, а также вследствие квантовых переходов возбужденных атомов на более низкие энергетические уровни.

При продвижении к аноду яркость тлеющего свечения ослабевает, и оно постепенно переходит в так называемое фарадеево темное пространство, в которое уже не долетают быстрые электорны электронных лавин.

Перечисленные пять областей называются катодными частями разряда. В них происходят все процессы, необходимые для поддержания разряда.

За фарадеевым темным пространством следует так называемый остов разряда. В более или менее узких трубках он представляет собой столб низкотемпературной плазмы с почти хаотическим движением заряженных частиц и называется положительным столбом разряда. Наличие положительного столба несущественно для поддержания разряда, хотя он и имеет большое значение в техническом применении.

При некоторых условиях между положительным столбом и анодом видно темное анодное пространство, а на самой поверхности анода - анодное свечение. [1]

3. Модель физического процесса

Положительные ионы, образовавшиеся в разрядном промежутке, вылетают сквозь сеточный катод, с разными скоростями, распределенными по максвеллу. Первые частицы, попавшие в закатодную область, рассеиваются на атомах газа и оседают на стеклянной трубке. Следующие уже не могут осесть в том же месте, поэтому они пролетают чуть дальше и тоже оседают на стенке и т.д., пока ионы не покроют всю длину трубки.

Теперь, когда частицы не могут оседать на стенке, пучок ионов фокусируется, сжимается радиально. И, следовательно, поток частиц должен вроде бы остаться примерно постоянным независимо от положения коллектора. Но на самом деле, это не так.

В промежутке, на расстоянии много больших чем длина свободного пробега, образуется положительный пространственный заряд, который препятствует проникновению ионов через катод в промежуток. Это обстоятельство объясняется тем, что «горячие» ионы ионизуют нейтральные атомы газа, вследствие этого образуются новый нейтрал и уже «холодный» ион, имеющий только скорость хаотического движения, но не направленного. Происходит, соответственно, скопление в этой области положительных частиц или, другими словами, образование положительного пространственного заряда.

Рассмотрим вначале качественную картину движения такого пучка по мере увеличения его тока. При небольшом токе поле пространственного заряда пучка мало и вызывает лишь небольшое «провисание» потенциала, что, в свою очередь, приводит к некоторому торможению ионов. При достаточно большом токе торможение становится настолько значительным, что ионы останавливаются, и часть их отражается назад (см. рис.4 кривая 2). Потенциал при этом провисает до некого значения и образуется, так называемый виртуальный анод. Его положение можно найти, рассматривая каждый из двух участков системы как плоский диод.

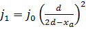
Пусть плотность тока, поступающего в дрейфовое пространство равна jэ, прошедший ток - j1 , отраженный - j2. Тогда по закону «3/2»:

(1),       (2),

где 2d - протяженность промежутка, - положение виртуального анода

Рис. 4. Распределение поля и потенциала внутри закатодного промежутка

Решая эту систему (1), (2), найдем:


При очень большом начальном токе () .

Получаем, что слева от виртуального анода заряд возрастает при , а так как при этом почти все электроны отражаются назад, что приводит к запиранию пучка на очень коротком участке. Справа же от виртуального анода будем считать, что это диод с зазором 2d.

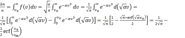
Если теперь мы поместим коллектор на расстоянии x, то на нее попадут частицы, имевшие кинетическую энергию ≥eφ(x). И так как ионы, влетающие в промежуток, имеют распределение максвелла по скоростям, необходимо просто проинтегрировать функцию распределения f(v) от до бесконечности (рис. 6).

       (5)

Рис. 6. Максвелловское распределение частиц по скоростям

Долю частиц, имеющих скорость выше  можно посчитать (из рис. 6):

 (6)

Отсюда:  - количество частиц, попавших на эту площадку.

Помножив его на среднюю скорость ионов в пучке  и разделив на 4, получим поток частиц.

Осталось только помножить на заряд иона и получим ток, в итоге:

 , где N - полное число частиц, вылетевших с катода,, erf - функция ошибок нормального распределения.

Приближенно ее можно вычислить с помощью следующей формулы:

, где

В нашем случае:

   (7)

Или для функции j(x):

      (8)

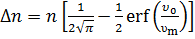
Характерный вид этой зависимости представлен на рис. 7.

Рис. 7. Характерный вид зависимости j(U)

Как видно из рисунка, зависимость является убывающей (на рисунке обозначена красным цветом), причем убывает она быстрее экспоненты (зеленым цветом).

Итак, работая в первом приближении мы отыскали необходимую зависимость тока от расстояния до коллектора.

4. Экспериментальная установка

.1 Описание установки

Установка для измерения тока ионного тока тлеющего разряда показана на рис. 8

Рис. 8. Схема установки для измерения ионного тока

Баллон, наполненный газом, соединен с основной камерой, представляющей собой стеклянную трубу, диаметром 40 см, посредством крана К. С его помощью можно регулировать давление исследуемого газа в камере. Давление измеряется термопарным вакуумметром.

Внутри камеры помещены дисковый анод из латуни, сеточный катод из нержавеющей стали и держатель, на котором располагается коллектор ионов. Держатель можно передвигать при помощи специального магнита, надетого поверх трубы.

Падение напряжения на участке анод-катод обеспечивается разностью между напряжением, создаваемым источником ЭДС , и падением напряжения  на балластном сопротивлении .

Ионный ток регистрируется коллектором.

4.2 Методика эксперимента

В данном методе измерения зависимости тока тлеющего разряда от расстояния между коллектором ионов и катодом используются два газа: азот и гелий.

Сначала необходимо откачать газ из рабочей камеры форвакуумным насосом, но так как в процессе его работы образуется достаточное количество паров масла, то их концентрацию снижают азотной ловушкой, установленной снизу рабочей камеры.

После напуска газа в трубку и подачи напряжения на анод мы можем наблюдать, что в положительном столбе на общем равно­мерном фоне наблюдаются отдельные равноотстоящие светящиеся слои («страты») с тёмными промежутками между отдельными слоями.

Постепенно с шагом 1-2 мм передвигаем с помощью магнита держатель, на котором крепится коллектор ионов, фиксируем соответствующие показания вольтметра . При этом необходимо следить, чтобы давление в камере оставалось постоянным. Заносим результаты в таблицу, по которой строим график.

разряд газ ток ионный

5. Анализ полученных результатов

.1 Результаты

Получены графики, отображающие зависимость ионного тока тлеющего разряда I в зависимости от расстояния до коллектора l.

На рисунке 9 показаны эти зависимости при =1500 V при различных давлениях в гелии (0,3, 0,12, 0,06 торр на рисунке - синий, красный и зеленый соответственно). Наложение на один график производилось для наглядного демонстрирования следующего факта: при увеличении давления, но фиксированном напряжении источника зависимости тока от расстояния будут ложиться выше.

Рис. 9. Зависимость тока он расстояния в гелии при U=1500 V

Ту же зависимость можно наблюдать и с азотом (рис. 10).

Рис. 10. Зависимость тока от расстояния в азоте при U=1500 V

Фиксируя другой параметр - давление, можно проследить картины зависимостей при различных напряжениях источника.

Например, для гелия (P=0,12 торр).

Рис. 11. Зависимость тока от расстояния в гелии при P=0,12 торр

И соответствующие графики для азота.

Рисунок 12. Зависимость тока от расстояния в азоте при P=0,12 торр

Как видно из рисунков 11,12 повышая напряжение на аноде, графики будут ложиться ниже начального.

Анализ погрешностей

Но, к сожалению, данная установка далеко не совершенна. Измерительные приборы имеют большую погрешность.

Относительная погрешность измерения напряжения вольтметром :

,

где  - конечное значение установленного предела измерений (для предела «500 V» =1000 В),  - показания вольтметра.

Расстояние между катодом и коллектором измерялось деревянной линейкой, ее предел допускаемой основной погрешности составляет ±0,5 мм.

Рис. 13. Зависимость тока от расстояния в азоте при U=1500 V, P =0,12 торр mV

Для примера возьмем азот с заданными параметрами: P = 1,25 mV, U = 1500 V. И разобьем промежуток от 0,5 см до 2 см на кусочки, с минимальной шириной, для данной работы, интервала - 1 мм. Нами не случайно выбран такой промежуток, так как на этом участке наблюдаются заметные флуктуации тока, газовый разряд колеблется и погрешность вычислений велика. Поэтому необходимо провести набор (4-5 раз) экспериментов, чтобы получить хорошие данные.

Рис. 14. Зависимость тока от расстояния

Выводы и заключения

Основной целью нашего эксперимента было выявление характерной зависимости тока от расстояния, а так же теоретическое обоснование происходящих явлений.

Проведя предварительные рассуждения, мы сделали предположение, что модель эксперимента соответствует приведенной в п.3, а искомая зависимость описывается формулой (5).

А из полученных нами на установке результатов видим подтверждение теоретических выкладок. Стоит отметить, что формула (8) работает только на расстояниях много больше длин свободного пробега (~0,04 см).

Данный эксперимент позволяет проводить анализ для определения оптимальных условий для осаждения углеродных пленок, выявлять максимальные токи (1,2 мА) а также максимальные расстояния, при которых ионный ток еще достаточен (30-35 мм) для осаждения пленок.

В связи с некоторыми проблемами установки, а именно: низким классом точности приборов, присутствие наряду с инертным газом дополнительных примесей и т.д., вычисления не являются точными и из них можно судить только о характерных зависимостях, а не о истинных величинах.


Список литературы

Сивухин Д.В. Общий курс физики. Электричество. Учебное пособие. Наука. Главная редакция физико-математической литературы, 1983 г.

Жданов С.К., Курнаев В.А. Основы физических процессов в плазме и плазменных установках. М: МИФИ, 2000.

Физика: Учеб. для 10 к. шк. с углубл. изучением физики / О. Ф. Кабардин, В. А. Орлов, Э. Е. Эвенчик и др.

Васильев Г.В. // М., Легкая индустрия, 1969, С. 20.

Письма в ЖТФ, 2001, том 27, вып. 7. О физической модели короткого тлеющего разряда для плазменных дисплеев.

1.     

Похожие работы на - Определение зависимости ионного тока тлеющего разряда в азоте и гелии от расстояния между коллектором ионов и катодом

 

Не нашли материал для своей работы?
Поможем написать уникальную работу
Без плагиата!
Без нейросетей!