Кинематика специальной теории относительности
Курсовая
работа
Кинематика
специальной теории относительности
Введение
Кинематика (от греч. kínema, родительный падеж kinematos -
движение), раздел механики, посвященный изучению геометрических свойств
движений без учета их масс и действующих на них сил.
Специальная теория относительности (СТО) - теория, описывающая движение,
законы механики и пространственно-временные отношения, определяющие их, при
скоростях движения, близких к скорости света. В рамках специальной теории
относительности классическая механика Ньютона является приближением низких
скоростей. Обобщение СТО для гравитационных полей образует общую теорию
относительности.
Предпосылкой к созданию теории относительности явилось развитие в XIX
веке электродинамики. Результатом обобщения и теоретического осмысления
экспериментальных фактов и закономерностей в областях электричества и
магнетизма стали уравнения Максвелла, описывающие эволюцию электромагнитного
поля и его взаимодействие с зарядами и токами.
Специальная теория относительности была разработана в начале XX века
усилиями Г. А. Лоренца, А. Пуанкаре и А. Эйнштейна, см. ниже исторический
очерк. Экспериментальной основой для создания СТО послужил опыт Майкельсона,
который дал результат измерения, неожиданный для классической физики своего
времени: независимость скорости света от системы отсчёта. Попытка
проинтерпретировать этот результат в начале XX века вылилась в пересмотр
классических представлений не только электромагнетизма, но и всей механики
вообще, и привела к созданию релятивистских физических теорий.
Специальная теория относительности - теория, которая решает две основные
задачи: во-первых, приспосабливает пространственно - временную метрику к
уравнениям Максвелла. Это приводит к выработке новой "метрики"
пространства - времени, где на смену евклидовой метрики, в которой пространства
и время рассматриваются независимыми друг от друга и в которой пространственные
и временные масштабы сохраняют неизменность по отдельности друг от друга в
различных системах отсчета, приходит видоизмененная метрика, с
пространственно-временным континуумом, называемым псевдоевклидовым
пространством Минковского, в котором время эквивалентно пространственным
координатам, играет роль четвертого измерения в этом континууме и в котором
инвариантным относительно преобразований Лоренца является четырехмерный мировой
интервал. И, во-вторых, применение этой новой "метрики" ко всей
физики.
В дальнейшем все известные физические законы были записаны в
четырехмерном формализме Минковского, что привело к созданию новой
релятивистской (relativ - относительный) физической исследовательской
программы, пришедшей на смену механистической исследовательской программе.
Глава 1.
Преобразования Лоренца
§1.
Различная запись преобразования Лоренца
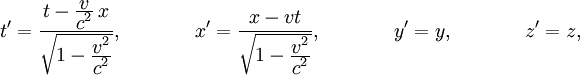
Пусть координатные оси двух инерциальных систем отсчёта S и S'
параллельны друг другу, (t, x,y, z) - время и координаты некоторого события,
наблюдаемого относительно системы S, а (t',x',y',z') - время и координаты того
же события относительно системы S'. Если система S' движется равномерно и
прямолинейно со скоростью v относительно S, то справедливы преобразования
Лоренца:
где c - скорость света. При скоростях много меньше скорости света
преобразования Лоренца переходят в
преобразования Галилея:
Подобный предельный переход является отражением принципа соответствия,
согласно которому более общая теория (СТО) имеет своим предельным случаем менее
общую теорию (в данном случае - классическую механику).
Преобразования Лоренца можно записать в векторном виде, когда скорость
систем отсчёта направлена в произвольном направлении (не обязательно вдоль оси
x):
Где
- фактор Лоренца
и
- радиус-векторы события относительно систем S и S'.
§2.
Следствия преобразований Лоренца
. Сложение скоростей
Непосредственным следствием преобразований Лоренца является
релятивистское правило сложения скоростей. Если некоторый объект имеет
компоненты скорости
относительно системы S и
относительно S', то между ними
существует следующая связь:
В этих соотношениях относительна скорость движения систем отсчёта v
направлена вдоль оси x. Релятивистское сложение скоростей, как и преобразования
Лоренца, при малых скоростях
переходит в классический закон сложения скоростей. Если
объект движется со скоростью света
вдоль оси x относительно системы S,
то такая же скорость у него будет и относительно S':
Это означает, что скорость является
инвариантной (одинаковой) во всех ИСО.
Если часы неподвижны в системе S', то для двух последовательных событий
имеет место
. Такие часы перемещаются относительно системы S по закону
поэтому интервалы времени связаны
следующим образом:
Важно понимать, что в этой формуле интервал времени
измеряется одними движущимися часами
S' Он сравнивается с показаниями
нескольких различных, синхронно
идущих часов, расположенных в системе S мимо которых движутся часы S'. В
результате такого сравнения оказывается, что движущиеся часы S' идут медленнее
неподвижных часов. С этим эффектом связан так называемый парадокс близнецов.
Если часы движутся с переменной скоростью
относительно инерциальной системы
отсчёта, то время, измеряемое этими часами (т. н. собственное время), не
зависит от ускорения, и может быть вычислено по следующей формуле:
Относительность одновременности
Если два разнесённых в пространстве события (например, вспышки света)
происходят одновременно в движущейся системе отсчёта S', то они будут
неодновременные относительно «неподвижной» системы S. При Δt'
= 0 из преобразований
Лоренца следует:
Если Δx =
−
> 0, то и Δt
=
−
> 0. Это означает, что, с точки
зрения неподвижного наблюдателя, левое событие происходит раньше правого (
>
). Относительность одновременности
приводит к невозможности синхронизации часов в различных инерциальных системах
отсчёта во всём пространстве. Пусть в двух системах отсчёта, вдоль оси x
расположены синхронизированные в каждой системе часы, и в момент совпадения
«центральных» часов (на рисунке ниже) они показывают одинаковое время. (Рис. 1)
показывает, как эта ситуация выглядит с точки зрения наблюдателя в системе S.
Часы в движущейся системе отсчёта показывают различное время. Находящиеся по ходу
движения часы отстают, а находящиеся против хода движения опережают
«центральные» часы. Аналогична ситуация для наблюдателей в S' (Рис.2).

(Рис.
1) (Рис. 2)
. Сокращение линейных размеров
Если длину (форму) движущегося объекта определять при помощи
одновременной фиксации координат его поверхности, то из преобразований Лоренца
следует, что линейные размеры такого тела относительно «неподвижной» системы
отсчёта сокращаются:
где
- длина вдоль направления движения относительно неподвижной
системы отсчёта, а
- длина в движущейся системе отсчёта, связанной с телом (т.
н. собственная длина тела). При этом сокращаются продольные размеры тела (то
есть измеряемые вдоль направления движения). Поперечные размеры не изменяются.
Такое сокращение размеров ещё называют лоренцевым сокращением. При визуальном
наблюдении движущихся тел, дополнительно к лоренцевому сокращению необходимо
учитывать время распространения светового сигнала от поверхности тела. В
результате быстро движущееся тело выглядит повёрнутым, но не сжатым в
направлении движения.
. Эффект Доплера
Пусть источник, движущийся со скоростью v, излучает со скоростью света
периодический сигнал, имеющий частоту
. Эта частота измеряется
наблюдателем, связанным с источником (т. н. собственная частота). Если этот же
сигнал регистрируется «неподвижным» наблюдателем, то его частота ν
будет отличаться от
собственной частоты: где θ - угол между направлением на источник и его скоростью.
Различают продольный и поперечный эффект Доплера. В первом случае θ
= 0, то есть источник и
приёмник находятся на одной прямой. Если источник движется от приёмника, то его
частота уменьшается ν <
(красное смещение), а если
приближается, то частота увеличивается ν >
(синее смещение):
Поперечный эффект возникает, когда θ = π / 2, то есть направление на источник
перпендикулярно его скорости (например, источник «пролетает над» приёмником). В
этом случае непосредственно проявляется эффект замедления времени:
Аналога поперечного эффекта в классической физике нет, и это чисто
релятивистский эффект. В отличие от этого, продольный эффект Доплера обусловлен
как классической составляющей, так и релятивистским эффектом замедления
времени.
. Аберрация
Аберрация света является видимым смещением объекта при относительном
движении наблюдателя и этого объекта. Пусть в системе отсчёта S' источник света
неподвижен, и находится под углом θ' к оси x'. Тогда в системе S,
относительно которой система S' движется вдоль оси x со скоростью v,
направление на этот источник света составит угол θ. В соответствии с релятивистским
правилом сложения скоростей, эти два угла связаны следующим образом: где β
= v / c.
Глава 2.
Парадоксы кинематики специальной теории относительности
§1.
Критика кинематики теории относительности
Поскольку
важная цель науки - нахождение причинно - следственных связей явлений, то
позитивный момент классического подхода заключается в отделении объекта
исследования от остальной Вселенной. В подавляющем большинстве случаев движение
глаз наблюдателя не оказывает влияния на протекающий процесс, и уж тем более на
всю оставшуюся Вселенную. Конечно, бывают "кажущиеся эффекты", но от
них избавляются градуировкой приборов или пересчетом, чтобы сосредоточиться
именно на исследуемом процессе. Классические понятия кинематики фактически были
введены Ньютоном для определения независимых от исследуемого процесса реперных
точек и эталонов. Это создает базу для единого описания всех феноменов,
стыковки разных областей знания и упрощения описания. Как показало развитие
науки, классические представления кинематики не приводят к внутренним
логическим противоречиям. Интуитивно классические понятия совпадают с тем, что
дано нам в ощущениях и не пользоваться этим просто глупо (все равно, что
силиться ходить на ушах). Теория относительности же пытается повязать время и
пространство в некоторый "единый объект", т.е. помимо кинематического
понятия скорости возникает дополнительная связь, вовсе не связанная с
исследуемым процессом. При этом заявляется, что свойства этого
пространственно-временного объекта, во-первых, связаны со скоростью света в
пустоте (почему, например, не со скоростью движения Земли или со скоростью
звука в воде?), а, во-вторых, зависят от движения наблюдателя. Данная
зависимость объявляется не кажущимся, а объективным эффектом. Это уж совсем
странно, что решение наблюдателя изменить свою скорость приводит к мгновенному
изменению свойств остальной Вселенной, не говоря уже о том, что разных
наблюдателей может быть много и для одной и той же точки пространства
получаются различные якобы объективные характеристики. Для прикрытия очевидного
прокола произносится фраза об однозначной связи Ньютоновых и Лоренцовых
координат. Однако разных математических связей можно ввести сколько угодно, но
это вовсе не гарантирует наличие какого бы то ни было физического смысла у
выбранных преобразований. Для целей спасения теории относительности (например,
в парадоксе близнецов) также изобретен вспомогательный метод диаграмм,
напоминающий ИНСТРУКЦИЮ "Как левой пяткой, обернув ногу дважды вокруг шеи,
почесать правое ухо и вызвать при этом те же ощущения (их надо только заранее
выяснить), что и у нормального человека". Обращает на себя внимание следующий
факт. В классической физике любой логически непротиворечивый путь приводит к
одному и тому же объективному результату. Каждый наблюдатель может представить
себе рассуждения любого другого наблюдателя и даже воспользоваться ими. Иное
дело в теории относительности: некоторые из совершенно однотипных рассуждений
приходится постулировать неверными, то есть выбор пути подгонять под требуемые
результаты. Вообще говоря, подобные методы “наукообразных заклинаний”, могут
завуалировать проблемы только при рассмотрении движения двух объектов вдоль
одной прямой. Если число наблюдателей больше двух или имеем трехмерное
движение, то сразу проявляются проблемы. Например, пришлось бы постулировать,
что возраст объекта A равен возрасту объекта B, возраст объекта B равен возрасту
объекта C, но возраст объектов A и C различен. Критику релятивистского понятия
времени начнем с парадокса одногодок.
§2.
Парадокс одногодок (модифицированный парадокс близнецов)
Пусть две
колонии землян А и В находятся на большом расстоянии друг от друга. Посредине
находится маяк О. Он посылает сигнал, с приходом которого с каждой колонии
стартует по космическому кораблю с семьей космонавтов. Законы ускорения заранее
выбраны одинаковыми. Пусть сразу после прекращения всех ускоренных движений на
каждом корабле родилось по младенцу. Эти младенцы-космонавты и выбираются для
сравнения возрастов.

(Рис. 1)
московский
сражение барбаросса боевой
Вся
предыдущая история движения (до точек
и
соответственно) для них не
существует. Факт рождения каждого младенца могут подтвердить покоящиеся
наблюдатели в
. Младенцы все время двигались друг относительно друга с
постоянной скоростью 2 v . До встречи они пролетят одинаковый путь. Это чистый
опыт именно для сравнения длительности промежутков времени и проверки
специальной теории относительности (СТО). Пусть, например, полет с постоянной
скоростью продолжался 15 лет по часам, находящимся в первой ракете. Тогда с
точки зрения СТО первый ребенок будет рассуждать так: все 15 лет моей жизни
второй ребенок двигался относительно меня с большой скоростью, значит, его
возраст должен быть меньше моего. Если же вдобавок он начнет отсчитывать
возраст второго ребенка от момента прихода сигнала из точки, то будет считать,
что должен увидеть при встрече возле маяка "младенца с соской". Точно
также о первом ребенке будет думать второй ребенок. То есть в момент пролета с
большой относительной скоростью мимо друг друга (возле маяка) по мнению каждого
космонавта другой должен быть моложе. Но это невозможно, так как они в этот
момент могут сфотографироваться (и обменяться фотографиями цифровым методом).
Вследствие полной симметрии движения результат очевиден: возраст
"космонавтов" будет одинаков, что и подтвердит наблюдатель на маяке.
С ролью ускорения в "правдоподобном заклинании" СТО тоже есть неувязка.
Во-первых, не
будут же при последующем торможении одного из космонавтов на фотографии другого
космонавта появляться морщины. Кроме того, заранее неизвестно, кто из них
захочет двигаться с ускорением, чтобы развернуться и догнать другого.
Во-вторых, с
одной и той же большой постоянной относительной скоростью можно лететь разное
время, например, за счет разного расстояния |AВ|, а ускорения использовать
одинаковые. Например, выберем эти ускорения равными ускорению свободного
падения на Земле. Тогда разгон до релятивистских скоростей занимает порядка
года, в то время как весь путь можно выбрать гораздо большим: 100 или 1000
световых лет. Очевидно, что за этот год ускоренного движения не произойдет ни
ускоренного старения, ни ускоренного омоложения, особенно если вспомнить из
общей теории относительности (ОТО) об эквивалентности ускоренной системы и
системы в поле тяжести: мы ведь теперь имеем условия, аналогичные обычным
земным условиям!
Получается,
что одно и то же ускорение по величине и времени своего действия на одинаковых
|
отрезках и может вызвать разное
старение для подгонки под формулы замедления времени в зависимости от времени
предыдущего движения с постоянной относительной скоростью (100 или 1000 лет),
т.е. имеем отказ от причинности.
§3.
Парадокс антиподов
Рассмотрим элементарное логическое противоречие теории относительности.
Два антипода на экваторе (например, один человек - в Бразилии, а другой - в
Индонезии) отличаются тем, что за счет вращения Земли они движутся друг
относительно друга в каждый момент времени с постоянной по модулю скоростью.
Следовательно, несмотря на очевидную симметрию задачи, каждый из них должен
постареть или помолодеть относительно другого. Уберем тяготение и поместим
каждого из наших "космонавтов" в кабину. Время на такой
"карусели" можно установить по направлению на неподвижную
относительно центра карусели далекую звезду и по периоду вращения карусели.
Очевидно, течение времени будет одинаковым для обоих "космонавтов".
Увеличим линейную скорость для усиления эффекта, например, чтобы по формулам
СТО разница в ходе времени "набегала" 100 лет против одного года.
Увеличим радиус карусели R,
чтобы центробежная сила
/R → 0 и стала на много порядков ниже точности ее
измерения. Бороться релятивистам за необходимость принципиальной инерциальности
системы не стоит. Напомним, что все якобы релятивистские опыты выполнены на
неинерциальной Земле (где все центробежные эффекты легко измеримы). Не будут же
они отказываться от всех "своих" экспериментов. Ведь в данном случае
ни один эксперимент не отличит движения антиподов от прямолинейного. А далее,
если вы верите в относительность, то движение одного из антиподов можно параллельно
перенести поближе к другому антиподу и вовсе забыть про модель карусели.
§4. Парадокс "n близнецов"
Для возможности одновременного старта и финиша космонавтов в центре O легко
нарисовать симметричную схему типа "цветка", где на одинаковых петлях
происходит одинаковое "земное" ускорение g а на прямолинейных участках большая скорость остается
постоянной (Рис.2). В узлах можно поместить наблюдателей для подтверждения
одинакового эффекта ускорения. График скоростей и ускорений заранее определен
одинаковым. Вследствие векторного характера величин относительные скорости и
ускорения будут различны. По мнению любого выбранного космонавта другие должны
состариться на разное время (и так с точки зрения каждого), что невозможно. Это
подтвердят наблюдатели в узлах и сами космонавты при возвращении в центр O.

(Рис.2)
§5.
Парадокс расстояний
Поскольку сокращение длин связывают со свойствами самого пространства, то
сокращаться должно также и расстояние до объекта, независимо от того,
приближаемся мы к объекту или удаляемся от него. Следовательно, при достаточно
большой скорости ракеты мы сможем дотронуться до удаленных звезд рукой, ведь в
нашей собственной системе отсчета наши размеры не меняются. Теория
относительности не накладывает ограничений на ускорение. Следовательно, улетая
от Земли с большим ускорением, мы вскоре окажемся от нее на расстоянии в один
метр. В какой же момент покоящийся наблюдатель увидит реверсное движение ракеты
(против реактивных двигателей)? Кинематика СТО использует обмен световыми
импульсами. Заметим, что все релятивистские формулы локальны (не зависят от
предыстории движения). Значит, два наблюдателя в одной и той же точке
пространства, двигающиеся с одинаковыми скоростями, увидят явление одинаковым,
даже если один из наблюдателей все время двигался с этой скоростью, а второй
приобрел ее за мгновение до события (иначе исчезает объективность науки). По
той же причине вспышка света либо дошла до данной точки пространства, либо нет.
От движения наблюдателя зависят только характеристики вспышки согласно эффекту
Допплера (если бы зависел сам факт прихода сигнала, то что бы означала
подстановка величин в формулу Допплера в одной из систем?). Замечание касается
изменения видимого направления получения сигнала при переходе в движущуюся
систему. Фотон, летящий в пространстве между источником и приемником, причинно
не связан с их движением в этот же момент времени (взаимодействие с регистрирующим
прибором происходит только в момент приема сигнала). Следовательно, никакого
реального поворота всего фронта волны (изменяющего факт прихода сигнала) быть
не может. Это математический способ описания наблюдаемого направления получения
сигнала. Пусть тонкий объект (например, вырезанный из темной бумаги) скользит
по фотопленке. Тогда длина объекта будет совпадать с длиной его фототени, если
освещение произведено бесконечно удаленной точечной фотовспышкой, находящейся
на серединном перпендикуляре к отрезку движения.
§6. Парадокс пешеходов
Пусть маяк, расположенный посредине отрезка в миллион световых лет,
посылает сигнал к его концам. В момент прихода вспышки два пешехода на концах
отрезка начинают идти с одинаковой скоростью в одну, заранее выбранную сторону,
вдоль прямой, содержащей данный отрезок, и идут несколько секунд. Движущийся
отрезок (система двух пешеходов) должен сократиться относительно концов
неподвижного отрезка на сотни километров. Однако, ни один из пешеходов за эти
секунды не "улетит" на сотни километров. Разорваться посредине
движущийся отрезок тоже не мог (преобразования Лоренца непрерывны). Где же
сократился этот отрезок? И как это можно обнаружить? Заметим, что в смысле
обратимости (при переходе от одной инерциальной системы к другой и обратно)
линейные преобразования Лоренца совершенно эквивалентны для координат и для
времени.
Заключение
Теория относительности была первой физической теорией, которая радикально
изменила взгляды ученых на пространство, время и движение. Если раньше
пространство и время рассматривались обособленно от движения материальных тел,
а само движение независимо от систем отсчета т.е. как абсолютное, то с
возникновением специальной теории относительности было твердо установлено:
всякое движение может описываться только по отношению к другим телам,
которые могут приниматься за системы отсчета, связанные с определенной системой
координат;
пространство и время тесно взаимосвязаны друг с другом, ибо только
совместно они определяют положение движущегося тела. Именно поэтому время в
теории относительности выступает как четвертая координата для описания
движения, хотя и отличная от пространственных координат;
специальная теория относительности показала, что одинаковость формы
законов механики для всех инерциальных, или галилеевых, систем отсчета
сохраняет свою силу и для законов электродинамики, но только для этого вместо
преобразований Галилея используются преобразования Лоренца.
при обобщении принципа относительности и распространении его на
электромагнитные процессы постулируется постоянство скорости света, которое
никак не учитывается в механике.
Общая теория относительности отказывается от такого ограничения, так же
как и от требования рассматривать лишь инерциальные системы отсчета, как это
делает специальная теория. Благодаря такому глубокому обобщению она приходит к
выводу: все системы отсчета являются равноценными для описания законов природы.
С философской точки зрения наиболее значительным результатом общей теории
относительности является установление зависимости пространственно-временных
свойств окружающего мира от расположения и движения тяготеющих масс.
Именно благодаря воздействию тел с большими массами происходит
искривление путей движения световых лучей. Следовательно, гравитационное поле,
создаваемое такими телами, определяет в конечном итоге
пространственно-временные свойства мира. В специальной теории относительности
абстрагируются от действия гравитационных полей и поэтому ее выводы оказываются
применимыми лишь для небольших участков пространства - времени.
Концепцию относительности, лежащую в основе общей и специальной
физической теории, не следует смешивать с принципом относительности наших
знаний, в том числе и в физике. Если первая, из них касается движения
физических тел по отношению к разным системам отсчета, т.е. характеризует
процессы, происходящие в объективном, материальном мире, то вторая относится к
росту и развитию нашего знания, т.е. касается мира субъективного, процессов
изменения наших представлений об объективном мире. Не подлежит сомнению, что
между этими процессами существует связь, и сами физики признают, что
возникновение теории относительности повлияло на характер мышления ученых. Об
этом ясно и убедительно рассказал в своих известных лекциях выдающийся
американский физик Ричард Фейнман (р. 1918).
Отвечая на вопрос, какие новые идеи и предложения внушил физикам принцип
относительности, Фейнман указывает, что первое открытие по существу состояло в
том, что даже те идеи, которые уже очень долго держатся и очень точно
проверены, могут быть ошибочными. Каким это было большим потрясением открыть,
что законы Ньютона неверны, и это после того, как все годы они казались
точными! Следующее: если возникают некие "странные" идеи, вроде того,
что когда идешь, то время тянется медленнее, то неуместен вопрос, правится ли
это нам? Уместен здесь Другой вопрос: согласуются ли эти идеи с тем, что
показал опыт? И наконец, теория относительности подсказала, что надо обращать
внимание на симметрию законов или (что более определенно) искать способы, с
помощью которых законы можно преобразовать, сохраняя при этом их форму.
К сожалению, принцип относительности в физике был использован некоторыми
западными философами для защиты философского релятивизма, суть которого
сводится к отрицанию объективно истинного содержания в нашем знании. Раз наши
принципы и теории меняются, значит, заявляют релятивисты, в них не содержится
никакой истины и поэтому сама истина объявляется соглашением ученых, удобным
средством для классификации фактов, экономным описанием действительности и т.
п. Даже предварительное знакомство с результатами физической теории
относительности показывает явную несостоятельность философского релятивизма.
Список
литературы
· Наука, 1988. - 512 с. - («Теоретическая физика», том II). -
ISBN 5-02-014420-7
· Паули В. Теория относительности. Изд. 2-е, испр. и доп.
Перев. с нем. - М.: Наука, 1983. - 336 с.
· Эйнштейн А. Сущность теории относительности. - М.: Изд.
ин.лит., 1955.-157 с.
· Уиттекер Э. История теории эфира и электричества.
Современные теории 1900-1926. Пер с англ. Москва, Ижевск: ИКИ, 2004. 464с. ISBN
5-93972-304-7 (Глава 2)
· Визгин В. П. Релятивистская теория тяготения (истоки и
формирование, 1900-1915). М.: Наука, 1981. - 352c.
· Герман Вейль. Пространство. Время. Материя. Лекции по общей
теории относительности. - М.: Изд-во УРСС научной и учебной литературы, 2004.
455 с.
· Дирак П. А. М. Общая теория относительности М.: Атомиздат,
1978.
· Фок В. А. Теория пространства, времени и тяготения / 2-е
изд. М.: ГИФМЛ, 1961.
· Толмен Р. Относительность, термодинамика и космология М.:
Наука, 1974.
· Пенроуз Р. Структура пространства-времени М.: Мир, 1972.
· Мизнер Ч., Торн К., Уилер Дж. Гравитация. М.: Мир, 1977.
Том 1 Том 2 Том 3
· Хокинг С., Эллис Дж. Крупномасштабная структура
пространства-времени М.: Мир, 1977.
· Визгин В. П. Релятивистская теория тяготения (истоки и
формирование, 1900-1915). М.: Наука, 1981. - 352 c.
· Визгин В. П. Единые теории в 1-й трети ХХ в. М.: Наука,
1985. - 304 c.
· С.Н. Артеха, Критика основ теории относительности, Москва,
Эдиториал УРСС, 2004,