Исследование эффекта переноса намагниченности на примере системы крахмал-вода в слабом поле

  • Вид работы:
    Курсовая работа (т)
  • Предмет:
    Физика
  • Язык:
    Русский
    ,
    Формат файла:
    MS Word
    1,5 Мб
  • Опубликовано:
    2012-08-29
Вы можете узнать стоимость помощи в написании студенческой работы.
Помощь в написании работы, которую точно примут!

Исследование эффекта переноса намагниченности на примере системы крахмал-вода в слабом поле















Исследование эффекта переноса намагниченности на примере системы крахмал-вода в слабом поле

Содержание

Введение

Теория эффекта

Материалы и методы

Подготовка образцов

Описание установки

Описание импульсной последовательности

Градуировка смещения

Результаты

Выводы

Литература

Введение

Современные тенденции в развитии ЯМР томографии направлены на разработку различных методов контрастирования МРТ изображений, а также на исследование применимости их для использования при получении томограмм на слобопольных томографах.

Изменение вида ЯМР-изображений в зависимости от чувствительности к определенному параметру называют контрастированием изображения по этому параметру. Различают так называемые истинные изображения пространственного распределения параметра, в которых яркость пропорциональна значению отображаемого параметра, и взвешенные по параметру изображения. В первом случае томограмма представляет собой отображение функции распределения параметра от координат, вычесленной из данных полученных при измерении локальных значений прецессирующей поперечной компоненты ядерной намагниченности.

Существуют различные принципы контрастирования МРТ изображений, такие как:

1)      Релаксационный контраст по T1

Так называемое T1-взвешенное изображение. Используются относительно короткие времена TR и TE. Следствием применения данного метода является увеличение яркости для областей с коротким временем продольной релаксации. Это один из основных типов МР контрастирования. Благодаря короткому времени повторений (TR), использование этого метода позволяет существенно ускорить процедуру получения изображения. Использование релаксационного контраста по T1 обеспечивает хороший контраст между серым и белым веществами головного мозга.[2]

2)      Релаксационный контраст по T2

Т2-взвешенное изображение. Используются более длительными временами TR и ТЕ. Отечные ткани, содержат большое количество воды, то есть имеют длительные Т1 и Т2, поэтому они плохо видны на Т1 -взвешенных изображениях и хорошо - на Т2-взвешенных изображениях.[2]

3)      Релаксационный контраст по T2*

Изображения, полученные из измерений градиентного эха при TE≥T2*, отображают распределение локальных неоднородностей магнитного поля. Чем неоднороднее поле в данном месте, тем меньше яркость соответствующего воксела. Применение данной методики открывает возможность функциональной томографии головного мозга. То есть определения областей активной работы мозга, проявляющихся в уменьшении значения T2* из-за притока крови, богатой кислородом и вследствие этого обладающей заметным парамагнетизмом.[1]

4)      Диффузионный контраст

Диффузионно-взвешенная МРТ - МРТ взвешенное по параметру коэффициента самодиффузии. Отображает различия в скорости самодиффузии частиц, содержащих резонирующие спины. Диффузионно-взвешенная МРТ применяется для диагностики ишемических инсультов в острой стадии и оценки эффективности их лечения, а также используется для получения дополнительной диагностической информации при опухолях головного мозга.[3]

5)      Использование химических контрастирующих агентов

Средством химического контрастирования является вещество, которое вводится в организм для изменения разности контраста между тканями. Обычно средством химического контрастирования является комплекс парамагнитного иона металла, каковым является гадолиний (Gd). Парамагнитное поле создает множество осциллирующих магнитных полей при действии в водной среде. К сожалению, гадолиний токсичен. Для снижения его токсического эффекта гадолиний входит в состав комплексов с разнообразными органическими комплексными агентами. Например:

Gd-EDTA, Gd-DTPA, Gd-DOTA .

После введения Gd в ткань, его концентрация сначала растет, а затем, по мере выведения из ткани, начинает падать. Усиление контраста получается в тканях, имеющих более высокую степень поглощения парамагнитного агента, по сравнению с другими тканями. К примеру, большинство опухолей имеют более высокое поглощение Gd, чем окружающие ткани, вызывая более короткий T1и больший сигнал.[3]

6)      Подавление сигнала от жировых тканей

Используются специальные импульсные последовательности, приспособленные для подавления сигналов от свободной жидкости или жира. Наиболее просты в реализации и потому особенно востребованы методики, основанные на эффекте инверсия-восстановление. Хорошо известны две методики подавления МР-сигналов, основанные на импульсных последовательностях инверсия-восстановление и отличающиеся лишь параметром TR, FLAIR (Fluid Attenuated Inversion Recovery) и STIR (Short Time Inversion Recovery). FLAIR применяется для подавления сигналов от свободной жидкости, которая имеет большее время продольной релаксации Т1 - около секунд, а STIR - для подавления сигналов от жировой ткани с коротким временем Т1 - около сотен миллисекунд [3]

7)      Контрастирование методом переноса намагниченности (MTI)

Контрастирование переносом намагниченности является новым методом повышения контраста между тканями за счет кросс-релаксационных процессов. Для того чтобы этот метод был эффективен, необходимо наличие в отображаемом анатомическом объекте, как минимум, двух спиновых систем, которые могли бы обмениваться энергией между собой, причем T2 одной системы должно быть намного короче, чем другой.

Особенность данной импульсной последовательности состоит в наличии преднасыщающих импульсов применяемых с частотой, отстоящей от центральной частоты спиновых систем. За преднасыщающими импульсами следует градиентное эхо или спин-эхо последовательность. [4]

Применение того или иного принципа контрастирования, обуславливается диагностической задачей стоящей перед исследователем. Одной из наиболее актуальных задач на данный момент, являются: обнаружение ранних стадий развития рассеянного склероза. Клинические исследования показали что методика MTI оказывается более чувствительной к изменениям белого вещества мозга у больных рассеянным склерозом, чем остальные методики МРТ, используемые для диагностики данного заболевания.[6]

Рассеянный склероз - это хроническое аутоиммунное заболевание, при котором, вследствие нарушений в работе иммунной системы, повреждается миелиновая оболочка нервных волокон, что приводит к постепенной утрате различных функций нервной системы, связанных с физическим и психоэмоциональным состоянием больного.[7]

В мире рассеянным склерозом болеет около 3 000 000 человек. Распространенность заболевания зависит от географических зон, являясь наиболее низкой в области экватора и увеличиваясь к северу и югу. В России рассеянным склерозом заболевают от 10 до 70 человек на 100 000 населения. У большинства больных первые симптомы заболевания возникают в молодом возрасте (от 20 до 40 лет).

Метод переноса намагниченности оказался эффективным для визуализации очагов рассеянного склероза.[7] Применяется использование этого метода в сочетании с искусственным контрастированием. Применяя стандартные методы и перенос намагниченности, Д. В. Пати и Г.Воробейчик (1999) выявили корреляцию данных МРТ с патофизиологическими изменениями в очагах в динамике лечения больных рассеянным склерозом.


Контраст изображений, полученных с помощью методов MTI, отражает соотношение и биофизическое взаимодействие между свободной водой и водой, связанной с биомолекулами. Использование MTI повышает чувствительность MPT-методов при патологических процессах, связанных с деструкцией клеточных мембран и изменением характера связи воды с белками. Важным преимуществом MTI является возможность объективной количественной оценки результатов с помощью величины, называемой отношением переноса намагниченности.[8]


Где S0 и Smt - интенсивности МР-сигнала, соответственно, в отсутствии и присутствии внерезонансного насыщения.



Представляется перспективным использование данного принципа для точного определения границ опухолей головного мозга и для повышения эффективности контрастного усиления использования препаратов парамагнетиков при некоторых формах патологии.[9] Использование метода переноса намагниченности при магнитно-резонансной ангиографии позволяет существенно улучшить качество ангиографических изображений. Важно отметить, что это позволяет на томографах со средними полями получать ангиограммы, не уступающие по качеству таковым, полученным на томографических системах с высокими полями.[10]

Кроме применения в медицине, эффект переноса намагниченности нашел применение в пищевой промышленности. В работах Junshi Y. Wu, Robert G. Bryant, Thomas M. Eads[11] и Lucia Calucci, Claudia Forte[12] исследовалось явление переноса намагниченности в водных растворах муки, глютена и клейстеризованном крахмале. Задача авторов заключалась в установлении зависимости степени взаимодействия системы макромолекул с водой, от различных параметров рассматриваемых образцов, таких как: концентрация макромолекул и времени хранения образца. В качестве параметра характеризующего взаимодействие системы макромолекул и воды, было выбрано отношение переноса намагниченности (MTR).

Эксперименты проводились при комнатной температуре с использованием спектрометров Bruker AMX300 (рабочая частота 300.13 МГц) и Nicolet NT200 (рабочая частота 200.067 МГц).


На рисунке 4 изображены полученные результаты исследования зависимости амплитуды сигнала спада свободной индукции, от частоты внерезонансных насыщающих импульсов, для растворов разной концентрации крахмала (верхний график) и муки (нижний график).


Видно, что следствием увеличения концентрации, является увеличение скорости наступления насыщения, что говорит о увеличении степени эффекта переноса намагниченности.

Теория эффекта

Первоначально считалось, что эффект переноса намагниченности обуславливается лишь химическим обменом между двумя взаимодействующими группами молекул. Позже было установлено, что имеет место кросс-релаксационное взаимодействие между протонами макромолекул (коллагенов) и протонами несвязанной воды. Это взаимодействие было признано одним из наиболее важных релаксационных механизмов в протеиновых растворах.[4]

Применение внерезонансного насыщения для улучшения контраста МРТ-изображений, было впервые предложено Muller в 1983 году. В 1989 году учеными Wolff и Balaban было установлено, что использование преднасыщающих внерезонансных импульсов существенно повышает контраст между тканями, исследования проводились на примере МРТ кроличьей почки.[4]

Для понимания механизма переноса намагниченности рассмотрим следующую модель исследуемой биологической ткани. Образец представляется в виде совокупности двух фракций протонов водорода: “связанные” протоны - входящие в состав макромолекул (в том числе и протоны, входящие в состав присоединенных гидратацией к макромолекулам, молекул воды) и “свободные” протоны, входящие в состав несвязанных молекул воды.

В МРТ-исследованиях сигнал протонов макромолекул явным образом не обнаруживается. Причиной этого являются небольшая концентрация и малое время спин-спиновой релаксации(T2) протонов макромолекул (порядка менее 1 миллисекунды). Напротив время спин-спиновой релаксации протонов несвязанной воды имеет значение порядка более 10 миллисекунд. Из-за обратной зависимости между T2 и шириной спектральной линии, ЯМР-спектр исследуемой системы будет нести очень широкий пик от связанных протонов и очень узкий пик от свободных (рис. 5). [13]

Существенное различие в ширине спектральных линий, дает возможность получить частичное насыщение намагниченности связанных протонов при минимальном воздействии на намагниченность свободных, по средствам РЧ облучении объекта (импульсном или непрерывном) при достаточно большой отстройке от резонанса.

Рисунок 5. иллюстрирует сигнал от двух фракций: протонов водорода несвязанной воды и связанных протонов. Связанные протоны избирательно насыщаются внерезонансным импульсом, существенно не влияющим на протоны несвязанной воды.[13]

Дальнейшее поведение системы можно представить в виде следующей диаграммы[13]:

ядерный намагниченность лабораторный импульсный





Иными словами, преднасыщающим внерезонансным импульсом мы частично насыщаем связанные протоны водорода, входящие в состав макромолекул. Перенос насыщения от связанных протонов к свободным вследствие химического обмена и механизмов релаксации приводит к снижению экспериментально измеряемой интенсивности сигнала несвязанной воды.

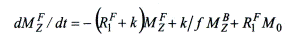
Динамика намагниченности в рассматриваемой системе связанных спинов описывается уравнениями Блоха в модификации Мак Коннела [14], учитывающими обмен между Z-компонентами намагниченности. Для случая двух фракций свободных и связанных протонов система уравнений Блоха-Мак Коннела имеет вид:


  - X-. Y- и Z-компоненты намагниченности свободных(F) и связанных (B) протонов;

·        ,  - скорости продольной и поперечной релаксаций,

·        - отстройка РЧ поля от резонанса (- ларморова частота, одинаковая для свободных и связанных протонов);

·        - молярное отношение фракций свободных и связанных протонов,

·        - эффективная константа скорости кросс-релаксации, феноменологически описывающая вклады ядерного эффекта Оверхаузера и химического обмена;

·        - равновестная намагниченность фракции свободных протонов. Равновестная намагниченность связанных протонов выражена через величины  и

Теоретическое описание действия насыщающего импульса на спиновую систему в общем случае требует решения уравнений системы (2)-(7) и не может быть выражено аналитически. Однако возможно существенно упростить математическое описание, если пренебречь влиянием РЧ воздействия на намагниченность свободной фракции. В этом случае поперечные компоненты намагниченности свободных протонов выпадают из уравнений (2)-(7), что позволяет снизить размерность системы с 6 до 4. Теоретический анализ и численное моделирование импульсного переноса намагниченности при данном предположении показали, что динамика намагниченности в течении насыщающего импульса с высокой точностью описывается эффективным уравнением для продольных компонент[15]:


Где RrfB - скорость утечки продольной намагниченности связанных спинов под действием РЧ облучения.


В работе R.M. Henkelman, G.J. Stanisz, S.J. Graham, [13] проведены исследования переноса намагниченности в 4% водном растворе агара. В ходе эксперимента, исследовалась зависимость амплитуды сигнала от величины расстройки по частоте насыщяющих импульсов. Из полученных данных, математическим моделированием в рамках двух фракционной модели раствора, были получены кривые насыщения отдельных фракций без учета взаимодействия между ними. Результат представлен на рисунке 6:



Верхняя кривая показывает изменение намагниченности, которое наблюдалось бы в в ходе эксперимента, случае отсутствия агара. Случай отсутствия воды отображает нижняя кривая. Центральная же кривая представляет реальные данные полученные от водного раствора агара.

Затемненная область показывает величину обменного взаимодействия между насыщенным агаром и водой.

Материалы и методы

Целью настоящей работы являются:

)        Установление возможности наблюдения эффекта переноса ядерной намагниченности используя имеющееся лабораторное оборудование.

)        Изучение влияния параметров исследуемых образцов на отношение переноса намагниченности.

Подготовка образцов

)        Клейстеризованный крахмал.

Первым объектом исследований, был выбран клейстеризованный картофельный крахмал.

Крахмал, главный резервный полисахарид растений; накапливается в виде зерен в клетках семян, луковиц, клубней, а также в листьях и стеблях. Бесцветное аморфное вещество, не растворим в холодной воде, диэтиловом эфире, этаноле, в горячей воде образует клейстер. В зернах крахмала содержатся 98-99,5% полисахаридов и 0,5-2% неуглеводных компонентов (в том числе липиды. белки. зольные элементы).

Крахмал представляет собой смесь линейного (амилозы) и разветвленного (амилопектина) полисахаридов (рисунок 7). Амилоза построена главным образом из остатков a-D-глюкопиранозы с 1:4 - связями. В зависимости от вида растения молярная масса амилозы колеблется от 150 тыс. (рисовый, кукурузный крахмал) до 500 тысяч (картофельный крахмал).

В теплой воде зерна крахмала набухают и небольшая часть полисахаридов переходит в раствор. При определенных температурах, различных для крахмал разных растений, происходит клейстеризация крахмала, проявляющаяся в сильном разбухании крахмальных зерен, их разрыве и образовании более или менее однородного раствора - крахмального клейстера. Температура клейстеризации картофельного крахмал 55-65, пшеничного 60-80, кукурузного 65-70, рисового 70-80 °С. Из клейстера и растворов амилозы при длительном хранении выпадает амилоза; этот процесс наз. ретроградацией.


Клейстеризация проводилась, по средствам постепенного нагревания раствора крахмала в холодной дистиллированной воде, на водяной бане. Было изготовлено три образца клейстера, с процентными содержаниями крахмала 10%, 30% и 50% по массе.

2)      Водный раствор муки

Вторым образцом для исследований, был выбран водный раствор пшеничной муки муки.

Кроме крахмала, пшеничная мука содержит вещества трёх водорастворимых белковых групп: альбумин, глобулин, протеоза, и двух нерастворимых в воде белковых групп: глутенин и глиадин. При смешивании с водой растворимые протеины растворяются, а оставшиеся глутенин и глиадин формируют структуру теста. При замешивании теста глутенин складывается в цепочки длинными тонкими молекулами, а более короткий глиадин формирует мостики между цепочками глутенина. Получающаяся сетка из этих двух протеинов называется клейковиной.

Мука

Белки %

Углеводы %

Клетчатка %

Зольность %

Жиры %

Энергетическая ценность, кДж

Пшеничная (выс.сорт)

10.3

74.2

0.1

0.5

0.9

1373


Рассматривалось три образца раствора муки в дистиллированной воде, с процентными содержаниями муки 50%, 75%, 80% по массе. Раствор перемешивался до получения однородной консистенции.

Описание установки

В работе использовался лабораторный ЯМР-томограф.

Поле, создаваемое соленоидом - 7мТл.

Рабочая частота задающего кварцевого генератора - 309кГц.

Все управление импульсными последовательностями и снятием данных осуществлялось с использованием ЭВМ и интерфейса КАМАК.

Описание импульсной последовательности

Для получения сигнала после серии насыщающих внерезонансных импульсов, использовалась стандартная последовательность получения градиентного эха (рисунок 8).

Серия внерезонансных насыщающих импульсов состояла из 23 900 -градусных импульсов.

Задание параметров импульсной последовательности осуществляется при помощи специальной программы, в которой смещение частоты задается в условных единицах. Поэтому, необходимо провести градуировку:

Данные аппроксимации :

Equationy = A1*exp(x/t1) - y0

ValueStandard Error,904942,41969,158140,02876,018551,32964


Результаты измерений

)Проверка наличия эффекта

Для проверки наличия эффекта в клейстеризованном крахмале, были произведены измерения зависимости аплитуды градиентного эха от величины отстройки насыщяющих импульсов, для 10% образца и отдельно для воды.


Из графика представленного на рисунке 10 видно, что скорость наступления насыщения у воды заметно больше чем у рассматриваемого образца. Данный результат согласуется с результатами, полученными в работе R.M. Henkelman, G.J. Stanisz, S.J. Graham. Таким образом, правомерно говорить о присутствии явления переноса намагниченности в исследуемых образцах.

2)      Исследование образцов клейстеризированного крахмала.

3)      Исследование образцов водных растворов муки.


Выводы

Исходя из результатов, полученных в работе, можно сделать следующие выводы:

)        Соответствие полученных результатов, с результатами, представленными в литературе и хорошая воспроизводимость графиков, позволяют говорить о том, что ЯМР томограф, работающий с полем всего лишь 7мТл, подходит для изучения эффекта переноса намагниченности.

)        Наблюдается явная зависимость отношения переноса намагниченности от концентрации. Данная зависимость может быть с связана с тем, что с увеличением концентрации крахмала (муки), увеличивается концентрация макромолекул в растворе. А это приводит к увеличению молекулярного контакта, то есть к снижению подвижности участков биополимерной цепи, что и вызывает наблюдаемое уширение линии отношения переноса намагниченности.

Литература

[2] William G. Bradley, MD, Jr., PhD. Optimizing Lesion Contrast Without Using Contrast Agents. JOURNAL OF MAGNETIC RESONANCE IMAGING 10:442-449 (1999)

[3]Joseph P. Hornak, Ph.D. The Basics of MRI 1996.

[4] Robert I. Grossman, MD, John M. Gomori, MD, Karen N. Ramer, BA, FrankJ. Lexa, MD, Mitchell D. Schnall, MD, PhD. Magnetization Transfer: Theory and Clinical Applications in Neuroradiology. March 1994 RadioGraphics, 14, 279-290.

[5] Wolff SD, Balaban R.S. Magnetization transfer contrast (MTC) and tissue water proton relaxation in vivo. Magn Reson Med 1989; 10:135-144.

[6] Mark A. Horsfield, PhD. Magnetization Transfer Imaging in Multiple Sclerosis. Neuroimaging Clin N Am. 2008 Nov 18 4 637-49

[7] Ибатуллин М.М., Матвеева Т.В., Ануфриев А.Ю. Магнитно-резонансная томография в диагностике церебральных очагов рассеянного склероза

[8] Andreas Boss, MD, Petros Martirosian, PhD, Klaus Kuper, MD, Gerhard Fierlbeck, MD, Claus D. Claussen, MD, and Fritz Schick, MD, PhD. Whole-Body Magnetization Transfer Contrast Imaging. JOURNAL OF MAGNETIC RESONANCE IMAGING 24:1183-1187 (2006)

[9] Olav Jansen, Stefan Ulmer, Karsten Alfke, Thorsten Straube. Advances in Brain Tumor Imaging. Klin Neuroradiol 2003;13:15-9

[10] M.J. Graves. Magnetic resonance angiography. The British Journal of Radiology, 70 (1997), 6-28.

[11]Junshi Y. Wu, Robert G. Bryant, and Thomas M. Eads. Detection of Solidlike Components in Starch Using Cross-Relaxation and Fourier Transform Wide-Line 'H NMR Methods. J. Agric. Food Chem. 1992, 40, 449-455

[12] Lucia Calucci* and Claudia Forte. 1H Magnetization Transfer in Hydrated Gluten and Flour: Effects of Wheat Aging. Biomacromolecules 2004, 5, 1824 1831

[13]R.M. Henkelman, G.J. Stanisz and S.J. Graham. Magnetization transfer in MRI: a review.NMR Biomed. 2001;14:57-64

[14] Анисимов Н.В., Пирогов Ю.А., Губский Л.В., Гладун В.В. Управление контрастом и информационные технологии в магнитно-резонансной томографии.

[15] Daniel Abergel and Arthur G. Palmer. Approximate Solutions of the Bloch-McConnell Equations for Two-Site Chemical Exchange. ChemPhysChem Volume 5 Issue 6, Pages 787 - 793

[15] P. Huot, V. Dousset, F. Hatier, P. Degreze, P. Carlier, J.M.Caille. Improvement of post-gadolinium contrast with magnetization transfer. Eur. Radiol. 7 (Suppl. 5), S174±S177 (1997)

[16] Hidemichi Kawata, Hiroshi Nishimura, Syuji Nagata, Tsuyoshi Matsuda, Kimiyoshi Takada and Naofumi Hayabuchi. Fundamental study of magnetization transfer contrast (MTC) effect: Optimization of MT pulse condition using experimental phantom. Japanese Journal of Radiological Technology VOL.60;NO.10;PAGE.1437-1443(2004).

[17] Yael Vodovotz, Elena Vittadini, Joseph R. Sachlebenc. Use of 1H cross-relaxation nuclear magnetic resonancespectroscopy to probe the changes in bread and its components during aging. Carbohydrate Research 337 (2002) 147-153

[18] Yael Vodovotz, L.Charles Dickinson, and Pavinee Chinachoti. Molecular Characterization around a Glassy Transition of Starch Using 1H Cross-Relaxation Nuclear Magnetic Resonance. J. Agric. Food Chem. 2000, 48, 4948−4954

Похожие работы на - Исследование эффекта переноса намагниченности на примере системы крахмал-вода в слабом поле

 

Не нашли материал для своей работы?
Поможем написать уникальную работу
Без плагиата!
Без нейросетей!