Исследование планарных волноводных структур методом распространяющегося пучка
Исследование
планарных волноводных структур методом распространяющегося пучка
Содержание
Введение
. Анализ
физических процессов в волноводах с изменяющимся поперечным распределением
показателя преломления
. Метод
распространяющегося пучка для волоконной и интегральной оптики
.1 Метод
распространяющегося пучка с использованием быстрого преобразования Фурье
.2
Конечно-разностный метод распространяющегося пучка
.3
Исследование волноводных структур методом распространяющегося пучка
Введение
Волноводы с изменяющимся поперечным распределением показателя преломления
нашли широкое применение в волоконной и интегральной оптике. На этапе
разработки различного вида устройств важным аспектом является численное
моделирование распространения электромагнитного излучения в разрабатываемом
волоконно-оптическом элементе. Моделирование позволяет выявить приблизительные
характеристики устройства до его создания, а также является средством
совершенствования технологических процессов, поскольку позволяет исследовать
зависимости характеристик преобразователя от технологических параметров и
погрешностей.
Существуют различные методы, позволяющие моделировать распространение
света в оптических элементах, однако не все они применимы к моделированию
оптического волокна с изменяющимся поперечным распределением показателя
преломления.
Исследование распространения света в нерегулярных волноводах, исходя из
строгого решения уравнений Максвелла, представляет собой весьма трудную задачу.
Поэтому для ее решения используются приближенные методы. Одним из таких методов
является «метод распространяющегося пучка» (BPM - Beam Propagation Method).
Существует несколько разновидностей этого метода. Но в основном для решения
задач используются три перечисленных ниже:
· FFT-BPM:
основан на быстром преобразовании Фурье (FFT),
· FD-BPM: конечно-разностный метод и
· FE-BPM:
конечно-элементарный метод.
В данной работе я исследовала распространение света в волноводе методом
распространяющегося пучка двух видов: FD-BPM и FFT-BPM.
1. Анализ физических процессов в волноводах с изменяющимся поперечным
распределением показателя преломления
Здесь под волноводом будем подразумевать изделие из волоконных
световодов, содержащее волоконные элементы. В волоконные элементы тем или иным
способом внесены изменения, приводящие к возникновению нерегулярностей и
возмущений в процессе распространения света через волновод. Выделим характерные
особенности таких устройств.
Поскольку основной составляющей волноводов является оптическое волокно
того или иного рода, характеристики волокна как среды распространения будут
определять особенности физических процессов, происходящих в волноводе. С
физической точки зрения оптоволокно представляет собой диэлектрическую среду,
имеющую заданный профиль распределения показателя преломления. В общем случае
распространение в таких средах описывается системой уравнений Максвелла.
Особую роль в исследовании оптоволокна играет понятие моды - собственной
функции оператора распространения, определяемого профилем показателя
преломления. Введенное в оптоволокно излучение в процессе распространения
неизбежно приходит к виду, когда пучок представляет собой моду или комбинацию
мод, характерных для данного волокна. Далее такие пучки распространяются без
потери энергии, а распределение энергии в тангенциальной плоскости определяется
набором мод в пучке.
Основным средством внесения нелинейности в волновод является изменение
распределения показателя преломления. Изменить профиль можно различными
способами: изменением геометрии центральной линии волокна (например,
микроизгибы), изменением оптических свойств внешним воздействием (например, под
действием давления), или прямым изменением профиля (например, нанесением
микрорельефов на торцы волокна).
Такое внесение нелинейностей приводит к тому, что в локальных участках
волокна меняются его профиль и, следовательно, допустимые моды. Прохождение
пучка через такое волокно с измененными характеристиками приводит к
перераспределению энергии по модам измененного волокна и потере части энергии в
виде недопустимых мод. По завершении прохождения фрагмента волокна с внесенной
нелинейностью пучок обычно продолжает распространение в волокне с обычным
профилем, что опять приводит к перераспределению энергии по модам.
Таким образом, нелинейные эффекты связаны с изменением модового состава
распространяющегося пучка. Они определяются изменением оператора
распространения, возникающим вследствие изменения профиля показателя
преломления.
С физической точки зрения распространяющаяся мода (и, следовательно,
пучок в целом) описывается характеристиками электромагнитного поля, а именно
значениями векторов напряженности электрического и магнитного полей. Изменение
модового состава, в свою очередь, является изменением значений этих векторов,
которое возникает вследствие распространения через область с измененным
показателем преломления и описывается уравнениями Максвелла.
Таким образом, если требуется исследовать изменение модового состава в
процессе прохождения света через волновод и энергетические характеристики
волновода, достаточно тем или иным методом моделировать распространение
излучения. В результате получая характеристики векторов напряженности
электрического и магнитного полей. Полученные значения помогут исследовать
модовые и энергетические характеристики пучка путем математических
преобразований.
Одним из методов моделирования, традиционно применяемых в интегральной
оптике и позволяющих получить такие характеристики поля, как раз таки и
является метод распространяющегося пучка.
2. Метод распространяющегося пучка для волоконной и интегральной оптики
преломление пучок волновод оптика
Как говорилось выше, существует несколько методов распространяющегося
пучка.
Изначально метод распространяющегося пучка был сформулирован Фейтом и
Флекком в виде, отличном от современных модификаций, и основывался на послойном
расчете распространения пучка излучения с помощью прямого и обратного
преобразования Фурье.
2.1 МЕТОД РАСПРОСТРАНЯЮЩЕГОСЯ ПУЧКА С ИСПОЛЬЗОВАНИЕМ БЫСТРОГО
ПРЕОБРАЗОВАНИЯ ФУРЬЕ
Изучение BPM начинается с
нахождения параксиальной формы уравнения Гельмгольца, известное как уравнение
Френеля. Это уравнение используются для исследования параксиального
распространения в медленно меняющихся оптических структурах. Зная этого, можно
восстановить BPM алгоритмы.
Параксиальное распространение: уравнение Френеля
Пусть
и
. (1)
Распространение света в волноводах с произвольной геометрией является
очень сложным в целом, и, следовательно, понадобиться сделать несколько
приближений. Рассмотрим гармоническую зависимость электрических и магнитных
полей, в виде монохроматических волн с угловой частотой ω,
таким образом, что
временная зависимость будет иметь форму
. Уравнение, которое описывает такие
ЭM волны является векторным уравнением Гельмгольца:
(2)
Несмотря на то, что можно работать с векторным уравнением, в средах,
показатель преломления которых слабо изменяется в поперечном направлении, можно
рассматривать проблему распространения оптического сигнала, с помощью
скалярного уравнения Гельмгольца. В этом случае, уравнение имеет вид:
(3)
обозначает каждый из шести декартовых компонентов
электрических и магнитных полей.
Показатель преломления в данной области обозначается
и зависит от геометрии волновода.
Если волна распространяется вдоль положительного направления оси
, и показатель преломления среды в
этом направлении меняется медленно, то поле
может быть представлено в виде
произведения комплексной амплитуды E(x,z), которая медленно меняется, на быстро осциллирующую волну,
движущуюся в положительном направлении оси z:
(4)
, (5)
где
характеристическая постоянная распространения,
, а
-
показатель преломления подложки. Подставляя (4) и (5) в (3), и разделив на e-iβz, получим следующие уравнения:
(6)
где
характеризует пространственную зависимость волнового
числа, а
- волновое число в вакууме,
- это оператор Лапласа в
направлении.
или,
используя связи:
и
подставляя её в (6) получим следующий вид уравнения (6):
.
Амплитуда поля медленно меняется в пространстве, т.е. :
<<
(7)
В этом случае мы можем игнорировать первый член в правой части уравнения
(6), это и есть приближение Френеля или параболическое приближение, а уравнение
(6) приводит к
,
, (8)
которое
известно как уравнение Френеля или параксиальное уравнение. Оно является
основным уравнением для описания оптических волн в неоднородных средах, в
частности, в волноводных структурах.
Решение
уравнения Гельмгольца или Френеля применяются для оптических волн в волноводах,
известен как метод распространяющегося пучка (BPM).
Решение
уравнения Гельмгольца в однородной среде - это набор плоских волн, и,
следовательно, общее решение может быть представлено суперпозицией таких
плоских волн .Рассмотрим решение волнового уравнения, которое основано на
приближении Френеля. Во-первых, разделим переменные волновой функции
уравнения Френеля в направлении распространения и
боковых направлениях:
(9)
Подставляя
(9) в (8) и предполагая, что
, получим
операторное соотношение
,
и,
следовательно
(10)
Подставляя
в (9), получим
(11)
Таким
образом, волновую функцию
, которая расположена на расстоянии
от
в
направлении распространения, учитывая (9) можно записать в следующем виде:
(12)
Перепишем
(12) в следующем виде:
, (13)
где
(14)
Здесь
было использовано соотношение
и
пренебрегли
, исходя из того, что
является
достаточно малым
. (15)
Эта
связь означает, что первый и второй оператор (13) не могут быть
взаимозаменяемыми. Тем не менее, надо сделать операторы в (13) симметричными,
(16)
При
,
смотрим
(14), следовательно, уравнение(16) сводится к
. (17)
Это
означает, что действие оператора
(18)
соответствует
изменению фазы на расстоянии
в
однородной среде с показателем преломления
. Таким
образом, первый и третий члены (16) соответствуют распространению света в
однородной среде с показателем преломления
на
. Выражение (16) означает, что волновая функция в
может быть получена путем сдвига волновой функции по
на
в
однородной среде с показателем преломления
, затем фазового
сдвига
, соответствующего распространению через тонкую линзу,
и, наконец, сдвига волновой функции на следующий
в
однородной среде с показателем преломления
.
Свойство
непрерывности и периодичности функции позволяет применить дискретное
преобразование Фурье, т.е., получим:
, (19)
где
,
,
,
,
(20)
Здесь
является числом точек вычисления. Обратное дискретное
преобразование Фурье будет,
, (21)
Используя
оператор (18), можно найти распространение волны на расстояние
в однородной среде с показателем преломления
, получим следующую волновую функцию в точке
:
(22)
Можно
получить волновую функцию в
, заменив
на
в
уравнении (21):
(23)
Подставляя
уравнение (21), т.е., функцию
в (22),
получим
(24)
Правая
часть уравнения (24) может быть переписана как
Следовательно,
получаем другое выражение для волновой функции в
:
(25)
Приравнивания
(23) к (25), получим связь
(26)
Уравнение
(26) показывает связь между
в точке
и волновой функцией
в точке
. Экспоненциальный член в правой части (26),
,
соответствует
распространению на расстояние
в
однородной среде с показателем преломления
. Также
отметим, что уравнение (25) есть обратное дискретное преобразование Фурье от
функции
,
Можно
сделать вывод, что применение оператора
, (27)
который
соответствует распространению волны на расстояние
в однородной среде с показателем преломления
, в пространственной области, т.е., пространственная
функция
в точке
, эквивалентно применение следующей математической
процедуры
(28)
для
пространственной волновой функции
. Здесь
символ
и
,
соответственно, представляют ДПФ и ОДПФ.
Рис.1
Расчет FFT-BPM за период
Таким
образом, расчет FFT-BPM за период
включает
в себя следующие этапы:.
.
в
рассчитать спектральную функцию
путем применения преобразования Фурье к
пространственной волновой функции
.
.
Чтобы преобразовать
в точке
, надо
умножить
, (29)
на
, полученных, на 1-ом этапе. Это умножение
соответствует распространению на расстояние
в
однородной среде с показателем преломления
.
.
Проделывая обратное преобразование Фурье выражения
, можно получить
в
передней части линзы. Затем умножив фазовый сдвиг
,
получаемый за счет фазового сдвига линзы на пространственную волновую функцию
, получим пространственно-волновую функцию после
фазового сдвига линзы:
. (30)
.
Проделав преобразование Фурье выражения (30) и умножив на
, соответствующая распространению волны на расстояние
в однородной среде с показателем преломления
, получим в спектральной области
в точке
.
.
при нахождении
в
,
необходимо применить обратное преобразование Фурье к
, полученных в последнем этапе.
Повторяя
этапы 1-5, можно получить волновую функцию в пространственной области.
.2
КОНЕЧНО-РАЗНОСТНЫЙ МЕТОД РАСПРОСТРАНЯЮЩЕГОСЯ ПУЧКА
В
начале 90-х был предложен метод, получивший название конечно-разностного метода
распространяющегося пучка (Finite-Differential Beam Propagation Method, FD-BPM), основанный на послойном конечно-разностном решении
следствий уравнений Гельмгольца.
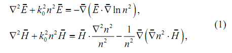
Рассмотрим
распространение в среде монохроматической волны, описываемое уравнениями
Гельмгольца, которые можно представить в следующем виде:
Где
- вектора комплексных амплитуд напряженности,
соответственно, электрического и магнитного полей,
- волновое число распространяющейся волны в вакууме, n-показатель
преломления среды. Такие уравнения являются следствием из системы уравнений
Максвелла при следующих предположениях:
)
электромагнитные характеристики среды постоянны во времени,
Где
- соответственно, относительные диэлектрическая и
магнитная проницаемости;
)
отсутствуют источники поля,
где
- плотность электрических зарядов,
-вектор плотности тока;
)
среда является магнитно-однородной,
Условия,
описываемые выражениями (2)-(4), не накладывают ограничений, несовместимых с
описанными ранее процессами в волноводах, поэтому уравнения вида (1) могут
применяться для описания этих процессов.
Перепишем
выражения (1), считая ось Z основным направлением распространения, и представим
их в матричной форме:
где
- вектора комплексных амплитуд компонентов
электрического и магнитного полей, соответственно, а матрицы А и В являются
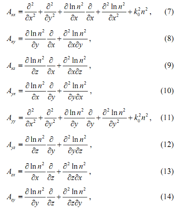
матричными дифференциальными операторами и имеют следующий вид:
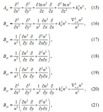
Компоненты
этих операторов описывают взаимодействие компонентов полей:

где
оператор
означает дифференцирование только по координатам α и β.
1) Рассмотрение только ТЕ-поляризации, тогда
, а выражение (5) для электрической
составляющей примет вид:
где
- квадратная матрица, содержащая только элементы, отвечающие
за взаимодействие тангенциальных компонентов электрического поля.
) Рассмотрение только ТМ-поляризации, тогда
, а выражение (5) для электрической
составляющей примет вид:
где
- квадратная матрица, содержащая
только элементы, отвечающие за взаимодействие тангенциальных компонентов
магнитного поля.
) Исключение из рассмотрения не компонент поля, но элементов матриц А и
В, отвечающих за взаимодействие с продольными компонентами. Для этого, как
видно из выражений (9), (12), (18) и (21), необходимо наложить некоторые
дополнительные требования на среду распространения: потребовать «плавности
изменения показателя преломления в направлении распространения». При этом
полученные из (6) уравнения в точности совпадут с (25) и (26).
Численное решение непосредственно уравнений (25) и (26) не дает искомого
преимущества послойного расчета характеристик поля (поскольку либо требуется
решение задачи во всем рассчитываемом объеме, либо решение не сходится),
поэтому необходимо понизить порядок дифференцирования. Для этого преобразуем
(25) и (26) следующим образом:
где i-комплексная мнимая единица, а корень
из матричной функции определен на основе собственных чисел этой функции.
Скобки в выражении (27) определяют распространение волны в прямом и
обратном направлениях. Если рассматривать только вперед- распространяющиеся
волны, то получим однонаправленные уравнения Гельмгольца:
откуда нетрудно получить математическую модель, используемую в FD-BPM:
На решении уравнений (29) и их следствий (в скалярных и полу векторных
случаях) и основываются современные методы FD-BPM и FE-BPM (Finite Element
BPM). Сделанные в ходе получения
выражений (29) предположения о характеристиках поля и среды делают данные
методы вполне применимыми к задачам интегральной и волоконной оптики.
.3 Исследование волноводных структур методом распространяющегося пучка
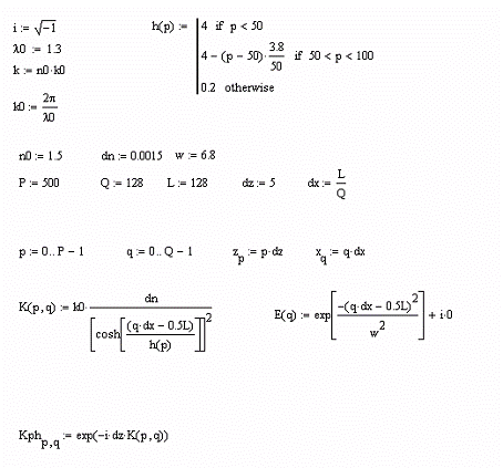
Распространение волны в волноводе с меняющейся структурой
Рассмотрим волновод с меняющейся структурой, приведенный на следующем
рисунке
-ширина волновода
p-номер
точки вдоль оси волновода (вдоль z)
Запишем программу в Mathcad:
График зависимости h(p)
Данные рисунки показывают распределение поля в волноводе в зависимости от
изменения структуры волновода.
Заключение
Итак, в своей курсовой работе я ознакомилась с методом
распространяющегося пучка двух видов. Провела краткий анализ физических
процессов, происходящих в волноводах с изменяющимся поперечным показателем
преломления в процессе распространения в них пучка.
Во второй части работы исследовала некоторые волноводные структуры
методом распространяющегося пучка использованием быстрого преобразования Фурье
с помощью программы Mathсad, продемонстрировала распространение
волны в волноводе с меняющейся структурой.
Разумное применение приведенных выше методов позволит эффективно
моделировать распространение излучения в нелинейных волоконно-оптических
преобразователях с существенными изменениями показателя преломления в волокне.
Список литературы
1. Никольский
В.В. Электродинамика и распространение радиоволн, Москва, “Наука”, 1978
2. Д.
Маркузе. Оптические волноводы, Москва, “Мир”, 1974
. Под
ред. Тамира. Интегральная оптика, Москва, “Мир”, 1978
. Ильинский
А,С., Кравцов В.В., Свешников А.Г. Математические модели электродинамики:
учебное пособие для вузов, Москва, “Высш. шк.”, 1991
. Снайдер
А., Лав Д. Теория оптических волноводов, “Радио и связь”, 1987.