Исследование адгезионных характеристик силицидных покрытий на молибдене методом склерометрии

  • Вид работы:
    Дипломная (ВКР)
  • Предмет:
    Физика
  • Язык:
    Русский
    ,
    Формат файла:
    MS Word
    946,82 Кб
  • Опубликовано:
    2012-06-21
Вы можете узнать стоимость помощи в написании студенческой работы.
Помощь в написании работы, которую точно примут!

Исследование адгезионных характеристик силицидных покрытий на молибдене методом склерометрии


ДИПЛОМНАЯ РАБОТА

МАГИСТРА ПРИКЛАДНОЙ ФИЗИКИ

Исследование адгезионных характеристик силицидных покрытий на молибдене методом склерометрии

АННОТАЦИЯ

Эффективность работы многих устройств, например, высокотемпературного оборудования, определяется правильным сопоставлением с одной стороны - общего разрушающего действия окружающей среды при эксплуатации, а с другой стороны - функционального запаса работоспособности, закладываемого материалами, конструкцией и технологией изготовления.

Важнейшими свойствами функциональных защитных покрытий, определяющими их работоспособность, являются адгезия и адгезионная прочность. В большинстве случаев при изучении адгезии объектами исследований являются тонкопленочные покрытия и системы. Для этих объектов разработан ряд достаточно развитых методик, одной из которых является метод царапания или склерометрии. Этот метод является достаточно тонким физико-механическим инструментом, и его применение обычно налагает весьма строгие ограничения на исследуемые материалы.

В работе сделана попытка применить этот метод к изучению толстослойных силицидных покрытий на молибдене.

Установлено, что способ формирования силицидного покрытия существенно влияет на примеси в нем. Наиболее опасным с точки зрения загрязнений является активированное силицирование. Лучшую однородность и качество имеют покрытия, полученные вакуумным отжигом без активаторов.

Метод скретч-тестирования позволяет качественно оценить относительную адгезию силицидных покрытий и уровень допустимых напряжений в нем. Анализ сигналов акустической эмиссии позволяет оценивать уровень деградации силицидного покрытия и потери защитных функций.

Установлено, что наилучшие механические характеристики имеет силицидное покрытие, полученное двухстадийной обработкой через низшие фазы.

АНОТАЦІЯ

Ефективність роботи багатьох пристроїв, наприклад, високотемператур-ного обладнання, визначається правильним зіставленням з одного боку - загального руйнівної дії навколишнього середовища при експлуатації, а з іншого боку - функціонального запасу працездатності, що закладається матеріалами, конструкцією і технологією виготовлення.

Найважливішими властивостями функціональних захисних покриттів, що визначають їхню працездатність, є адгезія та адгезійна міцність. В більшості випадків при вивченні адгезії об'єктами досліджень є тонкоплівкові покриття і системи. Для цих об'єктів розроблено низку належно розвинених методик, однією з яких є метод склерометрії. Цей метод є досить тонким фізико-механічним інструментом, і його застосування зазвичай накладає дуже суворі обмеження на досліджувані матеріали.

У роботі зроблено спробу застосувати цей метод до вивчення товсто- шарових силіцидних покриттів на молібдені.

Встановлено, що спосіб формування силіцидного покриття суттєво впливає на домішки в ньому. Найнебезпечним з точки зору забруднень є активоване силіциювання. Кращу однорідність та якість мають покриття, які отримані вакуумним відпалом без активаторів.

Метод скретч-тестування дозволяє якісно оцінити відносну адгезію силіцидних покриттів і рівень прийнятних напружень в ньому. Аналіз сигналів акустичної емісії дозволяє оцінювати рівень деградації силіцидних покриттів і втрати захисних функцій.

Встановлено, що найкращі механічні характеристики має силіцидне покриття, що отримане шляхом двохстадійної обробки через нижчі фази.

SUMMARY

performance of many devices, such as high-temperature equipment, is determined by comparing the right on one side - the destructive action of the general environment during operation, and on the other side - the functional reserve capacity for work, pledged materials, construction and manufacturing technology.most important functional properties of protective coatings determinant of their performance, are adhesion and adhesion strength. In most cases, the objects of adhesion research are the thin-film coatings and systems. There are many well-developed techniques for these objects. The method of scratching is one of this technique. This method is quite subtle physical and mechanical tool and its application usually imposes very strict limitations on test materials.this paper we attempt to apply this method to the study thick-film silicide coatings on molybdenum.is found that forming silicide coating method is substantially influenced by impurities in it. The most dangerous from the standpoint of pollution is activated siliconizing. Better homogeneity coverage and quality are obtained by vacuum annealing without activators.method of scratch-test provides a qualitative assess the relative adhesion of silicide coatings and the level of allowable stresses in it. Analysis of acoustic emission signals allows to evaluate the level of degradation of the silicide coatings and loss of protective functions.is established that the best mechanical properties has silicate coating obtained through the lower two-stage processing phase.

СОДЕРЖАНИЕ

адгезия молибден акустическая эмиссия силицидный

Введение

1. Литературный обзор

1.1 Адгезия и методы ее измерения

.2 Основные свойства силицидов молибдена и защитных покрытий на их основе

1.3 Метод акустической эмиссии и его применение для изучения разрушения покрытий и материалов

.3.1 Явление АЭ: возникновение, характер, сигналы

.3.2 Физическая сущность, источники и особенности метода акустической эмиссии

.3.3 Акустическая эмиссия при образовании и росте трещин

. Экспериментальная часть

2.1 Технологии получения образцов молибдена с силицидными покрытиями

.2 Исследовательские методики

2.3 Результаты исследований и их анализ

Выводы

Список использованных литературных источников

Приложение

ВВЕДЕНИЕ

Эффективность работы многих устройств определяется правильным сопоставлением с одной стороны - общего разрушающего действия окружающей среды при эксплуатации, а с другой стороны - функционального запаса работоспособности, закладываемого материалами, конструкцией и технологией изготовления.

Одним из перспективных направлений физического материаловедения, обеспечивающего развитие многих передовых технологий и создание новейших образцов техники, является нанесение на металлы различных защитных покрытий с требуемым комплексом свойств. Достойное место среди применяемых покрытий занимают силицидные покрытия на тугоплавких металлах, в том числе на молибдене.

Силициды молибдена известны с 1907 года, когда для защиты от коррозии ковких металлов была впервые синтезирована дисилицидная фаза [1]. За прошедшее столетие интерес к этим материалам то угасал, то вновь возникал в зависимости от путей развития и состояния науки, техники и технологий. К концу 1940-х годов относятся первые работы по специальному синтезу и исследованию дисилицида молибдена, которые вскоре резко интенсифицируются [2] и приводят к главному промышленному достижению - созданию фирмой Kanthal высокотемпературного материала на основе дисилицида молибдена [3].

Следующий всплеск интереса к силицидам молибдена приходится на 1970-е годы, когда он стал применяться в качестве защитных покрытий для газовых турбин [4], и начался новый этап работы - исследования работоспособности при предельных температурах [5-6].

В последние десятилетия наблюдается очередной всплеск публикаций по силицидным материалам. Во многом это связано с новыми технологическими возможностями исследовательской аппаратуры, установок синтеза и модифицирования материалов [7].

Подавляющее большинство последних работ по силицидам посвящены изучению композиционных и наноструктурных материалов, в том числе - технологическим аспектам формирования и эксплуатации композиционных покрытий, а также ряду фундаментальных вопросов термодинамики и кинетики [8, 9].

Сравнительно небольшое число публикаций освещает связь эксплуатационных возможностей изделий с покрытиями и структурно-фазовых характеристик покрытий, причем значительная часть таких работ - это более или менее успешные попытки прогнозирования поведения изделий расчетным путем. Мало работ по исследованию и прогнозированию разрушения силицидов [10, 11]. Практически нет попыток предсказания высокотемпературного поведения силицидных покрытий на основе экспериментальных данных о структурно-фазовом состоянии реальных изделий при комнатных температурах.

Из обширного перечня известных методов формирования силицидных защитных покрытий выделим пять наиболее разработанных: парофазное осаждение в вакууме, активированное осаждение из газовой среды, жидкофазное силицирование, газопламенное и плазменное напыление, наплавление или оплавление с использованием шликерной технологии.

Практически все перечисленные технологии используют диффузионные процессы для получения силицидных слоев, хотя эти слои заметно различаются по своим физико-химическим свойствам (фазовому составу, толщине, сплошности, сцеплению с подложкой и т.д.) и, соответственно, эксплуатационным возможностям.

Диффузионные покрытия, получаемые в вакуумных условиях, отличаются максимально высокой адгезией, чистотой, возможностью достаточно легко варьировать фазовый состав и толщину покрытия изменением условий химико-термической обработки.

В литературе имеются многочисленные, зачастую противоречивые данные о термостойкости и жаростойкости силицидов молибдена, вольфрама, других тугоплавких металлов, а также силицидных покрытий на них [12, 13]. В основе противоречий чаще всего лежит отсутствие единого подхода при описании покрытий и технологии их формирования, а также методики проведения испытаний. Но в одном практически все авторы сходны: эксплуатационные возможности диффузионных силицидных покрытий лимитируются двумя факторами - перераспределением фаз и дефектностью. Поэтому разработка покрытий с низкой дефектностью и замедленным перераспределением защитных слоев является актуальной задачей.

Несмотря на большой объем работы, проделанной предыдущими поколениями исследователей силицидных покрытий, нерешенными остаются такие важнейшие проблемы, как изменение механических (конструкционных) свойств системы молибден - силицидное покрытие в процессе формирования покрытия и в ходе высокотемпературной эксплуатации, выяснение особенностей разупрочнения, растрескивания и разрушения покрытия в различных режимах работы.

Основным функциональным назначением силицидных покрытий на молибдене является защита этого металла от разрушающего действия высокотемпературного окисления, иными словами покрытие должно обеспечивать жаростойкость и термостойкость молибденовых изделий.

Необходимо отметить, что реализация указанных функциональных характеристик невозможна без сохранения требуемого уровня конструкционных свойств композиции «силицидное покрытие - молибденовая подложка».

Для успешной высокотемпературной работы молибденовых изделий с силицидными покрытиями необходимо, как минимум, обеспечить достаточную адгезию и прочность покрытия. Потеря работоспособности и разрушение изделий происходят вследствие деградации указанных свойств под действием внешних факторов.

Традиционные методы определения адгезии применимы преимущественно к тонкопленочным системам, в которых толщина покрытия не превышает нескольких микрометров, а к качеству поверхности предъявляются весьма высокие требования [14-15].

В данной работе сделана попытка применить такой тонкий метод исследований, как склерометрия для качественной оценки адгезионных характеристик весьма грубых толстослойных силицидных покрытий на молибдене.

Целью работы было изучение влияния структурно-фазовых характеристик силицидных покрытий на их адгезию к молибденовой подложке.

Для достижения цели было необходимо:

·  освоить различные методики формирования силицидных покрытий на молибдене;

·        изучить влияние способа силицирования на кинетику роста, структурно-фазовые и физико-механические характеристики получаемых силицидных покрытий;

·        определить влияние структурно-фазового состояния системы подложка - покрытие на его адгезионные характеристики;

·        оценить применимость метода склерометрии для описания поведения силицидных покрытий при механических нагрузках.

1.
ЛИТЕРАТУРНЫЙ ОБЗОР

.1 Адгезия и методы ее измерения

Физические словари определяют адгезию (от лат. adhaesio - прилипание, сцепление, притяжение) как явление соединения приведенных в контакт поверхностей конденсированных фаз, обусловленное межмолекулярным взаимодействием в поверхностном слое и характеризующееся удельной работой, необходимой для разделения поверхностей [16]. Указанные фазы составляют основу образующегося в результате молекулярного (т.е. по всей межфазной площади) контакта адгезионного соединения и называются субстратами, а вещества, обеспечивающие соединение субстратов, - адгезивами.

Адгезия зависит от природы контактирующих тел, свойств их поверхностей и площади контакта. Адгезия определяется силами межмолекулярного притяжения и усиливается, если одно или оба тела электрически заряжены, если при контакте тел образуется донорно-акцепторная связь, а также вследствие возникновения химической связи между адгезивом и субстратом. В процессе диффузии возможны взаимное проникновение молекул контактирующих тел, размывание границы раздела фаз и увеличение адгезии вплоть до ее перехода в когезию (явление, определяющее связь внутри тела в пределах одной фазы).

Частным случаем адгезии является аутогезия, проявляющаяся при соприкосновении однородных тел. При адгезии и аутогезии сохраняется граница раздела фаз между телами (в отличие от когезии). В некоторых случаях адгезия может оказаться сильнее, чем когезия <#"550934.files/image001.gif">

Рис. 1.1 - Диаграмма состояния кремний - молибден [28].

В системе реализуется три эвтектики:

·   Mo3Si - Mo5Si3 при 26,4 ат.% кремния и температуре 2020 оС;

·   Mo5Si3 - MoSi2 при 54 ат.% кремния и температуре 1900оС;

·   MoSi2 - Si при 98,5 ат.% кремния и температуе 1400оС.

Силицид Мо3Si образуется по перитектической реакции Мо + Si = Мо3Si при 2025 ± 20°С, имеет кубическую структуру c периодом а = 0,4890 ± 0,0002 (рис. 1.2).

- Mo; 2 -Si,

Рис. 1.2 - Структурный тип Mo3Si

3Si имеет структуру типа плотнейшей кубической упаковки или близкого к ней типа. Большая компактность решетки подчеркивает металлический характер связи Mo-Si, однако в фазах существуют также и ковалентные связи между металлическими атомами.

Температура плавления силицида Mo5Si3 равна 2180 ± 20 оС, ширина области гомогенности при 1700 оС - от 37 до 40,35 ат.% кремния.

Соединение МоSi2 плавится при 2020 ± 20 °С, область гомогенности - от 65,8 до 66,7 ат.% кремния, имеет тетрагональную структуру.

По данным [30] область гомогенности MoSi2, полученного методом диффузионного насыщения в вакууме, может составлять несколько процентов и имеет тенденцию к увеличению с повышением температуры силицирования. Перепады концентрации элементов составляют: для Si = 2,52±0,5%; для Мо = 2 ±0,5%.

Силицид МоSi2 претерпевает аллотропическое превращение в температурном интервале 1850 - 1900 °С. Низкотемпературная разновидность a-МоSi2 имеет тетрагональную структуру. Высокотемпературная форма b- МоSi2 имеет гексагональную структуру с параметрами: а = 0,4642 ± 0,0005, с = 0,6529 ±. 0,0005 нм, с/а - 1,406. Граница МоSi2 со стороны Мо расположена при 67,1 ± 1,0% (ат.).

Низкотемпературная форма a-MoSi2- тетрагональная ячейка с 2 атомами Мо и 4 атомами Si. Атомы Si образуют каркас, в пустотах которого - Мо. Структуру можно также рассматривать состоящей из слоев, параллельных плоскости (010) с плотнейшей гексагональной упаковкой. Слои чередуются в порядке АВАВ..., слой В смещен в направлении оси X на а/2. Кратчайшее расстояние Mo-Si равно с/3. Цепочки атомов кремния образуют зигзаги, проходящие через призмы Mo параллельно осям X и Y. Выступы цепочек направлены навстречу, расстояния между атомами Si в выступах и в цепочках равны, т.е. создается трехмерный каркас из кремния.

Высокотемпературная форма b-МоSi2 имеет гексагональную структуру (табл. 1.1).

Таблица 1.1 - Кристаллохимические характеристики силицидов молибдена

Соединение

Cингония

Параметры решетки, нм

c/a

Плотность ренгеновская г/см3



a

b

c



Mo3Si

Куб.

0.4890

-

-


8.968

Mo5Si3

Гекс.

0.728

-

0.500

0.69

8.243

Mo5Si3

Тетр.

0.9642

-

0.495

0.5087

8.213

a-MoSi2

Тетр.

0.3203

-

0.7855

2.452

6.267

b--MoSi2

Гекс.

0.4642

-

0.6529

1.406

6.26


Некоторые физические свойства силицидов молибдена приведены в таблице 1.2.

Табл. 1.2 - Физические свойства силицидов молибдена

Свойства

Mo3Si

Mo5Si3

MoSi2

Содержание Si,% (по массе)

9,18

14,96

36,88

Температура плавления, оС

2025

2180

2020

КТР,  α ×106, град-1

20-170 оС 170-1070 оС

4,3 6,7

8,25  9,2

Электросопротивление r, 108Ом м

21,6

46,7

21,6

Т.э.д.с. α 106,В/град

- 1,0

2,0

- 3,0

Микротвердость Нµ 106, кПа

12,6

11,3

11,6

Модуль Юнга 1012,Па

30,90±0,98

-

44,14± 0,49

Модуль сдвига 104,кПа

96

1030

137


Молибден, как и другие тугоплавкие металлы, характеризуется уникальным комплексом физико-механических и химических свойств, который обеспечил ему широкое применение в разных областях. Однако явно недостаточными являются коррозионные свойства этого металла в окислительных средах при высоких температурах. При температурах выше 800 °С происходит быстрое образование летучего оксида МоО3, приводящее к активному разрушению молибденовых изделий.

Защиту молибдена от окисления обеспечивают разными путями: легированием, применением окалиностойких или металлических покрытий. Наиболее распространенным типом защитных высокотемпературных покрытий для изделий из молибденовых сплавов, которые работают в окислительных средах, являются силицидные покрытия, которые способны формировать на поверхности самозалечивающуюся оксидную пленку [31].

Жаростойкость и термостойкость силицидного покрытия на молибдене значительно повышаются, если слой MoSі2 легировать металлами, например, хромом и железом [32]. Высокая жаростойкость покрытий в диапазоне температур 1300-1450 ºС обусловлена образованием сплошной стекловидной пленки диоксида кремния, которая при наличии в ней небольшого количества легирующих элементов становится более легкоплавкой по сравнению с нелегированной, имеет большую текучесть, способна залечивать образующиеся дефекты и облегчает релаксацию термических напряжений во время резкого изменения температуры изделия. С повышением температуры эксплуатации силицидного покрытия фактор диффузного растворения дисилицида молибдена в металлической основе является доминирующим.

Использования более толстых покрытий не дает желательных результатов, поскольку с увеличением толщины в защитном слое растут трещины, которые приводят к уменьшению срока службы покрытия. Значительно затормозить нежелательные диффузные процессы на границе покрытия с основой можно созданием барьерных слоев [33]. Торможение диффузии наблюдается в тех случаях, когда диффундирующий элемент образует многокомпонентные соединения.

Перспективным направлением защиты молибденовых изделий от окисления является создание композиционных многослойных покрытий, в которых каждый слой выполняет определенную функцию (обеспечивает жаростойкость, препятствует паразитному взаимодействию покрытия с основой; оказывает содействие релаксации напряжений в покрытии, сглаживает перепады КТР в системе и др.) [34].

Исследования деградации защитных силицидных покрытий на молибдене позволили сформулировать основные факторы, инициирующие деградацию защитных свойств силицидных покрытий при их высокотемпературной эксплуатации в окислительной атмосфере [35]. Принято выделять:

·  трещины роста, т.е.трещины, образующиеся в процессе нанесения диффузионного дисилицидного покрытия за счет релаксации внутренних напряжений, возникающих вследствие больших (в 2,6 раза) объемных изменений при росте силицидной фазы;

·        кристаллизация образующегося при высоких температурах на поверхности силицида аморфного SiO2 под воздействием окислов молибдена;

·        испарение и разложение Si02 при предельно высоких температурах (выше 1750 оС);

·        большое различие коэффициентов термического расширения диоксида кремния Si02 и силицидов молибдена;

·        диффузионное рассасывание высшей фазы (дисилицида) вследствие изначальной термодинамической нестабильности покрытия [36].

1.3 Метод акустической эмиссии и его применение для изучения разрушения покрытий и материалов

1.3.1 Явление АЭ: возникновение, характер, сигналы

Акустико-эмиссионный отклик материала зависит от его структуры и режима создания напряженно-деформированного состояния в нем. Разные материалы при различных способах нагружения очень сильно отличаются друг от друга по своему акустико-эмиссионному поведению. Существует 2 основных фактора, приводящих к высокой эмиссивности - это хрупкость и гетерогенность материала. Вязкие механизмы разрушения, например, слияние пор в мягких сталях, напротив, приводят к низкой эмиссивности (по энергии и числу сигналов).

Простейшим типом волны от акустико-эмиссионного источника является импульс напряжения, соответствующий смещению поверхности материала (рис. 1.2).

Рис. 1.2 - Простейшая волна АЭ, возникающая в источнике

Волновое смещение описывается функцией, близкой к ступенчатой. Напряжение, соответствующее смещению, имеет форму импульса, ширина и высота которого зависят от динамики процесса излучения. Импульсы таких источников, как проскок микротрещины или разрушение осажденных фракций имеют малую длительность (порядка микросекунд или долей микросекунд). Амплитуда и энергия первоначального импульса акустической эмисcии может меняться в широком диапазоне в зависимости от типа источника акустической эмиссии. Зародившаяся волна (импульс) распространяется от источника во всех направлениях, при этом распространение в соответствии с природой источника может носить ярко выраженный анизотропный характер (т.е. зависимость скорости распространения от направления).

Форма первоначальной волны претерпевает существенные изменения при распространении в среде материала и при преобразовании датчиком, поэтому сигнал, пришедший с датчика, весьма отдаленно напоминает исходный сигнал от источника (рис. 1.3).

Рис. 1.3 - Типичный импульсный сигнал акустической эмиссии

Такое изменение формы акустико-эмисcионного сигнала является важной проблемой, с которой приходится сталкиваться как при исследованиях функции источника, так и при решении практических задач неразрушающего контроля. Многие исследователи в области испытания материалов и неразрушающего контроля больше заинтересованы в получении статистических оценок параметров акустической эмисcии, чем в подробном изучении характеристик отдельных источников эмиссии. Они используют узкополосную аппаратуру, позволяющую измерять лишь некоторые параметры формы сигналов, но одновременно с этим - регистрировать большие потоки сигналов (сотни сигналов в секунду).

1.3.2 Физическая сущность, источники и особенности метода АЭ

Все источники возбуждения АЭ по характеру можно разделить на два типа: внешние и внутренние. Наиболее известные внешние источники - это соударения, различные процессы трения, электромагнитные, тепловые или другие поля и т.д. [37].

Различные физические воздействия (например, механические, тепловые и др.) могут привести к локальным изменениям структуры материала, что и является источником акустической эмиссии [38, 39].

Так, при двойниковании происходит скачкообразный поворот узлов решетки одной части кристалла в положение, симметричное другой его части. Это приводит к появлению упругих волн деформаций. Причиной появления упругих волн являются также скачкообразные перемещения дислокаций по линиям скольжения. Опыт и расчеты показывают, что для зарождения и развития микротрещины достаточно слияния 300 дислокаций.

При механическом или тепловом воздействии на материал, находящийся в твердом состоянии, в нем могут происходить фазовые превращения. Превращения мартенситного типа представляют собой сдвиговые коллективные перемещения атомов и, как правило, сопровождаются изменением формы. При этом процессе наблюдается импульсное воздействие превращенной структуры на окружающую среду, что вызывает появление в материале механических волн. Пластическое деформирование материалов происходит также скачкообразно, что наблюдается обычно на диаграммах, записываемых аппаратурой при разрушении образцов. Изучение этого явления показывает, что для некоторых материалов лавина скачков приводит к кратковременному приросту абсолютной деформации за короткий промежуток времени. Механизм этого явления с дислокационных воззрений объясняется следующим образом. При движении дислокаций во время пластического деформирования материала происходит местная задержка их у различных препятствий. Самопроизвольное либо инициированное преодоление дислокациями таких препятствий приводит к быстрым местным сдвигам, сумма которых дает обычно наблюдаемый деформационный скачок. Таким образом, происходит динамическое перераспределение деформаций и напряжений, что порождает в материале механические волны.

Перечисленные механизмы не исчерпывают, очевидно, всех причин возникновения волн напряжений в твердых телах при деформировании. Однако все они обладают общими признаками, позволяющими следующим образом сформулировать понятие акустической эмиссии (АЭ): акустическая эмиссия - это процесс излучения распространяющихся в материале волн возмущений, вызванных динамической локальной перестройкой структуры материалов под действием внутренних напряжений, приводящих к изменению кристаллической решетки или движению микро- и макродефектов. При достижении поверхности тела эти волны вызывают смещения точек поверхности, что может быть зарегистрировано соответствующей аппаратурой.

Максимальные амплитуды и спектр частот указанных смещений должны зависеть от импульсов, вызвавших эмиссию. Так, амплитуды смещений, порождаемых движением микротрещины, должны значительно превосходить таковые для случая движения отдельных дислокаций. Поэтому, несмотря на сложный вид каждой отдельной реализации рассматриваемой случайной функции во времени, при достаточно широком диапазоне деформаций материала на фоне относительно слабого изменения функции, должны иметься отдельные импульсы большой амплитуды.

В конечном счете, сигналы акустической эмиссии можно разделить на два основных типа:

·    непрерывная эмиссия - колебания с относительно малыми амплитудами и широким частотным спектром, верхняя граница которого достигает 30 МГц, характеризуют перемещения больших групп дислокаций и указывают на формирование зон с накапливающимися микродефектами;

·              эмиссия дискретного типа - последовательность коротких импульсов сложной формы с крутым фронтом и гораздо большими амплитудами. Основная часть энергии приходится на низкочастотную часть спектра. Этот тип эмиссии связан с развитием микродефектов в микро- и макротрещины их слиянием и появлением магистральной трещины.

Оба типа излучения существуют либо со сдвигом во времени, либо одновременно.

Современная аппаратура принимает и обрабатывает раздельно оба типа сигналов, что дает возможность выделить из процесса деформирования материала моменты, связанные с формированием опасных в будущем зон и моменты, связанные с развитием процессов разрушения в этих зонах.

Характерными особенностями метода АЭ контроля, определяющими его возможности и область применения, являются следующие:

метод акустической эмиссии в отличие от других методов неразрушающего контроля является пассивным. В традиционных методах в объекте возбуждают то или иное физическое поле и регистрируют изменение его параметров при взаимодействии с дефектом. С использованием АЭ физическое поле излучения (поле динамических, упругих напряжений) возбуждается самим дефектом [40];

·    метод АЭ-контроля обеспечивает обнаружение и регистрацию только развивающихся дефектов, что позволяет классифицировать дефекты не по размерам, а по степени их опасности;

·              метод АЭ-контроля обладает весьма высокой чувствительностью к растущим дефектам и позволяет выявить в рабочих условиях приращение трещины порядка долей милиметра. Предельная чувствительность акустико-эмиссионной аппаратуры позволяет зафиксировать скачок трещины протяженностью 1 мкм на величину 1 мкм;

·              свойство интегральности метода АЭ-контроля обеспечивает контроль всего объекта с использованием одного или нескольких преобразователей АЭ-контроля, неподвижно установленных на поверхности объекта;

·              метод АЭ позволяет проводить контроль различных технологических процессов и процессов изменения свойств и состояния материалов при любой пространственной ориентации объекта;

·              возможность отслеживания различных технологических процессов и оценка технического состояния объекта в режиме реального времени, что позволяет предотвратить аварийное разрушение контролируемого объекта.

Естественно, метод АЭ-контроля не лишен недостатков, одни из которых присущи всем используемым методам неразрушающего контроля, другие специфичны.

Как и другие методы, метод АЭ не решает проблему слабой избирательности. Существующая аппаратура не в состоянии отличить разницу в сигналах от различных источников. В ряде случаев это может привести или к ложной тревоге, или к растворению важных в большом количестве некритических эмиссий.

Многие из проблем, касающихся применения данных АЭ, возникают из многообразия способов обнаружения, подсчета и записи информации. Не существует никаких известных способов непосредственного измерения сигнала от источника, находящегося в металлическом образце.

Особенностью метода АЭ, ограничивающей его применение, является трудность выделения сигналов АЭ из помех. Это объясняется тем, что сигналы АЭ являются шумоподобными, поскольку АЭ есть стохастический импульсный процесс. Поэтому, когда сигналы АЭ малы по амплитуде, выделение полезного сигнала из помех представляет собой сложную задачу.

К трудностям, связанным с применением метода АЭ можно отнести также:

·  сложности, связанные с поддержанием длительной надежной связи между преобразователем и поверхностью исследуемого тела (надежный контакт);

·        неповторяемость конкретных результатов;

·        отсутствие метода калибровки измерительной системы, нет единого метода градуировки энергии выходных сигналов преобразователей, что делает весьма трудным сравнение данных.

1.3.3 Акустическая эмиссия при образовании и росте трещин

Акустическая эмиссия при образовании и росте трещин является основной при изучении системы молибден-силицидное покрытие [41].

Образование и развитие трещин в конструкционных материалах определяется различными факторами (свойствами материала, вид напряженно-деформированного состояния, скорость нагружения, температура, среда и т.п.). В лабораторных условиях обычно исследуют или круглые образцы с острыми надрезами или предварительно выращенной усталостной трещиной. Образцы подвергают растяжению или статистическому изгибу. В экспериментах измеряют нагрузку, длину трещины и ее раскрытие как функции времени или деформации. Получаемую информацию используют не только для описания закона развития трещины, но и для оценки соответствующих механических констант материала. Установление связи между параметрами АЭ и развитием трещин позволяет решить проблему обнаружения, оценки размеров и кинетики трещин в реальных элементах конструкция при их испытаниях или в процессе эксплуатации, когда большинство других металлов неразрушающего контроля непригодно.

Экспериментальное изучение АЭ при росте трещин выполняется согласно обычным методикам механических испытаний образцов с надрезом или усталостной трещиной с параллельной регистрацией нескольких параметров АЭ в процессе нагружения. Наиболее распространены регистрация суммарной АЭ и амплитуды актов АЭ. Если на докритической стадии развития трещины ее длина остается постоянной, а материал обладает достаточной пластичностью, то основной механизм развития трещин - увеличение зоны пластической деформации в области ее вершины.

Эксперименты показывают, что первый скачок трещины, связанный с заметной релаксацией нагрузки, надежно обнаруживается по появлению сигнала с большой амплитудой (превышающей малые амплитуды на порядок и более). Таким образом, критерий обнаружения продвижения трещины - сигналы АЭ с большими амплитудами. Их значение устанавливается экспериментально для каждого конкретного материала. Продвижение трещины отражается на виде амплитудного распределения сигналов АЭ.

Следовательно, устанавливая определенные уровни дискриминации, можно выделять сигналы, связанные с продвижением трещины.

Таким образом, измерение параметров АЭ позволяет не только обнаружить начало развития трещины и ее небольшие продвижения, но и оценить суммарное ее увеличение.

Пластическая деформация, деформационное упрочнение и эффекты циклического деформирования являются факторами, контролирующими кинетику распространения трещин.

С позицией энергетического подхода макроскопическая скорость распространения трещин определяется соотношением работы, совершаемой внешними силами, и суммой накопленной энергии упругой деформации.

Для «разгона» трещины и поддержания ее нестабильного скачкообразного распространения необходим энергетический поток в зону разрушения. Если это не обеспечивается условиями нагружения, и если материал сохранил способность к пластической деформации и деформационному упрочнению, трещина останавливается. В таком случае при дальнейшем возрастании внешних нагрузок совершаемая ими работа затрачивается на пластическую деформацию и деформационное упрочнение материала у фронта трещины. При этом снова могут возникнуть условия для продвижения трещины в некоторой зоне фронта. Снятие внешних нагрузок сопровождается упругой разгрузкой материала у фронта трещин, сменой знака напряжений сжатия.

Метод АЭ для изучения силицидных покрытий был применен на кафедре материалов реакторостроения в 80-е годы. Тогда была показана принципиальная возможность получения с его помощью информации о поведении системы подложка-покрытие в некоторых температурных условиях. Расширение исследований по созданию новых видов покрытий и модифицированию известных и обусловило необходимость дальнейших работ с применением АЭ [42].

2. ЭКСПЕРИМЕНТАЛЬНАЯ ЧАСТЬ

В настоящей работе с помощью метода склерометрии с одновременным снятием сигналов акустической эмиссии исследовались различные типы силицидных покрытий на молибдене с целью оценки их адгезии к подложке и выбора оптимальных с точки зрения механических свойств при комнатных температурах технологических и эксплуатационных параметров.

2.1 Технологии получения образцов молибдена с силицидными покрытиями

Способы синтеза силицидов во многом определяются назначением, структурно-фазовым состоянием, геометрическими и прочими параметрами конечных изделий. При выполнении работы исследовались образцы композиций «молибден - силицидное покрытие», полученные:

·  диффузионным насыщением молибдена кремнием из порошковых сред активированным методом;

·        диффузионным насыщением молибдена кремнием из порошковых сред вакуумным парофазным методом;

·        термическим испарением кремния с конденсацией на молибденовой подложке и вакуумным отжигом для образования силицидов

Силицидные покрытия наносили на плоские образцы листового молибдена марки МЧ толщиной 0,5 - 4 мм и размерами 25×25 мм2.

Технологические операции по получению образцов осуществляли в высокотемпературных установках СШВЭ и СШВ, в высокотемпературной воздушной печи, а также в установке ВУП-5.

Вакуумное парофазное силицирование (ВП) проводили в вакуумных печах СШВЭ и СШВ (рис. 2.1), которые имеют мощность 35 и 20 кВт соответственно и предназначены для проведения различных термических процессов (отжига, дегазации, спекания и т.д.) в вакууме или в инертном газе при температурах до 2500 0C.

Установки являются вакуумными шахтными печами сопротивления и представляют собой водоохлаждаемую камеру с масляной откачкой и расположенной внутри камеры печью шахтного типа. Установки отличаются размерами вакуумных камер и печных пространств, определяемых размерами камер. Печи содержит расположенные по окружности пластинчатые либо стержневые вольфрамовые нагревательные элементы сечением 10×1 мм, переплетенные с полукольцами из того же материала. В зависимости от варианта сборки реализуется однофазная либо трехфазная схема электропитания печей, в соответствии с чем нагреватели разделены между двумя либо тремя вольфрамовыми токоподводами Т-образной формы с дугообразной поперечной площадкой для размещения внутри цилиндрической футеровки.

Нагревательная камера состоит из вертикального водоохлаждаемого корпуса и упомянутой выше теплоизолирующей футеровки, включающей боковой экран цилиндрической формы из молибденовой и вольфрамовой фольги. С верхнего торца корпус закрывается водоохлаждаемой крышкой, крутящейся при помощи откидных болтов и петли. В днище корпуса имеется патрубок, при помощи которого камера соединяется с вакуумной системой. Отверстие патрубка перекрывается водяным охладителем, установленным в корпусе камеры.

Контейнер с обрабатываемыми образцами помещают внутри печи с помощью специального приспособления, выполненного в виде разборной этажерки. На корпусе нагревательной камеры закреплен тросовый лифт для упрощения операций загрузки-выгрузки.

Вакуумная система состоит из диффузионного паромаслянного насоса, позволяющего обеспечить давление в камере до 10-6 мм рт. ст., двух форвакуумных насосов для получения предварительного вакуума, а также вакуумного затвора и необходимого количества вентилей. Количество воды, поступающей на охлаждение установки, регулируется вентилями, установленными на коллекторе, ее расход составляет в среднем 1,2 - 2,0 м3/час.

В установке предусмотрены нагрев и охлаждение с заданным режимом и поддержание требуемой температуры полуавтоматическим, автоматическим и ручным способами. Регулировку температуры осуществляли по ЭДС термопары из вольфрам-рениевых сплавов ВР 5/20, вводимую в рабочий объем через специальное окно в футеровке и корпусе. Термо-ЭДС фиксировали на цифровом вольтамперметре типа В-7-35. При вакуумном отжиге скорость нагрева составляла 50 - 120 0C/мин., охлаждение проводили примерно с той же скоростью.

Предварительно обезжиренные этиловым спиртом или ацетоном образцы помещались в контейнер из молибденовой фольги, равномерно засыпались частицами крупнодисперсного порошка кремния (или дисилицида молибдена) с размером частиц 2-5 мм и загружались в камеру. Печь выводили на необходимый температурный режим и поддерживали его требуемое время либо непрерывно, либо за несколько отдельных отжигов, суммируя длительность интервалов с требуемой температурой (табл. 2.1).

Активированное силицирование (АС) образцов проводили в воздушной печи камерного типа (рис. 2.2) с герметизированной капсулой.

Печь состоит из нагревательной камеры размером 40´30´20 см3, помещенной в металлический корпус. Термоизолирующая футеровка камеры выполнена из пористой керамики, поверхность которой упрочнена специальной обработкой. На боковых стенках камеры расположены нагревательные элементы, которые имеют спиральную форму и размещены в защитных керамических трубках. Нагревательная камера закрыта дверцей, фиксирующейся соответствующим приспособлением.

Печь с максимальной рабочей температурой до 1350 0С содержит нагреватели из сплава Х23Ю5Т. Спиральные нагреватели выполнены из проволоки диаметром 2 мм.

Электропитание печи обеспечивается электронным блоком, предназначенным для регулирования необходимой мощности, а также для программного управления температурным режимом печи. В печи до 1200 0С датчиком температуры служит термопара ХА (хромель-алюмель), а до более высоких температур - термопара ЦНИИЧМ-1 (хромо-никелевый сплав).

Блок имеет индикаторы входного питания (напряжения и входного тока каждой фазы). В конструкции предусмотрено защитное отключение электропитания при открывании дверей печи. Скорость разогрева печи до заданной температуры регулируется установленным показателем максимальной мощности. Блок регулирования позволяет исполнять высокотемпературные операции по заданной программе, при этом учитываются и выбираются:

·  максимальная температура отжига (до 1350 оС);

·        режим нагрева (количество и длительность промежуточных выдержек);

·        скорость нагрева (0 - 15 оС/мин.);

·        точность контроля температуры (не хуже ± 5 оС);

·        режим и скорость охлаждения.

Установленные световые индикаторы позволяют визуально контролировать изменения режимов и температуры в рабочем объеме. Во время каждой изотермической выдержки осуществляется как отдельный учет ее длительности, так и общее время процесса.

Кроме автоматического режима предусмотрено ручное регулирование, при этом необходимый уровень мощности корректируется соответствующими ручками. В этом режиме работы термопара является только индикатором температуры.

В капсулу из оксида алюминия помещали образцы, засыпали их насыщающей смесью мелкодисперсного порошка кремния с добавлением 2-5% активатора - трехфтористого алюминия. Капсула закрывалась герметичной керамической пробкой, помещалась в печь, где проходил отжиг в требуемом режиме. Длительность более 10 часов складывали из нескольких отдельных отжигов, суммируя длительность интервалов с требуемой температурой (табл. 2.1).

Твердофазный метод силицирования (ВТ) реализован в две стадии с использованием установки ВУП-5М.

Вакуумный универсальный пост ВУП-5М в основном предназначен для напыления различных пленок разнообразными методами, однако также позволяет проводить разнообразную термическую и химико-термическую обработку образцов небольших размеров, при этом имеет низкую инерционность, экономичность, легкое управление и регулировку параметров термического воздействия.

Остаточное давление в высоковакуумном объёме при охлаждении ловушки водой составляет 1,3×10-3 Па (1,0×10-5 мм. рт. ст). Стандартная максимальна температура нагрева объектов 1100 оС. Использование специальной печи позволяет повысить ее до 1400 оС.

С помощью пульта управления обеспечивается выход в рабочий режим вакуумной системы из холодного состояния и коммутация вакуумной системы во время работы.

Прибор (рис. 2.3) выполнен одной стойкой, в которой размещены рабочий объём, предназначенный для обработки объектов, вакуумная система, предназначенная для получения требуемого режима в рабочем объеме, блоки питания устройств и приставок, и пульты управления.

Стойка разделена перегородкой на две части, в одной из которых размещена вакуумная система с электромагнитными клапанами для её коммутации, преобразователи ПМТ-4М или ПМТ-2, ПМИ-2 для контроля вакуума и автоматического управления вакуумной системой, пьезоэлектрический вентиль и баллон с инертным газом (аргоном) для проведения различных операций в инертной атмосфере. В другой части стойки размещены блоки питания устройств и приставок.

Для удобства монтажа, профилактических и ремонтных работ в стойке предусмотрены съёмные задние и боковые щитки, а передняя панель выполнена в виде двухстворчатых открывающихся дверей с легким доступом в обе части стойки, в том числе к собранным в единой кассете легкосъёмным платам управления прибором.

На стойке размещены рабочая камера, а также пульт управления и индикации режимов работы прибора.

Для получения в рабочем объеме давления (1,3×10-2 - 1,3×10-4) Па используется классическая вакуумная система с применением механического насоса (для получения предварительного вакуума) и паромасляного (высоковакуумного) насоса. Вакуумная система может работать в ручном и автоматическом режимах, т.е. коммутация вакуумной системы может производиться оператором или без его вмешательства.

В рабочем объеме, состоящем из основания и колпака, проводятся все операции по обработке образцов. Основание установлено на стойке и связано с вакуумной системой соединительным фланцем. В основании имеются также проходные отверстия ввода подвижных ручек управления устройствами и приставками, а также оптический ввод.

Танталовая лодочка, которая служит испарителем кремния, нагревалась прямым пропусканием тока. Регулировка температуры производится изменением величины тока, проходящего через нагревательное устройство. Контроль температуры производился с помощью индикатора температуры, состоящего из термоэлектрического преобразователя (хромель-алюмелевой или вольфрам-рениевой термопары), усилителя и цифрового индикатора.

Пары кремния конденсировались на молибденовом образце. Толщина слоя регулировалась количеством исходного кремния и длительностью процесса.

После получения слоистой системы молибден - кремний композит подвергался вакуумному отжигу для протекания реакционной диффузии и образования силицидного слоя. Режимы отжига и характеристики полученных покрытий приведены в таблице 2.1.

Анализ данных по кинетике образования и роста силицидов молибдена при диффузионном силицировании (рис. 2.4 и 2.5) показал, что фазовый состав и структура силицидных слоев сравнительно легко варьируются изменением технологических параметров насыщения, а закономерности роста сходны для всех методик.

Металлографические исследования микроструктуры (рис. 2.6 - 2.9) полученных разными методами силицидных покрытий проведены с применением оптической (МИМ-8) и электронной микроскопии (Quanta 200).

Таблица 2.1 - Режимы силицирования

Способ силицирования

Параметры отжига

Покрытие, мкм


Р, Па

Насыщ. среда

Т, оС

t, часы


Активиро-ванный (АС)

105

Si + (2÷5%)AlF3

800 - 1150

5 - 30

МоSi2 (50-300)

< 10-3

Si

900 - 1350

5 - 50

МоSi2 (50-300) + Mo5Si3 (до 20)

Вакуумный парофазный  в 2 стадии  (ВП-2)

< 10-3

МоSi2

1600 - 1750

10- 30

Mo5Si3 (50 - 200)



Si

1000 - 1350

5 - 20

МоSi2 (50- 200) + Mo5Si3 (20-100)

Вакуумный твердофазный (ВТ)

< 10-3

Мо-Si

1000 - 1350

10 - 50

МоSi2 (50-100) + Mo5Si3 (до 20)

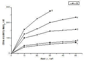
Рис. 2.4. Кинетика вакуумного силицирования молибдена:

ВТ: 1 - 1100, 2 - 1250 0C, ВП: 3 -1100, 4 - 1250, 5 - 1350 0C

Рис. 2.5. Кинетика активированного силицирования молибдена (АС):

- 900, 2 - 1000, 3 - 1150 0C.

.2 Исследовательские методики

На всех стадиях технологической обработки образцов проводился контроль их структуры и фазового состава. Определялись фазы присутствующие на образце, их толщины (при послойном расположении), кристаллитная структура и другие характеристики. Элементы металлографической структуры исследовались на металлографическом микроскопе МИМ-8М.

При проведении металлографических исследований на всех стадиях работы образцы монтировали в специальных оправах путем заливки серой или сплавом Вуда, шлифовали корундовыми шкурками дисперсностью от 60 до 14 мкм, затем полировали на пастах ГОИ и пастах на основе Al2O3 различной зернистости. Для более полной информации о структуре полученных силицидных слоев шлифы на однотипных образцах с одинаковыми покрытиями готовили в двух взаимно-перпендикулярных направлениях (вдоль прутка и поперек прутка). При необходимости проводили выявление микроструктуры образцов, используя либо химическое травление, либо тепловое травление в вакууме. В качестве химических травителей использованы смеси азотной, плавиковой кислот глицерина.

Травление осуществляли погружением образца в реактив при комнатной температуре в течение 5 - 30 с.

Проведенные в ходе работы эксперименты имели целью исследование микроструктуры защитного силицидного покрытия на образцах в зависимости от технологических параметров формирования покрытия (способ нанесения, режим нанесения, температура, длительность, цикличность отжигов).

Электронно-микроскопические исследования структуры проводили на сканирующем электронном микроскопе (SEM) Quanta 200 (FEI Company, США) <#"550934.files/image007.gif">

Рис. 2.11. Примеси в покрытии после активированного силицирования.

Микрорентгеноспектральный анализ.

В образцах, полученных вакуумным парофазным силицированием и отжигом твердофазного композита кремний - молибден, зафиксированы кроме основных элементов и силицидов молибдена незначительные примеси вольфрама и кислорода на поверхности.

Известно, что разрушение силицидных покрытий происходит по механизму хрупкого разрушения. Изначальная дефектность покрытия обусловлена технологическими факторами. Основными опасными дефектами покрытия являются трещины, поры, некоторые примеси.

 

Рис. 2.12. Микрорентгенограммы от силицидных покрытий, полученных вакуумным парофазным методом


Рис. 2.13. Дифрактограмма покрытия из дисилицида молибдена.

С учетом относительности полученных от разных по составу и толщине покрытий данных, анализ свидетельствует, что для исследованных образцов критическая нагрузка близка к 40 Н. При больших нагрузках происходил срыв покрытия. Для покрытий с большей изначальной дефектностью, а это покрытия, полученные с большими скоростями насыщения либо активированным способом, либо вакуумным способом при более высоких температурах, растрескивание покрытия активно происходит даже при небольших нагрузках, сигналы акустической эмиссии это подтверждают (рис. 2.14).

А                                                  Б

В

Рис. 2.14. Спектры акустической эмиссии от образцов с покрытиями:

А - активированное, Б - парофазное, В - парофазное (в две стадии).

Повышенная дефектность таких покрытий подтверждается профилограммой (рис. 2.15) проникновения индентора, на которой имеются провалы.

Микрофотографии показывают постепенное поперечное растрескивание покрытия (рис. 2.16).

Анализ экспериментальных кривых позволяет оценить относительную адгезию покрытий, определить опасные для него уровни напряжений.

а

б

Рис. 2.15. Спектры при индентировании покрытий, полученных вакуумным парофазным (а) и активированным (б) методами.

ВЫВОДЫ

1. Установлено, что способ формирования силицидного покрытия существенно влияет на примеси в нем. Наиболее опасным с точки зрения загрязнений является активированное силицирование. Лучшую однородность и качество имеют покрытия, полученные вакуумным отжигом без активаторов.

2.      Установлено, метод скретч-тестирования позволяет качественно оценить относительную адгезию силицидных покрытий и уровень допустимых напряжений в нем. Анализ сигналов акустической эмиссии позволяет оценивать уровень деградации силицидного покрытия и потери защитных функций.

.        Более толстые покрытия характеризуются бớльшим разбросом адгезионно-прочностных показателей, что обусловлено индивидуальными особенностями структурно-фазового состояния и повышенной дефектностью. Установлено, что наилучшие механические характеристики имеет силицидное покрытие, полученное двухстадийной обработкой через низшие фазы.

.        Метод склерометрии применим для качественного описания поведения силицидных покрытий при механических нагрузках.

СПИСОК ИСПОЛЬЗОВАННЫХ ЛИТЕРАТУРНЫХ ИСТОЧНИКОВ

1.      -K. Vasudevan and J. J. Petrovic. A Comparative Overview of MoSi2 Based Composites // Mat. Sci. and Eng., A155. - 1992.  Р. 1-17 <javascript:popup('A1992JG63200002')>.

2.     W. A. Maxwell. Study of molibdenum disilicide for elevated temperature application // Proc. Metallurgy and Materials Information Meet., Oak Ridge, TN, April 16-18, 1951, Rep. TID-5061 (DEL), NSA-12.

3.      Kanthal. Swed. Patent 155, 836, 1953.

4.      E. Erdoes. Investigation of surface layers of gas turbine alloys // Internal Rep., Desember 1971.

.        J. Schlichting, Molibdenum disilicide as a component of modern high temperature composites // High Temp. High Press. - № 10. - 1978. - Р. 241.

6.     С.В. Литовченко, Е.П. Нечипоренко, В.А. Чишкала и др. Исследование особенностей фазообразования в системе кремний - молибден // Вопросы атомной науки и техники. Сер. “Вакуум, чистые металлы, сверхпроводники”. Вып. № 6(7), 7(8). - Харьков. - 1998. - С. 239 -241.

.       С. В. Литовченко. Розрахунок швидкостей перерозподілу фаз у дифузійних силіцидних покриттях при їхній експлуатації в повітрі / С. В. Литовченко // Вісник національного технічного університету «Харківський політехнічний інститут». Збірник наукових праць. Темат. вип. «Хімія, хімічна технологія та екологія». - Харків, 2009. - № 36. - С. 83-92.

.       Змий В.И. Реакционно-активированная диффузия и вакуумные покрытия / В.И. Змий, С.Г. Руденький - Харьков: ННЦ ХФТИ, 2010. - 158 с.

.       Поляков Н.И. Исследование механических свойств MoSi2 и термонапряжений в силицированном молибдене / Н.И. Поляков, В.Т. Грицына, В.И. Змий. // Защита металлов, 1976. - № 4. - С. 468-470.

.       Прошкин Д.А. Изучение растрескивания окисных пленок на MoSi2 методом акустической эмиссии / Д.А. Прошкин, А.А. Барзов, B.C. Лоскутов, А.А. Дарасов // Высокотемпературная защита материалов. - Л., 1981. - С. 25-30.

.       Самсонов Г.В., Дворина Л.А., Рудь Б.М. Силициды. - М.: Металлургия, 1979.

13.    Нечипоренко Е.П., Петриченко А.П., Павленко Ю.Б. и др. Получение комбинированных силицидных покрытий на молибдене // Защитные покрытия на металлах. - 1989. - Вып. 23 - С. 54 - 57.

.        В.М. Лунёв, О.В. Немашкало. Адгезионные характеристики покрытий и методы их измерения. // ФИП, 2010. - Т. 8. - № 1. - С. 64-71.

.        Ю.Н.Борисенко, С.В.Литовченко, Н.А. Азаренков. Газовыделение в тонкопленочных системах при ионном воздействии и его использование для расчета адгезионного межфазного взаимодействия // ВАНТ. Физика радиац. повреждений и радиац. материаловедение. Вып. № 1 (73), 2 (74), Харьков, 1999, с. 178-183.

16.   Физика твердого тела: Энциклопедический словарь: в 2 т. / Гл. ред. В.Г. Барьяхтар. - Киев: Наукова думка Т. 1: 1996. - 656 с.; Т.2: 1998. - 648 с.

.       Покрытия металлические и неметаллические, неорганические. Методы контроля. ГОСТ 9.302-88.

18.    Schmidbauer S., Hahn J., Richter F. Adhesion of metal coatings on ceramics deposited by different techniques //Surface and Coatings Technology. - 1993. - Vol. 59. - P. 325-329.

.        Sheng Zhu, W. Wlosinski. Joining of AlN ceramic to metals usings sputtered Al or Ti films//Journal of Materials Processing Technology. - 2001. - Vol. 109. - P. 277-282.

20.    Зимон А.Д. Адгезия пленок и покрытий. - М.: Химия, 1977. - 351 с.

21.    Liao Yi-de, Li Zhuang-yun, Tang Guo-qun. Evaluation for adhesion strength of coating and substrate by burying beforehand specimen//Journal of Wuhan University of Technology Mater Sci Ed. - 2003. - Vol. 18, Iss 1. - P. 31-35.

22.    Демиденко Л. М. Высокоогнеупорные композиционные покрытия. - М.: Металлургия, 1979. - 216 с.

.        Ю.А. Марченко, Н.В. Перун, В.Н. Воеводин, А.Ф. Ванжа, В.А. Александров. Адгезионные свойства тонких металлических покрытий, нанесенных на стекло методом ионно-стимулированного осаждения // ВАНТ. Серия: Физика радиационных повреждений и радиационное материаловедени. 2009. № 4-2 (94), с. 298-301.

24.    Gonczy S.T., Randall N. An ASTM standard for quantitative scratch adhesion testing of thin, hard ceramic coatings//J. of Applied Ceramic Technology. - 2005. - Vol. 12, Iss 5. - P. 422-428.

25.    Фукс-Рабинович Г.С., Моисеев В.Ф., Кацура А.А. и др. Использование метода склерометрии для определения адгезионных свойств ионно-плазменных покрытий // Заводская лаборатория. - 1990. - № 2. - С. 95-98.

26.    Ichimura H., Ishii Y. Effects of indenter radius on the critical load in scratch testing//Surf. And Coat. Techn. - 2003. - Vol. 165. - P. 1-7.

.        Маслов Е.Н. Теоретические основы процесса царапания металлов. - М.: Наука, 1968. - С. 24-44.

.        http://www.himikatus.ru/art/phase-diagr1/Mo-Si.php

.        Самсонов Г. В. Силициды / Самсонов Г. В., Дворина Л. А. Ридь Б. М. - М. : Металлургия, 1979 - 271 с.

.        Е.П.Нечипоренко, Н.С. Полтавцев, В.Л.Капустин, Ю.Т. Кондратов. Область гомогенности MoSi2 // Изв. АН СССР. Неорг. Матер. -, 1973. - Т. 9. С. 1829-1830.

.        Борисенко А. И. Защита молибдена от высокотемпературной газовой коррозии / Борисенко А. И. // М.-Л.: Наука. 1960. - 86 с.

.        Борисов В. Г. Диффузионные Si-Cr-Fe-покрытия на молибдене / Борисов В. Г., Щербаков Э. Д., Крумина Н. К. // Металлургия. - Минск: Наука и техника, 1976. - Вып. 8. - С. 53-55.

.        А. Л. Бурыкина. Применение боридных покрытий в качестве диффузионных барьеров для тугоплавких металлов / А. Л. Бурыкина, Ю.В. Дзядыкевич, А. П. Эпик, Л. А. Сосновский // Неорганические и органосиликатные покрытия. - Л.: Наука, 1975. - С. 195-203.

.        Дзядыкевич Ю. В. Повышение жаростойкости тугоплавких металлов / Дзядыкевич Ю. В. // Неорган. материалы. - 1994. - Т. 30. - № 11. - С. 1405-1408.

35.   Литовченко С.В. Исследование структуры силицидных покрытий на молибдене / С.В.Литовченко // Вісник ХДУ. - № 1301, серія фізична “Ядра, частинки, поля”. - Харків, 1998. - С. 222-224.

.       Литовченко С.В. Высокотемпературная стабильность силицидных покрытий на молибдене и других тугоплавких металлах / С.В. Литовченко, Т.С.Маслова, Д.С. Матвиенко и др. // Вiсник Харкiвського унi-ту, № 529 - 2001. - сер. фiзична : «Ядра, частинки, поля», вип 3/15/. - 64-66 с.

37.    Семашко Н.А. Акустическая эмиссия в экспериментальном материаловедении / Семашко Н.А., Шпорт В.И., Марьин Б.Н. и др. // Под общей ред. д-ра техн. наук, проф. Семашко Н.А., канд. техн. наук Шпорта В.И.. - М.: Машиностроение, 2002. - 240 с

.        Гусев О.В. Акустическая эмиссия при деформировании монокристаллов тугоплавких металлов / Гусев О.В.// М.:Наука,1982.- 101 с.

.        Грешников В.А. Акустическая эмиссия / Грешников В.А., Дробот Ю.Б. // М.: Изд-во стандартов, 1976. - 276 с.

.        Иванов В.И. Неразрушающий контроль: Справочник: в 7 т. / Под общ. ред. Клюева В.В. Т.7: в 2 кн. Кн.1: Иванов В.И., Власов И.Э. Метод акустической эмиссии. - М.: Машиностроение, 2005. - 829 с.

.        Прошкин Д.А. Изучение растрескивания окисных пленок на MoSi2 методом акустической эмиссии / Прошкин Д.А., Барзов А.А., Лоскутов B.C., Дарасов А.А. // Высокотемпературная защита материалов. - Л., 1981. - С. 25-30.

.        С.В. Литовченко, А.П. Петриченко, В.М. Береснев, И.Г. Киперь, Е.А. Витковский. Поведение композитов молибден - силицидное покрытие при механических и термических нагрузках // ФИП, 2011. - Т. 9. - № 1. - С.78 - 84.

ПРИЛОЖЕНИЕ

Вопросы охраны труда и безопасности при выполнении дипломной работы

При выполнении дипломной работы выполнялись все положения и предписания, предусмотренные соответствующими нормативно-правовыми документами и методической литературой по этому вопросу (см. литературу к этому приложению и документы, упоминаемые в тексте).

Сложность работы в физических лабораториях заключается в чрезвычайном разнообразии используемого оборудования и материалов, методов работы и выполняемых операций. Большинство работ связано с потенциально опасными и вредными факторами, которые можно разделить на группы:

·  факторы безопасной эксплуатации электрооборудования (низковольтного, высоковольтного);

·        безопасность при работе с веществами (порошками. кислотами. щелочами. активными металлами и др.);

·        безопасность при работе с высокотемпературным оборудованием и при высоких температурах;

·        безопасность при работе с вакуумными установками;

·        безопасность при работе в условиях наличия электромагнитных излучений;

·        радиационная безопасность.

Надежной гарантией безаварийной работы может служить лишь полное понимание смысла каждой операции, существа происходящих явлений и их возможных результатов, соблюдение требований техники безопасности.

Вредные вещества. Меры безопасности при работе в лаборатории с химически вредными веществами предусматривают соблюдение мер личной гигиены; наличие системы вентиляционных сооружений; применение средств индивидуальной защиты (респираторы, резиновые перчатки, спецодежда); применение специальных систем по направленному отводу газов (вытяжка); особый режим уборки.

Безопасность эксплуатации оборудования. Безопасность осуществления технологических процессов достигалась соблюдением требований ГОСТ 12.3.027 - 96. Безопасность использования лабораторного оборудования соблюдалась в соответствии с ГОСТ 12.2.046

Электробезопасность. Электробезопасность в научно-исследовательской лаборатории соблюдалась в соответствии с ГОСТ 12.1.013-98. Поражение электрическим током при проведении исследовательской работы может возникнуть при неосторожном обращении с соединительными проводами или при возникновении аварийной ситуации - замыкания токоведущих частей на корпус оборудования при отсутствии заземления и зануления. Значение предельно допустимых уровней напряжений прикосновения и токов, протекающих через тело человека, устанавливает ГОСТ 12.1.038 - 82 «Электробезопасность. Предельно допустимые уровни напряжений прикосновения и токов», они составляют 36 В, 6 мА, воздействие свыше 1 секунды.

Предельно допустимые уровни напряжений и токов, проходящих через тело человека, устанавливает ГОСТ 12.1.038 - 82 «Электробезопасность». Предельно допустимые уровни напряжений прикосновения и токов» составляют 2 В, 0,3 мА, воздействие менее 10 минут (переменный ток) и 8 В, 0,1 мА, воздействие менее 10 минут (постоянный ток).

Пожарная безопасность. Причинами пожара могло быть нарушение правил эксплуатации электронагревательных и высокотемпературных устройств, короткое замыкание и нарушения правил обращения с легковоспламеняющимися веществами. Обеспечение пожарной безопасности осуществлялось в соответствии с ГОСТ 12.1.004-95 «Пожарная безопасность. Общие требования» и ГОСТ 12.1.010-96 «ССБТ. Взрывоопасность».

Главные вопросы и требования безопасности изложены в методическом пособии «Хижковий В.П. Основні положення щодо охорони праці та безпеки при виконанні дипломних робіт. - Харків: ХНУ імені В.Н.Каразіна, 2011. - 4 с.».

В соответствии с этим положением основными обязанностями участников учебного процесса являются:

1. ОБОВ’ЯЗКИ ДЕКАНА З ОХОРОНИ ПРАЦІ

. Забезпечує створення безпечних умов під час проведення навчальних занять, практик, науково-дослідних та інших робіт.

. Керує розробленням і переглядом інструкцій з охорони праці, узгоджує їх із службою Охорони праці та подає на затвердження ректору.

. Організовує проведення інструктажів з питань охорони праці студентів, слухачів, аспірантів.

. Бере участь у розслідуванні нещасних випадків, що трапились на факультеті.

. ОБОВ’ЯЗКИ ЗАВІДУВАЧА КАФЕДРИ З ОХОРОНИ ПРАЦІ

. Несе відповідальність за створення на кафедрі безпечних умов проведення навчально-виховного процесу.

. Організовує розроблення і перегляд інструкцій з охорони праці, узгоджує їх із службою Охорони праці та подає на затвердження керівнику.

. Забезпечує навчання і перевірку знань з охорони праці студентів, що працюють в умовах підвищеної небезпеки, своєчасну їх явку на періодичний медичний огляд.

. Бере участь у розслідуванні та здійсненні заходів щодо усунення причин, що призвели до нещасного випадку.

. КЕРІВНИК НАУКОВО-ДОСЛІДНОЇ РОБОТИ ТА ЙОГО ОБОВ’ЯЗКИ З ОХОРОНИ ПРАЦІ

. Здійснює безпосереднє керівництво і несе відповідальність за безпечні і нешкідливі умови проведення науково-дослідної роботи.

. Проводить на робочому місці всі види інструктажів з охорони праці, допускає до самостійної роботи.

. Розробляє інструкції щодо безпечного використання обладнання, нових матеріалів, процесів.

. Організовує надання першої долікарської допомоги потерпілим.

ІНСТРУКЦІЯ З ОХОРОНИ ПРАЦІ ТА БЕЗПЕКИ

при виконанні дипломних робіт на кафедрах фізичного спрямування


. ЗАГАЛЬНІ ПОЛОЖЕННЯ

.1. Ця Інструкція є обов’язковою для усіх фізичних осіб, які мають відношення до виконання дипломних робіт на фізичних кафедрах та в фізичних лабораторіях науково-дослідних інститутів. Студенти, співробітники і викладачі, які не ознайомлені з Інструкцією, не мають права брати участь у виконанні дипломних робіт. Інструктаж з питань охорони праці та безпеки проводиться з усіма працівниками перед початком роботи незалежно від їх освіти, стажу роботи або посади.

.2. Первинний інструктаж проводиться за програмою, яка укладена завідувачем кафедри (керівником наукового підрозділу) з урахуванням особливостей виконання дипломної роботи в фізичній лабораторії. Програма первинного інструктажу повинна відповідати основним вимогам “Типового положення про навчання, інструктаж та перевірку знань працівників з питань охорони праці”. Первинний інструктаж зі студентами проводиться безпосередньо на робочому місці до початку виконання ними дипломних робіт.

.3. Запис про проведення інструктажу фізичних осіб та про його дату роблять у спеціальному «Журналі реєстрації інструктажів з питань охорони праці». У ньому обов’язково повинні бути підписи всіх фізичних осіб, які були проінструктовані, а також підпис особи, яка проводила інструктаж. Журнал повинен бути пронумерованим, прошнурованим і скріпленим печаткою.

.4. Відповідальність за дотримання загальних положень Інструкції з охорони праці при виконанні дипломних робіт на кафедрах Харківського національного університету імені В.Н. Каразіна та в фізичних лабораторіях науково-дослідних інститутів згідно з чинним законодавством України несуть: декан факультету, завідувач кафедри, керівник лабораторії, науковий керівник дипломної роботи.

. ВИМОГИ ТЕХНІКИ БЕЗПЕКИ ПЕРЕД ПОЧАТКОМ РОБОТИ

.1. Студенти-дипломники не мають права заходити в лабораторію без дозволу відповідального працівника (інженера, старшого лаборанта) або викладача - керівника дипломних робіт.

.2. Перед початком виконання експериментальної дипломної роботи студенти повинні ретельно і детально ознайомитись з методичними вказівками щодо її виконання та вимогами техніки безпеки на робочому місці.

. ВИМОГИ ТЕХНІКИ БЕЗПЕКИ ПРИ ВИКОНАННІ ДИПЛОМНИХ РОБІТ

.1. Перше вмикання електричної установки, оптичного приладу, іншого наукового устаткування студенти здійснюють лише під безпосереднім наглядом інженера, лаборанта чи керівника дипломної роботи.

.2. Студентам дозволяється самостійно виконувати дипломну роботу, в якій використовуються установки і прилади з електроживленням до 1000 В, лише тоді, коли кожний з них: а) успішно склав екзамен чи має залік з курсу нормативної дисципліни „Охорона праці”; б) прослухав первинний інструктаж та розписався за нього в Журналі реєстрації; в) знає основні правила електробезпеки; г) отримав дозвіл (допуск) на використання конкретної установки; д) при виконанні дипломних робіт з підвищеною небезпекою (лазерним випромінюванням, іскровим та дуговим розрядами, ртутною лампою, потенційно шкідливими речовинами та матеріалами тощо) чи іншими складними науковими приладами до початку виконання дипломної роботи одержав додатковий інструктаж щодо безпечних методів експлуатації обладнання та вказівки стосовно поведінки дипломника на робочому місці та працюючих поруч з ним.

.3. Студентам не дозволяється самостійно виконувати дипломну роботу на електроустановках із напругою більше 1000 В. Категорично заборонено на такій установці самостійно будь-що регулювати, вмикати чи вимикати! Увімкнуту електроустановку забороняється залишати без догляду.

. ВИМОГИ ТЕХНІКИ БЕЗПЕКИ ПІСЛЯ ЗАКІНЧЕННЯ РОБОТИ

.1. Після виконання певної експериментальної частини дипломної роботи студенти повинні обов’язково показати одержані результати керівнику на перевірку їх достовірності.

.2. Привести в порядок своє робоче місце, вимкнути електроживлення на робочому місці, повідомити про це керівника (відповідального працівника) і лише після цього залишити лабораторію.

. ВИМОГИ ТЕХНІКИ БЕЗПЕКИ В АВАРІЙНИХ СИТУАЦІЯХ

.1. Оцінити стан аварійної ситуації, далі діяти, виходячи з конкретних обставин, повідомити про виникнення аварійної ситуації: завідувача лабораторії; завідувача кафедри; декана; оперативно-чергову службу університету за тел..: 707 - 50 - 91.

.2. При виникненні пожежі: негайно вимкнути всі електроприлади та електричний рубильник лабораторії; організувати, якщо це можливо, гасіння пожежі власними силами (піском, вуглекислим вогнегасником тощо); повідомити чергового пожежної охорони ХНУ імені В.Н. Каразіна за тел.: 707 - 54 -11, 707- 50-83; деканат факультету, керівника наукової лабораторії.

.3. При ураженні електричним струмом треба: виключити електроживлення на робочому місці потерпілого, або ж вимкнути рубильником на центральному електрощиті електроживлення всієї лабораторії; надати першу допомогу потерпілому від ураження електричним струмом; викликати швидку допомогу за тел.: 9 - 101.

.4. У разі витікання газу в газовій мережі необхідно перекрити головний кран по газу, викликати аварійну службу газу за тел.: 9 - 104 і сповістити керівника.

.5. При аварії труб теплопостачання та водопостачання треба: вимкнути електричне живлення лабораторії; закрити, якщо це можливо, вхідні крани водопостачання; повідомити чергових відповідних служб ХНУ імені В.Н.Каразіна за тел.: 707 - 52 - 00 (водопостачання); 707 - 56 - 20 (котельна).

ЛИТЕРАТУРА К ПРИЛОЖЕНИЮ

1.      Положення про організацію роботи з охорони праці учасників навчально-виховного процесу в установах і закладах освіти. - Наказ Міністерства освіти і науки України від 1 серпня 2001 року № 563.

2.      Катренко Л.А., Пістун І.П. Охорона праці в галузі освіти: Навчальний посібник. - Суми: Університетська книга, 2005. - 304 с.

.        Хижковий В.П. Альбом ілюстрацій до курсу «Охорона праці в галузі»: Навчальний посібник. - Харків: ХНУ імені В.Н. Каразіна, 2007. - 100 с.

.        Хижковий В.П. Основні положення щодо охорони праці та безпеки при виконанні дипломних робіт. - Харків: ХНУ імені В.Н.Каразіна, 2011. - 4 с.

Похожие работы на - Исследование адгезионных характеристик силицидных покрытий на молибдене методом склерометрии

 

Не нашли материал для своей работы?
Поможем написать уникальную работу
Без плагиата!
Без нейросетей!