Компьютерное моделирование процессов оптической накачки в реакциях фотоиндуцированного переноса электрона
Содержание
Введение
Глава 1.Модель
сверхбыстрой рекомбинации зарядов с учетом оптической накачки
1.1 Общая схема
реакции
1.2
Реорганизация среды
1.3 Электронные
термы
1.4.Механизм
реакции
1.5
Стохастическая модель рекомбинации
1.6.1Учет
динамики оптической накачки ДАК
1.6.2 Учет
спектральных характеристик импульса накачки
Глава 2.
Численное моделирование
2.1
Тестирование
2.2 Влияние
глубины накачки на форму начального диффузионного пакета и на кинетику
фотовозбуждения
2.3 Влияние
времени релаксации растворителя на кинетику накачки
2.4Влияние
длительности импульса и глубины накачки на профиль диффузионного пакета
2.5 Влияние
длительности импульса на кинетику фотовозбуждения
Заключение
Список
литературы
Приложение А
Введение
Перенос электрона является одной из самых распространенных химических
реакций, присутствующей в качестве элементарной стадии во многих химических
процессах; например, в окислительно-восстановительных процессах, в
электрохимических реакциях, в фотосинтезе. Участниками реакции являются - донор
электрона (восстановитель) и акцептор электрона (окислитель), причем в качестве
донорно-акцепторной пары могут выступать как отдельные молекулы или ионы, так и
связанные фрагменты в пределах одной молекулы или молекулярного комплекса.
Перенос электрона часто наблюдается в фотоиндуцированных химических реакциях.
После поглощения фотона, нейтральная молекула переходит в возбужденное
состояние, при этом существенно изменяются ее донорно-акцепторные свойства. Под
действием короткого лазерного импульса удается создать значительную
концентрацию молекул в возбужденном состоянии, которые могут играть роль донора
или акцептора электронов.
Современная лазерная техника позволяет создавать световые импульсы
длительностью в десятки фемтосекунд, что дает возможность наблюдать за
динамикой элементарного акта сверхбыстрой фотохимической реакции [9, c. 3643]. Эти исследования дают
подробную информацию о структуре исследуемых химических систем, а также о
динамических свойствах их ближайшего окружения. Вместе с тем, интерпретация
данных эксперимента возможна только в рамках адекватных моделей. В настоящее
время для теоретического описания сверхбыстрых фотохимических процессов часто
используется приближение мгновенного заселения возбужденного состояния [6, c. 8]. Это предположение не всегда
оправдано, так как характерные времена химических превращений в системе часто
сравнимы с длительностью импульса накачки. Последовательное описание таких
реакций требует разработки специализированных моделей, явно учитывающих процесс
фотовозбуждения донорно-акцепторной пары.
Целью выпускной квалификационной работы является исследование влияния
динамических и спектральных характеристик импульса фотовозбуждения на кинетику
сверхбыстрой рекомбинации зарядов в ДАК.
Решаемые задачи:
) разработка двухуровневой стохастической модели
донорно-акцепторного комплекса, учитывающей процесс оптической накачки в рамках
теории возмущений,
) разработка алгоритмов численного моделирования процессов
фотовозбуждения ДАК в рамках метода случайных траекторий,
) тестирование разработанных алгоритмов путем сравнения численных
результатов с известными аналитическими решениями в частных случаях,
) численное исследование кинетики сверхбыстрой рекомбинации
зарядов в ДАКв различных режимах накачки.
Глава 1.Модель сверхбыстрой рекомбинации
зарядов с учетом
оптической накачки
.1 Общая схема реакции
Рассмотрим процесс переноса электрона между двумя частицами в
растворителе. Мы предполагаем, что частица движется от донора к акцептору.
Донором (D) в ДАК (донорно-акцепторном комплексе) является молекула, отдающая
электрон при межмолекулярном электронном переносе в растворителе. Акцептором
(А) в ДАК является молекула, принимающая электрон при межмолекулярном
электронном переносе в растворителе. Средой (или растворителем) в нашем случае
является вещество, внутри которого происходят рассматриваемые процессы, имеющее
свои химические и физические характеристики.
Рисунок
1 - Общая схема реакции электронного переноса.
1.2 Реорганизация среды
Переход электрона внутри ДАК влечет за собой изменение электронной
плотности на доноре и акцепторе, и, как следствие, реорганизацию «соседей»
обеих составляющих частиц (молекул, атомов). В то же время, это может привести
и к трансформации самих молекул D и A в результате действия кулоновских
сил, в случае если молекулы имеют сложную структуру. Составляющие их атомы
меняют свое положение в пространстве, и молекула приходит в положение
наименьшей потенциальной энергии, в положение равновесия. Молекулы окружения в
свою очередь перемещаются в окрестности комплекса таким образом, чтобы
максимально скомпенсировать изменение зарядов реагентов.
Рисунок
2 -Реорганизация полярного растворителя.
Эта особенность характерна для полярных растворителей. Их молекулы
обладают дипольным моментом, который является основной действующей силой в
переориентации окружения после перехода электрона. На рисунке: (1) - начальное
состояние растворителя; (2) - конечное состояние полярного растворителя после
реорганизации соседних частиц.
.3 Электронные термы
Используя представление о химической реакции как о переходе квазичастицы с
одного электронного терма на другой, мы имеем возможность рассматривать
динамику реакции на всех стадиях от фотовозбуждения реагентов до выхода
свободных ионов в раствор. Однако это требует решения системы дифференциальных
уравнений диффузионного типа, заданных в пространстве нескольких координат.
Рисунок
3- Электронные термы.
Состояния
комплексов на координатной оси изображаются в виде двух термов, имеющих форму,
близкую к параболической при малых амплитудах колебаний ядер в окрестности
равновесного положения. (
- терм
основного состояния системы; 
- терм
возбужденного состояния). Точки минимума парабол соответствуют начальному
равновесному (
) и
конечному равновесному (
)
состоянию.
Минимум
терма основного равновесного состояния совпадает с началом координат. Терм
возбужденного состояния смещен по вертикали относительно начала координат на
величину свободной энергии реакции
. Она
представляет собой разность между энергиями равновесных конечного и начального
состояний. Графики состояний пересекаются в точке 
. Она
обозначает переходное состояние системы на координатной плоскости. Значение
энергии в точке 
численно
равно энергии активации прямого электронного переноса 
. При
такой энергии наиболее велика вероятность перехода химической системы с одного
терма на другой.
Точка
пересечения задана уравнением:
|
|
(1.1)
|
где форма диабатических термов определяется системой [3, с. 45]:
|
(1.2)
|
|
Здесь

-
энергия реорганизации полярного растворителя. Она затрачивается на перестройку
молекул окружения ДАК от равновесной начальной, до равновесной конечной
конфигурации. Из последних уравнений получаем [1, c. 223]:
|
|
(1.3)
|
где (1.3) известна как формула Маркуса.
.4 Механизм реакции
Пусть в начальный момент времени рассматриваемый набор частиц
(представляем его в виде волнового пакета) располагается в минимуме терма
основного состояния. Для перехода от донора к акцептору электрону требуется
порция энергии, которая поступает в виде кванта света (накачки). Таким образом,
активируется эндотермическая химическая реакция (требующая поступления энергии
извне, например, из термостата), и частица, преодолевая энергетический барьер,
переходит внутри ДАК.
После
перехода частицы на терм 
химическая
система некоторое время находится в состоянии релаксации. Это означает, что
волновой пакет движется по ветви терма, на которой он оказался после оптической
накачки, к его минимуму, равновесному состоянию.
В
процессе релаксации терма 
волновой
пакет достигает точки пересечения термов. Далее представлены два исхода для
частиц:
· возврат на
терм 
;
· продолжение
движения по терму
к
положению равновесия;
При
этом, вероятности обоих исходов не обязательно должны быть равны 0 и 1, или
наоборот. Часть волнового пакета может вернуться на исходный терм либо
продолжить движение к положению равновесия по терму 
. Т.е.
вероятность каждого исхода меньше либо равна единице.
Таким
образом, населенности обоих термов меняются с течением времени. Сформулируем
далее математическую модель реакции электронного переноса в ДАК.
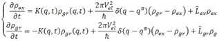
.5 Стохастическая модель рекомбинации
В
качестве основы для описания динамики рекомбинации заряда в ДАК используем
известную модель Зусмана, которая опирается на несколько предположений.
Начальное условие для системы - она термодинамически равновесна по всем
степеням свободы. Кроме того, для описания реакции мы используем двухуровневое приближение,
п.1.2., диабатические электронные термы основного и возбужденного состояний
имеют форму парабол. Координатой реакции электронного переноса в полярном
растворителе является маркусова поляризационная координата q.
Движение изображающих точек на термах
и
носит характер координатной диффузии (сильная связь
со средой).
Запишем
уравнения стохастической модели [3, c. 3]:
|
|
(1.4)
|
где

, 
-
распределения частиц на термах 
и 
. 
- 
-функция
Дирака, 
, 
-
операторы Смолуховского, описывающие диффузионное движение на параболических
термах 
и 
[9, c.
71]. Запишем их в явном виде:
|
(1.5)
|
|

- время
продольной диэлектрической релаксации растворителя.
Начальные
условия:

-
акцепторный терм, не заселен изначально. (1.6.1)

- равновесное
распределение на терме 
. (1.6.2)
Введем суммарную населенность термов основного и возбужденного состояний
как интеграл от соответствующей плотности распределения по всему пространству
|
(1.7)
|
|
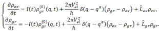
1.6.1Учет динамики оптической накачки ДАК
Начальное условие (1.6) предполагает,
что накачка ДАК происходит мгновенно, в результате действия короткого лазерного
импульса. При исследовании сверхбыстрых реакций, протекающих на временах
быстрее 1 пикосекунды, использование этого приближения не всегда оправдано. В
случае, когда длительность импульса накачки сравнима с характерными временами
реакции, необходим детальный учет процессов фотовозбуждения ДАК. [2, c. 135]

Предположим,
что импульс фотовозбуждения имеет гауссову форму с несущей частотой 
и
длительностью 
(Рис.
4). Будем также считать, что центр импульса приходится на точку 
.
|
(1.8)
|
|
Огибающая этого сигнала:
|
(1.9)
|
|
Предположим
далее, что спектральная ширина импульса накачки достаточно велика, так, что мы
можем пренебречь различиями в скорости накачки для частиц, находящихся в разных
точках терма 
. Это
позволяет нам описать фотовозбуждение системы дополнительными слагаемыми,
учитывающими переходы частиц с основного терма на терм возбужденного состояния
в ходе оптической накачки. Уравнения (1.4) при этом приобретают вид
|
(1.10)
|
|
Где

-
дисперсия равновесного распределения, 
и 
-
константа Больцмана и температура, 
-
равновесное распределение на акцепторном терме.
Начальные
условия в этом случае
|
(1.11)
|
|

в (1.11)
- равновесное распределение на 
.
Для
численного решения системы уравнений будем использовать метод броуновского
моделирования. Этот метод основан на генерации случайных траекторий движения
системы по электронным термам 
и 
и учете
переходов частиц с одного терма на другой в моменты рекроссинга точки
пересечения.
Для
рассмотрения алгоритмов, описывающих броуновские траектории движения, введем
функции Грина 
и 
для
диффузионных операторов 
и 
. Явный
вид этих функций известен [10, c. 275]
|
(1.12)
|
|
Заметим,
что описываемый функцией Грина пакет при движении сохраняет гауссову форму, что
является характерным для любых параболических поверхностей. По определению,
функция Грина есть распределение вероятности обнаружить частицу в некоторой
точке пространства 
в момент
времени 
, если
при 
, частица
находилась в точке 
. Таким
образом, положение частицы на 
-м временном
шаге 
может
быть получено путем генерации псевдослучайного числа с плотностью вероятности 
, где 
-
положение частицы на k-м шаге, а
индекс n = D,A
определяет номер терма, на котором находится частица. Центр волнового пакета и
его дисперсия выглядят следующим образом:
|
|
(1.13)
|
|
|
(1.14)
|
С учетом этого, схему расчета траектории запишем в виде [5, c. 205]:
Здесь

-
гауссово случайное число с нулевым средним и единичной дисперсией, 
-
величина к-го шага по времени. Первое слагаемое (1.15) описывает дрейф частицы
вдоль i-й координаты под действием регулярной силы 
, второе
слагаемое ответственно за диффузионное растекание пакета в ходе взаимодействия
с термостатом.
Учтем
далее оптическую накачку системы путем введения переходов частиц с терма
основного на терм возбужденного состояния в течение действия импульса накачки.
Будем считать, что вероятность такого перехода в момент времени 
пропорциональна
величине 
. Тогда
элементарный «прыжок» частицы с терма 
на терм 
можно
считать случайным событием с распределением вероятности 
. Для
программной реализации переходов для i-ой частицы введем величину 
, которая
будет обозначать время этого перехода. Значение этой случайной величины может
выбираться, к примеру, с помощью программного генератора ПСЧ с гауссовым
распределением.
В
настоящей работе для этой цели используется функция RandG из
библиотеки math.hpp, входящей в пакет TurboC++ Explorer. Прототип этой функции имеет вид:
doubleRandG(doublemean, doublestddev);
В
качестве аргументов функция принимает два вещественных числа: математическое
ожидание (mean) и среднеквадратичное отклонение (stddev)
гауссова распределения. Функция возвращает вещественное случайное число,
распределенное по закону (1.9). Описанный алгоритм был реализован программно в
рамках пакета QM2L.
оптический спектральный накачка заряд
1.6.2 Учет спектральных характеристик импульса
накачки
В процессе моделирования процесса оптической накачки помимо длительности
импульса будем учитывать влияние его спектральных характеристик на электронный
переход. Учет спектральных характеристик при определенных условиях может быть
очень важен, так как от несущей частоты и от длительности импульса накачки
зависит положение и форма начального волнового пакета, сформированного на терме
возбужденного состояния (Рис.5).
Рисунок
5 - Влияние центральной частоты возбуждающего импульса на скорость электронного
перехода между основным и возбужденным состояниями системы.
Используем
результаты теории возмущений по интенсивности оптической связи для расчета
скорости электронного перехода из состояния 
в
состояние 
.
Согласно [13, c. 549], эта скорость пропорциональна спектральной
плотности импульса 
на
частоте перехода 
.
Найдем
спектральную плотность 
. По
определению 
вычисляется
через прямое преобразование Фурье от функции 
:
|
|
(1.17)
|
Полученная функция - известная функция Гаусса, ее график показан на
рисунке 6.
Рисунок
6- График спектральной плотности.
Используя
замену 
,
получаемспектральную плотность импульса в энергетическом представлении:
|
|
(1.18)
|
Введем
понятие энергии перехода для частицы, расположенной в точке 
, как
энергетический зазор между 2-мя состояниями:
|
|
(1.19)
|
Введем
далее величину 
-
скорость перехода для частицы с энергией перехода 
. Тогда:
|
|
(1.20)
|
где A - некоторая константа, зависящая от
величины дипольного момента электронного перехода, поляризации электромагнитной
волны, интенсивности импульса накачки и т.д.
Получив

, можем
записать вид решаемой математической задачи:
|
|
(1.21)
|
В
рамках метода броуновского моделирования рассчитаем вероятность перехода 
для
частицы в точке q на интервале времени 
. По
определению вероятность выживания частицы на терме основного состояния к
моменту времени 
рассчитывается
по формуле:
|
|
(1.22)
|
Тогда
вероятность выживания на интервале
|
|
(1.23)
|
Это
выражение мы можем записать в более простой форме с использованием функций
и 
. Для
этого преобразуем интеграл:
|
|
(1.24)
|
Сделаем
замену переменной:
;
Упростим
полученное выражение
|
|
(1.25)
|
(1.25) - основная расчетная формула.
Введем
понятие глубины накачки 
как
вероятность возбуждения частицы на резонансной частоте (
) при 
. Из
формулы (1.25) получаем 
.
Значение 
соответствует
случаю слабой накачки, 
случаю
сильной накачки (мощный импульс фотовозбуждения).
На
основе формулы (1.25) упомянутый ранее программный комплекс 
был
модифицирован добавлением фрагмента кода (Приложение А). Далее описаны
результаты численного моделирования, полученные с помощью этой программы.
Рисунок
7 - Программа на этапе задания параметров импульса накачки.
Глава 2. Численное моделирование
.1 Тестирование
Для тестирования программного пакета сравним результаты компьютерного
моделирования с точным аналитическим решением уравнения (1.7) в отсутствие
рекомбинации. Найдем это решение.
1) При

(без
рекомбинации) система (1.10) преобразуется к виду:
(2.1)
|
2) Интегрируем второе уравнение (2.1) по q и используем введенные ранее определения для населенностей
(1.7):
|
|
(2.2)
|
3) Решаем уравнение (2.2)
и,
сделав замену в интеграле (
),
получаем аналитическое выражение (2.3).
Зависимость
числа частиц от времени на возбужденном терме мы привели к виду функции ошибок 
, что
позволяет нам построить аналитическое решение для 
.
|
|
(2.3)
|
Сравним далее данные численного моделирования с полученным аналитическим
результатом, для частного случая сверхкороткого импульса.
Сравнение
результатов численного моделирования (при условиях: 
.) и
аналитического выражения (2.3)на рисунке 7 показывает, что относительная
погрешность, выявленная в результате расчета, не превышает 1,5%. Такой
результат говорит о том, что программа работает корректно и позволяет проводить
дальнейшее численное моделирование.
Рисунок 7 - Сравнение результатов
численного моделирования (точки) и частного аналитического результата (линии).
Для каждого из построений синий цвет соответствует случаю τe= 1 фс, красный - τe= 2 фс, черный - τe= 3 фс.
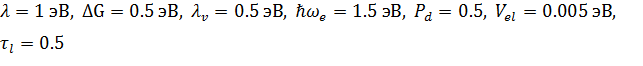
2.2 Влияние глубины накачки на форму начального
диффузионного пакета и на кинетику
фотовозбуждения
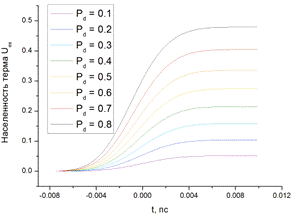
На
рисунке 8 показаны графики зависимости населенности возбужденного состояния от
времени при различных значениях глубины накачки 
. Расчеты
проведены при следующих значениях модельных параметров: 
. Из
рисунка видно, что с ростом глубины накачки (фактически, интенсивности импульса
возбуждения) растет итоговая населенность возбужденного терма. Это также видно
из рисунка 10, на котором изображены профили населенности основного терма
(обозначен серым цветом) и возбужденного (обозначен красным цветом) в различных
случаях. На рисунке 10 изображены случаи, когда параметр глубины накачки растет
от значения 0.1 до 0.8.
Зная,
что прочие параметры системы фиксированы, можно следить как растет населенность
терма 
. Кроме
того можно заметить, что в профиле основного терма образуется «провал»,
образованный частицами, перешедшими на терм 
.
Рисунок 8 - Динамика населенности
возбужденного состояния при разных величинах глубины накачки Pd.
Различия между кривыми на рисунке 9 связаны с насыщением оптического
перехода: при увеличении параметра Pd накачка замедляется. Импульс накачки может повлиять только
на те частицы, частоты которых есть в его спектральном составе. Глубина накачки
характеризует интенсивность импульса.
Рисунок 9 - Нормированная динамика населенности возбужденного состояния
при разных величинах глубины накачки.
|
Pd
= 0.1
|
Pd
= 0.2
|
Pd = 0.3
|
Pd
= 0.4
|
|
Pd
= 0.5
|
Pd
= 0.6
|
Pd
= 0.7
|
Pd
= 0.8
|
|
Рисунок 10 Сравнение
профилей населенности возбужденного состояния (обозначены красным) и
основного состояния (обозначены серым)при различных значениях глубины
накачки.
|
2.3 Влияние времени релаксации растворителя на
кинетику
накачки
Рассмотрим
результаты численного расчета профиля распределения частиц на возбужденном
терме в фиксированный момент времени T = 20 фс (при прочих заданных
значениях:
) при различных значениях параметра 
. Как
видно из графика (рисунок 11), увеличение подвижности частиц (уменьшение 
) ведет к
смещению профиля и изменению его формы.
Изменение

также
оказывает влияние на динамику населенностей возбужденного состояния (рисунок
12). Замедление скорости накачки в медленных растворителях (при больших 
) здесь
может быть объяснено динамическим эффектом растворителя.
Рисунок 11 - Профили распределения
частиц на терме возбужденного состояния при разных значениях времени релаксации.
Рисунок 12 - Кинетика населенности
возбужденного состояния при изменении времени релаксации растворителя.
2.4Влияние длительности импульса и глубины
накачки на
профиль диффузионного пакета
А) случай резонансной накачки
В случае резонансной оптической накачки (2.4), максимум полосы поглощения
приходится на переход из равновесного состояния. Для рассмотрения этого
процесса была проведена серия расчетов, представленная на рисунке 13.
|
|
(2.4)
|
Красным
на рисунке обозначен аналитический результат, синим - численный расчет профиля
распределения частиц на терме 
,
полученный с помощью компьютерного моделирования. Можно наблюдать, как с ростом
глубины накачки растет насыщение волнового пакета и, следовательно, растет
отклонение от результата теории возмущений.
Б)
случай нерезонансной накачки
В случае нерезонансной оптической накачки (2.5), максимум полосы
поглощения смещен относительно равновесного состояния пакета.
|
(2.5)
|
|
|
|
|
|
|
|
|
|
|
|
|
|
|
|
|
|
Рисунок 13 - Сравнение
профилей распределения частиц на терме возбужденного состояния при различных
значениях глубины накачки и длительности импульса фотовозбуждения (случай
резонансной накачки).
|
|
|
|
|
|
|
|
|
|
|
|
|
|
|
|
|
|
|
|
|
Рисунок 14 - То же самое,
что на рисунке 13, в случае нерезонансной накачки.
|
|
Для
рассмотрения особенностей этого процесса была также проведена серия расчетов,
представленная на рисунке 14. Зеленым пунктиром на рисунке обозначено
равновесное распределение частиц на терме основного состояния, красным -
профиль распределения возбужденных частиц с учетом нерезонансной накачки (
-
частота, соответствующая красной границе спектра), синим - результаты
численного моделирования. Можно наблюдать новый механизм спектрального
эффекта: с ростом длительности импульса профиль распределения частиц на терме
возбужденного состояния сдвигается относительно равновесного положения пакета
на терме основного состояния.
2.5
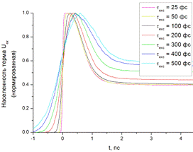
Влияние длительности импульса на кинетику
фотовозбуждения
При
следующих заданных параметрах было проведено численное моделирование процесса
фотовозбуждения ДАК:
,
Рисунок 15 -
Кинетика населенности возбужденного состояния при изменении длительности
импульса фотовозбуждения.
Графики на
рисунке 15 показывают, что изменение длительности импульса накачки влияет не
только на кинетику заселения возбужденного состояния системы, но и на кинетику
и квантовый выход рекомбинации зарядов. Наблюдаемые на рисунке различия в
квантовых выходах рекомбинации достигают 50% при изменении длительности
импульса от 25 до 500 фс. Этот результат не может быть объяснен в рамках
модели, с мгновенным заселением возбужденного состояния [14, c. 248], так как
эффективность нетермической рекомбинации в двухуровневой модели не зависит от
характеристик возбуждающего импульса.
Вместе с тем,
полученный результат может быть объяснен в рамках модели, явным образом
учитывающей кинетику фотовозбуждения системы. Наблюдаемые различия в квантовом
выходе рекомбинации зарядов на рисунке 15 связаны с конкуренцией двух
одновременно действующих и противоположно направленных процессов - прямого
электронного переноса с донора на акцептор в результате фотовозбуждения и
сверхбыстрой рекомбинации зарядов. В случае, когда характерные времена этих
процессов оказываются сравнимыми между собой, наблюдаемый в численных
экспериментах квантовый выход обратных электронных переходов начинает
существенно зависеть от характеристик импульса накачки.
Заключение
В данной работе исследовано влияние динамических и спектральных
характеристик импульса фотовозбуждения на кинетику сверхбыстрой рекомбинации
зарядов в ДАК. Разработаны модели и численные алгоритмы, позволяющие
моделировать как оптическую накачку без учета спектрального состава импульса возбуждения,
так и двухуровневая стохастическая модель электронного переноса, принимающая во
внимание спектральные характеристики импульса лазерного излучения. Получено
аналитическое выражение для скорости некогерентного оптического электронного
перехода в рамках теории возмущений по величине оптической связи. Получено
аналитическое выражение для вероятности оптического перехода в течение
заданного интервала времени, на основе которого разработаны алгоритмы
компьютерного моделирования процессов накачки. Результаты тестирования
расчетных алгоритмов показали полное совпадение с известными аналитическими
решениями в частных случаях. С помощью полученных алгоритмов проведены серии
численных расчетов, проанализированы различные режимы накачки и их влияние на
кинетику фотоиндуцированного электронного переноса.
Список литературы
1.Зусман Л.Д.
К теории реакций электронного переноса в полярном растворителе // ТЭХ. - 1979.
- Т.15. - N 3. - С.227-233.
. Иванов
А.И., Федунов Р.Г., Феськов С.В. Влияние частоты возбуждающего импульса на
динамику обратного переноса электрона. Стохастическая модель // Журн. Физ. Хим.
- 2004. - Т. 123. - 135-13540p.
. Иванов
А.И., Ионкин В.Н., Феськов С.В. Ускорение рекомбинации фотовозбужденных
донорно-акцепторных комплексов высокочастотной колебательной модой // Журнал
физической химии - 2008. - т. 82. - N 2. - С. 1-7.
. Ландау Л.
Д., Лившиц Е. М., Квантовая механика. Нерелятивистская теория, 3 изд., М., -
1974.
. Феськов
С.В. Метод броуновского моделирования в задачах расчета динамики электронного
переноса // Выч. методы и прогр. - 2009. - Т. 10. - С.202-210.
. Феськов
С.В. Электронный перенос в конденсированных средах: основый теории и методы
численного моделирования [Текст]// учеб.-метод. пособие / С. В. Феськов;
Волгоград: Изд-во ВолГУ, 2010. - 52с., ил.
7.
A. I. Ivanov, R. G. Fedunov, S. V. Fes’kov. The Influence of the Exciting Laser
Pulse Frequency on the Dynamics of Back Electron Transfer: a Stochastic Model
// Russian Journal of Physical Chemistry, Vol. 78, No. 8, 2004, pp. 1270-1276.
.
Feskov S., Gladkikh V., Burshtein Anatoly I. Kinetics of non-thermal electron
transfer controlled by the dynamical solvent effect // Chemical Physics Letters
- 2008. - 6 June. -71-75 p.
.
Serguei V. Feskov, Vladimir N. Ionkin, Anatoly I. Ivanov, Hans Hagemann, Eric
Vauthey. Solvent and Spectral Effects in the Ultrafast Charge Recombination
Dynamics of Excited Donor-Acceptor Complexes // J. Phys. Chem. A 2008, 112,
594-601 p.
.
Risken H. The Fokker-Planck equation: Methods of solurion and applications. -
Berlin: Springer-Verlag, 1989. - 475 p.
.
Serguei V. Feskov, Anna O. Kichigina, Anatoly I. Ivanov. Kinetics of
Nonequilibrium Electron Transfer in PhotoexcitedRuthenium(II)-Cobalt(III)
Complexes // J. Phys. Chem. - 2011.-115 1462-1471.
.
Roman G. Fedunov, Serguei V. Feskov, Anatoly I. Ivanov, Olivier Nicolet, Ste´phane Page`s, Eric
Vauthey. Effect of the excitation pulse carrier frequency on the ultrafast
charge recombination dynamics of donor-acceptor complexes: Stochastic
simulations and experiments // Journal of chemical physics. - 2004. - 20
August. - N 8. -3643-3656 p.
.
Pages S., Lang B., Vauthey E. Ultrafast spectroscopic investigation of the
charge recombination dynamics of ion pairs // J. Phys. Chem. A. - 2004. -
V.108. -549-557 p.
.
Ivanov A.I., Potovoi V.V. Theory of non-thermal electron transfer // Chem. Phys. - 1999. - V. 247. - N. 2.
- 245-259.
Приложение А
Фрагмент исходного кода программы QM2L:
TImagingPoint::TImagingPoint(void)
{_x = prev_x = parameters->q0;(parameters->dq>
1.e-6)_x = prev_x += parameters->dq*RandG(0, 1);
_quantum = 0;= gr_term;_time = aux->start_time;_excited =
false;
//exc_sum = 1.0;
}
::ProceedInterval(void)
{double A = profiles->x_limit1;double B =
profiles->x_limit2;double C = SF_size/(B-A);T = state->current_time +
parameters->save_interval;
(internal_time< T)
{index = round((cur_x-A)*C);=
aux->step_profile[index];(internal_time + dt> T)= T - internal_time +
1.0e-9;(dt);_time+=dt;
}
}
void TImagingPoint::DoFullStep(double dt)
{
// ============ оптическая накачка системы
===============(!is_excited)(dt);
// ========= диффузия вдоль координаты реакции ===========
DoQStep(dt);
// ============= колебательнаярелаксация
================(parameters->is_relaxation)(term == gr_term)(v_quantum !=
0)(isVRelax(dt))_quantum--;
// =========== пропускаемобратныепереходы ==============(!parameters->is_reversible)(term
== gr_term) return;
// ======== электронные переходы между термами
===========(isSurfaceHop(dt))
{(term == ct_term)
{=
gr_term;>num_hops_all[forw]++;(v_quantum==aux->strongest_sink)>num_hops_central[forw]++;
}
{= ct_term;_quantum =
0;>num_hops_all[back]++;(v_quantum==aux->strongest_sink)>num_hops_central[back]++;
}
}
}
void TImagingPoint::DoExcite(double dt)
{A = -log(1.0-parameters->pump_depth);=
parameters->lambda_lf*fabs(aux->saddle_x[0]-cur_x);= parameters->tau_exc*(dU
- parameters->omega_exc)/hbar;= exp(-2*dE*dE);arg_1 = (internal_time -
parameters->t_exc)/M_SQRT2/parameters->tau_exc;erf_1 = erf(arg_1);arg_2 =
(internal_time +
dt -
parameters->t_exc)/M_SQRT2/parameters->tau_exc;erf_2 = erf(arg_2);action
= 0.5*Sw*A*(erf_2-erf_1);p = exp(-action);
//exc_sum *= p;r = uniform_random();(r>p)
{_excited = true;= ct_term;
}
}
void TImagingPoint::DoQStep(double dt)
{K1 = exp(-dt/parameters->tau_l);K2 = sqrt(
aux->disp_x*(1.0-K1*K1) );_x = cur_x;(term == gr_term)_x = prev_x*K1 +
RandG(0,1)*K2; //gaussian_random()_x = 2. + (prev_x-2.)*K1 +
RandG(0,1)*K2;
}
::isSurfaceHop(double dt)
{(int quantum = 0; quantum < aux->num_hf_terms;
quantum++)
{((cur_x-aux->saddle_x[quantum])*(prev_x-aux->saddle_x[quantum])<0.)
{((term == gr_term)&&(quantum != v_quantum))
continue;
v = fabs(cur_x-prev_x)/dt;exponent = aux->k0[quantum]/v;p
= exp(-exponent);
(term == ct_term)
{>num_cross_all[forw]++;(quantum==aux->strongest_sink)
{>num_cross_central[forw]++;>average_p[forw] =
state->average_p[forw]*(state->num_cross_central[forw]-1.0)
/ (double)state->num_cross_central[forw] +
p/(double)state->num_cross_central[forw];
}
}
{>num_cross_central[back]++;>average_p[back] =
state->average_p[back]*
(state->num_cross_central[back]-1.0)
/ (double)state->num_cross_central[back] +
p/(double)state->num_cross_central[back];
}
}
r1 = uniform_random();(r1>p)
{_quantum = quantum;true;
}
}
}false;
}
::isVRelax(double dt)
{(5.*parameters->tau_v<dt)true;=
exp(-dt/parameters->tau_v);r1 = uniform_random();(r1 >ps);;
}