Исследование точности оценки функции дожития с помощью оценки Каплана-Мейера и формулы Гринвуда
Содержание
Введение
. Исследование точности оценки
функции дожития с помощью оценки Каплана-Мейера и формулы Гринвуда
.1 Задание
.2 Оценка Каплана-Мейера и формула
Гринвуда
.3 Доверительный интервал
выживаемости
. Программа-функция
Заключение
Список используемой литературы
Введение
Целью данной работы является создание
программы-функции на MATLAB для исследования точности оценки функции дожития с
помощью оценки Каплана-Мейера и формулы Гринвуда. Данный метод -
непараметрический. Он является полезным не только как гибкий альтернативный
метод по отношению к параметрическим, но и при применении графических методов
проверки согласия для сложных моделей. Термин «таблица времени жизни
(наработок)» часто используется для непараметрического оценивания функции надежности
по цензурированным данным.
1. Исследование точности оценки
функции дожития с помощью оценки Каплана-Мейера и формулы Гринвуда
.1 Задание
Исходные данные.
Параметр экспоненциального
распределения
, n - объём
независимой случайной выборки длительностей, имеющих экспоненциальное
распределение, m - число цензурированных данных.
Задание.
· Описать теоретические основы построения
непараметрической оценки функции дожития (оценка Каплана-Мейера) и вычисления
95% доверительного интервала с использованием формулы Гринвуда.
· Написать требуемую программу-функцию на MATLAB,
предусмотрев ввод параметров
, n и m через
формальные параметры функции, генерирование независимой случайной выборки
объёма n
длительностей, имеющих экспоненциальное распределение с параметром
,
независимое цензурирование (случайное «удаление» из выборки m элементов),
построение и вывод на экран точной функции дожития и оценки Каплана-Мейера с
95% доверительными интервалами в фиксированных точках, рассчитанных с помощью
формулы Гринвуда.
· Провести вычисления для значений параметров
|
Вариант
|
1
|
2
|
3
|
|
0.10.10.10.010.010.010.50.50.5
|
|
|
|
|
|
|
|
|
|
|
n
|
10
|
50
|
150
|
10
|
50
|
150
|
10
|
50
|
150
|
|
m
|
0
|
5
|
15
|
0
|
5
|
15
|
0
|
5
|
15
|
1.2 Оценка
Каплана-Мейера и формула Гринвуда
Этот метод был придуман
статистиками Е.Л. Капланом и П. Мейером. Метод используется для вычисления
различных величин, связанных с временем наблюдения за пациентом. Примеры таких
величин:
· вероятность
выздоровления в течении одного года при применении лекарственного препарата
· шанс возникновения
рецидива после операции в течении трёх лет после операции
· кумулятивная
вероятность выживания в течение пяти лет среди пациентов с раком простаты при
ампутации органа
Поясним преимущества
использования метода Каплана - Мейера.
Значение величин при «обычном»
анализе (не использующем метод Каплана-Мейера) рассчитываются на основе
разбиения рассматриваемого временного интервала на промежутки.
Например, если мы исследуем
вероятность смерти пациента в течение 5 лет, то временной интервал может быть
разделён как на 5 частей (менее 1 года, 1-2 года, 2-3 года, 3-4 года, 4-5 лет),
так и на 10 (по полгода каждый), или на другое количество интервалов.
Результаты же при разных разбиениях получатся разные.
Процедура Каплана-Мейера или
процедура выживания (англ. Kaplan-Meier estimator) оценивает функцию
выживаемости
<#"550606.files/image002.gif"> -
моменты времени.
Экспоненциальный закон:
- оценка функции надежности.
где
-
число объектов, наблюдаемых в момент
,
- число объектов,
отказавших в момент
.
В
входят
все объекты, цензурированные в момент
.
Тогда формула для логарифма правдоподобия следующая:
Из этой формулы следует вывести формулу для
.
А для вероятности неудачного исхода:
Оценка максимального правдоподобия:
Оценка
формально
не зависит от выборки точек
(если при этом
сохраняется их порядок и значения не превышают t),
в которых наблюдаемое число отказов равно нулю. Обычно
называют
множительной оценкой Каплана-Мейера.
Для каждого момента времени
оценим вероятность пережить этот момент. Такой оценкой будет отношение числа
переживших этот момент к числу наблюдавшихся к этому моменту. Тогда, согласно
правилу умножения вероятностей, перемножая вероятности выживания в каждом
интервале, в результате преобразований:
Следовательно, оценка функции
дожития вычисляется по формуле:
Где
-
число объектов, доживающих до момента времени
,
исключая выбывших,
- число объектов,
для которых произошёл исход в момент времени
,
- вероятность
исхода.
Заметим, что можно перемножать
значения только для тех моментов времени, когда произошёл хотя бы один исход,
потому что, если
=0, то
=
1, а умножение на единицу никак результат не меняет.
Данная оценка функции дожия,
называемая множительной оценкой, впервые была предложена Капланом и Мейером
(1958).
1.3 Доверительный
интервал выживаемости
дожитие каплан
доверительный интервал
Оценку точности приближения
кривой выживаемости дает стандартная ошибка выживаемости, ее можно рассчитать
по формуле Гринвуда.
Формула Гринвуда:
Симметричный доверительный
интервал:
Доверительный интервал
<#"550606.files/image030.gif"> с доверительной вероятностью
определяется
так:
,
где
= 1.96 - квантиль нормального
распределения. Обычно берётся 95% доверительный интервал
<#"550606.files/image034.gif">
Преимущество метода Каплана-Мейера (по сравнению
с методом таблиц жизни) состоит в том, что оценки не зависят от разбиения
времени наблюдения на интервалы, т.е. от группировки. Метод множительных оценок
и метод таблиц времен жизни приводят, по существу, к одинаковым результатам,
если временные интервалы содержат, максимум, по одному наблюдению.
Выбор наиболее подходящего
разбиения - непростая задача. Оценки значений величин, полученных по методу
Каплана- Мейера не зависят от разбиения времени наблюдения на интервалы, а
зависят только от времени жизни каждого отдельного пациента. Поэтому
исследователю проще проводить анализ, да и результаты нередко оказываются
качественней результатов «обычного» анализа.
2. Программа-функция
k2(lambda,n,m)%входные параметры
a=exprnd((1/lambda),1,n);%выборка=
sort(a);
a1=a;=randperm(n);%временная переменная для
цензурированияm>0(t(1:m))=[];%цензурирование
end
for
j=1:(n-m)
r(j)=sum(a>=a1(j));%число
отработавших элементов
end(1)=1;(1)=1;j=1:(n-m)
s(j+1)=(s(j))*(1-(1/r(j)));%ф-ия дожития
Каплана-Мейера
t1(j)=1/(r(j)*(r(j)-1));t1(j)==Inf(j)=t1(j-1);=[0,a1];=0:0.1:10;=0.5;=exp(-lambda*t2);(t2,s1,'m');%изображение
графика функции дожития
sigma=s*sqrt(sum(t1));%оценка
точности по ф-ле Гринвуда
hold
on(a2,sigma)(1)=[];=(t1)./(log(s).^2);=log(-log(s))-1.96.*sqrt(v);=log(-log(s))+1.96.*sqrt(v);
c1=exp(-exp(b2));%нижний предел доверительного
интервала=exp(-exp(b1));%верхний предел доверительного интервала
stairs(a1,c1,'r-')%изображение
нижнего предела доверительного интервала
stairs(a1,c2,'g-')%изображение
верхнего предела доверительного интервала
xlabel('t')%подпись
оси x
ylabel('S(t)')%подпись
оси y
Вычисления для значений параметров
|
λ
|
0.5
|
0.5
|
0.5
|
|
n
|
10
|
50
|
150
|
|
m
|
0
|
5
|
15
|
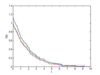
Графики точной функции дожития для значений
параметров λ, n,
m и оценки
Каплана-Мейера с 95% доверительными интервалами в фиксированных точках,
рассчитанных с помощью формулы Гринвуда.
. Графики: S
(изображен
светло-синим цветом), нижний и верхний интервалы для S(t)
(показаны желтым и зелеными цветами соответственно) и оценка точности по
формуле Гринвуда (показана синим цветом), при значениях λ=0.5,
n=10, m=0 (рис. 1).
Рис. 1
. Графики: S
(изображен
светло-синим цветом), нижний и верхний интервалы для S(t)
(показаны желтым и зелеными цветами соответственно) и оценка точности по
формуле Гринвуда (показана синим цветом), при значениях λ=0.5,
n=50,
m=5 (рис. 2).
Рис. 2
. Графики: S
(изображен
светло-синим цветом), нижний и верхний интервалы для S(t)
(показаны желтым и зелеными цветами соответственно) и оценка точности по
формуле Гринвуда (показана синим цветом), при значениях λ=0.5,
n=150, m=15 (рис. 3)

Заключение
В данной курсовой работе были подробно изложены
метод Каплана-Мейера и использование формулы Гринвуда. Также было выполнено
задание построение графиков с помощью программы Matlab.
Список используемой литературы
1.
Д.Р. Кокс, Д. Оукс. Анализ типа времени жизни - Москва «Финансы и статистика»,
1988. - 191 стр.
.
Анохин Л.В. Медицинская статистика / Л.В. Анохин, Г.А. Пономарева, О.Е.
Коновалов, С.Н. Рубцов, О.В. Медведева. - Рязань, 2002.
.
http://www.machinelearning.ru
.
Михальский А.И. Лекции по компьютерным технологиям в медико-биологических
системах. - Москва, 2012.