Особенности памяти дошкольника и младшего школьника
СОДЕРЖАНИЕ
Введение
Глава 1. Теоретическая часть
1.1 Общая характеристика памяти
1.2 Виды памяти
.3 Теория формирования и развития памяти
.4 Особенности памяти дошкольника
.5 Развитие памяти в младшем школьном возрасте
Глава 2. Методики исследования
2.1 Организация исследования
.2 Опросник для проверки памяти "Память на числа"
2.3 Методика А.Р. Лирия " Заучивание слов"
2.4 Результаты исследования
Выводы
Заключение
Литература
Приложение
ВВЕДЕНИЕ
Тема нашей дипломной работы "Особенности памяти дошкольника и
младшего школьника".
Проблемой памяти занимались многие отечественные ученые: Л.С. Выготский,
А.Р. Лурия, А.Н. Леонтьев, Б.В. Зейгарнак, П.И. Зинченко, А.А. Смирнов, З.М.
Истомина, П.Я. Гальперин и другие.
Л.С. Выготский писал: "Память в раннем детском возрасте - одна из
центральных, основных психических функций, в зависимости от которых строятся
все остальные функции".
П.И. Зинченко, изучая влияние мотивов деятельности на эффективность
непроизвольного запоминания, выяснил, что в старшем дошкольном возрасте игровые
мотивы повышают эффективность непроизвольного запоминания".
Детальное исследование возникновения и развития форм опосредованного
запоминания, то есть запоминания с использованием определенных средств, было
проведено А.Н. Леонтьевым.
Тема эта, вне всякого сомнения, актуальна, так как память играет очень
большую роль в жизни любого индивидуума. Она не только служит базой для
сознания и мышления. Даже восприятие окружающей действительности невозможно без
участия памяти. Проснувшись утром мы, не прилагая особых усилий, заставляем
активно функционировать свою память, даже не подозревая об этом. Она услужливо
выдает поток информации, необходимой нам для восприятия окружающего мира. Мы
знаем, как зовут нас, где мы живем, где мы работаем, кто наши родители, наше
семейное положение, сколько нам лет, кого мы любим, кого ненавидим, что мы
собирались делать с утра и т.п. Без постоянной работы памяти мы не поймем, о
чем говорит собеседник, ведь для того, чтобы понять, что он говорит (не
запомнить, а только понять) мы должны вспомнить значение каждого слова, которое
он произносит.
Таким образом, память активно функционирует для восприятия смысла
сказанного, хотя мы осознаем работу памяти лишь при попытке запомнить
сказанное.
В связи со сказанным возникает вопрос: все ли мы делаем для того, чтобы у
каждого могла сформироваться хорошая память? На сегодняшний день ответ скорее
отрицательный. Данные, накопленные в процессе изучения механизмов,
ответственных за формирование памяти, указывают, что память каждого человека
может в значительной мере быть улучшена, у каждого есть огромные резервы,
которые часто остаются невостребованными на протяжении всей его жизни.
Перед началом исследования нами была поставлена цель: доказать или
опровергнуть достоверность выдвинутой нами гипотезы о наличии взаимосвязи
зрительной и слуховой памяти у детей дошкольного и младшего школьного возраста.
Для достижения поставленной цели мы определили для себя следующие задачи:
.Провести анализ психолог - педагогической литературы по проблеме исследования.
.Исследовать особенности развития свойств памяти у дошкольников и младших
школьников.
.Определить психологические условия, способствующие развитию основных
свойств памяти дошкольников и младших школьников.
Предметом нашего исследования являются свойства памяти дошкольника и
младшего школьника.
Объектом исследования выступали дошкольники детского сада п.
Новониколаевский и младшие школьники средней общеобразовательной школы п.
Новониколаеский в количестве 40 человек.
Для достижения результатов исследования нами были отобраны следующие
методики:
.Опрсник для проверки памяти "Память на числа".
а) зрительная
б) слуховая
Методика А.Р. Лурия "Заучивание слов".
.Вычисление по Стьюденту.
Работа выполнена на листах. Работа состоит из 2 глав, введение, заключения,
выводов, списка литературы и приложения.
ГЛАВА 1. ТЕОРЕТИЧЕСКАЯ ЧАСТЬ
.1 Понятие и характеристика памяти
Впечатления, которые человек получает об окружающем мире,
оставляют определенный след, сохраняются, закрепляются, а при необходимости и
возможности - воспроизводятся. Эти процессы называются памятью. "Без
памяти, - писал С.Л. Рубинштейн, - мы были бы существами мгновения. Наше
прошлое было бы мертво для будущего. Настоящее, по мере его протекания,
безвозвратно исчезало бы в прошлом".[31]
Память лежит в основе способностей человека, является
условием научения, приобретения знаний, формирования умений и навыков. Без
памяти невозможно нормальное функционирование ни личности, ни общества.
Благодаря своей памяти, ее совершенствованию человек выделился из животного
царства и достиг тех высот, на которых он сейчас находится. Да и дальнейший
прогресс человечества без постоянного улучшения этой функции немыслим.
Память можно определить как способность к получению, хранению
и воспроизведению жизненного опыта. Разнообразные инстинкты, врожденные и
приобретенные механизмы поведения есть не что иное, как запечатленный,
передаваемый по наследству или приобретаемой в процессе индивидуальной жизни
опыт. Без постоянного обновления такого опыта, его воспроизводства в подходящих
условиях живые организмы не смогли бы адаптироваться к текущим быстро
меняющимся событиям жизни. Не помня о том, что с ним было, организм просто не
смог бы совершенствоваться дальше, так как -то, что он приобретает, не с чем
было бы сравнивать, и оно бы безвозвратно утрачивалось.
Память есть у всех живых существ, но наиболее высокого уровня
своего развития она достигает у человека. Такими мнемическими возможностями,
какими обладает он, не располагает никакое другое живое существо в мире. У дочеловеческих
организмов есть только два вида памяти: генетическая и механическая. Первая
проявляется в передаче генетическим путем из поколения в поколение жизненно
необходимых биологических, психологических и поведенческих свойств. Вторая
выступает в форме способности к научению, к приобретению жизненного опыта,
который иначе, как в самом организме, нигде сохраняться не может и исчезает
вместе с его уходом из жизни. Возможности для запоминания у животных ограничены
их органическим устройством, они могут, помнить и воспроизводить лишь то, что
непосредственно может быть приобретено методом условно-рефлекторного,
оперативного или викарного научения, без использования каких бы то ни было
мнемических средств.
У человека есть речь как мощное средство запоминания, способ
хранения информации в виде текстов и разного рода технических записей. Ему нет
необходимости полагаться только на свои органические возможности, так как
главные средства совершенствования памяти и хранения необходимой информации
находятся вне его и одновременно в его руках: он в состоянии совершенствовать
эти средства практически бесконечно, не меняя своей собственной природы. У
человека, наконец, есть три вида памяти, гораздо более мощных и продуктивных,
чем у животных: произвольная, логическая и опосредствованная. Первая связана с
широким волевым контролем запоминания, вторая - с употреблением логики, третья
- с использованием разнообразных средств запоминания, большей частью
представленных в виде предметов материальной и духовной культуры.
Более точно и строго, чем это сделано выше, память человека
можно определить как психофизиологический и культурный процессы, выполняющие в
жизни функции запоминания, сохранения и воспроизведения информации. Эти
функции являются для памяти основными. Они различны не только по своей
структуре, исходным данным и результатам, но и по тому, что у разных людей
развиты неодинаково. Есть люди, которые, например, с трудом запоминают, но зато
неплохо воспроизводят и довольно долго хранят в памяти запомненный ими материал.
Это индивиды с развитой долговременной памятью. Есть такие люди, которые,
напротив, быстро запоминают, но зато и быстро забывают то, что когда-то
запомнили. У них более сильны кратковременный и оперативный виды памяти.
Таким образом, под памятью понимают свойство живых систем, в частности,
центральной нервной системы (ЦНС), воспринимать, фиксировать, хранить и
воспроизводить следы ранее действующих раздражителей. [30] Память характерна не
только для ЦНС; существует генетическая память, иммунная память.
Вот последовательность фаз памяти: восприятие, концентрация, фиксация,
повторение, забывание и припоминание. Её смысл состоит в том, что информация
хранится таким образом, чтобы быть использованной в случае необходимости сразу
же.
.2 Виды памяти
При выделении процессов памяти в качестве основания рассматривают
различные функции, выполняемые памятью в жизни и деятельности. К процессам
памяти относят запоминание, воспроизведение, а также сохранение и
забывание материала.
Деятельность памяти начинается с запоминания, т.е. с закрепления тех
образов и впечатлений, которые возникают в сознании под воздействием предметов
и явлений действительности в процессе ощущения и восприятия.
Таким образом, запоминание можно определить как процесс памяти, в
результате которого происходит закрепление нового путем связывания его с
приобретенным ранее.
В зависимости от места процессов запоминания в структуре деятельности
различают произвольное и непроизвольное запоминание. В случае непроизвольного
запоминания человек не ставит перед собой задачу запомнить тот или иной
материал. Связанные с памятью процессы выполняют здесь операции, обслуживающие
другие действия. В результате запоминание носит относительно непосредственный
характер и осуществляется без специальных волевых усилий, предварительного
отбора материала и сознательного применения каких-либо мнемонических приемов.
Произвольное запоминание является специальным действием, конкретная
задача которого - запомнить точно, на максимально продолжительный срок, с целью
последующего воспроизведения или просто узнавания - определяет выбор
способов и средств запоминания, а тем самым влияет и на его результаты.
Сохранение - это удерживание заученного в памяти, т.е. сохранение следов
и связей в мозгу. Различают активное и пассивное сохранение. В первом случае
удерживаемый материал подвергается внутренним преобразованиям, от простого
циклического повторения до включения в системы новых семантических связей,
резко увеличивающего вероятность его последующего воспроизведения, во втором
случае подобных активных преобразований обнаружить не удается.
Забывание - исчезновение, выпадение из памяти, т.е. процесс угасания,
ликвидации, "стирания" следов, затормаживания связей.
Забывание впервые исследовалось Г. Эббингаузом (1885), экспериментально
установившим временную зависимость сохранения в памяти бессмысленного
вербального материала. Последующие исследования показали, что темп забывания
зависит: от объема запоминаемого материала, от осознанности, от сходства
запоминаемого и интерферирующего материала, от степени значимости запоминаемого
материала и включенности его в деятельность субъекта и т.д.[15]
Результаты запоминания и сохранения проявляются в узнавании и
воспроизведении.
Воспроизведение - процесс появления в сознании представлений памяти,
ранее воспринятых мыслей, осуществление заученных движений, в основе чего лежит
оживление следов, возникновение в них возбуждения Узнавание - появление чувства
знакомости при повторном восприятии (благодаря наличию слабого, минимального
следа, который остался в коре головного мозга после предыдущего восприятия).
Воспроизведение в отличие от узнавания характеризуется тем, что образы,
закреплённые в памяти, актуализируются без опоры на вторичное восприятие тех
или иных объектов. Физиологически это означает наличие различных следов -
стойких, прочных (воспроизведение) или слабых, нестойких и непрочных
(узнавание).
Припоминание - наиболее активное воспроизведение, связанное с напряжением
и требующее определённых волевых усилий.
Формы проявления памяти чрезвычайно многообразны. Объясняется это тем,
что память обслуживает все виды многообразной деятельности человека.
В основу видовой классификации памяти положены три основных критерия:[39,
с. 83.]
) объект запоминания, т.е. то, что запоминается. Это предметы и явления,
мысли, движения, чувства. Соответственно этому различают такие виды памяти, как
образная, словесно-логическая, двигательная и эмоциональная;
2) степень волевой регуляции памяти. С этой точки зрения различают
произвольную и непроизвольную память;
) длительность сохранения в памяти. В данном случае имеют в виду
кратковременную, долговременную и оперативную память.
Таким образом, мы видим, что все виды памяти различают в зависимости от
того, что запоминается и насколько долго помнится.
Образная память - это память на представления, на картины природы и
жизни, а также на звуки, запахи, вкусы. Она бывает зрительной, слуховой,
осязательной, обонятельной, вкусовой. Если зрительная и слуховая память обычно
хорошо развиты и играют ведущую роль в жизненной ориентировке всех нормальных
людей, то осязательную, обонятельную и вкусовую память в известном смысле можно
назвать профессиональными видами: как и соответствующие ощущения, эти виды
памяти особенно интенсивно развиваются в связи со специфическими условиями
деятельности
Содержанием словесно-логической памяти являются наши мысли. Мысли
не существуют без языка, поэтому память на них и называется не просто
логической, а словесно - логической.
В словесно-логической памяти главная роль принадлежит второй сигнальной
системе. Этот вид памяти является специфически человеческим видом, в отличие от
двигательной, эмоциональной и образной, которые в своих простейших формах
свойственны и животным. Опираясь на развитие других видов памяти,
словесно-логическая память становиться ведущей по отношению к ним, и от ее
развития зависит развитие всех других видов памяти. Она играет ведущую роль в
усвоении знаний в процессе обучения.
Двигательная память - это запоминание, сохранение и воспроизведение
различных движений и их систем. Огромное значение этого вида памяти состоит в
том, что она служит основой для формирования различных практических и трудовых
навыков, равно как и навыков ходьбы, письма и т.д. Без памяти на движения мы
должны были бы каждый раз учиться сначала осуществлять те или иные действия.
В зависимости от целей деятельности память делят на непроизвольную и
произвольную.
Запоминание и воспроизведение, в котором отсутствует специальная цель
что-то запомнить или припомнить, называется непроизвольной памятью. В тех
случаях, когда мы ставим такую цель, говорят о произвольной
памяти. В последнем случае процессы запоминания и воспроизведения выступают как
специальные, мнемические действия.
Память долговременная - подсистема памяти, обеспечивающая
продолжительное (часы, годы, иногда десятилетия) удержание знаний, а также
сохранение умений и навыков и характеризуемая огромным объектом сохраняемой
информации. Основным механизмом ввода данных в память долговременную и их
фиксации обычно считается повторение, которое осуществляется на уровне кратковременной
памяти.
В отличие от долговременной памяти, для которой характерно длительное
сохранение материала после многократного его повторения и воспроизведения,
кратковременная память характеризуется очень кратким сохранением после
однократного очень непродолжительного восприятия и немедленным
воспроизведением.
Долговременное запоминание становится возможным только при втором виде
повторения, сопровождающемся включением удерживаемого материала в систему
ассоциативных связей. В отличие от долговременной памяти, в кратковременной
памяти может храниться лишь очень ограниченное количество информации.
Кроме того, выделяют в отдельный вид памяти - оперативную память.
Оперативной памятью называют запоминание каких-то сведений, данных на время,
необходимое для выполнения операции, отдельного акта деятельности. Например, в
процессе получения результата удерживать в памяти действия необходимо до
промежуточной операции, которые в дальнейшем могут быть забыты. Последнее
обстоятельство очень важно - использованную информацию, утратившую свою
значение, помнить нерационально - ведь операционная память должна быть
заполнена новой информацией, необходимой для текущей деятельности.[4, с.58.]
В онтогенезе все виды памяти формируются у ребенка довольно рано и также
в определенной последовательности. Начало образной памяти связывается со вторым
годом жизни, и считается, что этот вид памяти достигает своей высшей точки
только к юношескому возрасту. Ранее других, около 6 месяцев от роду, начинает
проявлять себя аффективная память, а самая первая по времени - это моторная,
или двигательная, память. В генетическом плане она предшествует всем остальным.
Так считал П.П. Блонский.[39, с. 43.]
Однако многие данные, в частности факты, свидетельствующие о весьма
ранней онтогенетической эмоциональной откликаемости младенца на обращение
матери, говорят о том, что, по-видимому, раньше других начинает действовать
аффективная, а не двигательная память. Вполне может быть, что они появляются и
развиваются практически одновременно. Во всяком случае, окончательного ответа
на данный вопрос пока не получено.
Под несколько иным углом зрения рассматривал историческое развитие памяти
человека Л.С. Выготский. Он считал, что совершенствование памяти человека в
филогенезе шло главным образом по линии улучшения средств запоминания и
изменения связей мнемической функции с другими психическими процессами и
состояниями человека. Исторически развиваясь, обогащая свою материальную и
духовную культуру, человек вырабатывал все более совершенные средства запоминания,
наиболее важным из которых является письмо. (В течение XX в., уже после ухода
Л.С. Выготского из жизни, к ним добавилось множество других, весьма эффективных
средств запоминания и хранения формации, особенно в связи с научно-техническим
прогрессом.) Благодаря различным формам речи - устной, письменной, внешней,
внутренней - человек оказался способным подчинить память своей воле, разумно
контролировать ход запоминания, управлять процессом сохранения и
воспроизведения информации.
Память по мере своего развития все более сближалась с мышлением.
"Анализ показывает, - писал Л. С. Выготский, - что мышление ребенка во
многом определяется его памятью... Мыслитъ для ребенка раннего возраста -
значит вспоминать... Никогда мышление не обнаруживает такой корреляции с
памятью, как в самом раннем возрасте. Мышление здесь развивается в
непосредственной зависимости от памяти".[39, с.161 Выготский Л.С.]
Исследование форм недостаточно развитого детского мышления, с другой стороны,
обнаруживает, что они представляют собой припоминание по поводу одного частного
случая аналогично случаю, имевшему место в прошлом.
Решающие события в жизни человека, изменяющие отношения между памятью и
другими его психологическими процессами, происходят ближе к юношескому
возрасту, причем по своему содержанию эти изменения порой противоположны тем,
которые существовали между памятью и психическими процессами в ранние годы.
Например, отношение "мыслить - значит припоминать" с возрастом у
ребенка заменяется на отношение, согласно которому само запоминание сводится к
мышлению: "запомнить или вспомнить - значит понять, осмыслить,
сообразить".
Специальные исследования непосредственного и опосредствованного
запоминания в детском возрасте провел А.Н. Леонтьев. Роль мнемотехнических
средств в совершенствовании памяти, по его мнению, состоит в том, что,
"обращаясь к употреблению вспомогательных средств, мы тем самым изменяем
принципиальную структуру нашего акта запоминания; прежде прямое,
непосредственное наше запоминание становится опосредствованным".[39, с.
166 Леонтьев А.Н.]
В формировании внутренних средств запоминания центральная роль
принадлежит речи. "Можно предположить, - замечает А.Н. Леонтьев, - что
самый переход, совершающийся от внешне опосредствованного запоминания к
запоминанию, внутренне опосредствованному, стоит в теснейшей связи с
превращением речи из чисто внешней функций в функцию внутреннюю".[39, с.
167 Леонтьев А.Н.]Таким образом, процесс совершенствования памяти человека идет
рука об руку с развитием его речи.
1.3 Теории формирования и развития памяти
В развитии памяти в целом можно выделить две генетические линии: ее
совершенствование у всех без исключения цивилизованных людей по мере
общественного прогресса и ее постепенное улучшение у отдельно взятого индивида
в процессе его социализации, приобщения к материальным и культурным достижениям
человечества.
Существенный вклад в понимание филогенетического развития памяти внес
П.П. Блонский. Он высказал и развил мысль о том, что различные виды памяти,
представленные у взрослого человека, являются также разными ступенями ее
исторического развития, и их, соответственно, можно считать филогенетическими
ступенями совершенствования памяти.[ 39] Это относится к следующей
последовательности видов памяти: двигательная, аффективная, образная и логическая.
П.П. Блонский высказал и обосновал мысль о том, что в истории развития
человечества эти виды памяти последовательно появлялись один за другим.
В онтогенезе все виды памяти формируются у ребенка довольно рано и также
в определенной последовательности. Позже других складывается и начинает
работать логическая память, или, как ее иногда называл П.П. Блонский,
"память-рассказ". Она имеется уже у ребенка 3-4 -летнего возраста в
сравнительно элементарных формах, но достигает нормального уровня развития лишь
в подростковом и юношеском возрасте. Ее совершенствование и дальнейшее
улучшение связаны с обучением человека основам наук.
Начало образной памяти связывается со вторым годом жизни, и считается,
что этот вид памяти достигает своей высшей точки только к юношескому возрасту.
Ранее других, около 6 месяцев от роду, начинает проявлять себя аффективная
память, а самая первая по времени - это моторная, или двигательная память. В
генетическом плане она предшествует всем остальным. Так считал П.П. Блонский.[
39,с.43]
Однако многие данные, в частности факты, свидетельствующие о весьма
ранней онтогенетической эмоциональной откликаемости младенца на обращение
матери, говорят о том, что, по- видимому, раньше других начинает действовать
аффективная, а не двигательная память. Вполне может быть, что они появляются и
развиваются практически одновременно. Во всяком случае, окончательного ответа
на данный вопрос пока не получено.
Под несколько иным углом зрения рассматривал историческое развитие памяти
человека Л.С. Выготский. Он считал, что совершенствование памяти человека в
филогенезе шло главным образом по линии улучшения средств запоминания и
изменения связей мнемической функции с другими психическими процессами и
состояниями человека. Исторически развиваясь, обогащая свою материальную и
духовную культуру, человек вырабатывал все более совершенные средства
запоминания, наиболее важным из которых является письмо. (В течение ХХ в., уже
после ухода Л.С. Выготского из жизни, к ним добавилось множество других, весьма
эффективных средств запоминания и хранения формации, особенно в связи с
научно-техническим прогрессом.) Благодаря различным формам речи - устной,
письменной, внешней, внутренней - человек оказался способным подчинить память
своей воле, разумно контролировать ход запоминания, управлять процессом
сохранения и воспроизведения информации.
Память по мере своего развития все более сближалась с мышлением.
"Анализ показывает,- писал Л.С. Выготский,- что мышление ребенка во многом
определяется его памятью… Мыслить для ребенка раннего возраста - значит
вспоминать…. Никогда мышление не обнаруживает такой корреляции с памятью как в
самом раннем возрасте. Мышление здесь развивается в непосредственной
зависимости от памяти".[39, с.161 Выготский Л.С]. Исследование форм
недостаточно развитого детского мышления, с другой стороны, обнаруживает, что
они представляют собой припоминание по поводу одного частного случая аналогично
случаю, имевшему место в прошлом.
Решающие события в жизни человека, изменяющие отношения между памятью и
другим его психологическими процессами, происходят ближе к юношескому возрасту,
причем по своему содержанию эти изменения порой противоположны тем, которые
существовали между памятью и психическими процессами в ранние годы. Например,
отношение "мыслить - значит припоминать" с возрастом у ребенка
заменяется на отношение, согласно которому само запоминание сводится к
мышлению: "запомнить или вспомнить- значит понять, осмыслить,
сообразить".
Специальные исследования непосредственного и опосредствованного
запоминания в детском возрасте провел А.Н.Леонтьев. Он экспериментально
показал, как один мнемический процесс - непосредственное запоминание- с
возрастом постепенно замещается другим, опосредствованным. Это происходит
благодаря усвоению ребенком более совершенных стимулов- средств запоминания и
воспроизведения материала. Роль мнемотехнических средств в совершенствовании
памяти, по мнению А.Н.Леонтьева, состоит в том, что, "обращаясь к
употреблению вспомогательных средств, мы тем самым изменяем принципиальную структуру
нашего акта запоминания; прежде прямое, непосредственное наше запоминание
становится опосредствованным". [39,с.166 Леонтьев. А.Н]
Само развитие стимулов-средств для запоминания подчиняется следующей
закономерности: сначала они выступают как внешние (например, завязывание
узелков на память, использование для различных предметов, зарубок, пальцев рук
и т.п.), а затем становится внутренними (чувство, ассоциация, представление,
мысль, образ).
В формировании внутренних средств запоминания центральная роль принадлежит
речи. "Можно предположить, - замечает А.Н. Леонтьев, - что самый переход,
совершающийся от внешне опосредованного запоминания к запоминанию, внутренне
опосредованному, стоит в теснейшей связи с превращением речи из чисто внешней
функций в функцию внутреннюю".
На основе опытов, проведенных с детьми разного возраста и со студентами в
качестве испытуемых, А.Н. Леонтьев вывел кривую развития непосредственного и
опосредованного запоминания. Эта кривая, получившая название
"параллелограмм развития памяти", показывает, что у дошкольников с
возрастом улучшается непосредственное запоминание, причем его развитие идет
быстрее, чем развитие опосредованного запоминания. Параллельно с этим
увеличивается разрыв в продуктивности данных видов запоминания в пользу первого.
Начиная со школьного возраста, идет процесс одновременного развития
непосредственного и опосредствованного запоминания, а затем и более быстрого
совершенствования опосредствованной памяти. Обе кривые с возрастом обнаруживают
тенденцию к сближению, так как опосредствованное запоминание, развиваясь более
быстрыми темпами, вскоре по продуктивности догоняет непосредственное и должно
его, в конечном счете, обогнать. В пользу последнего предположения говорит тот
факт, что взрослые люди, систематически занимающиеся умственным трудом и,
следовательно, постоянно упражняющие свою опосредствованную память, при желании
и при соответствующей умственной работе очень легко могут запомнить материал,
обладая вместе с тем удивительно слабой механической памятью.
Если у дошкольников запоминание в основном непосредственное, то у
взрослого оно главным образом (а может быть, даже исключительно в силу
сделанного выше предположения) опосредствованное.
Существенную роль в развитии памяти играет речь, поэтому процесс
совершенствования памяти человека идет рука об руку с развитием его речи.
1.4 Особенности памяти дошкольника
Дошкольный возраст является периодом интенсивного формирования психики на
основе тех предпосылок, которые сложились в раннем детстве. По всем линиям
психического развития возникают новообразования различной степени выраженности,
характеризующиеся новыми свойствами и структурными особенностями. Происходят
они благодаря многим факторам: речи и общению с взрослыми и сверстниками,
различным формам познания и включению в различные виды деятельности (игровые,
продуктивные, бытовые). Наряду с новообразованиями, в развитии
психофизиологических функций на основе индивидной организации возникают сложные
социальные формы психики, такие, как личность и ее структурные элементы
(характер, интересы и др.), субъекты общения, познания и деятельности и их
основные компоненты - способности и склонности. Одновременно происходит
дальнейшее развитие и социализация индивидной организации, в наибольшей
степени, выраженные на психофизиологическом уровне, в познавательных функциях и
психомоторике. Формируются новые психические функции, точнее, новые уровни,
которым благодаря усвоению речи становятся присущи новые свойства, позволяющие
ребенку адаптироваться к социальным условиям и требованиям жизни.[28, с.83]
Особенности памяти ребенка в первой половине дошкольного
детства состоят в преобладании образной памяти и в ее непроизвольном характере.
Запоминание и восстановление образов в памяти происходит в деятельности и
зависит от ее характера. Ребенок запоминает то, на что было обращено внимание в
деятельности, что было интересно и произвело на него впечатление. Младший
дошкольник еще не может поставить перед собой цель запомнить что-нибудь и тем
более не применяет для этого каких-либо специальных приемов. Когда детям трех
лет показывали картинки и предлагали одни из них рассмотреть, а другие
запомнить, дети вели себя совершенно одинаково. Обычно они бросали беглый
взгляд на картинку и сразу просили показать другую. Некоторые дети рассуждали по
поводу картинок ("Очки - здесь на глаза накладывают", "Это -
бабочка, называется червяк?"...). Никаких действий, помогающих запомнить
картинки, дети не выполняли.[23, с. 78]
Вместе с тем непроизвольное запоминание может быть в
дошкольном детстве очень точным, а то, что запомнилось, сохраняется в памяти
часто на долгие годы. Мы не помним событий, относящихся к раннему возрасту, но
сохраняем немало ярких воспоминаний о дошкольных годах.
Впервые произвольное запоминание начинает складываться в
среднем дошкольном возрасте, причем наиболее ранние его проявления наблюдаются
в условиях сюжетно-ролевой игры.
Произвольное запоминание, которым дети начинают овладевать в
среднем дошкольном возрасте, у старших дошкольников продолжает
оставаться главным образом механическим. Оно осуществляется при помощи
повторений, но от повторения вслух дети переходят к повторению шепотом или про
себя.
Однако в старшем дошкольном возрасте становится возможным и
усвоение детьми действий смыслового запоминания, основанного на
установлении содержательных связей между частями запоминаемого материала и
между запоминаемым материалом и элементами прошлого опыта, хранящимися в
памяти. Такое усвоение происходит только в условиях специального обучения.
Поскольку преобладающим видом памяти у старших дошкольников
остается образная память, наиболее подходящим материалом для использования в
смысловом запоминании в этом возрасте служат картинки. В одном исследовании
детей учили применять картинки для запоминания слов. Изображений предметов,
обозначаемых этими словами, на картинках не было. Дети учились устанавливать
связь по содержанию между словами и картинками, а потом, глядя на картинки,
вспоминать слова. Дошкольники сумели овладеть новым для них способом
запоминания.
К слову "дождь" выбиралась картинка с изображением
солнца. При этом давалось такое объяснение: "Когда светит солнце, дождя не
бывает". Или к слову "шишка" выбиралась картинка, на которой
нарисована белка. Дети говорили: "Белка питается зернышками от шишек".[5,
с.219]
Используя картинки, старшие дошкольники запоминали в 2,5-3
раза больше слов, чем без них. Значительно лучше, чем после простого
прослушивания слов, вспоминали эти слова дети и в случае, когда картинки, с
которыми устанавливались связи, затем убирались: при затруднениях дети вспоминали
картинку, а потом уже - связанное с ней слово.
До самого конца дошкольного детства основным видом
запоминания остается непроизвольное запоминание. К произвольному запоминанию
дети обращаются редко и главным образом по требованию взрослых.
Сравнительная успешность, продуктивность непроизвольного и
произвольного запоминания зависит от того, что дети делают с запоминаемым
материалом. Когда они просто рассматривают картинки, то запоминают их хуже, чем
при выполнении задания запомнить. Но когда те же картинки они раскладывают по
группам, обдумывая их и вникая в их смысл (например, кладут отдельно
изображения вещей, которые нужны для сада, кухни, детской комнаты, двора),
запоминание оказывается намного успешнее, чем при намерении запомнить. Таким
образом, при активной умственной работе над материалом его непроизвольное
запоминание дошкольниками оказывается продуктивнее произвольного.
У детей дошкольного возраста гораздо чаще, чем у взрослых,
обнаруживается "фотографическая", эйдетическая память. Дети с такой
памятью запоминают все, что они воспринимают или представляют себе, до
мельчайших подробностей. В дальнейшем, в школьные годы, эта способность чаще
всего исчезает, но у отдельных людей остается на всю жизнь.
Таким образом, в дошкольном возрасте образуются два основных
функциональных уровня памяти. Причем, высший социальный уровень начинает
подчинять себе низший, хотя в определенных условиях последний может сохранять
свою самостоятельность, проявляя свойства элементарного уровня. К первичному
уровню памяти относится узнавание, которое в дошкольном возрасте продолжает
интенсивно расти. Хотя узнавание и образные виды памяти относятся к наиболее
элементарным, индивидным характеристикам психики, их становление опосредуется
социальными факторами и, прежде всего, речевой функцией, поскольку объекты,
окружающие ребенка и сохраняющиеся в его памяти, имеют название, вербализованы,
а их запоминание начинает носить произвольный характер. Многочисленные
исследования памяти в дошкольном возрасте и в раннем детстве свидетельствуют о
том, что в процессе социализации интенсивно формируется новый социальный
уровень памяти с новым принципом функционирования. Теперь содержанием памяти
является вербальный осмысленный материал, а его механизмом - произвольное
регулирование процесса запоминания и воспроизведения. Трудность различения этих
уровней заключается в существовании разнообразных переходных форм проявления
социальности, т. е. степени участия вербальных компонентов и произвольного
механизма регулирования процессов памяти.[23,с.26]
Дошкольный возраст характеризуется интенсивным развитием
способности к запоминанию и воспроизведению. В самом деле, если нам трудно или
почти невозможно припомнить что-либо из событий раннего детства, то обсуждаемый
возраст уже оставляет много ярких воспоминаний. Прежде всего, это относится к
старшему дошкольному возрасту.
Память дошкольника в основном носит непроизвольный характер.
Это значит, что ребенок чаще всего не ставит перед собой осознанных целей
что-либо запомнить. Запоминание и припоминание происходят независимо от его
воли и сознания. Они осуществляются в деятельности и зависят от ее характера.
Ребенок запоминает то, на что было обращено его внимание в деятельности, что
произвело на него впечатление, что было интересно.
Качество непроизвольного запоминания предметов, картинок,
слов зависит от того, насколько активно ребенок действует по отношению к ним, в
какой мере происходят их детальное восприятие, обдумывание, группировка в
процессе действия. Так, при простом рассматривании картинок ребенок запоминает
гораздо хуже, чем в тех случаях, когда ему предлагают эти картинки разложить по
своим местам, например, отложить отдельно изображения предметов для сада,
кухни, детской комнаты, двора. Непроизвольное запоминание является косвенным,
дополнительным результатом выполняемых ребенком действий восприятия и мышления.
Произвольные формы запоминания и воспроизведения начинают
складываться в возрасте четырех-пяти лет. Наиболее благоприятные условия для
овладения произвольным запоминанием и воспроизведением создаются в игре, когда
запоминание является условием успешного выполнения ребенком взятой на себя
роли. Количество слов, которые запоминает ребенок, выступая, например, в роли
покупателя, исполняющего поручение купить в магазине определенные предметы,
оказывается выше, чем количество слов, запоминаемых по прямому требованию
взрослого.
В процессе коллективной игры ребенок, исполняя роль связного,
должен был передавать в штаб сообщения, состоящие из одинаковой начальной фразы
и нескольких надлежащим образом подобранных наименований отдельных предметов
(каждый раз, разумеется, других).
Самые маленькие дети, исполняя роль связного, не принимали ее
внутреннего содержания. Поэтому сплошь и рядом убегали выполнять поручение,
даже не выслушав его до конца.
Другие дети принимали содержание роли. Они были озабочены
тем, чтобы передать сообщение, но у них не было стремления запомнить его
содержание. Поэтому они выслушивали поручение, но явно не прилагали усилий для
того, чтобы его запомнить. Передавая же поручение, они не делали никаких
попыток активно припомнить забытое. На вопрос, а что еще нужно было передать,
они обычно просто отвечали: "Ничего, все".
Иначе вели себя старшие дети. Они не только выслушивали
поручение, но и пытались запомнить его. Иногда это выражалось в том, что,
выслушивая поручение, они шевелили губами и повторяли про себя сообщение на
пути к штабу. В ответ на попытки заговорить с ним в этот момент ребенок
отрицательно мотал головой и поспешно продолжал свой путь. Передавая поручение,
эти дети не просто "выпаливали" его, но старались вспомнить забытое;
"Сейчас скажу еще, сейчас..." Очевидно, что они при этом как-то
внутренне напрягались, как-то пытались отыскать в памяти необходимое. Их
внутренняя активность была и в этом случае направлена на определенную цель:
вспомнить содержание сообщения. [39,с.160 Леонтьев А.Н.]
Овладение произвольными формами памяти включает несколько
этапов. Сначала ребенок начинает выделять только задачу запомнить и припомнить,
еще не владея необходимыми приемами. При этом задача припомнить выделяется
раньше, так как ребенок в первую очередь сталкивается с ситуациями, в которых
от него ждут именно припоминания, воспроизведения того, что он раньше
воспринимал или желал. Задача запомнить возникает в результате опыта припоминания,
когда ребенок начинает осознавать, что если он не постарается запомнить, то
потом не сможет и воспроизвести необходимое.
Приемы запоминания и припоминания ребенок обычно не
изобретает сам. Их в той или иной форме подсказывают ему взрослые. Так,
взрослый, давая ребенку поручение, тут же предлагает его повторить. Спрашивая
ребенка о чем-нибудь, взрослый направляет припоминание вопросами: "А что
было потом?", "А еще, каких животных, похожих на лошадей, ты
видел?" и т.п. Ребенок постепенно учился повторять, осмысливать, связывать
материал в целях запоминания, использовать связи при припоминании. В конце
концов, дети осознают необходимость специальных действий запоминания,
овладевают умением использовать для этого вспомогательные средства.
Несмотря на существенные достижения в овладении произвольным
запоминанием, господствующим видом памяти даже к концу дошкольного возраста,
остается память непроизвольная. К произвольному запоминанию и воспроизведению
дети обращаются в сравнительно редких случаях, когда в их деятельности
возникают соответствующие задачи или когда этого требуют взрослые.
Непроизвольное запоминание, связанное с активной умственной
работой детей над определенным материалом, остается до конца дошкольного
возраста значительно более продуктивным, чем произвольное запоминание того же
материала. Вместе с тем непроизвольное запоминание, не связанное с выполнением
достаточно активных действий восприятия и мышления (например, запоминание
рассматриваемых картинок), оказывается менее успешным, чем произвольное.
У некоторых детей дошкольного возраста встречается особый вид
зрительной памяти, который носит название эйдетической памяти. Образы
эйдетической памяти по своей яркости и отчетливости приближаются к образам
восприятия: вспоминая что-нибудь, воспринятое раньше, ребенок как бы снова
видит это и может описать во всех подробностях. Эйдетическая память -
возрастное явление. Дети, обладающие ею в дошкольном возрасте, в период
школьного обучения обычно утрачивают эту способность.
Непроизвольное запоминание в дошкольном возрасте может быть
точным и прочным. Если события этой поры детства имели эмоциональную
значимость и произвели впечатление на ребенка, они могут сохраниться в памяти
на всю оставшуюся жизнь. Дошкольный возраст является периодом, освобожденным от
амнезии младенчества и раннего возраста.
Специально следует указать, что важнейшей особенностью в
развитии познавательной сферы дошкольника "является то, что в ходе
детского развития складывается совершенно новая, система функций ребенка,
которая характеризуется... в первую очередь тем, что в центре сознания
становится память. Памяти в дошкольном возрасте принадлежит доминирующая
роль".
Память сохраняет представления, которые в психологии
интерпретируют как "обобщенное воспоминание".[7,с.45]
Переход к мышлению из наглядно воспринимаемой ситуации к
общим представлениям "есть первый отрыв ребенка от чисто наглядного
мышления". [7, с.38] Таким образом, общее представление характеризуется
тем, что оно способно "вырвать предмет мышления из конкретной временной и
пространственной ситуации, в которую он включен, и, следовательно, может
установить между общими представлениями связь такого порядка, которая в опыте
ребенка еще дана не была".
Память дошкольника, несмотря на ее видимое внешнее
несовершенство, в действительности становится ведущей функцией, заняв
центральное место.
1.5 Развитие памяти в младшем школьном возрасте
В младшем школьном возрасте память, как и все другие
психические процессы, претерпевает существенные изменения, обусловленные
качественными преобразованиями мышления. Суть этих изменений состоит в том, что
память ребенка постепенно приобретает черты произвольности, становясь
сознательно регулируемой и опосредствованной. "Память в этом возрасте
становится мыслящей".[40,с. 56]
Преобразование мнемической функции обусловлено значительным
повышением требований к ее эффективности, высокий уровень которой необходим при
выполнении различных мнемических задач (задач на запоминание),
возникающих в ходе учебной деятельности. Теперь ребенок должен многое
запоминать: заучивать материал буквально, уметь пересказать его близко к тексту
или своими словами, а, кроме того, помнить заученное и уметь воспроизвести его
через длительное время. Неумение ребенка запоминать сказывается на его учебной
деятельности и влияет в конечном итоге на отношение к учебе и школе.
У первоклассников (как и у дошкольников) хорошо развита
непроизвольная память, фиксирующая яркие, эмоционально насыщенные для ребенка
сведения и события его жизни. Однако далеко не все из того, что приходится
запоминать первокласснику в школе, является для него интересным и
привлекательным. Поэтому непосредственная, эмоциональная память оказывается уже
недостаточной.
Нет сомнения в том, что заинтересованность ребенка в школьных
занятиях, его активная позиция, высокая познавательная мотивация являются
необходимыми условиями развития памяти. Это факт неопровержимый. Однако спорным
представляется утверждение, что для развития памяти ребенка полезны не только и
не столько специальные упражнения на запоминание, сколько формирование интереса
к знаниям, к отдельным учебным предметам, развитие положительного отношения к
ним. Практика показывает, что одного интереса к учению недостаточно для
развития произвольной памяти как высшей психической функции.
Совершенствование памяти в младшем школьном возрасте
обусловлено в первую очередь освоением в ходе учебной деятельности различных
способов и стратегий запоминания, связанных с организацией и смысловой
обработкой запоминаемого материала. Опора на мышление, использование различных
способов и средств запоминания (группировка материала, осмысление связей
различных его частей, составление плана и др.) превращают память младшего
школьника в истинную высшую психическую функцию осознанную, опосредствованную,
произвольную. Память ребенка из непосредственной и эмоциональной становится
логической, смысловой.
К сожалению, в практике школьного обучения не обращается
достаточного внимания на формирование у младших школьников адекватных,
рациональных приемов и способов запоминания. Без специальной целенаправленной
работы приемы запоминания складываются стихийно и нередко оказываются
непродуктивными.
Способность детей младшего школьного возраста к произвольному
запоминанию неодинакова на протяжении обучения в начальной школе и существенно различается
у учащихся 1-2 и 3-4 классов. Так, для детей 7-8 лет "характерны ситуации,
когда запомнить без применения каких-либо средств гораздо проще, чем запомнить,
осмысливая и организуя материал... Испытуемые этого возраста на вопросы
"Как запоминал? О чем думал в процессе запоминания?" и т.д. чаще
всего отвечают: "Просто запоминал и все". Это отражается и на
результативной стороне памяти... Для младших школьников проще выполнить
установку "запомнить", чем установку "запомнить с помощью
чего-либо".
По мере усложнения учебных заданий установка "просто
запомнить" перестает себя оправдывать, и это вынуждает ребенка искать
приемы организации памяти. Чаще всего таким приемом оказывается многократное
повторение - универсальный способ, обеспечивающий механическое запоминание.
В младших классах, где от ученика требуется лишь простое
воспроизведение небольшого по объему материала, такой способ запоминания
позволяет справляться с учебной нагрузкой. Но нередко он остается у школьников
единственным на протяжении всего периода обучения в школе. Это связано в первую
очередь с тем, что в младшем школьном возрасте ребенок не овладел приемами
смыслового запоминания, его логическая память осталась недостаточно
сформированной.
Основой логической памяти является использование мыслительных
процессов в качестве опоры, средства запоминания. Такая память основана на
понимании. В этой связи уместно вспомнить высказывание Л.Н. Толстого:
"Знание только тогда знание, когда оно приобретено усилиями мысли, а не
одной памятью".
В качестве мыслительных приемов запоминания могут быть
использованы смысловое соотнесение, классификация, выделение смысловых опор и
составление плана и др.[32, с.47]
Специальные исследования, направленные на изучение
возможностей формирования этих приемов у младших школьников, показывают, что
обучение мнемическому приему, в основе которого лежит умственное действие,
должно включать два этапа:
а) формирование самого умственного действия;
б) использование его как мнемического приема, т.е. средства
запоминания.
Таким образом, прежде чем использовать, например, прием
классификации для запоминания материала, необходимо овладеть классификацией как
самостоятельным умственным действием.
Процесс развития логической памяти у младших школьников
должен быть специально организован, поскольку в подавляющем большинстве
дети этого возраста самостоятельно (без специального обучения) не используют
приемы смысловой обработки материала и с целью запоминания прибегают к
испытанному средству - повторению. Но, даже успешно освоив в ходе обучения
способы смыслового анализа и запоминания, дети не сразу приходят к их
применению в учебной деятельности.
На разных этапах младшего школьного возраста отмечается
динамика отношения учеников к приобретенным ими способам смыслового
запоминания: если у второклассников потребность в их использовании
самостоятельно еще не возникает, то к концу обучения в начальной школе дети
сами начинают обращаться к новым способам запоминания при работе с учебным
материалом.
В развитии произвольной памяти младших школьников необходимо
выделить еще один аспект, связанный с овладением в этом возрасте знаковыми и
символическими средствами запоминания, прежде всего письменной речью и
рисунком. По мере освоения письменной речи (к 3 классу) дети овладевают и
опосредствованным запоминанием, используя такую речь как знаковое средство.
Однако и этот процесс у младших школьников "происходит стихийно,
неуправляемо, как раз на том ответственном этапе, когда складываются механизмы
произвольных форм запоминания и припоминания".[19,с.205]
Формирование письменной речи идет эффективнее, если требуется
не простое воспроизведение текста, а построение контекста. Поэтому для освоения
письменной речи нужно не пересказывать тексты, а сочинять. При этом
наиболее адекватный для детей вид словотворчества - сочинение сказок.
Младший школьный возраст сензитивен для становления высших
форм произвольного запоминания, поэтому целенаправленная развивающая работа по
овладению мнемической деятельностью является в этот период наиболее
эффективной. Важным ее условием является учет индивидуальных характеристик
памяти ребенка: ее объема, модальности (зрительная, слуховая, моторная) и т.п.
Но независимо от этого каждый ученик должен усвоить основное правило
эффективного запоминания: чтобы запомнить материал правильно и надежно,
необходимо с ним активно поработать и организовать его каким-либо образом.
Целесообразно сообщить младшим школьникам информацию о
различных приемах и способах запоминания и помочь в овладении теми из них,
которые окажутся наиболее эффективными для каждого ребенка.
Материалы, необходимые для диагностики памяти и проведения
развивающих занятий, можно найти в специальной литературе.[12]
Итак, в младшем школьном возрасте интенсивно развиваются все
процессы памяти: запоминание, сохранение, воспроизведение информации. А
также - все виды памяти: долговременная, кратковременная и оперативная.
Развитие памяти связано с необходимостью заучивать учебный
материал. Соответственно активно формируется произвольное запоминание. Важным
становится не только то, что запомнить, но и как запомнить. Способность к
систематическому планомерному заучиванию учебного материала возрастает
на протяжении всего младшего школьного возраста.
ГЛАВА 2. МЕТОДИКИ ИССЛЕДОВАНИЯ
.1 Организация исследования
Цель: Доказать или опровергнуть достоверность выдвинутой нами гипотезы
отналичии взаимосвязи зрительной и слуховой памяти у детей дошкольного и
младшего школьного возраста.
Для достижения поставленной цели мы определили для себя несколько задач
исследования:
. Провести анализ психолого-педагогической литературы по проблеме
исследования
. Исследовать особенности развития свойств памяти у дошкольников и
младших школьников
.Определить психологические условия, способствующие развитию основных
свойств памяти дошкольников и младших школьников.
Предметом нашего исследования являются свойства памяти дошкольника и младшего
школьника.
Объектом исследования выступили дошкольники детского сада п. Новониколаевский и
младшие школьники средней общеобразовательной школы п.Новониколаевский в количестве
40 человек.
2.2 Опросник для проверки памяти "Память на числа"
Методика предназначена для оценки кратковременной зрительной памяти, её
объёма и точности. Задание заключается в том, что обследуемым демонстрируется в
течение 20 с таблица с 12 двузначными числами, которые нужно запомнить и затем
в течение 1 м записать на бланк. Используется как для группового, так и для
индивидуального обследования.
Инструкция. Вам будет предъявлена таблица с числами (показать образец).
Задача заключается в том, чтобы за 20 с запомнить как можно больше чисел. Через
20 с я уберу таблицу, и Вы должны на "Листе записи ответов" в таблице
"Память на числа" записать все числа, которые запомнили. Одновременно
будут показаны 2 таблицы: имеющие чётные порядковые номера будут смотреть, и
запоминать числа на таблице с надписью "Чётные", а лица с нечётными
порядковыми номерами будут смотреть на таблицу с надписью "Нечётные".
Всем понятно, с какой таблицей кто будет работать?
Порядок работы будет следующий. По команде "Внимание!", все
должны смотреть на таблицу, каждый на свою, и стараться запомнить как можно
больше чисел. Брать в это время карандаш не разрешается. Через 20 с я уберу
таблицу и дам команду "Пишите". В каждой клеточке нужно записать одно
число. Порядок расположения чисел при записи значения не имеет. На запись
даётся 1 мин. Составление заключения. Оценка производится по количеству
правильно воспроизведённых чисел в соответствии с приведённой таблицей. Норма
взрослого человека - 7 и выше.
|
Баллы
|
2
|
3
|
4
|
5
|
|
Кол-во правильных ответов
|
1-4
|
5-6
|
7-8
|
9-12
|
Чётный вариант Нечетный вариант
14 18 16 13 15 11 21
20 24 18 17 23 19 11
26 28 30 25 29 27 13
ДЛЯ ДОШКОЛЬНИКА: на доске записаны однозначные числа, они демонстрируются в
течение 30 сек., их нужно запомнить, а затем повторить.
9 5 1 2 4 3 8 7 6
(Данная методика проводилась и для оценки слуховой памяти у детей
дошкольного и младшего школьного возраста, методика проводилась в разное
время).
2.3 Методика "Заучивание слов"
|
№п\п
|
Число
|
Хор
|
Камень
|
Гриб
|
Кино
|
Зонт
|
Море
|
Шмель
|
Лампа
|
Рысь
|
Дополнительные слова
|
|
1
|
|
|
|
|
|
|
|
|
|
|
|
|
2
|
|
|
|
|
|
|
|
|
|
|
|
|
3
|
|
|
|
|
|
|
|
|
|
|
|
|
4
|
|
|
|
|
|
|
|
|
|
|
|
|
5
|
|
|
|
|
|
|
|
|
|
|
|
|
6
|
|
|
|
|
|
|
|
|
|
|
|
|
Ч/з час
|
|
|
|
|
|
|
|
|
|
|
|
Протокол
Фамилия, имя возраст
Методика предложена А.Р.Лурия.
ЦЕЛЬ. Оценка состояния памяти, утомляемости, активности внимания.
Материалы. Протокол с девятью короткими односложными и двусложными
словами, не имеющими между собой никакой связи (табл.) Методика может быть
использована как для детей ( с 5 лет), так и для взрослых.
Инструкция: вариант для детей состоит из нескольких этапов:
А) "Сейчас мы проверим твою память. Я назову тебе слова, ты
прослушаешь их, а потом повторишь, в любом порядке".
Слова зачитываются испытуемому четко, не спеша.
Б) "Сейчас я снова назову те же самые слова, ты их послушаешь и
повторишь - и те, которые запомнишь сейчас. Называть можно в любом
порядке".
Далее опыт повторяется без инструкций. Перед следующими 3-5 прочтениями
просто говорится " Еще раз". После 5-6- кратного повторения слов
экспериментатор говорит испытуемому: "Через час вы эти слова назовете еще
раз". На каждом этапе исследования заполняется протокол. Под каждым
воспроизведенным словом в строчке, соответствующей номеру попытки, ставится
крестик.
Если испытуемый называет "лишнее" слово, оно фиксируется в
соответствующей графе. Спустя час испытуемый по просьбе исследователя
воспроизводит без предварительного зачитывания запомнившиеся слова, которые
фиксируются в протоколе кружочками.
Интерпретация результатов.
По полученному протоколу составляется график, "Кривая
запоминания". По форме кривой можно сделать выводы относительно
особенностей памяти. Так, у здоровых детей с каждым воспроизведением количество
правильно названных слов увеличивается, ослабленные дети воспроизводят меньшее
количество, могут застревать на "лишних" словах. Большое количество
"лишних" слов свидетельствует о расторможенности или расстройствах
сознания. При обследовании взрослых к третьему повторению испытуемый с
нормальной памятью обычно воспроизводит правильно до 9 или 10 слов.
Кривая запоминания может указывать на ослабление внимания, на выраженную
утомлённость. Повышенная утомляемость регистрируется в том случае, если
испытуемый (взрослый или ребёнок) сразу воспроизвёл 8-9 слов, а затем с каждым
разом всё меньше и меньше (кривая на графике не возрастает, а снижается). Кроме
того, если исследуемый воспроизводит всё меньше и меньше слов, это может
говорить о забывчивости и рассеянности. Зигзагообразный характер кривой
свидетельствует о неустойчивости внимания. Кривая, имеющая форму
"плато", показывает эмоциональную вялость ребёнка, отсутствие у него
заинтересованности. Число слов, удержанных и воспроизведённых час спустя,
свидетельствует о долговременной памяти.
2.4 Результаты исследования
ТЕСТ №1. "Память на числа". (зрительная)
Данная методика предназначалась для определения кратковременной
зрительной памяти, ее объема и точности.
Ниже представлены результаты изучения объема кратковременной зрительной
памяти на числа у младших школьников.
ТАБЛИЦА 1. Объем кратковременной зрительной памяти на числа у младших
школьников.
|
№ п\п
|
Кол-во ответов
|
Баллы
|
Интерпретация
|
|
1.
|
9
|
5
|
Очень хорошо выражена
кратковременная память.
|
|
2.
|
9
|
5
|
Очень хорошо выражена
кратковременная память.
|
|
3.
|
4
|
2
|
Слабо выражена
кратковременная память.
|
|
4.
|
4
|
2
|
Слабо выражена
кратковременная память.
|
|
5.
|
6
|
3
|
Хорошо выражена
кратковременная память.
|
|
6.
|
6
|
3
|
Хорошо выражена
кратковременная память.
|
|
7.
|
7
|
4
|
Хорошо выражена
кратковременная память.
|
|
8.
|
8
|
4
|
Хорошо выражена
кратковременная память.
|
|
9.
|
6
|
3
|
Хорошо выражена
кратковременная память.
|
|
10.
|
5
|
3
|
Хорошо выражена
кратковременная память.
|
|
11.
|
7
|
4
|
Хорошо выражена
кратковременная память.
|
|
12.
|
6
|
3
|
Хорошо выражена
кратковременная память.
|
|
13.
|
8
|
4
|
Хорошо выражена
кратковременная память.
|
|
14.
|
9
|
5
|
Очень хорошо выражена
кратковременная память.
|
|
15.
|
8
|
4
|
Хорошо выражена кратковременная
память.
|
|
16.
|
7
|
4
|
Хорошо выражена
кратковременная память.
|
|
17.
|
7
|
4
|
Хорошо выражена
кратковременная память.
|
|
18.
|
8
|
4
|
Хорошо выражена
кратковременная память.
|
|
19.
|
5
|
3
|
Хорошо выражена
кратковременная память.
|
|
20.
|
4
|
2
|
Слабо выражена
кратковременная память.
|
|
Ср.зн
|
6,6
|
|
|
|
Стан откл.
|
2,6
|
|
|
Как видно из таблицы у младших школьников средний объем кратковременной
зрительной памяти на числа 6,6; у 3 человек _ слабый уровень развития
зрительной кратковременной памяти. У 14 человек - хороший, у 3- очень хороший.
Ниже представлены результаты исследования объема кратковременной
зрительной памяти у дошкольников.
ТАБЛИЦА 2. Объем кратковременной зрительной памяти на числа у дошкольников.
|
№ п\п
|
Кол-во ответов
|
Баллы
|
Интерпретация
|
|
1.
|
8
|
4
|
Хорошо выражена кратковременная
память.
|
|
2.
|
1
|
2
|
Слабо выражена
кратковременная память.
|
|
3.
|
6
|
3
|
Хорошо выражена
кратковременная память.
|
|
4.
|
7
|
4
|
Хорошо выражена
кратковременная память.
|
|
5.
|
7
|
4
|
Хорошо выражена
кратковременная память.
|
|
6.
|
1
|
2
|
Слабо выражена
кратковременная память.
|
|
7.
|
6
|
3
|
Хорошо выражена
кратковременная память.
|
|
8.
|
6
|
Хорошо выражена
кратковременная память.
|
|
9.
|
8
|
4
|
Хорошо выражена
кратковременная память.
|
|
10.
|
8
|
4
|
Хорошо выражена
кратковременная память.
|
|
11.
|
4
|
2
|
Слабо выражена
кратковременная память.
|
|
12.
|
7
|
4
|
Хорошо выражена
кратковременная память.
|
|
13.
|
4
|
2
|
Слабо выражена
кратковременная память.
|
|
14.
|
6
|
3
|
Хорошо выражена
кратковременная память.
|
|
15.
|
3
|
2
|
Слабо выражена
кратковременная память.
|
|
16.
|
7
|
4
|
Хорошо выражена
кратковременная память.
|
|
17.
|
5
|
3
|
Хорошо выражена кратковременная
память.
|
|
18.
|
4
|
2
|
Слабо выражена
кратковременная память.
|
|
19.
|
6
|
3
|
Хорошо выражена
кратковременная память.
|
|
20.
|
5
|
3
|
Хорошо выражена
кратковременная память.
|
|
Ср.зн
|
5,4
|
|
|
|
Стан.откл.
|
2,3
|
|
|
Как видно из таблицы, у дошкольников средний объем кратковременной
зрительной памяти на числа 5,4; у 6 человек слабый уровень развития
кратковременной зрительной памяти, у 14 человек хороший.
ТЕСТ № 2. "Память на числа". (слуховая).
Данная методика предназначалась для определения объема слуховой памяти.
Ниже представлены результаты изучения объема слуховой памяти на числа у
дошкольников.
память дошкольник заучивание слово
ТАБЛИЦА 3. Объем слуховой памяти на числа у дошкольников.
|
№ п\п
|
Кол-во ответов
|
Баллы
|
Интерпретация
|
|
1.
|
1
|
2
|
Слабо выражена слуховая
память.
|
|
2.
|
4
|
2
|
Слабо выражена слуховая
память.
|
|
3.
|
2
|
2
|
Слабо выражена слуховая
память.
|
|
4.
|
2
|
2
|
Слабо выражена слуховая
память.
|
|
5.
|
5
|
3
|
Хорошо выражена слуховая
память.
|
|
6.
|
2
|
2
|
Слабо выражена слуховая
память.
|
|
7.
|
4
|
2
|
Слабо выражена слуховая
память.
|
|
8.
|
6
|
3
|
Хорошо выражена слуховая
память.
|
|
9.
|
3
|
2
|
Слабо выражена слуховая
память.
|
|
10.
|
3
|
2
|
Слабо выражена слуховая
память.
|
|
11.
|
5
|
3
|
Хорошо выражена слуховая
память.
|
|
12.
|
2
|
2
|
Слабо выражена слуховая
память.
|
|
13.
|
3
|
2
|
Слабо выражена слуховая
память.
|
|
14.
|
3
|
2
|
Слабо выражена слуховая
память.
|
|
15.
|
3
|
2
|
Слабо выражена слуховая
память.
|
|
16.
|
6
|
3
|
Хорошо выражена слуховая
память.
|
|
17.
|
4
|
2
|
Слабо выражена слуховая
память.
|
|
18.
|
5
|
3
|
Хорошо выражена слуховая
память.
|
|
19.
|
5
|
3
|
Хорошо выражена слуховая
память.
|
|
20.
|
4
|
2
|
Слабо выражена слуховая
память.
|
|
Ср.зн
|
3,6
|
|
|
|
Стан.откл.
|
1,9
|
|
|
Как видно из таблицы, у дошкольников средний объем слуховой памяти на
числа 3,6; у 14 человек - слабый уровень развития слуховой памяти, у 6 человек
- хороший уровень развития слуховой памяти.
Ниже представлены результаты изучения объема слуховой памяти на числа у
младших школьников.
ТАБЛИЦА 4. Объем слуховой памяти на числа у младших
школьников.
|
№ п\п
|
Кол-во ответов
|
Баллы
|
Интерпретация
|
|
1.
|
9
|
5
|
Очень хорошо выражена
слуховая память.
|
|
2.
|
9
|
5
|
Очень хорошо выражена слуховая
память.
|
|
3.
|
5
|
3
|
Хорошо выражена слуховая
память.
|
|
4.
|
6
|
3
|
Хорошо выражена слуховая
память.
|
|
5.
|
7
|
4
|
Хорошо выражена слуховая
память.
|
|
6.
|
6
|
3
|
Хорошо выражена слуховая
память.
|
|
7.
|
6
|
3
|
Хорошо выражена слуховая
память.
|
|
8.
|
11
|
5
|
Очень хорошо выражена слуховая
память.
|
|
9.
|
7
|
4
|
Хорошо выражена слуховая
память.
|
|
10.
|
5
|
3
|
Хорошо выражена слуховая
память.
|
|
11.
|
7
|
4
|
Хорошо выражена слуховая
память.
|
|
12.
|
8
|
4
|
Хорошо выражена слуховая
память.
|
|
13.
|
6
|
3
|
Хорошо выражена слуховая
память.
|
|
14.
|
10
|
5
|
Очень хорошо выражена слуховая
память.
|
|
15.
|
7
|
4
|
Хорошо выражена слуховая
память.
|
|
16.
|
5
|
3
|
Хорошо выражена слуховая
память.
|
|
17.
|
7
|
4
|
Хорошо выражена слуховая
память.
|
|
18.
|
10
|
5
|
Очень хорошо выражена
слуховая память.
|
|
19.
|
5
|
3
|
Хорошо выражена слуховая
память.
|
|
20.
|
5
|
3
|
Хорошо выражена слуховая
память.
|
|
Ср.зн
|
7,05
|
|
|
|
Стан.откл.
|
2,6
|
|
|
Как видно из таблицы, у младших школьников средний объем слуховой памяти
на числа 7,05; у 15 человек хороший уровень развития слуховой памяти, у 5
человек очень хороший уровень развития памяти.
Результат достоверности различий по Стьюденту уровня зрительной и
слуховой памяти у дошкольников и младших школьников.
Мы сравнивали объем кратковременной зрительной и слуховой памяти на числа
у дошкольников и младших школьников по критерию Стьюдента и получили следующие
результаты:
Зрительная память:
Ттабл.=2,02
Тполуч.=2,00
Ттабл.>Тполуч., значит никаких достоверных различий по критерию
Стьюдента между зрительной памятью у детей дошкольного и младшего школьного
возраста не обнаружены.
Слуховая память:
Ттабл.=2,02
Тполуч.=6,5
Ттабл.<Тполуч., значит различия между группами достоверны с р<0,05.
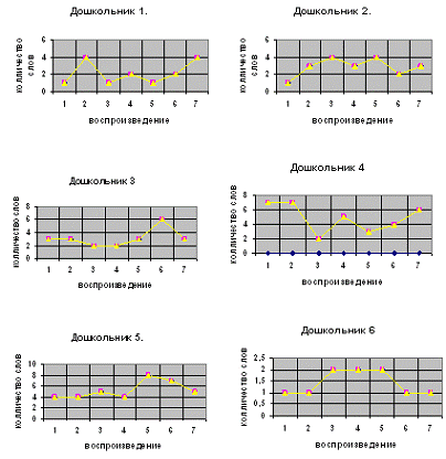
Результаты методики А.Р.Лурия "Заучивание слов"
приведены в приложении 1,2 с.
Ниже мы приведем интерпретацию результатов данной методики для каждого
ребенка.
Интерпретация методики "Заучивание слов" у
дошкольников:
1. График имеет зигзагообразный характер- показатель снижения словесной
(слуховой) памяти.
.Нарушена слуховая память, наблюдается эмоциональная вялость, отсутствие
заинтересованности. Воспроизведено большое количество "лишних" слов -
это свидетельствует о расторможенности или расстройствах сознания.
.Снижена словесная (слуховая) память.
.Снижена словесная (слуховая) память. Воспроизведено большое количество
"лишних" слов - это свидетельствует о расторможенности или расстройствах
сознания.
. Благоприятная динамика выучивания слов. Число слов, воспроизведенных и
удержанных час спустя 5, это свидетельствует о долговременной памяти.
. Нарушена слуховая память, наблюдается эмоциональная вялость, отсутствие
заинтересованности.
. График имеет зигзагообразный характер - показатель снижения словесной
(слуховой) памяти. Наблюдаются "лишние" слова - свидетельствует о
расторможенности или расстройствах сознания
. Нарушена слуховая память, наблюдается эмоциональная вялость, отсутствие
заинтересованности.
. Благоприятная динамика заучивания, обладает долговременной памятью.
. Благоприятная динамика заучивания слов, обладает долговременной
памятью.
. Благоприятная динамика заучивания слов, обладает долговременной
памятью.
. Нарушена слуховая память. Однако после 4 воспроизведения график
начинает "расти" - ослабленное внимание.
. Снижена словесная (слуховая) память, ослабленное внимание.
. Нарушена слуховая память, ослабленное внимание, воспроизведены
"лишние" слова - свидетельствует о расторможенности или расстройствах
сознания.
. Благоприятная динамика выучивания слов.
. Нарушена слуховая память.
. Нарушена слуховая память, наблюдается эмоциональная вялость, отсутствие
заинтересованности.
. Благоприятная динамика выучивания слов.
. Нарушена слуховая память.
. Нарушена слуховая память, ослаблено внимание.
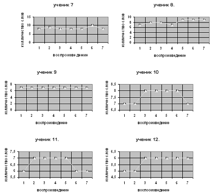
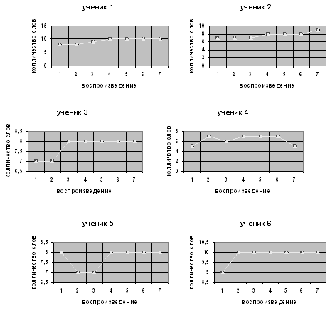
Результаты методики А.Р. Лурия "Заучивание слов" приведены в
приложении 1,2 с. Ниже мы приведем интерпретацию результата данной методики для
каждого ребенка. Интерпретация методики "Заучивание слов" у младших школьников".
. Благоприятная динамика выучивания слов, обладает долговременной
памятью.
.Благоприятная динамика выучивания слов, обладает долговременной памятью.
. Благоприятная динамика выучивания слов, но низкая мотивация.
. Низкая мотивация, отсутствует долговременная память.
. Снижена слуховая память.
.Благоприятная динамика выучивания слов, обладает долговременной памятью.
. Благоприятная динамика выучивания слов, обладает долговременной
памятью.
. Благоприятная динамика выучивания слов, обладает долговременной
памятью.
. Низкая мотивация, эмоциональная вялость, отсутствие заинтересованности.
. Низкая мотивация, обладает долговременной памятью.
. Снижена слуховая память.
. Низкая мотивация, отсутствие заинтересованности, эмоциональная вялость.
. Низкая мотивация, отвлеченное внимание, обладает долговременной
памятью.
. Снижена слуховая память, эмоциональная вялость, отсутствие
заинтересованности.
. Благоприятная динамика выучивания слов, низкая мотивация.
. Нарушена слуховая память, низкая мотивация.
. Нарушена слуховая память, эмоциональная вялость, отсутствие
заинтересованности.
. Низкая мотивация, обладает долговременной памятью.
. Низкая мотивация, эмоциональная вялость, отсутствие заинтересованности.
. Снижена слуховая память.
ВЫВОДЫ
В результате проведенной нами научно-исследовательской работы можно
сделать следующие выводы:
Согласно теории литературы, у дошкольников память сохраняет
представления, которые в психологии интерпретируют как "обобщенное
воспоминание", у младших школьников интенсивно развиваются все процессы
памяти: запоминание, сохранение, воспроизведение информации, а также все виды
памяти: долговременная, кратковременная и оперативная.
Проведя исследования по объему кратковременной зрительной и слуховой
памяти мы выяснили, что у дошкольников средний объем кратковременной памяти на
числа 5,4; у 6 человек - слабый уровень развития памяти, у 14 -хороший; у
младших школьников средний объем кратковременной зрительной памяти 6,6; у 3
человек - слабый уровень развития кратковременной зрительной памяти, у 14-
хороший, у 3- очень хороший. Средний объем слуховой памяти у дошкольников 3,6;
у 14 человек слабый уровень развития слуховой памяти, у 6- хороший; у младших
школьников средний объем слуховой памяти 7, 05, у 5 очень хороший уровень
развития, у 15 -хороший.
Проведя методику А.Р.Лурия "Заучивание слов" мы на каждого
дошкольника и младшего школьника сделали диаграмму, которую указали в
приложении 2 и написали интерпретацию.
Мы сравнивали объем кратковременной зрительной и слуховой памяти на числа
у дошкольника и младшего школьника по критерию Стьюдента и пришли к следующим
выводам: между зрительной памятью у детей дошкольного и младшего школьного
возраста никаких достоверных различий не обнаружены; сравнивая слуховую память
дошкольника и младшего школьника мы пришли к выводу, что различия между
группами достоверны с р< 0,05.
ЗАКЛЮЧЕНИЕ
Обобщая выше изложенное, более точно и строго память человека можно
определить. Как психофизиологические и культурные процессы, выполняющие свою
функцию запоминания, сохранения и воспроизведения информации, являющиеся для
нее основными.
Познание мира было бы невозможно, если бы люди не обладали способностью
запечатлевать и сохранять продолжительное время в памяти то, что они узнали о
действительности в процессе восприятия и мышления.
Не менее важную роль играет память и в процессе формирования личности.
Это объясняется тем, что явление памяти в равной мере относится и к
эмоциональной сфере восприятия, к закреплению двигательных процессов и интеллектуального
опыта. Все - закрепление знаний и навыков и возможность пользоваться ими -
относится к разделу памяти.
С раннего детства процесс развития памяти ребенка идет по нескольким
направлениям. Во-первых, начинают действовать аффективная (эмоциональная) и
механическая (моторная, двигательная) память, которая постепенно дополняется и
замещается логической и образной. Во-вторых, непосредственное запоминание со
временем превращается в опосредствованное, связанное с активным и осознанным
использованием для запоминания и воспроизведения различных мнемотехнических
приемов и средств.
В- третьих, непроизвольное запоминание, доминирующее в детстве, у
взрослого человека превращается в произвольное. Кроме того, и сами средства-
стимулы для запоминания подчиняются некоторой закономерности: сначала они
выступают как внешние ( например, завязывание узелков на память, использование
для запоминания различных предметов, зарубок, пальцев рук., записей и т.п.), а
затем становятся внутренними (речь, чувство, ассоциация, представление, образ,
мысль). Характерно, что в формировании внутренних средств запоминания
центральная роль принадлежит речи, которая также из чисто внешней функции
общения все больше превращается во внутреннюю.
Изучая особенности памяти, российские ученые пришли к выводу: память-
главное свойство, которое сделало человека именно человеком. Без способности
воспринимать, накапливать и использовать информацию, полученную из внешней
среды,- а это и есть память - невозможно выжить в нашем постоянно меняющемся мире.
Только получив такую способность, первичные комочки протоплазмы - коацерваты
смогли вступить на путь эволюции, приведшей через миллионы лет к появлению
высших животных и человека. И вела их на этом пути память.
Тема эта, вне всякого сомнения, актуальна, так как она играет роль в
жизни любого индивидуума. Она служит не только базой для сознания и мышления.
Даже восприятие окружающей действительности невозможно без участия памяти.
Работа выполнена на листах, состоит из двух глав. В первой главе
рассматриваются следующие вопросы: общая характеристика памяти, виды памяти,
теории формирования развития памяти, особенности памяти дошкольника, развитие
памяти в младшем школьном возрасте. Во второй главе рассматривается
эмпирическая часть. Далее идет заключение, выводы, литература, приложение.
Перед началом исследования мы поставили цель: доказать или опровергнуть
достоверность выдвинутой нами гипотезы о наличии взаимосвязи зрительной и
слуховой памяти у детей дошкольного и младшего школьного возраста.
Для достижения поставленной цели мы определили для себя несколько
основных задач исследования:
.Провести анализ психолого-педагогической литературы по проблеме
исследования.
. Исследовать особенности развития свойств памяти у дошкольников и
младших школьников.
. Определить психологические условия, способствующие развитию основных
свойств памяти дошкольников и младших школьников.
Предметом нашего исследования являлись свойства памяти дошкольника и
младшего школьника.
Объектом исследования выступили дошкольники детского сада п.
Новониколаевский и младшие школьники средней общеобразовательной школы п.
Новониколаевский в количестве 40 человек.
Были использованы следующие методики:
.Опросник для проверки памяти "Память на числа".
А. зрительная
Б. слуховая
.Методика А.Р. Лурия "Заучивание слов".
Вычисление по Стьюденту.
Результаты, полученные в ходе экспериментов, мы указали в дипломной
работе. Сравнивали зрительную и слуховую память у детей дошкольного и младшего
школьного возраста по критерию Стьюдента.
Между зрительной памятью у детей дошкольного и младшего школьного
возраста никаких достоверных различий по критерию Стьюдента не обнаружены.
Сравнивая слуховую память, мы пришли к выводу, что различия между группами
достоверны с р<0,05.
В конце работы мы указали список литературы и приложение к методике А.Р.
Лурия "Заучивание слов" (таблицы и диаграммы).
ЛИТЕРАТУРА
. Абрамов Г.С. Возрастная психология. - М., 1999.
. Аткинсон Р. Человеческая память и процесс обучения. - М.,
1980.
. Блонский П.П. Память и мышление // Избранные
психологические произведения. - М., 1964.
. Вейн А. М., Каменецкая Б. И. Память человека. - М., 1973.
. Венгер Л.А., Мухина В.С. Психология. - М.: Просвещение,
1988.
. Возрастные особенности психологического развития детей /Под
ред. И.В. Дубровиной, М.И. Лисиной. - М., 1999.
7. Выготский Л.С. Педагогическая
психология. - М., 1991.
. Гальперин П.Я., Запорожец А.В., Карпова С.Н.
Актуальные проблемы возрастной психологии. - М., 1978.
.Голубева В. Индивидуальные особенности памяти
человека.- М., 1980.
10. Давыдов В. В. Психологическое развитие в младшем школьном
возрасте - М., 1993.
. Дергачев В.В. Молекулярные и клеточные механизмы памяти. -
М., 1977.
12. Житникова Л.М. Учите детей запоминать. - М.,
1985.
13. Зинц Р. Обучение и память. - Минск, 1984.
. Ипполитов Ф.В. Память школьника. - М., 1978.
. Каменская Б.И., Венн А.М. Память человека.- М., 1973.
.Клацки Р. Память человека. Структуры процессы. - М.,1978.
.Лапп Д. Улучшение памяти в любом возрасте.- М., 1993.
. Лурия А.Р. Внимание и память. Материалы к курсу лекций по
общей психологии. - М.: МГУ, 1975.
19. Ляудис В.Я. Память в процессе
развития. - М., 1976.
. Маркова А.К., Лидере А.Г., Яковлева Е.Л.
Диагностика и коррекция умственного развития в школьном и дошкольном возрасте.
- Петрозаводск, 1992.
. Матюгин И.Ю. Тактильная память. - М., 1991.
. Матюгин И.Ю., Чакаберия Е.Н. Зрительная память.
- М., 1992.
23. Мухина
В. С. Психология дошкольника. - М., 1975.
. Николов Н., Нешев Г. Что мы знаем о памяти.- М., 1988.
. Норманн Д.А. Память и научение.- М., 1985.
. Овчарова Р.В. Практическая психология в начальной школе. -
М., 1998. 27. Петрунек В.П., Таран Л.Н. Младший школьник. - М., 1981. - 201 с.
. Психология младших школьников /Под ред. В.В Давыдова. - М.,
1990.
. Роговин М.С. Проблемы теории памяти.- М., 1977.
. Рубинштейн Л.С. Основы общей психологии.- М., 1989.
32. Развитие логической памяти у детей /Под ред.
А..А. Смирнова. - М., 1976.
33. Смирнова Е.О. Психология ребенка. - М.: Школа-пресс,
1997.
. Тихомирова Л.Ф. Развитие интеллектуальных способностей
школьника. - Ярославль, 1998.
. Тихомирова Л.Ф. Развитие познавательных способностей детей.
- Ярославль, 1996.
. Файгенберг И.М. Память и обучение. - М., 1974.
. Хванливин М.М. Функциональная и структурная организация
памяти в норме и патологии. - М., 1999.
.Хрестоматия по возрастной психологии: младший школьник /Под
ред. И.В. Дубровиной. - М., 1999.
.Хрестоматия по общей психологии. Психология памяти. - М.,
1979.
40. Элъконин Д.Б. Избранные
психологические труды. - М., 1989.
ПРИЛОЖЕНИЕ 1
Протокол
Дошкольник 1 Возраст 5
|
№ п.п.
|
Число
|
Хор
|
Камень
|
Гриб
|
Кино
|
Зонт
|
Море
|
Шмель
|
Лампа
|
Рысь
|
Дополнительные слова.
|
|
1.
|
|
|
|
|
|
|
|
|
+
|
|
|
|
2.
|
|
|
+
|
|
|
+
|
+
|
|
|
+
|
|
|
3.
|
|
|
|
|
+
|
|
|
|
|
|
|
|
4.
|
+
|
|
|
|
|
|
|
|
|
+
|
|
|
5.
|
|
|
|
+
|
|
|
|
|
|
|
|
|
6
|
|
|
|
|
+
|
|
|
+
|
|
|
|
|
Ч/з час
|
+
|
|
|
|
+
|
+
|
|
+
|
|
|
|
Дошкольник 2 Возраст 5
|
№ п.п.Число Хор Камень Гриб
Кино Зонт Море Шмель Лампа Рысь Дополнительные слова.
|
|
|
|
|
|
|
|
|
|
|
|
|
1.
|
|
|
|
|
|
|
|
|
|
+
|
Молния, река
|
|
2.
|
|
|
+
|
|
|
|
|
+
|
|
+
|
Река
|
|
3.
|
|
|
+
|
|
|
+
|
|
|
+
|
+
|
Река
|
|
4.
|
|
|
+
|
|
|
+
|
|
+
|
|
|
Молния, река
|
|
5.
|
|
|
|
+
|
|
+
|
+
|
|
|
+
|
Молния лампочка
|
|
6
|
|
|
|
+
|
+
|
|
|
|
|
|
Корт, молния
|
|
Ч/з час
|
|
|
+
|
|
+
|
|
|
+
|
|
|
|
Дошкольник 3 Возраст 5
|
№ п.п.Число Хор Камень Гриб
Кино Зонт Море Шмель Лампа Рысь Дополнительные слова.
|
|
|
|
|
|
|
|
|
|
|
|
|
1.
|
|
|
+
|
|
|
+
|
|
|
|
+
|
Молния
|
|
2.
|
+
|
|
|
|
|
|
|
|
+
|
+
|
|
|
3.
|
|
+
|
|
+
|
|
|
|
|
|
|
Молния, вода
|
|
4.
|
|
|
|
|
+
|
|
|
|
|
+
|
|
|
5.
|
|
|
|
|
+
|
|
|
+
|
|
+
|
Молния
|
|
6
|
|
|
+
|
|
+
|
+
|
+
|
|
+
|
+
|
|
|
Ч/з час
|
|
+
|
+
|
|
|
|
+
|
|
|
|
|
Дошкольник 4 возраст 5
|
№ п.п.Число Хор Камень Гриб
Кино Зонт Море Шмель Лампа Рысь Дополнительные слова.
|
|
|
|
|
|
|
|
|
|
|
|
|
1.
|
+
|
+
|
|
|
+
|
|
+
|
+
|
+
|
+
|
Молния
|
|
2.
|
+
|
|
+
|
+
|
+
|
+
|
|
|
+
|
+
|
Хоровод
|
|
3.
|
|
|
|
|
+
|
|
|
+
|
|
|
Река, молния
|
|
4.
|
+
|
|
|
|
|
|
+
|
+
|
+
|
+
|
Молния
|
|
5.
|
+
|
+
|
|
|
|
|
|
|
+
|
|
хоровод
|
|
6
|
|
|
|
|
|
+
|
+
|
+
|
+
|
|
Молния
|
|
Ч/з час
|
+
|
|
+
|
|
|
+
|
+
|
+
|
+
|
|
|
Дошкольник 5 возраст 5
|
№ п.п.Число Хор Камень Гриб
Кино Зонт Море Шмель Лампа Рысь Дополнительные слова.
|
|
|
|
|
|
|
|
|
|
|
|
|
1.
|
|
+
|
|
|
+
|
|
|
+
|
|
+
|
|
|
2.
|
+
|
|
|
|
|
|
|
+
|
+
|
+
|
|
|
3.
|
+
|
+
|
+
|
|
|
|
|
|
+
|
+
|
|
|
4.
|
+
|
|
|
+
|
|
+
|
|
+
|
|
|
|
|
5.
|
+
|
|
|
+
|
+
|
+
|
+
|
+
|
+
|
+
|
|
|
6
|
+
|
|
+
|
|
+
|
+
|
|
+
|
+
|
+
|
|
|
Ч/з час
|
+
|
+
|
|
|
+
|
|
|
+
|
|
+
|
|
Дошкольник 6 возраст 5
|
№ п.п.Число Хор Камень Гриб
Кино Зонт Море Шмель Лампа Рысь Дополнительные слова.
|
|
|
|
|
|
|
|
|
|
|
|
|
1.
|
|
|
|
|
|
+
|
|
|
|
|
|
|
2.
|
|
|
|
|
|
|
|
|
|
+
|
|
|
3.
|
+
|
|
|
+
|
|
|
|
|
|
|
|
|
4.
|
|
+
|
|
|
|
|
+
|
|
|
|
|
|
5.
|
|
|
|
|
+
|
|
|
|
+
|
|
|
|
6
|
|
|
+
|
|
|
|
|
|
|
|
|
|
Ч/з час
|
|
|
|
|
|
|
|
|
+
|
|
|
Дошкольник 7 возраст 5
|
№ п.п.Число Хор Камень Гриб
Кино Зонт Море Шмель Лампа Рысь Дополнительные слова.
|
|
|
|
|
|
|
|
|
|
|
|
|
1.
|
|
|
|
|
|
+
|
|
|
|
|
Вода
|
|
2.
|
|
|
+
|
|
|
+
|
|
|
|
|
Вода
|
|
3.
|
|
|
+
|
|
+
|
+
|
+
|
|
|
|
река
|
|
4.
|
|
|
+
|
|
|
+
|
+
|
|
|
|
|
|
5.
|
|
|
+
|
|
|
+
|
+
|
|
|
|
|
|
6
|
|
|
+
|
|
+
|
+
|
+
|
|
|
|
|
|
Ч/з час
|
|
|
+
|
|
+
|
+
|
+
|
|
|
|
|
Дошкольник 8 возраст5,5
|
№ п.п.Число Хор Камень Гриб
Кино Зонт Море Шмель Лампа Рысь Дополнительные слова.
|
|
|
|
|
|
|
|
|
|
|
|
|
1.
|
|
+
|
+
|
+
|
|
|
+
|
|
|
|
река
|
|
2.
|
|
+
|
+
|
+
|
|
|
+
|
|
+
|
+
|
|
|
3.
|
|
+
|
+
|
+
|
|
|
+
|
|
+
|
+
|
|
|
4.
|
|
+
|
+
|
+
|
|
|
+
|
|
+
|
+
|
|
|
5.
|
|
+
|
|
+
|
|
+
|
|
+
|
+
|
+
|
река
|
|
6
|
|
+
|
|
+
|
|
+
|
|
|
+
|
+
|
|
|
Ч/з час
|
|
+
|
+
|
+
|
|
|
+
|
|
|
|
|
Дошкольник 9 возраст 5,5
|
№ п.п.Число Хор Камень Гриб
Кино Зонт Море Шмель Лампа Рысь Дополнительные слова.
|
|
|
|
|
|
|
|
|
|
|
|
|
1.
|
|
|
|
|
|
|
+
|
|
|
+
|
|
|
2.
|
+
|
|
|
|
|
+
|
|
|
+
|
+
|
|
|
3.
|
|
|
+
|
|
+
|
|
|
|
|
+
|
|
|
4.
|
|
|
|
|
+
|
|
|
+
|
|
+
|
|
|
5.
|
+
|
+
|
|
|
|
+
|
+
|
|
|
|
|
|
6
|
+
|
+
|
|
|
+
|
|
+
|
|
+
|
+
|
|
|
Ч/з час
|
+
|
+
|
|
|
+
|
|
+
|
|
+
|
+
|
№ п.п.Число Хор Камень Гриб
Кино Зонт Море Шмель Лампа Рысь Дополнительные слова.
|
|
|
|
|
|
|
|
|
|
|
|
|
1.
|
|
|
+
|
+
|
+
|
|
|
|
|
|
концерт
|
|
2.
|
+
|
|
|
|
|
+
|
+
|
|
|
|
|
|
3.
|
|
|
|
|
|
|
|
+
|
+
|
+
|
|
|
4.
|
+
|
|
|
|
+
|
+
|
+
|
+
|
+
|
+
|
|
|
5.
|
+
|
|
+
|
+
|
|
+
|
+
|
|
+
|
+
|
|
|
6
|
+
|
|
+
|
|
+
|
+
|
|
|
+
|
+
|
|
|
Ч/з час
|
+
|
|
+
|
|
+
|
+
|
|
|
+
|
+
|
|
Дошкольник 11 возраст 5,5
|
№ п.п.Число Хор Камень Гриб
Кино Зонт Море Шмель Лампа Рысь Дополнительные слова.
|
|
|
|
|
|
|
|
|
|
|
|
|
1.
|
|
|
+
|
|
|
+
|
|
|
+
|
+
|
|
|
2.
|
|
|
|
|
+
|
|
+
|
+
|
+
|
+
|
|
|
3.
|
|
|
|
|
+
|
|
+
|
+
|
+
|
+
|
|
|
4.
|
+
|
|
|
|
+
|
|
+
|
+
|
+
|
+
|
|
|
5.
|
+
|
+
|
|
|
+
|
|
+
|
+
|
|
+
|
|
|
6
|
+
|
|
|
|
|
|
+
|
+
|
+
|
+
|
|
|
Ч/з час
|
+
|
|
|
|
|
|
|
+
|
+
|
+
|
|
Дошкольник 12 возраст 5,5
|
№ п.п.Число Хор Камень Гриб
Кино Зонт Море Шмель Лампа Рысь Дополнительные слова.
|
|
|
|
|
|
|
|
|
|
|
|
|
1.
|
|
|
+
|
|
|
|
|
|
|
+
|
|
|
2.
|
|
|
|
|
+
|
|
|
|
+
|
|
|
|
3.
|
+
|
|
|
|
+
|
|
|
|
|
|
|
|
4.
|
|
|
+
|
|
|
+
|
|
|
|
|
|
|
5.
|
|
|
|
+
|
|
+
|
+
|
|
|
|
|
|
6
|
+
|
|
|
+
|
+
|
|
|
|
+
|
+
|
|
|
Ч/з час
|
+
|
|
|
+
|
|
|
|
|
+
|
+
|
|
Дошкольник 13 возраст 5
|
№ п.п.Число Хор Камень Гриб
Кино Зонт Море Шмель Лампа Рысь Дополнительные слова.
|
|
|
|
|
|
|
|
|
|
|
|
|
1.
|
|
|
+
|
|
|
|
+
|
|
+
|
|
|
|
2.
|
|
|
|
|
|
|
|
+
|
|
|
почта
|
|
3.
|
|
|
|
|
|
+
|
|
+
|
+
|
|
|
|
4.
|
|
|
|
+
|
+
|
|
|
|
|
+
|
|
|
5.
|
|
|
|
+
|
|
+
|
+
|
|
|
+
|
|
|
6
|
+
|
|
|
+
|
|
+
|
+
|
|
|
+
|
|
|
Ч/з час
|
+
|
|
|
+
|
|
+
|
+
|
|
|
|
|
Дошкольник 14 Возраст 5,5
|
№ п.п.Число Хор Камень Гриб
Кино Зонт Море Шмель Лампа Рысь Дополнительные слова.
|
|
|
|
|
|
|
|
|
|
|
|
|
1.
|
|
|
+
|
|
|
|
|
|
+
|
+
|
Вода
|
|
2.
|
+
|
|
+
|
|
|
|
+
|
|
+
|
+
|
|
|
3.
|
|
+
|
|
|
|
|
|
|
+
|
+
|
Река
|
|
4.
|
|
|
+
|
|
+
|
|
|
+
|
|
+
|
Река
|
|
5.
|
|
|
|
|
+
|
+
|
|
+
|
+
|
+
|
река
|
|
6
|
+
|
+
|
|
|
|
|
+
|
+
|
+
|
|
|
|
Ч/з час
|
+
|
+
|
|
|
|
|
|
|
+
|
+
|
|
Дошкольник 15 возраст 5.
|
№ п.п.Число Хор Камень Гриб
Кино Зонт Море Шмель Лампа Рысь Дополнительные слова.
|
|
|
|
|
|
|
|
|
|
|
|
|
1.
|
|
|
|
|
+
|
|
|
|
|
+
|
|
|
2.
|
|
|
|
+
|
|
|
|
+
|
+
|
|
|
|
3.
|
|
|
+
|
|
|
|
|
+
|
|
+
|
|
|
4.
|
|
|
+
|
+
|
+
|
|
|
|
+
|
+
|
|
|
5.
|
+
|
|
+
|
+
|
+
|
|
|
|
+
|
+
|
|
|
6
|
+
|
|
+
|
+
|
+
|
+
|
|
+
|
+
|
+
|
|
|
Ч/з час
|
+
|
|
|
|
+
|
+
|
|
|
+
|
+
|
|
Дошкольник 16 возраст 5,5
|
№ п.п.Число Хор Камень Гриб
Кино Зонт Море Шмель Лампа Рысь Дополнительные слова.
|
|
|
|
|
|
|
|
|
|
|
|
|
1.
|
|
+
|
|
|
|
|
|
+
|
+
|
+
|
|
|
2.
|
|
|
|
|
+
|
+
|
|
+
|
+
|
+
|
|
|
3.
|
|
|
+
|
|
+
|
+
|
|
+
|
+
|
+
|
|
|
4.
|
|
|
+
|
|
+
|
+
|
|
+
|
|
+
|
лампочка
|
|
5.
|
+
|
|
+
|
|
+
|
+
|
|
|
+
|
+
|
|
|
6
|
+
|
|
+
|
|
|
+
|
|
+
|
+
|
+
|
|
|
Ч/з час
|
+
|
|
|
|
|
|
|
+
|
+
|
+
|
|
Дошкольник17 возраст 5
|
№ п.п.Число Хор Камень Гриб
Кино Зонт Море Шмель Лампа Рысь Дополнительные слова.
|
|
|
|
|
|
|
|
|
|
|
|
|
1.
|
+
|
|
|
+
|
|
+
|
|
+
|
|
|
|
|
2.
|
+
|
+
|
|
|
+
|
|
+
|
|
|
|
|
|
3.
|
|
|
+
|
|
|
+
|
|
|
+
|
+
|
лампочка
|
|
4.
|
+
|
|
|
+
|
|
|
|
+
|
|
+
|
|
|
5.
|
|
+
|
|
|
+
|
|
+
|
|
+
|
|
|
|
6
|
+
|
|
|
+
|
|
|
+
|
|
|
+
|
|
|
Ч/з час
|
|
|
+
|
|
|
+
|
|
+
|
|
+
|
|
Дошкольник 18 Возраст 5,5
|
№ п.п.Число Хор Камень Гриб
Кино Зонт Море Шмель Лампа Рысь Дополнительные слова.
|
|
|
|
|
|
|
|
|
|
|
|
|
1.
|
+
|
|
+
|
|
|
|
+
|
|
+
|
|
|
|
2.
|
|
+
|
|
|
+
|
|
|
+
|
|
+
|
|
|
3.
|
|
|
+
|
|
|
+
|
|
+
|
+
|
+
|
|
|
4.
|
|
+
|
|
|
|
+
|
|
+
|
+
|
+
|
|
|
5.
|
|
|
|
+
|
|
+
|
|
+
|
+
|
+
|
|
|
6
|
+
|
|
|
|
+
|
+
|
+
|
+
|
|
|
Ч/з час
|
|
|
+
|
|
|
+
|
|
+
|
+
|
|
|
Дошкольник 19 Возраст 5
|
№ п.п.Число Хор Камень Гриб
Кино Зонт Море Шмель Лампа Рысь Дополнительные слова.
|
|
|
|
|
|
|
|
|
|
|
|
|
1.
|
+
|
|
+
|
|
|
+
|
+
|
|
|
|
|
|
2.
|
|
+
|
|
|
+
|
|
|
+
|
+
|
+
|
|
|
3.
|
|
+
|
|
+
|
|
|
+
|
|
+
|
+
|
|
|
4.
|
|
+
|
|
|
+
|
|
+
|
|
+
|
|
|
|
5.
|
+
|
|
+
|
|
|
+
|
|
+
|
+
|
+
|
|
|
6
|
|
+
|
|
|
+
|
|
+
|
|
|
+
|
|
|
Ч/з час
|
+
|
|
|
+
|
|
+
|
|
+
|
+
|
|
|
Дошкольник 20 Возраст 5,5
|
№ п.п.Число Хор Камень Гриб
Кино Зонт Море Шмель Лампа Рысь Дополнительные слова.
|
|
|
|
|
|
|
|
|
|
|
|
|
1.
|
+
|
|
+
|
|
+
|
|
+
|
+
|
|
+
|
|
|
2.
|
|
+
|
|
+
|
|
+
|
|
+
|
+
|
|
|
|
3.
|
|
|
+
|
|
+
|
|
+
|
|
+
|
|
|
|
4.
|
+
|
|
|
|
+
|
|
|
|
+
|
+
|
|
|
5.
|
|
|
+
|
|
+
|
|
|
+
|
|
+
|
|
|
6
|
|
+
|
|
|
|
+
|
|
+
|
+
|
+
|
|
|
Ч/з час
|
+
|
|
+
|
+
|
|
|
|
|
+
|
+
|
|
Ученик 1 Возраст 6,5
|
№ п.п.Число Хор Камень Гриб
Кино Зонт Море Шмель Лампа Рысь Дополнительные слова.
|
|
|
|
|
|
|
|
|
|
|
|
|
1.
|
+
|
+
|
|
+
|
+
|
+
|
|
+
|
+
|
+
|
|
|
2.
|
+
|
+
|
|
+
|
+
|
+
|
+
|
|
+
|
+
|
|
|
3.
|
+
|
+
|
|
+
|
+
|
+
|
+
|
+
|
+
|
+
|
|
|
4.
|
+
|
+
|
+
|
+
|
+
|
+
|
+
|
+
|
+
|
+
|
|
|
5.
|
+
|
+
|
+
|
+
|
+
|
+
|
+
|
+
|
+
|
+
|
|
|
6
|
+
|
+
|
+
|
+
|
+
|
+
|
+
|
+
|
+
|
+
|
|
|
Ч/з час
|
+
|
+
|
+
|
+
|
+
|
+
|
+
|
+
|
+
|
+
|
|
Ученик 2 Возраст 6
|
№ п.п.Число Хор Камень Гриб
Кино Зонт Море Шмель Лампа Рысь Дополнительные слова.
|
|
|
|
|
|
|
|
|
|
|
|
|
1.
|
+
|
+
|
+
|
|
|
|
+
|
+
|
+
|
+
|
|
|
2.
|
+
|
|
+
|
+
|
|
+
|
|
+
|
+
|
+
|
|
|
3.
|
+
|
|
+
|
|
+
|
+
|
|
+
|
+
|
+
|
|
|
4.
|
+
|
+
|
+
|
+
|
+
|
|
|
+
|
+
|
+
|
|
|
5.
|
|
+
|
+
|
|
+
|
+
|
+
|
+
|
+
|
+
|
|
|
6
|
+
|
+
|
+
|
+
|
|
+
|
+
|
+
|
+
|
|
|
|
Ч/з час
|
+
|
+
|
+
|
+
|
+
|
+
|
+
|
+
|
+
|
|
|
ученик 3 Возраст 6
|
№ п.п.Число Хор Камень Гриб
Кино Зонт Море Шмель Лампа Рысь Дополнительные слова.
|
|
|
|
|
|
|
|
|
|
|
|
|
1.
|
+
|
+
|
+
|
|
+
|
+
|
+
|
|
|
+
|
|
|
2.
|
+
|
|
+
|
|
+
|
+
|
+
|
|
+
|
+
|
|
|
3.
|
+
|
|
+
|
+
|
+
|
+
|
+
|
|
+
|
+
|
|
|
4.
|
+
|
|
+
|
+
|
+
|
+
|
+
|
|
+
|
+
|
|
|
5.
|
+
|
|
+
|
+
|
+
|
+
|
+
|
|
+
|
+
|
|
|
6
|
+
|
|
+
|
+
|
+
|
+
|
+
|
|
+
|
+
|
|
|
Ч/з час
|
+
|
|
+
|
+
|
+
|
+
|
+
|
|
+
|
+
|
|
Ученик 4 возраст 6,5
|
№ п.п.Число Хор Камень Гриб
Кино Зонт Море Шмель Лампа Рысь Дополнительные слова.
|
|
|
|
|
|
|
|
|
|
|
|
|
1.
|
+
|
|
+
|
+
|
|
+
|
+
|
|
|
|
|
|
2.
|
+
|
|
+
|
+
|
+
|
+
|
+
|
|
+
|
|
|
|
3.
|
+
|
+
|
+
|
+
|
|
+
|
|
|
+
|
|
|
|
4.
|
+
|
|
+
|
+
|
+
|
+
|
+
|
|
+
|
|
|
|
5.
|
+
|
|
+
|
+
|
+
|
+
|
+
|
|
+
|
|
|
|
6
|
+
|
|
+
|
+
|
+
|
+
|
+
|
|
+
|
|
|
|
Ч/з час
|
+
|
|
+
|
+
|
|
+
|
+
|
|
|
|
|
Ученик 5 возраст6
|
№ п.п.Число Хор Камень Гриб
Кино Зонт Море Шмель Лампа Рысь Дополнительные слова.
|
|
|
|
|
|
|
|
|
|
|
|
|
1.
|
+
|
+
|
+
|
+
|
+
|
+
|
|
+
|
|
|
2.
|
+
|
|
+
|
+
|
+
|
+
|
+
|
|
|
+
|
|
|
3.
|
+
|
|
+
|
+
|
|
+
|
+
|
|
+
|
+
|
|
|
4.
|
+
|
+
|
+
|
|
+
|
+
|
+
|
|
+
|
+
|
|
|
5.
|
+
|
+
|
+
|
|
+
|
+
|
+
|
|
+
|
+
|
|
|
6
|
+
|
+
|
+
|
|
+
|
+
|
+
|
|
+
|
+
|
|
|
Ч/з час
|
+
|
+
|
+
|
|
|
+
|
+
|
|
+
|
+
|
|
Ученик 6 возраст 6
|
№ п.п.Число Хор Камень Гриб
Кино Зонт Море Шмель Лампа Рысь Дополнительные слова.
|
|
|
|
|
|
|
|
|
|
|
|
|
1.
|
+
|
|
+
|
+
|
+
|
+
|
+
|
+
|
+
|
+
|
|
|
2.
|
+
|
+
|
+
|
+
|
+
|
+
|
+
|
+
|
+
|
+
|
|
|
3.
|
+
|
+
|
+
|
+
|
+
|
+
|
+
|
+
|
+
|
+
|
|
|
4.
|
+
|
+
|
+
|
+
|
+
|
+
|
+
|
+
|
+
|
+
|
|
|
5.
|
+
|
+
|
+
|
+
|
+
|
+
|
+
|
+
|
+
|
+
|
|
|
6
|
+
|
+
|
+
|
+
|
+
|
+
|
+
|
+
|
+
|
+
|
|
|
Ч/з час
|
+
|
+
|
+
|
+
|
+
|
+
|
+
|
+
|
+
|
+
|
|
Ученик 7 Возраст6,5
|
№ п.п.Число Хор Камень Гриб
Кино Зонт Море Шмель Лампа Рысь Дополнительные слова.
|
|
|
|
|
|
|
|
|
|
|
|
|
1.
|
+
|
+
|
|
+
|
+
|
+
|
+
|
|
+
|
+
|
|
|
2.
|
+
|
+
|
|
+
|
+
|
+
|
+
|
+
|
+
|
+
|
|
|
3.
|
+
|
|
+
|
+
|
|
+
|
+
|
+
|
+
|
+
|
|
|
4.
|
+
|
+
|
|
+
|
|
+
|
+
|
+
|
+
|
+
|
|
|
5.
|
+
|
+
|
+
|
+
|
+
|
|
+
|
|
+
|
+
|
|
|
6
|
+
|
+
|
+
|
+
|
+
|
+
|
+
|
+
|
+
|
+
|
|
|
Ч/з час
|
+
|
+
|
|
+
|
|
+
|
+
|
+
|
+
|
+
|
|
Ученик 8 Возраст 6,5
|
№ п.п.Число Хор Камень Гриб
Кино Зонт Море Шмель Лампа Рысь Дополнительные слова.
|
|
|
|
|
|
|
|
|
|
|
|
|
1.
|
|
+
|
+
|
|
+
|
+
|
+
|
+
|
+
|
|
|
|
2.
|
+
|
+
|
+
|
|
+
|
+
|
+
|
+
|
+
|
|
|
|
3.
|
+
|
+
|
+
|
|
+
|
+
|
+
|
+
|
+
|
|
|
|
4.
|
+
|
+
|
|
+
|
+
|
|
+
|
+
|
+
|
|
|
|
5.
|
+
|
+
|
+
|
+
|
+
|
+
|
+
|
+
|
+
|
|
|
|
6
|
+
|
+
|
+
|
+
|
+
|
+
|
+
|
+
|
+
|
|
|
|
Ч/з час
|
+
|
+
|
+
|
|
+
|
+
|
+
|
+
|
+
|
+
|
|
Ученик 9 возраст 6,5
|
№ п.п.Число Хор Камень Гриб
Кино Зонт Море Шмель Лампа Рысь Дополнительные слова.
|
|
|
|
|
|
|
|
|
|
|
|
|
1.
|
+
|
|
+
|
+
|
+
|
|
+
|
+
|
|
+
|
|
|
2.
|
+
|
|
+
|
+
|
+
|
|
+
|
+
|
|
+
|
|
|
3.
|
+
|
|
+
|
+
|
+
|
|
+
|
+
|
|
+
|
|
|
4.
|
+
|
+
|
+
|
|
+
|
|
+
|
+
|
|
+
|
|
|
5.
|
+
|
+
|
+
|
|
+
|
|
+
|
+
|
|
+
|
|
|
6
|
+
|
+
|
+
|
|
+
|
|
+
|
+
|
|
+
|
|
|
Ч/з час
|
+
|
+
|
+
|
|
+
|
|
+
|
+
|
|
+
|
|
Ученик 10 возраст 6,5
|
№ п.п.Число Хор Камень Гриб
Кино Зонт Море Шмель Лампа Рысь Дополнительные слова.
|
|
|
|
|
|
|
|
|
|
|
|
|
1.
|
|
+
|
+
|
+
|
+
|
|
+
|
+
|
|
+
|
|
|
2.
|
|
+
|
+
|
+
|
+
|
|
+
|
+
|
|
+
|
|
|
3.
|
+
|
+
|
+
|
+
|
+
|
+
|
|
+
|
|
|
4.
|
+
|
+
|
+
|
+
|
+
|
|
+
|
+
|
|
+
|
|
|
5.
|
+
|
+
|
+
|
+
|
+
|
|
+
|
+
|
|
+
|
|
|
6
|
+
|
+
|
+
|
+
|
+
|
|
+
|
+
|
|
+
|
|
|
Ч/з час
|
+
|
+
|
+
|
|
+
|
|
+
|
+
|
|
+
|
|
Ученик 11 возраст 6,5
|
№ п.п.Число Хор Камень Гриб
Кино Зонт Море Шмель Лампа Рысь Дополнительные слова.
|
|
|
|
|
|
|
|
|
|
|
|
|
1.
|
+
|
+
|
+
|
|
|
|
+
|
+
|
+
|
+
|
|
|
2.
|
+
|
+
|
+
|
|
|
|
+
|
+
|
+
|
+
|
|
|
3.
|
+
|
+
|
+
|
|
|
|
+
|
+
|
+
|
+
|
муха
|
|
4.
|
+
|
+
|
+
|
|
|
|
+
|
+
|
+
|
+
|
|
|
5.
|
+
|
+
|
+
|
|
|
|
+
|
+
|
+
|
+
|
|
|
6
|
+
|
+
|
+
|
|
|
|
+
|
+
|
+
|
|
|
|
Ч/з час
|
+
|
+
|
|
+
|
+
|
+
|
+
|
|
|
|
|
Ученик 12 Возраст 6,5
|
№ п.п.Число Хор Камень Гриб
Кино Зонт Море Шмель Лампа Рысь Дополнительные слова.
|
|
|
|
|
|
|
|
|
|
|
|
|
1.
|
+
|
|
|
|
+
|
+
|
+
|
|
|
+
|
|
|
2.
|
+
|
|
|
|
+
|
+
|
+
|
|
|
+
|
|
|
3.
|
+
|
+
|
|
|
+
|
+
|
+
|
|
|
+
|
|
|
4.
|
+
|
+
|
|
|
+
|
+
|
+
|
|
|
+
|
фонарь
|
|
5.
|
+
|
+
|
|
|
+
|
+
|
+
|
|
|
+
|
|
|
6
|
+
|
+
|
|
|
+
|
+
|
+
|
|
|
+
|
|
|
Ч/з час
|
+
|
+
|
|
|
+
|
+
|
+
|
|
|
+
|
|
Ученик 13 Возраст 6,5
|
№ п.п.Число Хор Камень Гриб
Кино Зонт Море Шмель Лампа Рысь Дополнительные слова.
|
|
|
|
|
|
|
|
|
|
|
|
|
1.
|
|
+
|
+
|
+
|
+
|
+
|
+
|
+
|
|
+
|
|
|
2.
|
|
+
|
+
|
+
|
+
|
+
|
+
|
+
|
|
+
|
|
|
3.
|
+
|
+
|
+
|
+
|
+
|
+
|
+
|
+
|
+
|
+
|
|
|
4.
|
+
|
+
|
+
|
+
|
+
|
+
|
+
|
+
|
+
|
+
|
|
|
5.
|
+
|
+
|
+
|
+
|
|
+
|
+
|
+
|
|
|
|
|
6
|
+
|
+
|
+
|
+
|
+
|
+
|
+
|
+
|
+
|
|
|
|
Ч/з час
|
|
+
|
+
|
+
|
+
|
+
|
+
|
+
|
+
|
+
|
|
Ученик 14 возраст 6
|
№ п.п.Число Хор Камень Гриб
Кино Зонт Море Шмель Лампа Рысь Дополнительные слова.
|
|
|
|
|
|
|
|
|
|
|
|
|
1.
|
+
|
+
|
+
|
|
+
|
+
|
+
|
|
+
|
+
|
груб
|
|
2.
|
+
|
+
|
|
+
|
|
+
|
|
|
|
|
|
|
3.
|
+
|
+
|
|
|
|
+
|
+
|
|
|
+
|
|
|
4.
|
+
|
+
|
|
|
+
|
|
+
|
|
|
+
|
|
|
5.
|
+
|
+
|
|
|
+
|
+
|
|
|
|
+
|
|
|
6
|
+
|
|
+
|
|
|
|
+
|
|
+
|
+
|
|
|
Ч/з час
|
+
|
+
|
|
|
|
|
+
|
|
+
|
+
|
|
Ученик 15 возраст 6,5
|
№ п.п.Число Хор Камень Гриб
Кино Зонт Море Шмель Лампа Рысь Дополнительные слова.
|
|
|
|
|
|
|
|
|
|
|
|
|
1.
|
+
|
+
|
|
+
|
|
+
|
|
+
|
|
+
|
|
|
2.
|
|
+
|
|
|
+
|
|
|
+
|
|
+
|
|
|
3.
|
|
+
|
|
+
|
+
|
|
|
+
|
+
|
+
|
|
|
4.
|
+
|
+
|
|
+
|
+
|
|
|
+
|
+
|
+
|
|
|
5.
|
+
|
+
|
|
+
|
+
|
|
|
+
|
+
|
+
|
|
|
6
|
+
|
+
|
|
+
|
+
|
|
|
+
|
+
|
+
|
|
|
Ч/з час
|
+
|
+
|
|
+
|
+
|
|
|
+
|
+
|
+
|
|
Ученик 16 Возраст 6
|
№ п.п.Число Хор Камень Гриб
Кино Зонт Море Шмель Лампа Рысь Дополнительные слова.
|
|
|
|
|
|
|
|
|
|
|
|
|
1.
|
+
|
|
+
|
|
+
|
+
|
|
|
+
|
+
|
река
|
|
2.
|
+
|
|
|
+
|
|
|
+
|
|
|
+
|
|
|
3.
|
+
|
+
|
|
|
|
|
|
|
+
|
+
|
|
|
4.
|
|
+
|
|
|
+
|
|
+
|
+
|
|
|
|
|
5.
|
+
|
|
|
+
|
|
|
|
+
|
+
|
+
|
|
|
6
|
|
|
|
|
|
+
|
+
|
+
|
+
|
|
|
Ч/з час
|
+
|
+
|
|
|
|
|
|
|
+
|
+
|
|
Ученик 17 возраст 6,5
|
№ п.п.Число Хор Камень Гриб
Кино Зонт Море Шмель Лампа Рысь Дополнительные слова.
|
|
|
|
|
|
|
|
|
|
|
|
|
1.
|
+
|
+
|
+
|
|
|
|
+
|
|
|
+
|
вода
|
|
2.
|
+
|
|
|
+
|
|
|
+
|
|
+
|
+
|
|
|
3.
|
|
+
|
|
+
|
|
|
+
|
|
+
|
+
|
|
|
4.
|
|
+
|
|
+
|
|
|
+
|
|
+
|
+
|
|
|
5.
|
+
|
|
|
+
|
|
|
|
|
+
|
+
|
|
|
6
|
|
+
|
|
+
|
|
|
+
|
|
+
|
+
|
|
|
Ч/з час
|
+
|
+
|
|
+
|
|
|
|
|
+
|
+
|
|
Ученик 18 Возраст 6
|
№ п.п.Число Хор Камень Гриб
Кино Зонт Море Шмель Лампа Рысь Дополнительные слова.
|
|
|
|
|
|
|
|
|
|
|
|
|
1.
|
+
|
|
+
|
|
|
|
+
|
|
+
|
+
|
|
|
2.
|
+
|
|
+
|
|
|
+
|
|
|
+
|
+
|
|
|
3.
|
+
|
|
+
|
+
|
|
+
|
|
|
+
|
+
|
|
|
4.
|
+
|
|
+
|
+
|
|
+
|
|
|
+
|
+
|
|
|
5.
|
+
|
+
|
|
+
|
|
+
|
|
|
+
|
+
|
|
|
6
|
+
|
+
|
|
+
|
|
+
|
|
+
|
+
|
+
|
|
|
Ч/з час
|
+
|
+
|
|
+
|
|
+
|
|
+
|
+
|
+
|
|
Ученик 19 возраст 6
|
№ п.п.Число Хор Камень Гриб
Кино Зонт Море Шмель Лампа Рысь Дополнительные слова.
|
|
|
|
|
|
|
|
|
|
|
|
|
1.
|
+
|
|
+
|
+
|
+
|
|
+
|
+
|
+
|
|
|
|
2.
|
|
+
|
|
+
|
+
|
+
|
|
+
|
|
|
|
|
3.
|
+
|
+
|
|
|
+
|
+
|
|
+
|
+
|
|
|
|
4.
|
+
|
|
+
|
|
+
|
|
|
+
|
+
|
|
|
|
5.
|
+
|
+
|
|
+
|
|
|
|
+
|
+
|
|
|
|
6
|
+
|
|
+
|
|
+
|
|
|
+
|
+
|
|
|
|
Ч/з час
|
+
|
|
+
|
|
+
|
|
|
+
|
+
|
|
|
Ученик 20 возраст 6,5
|
№ п.п.Число Хор Камень Гриб
Кино Зонт Море Шмель Лампа Рысь Дополнительные слова.
|
|
|
|
|
|
|
|
|
|
|
|
|
1.
|
+
|
|
+
|
+
|
|
+
|
+
|
|
+
|
|
|
|
2.
|
+
|
|
|
+
|
|
+
|
|
+
|
+
|
|
|
|
3.
|
|
+
|
|
+
|
|
+
|
|
+
|
+
|
|
|
|
4.
|
|
+
|
|
+
|
|
+
|
|
+
|
+
|
|
|
|
5.
|
|
+
|
|
+
|
|
+
|
|
+
|
+
|
|
|
|
6
|
|
+
|
|
|
|
|
|
+
|
+
|
|
|
|
Ч/з час
|
|
|
|
+
|
|
+
|
+
|
|
+
|
|
|
ПРИЛОЖЕНИЕ 2
Похожие работы на - Особенности памяти дошкольника и младшего школьника
|