Производство полиэтилена высокого давления. Исследование устойчивости и определение областей различных режимов работы реактора
Федеральное
агентство по образованию
ГОСУДАРСТВЕННОЕ
ОБРАЗОВАТЕЛЬНОЕ УЧРЕЖДЕНИЕ
ВЫСШЕГО
ПРОФЕССИОНАЛЬНОГО ОБРАЗОВАНИЯ
«ВОРОНЕЖСКИЙ
ГОСУДАРСТВЕННЫЙ ТЕХНИЧЕСКИЙ УНИВЕРСИТЕТ»
(ГОУВПО
«ВГТУ»)
Факультет
автоматики и электромеханики
Кафедра
«Автоматизированные и вычислительные системы»
Специальность
«Вычислительные
машины, комплексы, системы и сети»
КУРСОВОЙ
ПРОЕКТ
По дисциплине
«Теория
информационно-управляющих вычислительных систем»
Тема работы
«Производство
полиэтилена высокого давления. Исследование устойчивости и определение областей
различных режимов работы реактора»
Разработала
Я.А. Харитонова
Руководитель
С.Л. Подвальный
Нормоконтроль
провел Качанов
Воронеж 2010г.
РЕФЕРАТ
Пояснительная записка 31страниц, 4 рисунков, 4 источника. Ключевые слова:
процесс производства полиэтилена высокого давления, устойчивость, определение
областей различных режимов работы реактора.
Объекты разработки - программа, иллюстрирующая области различных режимов
работы реактора.
Цель работы - рассмотреть процесс производства полиэтилена высокого
давления, рассмотреть вопрос устойчивости и определение областей различных
режимов работы реактора, разработать программу, иллюстрирующую области
различных режимов работы реактора.
Полученные результаты - рассмотрен процесс производства полиэтилена
высокого давления, рассмотрен вопрос устойчивости и определение областей
различных режимов работы реактора, разработана программа, иллюстрирующая
области различных режимов работы реактора.
Основные конструктивные, технологические и технико эксплуатационные
характеристики - персональная ЭВМ.
ВВЕДЕНИЕ
Полиэтилен
- термопластичный
<#"540888.files/image001.gif">
Рисунок 1 - Стадии производства полиэтилена высокого давления
Этилен с установки газоразделения или хранилища
подается под давлением 1-2 МПа и при температуре 10-40 °С в ресивер 1, где в
него вводится возвратный этилен низкого давления и кислород (при использовании
его в качестве инициатора). Смесь сжимается компрессором промежуточного
давления 2 до 25-30 МПа. соединяется с потоком возвратного этилена
промежуточного давления, сжимается компрессором реакционного давления 3 до
150-350 МПа и направляется в реактор 4. Пероксидные инициаторы в случае
использования их в процессе полимеризации вводятся с помощью насоса 9 в
реакционную смесь непосредственно перед реактором. В реакторе происходит
полимеризация этилена при температуре 200-320 °С. На данной схеме приведен
реактор трубчатого типа (смотрим рисунок 2), однако могут использоваться и
автоклавные реакторы.
Рисунок 2 - Технологическая схема производства полиэтилена высокого
давления
Образовавшийся в реакторе расплавленный полиэтилен
вместе с не- прореагировавшим этиленом (конверсия этилена в полимер 10-30%)
непрерывно выводится из реактора через дросселирующий клапан и поступает в
отделитель промежуточного давления 5, где поддерживается давление 25-30 МПа и
температура 220-270 °С. При этих условиях происходит разделение полиэтилена и
непрореагировавшего этилена. Расплавленный полиэтилен из нижней части
отделителя вместе с растворенным этиленом через дросселирующий клапан поступает
в отделитель низкого давления 10. Этилен (возвратный газ промежуточного
давления) из отделителя 5 проходит систему охлаждения и очистки (холодильники
б, циклоны 7), где происходит ступенчатое охлаждение до 30- 40 °С и выделение
низкомолекулярного полиэтилена, и затем подается на всасывание компрессора
реакционного давления 3. В отделителе низкого давления 10 при давлении 0,1-0,5
МПа и температуре 200- 250 °С из полиэтилена выделяется растворенный и
унесенный механически этилен (возвратный газ низкого давления), который через
систему охлаждения и очистки (холодильник 12, циклон 13) поступает в ресивер
14. Из ресивера сжатый бустерным компрессором 16 возвратный газ низкого
давления (с добавленным в него при необходимости модификатором) направляется па
смешение со свежим этиленом.
Расплавленный полиэтилен из отделителя низкого
давления 10 поступает в экструдер 11, а из него в виде гранул пневмо- или
гидротранспортом направляется на конфекционирование и дополнительную обработку.
Управление реактором полимеризации является одной из
наиболее сложных задач, реализуемых АСУ установками ПЭВД. Это обусловливается
возможностью неустойчивых режимов в работе реактора, высокой динамичностью
процесса, необходимостью в ряде областей значений параметров пульсаций давления
в реакторе. Все указанные задачи реализуются с помощью специализированного
аналого-цифрового вычислительного устройства, получившего название „главный
регулятор".
Главный регулятор выполняет следующие основные
функции:
контроль давления и максимальной температуры в
реакторе;
а) пропорционально-интегрально-дифференциальное
регулирование (ПИД) давления в стационарных режимах;
б) пульсацию давления в реакторе (периодический
сброс с последующим подъемом давления на 20-40 МПа);
в) автоматическое изменение структуры регулятора
при включении пульсаций; выбор и коррекция давления по максимальной температуре
в реакторе;
г) аварийная защита процесса;
д) связь с вычислительным комплексом в АСУ.
Структурная схема главного регулятора, реализующего
указанные функции, представлена на рис. 3. Основной частью схемы является блок
ПИД-регулятора 1, на вход которого поступают сигналы от датчика давления 2 в
реакторе и сигнал задания давления от блока формирования задания 5. Выход блока
1 поступает в блок формирования выходного сигнала 6.
Задание на давление, которое поддерживается главным
регулятором в реакторе, формируется в блоке 5 в соответствии с заданием от
опера- тора-технолога, устанавливаемым с помощью блока 4 ручного задания
давления, сигналов от блока 10 (коррекция давления по температуре), блока 8
(формирование задания от ЭВМ), блока 7 (управление пульсацией) и блока 9 (анализ
срабатывания аварийных программ).
Измерение температуры осуществляется с помощью ряда
специальных термопар, устанавливаемых по длине трубчатого реактора. Общее число
таких датчиков температуры в зависимости от длины реактора от 50 до 90.
Коррекция давления ведется по максимальной из температур в реакторе (для
многозонного реактора - по максимальной из температур в каждой из зон
реактора).
Рисунок 3 - Структурная схема главного регулятора
Выбор максимумов для каждой зоны реактора
осуществляется в блоке 11. Коррекция давления по температуре 12 осуществляется
при превышении какой-либо из максимальных температур своего максимального
значения.
В регуляторе предусмотрена возможность установки
задания давления в реакторе от ЭВМ (например, для реализации оптимального
режима в реакторе, рассчитываемого с помощью ЭВМ). Эта функция выполняется с
помощью блокакоторый принимает и преобразует цифровые сигналы от ЭВМ и в
соответствии с этим формирует задание ПИД-регулятору.
Блок 7 обеспечивает при необходимости пульсирующий
режим работы реактора - периодическое быстрое снижение давления в реакторе на
20-35 MПa и последующий его подъем до номинального значения. Требуемая
периодичность таких пульсаций (от нескольких секунд до минут) и глубина сбросов
давления могут задаваться вручную оператором или рассчитываться в ЭВМ.
С помощью блока 9 осуществляется анализ срабатывания
аварийных программ и управление работой регулятора при аварийных режимах.
Безударный переход при необходимости на ручное управление процессом, а также
задание оператором-технологом настроек регулятора, требуемых параметров
технологического режима, реализуемого регулятором, осуществляется с помощью
блока 5.
Главный регулятор с целью повышения его надежности
выполнен в виде автономного аналого-цифрового устройства. Применение аналого-
цифровой техники позволяет реализовать требования по высокому быстродействию
главного регулятора и дает возможность включать его в общую систему управления,
построенную на базе цифровой ЭВМ.
Информационно - управляющая схема приведена на рисунке
4.
Рисунок
4 - ИУС
Температура процесса, количество подаваемого инициатора и давление в
реакторе регулируются в зависимости от получаемой базовой марки полиэтилена.
Так, для получения более высокомолекулярного полиэтилена температуру процесса и
количество подаваемого инициатора снижают.
Реактор может работать в двух режимах полимеризации - однозонном и
двухзонном. При проведении процесса в двухзонном режиме на мешалке
устанавливается специальная перегородка, которая позволяет поддерживать в зонах
разную температуру при одинаковом давлении в реакторе. Двухзонный режим дает
возможность лучше регулировать процесс, благодаря использованию разных
температур, соответствующих распаду применяемых инициаторов. Это особенно важно
при получении полиэтилена со сниженной полидисперсностью (т. е. уменьшением
разброса полиэтилена по молекулярной массе). Работа по двухзонному режиму
несколько снижает производительность реактора.
К реактору присоединяют две выхлопные трубы большого диаметра с
предохранительными клапанами отрывного действия (взрывная головка) на случай
повышения давления в реакторе выше нормы, что возможно при разложении этилена.
При работе с органическими перекисями в качестве инициаторов в реакторах
автоклавного типа между реактором и отделителем высокого давления устанавливают
продуктовый холодильник - теплообменный аппарат типа "труба в трубе".
Назначение продуктового холодильника - прекращение реакции полимеризации
этилена, которая может продолжаться вследствие наличия в реакционной смеси
остатков инициаторов. Холодильник разделен на секции, каждая из которых имеет
предохранительную мембрану на случай прорыва этилена в охлаждающий паровой
конденсат. Применение парового конденсата, а не обычной воды вызвано
необходимостью предохранения поверхности холодильника от отложения солей.
Технологические схемы производства полиэтилена при высоком давлении в
реакторе с перемешивающим устройством и трубчатом реакторе, кроме условий
работы реакторов, не имеют принципиальных отличий.
Преимущество трубчатого реактора перед реактором автоклавного типа
состоит в том, что он конструктивно проще, так как не имеет движущихся
механизмов, работающих в тяжелых условиях высокого давления и температуры; в
реакционную массу в трубчатом реакторе при применении кислорода не попадает
масло, которое вносится в реактор автоклавного типа с раствором органических
перекисей в масле. Металлоемкость трубчатого реактора больше, и управление
процессом в нем несколько сложнее.
Ниже приводится описание основного оборудования, применяемого в одном
технологическом потоке.
Компрессор первого каскада - поршневой, вертикальный, шестиступенчатый,
имеет электродвигатель с приводом для регулирования частоты вращения в широком
интервале. Применяется для сжатия этилена с 8-12 до 250 кгс/см2.
Теплота сжатия между ступенями снимается промежуточными кожухотрубными
холодильниками или холодильниками типа "труба в трубе".
Компрессор второго каскада - поршневой, двухкамерный с двумя ступенями
сжатия. Имеет электродвигатель с приводом для регулирования частоты вращения.
Применяется для сжатия газа от 250 до 2500 кгс/см2. Теплота сжатия
между ступенями снимается промежуточным и конечным холодильниками.
Реактор - аппарат, в котором протекает процесс полимеризации этилена,-
бывает двух типов: трубчатый и автоклавный с перемешивающим устройством.
Трубчатый реактор состоит из прямых отрезков труб, соединенных между
собой калачами (коленами). Трубы и калачи изготовляются из специальных
высококачественных, жароупорных сталей и оборудованы рубашками для циркуляции
воды. Рубашки соединены между собой последовательно. Длина реактора и диаметр
труб могут быть разными. В частности, в промышленности действуют реакторы,
имеющие длину 350 м при диаметре труб 0,034 м, т. е. отношение диаметра к длине
1:10 000. Количество тепла, которое можно отвести при помощи рубашки,
сравнительно невелико, так как коэффициент теплопередачи мал вследствие большой
толщины стенок реактора. Поверхность реактора лимитируется конструктивными
размерами.
Реактор автоклавного типа с перемешивающим устройством представляет собой
стальной вертикальный цилиндрический сосуд, рассчитанный на рабочее давление.
Внутренний диаметр 0,3-0,4 м, высота 6 м и более, т. е. отношение между
диаметром и высотой 1 : 15-20. Гидравлическое испытание производится на
давление, превышающее рабочее на 25-30%. Частота вращения мешалки 1000 или 1500
об/мин. Электродвигатель встраивается в верхнюю часть реактора, и он работает
при таком же давлении и температуре, что и реактор. Вал электродвигателя
соединен с валом мешалки при помощи шарнира. Верхняя и нижняя цапфы мешалки
опираются на радиально-упорные подшипники. Смазывают подшипники смесью этилена
с полиэтиленом. Реактор имеет секционные рубашки для нагревания горячим
воздухом в период пуска реактора в работу и охлаждения воздухом во время
нормального режима работы. Температура замеряется в четырех его точках по
высоте. В реакторе с перемешивающим устройством тепловой баланс более
благоприятен, чем в трубчатом реакторе, так как в реактор поступает этилен с
температурой 30-400C и тепло, выделяемое при реакции, расходуется на нагрев
этилена.
Продуктовый холодильник - теплообменный аппарат типа "труба в
трубе", длина каждой трубы 5 м, общая длина труб около 50 м. Диаметр
внутренней трубы 36 X 9, а наружной 60 X 4 мм.
Отделитель высокого давления - сосуд, объем которого около 800 л,
внутренний диаметр 520 мм, наружный 1100 мм и высота около 4 м. Работает под
давлением 250-300 кгс/см2.
Отделитель низкого давления - цилиндрический сосуд, собранный из
разъемных царг, со сварным конусом.
Все трубопроводы, по которым транспортируется расплав полиэтилена,
оборудуются паровыми рубашками.
Контролируется и регулируется технологический процесс дистанционно (т. е.
на расстоянии) с центрального пульта управления, причем давление и температура
регулируются автоматически. Давление: в ресивере возвратного этилена низкого
давления - при помощи клапана; в системе возвратного газа высокого давления -
изменением числа оборотов компрессора первого каскада, в полимеризаторе -
воздействием на дросселирующий клапан на выходе из полимеризатора полиэтилена и
непрореагировавшего этилена. Температура: возвратного этилена, подаваемого в
полимеризатор,- количеством воды, поступающей в рубашки холодильников; в
полимеризаторе - изменением количества подаваемого инициатора; на стенках
полимеризатора - количеством подачи охлаждающего воздуха.
Ручным управлением с центрального пункта регулируются: производительность
компрессора второго каскада - изменением числа оборотов двигателя; уровень в
отделителе низкого давления - изменением числа оборотов экструдера; величина
гранул полиэтилена - изменением скорости вращения ножей в гранулирующей
головке.
реактор
полимеризация этилен
3
МАТЕМАТИЧЕСКОЕ МОДЕЛИРОВАНИЕ РЕАКТОРА ПОЛИМЕРИЗАЦИИ ЭТИЛЕНА
3.1 Общая
структура модели реактора полимеризации
Математическое моделирование реактора полимеризации
этилена использовалось для решения большого числа различных задач, основными из
которых являются: выявление зависимостей между входными параметрами,
технологическим режимом и характеристиками молекулярной структуры получаемого
полимера; анализ влияния конструктивных размеров реактора на эффективность его
работы и оптимальное конструирование реактора; исследование устойчивости и
параметрической чувствительности режимов работы реактора; управление процессом.
Для решения этих задач в основном используются детерминированные математические
модели, полученньк на основе анализа физикохимических закономерностей процесса
полимеризации этилена.
Процесс полимеризации этилена при высоком давлении
может быть представлен как совокупность трех различных по физической природе и
взаимосвязанных процессов: химические реакции, тепловые процессы, процессы
сжатия газа и массообмена (рис. 1). Этой схеме реактора при математическом
описании соответствует система дифференциальных уравнений балансов:
материальных, теплового и баланса импульса. Материальные балансы реактора
составляются на основе кинетической модели процесса, приведенной в гл. 4. с
учетом принятых допущений по гидродинамическому режиму процесса. Тепловой
баланс реактора определяется скоростью высокоэкзотермичной реакции
полимеризации и условиями теплообмена в реакторе. Баланс импульса позволяет
определить изменение давления по длине при проведении процесса полимеризации в
трубчатом реакторе.
Рисунок 1 -Общая структура модели реактора
Обычно при составлении матемагической модели
трубчатого реактора его рассматривают как аппарат идеального вытеснения. так
как отношение длины аппарата к его диаметру для промышленных реакторов
достаточно велико (L/d> 1 • 104) .
Автоклавные реакторы в зависимости от характера решаемой с помощью модели
задачи и требуемой точности рассматривают как аппараты идеального смешения ,
каскад реакторов смешения или реактор, работающий в полусегре- гационном режиме
.
Процесс полимеризации можно также проводить в цепочке
последовательно соединенных реакторов смешения и вытеснения .
3.2
Математическое моделирование реактора смешения
Конструктивно реактор смешения выполняется в виде
одного достаточно компактного аппарата с небольшим отношением длины к диаметру
или в виде многокамерного реактора в едином корпусе с числом камер от 2 до 5. В
последнем случае модель реактора лучше представлять в виде каскада
последовательно соединенных аппаратов смешения.
В предположении об идеальности перемешивания и
постоянном давлении в реакторе математическая модель реактора может быть
представлена в виде следующей системы дифференциальных уравнений материальных и
теплового балансов. Материальный баланс для мономера
Материальный баланс для радикалов и растущих молекул
полимера
Материальный баланс для инициатора
Тепловой баланс реактора
Обычно исследование процесса полимеризации этилена при
высоком давлении проводится при допущении о квазистационарном протекании
реакции, т.е. предполагается, что концентрация активных радикалов [R] за рассматриваемый период не
изменяется и скорости реакций инициирования и обрыва цепи равны. При этом
условии
Если, кроме того, считать концентрацию мономера
постоянной вследствие малости ее изменения в ходе процесса (конверсия этилена
невелика), т.е. принять. что [М] = [М]0, то вместо уравнений мы
придем к системе двух нелинейных дифференциальных у равнений первою порядка,
которые имеют следующий вид.
Уравнение материального баланса для инициатора
Уравнение теплового баланса реактора
где Е - энергия активации суммарной реакции
Для удобства анализа системы приведем се к
безразмерной форме, введя следующие переменные. Безразмерная концентрация
инициатора
Безразмерная температура смеси
Безразмерное время
Имеем
где u -
безразмерны энергия активации
4
ИССЛЕДОВАНИЕ УСТОЙЧИВОСТИ СИСТЕМЫ И ОПРЕДЕЛЕНИЕ ОБЛАСТЕЙ РАЗЛИЧНЫХ
РЕЖИМОВ РАБОТЫ РЕАКТОРА
Получить аналитическое решение в квадратурах системы
дифференциальных уравнений
не удается из-за их нелинейности. Поэтому при
исследовании использовались методы качественной теории дифференциальных
уравнений.
Так как практический смысл имеют только положительные
значения параметров (концентрация и температура в процессе всегда
положительны), то мы будем рассматривать первую часть плоскости фазовой плоскости х. у, определяемой уравнениями. Координаты состояний
равновесия находятся из условия
Данное условие можно переписать в следующем виде
Подставив это выражение
и проведя несложные преобразования, получим
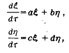
Исследование устойчивости системы выполняется с помощью
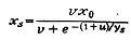
первого метода Ляпунова. Пусть xs и уs -
координаты исследуемого состояния равновесия на плоскости ху. Найдем уравнения
для х и у, подставив новые переменные в уравнения
Величины связаны с переменными х и у уравнениями
Правые части уравнений
являются аналитическими функциями в некоторой области
около рассматриваемого состояния равновесия, поэтому их можно разложить в ряд
Тейлора относительно этого состояния равновесия.
Учитывая это и пренебрегая членами высших степеней,
т.е. делая допущение о малости отклонений от состояния равновесия, получим
систему двух линейных дифференциальных уравнений с постоянными коэффициентами.
где a, b, c, d - коэффициенты
ряда Тейлора
Характеристическое уравнение для данной системы будет
Условия устойчивости системы соответственно
записываются в виде
Граница устойчивости определяется из условий
Кривые
позволяют разбить плоскость входных параметров системы
- входная температура у0, входная концентрация инициатора x0 - на ряд областей, отличающихся друг от друга числом
и характером устойчивости состоянии равновесия. Пример такой разбивки приведен
на рисунке 2. Исследование показывает, что области 1 и 2 соответствуют одному
состоянию равновесия: область 1 - устойчивому; 2 - неустойчивому; области 3-6 -
трем состояниям равновесия; в области 3 два из них устойчивы, одно неустойчиво;
в областях 4,5 - два неустойчивых и одно устойчивое состояние; в области 6 все
три состояния равновесия устойчивы.
Рисунок 2 - Области различных режимов работы реактора
где
a, b,c,d это
В начале я задаю определенный
интервал в программе
по ним нахожу
. Найдя
и зная
нахожу 
и
используя
и
В программе я изменяю
параметры V,U,W .Подбираю их соответствующим образом , что бы графики
, которые строит моя программа соответствовали рисунку 2. Код программы
приведен в приложение . На рисунке 3,4 показана работа программы, с
подобранными параметрами V,U,W, в программе
в цикле я
изменяю от 10 до 40 с шагом 0,1 .
Рисунок 4 - Работа программы
Рисунок 5 - Работа программы
ЗАКЛЮЧЕНИЕ
Полиэтилен
применяется в полиэтиленовых плёнках (особенно упаковочных, например,
пузырчатая упаковка <http://ru.wikipedia.org/wiki/%D0%9F%D1%83%D0%B7%D1%8B%D1%80%D1%87%D0%B0%D1%82%D0%B0%D1%8F_%D1%83%D0%BF%D0%B0%D0%BA%D0%BE%D0%B2%D0%BA%D0%B0>),
тара <http://ru.wikipedia.org/wiki/%D0%A2%D0%B0%D1%80%D0%B0>х (бутылки
<http://ru.wikipedia.org/wiki/%D0%91%D1%83%D1%82%D1%8B%D0%BB%D0%BA%D0%B0>,
банки <http://ru.wikipedia.org/wiki/%D0%91%D0%B0%D0%BD%D0%BA%D0%B0>,
ящики <http://ru.wikipedia.org/wiki/%D0%AF%D1%89%D0%B8%D0%BA>, канистры
<http://ru.wikipedia.org/wiki/%D0%9A%D0%B0%D0%BD%D0%B8%D1%81%D1%82%D1%80%D0%B0>,
садовые лейки <http://ru.wikipedia.org/wiki/%D0%9B%D0%B5%D0%B9%D0%BA%D0%B0>,
горшки
<http://ru.wikipedia.org/wiki/%D0%93%D0%BE%D1%80%D1%88%D0%BE%D0%BA> для
рассады), полимерных трубах для канализации
<http://ru.wikipedia.org/wiki/%D0%9A%D0%B0%D0%BD%D0%B0%D0%BB%D0%B8%D0%B7%D0%B0%D1%86%D0%B8%D1%8F>,
дренажа
<http://ru.wikipedia.org/wiki/%D0%94%D1%80%D0%B5%D0%BD%D0%B0%D0%B6>,
водо-, газоснабжения, электроизоляционных материал
<http://ru.wikipedia.org/wiki/%D0%94%D0%B8%D1%8D%D0%BB%D0%B5%D0%BA%D1%82%D1%80%D0%B8%D0%BA>ах,
термоклеях, броня <http://ru.wikipedia.org/wiki/%D0%91%D1%80%D0%BE%D0%BD%D1%8F>х
(бронепанели в бронежилетах), корпусах для лодок
<http://ru.wikipedia.org/wiki/%D0%9B%D0%BE%D0%B4%D0%BA%D0%B0>, вездеходов
. Поэтому тема даной курсовой рабаты очень актуальна для сегодняшнего дня.
Данная
курсовая работа выполнена в полном объеме. В курсовой работе рассмотрен процесс
производства полиэтилена высокого давления. Рассмотрен вопрос устойчивости и
определение областей различных режимов работы реактора, разработана программы,
иллюстрирующая области различных режимов работы реактора.
СПИСОК
ЛИТЕРАТУРЫ
1. Промышленное
производство полиэтилена - Электронные
дан. - Режим доступа: http://www.polymery.ru/material.php?id=3
2. Промышленное
производство полиэтилена - Электронные
дан. - Режим доступа:
<http://www.camelotplast.ru/info/history-polietilen.php> .
3. Промышленное
производство полиэтилена - Электронные
дан. - Режим доступа: <http://pro-okna.com/ spravochnik/
tekhnologiya_plastmass/ proizvodstvo_polietilena_nizkoy_plotnosti>
. Полиэтилен высокого
давления. Научно-технические основы промышленного синтеза / А. В. Поляков. Ф.
И. Дунтов, А. Э. Софиев и др. - Л.: Химия, 1988. - 200 с.
ПРИЛОЖЕНИЕ
Текст программы
using
System;System.Collections.Generic;System.ComponentModel;System.Data;System.Drawing;System.Linq;System.Text;System.Windows.Forms;dotnetCHARTING.WinForms;tiuvs1
{partial class Form1 : Form
{Form1()
{();
}void Form1_Load(object sender, EventArgs e)
{
}void button2_Click(object sender, EventArgs e)
{.Type = ChartType.Combo;//Horizontal;.Debug = true;.DefaultSeries.Type =
SeriesType.Line;SC1 = new SeriesCollection();SC3 = new SeriesCollection();s =
new Series();sd = new Series();.Name = "-(a+d)";.Name =
"ad-bc";ob = new Class1();.chart1 = chart1;.U = Convert.ToDouble(textBox1.Text);.V
= Convert.ToDouble(textBox2.Text);.W=
Convert.ToDouble(textBox3.Text);.SeriesCollection.Clear();.eval();
}
}
}System;System.Collections.Generic;System.Linq;System.Text;dotnetCHARTING.WinForms;System.Windows.Forms;tiuvs1
{Class1
{double U,V,W,d=0.1;Chart chart1;Chart chart2;Class1()
{
//throw new System.NotImplementedException();
}void eval()
{x, y, xn, yn, xnd, ynd, xd, xndk;.Type =
ChartType.Combo;//Horizontal;.Debug = true;.DefaultSeries.Type =
SeriesType.Line;.DefaultSeries.DefaultElement.Marker.Visible = false;SC1 = new
SeriesCollection();SC3 = new SeriesCollection();SC4 = new SeriesCollection();s
= new Series();sd = new Series();sdk = new Series();a = 20,b=30;(y = 10; y
<40; y +=10)
{= Math.Pow(((y * y * Math.Pow(Math.E, (1 + U) / y)) / (1 + U) * (1 /
(Math.Pow(Math.E, (1 + U) / y)) + V + V * (1 + W))), 2);= (x * (V + 1 /
(Math.Pow(Math.E, (1 + U) / y)))) / V;= y - (1 / (V * (1 + W))) * Math.Pow((V *
xn / (V + 1 / (Math.Pow(Math.E, (1 + U) / y)))), 0.5) * Math.Pow(Math.E,
(-(U+1)) / y);= Math.Pow(((V * (1 + W) * Math.Pow(Math.E, -(1 + U) / y)
+V*V*(1+W))/ ((3 / 2 * Math.Pow(Math.E, (-2 * (1 + U) / y)) * (1 + U) *
Math.Pow(y, -2)) + V * Math.Pow(Math.E, -(1 + U) / y))), 2);= (xd * (V + 1 /
(Math.Pow(Math.E, (1 + U) / y)))) / V;= y - (1 / (V * (1 + W))) * Math.Pow((V *
xnd / (V + 1 / (Math.Pow(Math.E, (1 + U) / y)))), 0.5) * Math.Pow(Math.E, (-(U
+ 1)) / y);= xnd + ynd * 10000000000;el = new Element();.XValue = yn;.YValue =
xn;.Elements.Add(el);eld = new Element();.XValue = ynd; .YValue =
xnd;.Elements.Add(eld);++; b++;
}.Add(s);.Add(sd);.SeriesCollection.Add(SC1);.SeriesCollection.Add(SC3);.RefreshChart();
}
}
}