Измерители глубин и их использование в судовождении – ПП.37
Министерство
науки и образования Украины
Севастопольский
морской колледж Киевской государственной академии водного транспорта имени
гетмана Петра Конашевича Сагайдачного
Контрольная
работа
на
тему "Измерители глубин и их использование в судовождении - ПП.37"
Выполнил:
студент группы
СВ-319
Приймак А.С.
Севастополь
г.
I. Теория
измерения глубин
За всю историю мореплавания
появились различные методы измерения глубины. Прибор для измерения глубины
называется "Лот". Лот- гидрографический
<#"540487.files/image001.gif">
Рис. 137.
На лицевой стороне крышки самописца расположены:
два предохранителя 1, вольтметр 3, лампочка 2, сигнализирующая о включении в
работу указателя, выключатель самописца 10, переключатель диапазонов 9,
рукоятка 6 регулятора усиления, выключатель 8 гашения нулевой вспышки, кнопка 7
оперативных отметок, тумблер 5 и лампа 4 контроля скорости вращения двигателя
самописца. Крышка самописца имеет застекленное окно 11 для наблюдения за
записью глубин и для заправки бумаги. При работе самописца необходимо:
поставить выключатель в самописце в положение "Включено"; выбрать
нужный диапазон измеряемой глубины и переключатель диапазонов поставить в
положение "200", "1000" или "2000"; с помощью
регулятора усиления и регулятора в усилителе добиться отчетливой записи глубин;
при измерении малых глубин включить тумблер "Гашение нуля".
Посылочное реле осуществляет автоматическое переключение конденсаторов,
заряженных до высокого напряжения, на обмотку вибратора-излучателя. Реле состоит
из двух катушек, подвижного контакта, являющегося якорем реле, спиральной
пружины и неподвижного контакта. Питание реле осуществляется через выпрямитель.
В коробке реле расположены также посылочные конденсаторы и высоковольтный
выпрямитель для зарядки посылочных конденсаторов.
Рис. 138.
Усилитель резонансного типа настроен на частоту
принимаемого сигнала. Максимальный коэффициент усиления около 106 раз. На
передней стенке шасси расположены кнопка подмагничивания, регулятор смещения на
тиратроне, плавкий предохранитель, включенный в первичную обмотку силового
трансформатора и патрон с сигнальной лампой. Фильтр предназначен для защиты
судовой сети от проникновения высокочастотных помех со стороны эхолота. Состоит
из дросселей и конденсаторов. На фильтре имеется рубильник для подачи питания
на комплект эхолота. Пуск эхолота НЭЛ-5 производится следующим образом. В
случае питания от сети переменного тока следует выключатель фильтра поставить в
положение "Включено", при этом будет подано питание на силовой
трансформатор усилителя, посылочное реле и на выключатель питания самописца и
указателя. Для остановки эхолота следует: вывести регулятор усиления;
выключатель самописца или указателя глубин поставить в положение "Выключено".
Контрольные вопросы
Принцип акустического измерения глубин
Все суда морского флота оснащаются приборами для
быстрого и точного измерения глубин. Такими приборами являются эхолоты, в
которых измерение глубины производится с помощью акустической энергии. Все
современные эхолоты, в том числе и навигационные, являются эхолотами
ультразвуковыми. Для правильного понимания действия эхолота познакомимся с
принципом акустического измерения глубин. Излучение ультразвукового сигнала и
прием отраженного сигнала осуществляются электроакустическими
преобразователями- вибраторами. При работе вибратора-излучателя (ВИ)
используется магнитострикционный эффект, заключающийся в изменении
геометрических размеров ферромагнитных тел при их намагничивании. При работе
вибратора-приемника (ВП) используется обратный магнитострикционный эффект,
заключающийся в изменении магнитного поля в ферромагнитных намагниченных телах
в момент приложения к ним механических усилий. Рассмотрим принципиальную схему
действия эхолота при работе с указателем глубин, изображенную на рис. 136.
Электродвигатель М через коробку скоростей КС вращает с постоянной скоростью
планку Я, на которой укреплена неоновая лампочка Л. Каждый раз, при прохождении
неоновой лампочки через нулевое деление шкалы глубин, посылочный кулачок К
производит кратковременное размыкание посылочных контактов КП, вследствие чего
цепь, питающая обмотку реле Р, размыкается и якорь Я под действием пружины
замыкает контакты. При этом контур, состоящий из посылочного конденсатора С,
заряженного до напряжения порядка 1500 в, и обмоток вибратора-излучателя ВИ
окажется замкнутым. Ток разряда конденсатора С, протекая по обмоткам
вибратора-излучателя, вызовет появление переменного электромагнитного Поля в
толще никелевого пакета вибратора. Вследствие явления магнитострикции
излучающая поверхность вибратора совершит несколько колебаний с определенной
частотой. Механические колебания пакетов никелевых пластин вибратора-излучателя
передаются окружающей среде (воде) и распространяются в виде короткого ультразвукового
импульса в направлении морского дна.

акустический
мореплавание лот навигационный
Обладая свойством отражения от поверхности
раздела двух сред различной плотности, ультразвуковой импульс частично
отразится от дна и достигнет вибратора приемника ВП. Часть импульса будет
поглощена грунтом дна моря. Отраженный импульс, попадая на пакет вибратора
приемника, вызовет его колебания, а следовательно, изменение остаточного
магнитного поля никелевого пакета. Под влиянием изменения магнитного поля в
обмотке вибратора будет наводиться незначительная переменная эле ктродвижущая
сила. Напряжение, возникающее на концах обмоток вибратора, подается на вход
усилителя У. Усиленный сигнал подается на сетку тиратрона усилителя и вызывает
его срабатывание, вследствие чего происходит разряд конденсатора, находящегося
в цепи анода тиратрона, на первичную обмотку выходного трансформатора Т. С
концов вторичной обмотки трансформатора напряжение, повышенное до 500 в, подается
на неоновую лампочку Л, вызывая ее кратковременное зажигание. Так как
ультразвуковой импульс имеет определенную скорость распространения, то за
промежуток времени между посылкой и приемом сигнала диск с неоновой лампочкой
повернется от своего нулевого положения на некоторый угол, пропорциональный
времени прохождения сигнала, следовательно и измеряемой глубине. Угол поворота
неоновой лампочки измеряется по круговой шкале, разбитой на равномерные деления
и градуированной в метрах. Таким образом, вспышка неоновой лампочки показывает
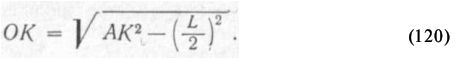
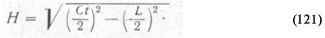
на шкале указателя измеряемую глубину. Пользуясь рис. 136, найдем точное
выражение для глубины под вибратором. Обозначим кратчайшее расстояние между
центрами вибраторов (база вибратора) через L. Глубина под вибраторами Н будет
представлять собой катет прямоугольного треугольника АОК, из которого следует
В этом выражении АК представляет собой половину
пути. пройденного звуком, т. е.АК = Ct/2 следовательно,
Формула (121) показывает, что выражение для
глубины под вибраторами имеет однозначную зависимость между измеряемым эхолотом
промежутком времени и искомой глубиной Н. Рассмотренный гидроакустический
принцип измерения глубин позволяет осуществить также автоматическую запись
глубин с помощью специальных приборов - самописцев, включаемых в комплект
эхолота.
Природа звуковых и ультразвуковых колебаний
Если в сплошной среде - газах,
жидкостях или твердых телах частицы среды окажутся выведенными из положения
равновесия, то упругие силы, действующие на них со стороны других частиц, будут
возвращать их в положение равновесия. При этом частицы будет совершать
колебательное движение. Распространение упругих колебаний в сплошной среде
представляет собой волнообразный процесс. Колебания с частотой от единиц Герц
(Гц) до 20 Герц называются инфразвуковыми, при частоте от 20 Гц до 16…20 кГц
колебания создают слышимые звуки. Ультразвуковые колебания
<#"540487.files/image006.gif">
Рисунок 1.1 - Диапазоны упругих
колебаний в материальных средах
Физическая природа упругих колебаний
одинакова во всем диапазоне частот. Для понимания природы упругих колебаний
рассмотрим их свойства. Форма волны
<#"540487.files/image007.gif">
а) движение частиц среды при
распространении продольной волны; б) движение частиц среды при распространении
поперечной волны.
Рисунок 1.2 - Движение частиц при
распространении волны
Любая волна, как колебание,
распространяющееся во времени и в пространстве, может быть охарактеризована
частотой, длиной волны и амплитудой (Рисунок 3) [3]
<#"540487.files/image009.gif">
Рисунок 1.3 - Характеристики колебательного
процесса
Частота
<http://u-sonic.ru/primenenie-ultrazvuka-v-promyshlennosti/slovar-terminov/>
- это количество колебаний, совершаемых системой в единицу времени; длина волны
- это расстояние, которое проходит волна за время равное периоду колебаний T (T
= 1/f ), т. е. за время, затраченное на одно колебание; амплитуда колебаний -
это максимальное отклонение колебательной системы от положения равновесия. По
своей физической природе звуковые и ультразвуковые колебания ничем друг от
друга не отличаются. Это упругие колебания в материальных средах. Рассмотрим,
какими параметрами можно охарактеризовать волну: Длина волны
<http://u-sonic.ru/primenenie-ultrazvuka-v-promyshlennosti/slovar-terminov/>λ - это
расстояние, которое проходит волна, пока частица среды совершает одно
колебательное движение. Расстояние между соседними максимумами или минимумами
возмущения считают длиной волны. Амплитуда колебаний
<http://u-sonic.ru/primenenie-ultrazvuka-v-promyshlennosti/slovar-terminov/>
А - представляет собой максимальное смещение частицы из положения равновесия во
время ее колебательного движения, вызванного возбуждением частиц среды. Частота
колебаний
<http://u-sonic.ru/primenenie-ultrazvuka-v-promyshlennosti/slovar-terminov/>
f - это число колебаний, совершаемых частицей среды за одну секунду. Единицей
частоты является Герц (Гц). Для звуковых волн, генерируемых средой, характерен
непрерывный ряд или диапазон частот. Самая низкая частота волны называется
основной или собственной, а остальные являются гармониками или обертонами.
Частота второй гармоники в два раза превышает собственную частоту системы.
Аналогично частота третьей гармоники превышает ее в три раза и т.д. Период
колебаний
<http://u-sonic.ru/primenenie-ultrazvuka-v-promyshlennosti/slovar-terminov/>Т
- это время, необходимое частице для совершения одного колебательного движения.
По определению время, за которое волна производит f колебаний, равно 1 секунде.
Колебание - это возвратно-поступательное движение из одного крайнего положения
в другое и обратно через положение равновесия. Фаза колебаний
<http://u-sonic.ru/primenenie-ultrazvuka-v-promyshlennosti/slovar-terminov/>
φ - это
отношение смещения колеблющейся частицы в данный момент времени к его
амплитудному значению. Если точки колебательного процесса находятся в одной
фазе (их разность фаз составляет 2π), то расстояние между этими
двумя точками равно одной длине волны λ. Скорость распространения
колебаний
<http://u-sonic.ru/primenenie-ultrazvuka-v-promyshlennosti/slovar-terminov/>С
- это расстояние, пройденное волной за одну секунду.
Рассмотрим особенности
ультразвуковых колебаний: Обычно границей начала ультразвукового диапазона
частот принято считать 16...20 кГц. Следует отметить, что столь большой
диапазон выбран по той причине, что для каждого человека граница ультразвука
(неслышимости звука) своя. Для некоторых это 10 кГц, для других - 20 кГц, а
встречаются уникумы способные воспринимать и 25 кГц. Еще более сложная проблема
с определением верхней границы ультразвукового диапазона. Возможности
человеческого уха здесь не играют роли, и приходится отталкиваться от
физической природы упругих колебаний, которые могут распространяться в
материальной среде при условии, длина волны больше межатомных расстояний. Длина
их волны пропорциональна 1/f . λ= с /f . На основании исследований
установлено существование УЗ колебаний с частотой большей, чем 100 мГц. УЗ
более высокой частоты затухает настолько, что колебания поглощаются
непосредственно у поверхности излучателя. На практике используются УЗ колебания
с частотой до 25 мГц [2,3]
<http://u-sonic.ru/primenenie-ultrazvuka-v-promyshlennosti/spisok-ispolzovannykh-istochnikov>.
Колебания таких высоких частот могут распространяться только в кристаллах.
Измерение глубины от поверхности
воды или от киля судна
Для измерения глубины в эхолотах используется
принцип эхолокации. Прибор содержит дисплей и ультразвуковой излучатель (рис.
8.3.), излучающий короткие ультразвуковые импульсы и принимающий отраженные от
дна сигналы.
Дисплей преобразует интервалы времени между
излученными и отраженными импульсами в значения глубин и отображает результаты
на экране. Отсчет глубин (как правило, в пределах 0,5-200 м) может
осуществляться как от поверхности воды, так и от излучателя или киля судна.
Помимо измерения глубины, эхолоты имеют возможность подачи сигналов тревоги при
увеличении или уменьшении заданной глубины на ходу, либо при изменении установленной
глубины на якорной стоянке.