Проектирование электрооборудования смолоперерабатывающего цеха
Введение
Работа всех отраслей промышленности в настоящее время
неразрывно связана с использованием электроэнергии, получаемой от электрических
станций. Все шире применяется электроэнергия на транспорте, в сельском
хозяйстве, в быту - для освещения, кондиционирования воздуха и др.
Остановимся на некоторых важных особенностях
электроэнергетики применительно к системам электроснабжения промышленных
предприятий.
1. Одновременность процессов производства,
распределения и потребления электроэнергии приводит к тому, что нельзя
произвести электроэнергию, не имея потребителей для нее: выработка
электроэнергии жестко определяется потреблением и наоборот. При этом следует
отметить, что преобразование, распределение и потребление электроэнергии на
всех уровнях системы электроснабжения происходит с потерями, которые необходимо
учитывать.
2. Быстрота протекания переходных процессов требует
обязательного применения в системе электроснабжения специальных автоматических
устройств. Основное назначение этих устройств - обеспечение функционирования
системы электроснабжения, заключающееся в передаче электроэнергии от источника
к месту потребления в необходимом количестве и соответствующего качества.
. Технологические особенности промышленных
предприятий различных отраслей промышленности заключаются в неравномерности
процесса производства, развитии и изменении технологического процесса,
увеличении электроемкости, обуславливают различия в принимаемых проектных
решениях по системам электроснабжения, например, в части обеспечения надежности
электроснабжения, гибкости схемы, применения конкретных изделий
электротехнической промышленности.
Приведенные особенности позволяют рассматривать
электроснабжение предприятия как самостоятельную подсистему в системе
производства.
1. Определение расчетных электрических нагрузок
1.1 Определение расчетной электрической
нагрузки отделения кристаллизации нафталина
Расчетная силовая нагрузка определяется по методу
упорядоченных диаграмм. Для этого электроприемники разбиваются на две
характерные группы:
а) электроприемники с переменным графиком нагрузки
(Ки<0,6).
б) электроприемники с практически постоянным
графиком нагрузки (Ки ≥
0,6).
При расчетах электрических нагрузок будем использовать
таблицу 1.1.
Средняя активная нагрузка за наиболее загруженную смену для
индивидуального электроприемника определяется по формуле:
см = Ки· Рном, [кВт]; (1.1)см = 0,14 · 27,8 = 4
(кВт); (1.2)
Средняя реактивная нагрузка за наиболее загруженную смену для
индивидуального электроприемника определяется по формуле:
см = Pcм · tgj, [кВАр];
см = 4· 1,33 = 5,32 (кВАр);
где Рном -
суммарная номинальная активная мощность рабочих электроприемников;
Ки -
коэффициент использования активной мощности;j - принимается по
соответствующему значению коэффициента мощности.
Средневзвешенный коэффициент использования определяется по
формуле:
Ки ср =
(1.3)
где ∑Рсм -
суммарная средняя активная нагрузка за наиболее загруженную смену группы
электроприемников, кВт;
∑Рном -
суммарная установленная мощность группы электроприемников, кВт.
Для приемников группы А определим эффективное число
электроприемников n э:
а) при
может быть определено по формуле:
, (1.4)
где
- номинальные активные мощности
наибольшего и наименьшего электроприемников в группе;
б) при
эффективное число ЭП определяется с
помощью кривых или таблицы [3];
в) при m
3 и любом значении
допускается принимать
= n, где n - исходное число ЭП. При
определении величины
могут быть исключены из расчета те
наименьшие ЭП группы, суммарная номинальная мощность которых не превышает 5%
суммарной мощности всей группы (при этом число исключенных ЭП не учитывается
также и в величине n).
Для нашего случая nэ =
4.
Коэффициент максимума активной мощности определяется по
кривым в зависимости от средневзвешенного коэффициента использования ки. ср и эффективного числа электроприемников nэ. При Ки.ср = 0,22 и n э =
4 коэффициент максимума равен Км =
2,32.
Расчетная активная Рм и реактивная Qм мощности
группы электроприемников с переменным графиком нагрузки определяется из
выражений:
Рм = Км · Рсм = 2,32 · 19 =44,8, [кВт] (1.5)
м =1,1 Qсм = 1,1 · 35,02 =38,5, [кВар], при nэ <10;
Для электроприемников группы Б с практически постоянным
графиком нагрузки расчетная активная и реактивная мощность принимается равной
средней за наиболее загруженную смену.
Рм = Рсм = 647, [кВт]м = Qсм = 468,7, [кВар]
Расчетная нагрузка осветительных приемников цеха определяется
по установочной мощности и коэффициенту спроса:
Рро = Ксо · Рно = 0,95 · 92 = 88,3, [кВт] (1.6)
Рно = Руд.о
Fц = 0,017
·2734,4 · 2 = 92, [кВт] (1.7)
где Ксо = 0,95 -
коэффициенту спроса для производственных зданий состоящих из отдельных крупных
пролетов;
Руд.о = 0,017,
[кВт/м2] - удельная плотность
осветительной нагрузки;ц = 2734,4,
[м2] - площадь цеха
(определяется по генплану).
1.2 Определение расчетной нагрузки
смолоперерабатывающего цеха
Расчет электрических нагрузок завода определяем по методу
коэффициента спроса.
Расчетная полная мощность цеха определяется по расчетным
активным и реактивным нагрузкам цехов (до и выше 1000 В) с учетом расчетной
нагрузки освещения цехов и территории предприятия, потерь мощности в
трансформаторах цеховых подстанций и ГПП и потерь в высоковольтных линиях.
Расчетная нагрузка (активная и реактивная) силовых приемников
отделений (кроме рассмотренного) определяются из соотношений:
Рр = КсРн; (1.8)p = Pptgj, (1.9)
где Рн -
суммарная установленная мощность всех приемников отделения;
Кс -
коэффициент спроса, принимаемый по справочным данным табл (л);j - принимается по
соответствующему значению коэффициента мощности.
Расчет осветительной нагрузки идентичен расчету осветительной
нагрузки отделения. Но в данном случае плотность нагрузки на единицу площади
берется 10 - 20 Вт/м2, а
коэффициент спроса по осветительной нагрузке Ксо = 0,6 - 1,0, в зависимости от производственного здания.
Приемники напряжением выше 1000В учитываются отдельно.
Расчетная активная и реактивная мощности групп приемников выше 1000В
определяется по выше приведенным формулам.
1.3 Определение суммарной нагрузки
смолоперерабатывающего цеха в целом
Электроприемники до 1000 В: Электроприемники выше 1000 В:
=7048,5 кВт;
=1200 кВт;
=6676 кВАр;
=600 кВАр;
=470,96 кВт.
Расчетная мощность предприятия на шинах напряжением до 1000 В за
максимально загруженную смену:
(1.10)
Так как трансформаторы цеховых подстанций и распределительная сеть
10 кВ еще не выбраны, то приближенно потери мощности в них можно определить из
выражений:
кВт; (1.11)
кВар; (1.12)
кВт. (1.13)
Суммарные расчетные активная, реактивная и полная мощности,
приведенные к шинам 10 кВ ГПП, определяются из выражений:
(1.14)
кВар, (1.15)
где kp.м -
коэффициент разновременности максимумов нагрузки отдельных групп
электроприемников, характеризующий смещение максимума отдельных ЭП во времени,
что вызывает снижение суммарного графика нагрузки по сравнению с суммой
максимумов отдельных ЭП или групп ЭП, принимаемый в пределах 0,9-0,95;
кВА. (1.16)
Так как трансформаторы главной понизительной подстанции еще не
выбраны, то приближенно потери мощности в них можно определить из выражений:
кВт; (1.16)
кВар. (1.17)
Наибольшее значение реактивной мощности, передаваемой из сети
энергосистемы в сеть предприятия в режиме наибольших активных нагрузок
энергосистемы:
кВар, (1.18)
где б - расчетный коэффициент, соответствующий средним
условиям передачи реактивной мощности по сетям системы к потребителям, с учетом
затрат на потери мощности и энергии в различных объединенных энергетических
системах:
для Сибири a = 0,24 при Uном = 35 кВ;
a = 0,29 при Uном = 110 кВ;
a = 0,40 при Uном = 220 кВ.
Мощность компенсирующих устройств:
кВар. (1.19)
Полная расчетная мощность предприятия со стороны высшего
напряжения трансформаторов ГПП определяется:
(1.20)
Рис. 1.1. Схема компенсации реактивной мощности
2. Картограмма нагрузок и определение центра
электрических нагрузок
Картограмма нагрузок представляет собой размещенные
на генплане цеха площади, ограниченные кругами, которые в определенном масштабе
соответствуют расчетным нагрузкам отделений.
Радиусы окружностей для каждого отделения определяются из
выражения:
, (2.1)
где Spi -
расчетная полная мощность i-го отделения с учетом освещения, кВА;- масштаб для
определения площади круга, кВА/мм2 (постоянный
для всех отделений).
Принимаем m=4, кВА/мм2.
Осветительная нагрузка наносится в виде сектора круга,
изображающего нагрузку до 1000 В. Угол сектора (б) определяется из соотношения
полных расчетных (Spi) и
осветительных нагрузок (Рр.о.)
отделений:
(2.2)
Для построения картограммы нагрузок используется таблица 2.1,
приведенная ниже.
Например:
=
=5,7 мм;
На генплане произвольно наносятся оси координат и определяются
значения Xi и Yi для каждого отделения.
Координаты центра электрических нагрузок месторождения X0 и Y0 определяются по формуле:
(2.3)
км;
км.
Генплан цеха с картограммой нагрузок показан на рисунке 2.1.
Таблица 2.1. Расчетные данные для построения картограммы нагрузок
|
N цеха по генплану
|
Spi,
кВА
|
Рро,
КВт
|
r, мм
|
a, град
|
xi,
мм
|
yi,
мм
|
Spi×xi, кВА×м
|
Spi×yi, кВА×м
|
|
1
|
2
|
3
|
4
|
5
|
6
|
7
|
8
|
9
|
|
Потребители 0,38 кВ
|
|
1
|
409,5
|
11,793
|
5,7
|
10,368
|
22,5
|
130
|
9213,661
|
53234,48
|
|
2
|
315,18
|
21,216
|
5
|
24,232
|
22,5
|
150
|
7091,694
|
47277,96
|
|
3
|
332,74
|
51,105
|
5,1
|
55,29
|
42,5
|
178
|
14141,85
|
59229,39
|
|
4
|
407,9
|
9,828
|
5,6
|
8,6737
|
97
|
180
|
39566,79
|
73422,9
|
|
5
|
265,65
|
3,9312
|
4,5
|
5,3273
|
120
|
182
|
31878,65
|
48349,29
|
|
6
|
610,23
|
12,729
|
6,9
|
7,5097
|
135
|
177
|
82381,25
|
108011
|
|
7
|
778,4
|
39,936
|
7,8
|
18,469
|
165
|
179
|
128436,7
|
139334,3
|
|
8
|
448,8
|
26,208
|
5,9
|
21,018
|
71
|
150
|
31870,43
|
67331,9
|
|
9
|
383,46
|
27,846
|
5,5
|
26,142
|
128
|
150
|
49083,02
|
57519,16
|
|
10
|
406,77
|
8,424
|
5,6
|
7,4554
|
123
|
134
|
50032,78
|
54507,26
|
|
11
|
822,5
|
31,824
|
8,09
|
13,928
|
76
|
104
|
62510,87
|
85541,19
|
|
12
|
87,46
|
11,79
|
2,6
|
48,539
|
128
|
105
|
11196,03
|
9184,242
|
|
13
|
371,7
|
26,676
|
8,7
|
25,837
|
70
|
75
|
26017,99
|
27876,42
|
|
14
|
953,5
|
27,846
|
5,43
|
10,513
|
130
|
90
|
123958
|
85817,09
|
|
15
|
304,7
|
5,8968
|
4,9
|
6,9661
|
115
|
70
|
35044,87
|
21331,66
|
|
16
|
1076,7
|
35,802
|
9,25
|
11,970
|
70
|
49
|
75368,22
|
52757,75
|
|
17
|
305,9
|
7,4256
|
4,9
|
8,7367
|
115
|
54
|
35186,89
|
16522,54
|
|
18
|
771,15
|
39,78
|
7,8
|
18,570
|
150
|
53
|
115673
|
40871,14
|
|
19
|
273,9
|
3,6855
|
4,67
|
4,8423
|
55
|
36
|
15069,65
|
9863,771
|
|
20
|
344,2
|
11,793
|
5,23
|
12,335
|
58
|
24
|
19962,26
|
8260,244
|
|
21
|
312,3
|
20,475
|
4,98
|
23,605
|
25
|
97
|
7806,351
|
30288,64
|
|
22
|
116,5
|
34,944
|
3,04
|
108,03
|
128
|
23
|
14904,94
|
2678,231
|
|
Потребители 10 кВ
|
|
22
|
848.5
|
-
|
8,21
|
-
|
128
|
23
|
108608
|
19515,5
|
|
Итого
|
10947,85
|
-
|
-
|
-
|
-
|
-
|
1095004
|
1118726
|
3. Схема внешнего и внутрипроизводственного
электроснабжения цеха
3.1 Выбор числа и мощности трансформаторов
цеховых подстанций
При установке на крупных промышленных предприятиях группы
цеховых трансформаторов их номинальная мощность определяется плотностью
нагрузки и выбирается, как правило, одинаковой для всей группы. Удельная
плотность нагрузки определяется по формуле:
(3.1)
Примем Sном тр =
1600 кВА (табл. 2. 5,3).
Минимально возможное число трансформаторов цеховых ТП:
(3.2)
где bТ - коэффициент
загрузки трансформаторов в нормальном режиме (принимается 0,7).
Полученную величину округляем до ближайшего большего целого числа,
принимаем N = 8 трансформаторов. После выбора числа и мощности цеховых
трансформаторов распределяют активные нагрузки цехов между ними равномерно.
Активная нагрузка на один трансформатор:
(3.3)
Определим число трансформаторов для установки в цехах предприятия:
; (3.4)
Для систематизации расчётов, представим полученные числа
трансформаторов, устанавливаемые в каждом цехе в виде таблицы 3.1.1.
Так как получаются дробные числа, то необходимо объединить
нагрузки ближайших цехов:
Таблица 3.1.2. Распределение электрических нагрузок по пунктам
питания
|
№ п/п
|
Наименование пункта питания
|
Потребители электроэнергии
|
Место расположения пункта питания на генплане
|
Примечание
|
|
1
|
2
|
3
|
4
|
5
|
|
1
|
ТП-1
|
Цеха №1, №2, №3
|
Цех №1
|
|
|
2
|
ТП-2
|
Цеха №4, №5, №6, №7, №8, №9
|
Цех №4
|
|
|
3
|
ТП-3
|
Цеха №10, №11, №12, №13, №14
|
Цех №14
|
|
|
4
|
ТП-4
|
Цеха №15, №16, №17, №18, №19, №20, №22
|
Цех №22
|
|
|
7
|
РУ-4
|
Цех №22
|
Цех №22
|
Потребители выше 1 кВ
|
3.2 Сравнение вариантов и выбор оптимального
числа трансформаторов на цеховых трансформаторных подстанциях с учетом
компенсации реактивной мощности
электрический нагрузка смолоперерабатывающий трансформатор
Мероприятия, проводимые по компенсации реактивной мощности
эксплуатируемых или проектируемых электроустановок потребителей, могут быть
разделены на следующие три группы:
• не требующие применения компенсирующих устройств;
• связанные с применением компенсирующих устройств;
• допускаемые в виде исключения.
Последние два мероприятия должны обосновываться
технико-экономическими расчетами и применяются при согласовании с
энергосистемой.
Мероприятия, не требующие применения компенсирующих
устройств:
. упорядочение технологического процесса, ведущее к улучшению
энергетического режима оборудования и к повышению коэффициента мощности;
. переключение статорных обмоток АД напряжением до 1000 В с
треугольника на звезду, если их нагрузка составляет менее 40%;
. устранение режима работы АД без нагрузки путем установки
ограничителей холостого хода;
. замена, перестановка и отключение трансформаторов,
загружаемых в среднем менее чем на 30% от их номинальной мощности;
. замена малонагруженных двигателей меньшей мощности при
условии, изъятие избыточной мощности влечет за собой уменьшение суммарных
потерь активной энергии в энергосистеме и двигателе;
. замена АД на СД той же мощности, где это возможно по
технико-экономическим соображениям;
. применение СД для всех новых установок электропривода, где
это приемлемо по технико-экономическим соображениям.
Мероприятия, связанные с применением компенсирующих
устройств:
. установка статических конденсаторов;
. использование СД в качестве компенсаторов.
Мероприятия по повышению коэффициента мощности, допускаемые в
виде исключения:
. использование имеющихся на предприятиях синхронных
генераторов в качестве синхронных компенсаторов;
. синхронизация асинхронных двигателей, причем она
допускается при нагрузке на валу не выше 70% от номинальной мощности и
соответствующем технико-экономическим обоснованием.
Электрическая сеть представляет собой единое целое, и
правильный выбор средств компенсации для сетей промышленного предприятия
напряжением до 1000 В, а также в сети 6-10 кв., можно выполнить только при
совместном решении задачи. На промышленных предприятиях основные потребители
реактивной мощности присоединяются к сетям до 1000 В.
Компенсация реактивной мощности потребителей может
осуществляться при помощи синхронных двигателей или батарей конденсаторов (БК),
присоединенных непосредственно к сетям до 1000 В или реактивная мощность может
передаваться в сеть до 1000 В со стороны сети напряжением 6-10 кВ от СД, БК, от
генераторов ТЭЦ или сети энергосистемы. Источники реактивной мощности (ИРМ) напряжением
6-10 кВ экономичнее соответствующих ИРМ до 1000 В, но передача мощности в сеть
до 1000 В может привести к увеличению числа трансформаторов и увеличению потерь
электроэнергии в сети и трансформаторах. Поэтому раньше следует выбрать
оптимальный вариант компенсации реактивной мощности на стороне до 1000 В.
•К секции РП - 10 кВ присоединена нагрузка мощностью Рн =1200
кВт.
•Потребляемая реактивная мощность в сети 10 кВ; Qа= 600 кВАр.
•В сети 0.4 кВ расчётные нагрузки за максимально загруженную
смену составляют: Qp=6676 кВАр, Рр=7519,46 кВт.
Наибольшее значение реактивной мощности, передаваемой из сети
энергосистемы в сеть предприятия в режиме активных наибольших нагрузок
энергосистемы определяем как меньшее из значений полученных по формулам:
0,29·8239,8= 2389,5 кВАр (3.5)
где: Рм: - активная нагрузка на шинах 10 кВ в режиме активной
наибольшей нагрузки энергосистемы
б=0,29 - расчетный коэффициент для Сибири, при высшем напряжении
понизительной подстанции 110 кВ.
7917,7-600=7317,7 кВАр (3.6)
м - реактивная нагрузка на шинах 10 кВ в режиме наибольшей
активной нагрузки энергосистемысм - реактивная мощность, которую вырабатывают
СД
Принимается меньшее значение; Qэ = 7917,7 кВАр:
К секции РП 10 кВ подключены 2 синхронных
двигателя типа СДН-15-30-10
Реактивная мощность, которую вырабатывает СД в режиме
перевозбуждения:
=1∙300∙2=600 кВАр (3.7)
где: Qн - номинальная реактивная мощность СД;
бм = 1 - коэффициент наибольшей допустимой перегрузки СД по
реактивной мощности, зависящий от типа двигателя, относительного напряжения на
его зажимах и коэффициента загрузки по активной мощности.
Условие баланса реактивной мощности:
(3.8)
т.к.
то установка высоковольтных БК не
требуется. отсюда располагаемая реактивная мощность:
= 7317,7+600-600= 7317,7 кВАр
Вариант 1. Принимаем: 8 трансформаторов + 12 конденсаторных
батарей
Количество реактивной мощности, которую могут передать
трансформаторы:
=
=
=
= 4872 кВАр. (3.9)
Мощность компенсирующих устройств на стороне 0,4 кВ:ку=
6676-4872=1803 кВАр.
Выбираем УК - 0,38-150 в количестве 12 штук комплектных конденсаторных
установок общей мощностью 1800 кВАр.= 380 В,= 150 кВАр,кб= 150·12 = 1800 кВАр.
Затраты:
З=
= 85 (6,65/300+6,8/(3002 ·2)·600)+0,12∙6,2∙1800+
+85∙1800∙4,5∙10-3=3236,826. у.д.е. (3.10)
где:
Е =0,12 - нормативный коэффициент эффективности для КУ
Стоимость потерь электроэнергии
Со - удельная стоимость потерь активной мощности
(для Сибири Со=85 руб./кВт)
∆Р - потери активной мощности на выработку реактивной
мощности
Удельная стоимость БК для U≤ 1000В: Ку=6,2 тыс.
руб./МВАр
Удельные потери активной мощности в БК на выработку
реактивной мощности для U≤ 1000В: Рбк=4,5*10-3 кВт/ кВАр;
Отношение номинальной мощности конденсатора к номинальной
мощности сети для U≤ 1000В: Uбк=1;
Относительная величина напряжения сети в точке подключения
БК:U=1
Вариант 2. Принимаем: 9 трансформаторов + 0 конденсаторных
батарей
Количество реактивной мощности, которую могут передать
трансформаторы:
=
=
= 6712,9 кВАр. (3.11)
Мощность компенсирующих устройств на стороне 0,4 кВ:ку=
6676-6712,9=-36,1 кВАр.
Выбираем УК - 0,38-150 в количестве 0 штук комплектных
конденсаторных установок общей мощностью 0 кВАр.= 380 В,= 150 кВАр,кб= 150*0 = 0 кВАр.
Затраты:
З=
= 85 (6,65/300+6,8/(3002)·600)+0,12∙6,2∙1800+85∙1800∙4,5∙10-3+0,12·35000=4200 у.д.е.
где:
Е =0,12 - нормативный коэффициент эффективности для КТП;
К =35000 у.д.е - стоимость КТП (Sн=1600 кВА)
Принимаем
Вариант 1 с установкой 8 трансформаторов и мощностью КБ на
стороне 0,4 кВ 1800 кВАр (12*УКБ - 0,38-150)
3.3 Технико-экономический расчет схемы внешнего
электроснабжения
Для выбора напряжения питающей линии, подходящей к ГПП цеха,
располагающейся на расстоянии 15 км от подстанции энергосистемы, рассчитаем два
варианта: 35 и 110 кВ.
Вариант 1. Напряжение питающей линии 35 кВ.
Выбор сечения провода производится по экономической плотности
тока:
(3.12)
А.
в аварийном режиме:
А;
где для Тмакс>5000 часов, jэконом=1А/мм2.
мм2. (3.13)
Выбираем ближайшее сечение АС-95 с длительно допустимым током 320
А.
Правильно выбранное сечение удовлетворяет следующим
условиям:
1) по нагреву:
1,3∙ Iдоп ≥
Iр макс;
,3∙320 ≥ 161.5
2) по допустимой потере напряжения:
доп = lДU1%∙ДUдоп %∙Кз ≥ lфакт, lфакт =
15 км, (3.14)
где lДU1% -
длина линии при полной нагрузке на 1% потери напряжения, км;ДU1% = 1,34 км для U = 35 кВ;
ДUдоп% = 5% -
допустимая потеря напряжения, %;
ДUдоп ав % =
10%;
Кз=
- коэффициент загрузки линии; (3.15)доп - допустимая длина линии, км;факт - фактическая длина линии, км;доп = 1,34∙5∙3,9 = 26.13
км.
Учитывая потери на «корону», и ограничения по механической
прочности, окончательно выбираем провод АС с сечением токопроводящей жилы Sэк = 95 мм2 с максимально допустимым
током 320 А.
Вариант 2. Напряжение питающей линии 110 кВ.
Выбор сечения провода производится по экономической плотности
тока:
А.
в аварийном режиме:
А;
где для Тмакс > 5000 часов, jэконом = 1 А/мм2.
мм2.
Выбираем ближайшее сечение АС-70 с предельно допустимым током 265
А.
Правильно выбранное сечение удовлетворяет следующим условиям:
) по нагреву:
,3∙ Iдоп≥Iр макс;
,3∙265 ≥ 52;
,5 ≥ 52.
2) по допустимой потере напряжения:
доп = lДU1%∙ДUдоп %∙Кз ≥ lфакт, lфакт =
15 км,
где lДU1% -
длина линии при полной нагрузке на 1% потери напряжения, км;ДU1% = 5,17 км для U = 110 кВ;
ДUдоп% = 5% -
допустимая потеря напряжения, %;
ДUдоп ав % =
10%;
Кз=
- коэффициент загрузки линии;доп - допустимая длина линии, км;факт - фактическая длина линии, км;доп= 5,17∙5∙10.2 = 263.7
км.
Учитывая потери на «корону», и ограничения по механической
прочности, окончательно выбираем провод АС с сечением токопроводящей жилы Sэк = 70 мм2 с максимально допустимым
током 265 А.
Проведем технико-экономическое сравнение вариантов.
Вариант 1. Напряжение питающей линии 35 кВ.
Стоимость потерь электроэнергии рассчитаем по формуле:
С = 2∙∆Руд∙К
∙ф∙∆Суд, (3.16)
где потери активной мощности на 1 км линии при Iдоп = 320 А,
∆ Руд35 = 130 кВт/км,
коэффициент загрузки линии:
Кз =
,
где Ф = 6200 - максимальное время потерь, стоимость одного
киловатта электроэнергии ДСэ=0,58
у.д.е./кВТ*ч.
С35 = 2∙∆Руд∙К
∙ф∙∆Суд = 2∙130∙0,0625∙6200∙0,58
= 58.435 тыс. у.д.е.
Затраты рассчитаем по формуле:
З = Ен∙К+И,
(3.17)
где для ВЛЭП Ен =
0,152, для силового оборудования Ен =
0,193, для ВВ 35 кВ
= 4,6 тыс. у.д.е., коммутационное
оборудование на 35 кВ
2,46 тыс. у.д.е., стоимость одного
километра двуцепной ВЛЭП напряжением 35 кВ на ж/б опорах
= 19,1 тыс. у.д.е./км, З = Ен∙К+И = 2∙0,193∙(4,6+2,46)+15∙(0,152∙19,1+58.435)
=922.8 тыс. у.д.е.
Вариант 2. Напряжение питающей линии 110 кВ.
С = 2∙∆Руд∙К
∙ф∙∆Суд,
где потери активной мощности на 1 км линии при Iдоп = 265 А, ∆ Руд110 = 125 кВт/км, коэффициент загрузки линии:
Кз =
,
где Ф=6200 - максимальное время потерь, стоимость одного киловатта
электроэнергии ДСэ = 0,58
у.д.е./кВТ∙ч.
С110 = 2∙∆Руд∙К
∙ф∙∆Суд = 2∙125∙0,0096∙6200∙0,58
= 8.65 тыс. у.д.е.
Затраты рассчитаем по формуле:
З = Ен∙К+И,
где для ВЛЭП Ен =
0,152, для силового оборудования Ен =
0,193, для ВВ 110 кВ
= 16 тыс. у.д.е., коммутационное
оборудование на 110 кВ
2,84 тыс. у.д.е., стоимость одного
километра двуцепной ВЛЭП напряжением 110 кВ на ж/б опорах
= 24,4 тыс. у.д.е./км, З110 = Ен∙К+И = 2∙0,193∙(16+2,84)+15∙(0,152∙24,4+8.65)
=192.683 тыс. у.д.е.
Окончательное решение по выбору напряжения питающей линии цеха
будем принимать после выбора трансформаторов на ГПП.
Выбираем мощность трансформаторов на ГПП:
кВА.
Вариант 1-1. Напряжение питания 35 кВ, Sтр = 10000 кВА.
Принимаем два трансформатора ТДН - 10000/35 мощностью 10000 кВт, с
коэффициентом загрузки
=0,35.
Паспортные данные трансформатора ТД - 10000/35:
ДРхх = 14,5 кВт;
ДРкз = 65 кВт;
Кт = 12,35 тыс.
у.д.е.
Рассчитаем стоимость потерь в трансформаторах:
Стр. = 2∙ (ДРхх∙Т+ДРкз∙К
∙ф) ∙ДСуд =
2 (14,5∙8760+65∙0,1225∙6200) ∙0,58 = 204,61 тыс. у.д.е.
Рассчитаем затраты на трансформаторы:
Зтр = Ен∙К+И = 2∙0,193∙12,35+204,61
= 209,4 тыс. у.д.е.
Полные затраты по варианту 1-1:
Зполн = З35+Зтр = 922,8+209,4 = 1132,18 тыс. у.д.е.
4. Схема внешнего электроснабжения цеха
Электроснабжение СПЦ осуществляется от подстанции
энергосистемы, которая находится на расстоянии 15 км от ГПП. При наличии одного
источника в целях резервирования принимается схема внешнего электроснабжения по
двум радиальным линиям напряжением 110 кВ (ГПП с двумя трансформаторами связи).
Питающие линии выполняются воздушными. В нормальном режиме работы пропускная
способность каждой из питающих линий составляет не менее половины расчетной
нагрузки цеха. В аварийном режиме работы любая из питающих линий с учетом
перегрузки (до 30%) должна обеспечить электроэнергией потребителей второй
категории.
На ГПП установлены два двухобмоточных трансформатора ТДН -
10000/110. ГПП размещается на территории цеха, в соответствии с расчетным
центром электрических нагрузок, со смещением в сторону источника питания.
На стороне 110 кВ принята схема с высоковольтным
выключателем.
Оборудование 10 кВ в ГПП установлено в закрытом помещении
(ЗРУ). На стороне 10 кВ принята одинарная система шин, секционированная
масляным выключателем с устройством АВР.
На ТП установлены трансформаторы номинальной мощностью 1600
кВА. Питание электроприемников производится через распределительные пункты,
нагрузка распределена равномерно. РУ 10 кВ выполняется из шкафов КРУ с
выключателями на выкатных тележках.
Мощность трансформаторов на ГПП определяется по формуле:
Расчетное значение округляется до ближайшего большего стандартного
значения:
Выбираем трансформаторы с Sном = 10000 кВА, ТД - 10000/110.
В нормальном режиме коэффициент загрузки трансформаторов ГПП
принимается равным 0,7, в аварийном режиме любой из трансформаторов с учетом
допустимой перегрузки (до 40%) обеспечит полностью необходимую мощность цеха,
т.к. S
‹ 1.4∙Sн.тр;
,5‹1,4∙10000 = 14000 кВА.
Так как Тм>
5000 ч и предприятие работает в три сменыэ = 1, А/мм2
Принимаем ближайшее стандартное сечение:
АС - 70доп = 265,
А
Проверим выбранное сечение
1. По аварийному току при отключении одной из линий
Iр.а 1,3 Iдоп
А < 1,3265 = 795, А
2. По условию коронирования
,
максимальное значение начальной критической напряженности
электрического поля (ф. 4.31, 1)
,
где m - коэффициент, учитывающий шероховатость поверхности провода
(m=0,82); rпр - радиус провода,
мм;
· напряженность электрического поля около
поверхности нерасщепленного провода (ф. 4.32, 1)
,
где
- среднегеометрическое расстояние между
проводами фаз, см; D - расстояние между соседними фазами, D = 400 см (табл.
8.2, 3);
кв/см;
кВ/см;
кВ/см;
,1 ≤ 31,37 кВ/см.
3. По условию механической прочности: 70 мм2 > 25 мм2.
. По потере напряжения:
.Схема электрической сети 10 кВ смолоперерабатывающего цеха
Распределительная сеть выше 1000 В по территории завода
выполняется кабельными линиями, проложенными в траншеях.
Сечения кабельных линий выбирается по экономической плотности
тока. Экономически целесообразное сечение F, мм2, определяется из выражения:
где Iр - расчетный
ток установки, А;эк -
нормированное значение экономической плотности тока, А/мм2, принимается по справочным
данным.
Полученное сечение округляется до ближайшего стандартного сечения.
Расчетный ток должен соответствовать условиям нормальной работы, при его
определении не следует учитывать увеличение тока при аварийных ситуациях.
Расчетным током линии для питающих цеховых трансформаторов, преобразователей,
высоковольтных электродвигателей и трансформаторов электропечей является их
номинальный ток, независимо от фактической нагрузки.
Расчетный ток определяем на одну линию
ГПП - ТП1 (Л - 1)
Принятое сечение S = 95, мм2, удовлетворяет условиям нормального и аварийного режимов
работы.
ГПП - ТП2 (Л - 2)
Принятое сечение S = 95 мм2, удовлетворяет условиям нормального и аварийного
режимов работы.
ГПП - ТП-3 (Л - 3)
Принятое сечение S = 95, мм2, удовлетворяет условиям нормального и аварийного режимов
работы.
ГПП - РУ-14 (Л - 4)
Принятое сечение S = 120, мм2, удовлетворяет условиям нормального и аварийного режимов
работы.
РУ-4 - ТП-4 (Л - 5)
Принятое сечение S = 95, мм2, удовлетворяет условиям нормального и аварийного режимов
работы.
6. Расчет токов короткого замыкания в сети напряжением выше 1000 В
Расчет токов короткого замыкания как во время проектирования
системы и элементов электроснабжения, так и при анализе роботы системы
преследует две цели:
1.
Определение
максимально возможных токов к.з. для проверки проводников и аппаратов на
термическую и электродинамическую стойкость во время к.з., а так же выборка мер
по ограничению токов к.з. или времени их действия.
2.
Определение
минимально возможных токов к.з. для проверки чувствительности защиты.
Все электрические аппараты и токоведущие части
электроустановок должны быть выбраны таким образом, чтобы исключить их
разрушение при прохождении по ним наибольших возможных токов К.З., в связи с
чем возникает необходимость расчета этих величин.
Расчет токов К.З. ведем в относительных единицах. Для этого
все расчетные данные приводятся к базисному напряжению и базисной мощности.
Для расчетов токов к.з. составляют расчетную схему системы
электроснабжения и на её основе схему замещения. Расчетная схема представляет
собой упрощенную однолинейную схему, на которой указывают все элементы системы
электроснабжения и их параметры, влияющие на ток к.з. Здесь же указывают точки,
в которых необходимо определить ток к.з.
Расчет токов К.З. ведем на участке ГПП - ТП 3.
Для расчета токов кз составляется расчетная схема -
упрощенная однолинейная схема электроустановки, в которой учитывают все
источники питания (подстанции, трансформаторы, линии).
Расчет токов к.з. приводим к базисному напряжению и базисной
мощности:б1=10,5 кВ; Uб2=115 кВ; Sб=100 МВА; базисные сопротивления в о.е.
определяются:
1. Сопротивление системы:
, принимаем Sс=∞,
Xc=0. (6.1)
2. Сопротивление воздушных линий:
0,034 о.е.; (6.2)
3. Индуктивное сопротивление трансформатора:
о.е. (6.3)
4. Сопротивление КЛ от ГПП до ТП-3:
о.е.; (6.4)
0,095 о.е.; (6.5)
о.е. (6.6)
Базисный ток:
кА; (6.7)
кА;
Действующее значение установившегося тока:
; (6.8)
для точки К1:
0,5 кА; (6.9)
действующее значение установившегося тока к.з.:
14,7 кА;
0+0,034=0,034 о.е.
ударный ток к.з.:
37,4 кА, (6.10)
где Ку - ударный
коэффициент. В цепи, когда рассматривается к.з. между воздушными линиями
напряжением 110 кВ Ку=1,8.
2941,2 МВА;
для точки К2:
5,5 кА;
Действующее значение установившегося тока к.з.:
5,07 кА;
0+0,034+1,05=1,084 о.е.
ударный ток к.з.:
12,9 кА,
92,3 МВА;
для точки К3:
5,5 кА;
Действующее значение установившегося тока к.з.:
5 кА;
0+0,034+1,05+0,016=1,1 о.е.
90 МВА;
Расчетные значения токов к.з. сведем в таблицу 6.1.
Таблица 6.1. Расчетные значения токов к.з.
|
Точка К.З.
|
UБ,
кВ
|
IБ,
кА
|
Z
|
КУ
|
IК,
кА
|
iУ,
кА
|
|
K1
|
115
|
0,5
|
0,034
|
1,8
|
14,7
|
37,4
|
|
K2
|
10,5
|
5,5
|
1,084
|
1,8
|
5,07
|
12,9
|
|
К3
|
10,5
|
5,5
|
1,1
|
1,8
|
5
|
12,7
|
Полученное по jэк сечение
кабеля необходимо проверить на термическую стойкость при к.з. в начале линии.
Термически стойкое сечение равно:
, (6.11)
где
- тепловой импульс тока к. з.,
.
ток к. з. На данном участке, кА.
+ Tа - время
отключения к.з., с.
полное время отключения выключателя.
время действия основной защиты.а = 0,01, сек - апериодическая составляющая затухания Iкз.
С - коэффициент, зависящий от допустимой температуры при к. з. и
материала проводника - для кабелей до 10 кВ с алюминиевыми жилами
По результатам расчетов токов К.З. проводим проверку правильности
выбора сечения кабеля питающего ТП - 3 от ГПП:
Определяем термически стойкое сечение:
Полученное сечение:
Выбранное сечение F=95 мм2 удовлетворяет условию термической стойкости.
7. Выбор электрооборудования в сетях напряжением
110 и 10 кВ
7.1 Выбор коммутационных аппаратов
Выбор выключателей 110 и 10 кВ произведем по следующим
параметрам:
1. По напряжению установки: Uуст ≤ Uном;
2. По длительному току: Iр ≤ Iн;
. По отключающей способности: I0 ≤ Iн.откл;
. По термической стойкости: Bk ≤ I2тер∙tтер.
Выбор выключателя 110 кВ осуществим в виде таблицы 7.1.
Выбор выключателя 10 кВ, установленного на низкой стороне
силового трансформатора ГПП, сведем в таблицу 7.2.
Выбор выключателя в распределительной сети 10 кВ сведем в
таблицу 7.5.
Выбор разъединителя 110 кВ
осуществим по следующим условиям:
1. По напряжению установки: Uуст ≤ Uном;
2. По длительному току: Iр ≤ Iн;
. По электродинамической стойкости: iу ≤ iдин;
. По термической стойкости: Bk ≤ I2тер∙tтер.
Выбор разъединителя сведем в таблицу 7.3.
Таблица 7.1.1 Выбор выключателя 110 кВ.
|
Расчетные данные
|
Выключатель МКП-110Б-630-20У1
|
|
Uуст =
110 кВ
|
Uн =
110 кВ
|
|
Imax =
60 А
|
Iн =
630 А
|
|
I0 =
14,7 кА
|
Iн.откл
= 20 кА
|
|
iу =
37,4 кА
|
iу =
52 кА
|
|
Bk =
14,72∙1,33 = 287,4 кА2с
|
I2тер∙tтер = 202∙3
= 1200 кА2с
|
Таблица 7.1.2. Выбор выключателя на низкой стороне силового
трансформатора ГПП
|
Расчетные данныеВыключатель ВМПЭ-10-1600-20У3
|
|
|
Uуст =
10 кВ
|
Uн =
10 кВ
|
|
Imax =
1000 А
|
Iн =
1600 А
|
|
I0 =
5,07 кА
|
Iн.откл
= 20 кА
|
|
iу =
12,9 кА
|
iу =
52 кА
|
|
Bk =
6,74 кА2с
|
I2тер∙tтер = 3200 кА2с
|
Таблица 7.1.3. Выбор разъединителя 110 кВ
|
Расчетные данные
|
Разъединитель РНДЗ.2-110/630Т1
|
|
Uуст =
110 кВ
|
Uном =
110 кВ
|
|
Imax =
60 А
|
Iном =
630 А
|
|
iу =
37,4 кА
|
iдин =
80 кА
|
|
Вк =
14,72∙1,33 = 287,4 кА2с
|
I2терм∙tтерм = 31,52∙4 = 3969 кА2с
|
Таблица 7.1.4. Выбор выключателя и разъединителя 10 кВ
|
Расчетные данные
|
Каталожные данные
|
|
Выключатель ВМПЭ-10-630-31,5У3
|
Разъединитель РЛНД.2-10/400У1
|
|
Uуст =
10 кВ
|
Uном =
10 кВ
|
Uном =
10 кВ
|
|
Imax =
364 А
|
Iном =
630 А
|
Iном =
400 А
|
|
iу =
12,7 кА
|
iдин =
80 кА
|
iдин =
25 кА
|
|
Iо =
5 кА
|
Iн.откл =
20 кА
|
-
|
|
Вк=52∙1,33=6,65 кА2с
|
I2терм∙tтерм=31,52∙4=3969
кА2с
|
I2терм∙tтерм=102∙4=400
кА2с
|
Принимаем к установке разрядник РТФ-110-1/БУХЛ1 с Uном=110, кВ.
7.2 Выбор трансформаторов тока
Осуществляем выбор по следующим условиям:
1. По напряжению установки: Uуст ≤ Uном;
2. По длительному току: Iнорм ≤ Iном;
Imax ≤ Iном;
. По электродинамической стойкости: iу ≤ iдин;
. По термической стойкости: Bk ≤ I2тер∙tтер;
. По вторичной нагрузке:2 ≤ Z2 ном;
r2 = Z2 ≤ Z2
ном,
где Z2 -
вторичная нагрузка трансформатора тока;2 ном - номинальная допустимая нагрузка трансформатора тока в
выбранном классе точности.
Выбор трансформатора тока сведем в таблицу 7.5.
Таблица 7.5. Выбор трансформатора тока 110 кВ
|
Расчетные данные
|
Каталожные данные ТФЗМ-110Б-1-ХЛ1
|
|
Uуст =
110 кВ
|
Uном =
110 кВ
|
|
Imax =
60 А
|
Iном =
100 А
|
|
iу =
37,4 кА
|
iдин =
41 кА
|
|
Вк =
287,8 кА2с
|
I2терм*tтерм = 102*3
= 300 кА2с
|
|
r2 =
z2 = 1,2 Ом
|
z2 =
1,2 Ом
|
Проверим выбранный трансформатор тока по вторичной нагрузке.
Таблица 7.6. Вторичная нагрузка трансформатора тока
|
Прибор
|
Тип
|
Нагрузка, ВА, фазы
|
|
|
А
|
В
|
С
|
|
Счетчик активной энергии
|
СА4-И 682
|
2,5
|
-
|
2,5
|
|
Счетчик реактивной энергии
|
СР4-И 682
|
2,5
|
-
|
2,5
|
|
Амперметр регистрирующий
|
Н-344
|
-
|
10
|
-
|
|
Ваттметр
|
Д-335
|
0,5
|
-
|
0,5
|
|
Итого
|
|
5,5
|
10
|
5,5
|
Наиболее загружен трансформатор тока фазы В.
Ом.
Допустимое сопротивление проводов:
пр=z2ном-rприб-rк=1,2-0,4-0,1=0,7 Ом,
где rк=0,1 Ом
- принимается при числе приборов, большем трех (сопротивление контактов).
Зная rпр,
можно определить сечение соединительных проводов:
где с=0,0283 - удельное сопротивление провода, Ом/м.расч=2∙l=2∙75=150 м.
мм2.
Принимаем контрольный кабель АКРВГ с жилами сечением 6 мм2.
Выбор трансформатора тока 10 кВ сведем в таблицу 7.7.
Таблица 7.7. Выбор трансформатора тока 10 кВ
|
Расчетные данные
|
Каталожные данные ТШЛ-10-У3
|
|
Uуст =
10 кВ
|
Uном =
10 кВ
|
|
Imax =
1100 А
|
Iном =
2000 А
|
|
iу =
12,9 кА
|
iдин =
25 кА
|
|
Вк =
6,8 кА2с
|
I2терм∙tтерм = 3675 кА2с
|
|
r2 =
z2 = 1,2 Ом
|
z2 =
1,2 Ом
|
Проверка производится аналогично трансформатору тока 110 кВ
ТФЗМ.
7.3 Выбор трансформаторов напряжения
Осуществляем выбор трансформаторов напряжения по следующим
условиям:
1. По напряжению установки: Uуст ≤ Uном;
2. По конструкции и схеме соединения обмоток;
. По классу точности;
. По вторичной нагрузке:
2∑ ≤ Sном,
где Sном -
номинальная мощность в выбранном классе точности;2∑ - нагрузка всех измерительных приборов.
Выбираем трансформатор напряжения НТМИ-10-71У3:ном=10 кВ;
класс точности: 0,5.
Проверим по вторичной нагрузке:ном - номинальная мощность в выбранном классе точности, для
трансформаторов, соединенных по схеме открытого треугольника следует взять
удвоенную мощность одного трансформатора;2∑ - нагрузка всех измерительных приборов и реле,
присоединенных к трансформатору напряжения, ВА.
(7.1)
Таблица 7.8. Вторичная нагрузка трансформатора напряжения
|
Прибор
|
Тип
|
Мощность одной обмотки, ВА
|
Число обмоток
|
cos ц
|
sin ц
|
число приборов
|
Общая потребляемая мощность
|
|
|
|
|
|
|
|
Р, Вт
|
Q, ВАр
|
|
Вольтметр (сборные шины)
|
Э-335
|
2
|
1
|
1
|
0
|
1
|
2
|
-
|
|
Счетчик активной энергии
|
Ввод 6 кВ от трансформатора
|
И-674
|
3 Вт
|
2
|
0,38
|
0,925
|
1
|
6
|
14,5
|
|
Счетчик реактивной энергии
|
|
И-673
|
3 Вт
|
2
|
0,38
|
0,925
|
1
|
6
|
14,5
|
|
Счетчик активной энергии
|
Линии 6 кВ
|
И-674
|
3 Вт
|
2
|
0,38
|
0,925
|
7
|
42
|
102
|
|
Счетчик реактивной энергии
|
|
И-673
|
3 Вт
|
2
|
0,4
|
0,93
|
7
|
42
|
102
|
|
Итого
|
|
96
|
233
|
Вторичная нагрузка трансформатора напряжения первой секции:
ВА.
Трансформаторы, соединенные по схеме открытого треугольника
имеют мощность: 2∙75=150 ВА.ном <
S2∑, поэтому
предусматриваем дополнительно установку двух трансформаторов НТМИ-10-71У3,
общей мощностью 2∙75=150 ВА.
Полная мощность всех установленных на первой секции
трансформаторов напряжения: 150+150=300 ВА.
Таким образом, трансформаторы напряжения будут работать в
выбранном классе точности 0,5.
Выбор трансформаторов напряжения второй секции шин
производится аналогично.
Выбираем трансформаторы НТМИ-10-71У3.
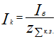
7.4 Выбор шин и изоляторов
Сечение шин выбирают по нагреву длительно проходящим
максимальным током нагрузки и по экономической целесообразности.
Проверку шин производят: на устойчивость к
электродинамическому воздействию токов к.з. и дополнительным механическим
усилиям, возникающим в шинах от собственных колебаний и на термическую
устойчивость к токам к.з.
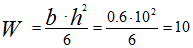
1. Выбор шин по длительно допустимому току (по нагреву).
Imax раб ≤
Iдоп;max раб = 1100 А;
, (7.2)
где Iдоп -
допустимый ток на шины выбранного сечения;доп ном - допустимый ток по таблицам при температуре воздуха V0 ном=250С;0 -
действительная температура воздуха;доп -
допустимая температура нагрева продолжительного режима, Vдоп=700С (ПУЭ).
=1159,5А,
,5 < 1425 А,
по условию нагрева шины проходят.
Принимаем шины прямоугольного сечения, алюминиевые (100*6) мм.
2. Проверка сборных шин на термическую стойкость:
мм2, (7.3)
что меньше принятого сечения.
С=91
- для алюминиевых шин,
3. Проверяем шины на механическую прочность.
, (7.4)
где l - длина пролета между изоляторами, м;- момент инерции
поперечного сечения шины относительно оси, перпендикулярной направлению
изгибающей силы, см4;-
поперечное сечение шины, см2.
Изменяя длину пролета и форму сечения шин, добиваются того, чтобы
механический резонанс был исключен, то есть 200<f0<30, Гц.
,
где l=2 м - ориентировочно принятая длина пролета между
изоляторами.
Если шины на изоляторах расположены плашмя, то
см4; (7.5)
=176.8 Гц.
Так как f0<200
Гц, принимаем решение увеличить l до 5 м:
=28,3 Гц<30 Гц,
то есть механический резонанс не возникнет.=10*0,6=6 см2 - поперечное сечение шины.
Принимаем расположение шин плашмя; пролет 5 м; расстояние между
фазами а=0,8 м.
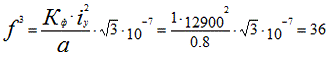
Наибольшее удельное усилие при трехфазном к.з.:
Н/м, (7.6)
где Кф=1, так как
а >> 2 (b+h);
см >> 2
(10+0,6) = 21,2 см.
Напряжение в материале полосы, возникающее при воздействии
изгибающего момента:
0.9 МПа, (7.7)
где
см3-момент сопротивления шины.
Шины механически прочны, если
=0.9≤
=42,
где
=0,7∙60=42 МПа,
где
- допустимое механическое напряжение в
материале шин;
- разрушающее напряжение для алюминиевой шины марки АДО.
Таким образом, шины механически прочны.
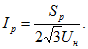
7.5 Выбор опорных изоляторов
Осуществляем выбор опорных изоляторов по следующим условиям:
1. По номинальному напряжению: Uуст ≤ Uном;
2. По допустимой нагрузке:
расч ≤ Fдоп;
где Fрасч -
сила, действующая на изолятор;доп -
допустимая нагрузка на головку изолятора;
доп=0,6∙Fразр,
где 0,6 - коэффициент запаса;разр - разрушающая нагрузка на изгиб.
, (7.8)
где Кh -
поправочный коэффициент на высоту шины, Кh=1 - при расположении шин плашмя.
, Н < Fдоп= =
0,6*4000 = 2400 Н.
Выбираем опорные изоляторы И4-80УХЛ3 с Uн = 10 кВ; Fразр = 4 кН.
7.6 Выбор шкафов КРУ 10 кВ
Принимаем к установке в РУ шкафы выкатного исполнения на базе
маломасляных выключателей серии КМ-1.
Параметры шкафа:
Номинальное напряжение, кВ: 10.
Номинальный ток, А: 1600 - сборных шин;
- шкафа.
Количество и сечение
силовых кабелей в шкафах
отходящих линий, мм2: 4
(3*240).
Номинальный ток
отключения, кА: 20.
Электродинамическая
стойкость, кА: 51.
Тип выключателя ВМПЭ - 10.
Тип привода к выключателю: встроенный пружинный и
электромагнитный.
8. Молниезащита
Защиту распределительных устройств (РУ) от прямых ударов
молнии осуществляют при помощи стержневых молниеотводов.
Молниеотвод состоит из металлического молниеприемника,
который возвышается над защищаемым объектом и воспринимает удар молнии и
токопроводящего спуска с заземлением, через которые ток молнии отводится в
землю.
Пространство вблизи молниеотвода, в пределах которого
поражение защищаемого объекта маловероятно, называют зоной защиты молниеотвода.
8.1 Выбор высоты молниеотводов
Защиту открытого распределительного устройства (ОРУ) 110/10
кВ осуществляем четырьмя молниеотводами, расположенными по углам ОРУ.
Предельные расстояния между молниеотводами:
Необходимым условием защищенности всей площади, заключенной внутри
прямоугольника:
- для молниеотводов высотой
м;
- для молниеотводов высотой от 30 до 100 м,
где D - диагональ прямоугольника, в вершинах которого расположены
молниеотводы.
Принимаем
- превышение высоты молниеотвода над
высотой защищаемого объекта (активная высота молниеотвода).
- рассматриваемый уровень над поверхностью
земли (высота опорных конструкций ГПП).
Полная высота молниеотвода:
Проверка:
49 м < 56,2 м
Принимаем
ha = 0,92 м следовательно D = 57,4 м
8.2 Определение границ зоны защиты
Зона защиты четырех стержневых молниеотводов значительно превышает
сумму зон защиты одиночных молниеотводов.
Внешняя часть зоны защиты строится для каждой пары молниеотводов.
Радиус защиты rx для
внешних областей зоны защиты определяется как для одиночного стержневого
молниеотвода:

;

Наименьшая ширина защиты bx между молниеотводами на уровне hx определяется по приближенной формуле:
,
где а - расстояние между молниеотводами

Из этого следует, что защищаемый объект находится внутри зоны
зашиты.
9. Релейная защита и автоматика элементов систем
электроснабжения промышленных предприятий
9.1 Назначение РЗ и А
Устройства защиты и автоматики должны выполнять определенные
функции. Для релейной защиты такими функциями являются ее срабатывания при
повреждении защищаемого элемента и несрабатывания при кз за пределами этого
элемента (внешние кз, а также в нормальных режимах). С целью ограничения
отказов функционирования защите придаются определенные свойства. Основные из
них - селективность, устойчивость и надежность функционирования.
Основные условия надежной работы релейной защиты:
· Обеспечение селективности, т.е. отключение только
поврежденных участков. Время срабатывания защиты характеризуется выдержкой
времени, обеспечивающей селективность.
· Чувствительность ко всем видам повреждений
на защищаемой линии и на линиях, питаемых от нее, а также к изменению в связи с
этим параметров, что оценивается коэффициентом чувствительности.
· Максимальная простота схем с наименьшим
числом аппаратов и достаточная надежность и быстродействие.
· Наличие сигнализации о неисправностях в
цепях, питающих аппараты релейной защиты.
Релейная защита выполняется на реле различных типов. Реле,
применяемые в релейной защите, классифицируются по следующим признакам:
· по способу воздействия на отключение - прямого и
косвенного действия;
· по принципу действия - электромагнитные,
электродинамические, тепловые, электронные и другие;
· по параметру действия - ток, напряжение,
мощность, тепловые и другие.
На схемах релейных защит положение контактов реле, как
правило, указываются для так называемых, нормальных условий, когда катушки реле
не обтекаются током положение блок - контактов выключателя указано для его
отключенного состояния.
Ток питания цепей релейной защиты, автоматики, сигнализации
называется оперативным током. Надежность источника оперативного тока и
исправность его сети обеспечивают безопасную работу всех элементов, входящих в
устройство релейной защиты.
Одной релейной защиты бывает недостаточно для обеспечения
надежного и бесперебойного электроснабжения. Поэтому дополнительно
предусматривают устройства АВР, которые позволяют подключать резервный источник
питания при выходе из строя основного источника питания.
Токовые защиты
Максимальная и дифференциальная токовые защиты довольно
просты и поэтому широко применяются для защиты линий электропередач,
трансформаторов и электродвигателей при коротких замыканиях и токовых
перегрузках.
Токовыми называются защиты, для которых воздействующей
величиной является ток, проходящий в месте их включения.
В общем случае токовые защиты выполняются трехступенчатыми.
Быстродействующая первая ступень защиты - токовая защита без выдержки времени -
токовая отсечка имеет только измерительный орган, а вторая и третья ступени -
токовая отсечка с выдержкой времени и максимальная токовая защита - содержит
два органа: измерительный и с выдержкой времени.
Токовая отсечка является наиболее простой и надежной защитой,
она работает на отключение при резком увеличении тока, которое возникает при
коротком замыкании в защищаемой линии.
Основными достоинствами токовой отсечки без выдержки времени
являются: селективное действие и в сетях сложной конфигурации с любым числом
ИП, быстрое отключение наиболее тяжелых кз, возникающих вблизи шин подстанций.
Токовые отсечки без выдержки времени применяются в виде дополнительных защит,
для сокращения времени отключения наиболее тяжелых повреждений.
Максимальная токовая защита применяется для защиты
трансформаторов, электродвигателей и линий электропередач с односторонним
питанием при кз. В отличие от токовой отсечки МТЗ выбирается из условия
селективного действия.
Защита от перегрузки работает при превышении тока нагрузки
линии больше установленной величины. Перегрузка может работать на сигнал или на
отключение.
9.2 Защиты трансформатора
Устройства релейной защиты для силовых трансформаторов
предусматривают защиту от следующих видов повреждений и ненормальных режимов
работы: многофазных замыканий в обмотках и на выводах, однофазных замыканий на
землю в обмотке и на выводах, присоединенных к сети с глухозаземленной
нейтралью, витковых замыканий в обмотках, токов в обмотках, обусловленных
внешними кз, токов в обмотках, обусловленных перегрузкой, понижения уровня
масла.
Виды защит трансформатора определяются его мощностью,
назначением, режимом работы, местом установки, схемой включения.
Защита силовых трансформаторов должна обеспечивать отключение
силового трансформатора при междуфазных и витковых замыканиях, а также при кз
на землю или подавать сигнал о ненормальном режиме работы трансформатора.
Ненормальные режимы работы трансформаторов обусловлены внешними короткими
замыканиями и перегрузками. В этих случаях в обмотках трансформатора появляются
большие токи (сверхтоки). В случае длительного протекания тока (что может быть
при коротких замыканиях на шинах или при неотключившемся повреждении на
отходящем присоединении) возможны интенсивный нагрев изоляции обмоток и ее
повреждение. Поэтому на трансформаторе должна предусматриваться защита,
отключающая его при появлении сверхтоков.
Перегрузка трансформаторов не влияет на работу системы
электроснабжения в целом, т. к. она обычно не сопровождается снижением
напряжения. В связи с этим защита трансформатора от перегрузки при наличии
дежурного персонала выполняется с действием на сигнал. На подстанциях без
дежурного персонала защита трансформатора от перегрузки должна действовать на
разгрузку или отключение.
К ненормальным режимам относится также недопустимое снижение
уровня масла.
9.3 Токовые защиты трансформатора от коротких
замыканий
Для защиты трансформатора небольшой и средней мощности от
коротких замыканий в его обмотках на выводах и в соединениях используют токовую
отсечку без выдержки времени и токовую защиту со ступенчатой характеристикой
выдержки времени. Защита устанавливается со стороны источника питания непосредственно
у выключателя. При этом в зону действия защиты входят трансформатор и его
соединения с выключателем. Срабатывая, защита действует на отключение
выключателей.
Газовая защита
Баки трансформаторов заполняются маслом,
которое используется как для изоляции, так и для охлаждения. Ток короткого
замыкания, проходящий через место установки токовой защиты при повреждении
внутри бака трансформатора, например при витковых замыканиях, определяется
числом замкнувшихся витков и поэтому может оказаться недостаточным для ее
действия. Однако витковые замыкания представляют опасность для трансформатора и
должны отключаться. Опасным внутренним повреждением является также «пожар
стали» магнитопровода, который возникает при нарушении изоляции между листами
магнитопровода, что ведет к увеличению потерь на перемагничивание и вихревые
токи. Токовая и дифференциальная защиты на этот вид повреждения не реагируют.
Отсюда возникает необходимость в использовании газовой защиты, фиксирующей
появление в баке поврежденного трансформатора газа. Образование газа является
следствием разложения масла и других изолирующих материалов под действием
электрической дуги или недопустимого нагрева. Интенсивность газообразования
зависит от характера и размеров повреждения. Основным элементом газовой защиты
является газовое реле. Корпус газового реле врезается в маслопровод между
крышкой бака и расширителем, так чтобы не препятствовать циркуляции масла между
ними. Элементы выполнены в виде плоскодонных алюминиевых чашек, вращающихся
вместе с подвижными контактами 4 вокруг осей 3. Эти контакты замыкаются с
неподвижными контактами 5 при опускании чашек. В нормальном режиме при наличии
масла в кожухе реле чашки удерживаются пружинами 6 в положении, указанном на
рисунке. Система отрегулирована так, что масса чашки с маслом является
достаточной для преодоления силы пружины при отсутствии масла
в кожухе реле. Поэтому понижение уровня
масла сопровождается опусканием чашек и замыканием соответствующих контактов.
Сначала опускается верхняя чашка и реле действует на сигнал. При интенсивном
газообразовании возникает сильный поток масла и газов из бака в расширитель
через газовое реле. На пути потока находится лопасть 7, действующая вместе с
нижней чашкой на общий контакт. Лопасть поворачивается и замыкает контакт в
цепи отключения трансформатора.
Достоинства газовой защиты: высокая чувствительность и реагирование
практически на все виды повреждения внутри бака; сравнительно небольшое время
срабатывания; простота выполнения. Наряду с этим защита имеет ряд существенных
недостатков, основным из которых является нереагирование ее на повреждения,
расположенные вне бака, в зоне между трансформатором и выключателями.
Вследствие несовершенства конструкции современных газовых реле защиту
приходится выводить из действия при попадании воздуха в бак трансформатора, что
может быть, например, при доливке масла, после ремонта системы охлаждения и др.
Список литературы
1. Андреев
В.А. Релейная защита, автоматика и телемеханика в системах электроснабжения:
Учебник для студентов вузов специальности «Электроснабжение промышленных
предприятий, городов и сельского хозяйства»: - 2-е изд., перераб. и доп. - М.:
Высш. шк., 1985. - 391 с., ил.
2. Барченко
Т.Н., Закиров Р.И. Электроснабжение промышленных предприятий. Учебное пособие к
курсовому проекту. Томск, изд. ТПИ им. С.М. Кирова, 1988. - 96 с.
. Белоруссов
Н.И. и др. Электрические кабели, провода и шнуры: Справочник / Н.И. Белорусов,
А.Е. Саакян, А.И. Яковлева: Под ред. Н.И. Белоруссова. - 5-е изд., перераб. и
доп. - М.: Энергоатомиздат, 1984. - 824 с.; ил.
. Беркович
М.А. и др. Основы автоматики энергосистем / М.А. Беркович, А.Н. Комаров, В.А.
Семенов. - М.: Энергоатомиздат, 1981. - 432 с., ил.
. Долин
П.А. Справочник по технике безопасности. - 6-е изд., перераб. и доп. - М.:
Энергоатомиздат, 1984. - 824 с.; ил.
. Князевский
Б.А., Липкин Б.Ю. Электроснабжение промышленных предприятий: Учебник для
студентов вузов по специальности «Электропривод и автоматизация промышленных
установок» - 3-е изд., перераб. и доп. - М.: Высш. шк., 1986. - 400 с., ил.
. Коновалова
Л.Л., Рожкова Л.Д. Электроснабжение промышленных предприятий и установок: Учеб.
Пособие для техникумов. - М.: Энергоатомиздат, 1989. - 528 с.: ил.
. Мельников
М.А. Релейная защита и автоматика элементов систем электроснабжения
промышленных предприятий. Учебное пособие. - Томск: Изд. ТПУ, 1999. - 142 с.
. Мукосеев
Ю.Л. Электроснабжение промышленных предприятий. Учебник для вузов. М.,
«Энергия», 1973. - 584 с.; ил.
. Неклепаев
Б.Н., Крючков И.П. электрическая часть электростанций и подстанций: Справочные
материалы для курсового проектирования: Учеб пособие для вузов. - 4-е изд.
перераб. и доп. - М.: Энергоатомиздат, 1989. - 608 с.: ил.
. Правила
технической эксплуатации электроустановок потребителей и Правила техники
безопасности электроустановок потребителей. - 4-е изд., перераб. и доп. - М.:
Энергоатомиздат, 1986. - 424 с.: ил.
. Правила
устройства электроустановок / Минэнерго СССР. - 6-е изд., перераб и доп. - М.:
Энергоатомиздат, 1986. - 648 с.: ил.
. Рожкова
Л.Д., Козулин В.С. Электрооборудование станций и подстанций. Учебник для
техникумов. 3-е изд., перераб. и доп. - М. Энергоатомиздат, 1987. - 648 с.: ил.
. Соколов
Б.А., Соколова Н.Б. Монтаж электрических установок. - 3-е изд., перераб. и доп.
- М., Энергоатомиздат, 1991. - 592 с.: ил.
. Справочник
по элетроснабжению и электрооборудованию: В 2 т. Т.1. Электроснабжение / Под
общ. ред. А.А. Федорова. - М.: Энергоатомиздат, 1986. - 568 с.: ил.
. Справочник
по элетроснабжению и электрооборудованию: В 2 т. Т.2. Электрооборудование / Под
общ. ред. А.А. Федорова. - М.: Энергоатомиздат, 1987. - 592 с.: ил.
. Справочник
по электроснабжению промышленных предприятий. Под общ. ред. А.А. Федорова и
Г.В. Сербиновского. В 2-х кн. Кн.1. Проектно - расчетные сведения. М.,
«Энергия», 1973. - 520 с., ил.
. Федоров
А.А., Каменева В.В. Основы электроснабжения промышденных предприятий: Учебник для
вузов. - 4-е изд., перераб. и доп. - М.: Энергоатомиздат, 1984. - 427 с., ил.