Использование математических методов в психологии
Содержание
Введение
Расчет
-критерия
для таблицы распределения размерности 2х2
Проверка
распределения на нормальность с помощью критерия Колмогорова-Смирнова
Расчет
t-критерия Стьюдента
для зависимых выборок
Расчет
коэффициента ранговой корреляции Спирмена
Список
литературы
Приложение
Введение
математический метод психологическое
исследование
Каждый человек в своей жизни использует
статистику, задумывается он о том или нет. Когда планируется бюджет семьи,
рассчитывается потребление бензина автомашиной, оцениваются усилия, которые
потребуются для усвоения какого-то курса, с учетом полученных до сих пор
отметок, прогнозируется вероятность хорошей и плохой погоды по
метеорологической сводке и многое другое - все это есть статистика. Статистика
помогает отбирать, классифицировать и упорядочивать большое множество имеющихся
данных.
Широко используется статистика и в
психологических исследованиях. Использование математических методов в
психологии весьма удобно и эффективно при синтезе данных, полученных на
различных группах объектов в том или ином эксперименте, при их сравнении с
целью выяснить черты различия между ними, при их сопоставлении с целью выявить
показатели, изменяющиеся в одном направлении, и, наконец, при предсказании
определенных фактов на основании тех выводов, к которым приводят полученные
результаты. Именно в этом заключается цель статистики в науках вообще, и
особенно в гуманитарных. Статистика, таким образом, придает выводам весомость и
достоверность.
В данной работе для обработки полученных в ходе
исследования эмпирических данных была использована интегрированная система
анализа и обработки данных Statistica
5.5.
Расчёт
-критерия
для таблицы распределения размерности 2×2
Критерий χ-квадрат -
это критерий, который часто используется в психологических исследованиях. Он
позволяет решать очень большое число разных задач, а исходные данные для него
могут быть получены в любой шкале, даже в шкале наименований.
В распределении 2х2 рассматриваются
2 признака, и χ-квадрат
критерий позволяет установить зависимость между этими признаками.
Пусть в качестве признака А
рассматривается опосредованное запоминание, а в качестве признака В
рассматривается пол; тогда А1-низкий уровень опосредованного запоминания,
А2-высокий уровень опосредованного запоминания, В1- мужчины, В2- женщины.
Предположим, что в результате
диагностики были получены следующие значения эмпирических частот распределения:
a = 15, b = 25, с =
27, d = 30,
где a -
количество мужчин с низким уровнем опосредованного запоминания,
b -
количество мужчин с высоким уровнем опосредованного запоминания,
с - количество женщин с низким
уровнем опосредованного запоминания,
d -
количество женщин с высоким уровнем опосредованного запоминания.
Заносим значения этих частот в
таблицу распределения.
Таблица 1.1 Значения частот
распределения
|
А1
|
А2
|
|
|
А1
|
А2
|
|
В1
|
a
|
b
|
|
В1
|
15
|
25
|
|
В2
|
c
|
d
|
|
В2
|
27
|
30
|
Проверим требование Юла и Кендалла
для каждой теоретической частоты (каждая теоретическая частота
должна быть
5)
а'
= (a+b)*(a+c)/N ≥ 5' = (a+b)*(b+d)/N ≥ 5' = (a+c)*(c+d)/N ≥ 5
' = (c+d)*(b+d)/N ≥5=a+b+c+d
30 N=15+25+27+30=97
30
Подставляем
значения:
а'
= (15+25)*(15+27)/97 ≈ 17,3 ≥ 5' = (12+25)*(25+30)/97 ≈ 21 ≥
5
c' = (15+27)*(27+30)/97 ≈ 24,7 ≥
5
d' = (27+30)*(25+30)/97 ≈ 32,3 ≥
5
Так как каждая теоретическая частота
удовлетворяет требованию Юла и Кендалла, строим теоретическую таблицу
распределения и переходим к расчету
.
Таблица 1.2 Теоретическая таблица распределения
|
А1
|
А2
|
|
В1
|
17,3
|
21
|
|
В2
|
24,7
|
32,3
|
=(ad-bc)2*N/(a+b)*(a+c)*(c+d)*(b+c);
=(450-675)2*97/(15+25)*(15+27)*(25+30)*(25+27)
=
1,02
Для установления статистической
значимости полученное значение
сравниваем с меньшим значением
и находим
уровень значимости p по следующей таблице:
Таблица 1.3 Уровень значимости p
|
2,713,846,6410,83
|
|
|
|
|
|
p
|
0,1
|
0,05
|
0,01
|
0,001
|
Если p = 0,1 - то
имеет место тенденция к статистической значимости; p
0,1 -
результат является статистически значимым, p > 0,1 -
результат не является статистически значимым.
Если результат не является статистически
значимым, дальше рассчитывать не надо!
Так как 
1,02 <
= 2,71 при p
> 0,1, результат не является статистически значимым.
Установим силу связи между
изучаемыми признаками. Для этого рассчитаем коэффициент сопряженности
(Чупрова)
по формуле:
=
; 
=
≈ 0,1
Если 0,3
< 0,5,
то сила связи слабая;
,5 
< 0,7 - средняя или умеренная;
0,7 - сильная.
(0;1)
0
1
Так как
< 0,3,
то сила связи слабая.
Вывод: Учитывая результаты
-критерия,
можно заключить, что между изучаемыми признаками - опосредованным запоминанием
и полом, отсутствует какая бы то ни была статистически значимая (
1,02, p > 0,1) зависимость
Проверка распределения на
нормальность с помощью критерия Колмогорова-Смирнова
Критерий Колмогорова-Смирнова
используется, как правило, для решения тех же задач, что и критерий ХИ-квадрат.
Иначе говоря, с его помощью можно сравнивать эмпирическое распределение с
теоретическим или два эмпирических распределения друг с другом. Однако, если
при применении ХИ-квадрат критерия мы сопоставляем частоты двух распределений,
то в данном критерии сравниваются накопленные частоты по каждому разряду. При
этом, если разность накопленных частот в двух распределениях оказывается
большой, то различия между двумя распределениями являются существенными. Его
уместно применять в тех случаях, когда нужно проверить, подчиняется ли
наблюдаемая случайная величина некоторому закону распределения, достоверно
известному.
С целью проверки распределения
переменных на нормальность была создана таблица первичных эмпирических данных.
В этой таблице представлены следующие переменные: «Опосредованное запоминание»,
«Образное мышление», «Креативность» (см. Приложение 1).
Проверка на нормальность
осуществлялась с помощью критерия Колмогорова - Смирнова в системе STATISTIKA
5.5.
В результате данной проверки были
получены представленные ниже графики-гистограммы (см. рис. 2.1-2.3).



Рис. 2.1. Распределение переменной
«Опосредованное запоминание»
Визуальный анализ
графика-гистограммы позволяет заключить, что распределение значений переменной
«Опосредованное запоминание» не соответствует нормальному.
Рис. 2.2. Распределение переменной
«Образное мышление»
Визуальный анализ
графика-гистограммы позволяет заключить, что распределение значений переменной
«Образное мышление» близко к нормальному.
Рис. 2.3. Распределение переменной
«Креативность»
Визуальный анализ
графика-гистограммы позволяет заключить, что распределение значений переменной
«Креативность» близко к нормальному.
Кроме того уровень значимости p
по критерию Колмогорова - Смирнова с поправкой Лиллиефорс по всем переменным
неотвечает требованию нормального распределения (распределение считается
нормальным, если уровень значимости p по критерию Колмогорова-Смирнова с
поправкой Лиллиефорс больше 0,05!!!!!).
Вывод: Проверка распределения трех
переменных («Опосредованное запоминание», «Образное мышление», «Креативность»)
на нормальность с помощью критерия Колмогорова-Смирнова показала, что
распределение двух последних переменных соответствует норме, а распределение
первой - отлично от нормального. Поэтому для дальнейшей работы с эмпирическими
данными по переменной «Опосредованное запоминание» используем непараметрические
методы.
Расчет t-критерия
Стьюдента для зависимых выборок
критерий Стьюдента используется для
сравнения средних показателей двух выборок. Критерий Стьюдента достаточно
просто вычисляется и есть в наличии в большинстве статистических пакетов. Как
правило, t-критерий используется в двух случаях:
а) для проверки гипотезы о равенстве
генеральных средних двух независимых, несвязанных выборок (так называемый
двухвыборочный t-критерий),
б) для сопоставления двух величин
после определенной коррекционной работы, то есть в данном случае речь идет о
зависимых выборках.
При применении любого из двух
критериев, должно соблюдаться требование нормальности распределения.
С целью расчета t-критерия
Стьюдента для зависимых выборок была создана таблица первичных эмпирических
данных с «Образное мышление в начале учебного года» и «Образное мышление в
конце учебного года» (Таблица 3.1).
Расчет t-критерия
Стьюдента для зависимых выборок осуществлялся в системе STATISTIKA.
При условии, что распределение
изучаемой переменной нормальное!!!
Таблица 3.1 Результаты диагностики образного
мышления у школьников в начале и в конце учебного года
|
№
п/п
|
Образное
мышление (в начале учебного года)
|
Образное
мышление (в конце учебного года)
|
|
1
|
1,000
|
12,000
|
|
2
|
5,000
|
15,000
|
|
3
|
2,000
|
14,000
|
|
4
|
6,000
|
12,000
|
|
5
|
3,000
|
13,000
|
|
6
|
9,000
|
16,000
|
|
7
|
5,000
|
14,000
|
|
8
|
4,000
|
15,000
|
|
9
|
8,000
|
15,000
|
|
10
|
5,000
|
14,000
|
|
11
|
6,000
|
12,000
|
|
12
|
3,000
|
12,000
|
|
13
|
2,000
|
14,000
|
|
14
|
5,000
|
15,000
|
|
15
|
7,000
|
12,000
|
|
16
|
5,000
|
13,000
|
|
17
|
8,000
|
16,000
|
|
18
|
5,000
|
14,000
|
|
19
|
6,000
|
15,000
|
|
20
|
6,000
|
12,000
|
|
21
|
5,000
|
14,000
|
|
22
|
9,000
|
18,000
|
|
23
|
6,000
|
15,000
|
|
24
|
5,000
|
14,000
|
|
25
|
8,000
|
12,000
|
|
26
|
2,000
|
14,000
|
|
27
|
3,000
|
12,000
|
|
28
|
4,000
|
12,000
|
|
29
|
1,000
|
14,000
|
|
30
|
5,000
|
12,000
|
|
31
|
2,000
|
14,000
|
|
32
|
8,000
|
14,000
|
|
33
|
9,000
|
14,000
|
|
34
|
5,000
|
11,000
|
|
35
|
6,000
|
10,000
|
|
36
|
6,000
|
10,000
|
|
37
|
5,000
|
10,000
|
|
38
|
6,000
|
18,000
|
|
39
|
3,000
|
12,000
|
|
40
|
2,000
|
11,000
|
|
41
|
4,000
|
14,000
|
|
42
|
7,000
|
15,000
|
|
43
|
8,000
|
18,000
|
|
44
|
8,000
|
17,000
|
|
45
|
9,000
|
12,000
|
|
46
|
5,000
|
14,000
|
|
47
|
6,000
|
15,000
|
|
48
|
3,000
|
10,000
|
|
49
|
2,000
|
10,000
|
|
50
|
5,000
|
10,000
|
|
51
|
6,000
|
10,000
|
|
52
|
5,000
|
10,000
|
В результате расчета были получены следующие
данные (см.Табл. 3.2.).
Таблица. 3.2 Результат t-критерия для зависимых
выборок
|
Marked differences are significant
at p < ,05000
|
|
Variable
|
Mean
|
Std.Dv.
|
N
|
Diff.
|
Std.Dv. Diff.
|
t
|
df
|
p
|
|
ОМ
(в начале учебного года)
|
5,17308
|
2,184806
|
|
|
|
|
|
|
|
ОМ
(в конце учебного года)
|
13,28846
|
2,181352
|
52
|
-8,11538
|
2,486464
|
-23,5358
|
51
|
,000000
|


Как видно из таблицы 3.2, существуют
статистически значимые различия в показателях образного мышления в начале
учебного года и в конце учебного года (t
-23,5358, p<0,000001).
Получается, что образное мышление к концу учебного года значительно улучшилось
у испытуемых представленной в работе выборки. Различия по указанному признаку
являются достоверными и статистически значимыми.
Данные результаты можно представить
графически в виде следующей диаграммы размаха (см. рис. 3.1).
Рис. 3.1. Диаграмма размаха
Как видно из диаграммы размаха,
средние показатели образного мышления к концу учебного года повысились. Таким
образом, диаграмма размаха еще раз подтверждает различие показателей образного
мышления в начале и в конце учебного года.
Вывод: Результат расчета t-критерия
Стьюдента показал, что существуют статистически значимые различия уровня
образного мышления в начале и в конце учебного года. Полученные при расчете
результаты также подтверждаются графически - диаграммой размаха, приведенной на
рисунке 3.1.
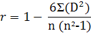
Расчет ранговой корреляции Спирмена
Коэффициент корреляции рангов,
предложенный К. Спирменом, относится к непараметрическим показателям связи
между переменными, измеренными в ранговой шкале.
Этот коэффициент определяет
степень тесноты связи порядковых признаков, которые в этом случае представляют
собой ранги сравниваемых величин.
Коэффициент ранговой корреляции Спирмена
используется для установления и оценки тесноты связи между изучаемыми признаками.
Коэффициент ранговой корреляции вычисляется по
формуле:
где n
- количество ранжируемых признаков (показателей, испытуемых)
D - разность между
рангами по двум переменным для каждого испытуемого
Σ (D
²) - сумма квадратов разностей рангов.
При использовании коэффициента ранговой
корреляции условно оценивают тесноту связи между признаками, считая значения
коэффициента равные 0,3 и менее, показателями слабой тесноты связи; значения
более 0,4, но менее 0,7 - показателями умеренной тесноты связи, а значения 0,7
и более - показателями высокой тесноты связи.
С целью расчета ранговой корреляции Спирмена
была создана таблица первичных эмпирических данных с переменными
«Опосредованное запоминание», «Образное мышление», «Креативность» (см.
Приложение 1).
Расчет коэффициента корреляции рангов Спирмена
проводился в системе Statistica
5.5. Результаты расчета представлены в таблице 4.1.
Таблица 4.1 Результаты ранговой корреляции
Спирмена
|
Pair
of Variables
|
Valid N
|
Spearman R
|
t(N-2)
|
p-level
|
|
Опосредованное_запоминание
& Опосредованное_запоминание
|
|
|
|
|
|
Опосредованное_запоминание
& Образное_мышление
|
52
|
-,040350
|
-,285550
|
,776402
|
|
Опосредованное_запоминание
& Креативность
|
52
|
-,123455
|
-,879691
|
,033235
|
|
Образное
мышление & Опосредованное запоминание
|
52
|
-,040350
|
-,285550
|
,776402
|
|
Образное_мышление
& Образное_мышление
|
|
|
|
|
|
Образное_мышление
& Креативность
|
52
|
-,037583
|
-,265941
|
,791378
|
|
Креативность
& Опосредованное_запоминание
|
52
|
-,123455
|
-,879691
|
,033235
|
|
Креативность
& Образное мышление
|
52
|
-,037583
|
-,265941
|
,791378
|
|
Креативность
& Креативность
|
|
|
|
|
Как видно из данной таблицы, статистически
значимая корреляционная взаимосвязь выявлена между:
Опосредованным запоминанием и
Креативностью (R
-0,123455, p<0,05) -
отрицательная слабая взаимосвязь.
Данный результат расчетов можно представить в
виде следующего матричного графика корреляции (см. рис. 4.1.).
Рис. 4.1. Корреляционные взаимосвязи
между «Опосредованным запоминанием», «Образным мышлением», «Креативностью»
Этот график подтверждает полученные
ранее результаты. Из него видно, что чем выше уровень опосредованного
запоминания, тем выше уровень креативности.
Список литературы
1. Ермолаев, О.Ю. Математическая
статистика для психологов: учебник / О.Ю. Ермолаев. - М: МПСИ, Флинта, 2002. -
336 с.
2. Пашкевич, О.И. Использование
многомерных статистических методов в системе STATISTICA 5.5 : учеб. метод.
пособие / О.И. Пашкевич. - Минск: РИПО, 2008. - 66 с.
. Пашкевич, О.И. Статистическая обработка
эмпирических данных в системе STATISTICA : учеб. метод. пособие / О.И.
Пашкевич. - Минск: РИПО, 2007. - 148с.
Приложение 1
Первичные эмпирические данные
|
№
п/п
|
Опосредованное
запоминание
|
Образное
мышление
|
Креативность
|
|
1
|
1,000
|
1,000
|
0,000
|
|
2
|
2,000
|
5,000
|
60,000
|
|
3
|
5,000
|
2,000
|
30,000
|
|
4
|
2,000
|
6,000
|
20,000
|
|
5
|
3,000
|
3,000
|
50,000
|
|
6
|
2,000
|
9,000
|
40,000
|
|
7
|
5,000
|
5,000
|
20,000
|
|
8
|
2,000
|
4,000
|
0,000
|
|
9
|
3,000
|
8,000
|
30,000
|
|
10
|
2,000
|
5,000
|
50,000
|
|
11
|
3,000
|
6,000
|
20,000
|
|
12
|
2,000
|
3,000
|
30,000
|
|
13
|
5,000
|
2,000
|
20,000
|
|
14
|
2,000
|
5,000
|
20,000
|
|
15
|
3,000
|
7,000
|
0,000
|
|
16
|
3,000
|
5,000
|
60,000
|
|
17
|
2,000
|
8,000
|
20,000
|
|
18
|
3,000
|
5,000
|
20,000
|
|
19
|
2,000
|
6,000
|
50,000
|
|
20
|
1,000
|
6,000
|
50,000
|
|
21
|
3,000
|
5,000
|
50,000
|
|
22
|
5,000
|
9,000
|
20,000
|
|
23
|
2,000
|
6,000
|
0,000
|
|
24
|
3,000
|
5,000
|
20,000
|
|
25
|
5,000
|
8,000
|
50,000
|
|
26
|
2,000
|
2,000
|
40,000
|
|
27
|
1,000
|
3,000
|
60,000
|
|
28
|
2,000
|
4,000
|
50,000
|
|
29
|
4,000
|
1,000
|
30,000
|
|
30
|
2,000
|
5,000
|
0,000
|
|
31
|
3,000
|
2,000
|
20,000
|
|
32
|
2,000
|
8,000
|
10,000
|
|
33
|
5,000
|
9,000
|
20,000
|
|
34
|
5,000
|
5,000
|
10,000
|
|
35
|
3,000
|
6,000
|
50,000
|
|
36
|
2,000
|
6,000
|
20,000
|
|
37
|
1,000
|
5,000
|
60,000
|
|
38
|
2,000
|
6,000
|
50,000
|
|
39
|
3,000
|
3,000
|
20,000
|
|
40
|
2,000
|
2,000
|
30,000
|
|
41
|
1,000
|
4,000
|
0,000
|
|
42
|
1,000
|
7,000
|
20,000
|
|
43
|
3,000
|
8,000
|
10,000
|
|
44
|
1,000
|
8,000
|
40,000
|
|
45
|
2,000
|
9,000
|
50,000
|
|
46
|
3,000
|
5,000
|
20,000
|
|
47
|
2,000
|
6,000
|
30,000
|
|
48
|
5,000
|
3,000
|
20,000
|
|
49
|
3,000
|
2,000
|
60,000
|
|
50
|
2,000
|
5,000
|
50,000
|
|
51
|
5,000
|
6,000
|
40,000
|
|
52
|
3,000
|
5,000
|
0,000
|