Оценка эффективности российского банковского сектора: метод анализа стохастической границы (МАСГ)
Выпускная
квалификационная работа
Оценка
эффективности российского банковского сектора: метод анализа стохастической
границы (МАСГ)
Содержание
Введение
Глава
1. Измерение банковской эффективности
.1 Сравнительный
анализ эффективности
.2 Граничный
и неграничный бенчмаркинг
.3 Производство
в банковской сфере, затраты и доходы
.4 Минимизация
издержек
.5 Максимизация
прибыли
Глава
2. Модели анализа стохастической границы (МАСГ)
.1
Базовая модель метода стохастической границы
.2
Оценка технической эффективности отрасли за один период
.3
Оценка технической эффективности отрасли. Панельные данные
.4
Спецификация
Глава
3. Обзор банковского сектора в России
3.1 Институциональная структура
.2 Развитие банковских финансов
.3 Прогнозы на будущее
Глава
4. Вычисления и результаты
.1
Факторы модели
.2
Результаты оценки
.3
Анализ эффективности различных кредитных институтов
Заключение
Список
использованной литературы
Приложения
Введение
В условиях современной борьбы за долю постоянно
растущего рынка банковских услуг способность генерировать значительный прибыль
при одновременном контроле издержек является основной характеристикой
конкурентоспособности стратегий развития банковских предприятий. Поэтому оценка
как текущего состояния, так и изменения банковского сектора требует анализа
эффективности совместного управления прибылью и издержками.
В 90-е годы банковский сектор динамично
развивался. Росло как число, так и спектр предоставляемых банковских услуг,
усиливается конкуренция.
Развитие российской финансовой системы
претерпело серьезные потрясения в результате кризиса в августе 1998 г.
Последовавший затем рост привел к ее восстановлению до предкризисного уровня (в
2003 году).
Проблема эффективности деятельности банков,
несомненно, имеет большое значение: собственно именно то, насколько успешно
менеджеры банка управляют собственными и привлеченными средствами, и определяет
успешность функционирования всей кредитной организации. Насколько эффективен
банковский сектор в России? К 2003-2004 году ситуация относительно
стабилизировалась в ожидании реформ. В работе исследуется степень эффективности
работы банков в терминах эффективности по издержкам и по доходам. Для этого к
выборке из 40 крупнейших банков России по активам применяется метод анализа
стохастической границы. Этот метод был разработан в конце 70-х годов ХХ века,
значительно модифицирован для различных ситуаций, до сих пор привлекает интерес
исследователей, все более расширяющих возможности его применения. Однако в
России этот метод незаслуженно игнорируется. Данная работа восполняет этот
пробел.
На практике методика анализа методом
стохастической границы используется для определения и измерения источников
неэффективности. Создается картина функционирования отдельного финансового
института относительно результатов функционирования гипотетического, идеального
предприятия отрасли на данном технологическом уровне. В работе исследуется
эффективность крупных банков в сравнении с менее крупными и выясним, что в этом
смысле их поведение значительно различается.
В ходе исследования была использована информация
по группе крупных банков, величина валюты баланса которых превышала 6 млрд.
руб. (на 1 января 2003 г.). Эти банки определяют более 80% всех основных
показателей российской банковской системы (активы, кредиты, депозиты, капитал).
Для исследования вопросов эффективности были проанализированы данные баланса и
отчета о прибылях и убытках (101 и 102 формы).
Сначала обсуждаются различные концепции
эффективности, представленные в литературе (глава 2). Затем следует описание
базовой модели метода (глава 3), его спецификация на случай рассмотрения
банковской сферы, формализация. Обзор особенностей российского банковского
рынка (глава 4) позволяет сделать заключительные предположения, адекватнее
воспринять и интерпретировать результаты обследования. В 5 главе определяются
объясняемые и объясняющие переменные регрессионной модели. Наконец,
представлены результаты индивидуальной эффективности и их интерпретация (6
глава).
Глава 1. Измерение банковской
эффективности
В этой главе представляются и обсуждаются
различные определения эффективности, встречающиеся в литературе. Особое
внимание уделяется проблемам измерения эффективности деятельности банков. В
общем случае, под эффективностью понимается разница между наблюдаемыми и
оптимальными объемами вложений и отдачи от них. На практике исследуется,
насколько эффективно фирма производит определенный объем выпуска, имея заданный
объем инвестиций. На Схеме 1 приведено дерево эффективности, позволяющее
увидеть, из чего складывается экономическая эффективность [21].
Теория по эффективность банковских организаций
широко разработана. Самые ранние работы сводили проблему к эффекту масштаба и
синергетическому эффекту. Эффективность от масштаба проявляется в соотношении
средних издержек и объема выпуска. Наличие U-образной
кривой средних издержек предполагает существование оптимального объема выпуска,
при котором производственные издержки минимальны. О синергетическом эффекте
говорят, когда совместное производство набора товаров стоит дешевле, чем
производство тех же товаров, но по отдельности. Несмотря на обширность и
глубину исследований, сомнительно, что эффект масштаба и синергетический эффект
отвечают за значительную долю в неэффективности банковского сектора и могут
считаться значимыми при исследовании неэффективности в банках. По исследованиям
Бергера и Хантера [8], значимость неэффективности от масштаба и неэффективности
от недоиспользования эффекта совместного производства, там, где их можно
измерить (составляют в сумме меньше 5%) менее важна в банковском секторе, чем X-неэффективность
(20-25%). Более поздние исследования в области эффективности уделяют больше
внимания именно проблеме X-эффективности.
X-эффективность
связана с отклонениями реального выпуска от гипотетической производственно-эффективной
границы, определяемой как максимально возможный выпуск при данных затратах.
Концепция X-эффективности была
предложена Лебенстайном (1966). Он заметил, что по разным причинам и
организации, и люди, работающие в них, обычно работают не так упорно и
настойчиво, равно как и эффективно, как они могли бы работать. Бергер, Хантер и
Тимм [24] отмечают, что X-эффективность
складывается из экономической эффективности конкретной фирмы за вычетом влияния
эффекта масштаба и эффекта совместного производства.
Схема 1. Дерево эффективности
Результаты исследований по теории X-эффективности
в банках говорят о том, что она достаточно велика. Кроме того, проявляются
некоторые свойства X-неэффективности.
Во-первых, как величина, так и вариация X-неэффективности
по отрасли в среднем меньше для крупных фирм, нежели для более мелких компаний.
Во-вторых, если составить рейтинг фирм по их эффективности, оказывается, что
несмотря на изменение абсолютных величин X-неэффективности
(она может как снижаться, так и расти), относительное положение фирм в рейтинге
меняется мало. Иными словами, неэффективные фирмы остаются неэффективными [15].
В дальнейшем анализе внимание будет
сосредоточено именно на X-эффективности,
и будет предложена модель анализа стохастической границы, позволяющая ее
измерить.
Методы, позволяющие получить оценки
неэффективности, свойственной каждому конкретному финансовому институту,
достаточно разнообразны [8]. Часть их основывается на использовании эконометрических
методов, которые включают в себя оценку производственной функции или функции
издержек.
У каждого подхода есть как свои достоинства, так
и недостатки. Преимуществом эконометрического метода является возможность учета
случайных ошибок при измерении неэффективности. Однако есть и обратная сторона
медали - необходимость принятия априорных предположений о виде производственной
функции, а также о характере распределения неэффективности.
.1 Сравнительный
анализ эффективности
Выяснение сравнительной индивидуальной
эффективности деятельности широко применяются регулирующими органами. Методы
стимулирующего регулирования, как правило, базируются на использовании
сравнительного анализа эффективности компаний (бенчмаркинга), который
позволяет:
• оценивать эффективность
компаний с учетом многих факторов,
• сравнивать эффективность
компаний с моделью эффективной (или средней) компании, построенной по данным
выборки реальных компаний;
• ранжировать компании по
уровню их эффективности;
• оценивать потенциал повышения
эффективности для каждой компании и ставить задачи по повышению эффективности
Для установления Х факторов
используются два подхода: граничный и неграничный. Граничные методы
бенчмаркинга используются, преимущественно, регуляторами Европы и Австралии,
неграничные - органами регулирования штатов США [6].
.2 Граничный и
неграничный бенчмаркинг
При использовании граничных
методов сравнительного анализа относительная эффективность компании (по
сравнению с границей эффективности выборки аналогичных компаний) оценивается
коэффициентами эффективности (от 0 до 1).
·
Наиболее
распространенные
граничные
методы
бенчмаркинга
- Data
·
Envelopment Analysis (DEA),
Corrected Ordinary Least Squares (COLS),
·
Stochastic Frontier Analysis (SFA).
·
Для
группы компаний одной отрасли, использующих одни и те же технологии может быть
применен неграничный бенчмаркинг или так называемая сравнительная конкуренция
(yardstick competition). При этом для всех компаний выборки устанавливается
одно значение Х фактора. Наиболее известный метод неграничного бенчмаркинга
основан на использовании индексов Совокупной факторной продуктивности (Total
Factor Productivity - TFP) при установлении Х факторов. Особенностью
сравнительной конкуренции есть то, что она не должна базироваться на фактических
издержках данной компании.
Основное различие между граничными и
неграничными методами сравнительного анализа эффективности состоит в том, что
граничные методы учитывают индивидуальную эффективность каждой компании. Они
более целесообразны, когда целью регулятора является уменьшение различий в
эффективности компаний за счет выдвижения к каждой компании индивидуальных
требований по повышению эффективности. Неграничные методы, основанные на
сравнении с моделью «средней» по эффективности компании, целесообразны, когда
компании имеют приблизительно одинаковую эффективность, а также в случаях
недостатка данных или недостаточного для применения граничных методов размера
выборки.
Схема 2. Методы анализа
эффективности (продуктивности)
.3 Производство в банковской сфере,
затраты и доходы
Для описания деятельности банков в литературе
используется два основных подхода - производственный и посреднический [9]. В
рамках первого подхода банки рассматриваются с точки зрения объема оказываемых
клиентам услуг. Таким образом, под выпуском банка понимается количество и
качество банковских операций за определенный период времени. Однако подобные
ряды данных находятся в закрытом пользовании внутри банков и недоступны для
широкой аудитории. Более того, многие авторы соглашаются с тем, что
производственный подход наиболее адекватно отражает деятельность банковского
сектора с низкой автономностью в кредитной политике. Затраты состоят из затрат
труда и капитала, поэтому их стоимость и должна учитываться.
В рамках посреднического подхода делается акцент
на роль банков как посредников между теми, кто сберегает и теми, кто
инвестирует. Обычно объем оказанных услуг принимают прямо пропорциональным
величине остатков по счетам депозитов, ссуд и др. Объем привлеченных средств, а
также процент по ним можно считать затратами, поскольку привлеченные средства -
это основа для функционирования банковской организации.
Посреднический подход считают более подходящим
для оценки всей банковской системы, поскольку эта концепция берет в
рассмотрение выплату процентов, а это является основной статьей расходов
банков, занимая в них около 55-66%. В защиту этого подхода при оценке эффективной
границы прибыльности финансовых институтов можно сказать и то, что для
максимизации прибыли нужна и минимизация издержек (не только производственных).
По мнению Бергера и Хантера [8],
производственный подход более применим к оценке эффективности филиальной сети
банков, поскольку основная деятельность филиалов заключается в обработке
документации, и управляющие филиалами обычно оказывают незначительное влияние
на процесс привлечения и инвестирования средств.
Заметим, что оба подхода неспособны дать оценку
управлению рисками и решить агентские проблемы, возникающие в связи с
различиями в рискованностях ссуд и депозитов, а также с тем, что право владения
и право распоряжения ими принадлежат разным лицам. Возможным восполнением этих
недостатков может послужить наложение дополнительных ограничений, в рамках
которых банки решают задачи максимизации прибыли и минимизации издержек,
соответственно. В качестве примера учета управления риском можно взять
включение в банковскую производственную функцию собственного капитала банка.
При финансировании займов собственный капитал может выступать в той же роли,
что и депозиты. Это повлияет как на издержки, так и на прибыль. Более того,
включение в анализ собственных средств может быть причиной вариации
рискованности, поскольку при прочих равных условиях риск неплатежа тем меньше,
чем больше размер собственного капитала. Поэтому размер собственного капитала
будет рассматриваться как еще одна объясняющая переменная.
Для оценки эффективности банковской деятельности
полезно рассмотреть основные цели и ограничения, с которыми сталкиваются банки.
С одной стороны, рассматривается минимизация издержек, с другой - максимизация
прибыли. Сначала обсудим минимизацию функции издержек, где неэффективность по
издержкам порождается субоптимальным количеством факторов производства при
данных ценах, количестве выпуска и объеме собственного капитала. Далее,
рассмотрим максимизацию функции доходов, где неэффективность по прибыли
измеряет величину полученного дохода в соответствии с субоптимальным выбором
объема выпуска при заданных ценах (или цен выпуска при заданном объеме). В
условиях рынка совершенной конкуренции эти два подхода должны давать одинаковый
результат. В случае несовершенной конкуренции обладание рыночной властью может
привести к ситуации, когда банк эффективен по прибыли и неэффективен в терминах
издержек, и наоборот. Совместное же использование этих двух подходов прольет
свет на характер неэффективности.
.4 Минимизация издержек
Поставим задачу минимизации издержек. Пусть
функция издержек C состоит из
затрат на приобретение ресурса в количестве x
по цене w. В предположении,
что банки не могут влиять на цену на потенциально несовершенном рынке ресурсов,
цены факторов w считаются
заданными, экзогенными. Cчитается
также, что выбран объем выпуска y
в соответствии с заданными ценами на него (предполагается, что банки оперируют
на рынке совершенной конкуренции). Все издержки рассматриваются как переменные.
Банки минимизируют свои целевые функции в рамках ограничений, накладываемых
производственной функцией.
и
, (1)
где w и x - это
векторы, а T(x, y, z) -
производственная функция, в которой z отвечает за
собственный капитал. Соответствующую функцию Лагранжа можно записать следующим
образом:
(2)
Взяв первые производные, получим вид
условного спроса на ресурсы:
(3)
Минимум издержек достигается путем
подстановки найденной функции спроса в функцию издержек:
(4)
Итак, условный спрос на ресурсы зависит
от объема выпуска при данных ценах, заданных цен на факторы на рынке ресурсов и
уровня собственного капитала в рассматриваемый период.
.5 Максимизация прибыли
банковский бенчмаркинг доход прибыль
Введем в рассмотрение стандартную функцию
прибыли в предположении, что банки оперируют на совершенно конкурентных рынках
факторов производства и рынке сбыта своего продукта. Следовательно, банки
выбирают оптимальное количество ресурсов и выпуска в зависимости от заданных
извне цен. Однако адекватность основного предположения о совершенной
конкуренции на рынке банковских услуг подвергается сомнениям многими авторами.
С целью учета этого положения Хамфри и Пули [14] предлагают альтернативную
функцию прибыли. В ней банки также сталкиваются с совершенной конкуренцией на
рынке факторов производства. Однако они проявляют активность на рынках
продукта, где существует некоторый простор для дифференциации цен. Поэтому
банки почти не имеют возможностей влиять на объем оказываемых услуг, зато более
гибко могут устанавливать цены и размеры вознаграждений за свои услуги.
Пределы, в которых они могут оказывать влияние на цены, зависят от конкретного
объема производства в момент принятия решения, цен на ресурсы и других
факторов, способных повлиять на способность банков устанавливать цену. Более
того, альтернативная функция прибыли может учесть различие в качестве
оказываемых услуг.
В этой модели банки максимизируют прибыль в
соответствии как с технологическими ограничениями, так и с так называемым
набором возможностей ценовой политики. Последний отражает оценку банком своей
конкурентной позиции в смысле готовности клиентов платить банку ту цену,
которую он установит. Задача максимизации, таким образом, имеет следующий вид:
и (5)
Здесь H(p, y, w, z) показывает
набор возможностей ценовой политики. Функция Лагранжа для задачи имеет
следующий вид:
(6)
Взяв частные производные по p и по x, получим
оптимальные цены выпуска и количество ресурсов на входе:
(7)
(8)
Подставив найденные значения,
получим оптимальный уровень прибыли:
(9)
Отличительная черта этой функции
прибыли - это то, что она позволяет вести анализ при несовершенстве рынка
предоставления услуг. Кроме того, цены производимой продукции, которые зачастую
трудно измерить [22], не нужны при практическом анализе.
Глава 2. Модели анализа
стохастической границы (МАСГ)
Модель анализа стохастической
границы была впервые независимо предложена в 1977 году Мееюзеном, ван дер
Броеком с одной стороны и Айгнером, Ловеллом, Шмидтом - с другой. Еще одной
основополагающей работой по МАСГ считается труд Баттеза и Коры (1977). В первых
работах рассматривалась отрасль за один период. Позже модели разрабатывались
Фером и Ловеллом (1978), Грином (1980), Джондроу, Ноксом Ловеллом, Матеровым и
Шмидтом (1982), позднее Баттезом и Коэлли (1988), Кумбхакаром, Гошем,
МакГукином (1991) [18]. Модификация мрделей шла на пути исследования большего
количества периодов, разных априорных предположений, применения к разным
секторам экономики. К настоящему времени развито множество модификаций модели,
она применяется во многих сферах экономики.
Модель анализа стохастической
границы становится все популярнее, в первую очередь, благодаря своей гибкости,
и возможности адекватно применить экономические концепции к реальности. Также,
эти модели стало легче применять, поскольку стали более доступны ряды данных по
конкретным объектам одной отрасли, развиваются информационные и компьютерные
технологии. Модель МАСГ часто используется для сравнения относительных
эффективностей хозяйствующих субъектов, потому что существует возможность
слежения за динамикой этих показателей. По сравнению со стандартной методикой
оценки производственных функций (МНК), у МАСГ есть свои преимущества. МАСГ
оценивает «истинную» границу производства, а не среднее среди всех фирм, так
как он в максимальной степени использует все свойства производственной функции.
Одно из важнейших преимуществ данной модели - то, что измеренное изменение
продуктивности будет представлено только изменением в технологиях, а не
комбинацией изменения эффективности и изменения технологий, как это происходит
в случае оценки неграничными моделями [23]. Несмотря на это, МНК остается
важным методом оценки производственных функций, особенно при измерении
стандартных статистических параметров (например, проверка на
гетероскедастичность и нормальность остатков).
МАСГ имеет также некоторые
преимущества в построении границ и перед непараметрическими методиками, например
перед DEA. Основной
плюс заключается в том, что МАСГ учитывает случайные ошибки измерения. Однако у
метода анализа стохастической границы есть недостаток, которого нет у DEA:
необходимость выбирать функциональную форму, как для производственного функционала,
так и для формализации вида ошибки.
Эта глава начинается с краткого
обсуждения роли банков как посредников в финансовой деятельности. С этих
позиций и будет рассматриваться дальнейший анализ производственных функций
банковских фирм. Далее, представляются модели оптимизации издержек и прибыли. В
конце главы проводится спецификация оцениваемых моделей.
2.1 Базовая модель метода
стохастической границы
Изложим основу модели анализа
стохастической границы в соответствии со Шмидтом [13]. Базовая модель метода
стохастической границы выглядит следующим образом:
,
; i=1, … , N; t=1, …, T (1)
(T=1 в случае
рассмотрения отрасли в статическом положении).
Индекс i показывает
номера фирм, t - временной
период. Обычно в качестве
берут
логарифм выпуска, а
- это
вектор ресурсов на входе, или их функций.
- это статистический шум, и
отражает
техническую неэффективность в предположении, что она не меняется во времени.
Если
- логарифм
выпуска, то тогда техническая эффективность фирмы i равна
, а техническая
неэффективность равна
. Работают с
составной ошибкой 
. Стандартные предположения:
(A.1)
(A.2)
и
независимы
для любых t, s =1, …, T, i,j=1, …, N.
Иногда делаются дополнительные
предположения:
(A.3)
независимы
от и
(A.4)
,
где
Положим
, так что
для любого i выполняется
. Тогда (1)
можно переписать как обычную модель панельных данных
, i=1, …, N, t=1, …, T . (2)
Абсолютный минимум
равен 0,
поэтому
-
максимально возможное в принципе значение
для любой выборки (
достижимо
при
). На
практике значения минимального
и, следовательно, максимального
отличаются
от своих теоретически достижимых экстремальных значений. Это различие особенно
заметно, когда объем выборки невелик и
(а, следовательно, и
) считаются
неизменными. Проранжируем
:
, так что
, и
. Аналогично
проранжируем
:
,
и
. Тогда
. Таким
образом, уровень технической эффективности
определяется из соотношения
и единого
. На
практике
сравнивается
с общим для всей выборки значением
. Положим
. Тогда
уравнение (2) можно переписать в виде:
, i=1, …, N, t=1, …, T (3)
Два определения
значительно
различаются. Особенности каждой формулировки приводят возможности оценки модели
разными техническими способами. Рассмотрим несколько методик оценки как для
отраслевой модели за один период, так и для случая панельных данных.
2.2 Оценка технической эффективности
отрасли за один период
Рассматривая отрасль не в динамике,
имеем T=1, поэтому
индекс t в
уравнениях можно опустить. В предположениях (А.1)-(А.4) модель, представленная
в уравнении (1), может быть оценена методом максимального правдоподобия (ММП).
Подробности вычислений, включая функцию правдоподобия, можно найти у Айгнера [7]. В
результате оценки ММП получаются состоятельные при
оценки
.
Введем в рассмотрение математическое
ожидание
. Ввиду
предположения
(А.4)
.
Применив метод наименьших квадратов
(МНК) к уравнению (1), получим состоятельные оценки 
. С помощью скорректированного
метода наименьших квадратов получается состоятельная оценка
. Для этого
потребуются состоятельные оценки
и
, которые можно получить из,
соответственно, вторых и третьих моментов МНК-остатков. Подробнее ознакомиться
с техникой получения данных статистик можно в работе Олсона [20].
Итак, как ММП, так и
скорректированный МНК обеспечивают состоятельные оценки
,
,
и
. Однако
оценка, ММП-оценка является более эффективной, чем оценка методом
скорректированных наименьших квадратов. В любом случае, можно получить точечную
оценку для
и
, что будет
описано позднее.
2.3 Оценка технической эффективности
отрасли. Панельные данные
Рассмотрим теперь случай панельных
данных, когда
. В условиях
(А.1)-(А.4) уравнение (1) можно оценить методом максимального правдоподобия.
Подробно методика описана в работе Питта и Ли [21]. ММП дает
оценки тех же параметров, что и в случае рассмотрения одного периода:
,
,
и
. Эти оценки
состоятельны при
, поэтому
ММП целесообразно применять, когда N велико.
Анализ данных за существенный период не может заменить недостаточный объем
выборки N.
Уравнение (1) можно оценить также
обобщенным методом наименьших квадратов (ОМНК). Метод опирается на все те же
ограничения (А.1)-(А.4), за исключением требования каких-либо дополнительных
априорных предположений относительно распределения случайных величин
(требование нормальности v или полунормальности u). Стандартные процедуры ОМНК
по отношению к панельным данным позволяют получить (a-μ), b,
, а так же
var(
). Эти
оценки состоятельны при
. Следует
внимательно различать var(
) и
: в ОМНК
используется именно var(
), а не
. В
предположении о полунормальности распределения,
, так что оценку var(
) можно с
легкостью перевести в оценку
. Эта операция необходима для оценки
.
Уравнение (2) полезно в качестве
базы для оценки при более слабых предположениях о том, что
(или
) считаются
неизменными параметрами. Этот случай может оказаться полезным, потому что он
основывается лишь на предположениях (А.1) и (А.2), а также потому что он
применим, когда N мало, а T велико
(равно как и при большом объеме выборки N). Оценим
уравнение (2) с использованием фиктивных переменных для каждой фирмы. Получаем
оценки
. Определим
и
Тогда при
и
фиксированном N,
,
и
так что
измеряет
эффективность относительно значения лучшей фирмы из выборки. Обсудим теперь,
что случится, если N устремить к бесконечности. В
условиях предположения (А.4) о полунормальном распределении (фактически
возможен любой произвольный механизм генерации
, при котором
оказываются
близки нулю с неотрицательной вероятностью),
, а
при
. Таким образом, 
и
, когда и N, и T стремятся к
бесконечности, так что оценка эффективности проводится относительно абсолютного
значения
, а не его
выборочного аналога.
Статистические свойства оценок
достаточно сложны
из-за оператора максимизации, используемого в определении
, а
следовательно и
.
Состоятельность оценок как для случая N и T
была
доказана Шмидтом и Сиклзом. Парк и Симар (1994), а также Кнейп и Симар (1995)
исследовали степень конвергенции оценок. Однако асимптотическое распределение
оценок
и
неизвестно,
поэтому стандартные методы создания асимптотических доверительных интервалов,
основанных на этих распределениях, недоступны.
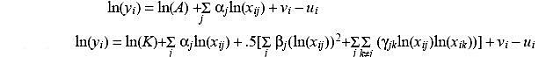
2.4 Спецификация
Обычно в качестве производственных функций
берется одна из следующих прологарифмированных функций [9]:
Кобба-Дугласа - или
Применим полученные результаты для анализа
эффективности банковского сектора. Для оценивания граничных функций издержек и
альтернативной функции прибыли применим прологарифмированные функции с тремя
ресурсами и тремя видами выпуска. Эта форма широко применяется и показывает
необходимую гибкость при оценке предельных функций. Таким образом, граничная
функция издержек банка k
в момент времени t
представляется следующим образом:
(10)
Эту модель с тремя ресурсами на
входе и тремя видами выпуска на выходе назовем модель 1а. Здесь u и v - это
неэффективность и случайная ошибка соответственно. В функции прибыли левая
часть уравнения заменяется на чистую прибыль, а компонента, отвечающая за
неэффективность равна -v. Такую постановку будем называть
модель 2а.
Для учета влияния технологического
изменения эффективности банковского сектора в России введем в рассмотрение
альтернативные модели с линейным и квадратичным трендом. Вышеописанные модели
назовем модель 1b и 2b, модель 1с
и 2с соответственно. Технологический прогресс рассматривается как одна из
движущих сил эффективности. Уровень изменения технологического прогресса можно
измерить с точки зрения стоимости производства. Если произошло улучшение в
технологии, фирма способна произвести тот же объем продукта дешевле при прочих
равных условиях. Тогда расширенная модель затрат, названная нами модель 1с
примет следующую форму:
(11)
где выражение {
} мы
обозначили как модель 1b. Для оценки косвенных функций
издержек и прибыли, требуется наложение определенных априорных ограничений. В
соответствии с Лангом и Вельцелем [17], требуемая симметричность и линейная
однородность обеспечивается наложением соответствующих ограничений:
,
,
,
,
При оценивании, линейная
однородность по ценам ресурсов достигается нормализацией зависимой переменной
(ТС), а также всех цен на факторы производства (w) перед
взятием логарифмов. Каждая переменная при оценивании делится на цену одного из
факторов. Мы разделим все на цену физического капитала. Заметим, что это несет
однородность первой степени только цен факторов. Для учета постоянной отдачи от
масштаба необходимо будет также нормализовать переменные на выходе.
На практике это означает, что
получается лишь два коэффициента
цен на ресурсные переменные, в то
время как третий может быть получен из наложенного ограничения. Предполагается,
что случайные ошибки
независимы,
с одинаковым распределением
~
и независимы от объясняющих
переменных. Переменные, отвечающие за неэффективность
независимы,
одинаково распределены с распределением
и независимы от
. Для модели
издержек, положим
. Конкретная
оценка эффективности банка k в период t дается
условным математическим ожиданием
по
, или
.
Тогда оценка эффективности издержек
имеет следующий вид:
(12)
Эта оценка принимает значение в
интервале от 1 (абсолютная эффективность) до
. Она показывает, насколько близко
условные издержки банка по его выпуску, ценам ресурсов на входе и уровне собственного
капитала близки к абсолютно эффективному банку в этих же условиях. При
моделировании прибыли
и оценка
эффективности по прибыли также получается как условное математическое ожидание
по
, или
. Оценка
эффективности прибыли лежит в пределах от 0 до 1, и определяется как:
(13)
Здесь 1 соответствует абсолютно
эффективный банк.
Граничные функции оцениваются
методом максимального правдоподобия. Для этого используется статистический
пакет Frontier 4.1 [11]. В
соответствии с Коэлли, элементы
и
заменяются на
и
. Параметр
отражает
долю неэффективности в суммарной остаточной ошибке и принимает значения от 0 до
1. Значение 1 предполагает наличие детерминированного предела, в то время как
значение 0 может служить подтверждением оценок, полученных обычным методом
наименьших квадратов. В последнем случае нет структурной неэффективности.
Глава 3. Обзор банковского сектора в
России
В этой главе исследуются
особенности развития российской банковской системы в рассматриваемый период.
3.1
Институциональная структура
Общее число действующих в
России кредитных организаций, сохранявшееся в течение последнего времени на
относительно стабильном уровне, начало сокращаться в середине 2004 года: только
за период с мая по октябрь оно снизилось на 15 - до 1314. На 17 организаций
уменьшилось количество банков, обладающих правом привлечения вкладов населения
(до 1173 банков). Сегодня в России работают 40 банков со 100-процентным
иностранным капиталом и 8 банков, имеющих его более 50 процентов.
Развитие региональной сети
российских банков происходило в направлении дальнейшего сокращения числа
отделений Сбербанка (на 28 с начала года), в то время как общее количество
зарегистрированных филиалов по остальным банкам возросло на 15. Как следствие,
их общее число снизилось с начала года на 13 до 3 206 на 1 октября 2004 года.
Среди крупных банков филиальная сеть наиболее активно расширялась у
Промсвязьбанка (+6), Внешторгбанка (+4), банка Зенит (+3), МДМ-банка (+3).
Новые филиалы в течение года зарегистрировали также: крупнейший банк с участием
иностранного капитала - ММБ (+2), Гута-банк (+2), «Автобанк-НИКойл» (+2),
Петрокоммерц (+2), Росбанк (+1), Промстройбанк СПб (+1) [4].
Табл.5 Динамика
количества банков и их филиалов в 2004 году
|
2004
|
Изменение за год
|
|
Количество кредитных организаций (КО)
|
1507
|
-150
|
|
Количество филиалов
|
3233
|
19
|
|
Сбербанка
|
1011
|
-34
|
|
Прочих
|
2222
|
53
|
|
Кол-во
филиалов/КО (без Сбербанка)
|
1.5
|
0.2
|
|
Доля
Сбербанка
|
0.31
|
-0.01
|
Характерной особенностью
российской банковской системы остается сохранение значительного числа
низкокапитализированных кредитных организаций. Несмотря на рост количества
банков, уставный капитал которых превышает 150 млн. рублей (на 44 за январь -
сентябрь 2004 года), их доля в общем числе действующих кредитных организаций
составляет менее одной трети.
Группа банков, имеющих
собственный капитал в размере более 5 млрд. рублей (или 172 млн. долларов США -
граница отсечения 1000 крупнейших банков, согласно материалам журнала «The
Banker») насчитывает 20
банков, увеличившись по сравнению с началом года на два банка: за счет
включения Национального резервного банка, Райффайзенбанка и банка «Русский
стандарт» и выхода из указанной группы банка Траст.
Продолжается процесс
консолидации банковского бизнеса, активизировавшийся в 2003 году. В качестве
его основных направлений можно выделить объединение банков внутри крупных
банковских групп, расширение присутствия крупных банков в регионах, повышение
интенсивности объединения банковских активов на региональном уровне и выход на
российский рынок новых иностранных банков:
· завершился
подготовительный этап консолидации бизнеса Росбанка и банков группы «ОВК»,
характеризующийся централизацией бизнес-процессов, системы управления рисками и
созданием общей информационной платформы. Вместе с тем действующие
законодательные нормы в сфере регулирования слияний/поглощений, существенно
удорожающие и усложняющие данные процедуры, предопределили дальнейшую
направленность развития объединения данных банков в сторону перевода клиентской
базы и сотрудников из банков группы «ОВК» в Росбанк;
· консолидация
банковского бизнеса внутри Финансовой корпорации «УралСиб» планируется
реализовать за счет присоединения к УралСиббанку банков «Автобанк-НИКойл», ИБГ
«НИКойл», а также Кузбассугольбанка и Брянского народного банка. Способы
реорганизации остальных шести входящих в группу региональных банков пока не
определены. Кроме того, состав финансовой группы дополнен новой кредитной
организацией - банком «Национальная Факторинговая Компания «УралСиб-НИКойл», в
который будет переведен весь факторинговый бизнес группы (ранее факторинговыми
операциями занимался «ИБГ «НИКойл»);
· По совокупному
объему бизнеса банки, объединенные под брэндами «Росбанк» и «УралСиб» (с
суммарными активами на 01.09.2004 года в 148 млрд. рублей и 152 млрд. рублей
соответственно), способны вплотную приблизиться к Альфа-банку (4 место в
рэнкинге), опередив Банк Москвы;
· планы расширения
банковской группы реализует Внешторгбанк. Помимо приобретения 85,8% акций
Гута-банка, подписан меморандум о приобретении ВТБ пакета акций Промстройбанка
СПб.: на начальном этапе - 25%+1 акция; в течение двух последующих лет доля
участия ВТБ может быть доведена до 76%. Активные меры также предпринимаются в
рамках освоения Банком рынков банковских услуг стран СНГ (Армения, Грузия,
Молдавия, Украина);
· в ходе региональной
экспансии Промстройбанка СПб. Утверждено преобразование в его филиал
приобретенного в прошлом году Уралпромстройбанка. Банк «АК Барс» приобрел 70%
акций саратовского Наратбанка;
· активно развиваются
процессы консолидации региональных банковских активов. О планах объединения уже
заявили Тюменский городской банк и «Тюменьэнергобанк», Сибакадембанк и
Уралвнешторгбанк, питерские банки «ВЭБ-инвест» и «Линкс Финанс». Челябинский
банк «Миасс» преобразован в филиал «Челябинвестбанка»;
· благоприятные
макроэкономические условия и сравнительно высокие темпы роста национального
банковского рынка повышают интерес к России со стороны иностранных банков. В
июле 2004 года второй по величине французский банк «BNP
Paribas» объявил о
приобретении 50% акций компании «Русский стандарт», которая владеет более 90%
акций одноименного банка. Среди других проектов иностранных банков в России:
приобретение российского «Дельта-Банка» розничным подразделением компании «General
Electric» - «GE
Consumer
Finance» (ведущий оператор
на американском рынке розничного кредитования), покупка крупнейшей балтийской
финансовой группой «Hansabanka»
мелкого московского банка «Квест». В структуре акционерного капитала ММБ -
крупнейшего российского банка, контролируемого нерезидентами, произошли
заметные изменения: в результате допэмиссии (на 3 млрд. рублей) контрольный
пакет будет сконцентрирован у банка «Bayerische
Hypo- und
Vereinsbank». Тем самым
подавляющее большинство подконтрольных нерезидентам банков (за исключением
КМБ-банка) являются в настоящий момент дочерними (т. е. с долей одного
акционера более 50%).
Инвестиции в акционерный
капитал ряда региональных банков осуществил ЕБРР. Одобрены или реализованы в
2004 году приобретения блокирующих пакетов (25%+1 акция) Сибакадембанка (объем
инвестиций составил 9,8 млн. долларов США), Уралтрансбанка (8 млн. долларов
США), банка «Центр-Инвест» (7,3 млн. долларов США).
В рамках программы сокращения
участия НК «Лукойл» в непрофильных активах компания выходит из состава
акционеров банка «Петрокоммерц». Покупателем более чем 80% акций за 214 млн.
долларов США является ИФД «КапиталЪ», который уже представлен на финансовом
рынке в страховом, инвестиционном и брокерском бизнесе. На первом этапе
реализуется 64,8% акций банка, а оставшаяся часть будет продана до середины
2007 года. Согласно заявлениям компании, банк «Петрокоммерц» останется опорным
банком НК «ЛУКОЙЛ», доля которой в показателях бизнеса банка составляет в
настоящий момент около 20%.
Следствием негативной ситуации
вокруг НК «ЮКОС» стала продажа контролирующей доли в банках, входящих в группу
«Менатеп». 99,4% акций банка Менатеп СПб. и 68,4% акций ИБ «Траст» были
выкуплены группой менеджеров инвестиционного банка, а Менатеп СПб. изменит в
ближайшее время свое название - на «Национальный банк «Траст».
.2 Развитие
банковских финансов
год стал для российской
банковской системы еще одним годом качественного роста. Выросли все ключевые
параметры банковского сектора. Совокупные активы увеличились за 2004 г. на 27%
до 7,137 млрд. руб. ($260 млрд.). Основным фактором роста активов является
продолжающийся бум кредитования: за 2004 г. рост выданных кредитов составил
46%.
В 2004 году в условиях
динамичного роста экономики темпы увеличения национальных банковских активов
(15%) существенно уступали показателю за аналогичный период 2003 года (28%) и
имели в течение года тенденцию к постепенному снижению (среднемесячный прирост
активов российских банков оценивался в первом квартале на уровне 1,9%, во
втором - 1,3%, а в июле-августе сократился до 1%). При этом реальные (с учетом
инфляции) темпы расширения банковских активов в 2004 году - 8% в годовой оценке
- по сравнению с предшествующим годом (22%) сократились почти втрое,
практически до темпов роста ВВП в 2003 году (7,3%).
Динамичное наращивание, начиная
со второго квартала 2004 года, валютных активов банков (на 3,3% в
среднемесячном выражении) после периода их стагнации в конце 2003 - начале 2004
гг. являлось следствием возобновления девальвации рубля и возникновения
кризисных тенденций в развитии банковской системы страны.
Темпы роста выданных кредитов
сохранятся на высоком уровне [5]:
· Рост экономики,
расширение инвестиционных программ будет способствовать росту спроса на кредиты
со стороны предприятий.
· Рост реальных
доходов населения ведет к росту спроса на потребительские, автомобильные и
ипотечные кредиты. Кредитование населения станет новым локомотивом роста
банковского кредитования. За 2004 г. кредиты населению более, чем удвоились, а
их доля в совокупном портфеле выросла с 7.8% до 14.9%.
· Принятие нового
закона о кредитных бюро будет способствовать снижению рисков потребительского
кредитования, сократит их стоимость, что в свою очередь сделает их более
доступными большему кругу потребителей.
· Рост кредитов
опережал в 2004 г. рост других активов, что привело к увеличению их доли с 54%
до 63%. Очевидно, что увеличение доли кредитов не может происходить бесконечно:
банки будут вынуждены наращивать ликвидные активы - денежные средства и резервы,
а также вторичные резервы в виде вложений в ценные бумаги для поддержания своей
ликвидности.
Высокие темпы роста банковских
активов требуют таких же высоких темпов роста источников их финансирования. В
2004 г. таковыми являлись депозиты компаний и населения, прирост которых
составил 38%. Доля депозитов в пассивах банков выросла с 54% до 59%. Доля
населения в них хотя и несколько сократилась в 2004 г., но останется
доминирующей. В среднесрочной перспективе вероятно продолжение активного роста
депозитов, чему будут способствовать два фактора:
1. Укрепление реального
курса рубля снижает доходность сбережений в иностранной валюте до
отрицательной, что приводит к сокращению популярности этого способа сбережений.
. Начало работы системы
страхования вкладов в 2007 г. поможет снизить риски банковской системы в глазах
вкладчиков и нивелирует преимущество Сбербанка на рынке вкладов населения
Динамично развивающимся
направлением клиентских кредитных операций является розничное кредитование.
Совокупный объем потребительских и ипотечных кредитов вырос с начала года
примерно на 70% - с 8,4 до 14,5 млрд. долларов США (при 22% по корпоративным
кредитам), а к концу 2004 года можно рассчитывать, как минимум, на их удвоение
в абсолютном выражении.
Тенденции развития рынка депозитов
населения первого полугодия: высокие темпы привлечения средств физических лиц,
ускоренное увеличение объема рублевых вкладов, которые были характерны и для
предшествующего года, претерпели серьезные изменения в результате кризисных
явлений на банковском рынке в середине года. В июле 2004 года объем депозитов,
впервые после 1998 года, сократился в абсолютном выражении (-13 млрд. рублей),
а в августе, несмотря на восстановление положительной динамики данной ресурсной
статьи, около половины банков продолжали испытывать отток средств со счетов
граждан.
Привлечение средств на
расчетные и депозитные счета от предприятий и организаций превосходило по
динамике увеличение обязательств в целом, что переломило характерную для
последних нескольких лет тенденцию постепенного снижения доли данной статьи
пассивов. В структуре привлекаемых от корпоративных клиентов ресурсов быстрее
возрастали остатки средств на валютных счетах - на 39% за январь-август 2004
года, что более чем в 4 раза выше, чем по средствам в рублях (9%). Следствием
кризисных событий лета 2004 года стал серьезный отток средств предприятий и
организаций из некоторых крупных банков (Альфа-банка, Банка Москвы).
Изменение норм резервирования
по привлеченным ресурсам в сторону смягчения требований и приближения их к
уровню развитых стран позволило высвободить в совокупности порядка 173 млрд.
рублей, или 3% от активов банковской системы.
В сфере формирования финансовых
результатов деятельности банков необходимо отметить ускорение роста чистой
прибыли, которое отмечалось в августе 2004 года и обусловлено, в значительной
степени, введением нового порядка регулирования резервов по ссудам (роспуск
резервов по клиентским кредитам за август обеспечил дополнительные доходы в
целом по всем банкам в размере 24 млрд. рублей). Величина прибыли за январь -
август 2004 года - 97,7 млрд. рублей - более чем на четверть превзошла уровень
аналогичного периода прошлого года, в то время как в середине года наблюдалось
ее отставание (на 4 - 5%). Следствием стало повышение рентабельности активов
(2,6%) и собственного капитала (18%) российских банков по отношению не только к
показателям первого полугодия 2004 года, но и к результатам 2003 года.
Существенный вклад в замедление
темпов роста национальных банковских активов внесли кризисные явления середины
2004 года (кроме того, свой эффект имеет стерилизационное влияние быстро
растущего стабилизационного фонда, ресурсы которого инвестируются в иностранные
ценные бумаги). Их следствием стало также повышение интенсивности наращивания
активов по группе 20 крупнейших банков. Несмотря на двукратное сокращение
валюты баланса Межпромбанка, суммарные активы банков из указанной группы
выросли по итогам 8 месяцев 2004 года на 16% (без Межпромбанка - более чем на
18%) при 12% по банковской системе в целом, в то время как в начале 2004 года
динамика по данной группе банков отставала от среднебанковского тренда.
Опережающее развитие группы
топ-20 обеспечено за счет Внешторгбанка - +34%, (причем даже без учета депозита
Банка России темпы - +26% - являлись максимальными среди ближайших
конкурентов), Сбербанка и ММБ (+23% каждый). Таким образом, необходимо
констатировать усиление роли в национальной банковской системе крупнейших
государственных банков страны - Сбербанка и ВТБ, удельный вес которых в совокупных
активах вырос с начала года на 4,7 п.п. до 36,6%.
Высокую, более чем в два раза
опережающую рынок, динамику роста активов продемонстрировали также банк Зенит
(+38%), «Еврофинанс Моснарбанк» (+25%), ИБГ «НИКойл» (+22%). В июне - августе
2004 года зафиксирован рост валюты баланса Ситибанка (более чем на 11%) после
периода стагнации, которая отмечалась в 2003 году и в начале 2004 года.
Низкие темпы или отсутствие
роста валюты баланса имело место у Промсвязьбанка, банка «Петрокоммерц», а
также Росбанка и МДМ-банка (который, временно опередив в середине 2004 года
Росбанк, вновь вернулся на 7 позицию). Помимо Межпромбанка, абсолютное
сокращение активов за январь - август 2004 года произошло у Альфа-банка (-12%,
которое пришлось, главным образом, на июль - август), в результате чего разрыв
между Альфа-банком и идущим следом Банком Москвы сократился в 2004 года вдвое -
до 1 млрд. долларов США. Развитие других крупных банков примерно
соответствовало среднебанковской тенденции.
За счет размещения на бюджетных
счетах части средств, взысканных с НК «ЮКОС» по налоговому долгу,
Ханты-Мансийский банк увеличил валюту баланса в 2,5 раза, войдя в число 20
крупнейших банков по данному показателю (14 место). В тоже время, Менатеп СПб.
и Траст, являвшиеся ранее опорными банками группы Роспром (ЮКОС), снизили свои
активы на 36% и 45% соответственно, переместившись при этом за пределы топ-30 с
16 и 17 позиции в начале 2004 года
3.3 Прогнозы на
будущее
В ближайшие годы темпы роста
активов, кредитов и депозитов сохранятся на высоком уровне благодаря росту
отечественной экономики, реальных доходов населения и принятию новых
законодательных инициатив (создание кредитных бюро и страхование вкладов)
[5].
Дальнейшее развитие
национальной банковской системы будет непосредственно связано с развитием
розничных операций банков. Пока эта ниша остается практически незанятой.
По мере экономического развития
России и роста благосостояния ее граждан отечественный банковский сектор будет
становиться все более привлекательным для международных банковских капиталов.
Конкуренция со стороны иностранных банков может привести к некоторому снижению
процентной маржи и рентабельности банковского сектора в целом.
Узким местом развития отдельных
банков в среднесрочной перспективе станет размер собственного капитала.
Несмотря на высокие показатели рентабельности банковского сектора в последние
годы, этого все равно было недостаточно для сохранения постоянной доли капитала
в пассивах банков.
Эффект масштаба
благоприятствует дальнейшему развитию крупных банков, которые демонстрируют
высокую рентабельность и естественный прирост собственного капитала.
Рентабельность мелких банков из-за высоких административных расходов, как
правило, ниже, что ограничивает их долгосрочный рост. По нашему мнению, их
единственный шанс остаться на рынке - консолидация, т. е. присоединение или
объединение с другими банками.
С вступлением России в ВТО,
ожидаемым уже в 2006 г., могут пасть некоторые административные барьеры на пути
иностранных банков на российский рынок. Установленное Центральным банком
ограничение иностранного капитала в банковской системе России на уровне 12%,
так и не стало реальным барьером. На начало 2005 г. его доля составила лишь
6.2%.
Тем не менее, по мере
экономического развития России и роста благосостояния ее граждан отечественный
банковский сектор будет становиться все более привлекательным для международных
банковских капиталов. Так, в 2004 г. активно начали развивать розничные услуги
Ситибанк и Райффайзенбанк, пока ограничиваясь лишь Москвой и Санкт-Петербургом.
Почти с уверенностью можно говорить, что уже в ближайшие годы их примеру
последуют другие банковские группы и конкуренция со стороны иностранных банков
резко возрастет. Сомнительно, однако, что главная угроза отечественных
кредитным учреждениям в среднесрочной перспективе будет исходить от демпинговых
условий кредитования в силу более дешевых источников финансирования. Главным
конкурентным преимуществом иностранцев, по крайней мере на первом этапе их
экспансии, будет качество обслуживания клиентов, а не процентные ставки.
Еще одной значимой тенденцией в
краткосрочной перспективе обещает стать перемещение спроса на розничные
банковские услуги из Москвы в регионы.
Дальнейшее развитие
национальной банковской системы будет непосредственно связано с развитием
именно розничных операций банков. Пока эта ниша была практически не занята.
Набор услуг населению до сих пор остается весьма ограниченным. В ближайшие
несколько лет процесс развития филиалов будет идти более интенсивно.
Глава 4. Вычисления и результаты
До конца специфицируются факторы используемые в
вычислениях с помощью статистических пакетов MS
EXCEL и Frontier
4.1 [11].
4.1 Факторы модели
Все количественные переменные исчисляются в
тысячах рублей. В качестве объясняемых переменных используются прибыль до
налогообложения (PBT)
и совокупные издержки (TC)
[10]. Данные по этим показателям можно взять из банковского отчета о прибылях и
убытках, где TC состоят из
выплат по процентам, затрат на персонал и других операционных расходов.
Рассматриваются 3 вида выпуска. Ссуды (Y1)
- общее количество ссуд и кредитов, выданных банком. Инвестиции (Y2)
- общая сумма инвестиций в ценные бумаги, увеличение собственного капитала и
другие виды инвестиций. Последний, третий вид выпуска - депозиты в других
банках (Y3). Как уже было
замечено в Главе 1, включается еще одна контрольная переменная - размер
собственного капитала (Z1).
Наконец, определим цены трех факторов
производства. Цена финансового капитала, измеренная в годовой ставке процента,
конструируется следующим образом:
Далее, подсчитаем цену рабочей силы.
В силу того, что информация о количестве нанятых работников труднодоступна,
была сделана оценка численности персонала на основе имеющихся данных. Для
нахождения оценки было сделано предположение, что количество нанятых работников
и стоимость основных фондов находятся в некоей постоянной зависимости. Построим
теперь регрессию логарифма количества работников по логарифму стоимости
основных фондов, используя всю доступную информацию. В качестве выражения цены
рабочей силы используем
.
Цена физического капитала равна
.
Перед оценкой PBT, TC, W1 и W2 делятся на
W3, чтобы
получить линейную однородность цен.
.2 Результаты оценки
Рассмотрим результаты полученных
оценок эффективности. Напомним, что значения эффективности по доходам лежат в
пределах от 0 до 1, причем 1 означает, что банк эффективен и оперирует на
технологической границе. Значения эффективности по издержкам принимают значения
от 1 до
, и
полностью эффективный банк характеризуется CE=1.
Табл.1 Обзор
результатов
|
N
|
min
|
max
|
среднее
|
станд. отклонение
|
|
CE
|
80
|
1.274
|
282.757
|
8.620
|
36.058
|
|
PE
|
80
|
0.021
|
0.996
|
0.215
|
0.219
|
Таблица 1 показывает, что
индивидуальные оценки эффективности по затратам принимают значения от высокой
1.274 (Судостроительный банк, 2003 г.) до низкой 282.757 (такая исключительно
низкая эффективность по затратам у Сбербанка).
Рис. 1
Распределение оценок PE
в 2004 г. Рис. 2 Распределение оценок СE
в 2004 г.
Большинство банков достаточно
эффективны с точки зрения эффективности по издержкам: более 75% значений оценок
меньше 2. Что касается оценок эффективности по доходам, лишь для 5 банков
значение их превышает 0.4, что свидетельствует о проблемах трансформации эффективности
по издержкам в эффективность по доходам. Выделяются крупные государственные
банки - Сбербанк и Внешторгбанк, они находятся наиболее близко к эффективной
производственной границе. В то же время, у них самые плохие показатели
эффективности по издержкам.
Рис. 3 Карта CE-PE
На Рисунке 5 показано
графическое отображение соотношения оценок эффективности и по затратам, и по
доходам для каждого финансового института. Понятно, что с точки зрения
эффективности, левый верхний квадрант наиболее предпочтителен. Поэтому банки
должны стремиться улучшить свое место на карте СЕ-РЕ, двигаясь в
северо-западном направлении. На графике отображается слабая зависимость разных
оценок эффективности. Следовательно, подтверждается и гипотеза о том, чтобы для
полного выяснения степени эффективности банка, нужно использовать оба подхода к
оценке эффективности.
Вычислив среднее за два года значение оценок,
можно составить рейтинги как лучших, так и худших финансовых институтов с точки
зрения эффективности по доходам и по издержкам.
Табл. 2 Рейтинг эффективности по
доходам
|
№
best PE Банк 1 0.824 СБЕРБАНК РОССИИ 2 0.766 ВНЕШТОРГБАНК 3 0.723
ГАЗПРОМБАНК 4 0.634 СИТИБАНК 5 0.567 РУССКИЙ СТАНДАРТ 6 0.436 ДОЙЧЕ
БАНК 7 0.394 ММБ 8 0.236 ИНГ БАНК (ЕВРАЗИЯ) 9 0.215 ПРОМ-СТРОЙ БАНК 10
0.202 МДМ-БАНК
|
№
worst PE Банк 1 0.025 РОССЕЛЬХОЗБАНК 2 0.034 МОС. ИНДУСТР. БАНК 3 0.048
МБРР 4 0.050 НОМОС-БАНК 5 0.058 ВОЗРОЖДЕНИЕ 6 0.060 ПРОМСВЯЗЬБАНК 7
0.061 БАЛТИЙСКИЙ БАНК 8 0.069 БИН 9 0.076 ИМПЭКСБАНК 10 0.077
СУДОСТРОИТ. БАНК
|
Наилучшие результаты у крупнейших универсальных
банков - Сбербанка, Внешторгбанка, Газпромбанка. Высока эффективность
специализированного на потребительском кредитовании банка Русский Стандарт.
В то же время, среди банков с наименьшими
оценками по прибыли нет ни одного из топ-20 по валюте баланса.
Табл. 3 Рейтинг эффективности по
издержкам
|
№
|
best
СE
|
Банк
|
|
|
№
|
worst
СE
|
Банк
|
|
|
1
|
1.299
|
СУДОСТР.
БАНК
|
|
1
|
224.231
|
СБЕРБАНК
РОССИИ
|
|
2
|
1.374
|
РУССКИЙ
СТАНДАРТ
|
|
2
|
12.771
|
ГАЗПРОМБАНК
|
|
3
|
1.376
|
СОБИНБАНК
|
|
3
|
11.411
|
ВНЕШТОРГБАНК
|
|
4
|
1.463
|
1-Й
ЧЕШСКО-РОСС. БАНК
|
4
|
6.530
|
АЛЬФА-БАНК
|
|
5
|
1.520
|
ИНГ
БАНК (ЕВРАЗИЯ)
|
5
|
6.248
|
БАНК
МОСКВЫ
|
|
6
|
1.522
|
ДОЙЧЕ
БАНК
|
|
6
|
4.760
|
РОСБАНК
|
|
7
|
1.555
|
ЕВРОФИНАНС
МОСНАРБАНК
|
7
|
4.534
|
ПРОМ-СТРОЙ
БАНК
|
|
8
|
1.580
|
НОМОС-БАНК
|
|
8
|
4.425
|
ВОЗРОЖДЕНИЕ
|
|
9
|
1.602
|
СОЮЗ
|
|
|
9
|
4.161
|
МДМ-БАНК
|
|
10
|
1.653
|
МБРР
|
|
|
10
|
3.830
|
СИТИБАНК
|
В рейтинге эффективности по издержкам лидеры
рейтинга по прибыли занимают низкие места. Отметим банк Русский Стандарт,
который занимает лидирующие позиции в обоих рейтингах лучших с точки зрения
эффективности.
При сравнении оценок эффективности за 2 года
выясняется, что лишь у 9 из 40 исследуемых банков в 2004 году показатели
эффективности по доходам оказались хуже, чем в 2003 году. Что касается
эффективности по издержкам, лишь у 3 банков выборки показатели улучшились.
В целом, можно подытожить, что:
1. от банка к банку вариация оценок
эффективности по доходам больше, чем по издержкам;
. за 2 года поведение различных банков
значительно не изменилось, что говорит о небольшом влиянии изменений в
законодательстве и конъюнктуре;
. несмотря на то, что большинство банков
достаточно эффективны с точки зрения управления издержками, эффективность по
доходам находится на низком уровне, причем наилучшие показатели у крупнейших
финансовых институтов;
. не прослеживается явной зависимости
оценок, полученных по двум моделям.
4.3 Анализ эффективности различных
кредитных институтов
Далее, более детально рассмотрим различие в
поведении оценок эффективности различных кредитных институтов. Для этого,
сравним крупнейшие с менее крупными банками.
Среди крупнейших - банки с валютой баланса
больше 200 млрд. руб. на 1 января 2003 г. - Сбербанк России, Внешторгбанк,
Альфа-Банк и Газпромбанк. Их средняя оценка по прибыли - 0.602, что намного
выше средневыборочного значения. Средняя оценка эффективности этих четырех
банков - 63.736, причем минимальное значение индивидуальной статистики и
Альфа-Банка (6.345), абсолютное же большинство оценок эффективности менее
крупных банков лежит в пределах 2. Итак, получается, что самые большие банки
значительно более эффективны с точки зрения прибыли и находятся в роли
аутсайдеров по значению оценок эффективности по издержкам. Возможным
объяснением этого факта может быть наличие больших возможностей для экономии от
масштаба для выпуска, чем для факторов производства. Другим объяснением может
служить доминирование на российском банковском рынке этих нескольких крупных
банков, позволяющее им получать выгоду от ценового лидерства и нехватки качественной
конкуренции.
Заключение
В работе исследуется эффективность российского
банковского сектора по прибыли и по издержкам за 2 года - по состоянию на 1
января 2004 и 1 января 2005 гг. К этому времени, с одной стороны, банки смогли
восстановиться после финансового кризиса 1998 года, и, с другой стороны, еще не
настала пора крупных реформ банковской отрасли. Для анализа используются
граничные функции доходов и издержек.
Получили, что от банка к банку индивидуальная
эффективность по издержкам колеблется больше, чем по прибыли. Следует заметить,
что в сравнении, например, с голландскими банками, для которых были получены
аналогичные результаты, российские банки менее эффективны (особенно по
затратам). Еще один из важных результатов - выявление отсутствия корреляции
эффективности в терминах издержек и прибыли (это значит, что предприятие,
функционирующее на технологической границе в смысле издержек, может иметь
высокую неэффективность по прибыли, и наоборот).
Разделяются финансовые институты разного размера,
и показываются систематические различия в эффективности для этих групп. Мы
выяснили, что в то время как с точки зрения эффективности по прибыли крупные
банки показывают себя с лучшей стороны, но с точки зрения эффективности по
издержкам они находятся дальше границы, на которой оперируют наиболее успешные
в этом смысле банки. Получается, что крупные банки получают преимущество от
обладания некоторой рыночной властью и своего абсолютного размера.
Среди особенностей российской банковской сферы
можно отметить доминирующее положение Сбербанка. Значительную роль играют
финансовые институты с большим государственным участием. Огромное количество
финансовых ресурсов сконцентрировано в Москве, так как из 40 банков выборки
лишь 6 - не из Москвы.
Из рекомендаций для улучшения эффективности
банковского сектора можно предложить дальнейшее совершенствование конкуренции
на рынке предоставления банковских услуг, выравнивание правил игры для всех
банков. Необходимо также повышение качества управления и филиальной политики
банков. Финансовая отрасль должна развиваться опережающими темпами по сравнению
с экономикой страны.
Список использованной литературы
1. береснева н.а., Комарова А.В. (2005): «Математические
модели экономики: сборник задач - учеб. пособие для вузов», Новосибирск,
Издательство СО РАН, 2005
2. Воробьев В. и др.
(2005): «Иностранные банки не взяли» (О недопущении филиалов иностранных банков
в Россию) // Российская Газета, 16 декабря 2005 г.
3. Зайцев С.А. (2005): «Эффективность
банковского сектора в России» // Труды XLIII
Международной Научной Студенческой Конференции «Студент и научно-технический
прогресс»: Новосибирский Государственный Университет. Новосибирск, 12-14 апреля
2005
4. Стрекохов И.
В. (2004): «Тенденции развития банковских структур в 2004
году» // Деньги и кредит. № 11, с. 19 - 22
5. Тапаниев Т. Н.
(2004):
«Банки России в 21 веке» // Рынок ценных бумаг. № 10, с. 15-18
6. Цаплин В.
(2006):
«Определение X-эффективности»,
Материалы к Заседанию Комитета по
тарифам
и
ценообразованию
ЭРРА,
6-7 февраля
2006 г.,
Варшава
8. BATTESE, G.E. and T.J. COELLI (1988): “Prediction of
firm-level technical efficiencies with a generalized frontier production
function and panel data”, Journal of Econometrics, 38, 387-399.
9. BERGER, A. N., W. HUNTER, and S. TIMME (1993): "The Efficiency
of Financial Institutions: A Review and Preview of Research Past, Present, and
Future," Journal of Banking and Finance, 17, 221-249.
10. BOS,
J. and KOOl,
C. (2002): “Bank Size, Specialization and Efficiency: the Netherlands,
1992-1998”, Working papers, Maastricht University, the Netherlands.
. COELLI, T. (1996): “A Guide
to FRONTIER Version 4.1: A Computer Program for Stochastic Frontier Production
and Cost Function Estimation”. Centre for Efficiency and Productivity Analysis
University of New England
12. coelli
T., prasada and
battese (1998): "An Introduction to Efficiency and Productivity
Analysis", Kluwer Academic Publishers, Boston
13. Eisenbeis Robert A., Ferrier Gary D., and Kwan Simon H. (1999): “The
Informativeness of Stochastic Frontier and Programming Frontier Efficiency
Scores:Cost Efficiency and Other Measures of Bank Holding Company Performance”,
Working Paper 99-23, Federal Reserve Bank of Atlanta
14. GREENE, W. (1980):
"Maximum Likelihood Estimation of Econometric Frontier Functions,"
Journal of Econometrics, 13, 27-56.
15. Horrace,
W., Schmidt, P. (2004): “Confidence Statements
for Efficiency Estimates from Stochastic Frontier Models”, Working papers,
University of Arisona.
16. HUMPHREY, D., and L. PULLEY (1997): "Banks'
Response to Deregulation: Profits, Technology and Efficiency," Journal of
Money, Credit and Banking, 29 (1), 73-93.
17. Kwan,
Simon H. Eisenbeis Robert A. (1996): “An
Analysis of Inefficiencies in Banking: A Stochastic Cost Frontier Approach”,
FRBSF Economic Review, 1996, Number 2
. LANG,
G., and
P. WELZEL (1999): "Mergers Among German Cooperative Banks - A Panel
Based Stochastic Frontier Analysis, "Journal of Small Business Economics,
forthcoming.
. LOVELL, C. (1993):
"Production Frontiers and Productive Efficiency," in The Measurement
of Productive Efficiency: Techniques and Applications, ed. by H. Fried, C.
Lovell, and S. Schmidt, pp. 3-67, New York. Oxford University Press.
20. Lovell,
Knox C.A., Kumbhakar Subal C. (2000):
“Stochastic Frontier Analysis”, Cambridge University Press, p. 1-20
21. OLSON, J.A., P. SCHMIDT and D.M. WALDMAN (1980): “A Monte Carlo
Study of Estimators of Stochastic Frontier Production Functions”, Journal of
Econometrics, 13, p. 67-82.
22. PITT, M.M.
and L.F. LEE (1981): “The
measurement and sources of technical inefficiency in the Indonesian weaving
industry”, Journal of Development Economics, 9, 43-64.
23. RAO, ANANTH (2003):
“Efficiency Analysis of UAE Banks”, Economics Working Paper Archive EconWPA
. VENNET, VANDER, R. (1998):
“Determinants of EU Banking Turnovers: A Logit Analysis”, A CERP/ESI
Conference, Brussels, September 24-26, 1-21
25. Webster, R., Kennedy, S.
and Johnson, L. (1998):
“Comparing Techniques for Measuring the efficiency and Productivity of
Australian Private Hospitals”, Working Paper No. 98/3, Australian Bureau of
Statistics
26. Банкир.Ру
[Электронный ресурс] / Банковские новости, рейтинги, аналитика - Электрон. дан.
- Режим доступа: www.bankir.ru, свободный - Заглавие с экрана
. Банк
России [Электронный ресурс] / Официальный сайт Центробанка России - Электрон.
дан. - Режим доступа: www.cbr.ru, свободный
- Заглавие с экрана
. Оценка
финансового состояния банков [Электронный ресурс] / Новости, рейтинги,
аналитика, публикации - Электрон. дан. - Режим доступа: www.banks-rate.ru, свободный
- Заглавие с экрана
. Рейтинговое
агентство Эксперт [Электронный ресурс] / Сайт РА Эксперт - Электрон. дан. -
Режим доступа: www.raexpert.ru, свободный - Заглавие с
экрана
. РИА
Росбизнесконсалтинг [Электронный ресурс] / Сайт РИА Росбизнесконсалтинг -
Электрон. дан. - Режим доступа: www.rbc.ru, свободный
- Заглавие с экрана
. Social
Science Research Network [Электронный ресурс] / База научных работ по
социальным наукам - Электрон. дан - Режим доступа: www.ssrn.com
<http://www.ssrn.com>, свободный - Заглавие с экрана
. The
World Bank [Электронный ресурс] / Сайт Всемирного Банка - Электрон. дан. -
Режим доступа: www.worldbank.org <http://www.worldbank.org>, свободный -
Заглавие с экрана
. Федеральный
закон Российской Федерации от 3 мая 2006 г. N 60-ФЗ О внесении изменений в
Федеральный закон "О банках и банковской деятельности" и Федеральный
закон "О Центральном банке Российской Федерации (Банке России)"
. Федеральный
закон "О банках и банковской деятельности" (в редакции Федерального
закона от 3 февраля 1996 года N 17-ФЗ)
Приложения
Приложение 1: Топ-40 крупнейших
банков России по валюте баланса
|
№
п/п
|
Банк
|
№
п/п
|
Банк
|
|
1
|
МЕЖДУНАРОДНЫЙ
МОСКОВСКИЙ БАНК
|
21
|
РОСБАНК
|
|
2
|
АВТОБАНК-НИКОЙЛ
|
22
|
УРАЛСИБ
|
|
3
|
БАЛТИЙСКИЙ
БАНК
|
23
|
ИМПЭКСБАНК
|
|
4
|
ГАЗПРОМБАНК
|
24
|
СОЮЗ
|
|
5
|
НИКОЙЛ
|
25
|
МДМ-БАНК
|
|
6
|
ПРОМЫШЛЕННО-СТРОИТЕЛЬНЫЙ
БАНК
|
26
|
ЕВРОФИНАНС
МОСНАРБАНК
|
|
7
|
СУРГУТНЕФТЕГАЗБАНК
|
27
|
ИНГ
БАНК (ЕВРАЗИЯ)
|
|
8
|
МОСКОВСКИЙ
ИНДУСТРИАЛЬНЫЙ БАНК
|
28
|
СИТИБАНК
|
|
9
|
ВНЕШТОРГБАНК
|
29
|
БИН
|
|
10
|
СОБИНБАНК
|
30
|
АК
БАРС
|
|
11
|
АЛЬФА-БАНК
|
31
|
БАНК
МОСКВЫ
|
|
12
|
ВОЗРОЖДЕНИЕ
|
32
|
ИБ
ТРАСТ
|
|
13
|
СБЕРБАНК
РОССИИ
|
33
|
РУССКИЙ
СТАНДАРТ
|
|
14
|
ВНЕШТОРГБАНК
РОЗНИЧНЫЕ УСЛУГИ
|
34
|
СУДОСТРОИТЕЛЬНЫЙ
БАНК
|
|
15
|
ПЕТРОКОММЕРЦ
|
35
|
ПРОМСВЯЗЬБАНК
|
|
16
|
МЕЖДУНАРОДНЫЙ
ПРОМЫШЛЕННЫЙ БАНК
|
36
|
БАНК
ЗЕНИТ
|
|
17
|
ТРАНСКРЕДИТБАНК
|
37
|
ТРАСТ
|
|
18
|
НАЦИОНАЛЬНЫЙ
РЕЗЕРВНЫЙ БАНК
|
38
|
ПЕРВЫЙ
ЧЕШСКО-РОССИЙСКИЙ БАНК
|
|
19
|
НОМОС-БАНК
|
39
|
ДОЙЧЕ
БАНК
|
|
20
|
МОСКОВСКИЙ
БАНК РЕКОНСТРУКЦИИ И РАЗВИТИЯ
|
40
|
РОССЕЛЬХОЗБАНК
|
Приложение 2: Оценки эффективности
по затратам (СЕ) и по прибыли (РЕ)
|
№
|
Банк
|
РЕ
|
СЕ
|
№
|
Банк
|
РЕ
|
CE
|
|
|
2003
|
2004
|
2003
|
2004
|
|
|
2003
|
2004
|
2003
|
2004
|
|
1
|
МЕЖДУНАРОДНЫЙ
МОСКОВСКИЙ БАНК
|
0.281
|
0.506
|
3.621
|
3.724
|
21
|
РОСБАНК
|
0.076
|
0.279
|
4.454
|
5.067
|
|
2
|
АВТОБАНК-НИКОЙЛ
|
0.264
|
0.085
|
2.214
|
2.373
|
22
|
УРАЛСИБ
|
0.102
|
0.166
|
2.887
|
4.419
|
|
3
|
БАЛТИЙСКИЙ
БАНК
|
0.066
|
0.055
|
1.733
|
2.103
|
23
|
ИМПЭКСБАНК
|
0.055
|
0.097
|
2.198
|
2.782
|
|
4
|
ГАЗПРОМБАНК
|
0.619
|
0.827
|
10.044
|
15.498
|
24
|
СОЮЗ
|
0.162
|
0.195
|
1.426
|
1.778
|
|
5
|
НИКОЙЛ
|
0.026
|
0.320
|
1.793
|
1.917
|
25
|
МДМ-БАНК
|
0.076
|
0.329
|
3.965
|
4.357
|
|
6
|
ПРОМЫШЛЕННО-СТРОИТЕЛЬНЫЙ
БАНК
|
0.206
|
0.224
|
3.862
|
5.206
|
26
|
ЕВРОФИНАНС
МОСНАРБАНК
|
0.074
|
0.128
|
1.535
|
1.575
|
|
7
|
СУРГУТНЕФТЕГАЗБАНК
|
0.118
|
0.127
|
2.441
|
2.593
|
27
|
ИНГ
БАНК (ЕВРАЗИЯ)
|
0.157
|
0.315
|
1.389
|
1.651
|
|
8
|
МОСКОВСКИЙ
ИНДУСТРИАЛЬНЫЙ БАНК
|
0.045
|
0.023
|
1.948
|
2.171
|
28
|
СИТИБАНК
|
0.615
|
0.653
|
3.483
|
4.178
|
|
9
|
ВНЕШТОРГБАНК
|
0.684
|
0.847
|
9.971
|
12.851
|
29
|
БИН
|
0.025
|
0.114
|
1.626
|
1.861
|
|
10
|
СОБИНБАНК
|
0.045
|
0.266
|
1.351
|
1.401
|
30
|
АК
БАРС
|
0.128
|
0.090
|
1.702
|
2.190
|
|
11
|
АЛЬФА-БАНК
|
0.026
|
0.164
|
6.345
|
6.714
|
31
|
БАНК
МОСКВЫ
|
0.144
|
0.157
|
4.928
|
7.569
|
|
12
|
ВОЗРОЖДЕНИЕ
|
0.021
|
0.095
|
3.964
|
4.885
|
32
|
ИБ ТРАСТ
|
0.206
|
0.091
|
2.122
|
1.859
|
|
13
|
СБЕРБАНК
РОССИИ
|
0.652
|
0.996
|
165.704
|
282.757
|
33
|
РУССКИЙ
СТАНДАРТ
|
0.647
|
0.486
|
1.365
|
1.383
|
|
14
|
ВНЕШТОРГБАНК
РОЗНИЧНЫЕ УСЛУГИ
|
0.048
|
0.270
|
2.077
|
1.776
|
34
|
СУДОСТРОИТЕЛЬНЫЙ
БАНК
|
0.040
|
0.115
|
1.274
|
1.324
|
|
15
|
ПЕТРОКОММЕРЦ
|
0.212
|
0.154
|
2.356
|
3.072
|
35
|
ПРОМСВЯЗЬБАНК
|
0.056
|
0.064
|
2.225
|
2.665
|
|
16
|
МЕЖДУНАРОДНЫЙ
ПРОМЫШЛЕННЫЙ БАНК
|
0.096
|
0.280
|
1.635
|
1.764
|
36
|
БАНК
ЗЕНИТ
|
0.141
|
0.264
|
1.671
|
1.969
|
|
17
|
ТРАНСКРЕДИТБАНК
|
0.147
|
0.109
|
2.157
|
2.478
|
37
|
ТРАСТ
|
0.148
|
0.193
|
2.980
|
4.055
|
|
18
|
НАЦИОНАЛЬНЫЙ
РЕЗЕРВНЫЙ БАНК
|
0.119
|
0.214
|
3.524
|
1.374
|
38
|
ПЕРВЫЙ
ЧЕШСКО-РОССИЙСКИЙ БАНК
|
0.030
|
0.244
|
1.430
|
1.496
|
|
19
|
НОМОС-БАНК
|
0.042
|
0.059
|
1.605
|
39
|
ДОЙЧЕ
БАНК
|
0.240
|
0.633
|
1.338
|
1.706
|
|
20
|
МОСКОВСКИЙ
БАНК РЕКОНСТРУКЦИИ И РАЗВИТИЯ
|
0.026
|
0.069
|
1.652
|
1.655
|
40
|
РОССЕЛЬХОЗБАНК
|
0.028
|
0.022
|
1.766
|
2.091
|