Пути улучшения финансовых результатов деятельности предприятия ООО 'ЦАПП'

  • Вид работы:
    Дипломная (ВКР)
  • Предмет:
    Эктеория
  • Язык:
    Русский
    ,
    Формат файла:
    MS Word
    597,23 kb
  • Опубликовано:
    2011-08-25
Вы можете узнать стоимость помощи в написании студенческой работы.
Помощь в написании работы, которую точно примут!

Пути улучшения финансовых результатов деятельности предприятия ООО 'ЦАПП'

Санкт-Петербургская академия управления и экономики

Кафедра «Финансов и бухгалтерского учёта»



Допустить к защите

Заведующий кафедрой

Шевелёв С.Ю




Выпускная квалификационная работа

Тема: Пути улучшения финансовых результатов деятельности предприятия ООО «ЦАПП»


Выполнила: Турова Мария Сергеевна

080105.65 Финансы и кредит 3311/5-3

Руководитель: Самохвалова Раиса Ивановна

Кандидат экономических наук, доцент



Санкт - Петербург

2010 г.

Содержание

Введение

Глава 1. Теоретические основы анализа финансовых результатов промышленного производства

1.1 Сущность, понятие и значение финансовых результатов, их виды. Порядок проведения анализа финансовых результатов промышленного производства

.2 Современное состояние экономики и проблемы промышленного производства

.3 Основные пути улучшения финансовых результатов деятельности промышленного производства

Глава 2. Анализ финансовых результатов организации ООО «Центр автоматизации производственных процессов»

.1 Организационно-экономическая характеристика организации ООО «Центр автоматизации производственных процессов»

.2 Анализ финансовых результатов организации ООО «Центр автоматизации производственных процессов»

.2.1 Анализ состава и динамики общей прибыли ООО «ЦАПП»

.2.2 Анализ финансовых результатов от реализации продукции ООО «ЦАПП»

.2.3 Анализ прочих доходов и расходов ООО «ЦАПП»

.2.4 Анализ распределения и использования чистой прибыли ООО «ЦАПП»

.2.5 Анализ показателей рентабельности организации ООО «ЦАПП»

Глава 3. Пути улучшения финансовых результатов деятельности организации ООО «Центр автоматизации производственных процессов»

3.1 Выявление резервов и разработка мероприятий по улучшению финансовых результатов деятельности организации ООО «ЦАПП»

3.2 Оценка предложенных мероприятий по улучшению финансовых результатов деятельности организации ООО «ЦАПП»

Заключение

Библиографический список

Введение

В настоящее время, в период современного мирового экономического кризиса, когда наблюдается спад промышленного производства и значительно сокращаются инвестиции в него, повышается самостоятельность организаций, их экономическая и юридическая ответственность. Это значительно увеличивает роль анализа их финансовых результатов, наличия, размещения и использования прибыли. От организаций в нынешнее время нестабильной экономики, для рентабельной работы требуется повышение эффективности производства, конкурентоспособности продукции и услуг на основе внедрения достижений научно-технического прогресса и повышения эффективности форм хозяйствования и управления производством.

Важная роль в реализации этой задачи отводится анализу финансово-хозяйственной деятельности предприятий. С его помощью вырабатываются стратегия и тактика развития организации, обосновываются планы и управленческие решения, осуществляется контроль за их выполнением, выявляются резервы повышения эффективности производства, оцениваются результаты деятельности предприятия, его подразделений и работников.

Тема весьма актуальна, в связи с тем, что для эффективной работы организации необходимо грамотное управление ее прибылью. Анализ проводится для того, чтобы оценить финансовые результаты предприятия, а также, чтобы постоянно проводить мероприятия, направленные на их улучшение. Анализ финансовых результатов показывает, по каким конкретным направлениям надо вести эту работу. В соответствии с этим результаты анализа дают ответ на вопрос, каковы важнейшие пути улучшения финансовых результатов организации в конкретный период его деятельности.

Цель впускной квалификационной работы - изучить современное состояние промышленного производства, провести анализ финансовых результатов организации, выявить резервы их повышения и разработать на этой основе мероприятия по улучшению деятельности организации.

Для достижения поставленной цели решаются следующие задачи:

раскрыть теоретические основы анализа финансовых результатов организации;

провести анализ финансовых результатов организации ООО «ЦАПП»;

разработать мероприятия по улучшению финансовых результатов организации ООО «ЦАПП».

Цель и задачи написания работы определили ее структуру, которая состоит из введения, трех глав и заключения. Первая глава раскрывает теоретические основы анализа финансовых результатов организации, а также его современную значимость. Вторая глава построена на данных ООО «Центр автоматизации производственных процессов» и содержит в себе анализ динамики показателей прибыли и рентабельности. Третья глава является проектной. В ней разрабатываются и обосновываются конкретные мероприятия по улучшению финансовых результатов деятельности ООО «ЦАПП».

Объект исследования - финансовые результаты организации и разработка мероприятий по их улучшению.

Объект наблюдения - ООО «Центр автоматизации производственных процессов».

Предмет исследования - экономические процессы, тенденции и закономерности, связанные с повышением финансовых результатов организации.

В работе были использованы следующие методы экономического исследования: диалектический, статистико-экономический, математический, монографический, абстрактно-логический, расчетно-конструктивный, балансовый метод и другие.

Исходной базой финансового анализа работы являются данные бухгалтерского и налогового учёта и отчетности ООО «ЦАПП».

В качестве источников написания работы послужили нормативные документы, бухгалтерская отчетность организации ООО «ЦАПП», а также специализированные учебные пособия и материалы периодической печати.

Теоретической и методологической основой выпускной квалификационной работы послужили многие положения, изложенные в трудах российских ученых экономистов и финансистов, таких как: В.В. Ковалев, Г.В. Савицкая, Е.С. Стоянова, А.Д. Шеремет, Л.В. Донцова, Н.А. Никифорова, Л.Т. Гиляровская, В.Р. Банк, В.М. Глазунов, П. Ревенко, Л.Г. Скамай и другие.

Глава 1. Теоретические основы анализа финансовых результатов промышленного производства

1.1 Сущность, понятие и значение финансовых результатов, их виды. Порядок проведения анализа финансовых результатов промышленного производства

Финансовые результаты - это итоги хозяйственной деятельности компании и ее подразделений, выраженные в виде финансовых показателей, таких, как прибыль (убытки) и рентабельность. [1, с. 287]

Различные стороны производства, бытовой, снабженческой и финансовой деятельности организации получают законченную оценку в системе показателей финансовых результатов. [33, с. 406]

Показатели финансовых результатов характеризуют абсолютную эффективность хозяйствования организации. Важнейшими из них, по мнению Шеремета А.Д. являются показатели прибыли, которые в условиях рыночной экономики составляют основу экономического развития организации, характеризуют степень его деловой активности и финансового благополучия. Рост прибыли создаёт финансовую базу для самофинансирования, расширенного производства, решение проблем социальных и материальных потребности трудового коллектива. За счёт прибыли выполняются также часть обязательств организации перед бюджетом, банками и другими организациями. [36, с. 370]

Савицкая Г.В. пишет, что получение прибыли играет большую роль в стимулировании развития производства. Но в силу определенных обстоятельств или упущений в работе (невыполнение договорных обязательств, незнание нормативных документов, регулирующих финансовую деятельность предприятия) предприятие может понести убытки. Прибыль - это обобщающий показатель, наличие которого свидетельствует об эффективности производства, о благополучном финансовом состоянии. [26, с. 262]

В условиях рынка получение прибыли является непосредственной целью производства субъекта хозяйствования. Реализация данной цели возможна только в том случае, если субъект хозяйствования производит продукцию (работы, услуги), которые по своим потребительским свойствам соответствуют потребностям общества. Получение выручки за произведенную и реализованную продукцию еще не означает получение прибыли. Для выявления финансового результата необходимо выручку сопоставить с затратами на производство и реализацию: когда выручка превышает затраты, тогда финансовый результат свидетельствует о получении прибыли. При равенстве выручки и затрат удается лишь возмещать затраты - прибыль отсутствует, а следовательно, отсутствует и основа развития хозяйствующего субъекта. Когда затраты превышают выручку, субъект хозяйствования получает убытки - это область критического риска, что ставит хозяйствующий субъект в критическое финансовое положение, не исключающее банкротство. Убытки высвечивают ошибки, просчеты в направлениях использования финансовых средств организации производства, управления и сбыта продукции. [25, с. 324]

Все ученые сходятся во мнении что, прибыль организации является основной целью ее деятельности.

Как экономическая категория прибыль отражает чистый доход, созданный в сфере материального производства. Скамай Л.Г. в своих трудах перечисляет ряд функций выполняемых прибылью:

. Прибыль характеризует экономический эффект, полученный в результате деятельности предприятия. Получение прибыли на предприятии означает, что полученные доходы превышают все расходы, связанные с его деятельностью.

. Прибыль обладает стимулирующей функцией. Это связано с тем, что прибыль является одновременно не только финансовым результатом. Но и основным элементом финансовых ресурсов предприятия. Поэтому предприятие заинтересовано в получении максимальной прибыли, так как это является основой для расширения производственной деятельности, научно-технического и социального развития организации.

. Прибыль является одним из важнейших источников формирования бюджетов разных уровней. Она поступает в бюджеты в виде налогов и наряду с другими доходными поступлениями используется для финансирования удовлетворения совместных общественных потребностей, обеспечения выполнения государством своих функций, государственных, инвестиционных, производственных, научно-технических и социальных программ. [27, С. 262]

На величину прибыли и ее динамику воздействуют два фактора, как зависящие, так и не зависящие от усилий организации (рис.1.1). [10, с. 191-195]

Рис. 1.1. Классификация факторов, влияющих на величину прибыли

К внешним факторам относятся природные условия: уровень цен на потребляемые материально-сырьевые и топливно-энергетические ресурсы, тарифов, процентов, налогов ставок и льгот, штрафных санкций, нормы амортизационных отчислений и др. Эти факторы не зависят от деятельности предприятия, но могут оказывать значительное влияние на величину прибыли.

Внутренние факторы делятся на производственные и внепроизводственные. Производственные факторы характеризуют наличие и использование средств и предметов труда, трудовых и финансовых ресурсов и, в свою очередь, могут подразделяться на экстенсивные и интенсивные.

Экстенсивные факторы воздействуют на процесс получения прибыли через «количественные» изменения: объема средств и предметов труда; финансовых ресурсов; численности персонала; фонда рабочего времени и др.

Интенсивные факторы воздействуют на процесс получения прибыли через «качественные» изменения: повышение производительности оборудования и его качества; ускорение оборачиваемости оборотных средств; повышение квалификации и производительности труда персонала; снижение трудоемкости и материалоемкости продукции; совершенствование организации труда и более эффективное использование финансовых ресурсов и др.

К внепроизводственным факторам относятся: снабженческо-сбытовая и природоохранная деятельность, социальные условия труда и сбыта и др.

При осуществлении финансово-хозяйственной деятельности предприятия все эти факторы находятся в тесной взаимосвязи и взаимозависимости. [10, с. 191-195]

Виды прибыли:

. Валовая прибыль, она определяется как разность между выручкой и прямыми затратами по реализованной продукции

Валовая прибыль определяется по следующей формуле:

Пв = Вп - С/с №1.1

где Вп - выручка от продажи;

С/с - себестоимость.

Выручка от продажи характеризует общий финансовый результат (валовой доход) от реализации продукции, т.е. включает в себя: выручку от реализации готовой продукции, полуфабрикатов собственного производства, работ и услуг и т.п. Как отмечает Ковалев В.В., выручка от продажи может быть определена по моменту поступления денег на расчетный счет или в кассу (кассовый метод). Или предприятие может определять выручку от реализации и финансовый результат по моменту отгрузки продукции (метод начисления). [11, с. 544]

. Прибыль от реализации определяется как разность между валовой прибылью и себестоимостью, коммерческими и управленческими расходами.

Прибыль от продаж можно рассчитать по формуле:

Пп = Вп - С/с - Кр - Ур №1.2

где Вп - выручка от продажи;

С/с - себестоимость;

Кр - коммерческие расходы;

Ур - управленческие расходы.

. Прибыль до налогообложения - сумма прибыли от продукции, основных фондов и другого имущества предприятия и доходов от внереализационных операций, уменьшенных на сумму расходов этих операций:

П до налогооб.= Пп+Поф+Д вн. реал-Р вн. реал №1.3

где Пп - прибыль от продаж;

Поф - сумма прибыли от основных фондов;

Д вн. реал - доходы от внереализационных операций;

Р вн. реал - расходы от внереализационных операций.

. Чистая прибыль (прибыль к распределению) определяется как сумма прибыли, которая остается в распоряжении предприятия после уплаты всех налогов, санкций и других обязательств.

Чистая прибыль является одним из важнейших экономических показателей, характеризующих конечные результаты деятельности предприятия, она остается в полном распоряжении предприятия.

ЧП = П до налогооб.- Налоги и платежи №1.4

где П до налогооб. - прибыль до налогообложения.

Прибыль характеризует результат деятельности предприятия, а для оценки экономической эффективности работы и сравнительного анализа деятельности предприятия различных организаций используются показатели рентабельности.

Рентабельность - это доходность, прибыльность предприятия; показатель экономической эффективности производства промышленного предприятия, который отражает конечные результаты хозяйственной деятельности.

Показатели рентабельности характеризуют эффективность работы предприятия в целом, доходность различных направлений деятельности (производственной, коммерческой, инвестиционной и т.д.); они более полно, чем прибыль, характеризуют окончательные результаты хозяйствования, потому что их величина показывает соотношение эффекта с наличными или потребленными ресурсами. [37, с. 125]

Рентабельность характеризует соотношение прибыли с затратами или используемыми ресурсам. Наибольшее распространение в торговых организациях в настоящее время имеет следующие показатели рентабельности:

. Показатель экономической рентабельности (уровень рентабельности предприятия) рассчитывается как отношение чистой прибыли к среднегодовой стоимости активов, данный показатель используется в расчете эффекта финансового рычага и рассчитывается по формуле:

ЭР = ЧП / Ср.ст.А *100% №1.5

где ЧП - чистая прибыль;

Ср.ст.А - среднегодовая стоимость активов, рассчитанная как сумма среднегодовой стоимости основных фондов плюс сумма оборотных средств.

. Рентабельность продаж (рентабельность основной деятельности) - отношение прибыли от продаж к объему оборота торговой организации за определенный период в процентах. Этот показатель характеризует долю прибыли в цене товара. По существу рентабельность продаж не позволяет оценить эффективность хозяйственной деятельности, однако на практике этот показатель легко сопоставлять с уровнем издержек обращения, уровнем доходов от торговых надбавок. Данный показатель характеризует изменения в политике ценообразования, способность предприятия контролировать себестоимость реализованной продукции. [26, с. 281]

РП =Пп/V рп*100% №1.6

где Пп- прибыли от продаж,

V рп - объем реализованной продукции.

. Рентабельность товарной продукции определяется как отношение чистой прибыли к полной себестоимости реализованной продукции. Этот показатель отражает, сколько рублей чистой прибыли принес каждый рубль затрат на производство и реализацию продукции.

Р тп=ЧП / С/с *100% №1.7

где ЧП - чистая прибыль;

С/с - себестоимость.

. Общая рентабельность - определяется как отношение прибыли до налогообложения к выручке от реализации продукции и показывает, количество чистой прибыли которое приходится на рубль реализованной продукции. [26, с. 282]

Р общая = П до налогооб. / Выручка *100% №1.8

где П до налогооб. - прибыль до налогообложения;

Выручка - выручка от реализации продукции, работ, услуг.

В зависимости от целей анализа могут быть использованы и другие показатели рентабельности.

Источниками информации для анализа финансово-хозяйственной деятельности являются данные оперативного и бухгалтерского учета.

Бухгалтерская отчетность - единая система данных об имущественном и финансовом положении организации и о результатах ее хозяйственной деятельности, составляемая на основе данных бухгалтерского учета по установленным формам. Данные отчетности используются внешними пользователями для оценки эффективности работы организации. Отчетность необходима для оперативного руководства хозяйственной деятельностью и служит исходной базой для последующего планирования и прогнозирования. [6, с. 11]

Состав и содержание бухгалтерской отчетности в настоящее время регулируется следующими нормативными документами:

-  Федеральным законом от 21 ноября 1996 года №129-ФЗ «О бухгалтерском учете», с последующими изменениями и дополнениями;

-   Положением по ведению бухгалтерского учета и бухгалтерской отчетности в российской Федерации, утвержденным приказом Минфина России от 29 июля 1998 года №34н;

-   Планом счетов бухгалтерского учета финансово - хозяйственной деятельности организаций, утвержденным приказом Минфина России от 31 октября 2000 года №94н;

-   Положениями по бухгалтерскому учету и другими документами.

Донцова Л.В. пишет что, анализ финансовой отчетности - это процесс, при помощи которого оценивается прошлое и текущее финансовое положение и результаты деятельности организации. Однако при этом главной целью является оценка финансово-хозяйственной деятельности организации относительно будущих условий существования. [6, с. 9]

Практическое применение финансового анализа в России представлено на рис. 1.2 [7, с. 58-59]

В настоящее время, как отмечает В.В. Ковалев, анализ финансовых результатов предприятия достаточно хорошо систематизирован, а его процедуры имеют унифицированный характер и проводятся, по сути, по единой методике практически во всех странах мира. Общая идея этого унифицированного подхода к анализу заключается в том, что умение работать с бухгалтерской отчетностью предполагает по крайней мере знание и понимание: места, занимаемого бухгалтерской отчетностью в системе информационного обеспечения управления деятельностью предприятия; нормативных документов, регулирующих ее составление и представление; состава и содержания отчетности; методики ее чтения и анализа. [9, с. 338]

Рис. 1.2. Практика применения экономического анализа по результатам исследования ведущих российских компаний.

Результативность деятельности предприятия в финансовом смысле характеризуется показателями прибыли и рентабельности. Эти показатели как бы подводят итог деятельности предприятия за отчетный период.

Таким образом, анализ финансовых результатов становится необходимым вопросом каждого предприятия, поскольку его дальнейшее существование связано с его доходами, с его способностью поддерживать свою рентабельность. Поэтому в современных условиях проведение такого анализа имеет большое значение, как для самого предприятия, так и для его партнеров, собственников, финансовых органов. Финансовый анализ является существенным элементом финансового менеджмента и аудита. Практически все пользователи финансовых отчетов предприятий используют методы финансового анализа для принятия решений по оптимизации своих интересов.

1.2 Современное состояние экономики и проблемы промышленного производства

Одной из главных тем, активно обсуждаемых в средствах массовой информации, находящихся в центре внимания политиков, специалистов и рядовых граждан, стал мировой финансовый кризис, перерастающий в глобальный экономический кризис. Он будет иметь важные долгосрочные последствия для мировой экономики, изменения расстановки сил в мире, создаст новые, более сложные и жесткие условия функционирования экономики России.

Официальную точку зрения руководства высказал Президент России Д. Медведев. По его оценке проблемы, с которыми столкнулись большинство стран, являются следствием грубых ошибок, совершенных рядом государств (прежде всего Америкой). Удельный вес американской экономики и финансового рынка в мировой экономике очень велик, поэтому кризис, разразившийся в США, рикошетом ударил по экономике практически всех стран. В условиях, когда доллар США остается основной резервной валютой и главным платежным средством в международный расчетах, резкое снижение доступности международных кредитов приводит к аналогичным процессам в национальных экономиках. В результате сокращается спрос, сжимаются рынки сбыта, снижается использование производственных мощностей, и происходят увольнения работников, что вызывает новое уменьшение спроса. Приостанавливается реализация инвестиционных программ, откладываются планы расширения производства. [29]

Мировой финансовый кризис не обошел стороной и Россию. Не секрет, что основные средства в российской промышленности очень сильно изношены, что играет существенную роль в снижении конкурентоспособности отечественных предприятий по сравнению с зарубежными. Средний возраст основных мощностей российской промышленности в 2004 году, по оценке экс-президента Торгово-промышленной палаты РФ Евгения Примакова, перевалил за 20 лет, что в два с половиной раза выше, чем во Франции и в Италии. Поэтому многие российские компании в 2005-2007 гг. проводили перевооружение производств.

Процессы перевооружения затронули практически все рынки. Модернизация проводилась в основном на базе зарубежных технологий, зачастую с привлечением заемных средств. Сейчас к необходимости возврата валютных кредитов в условиях дешевого рубля добавилась высокая зависимость от импортных комплектующих и невозможность замены их отечественными аналогами из-за несоответствия уровня технологий. Как следствие, больше всего в кризис пострадали отрасли и компании, которые в последние годы серьезно вложились в переоснащение производства.

Однако по оценке ведущего эксперта Центра макроэкономического анализа и краткосрочного прогнозирования Олега Солнцева (ЦМАКП), обновление мощностей все годы подъема шло достаточно медленно и довольно локально. Поэтому проблема неэффективности основных средств актуальна для многих предприятий и по сей день. К примеру, на заседании правительства Челябинской области в феврале 2009 года по вопросу поддержки промышленных предприятий в условиях кризиса полномочный представитель Президента по Уральскому Федеральному Округу Николай Винниченко констатировал, что, несмотря на высокие заслуги уральского бизнеса (17% ВВП страны приходится на УрФО), округ занимает первое место в РФ по изношенности основных фондов - около 50% и что треть всех мощностей неконкурентоспособна. [13]

По мнению ряда ученых, наша экономика находится в глубоком технологическом кризисе. За последние 15 лет технологическая база российской промышленности стала еще более многоукладной, а в ключевых отраслях, которые привычно характеризуются как высокотехнологичные (машиностроение, приборостроение), отставание от развитых стран скорее увеличилось, чем уменьшилось. В сфере технологического развития для нашей страны все более характерной становится роль импортера технологий: выплаты по импорту технологий превышают поступления от их экспорта в три раза. Созданные институты развития (Банк развития, Российская венчурная компания, Инвестиционный фонд, Роснано) пока не вышли на ожидаемый режим стимулирования инновационной активности.

По расчетам экспертов, в ближайшие десять лет поступление на рынок конкурентоспособных российских технологий будет весьма ограниченным, оно точно не покроет большей части потребностей в технологической модернизации, предъявляемых экономикой. Следовательно, в ближайшие годы в России нет иной основы для модернизации большей части промышленных компаний, чем заимствование технологий. Таким основным каналом сегодня является приобретение технологического оборудования и линий «под ключ», а также создание базы для адаптации, модернизации и развития производства с использованием приобретенных линий.

Говоря о современной российской промышленности, нельзя забывать, что доля использования в ней импортного сырья, комплектующих и технологий многократно превышает показатели 1998 года. Если верить экспертам потребительского рынка, 10-15 лет назад у нас еще существовали товары, которые можно было на 100% считать отечественными. Сейчас даже то, что называется «сделанным в России», за редчайшим исключением является компиляцией импортного и отечественного сырья, упаковки и технологий переработки. В большинстве отраслей, таких как автомобилестроение, транспортное машиностроение, производство шин, бытовой техники, продовольствия и лекарств, добиться эффекта импортозамещения практически невозможно, в каждой из них доля импортных элементов и технологий превышает 50%. Собственное производство многих компонентов в нашей стране необходимо создавать с нуля. При этом сроки окупаемости таких производств составляют не менее десяти лет. Это выталкивает стоимость «отечественной» продукции вверх, вслед за ростом валютного курса. При этом по своим конкурентным преимуществам такая продукция зачастую уступает аналогичным товарам, завезенным по импорту. [13]

Алтайский край не исключение, но наш край имеет мощный ресурсный, производственный, интеллектуальный потенциал и выгодное географическое положение.

Основой экономики региона является промышленное и сельскохозяйственное производство, торговля, транспорт, строительство; развивающимся и перспективным сектором экономики - туризм и связанные с ним виды бизнеса.

Алтай обладает развитым промышленным комплексом, современная структура которого характеризуется высокой долей обрабатывающих производств (свыше 80% в объеме отгруженных товаров). Ведущие отрасли промышленности - производство пищевых продуктов, машиностроительной продукции, кокса, резиновых и пластмассовых изделий, а также химическое производство. [39]

Промышленный потенциал края представлен добывающим и обрабатывающим секторами, а также сектором производства и распределения электроэнергии, газа и воды. В таблице 1.1 представлена динамика промышленного производства по видам экономической деятельности за ряд лет. На долю промышленного производства приходится более 22% численности всех работников и около 38% налоговых отчислений в бюджетную систему края. [4]

В последние годы в промышленности края наблюдаются позитивные изменения, сохраняется устойчивая тенденция наращивания объемов выпуска продукции, наметилось улучшение финансового состояния предприятий, снизилась доля убыточных предприятий в промышленном секторе, отмечается рост инвестиционной и инновационной активности предприятий.

Таблица 1.1 Динамика индекса промышленного производства по видам экономической деятельности (в процентах к предыдущему году)

Годы

Индекс промышленного производства

Добыча полезных ископаемых

Обрабатывающие производства

Производство и распределение электроэнергии, газа и воды

2003

105,5

158,0

102,2

118,1

2004

102,6

93,2

103,3

100,8

2005

96,8

186,3

96,3

97,6

2006

110,3

174,2

112,7

101,1

2007

110,4

151,0

111,7

104,1

2008

109,6

126,1

109,3

108,9

2009

105,5

132,2

105,4

110,2


Положительная динамика промышленного производства в Алтайском крае в указанный период позволила в сравнении с 2000 годом увеличить объемы промышленного производства в 1,4 раза с ускорением темпов роста, начиная с 2006 года. Основные факторы, определившие ускоренный рост промышленного производства в указанный период: положительные структурные сдвиги с ростом объемов промышленного производства отраслей, ориентированных на внутренний спрос и собственные сырьевые ресурсы; растущий в анализируемом периоде спрос на внешних и внутренних рынках промышленной продукции; наличие запаса производственных мощностей и ввод новых мощностей; повышение уровня конкурентоспособности, реструктуризация большинства предприятий и их адаптация к отраслевой и рыночной конкурентной среде; стабилизация финансово-кредитной системы, некоторое снижение учетной ставки банковского кредита; рост инвестиционной активности в экономике в целом и промышленном производстве в частности; стабилизация рынков сырья и материалов, а также принятые Администрацией края меры по инвестиционной поддержке промышленных предприятий. Указанные факторы позволили к началу 2008 года улучшить финансовое положение предприятий промышленности.

Вклад промышленного производства в экономику и социальное развитие края характеризуется следующими показателями: доля промышленной продукции и услуг промышленного характера в валовом региональном продукте (далее - "ВРП") составляет 23%; промышленное производство обеспечивает 176,9 тыс. рабочих мест или 23,3% от числа занятых в экономике, управлении и социальной сфере; финансовые результаты работы промышленности формируют 38% краевого бюджета; основные фонды промышленности составляют 22,5% стоимости основного капитала Алтайского края; в промышленность направляется 25,2% инвестиций в основной капитал по Алтайскому краю, что подтверждает ее значительный инвестиционный потенциал среди других отраслей и сфер экономики. [4]

Административный центр Алтайского края - город Барнаул. После Великой Отечественной войны город стал крупным промышленным центром. В Барнауле были развиты машиностроительная, химическая, текстильная, радиотехническая промышленность.

На данный момент основными представителями отрасли машиностроения города Барнаула являются: «Алтайский завод прецизионных изделий», «Алтайдизель», «Алтайский приборостроительный завод Ротор», «Барнаултрансмаш», «Алтайский завод топливных насосов», «Барнаульский вагоноремонтный завод», «Барнаульский радиозавод», «Сибэнергомаш», «Барнаульский станкостроительный завод», «Барнаульский завод мехпрессов». [40]

Темой данной выпускной квалификационной работы является пути улучшения финансовых результатов деятельности малого предприятия ООО «Центр автоматизации производственных процессов».

Итак, на современном этапе основными проблемами промышленного производства являются:

физический и моральный износ материально- технической базы;

недостаточная конкурентоспособность;

низкий уровень инновационной активности предприятий;

кадровая проблема (тенденция “старения” персонала, отсутствие квалифицированных специалистов…).

Критическая ситуация в промышленном производстве вызвала острую необходимость разработки мероприятий по повышению финансовых результатов.

1.3 Основные пути улучшения финансовых результатов деятельности промышленного производства

Учитывая нестабильность макроэкономической ситуации в условиях нарастающего финансово-экономического кризиса и экстренные меры, предпринимаемые Правительством Российской Федерации по исключению негативных последствий банковского кризиса для реального сектора экономики страны, в ведомственной целевой программе "Развитие промышленного производства в Алтайском крае" [4] рассмотрены возможные сценарии развития промышленного производства.

Первый вариант базируется на стратегии социально-экономического развития Алтайского края на период до 2025 года, в которой в качестве основного выбран инновационно-активный сценарий, предлагающий высокую интенсивность структурных сдвигов и рост инновационной активности в промышленном секторе Алтайского края. Факторами, обеспечивающими успешную реализацию данного сценария, являются системные меры, направленные на динамичное развитие высокотехнологичных производств в обрабатывающем секторе. Это требует создания в приоритетных отраслях промышленного производства, в частности, в машиностроении, фармацевтической и пищевой промышленности, строительной индустрии новой технологической базы, позволяющей обеспечить устойчивый рост производительности труда и развитие конкурентоспособных интегрированных производств. Указанные действия в числе прочих декларируются Правительством в качестве неотложных мер по стабилизации реальной экономики страны с целью ее возврата к докризисному состоянию.

Второй вариант - инерционный сценарий основывается на том, что мировой финансовый кризис и последующая рецессия российской экономики окажут негативное влияние на состояние и перспективы развития промышленных предприятий Алтайского края. Спрос внутреннего рынка на промышленную продукцию производственного назначения падает, что определяет необходимость снижения объемов производства и, как следствие, ведет к ухудшению финансово-экономических показателей, сокращению рабочих мест. Увеличивается число фактов взаимных неплатежей поставщиков сырья и комплектующих, производителей и потребителей промышленной продукции, обостряя финансовое положение предприятий. Кредитование банками промышленных предприятий либо предлагается под крайне высокие (25 - 30%) процентные ставки, либо под различными предлогами не осуществляется вовсе.

Прогноз динамики промышленного производства основан на выполнении прироста валового внутреннего продукта на уровне 6,4% в условиях финансового кризиса на период до 2012 года.

В 2011 - 2012 годах планируется возврат к инновационно-активному сценарию развития со среднегодовым темпом роста 106,6% и продолжение реализации инновационных проектов предприятий.

Основные проблемы, препятствующие развитию промышленного производства и требующие решения:

низкие темпы модернизации и обновления производственного аппарата большинства промышленных предприятий в условиях обостряющейся конкуренции, что ведет к потере конкурентоспособности уже в среднесрочной перспективе;

недостаточная инвестиционная и инновационная активность предприятий - объем долгосрочных инвестиций не обеспечивает необходимого уровня модернизации, обновления основных производственных фондов и выхода на рынки с конкурентоспособной продукцией;

использование производственных мощностей остается неудовлетворительным - 32% крупных и средних промышленных предприятий преимущественно машиностроения, химической и нефтехимической отраслей имеют коэффициент использования мощностей ниже 50%;

острая нехватка квалифицированных рабочих кадров, потеря привлекательности и престижности работы на промышленных предприятиях, что объясняется несовершенством применяемых механизмов мотивации, отсутствием адаптированной системы подготовки и переподготовки кадров в образовательных учреждениях и на самих предприятиях. [4]

Исходя из выше перечисленных проблем и опираясь на мнения таких учёных как В.Р. Банк, В.В. Ковалев, Е.А.Татарников, Е.С. Стоянова, И.М. Карасаева, А.Д. Шеремет, Е.А. Астахова и др. можно выявить основные пути улучшения финансовых результатов деятельности промышленного производства (рис. 1.3).

В общем плане эти мероприятия могут быть следующего характера:

Астахова Е.А. считает, что увеличение объема производства и продаж обеспечивает увеличение денежных средств, получаемых от реализации продукции, т.е. увеличение абсолютно ликвидных активов, а значит и самой ликвидности. С этой целью необходимо выделить группы товаров, приносящие наибольшую прибыль, провести анализ цены и объема реализуемой продукции для определения наиболее разумного компромисса, который поможет предприятию, несмотря на снижение объемов продаж, увеличить поступление дополнительных денежных средств за счет увеличения цены, торговых наценок или объемов продаж. [41]

Рис. 1.3. Основные пути улучшения финансовых результатов деятельности промышленного предприятия.

Улучшение качества выпускаемой продукции, по мнению Татарникова Е.А., одно из решающих условий повышения ее конкурентоспособности на рынке и роста эффективности производства. Не случайно в промышленно развитых странах во многих фирмах и компаниях функционируют системы управления качеством выпускаемой продукции.

Направление «Оптимизация и уменьшение затрат» включает в себя: снижение себестоимости продукции за счет более рационального использования материальных ресурсов, производственных мощностей и площадей, рабочей силы и рабочего времени; снижение непроизводственных расходов.

В традиционном представлении важнейшими путями снижения затрат является экономия всех видов ресурсов, потребляемых в производстве: трудовых и материальных.

Как пишет Банк В.Р., значительную долю в структуре издержек производства занимает оплата труда. Поэтому актуальна задача снижения трудоемкости выпускаемой продукции, роста производительности труда, сокращения численности административно-обслуживающего персонала.

Важное значение для повышения производительности труда имеет надлежащая его организация: подготовка рабочего места, полная его загрузка, применение передовых методов и приемов труда и др. [3, с. 244]

Материальные ресурсы занимают до 3/5 в структуре затрат на производство продукции. Отсюда понятно значение экономии этих ресурсов, рационального их использования. На первый план здесь выступает применение ресурсосберегающих технологических процессов. Немаловажным является повышение требовательности и повсеместное применение входного контроля за качеством поступающих от поставщиков сырья и материалов, комплектующих изделий и полуфабрикатов.

Сокращения расходов по амортизации основных производственных фондов можно достигнуть путем лучшего использования этих фондов, максимальной их загрузки.

По мнению Ковалева В.В., получение дополнительных денежных средств от использования основных фондов должно осуществляться через продажу излишнего оборудования и другого имущества или сдачу его в аренду. Имущество, которое не удалось сдать в аренду или реализовать, необходимо законсервировать, составить акт о консервации и представить его в налоговую инспекцию, что позволит исключить это имущество из расчета налогооблагаемой базы.

Взыскание задолженностей с целью ускорения оборачиваемости денежных средств подразумевает снижение дебиторской задолженности. Возврат задолженностей клиентами может стимулироваться путем предоставления специальных скидок. Необходимо также создать систему оценки клиентов, которая бы суммировала все риски, связанные с ними как с деловыми партнерами. Общая зависимость от клиента будет включать его дебиторскую задолженность, товары на складе, подготовленные к отгрузке, продукцию в производстве, предназначаемую этому клиенту. Можно установить формальные лимиты кредита каждому клиенту, которые будут определяться общими отношениями с ним, потребностями фирмы в денежных средствах и оценкой финансового положения конкретного клиента. Наблюдение за клиентами и изменение их статуса целесообразно возложить на менеджеров по продажам, а оплату их труда привязать к реальному поступлению денежных средств от клиентов, с которыми они работают. Наконец, в некоторых случаях можно попытаться продать банку, обслуживающему фирму, ее дебиторскую задолженность. [4]

Оптимизация управления кредиторской задолженностью подразумевает получение различных уступок со стороны кредиторов, к примеру, сокращение суммы задолженности или уменьшение процентной ставки по кредиту в обмен на различные активы. Также необходимо разграничение выплат кредиторам по степени приоритетности для уменьшения оттока денежных средств, которое предполагает ранжирование поставщиков в зависимости от степени их важности. Критически важные поставщики должны быть в центре внимания; целесообразно интенсифицировать контакты с ними, чтобы укрепить взаимопонимание и стремление к сотрудничеству.

Астахова Е.А. в своей статье «Основные направления улучшения финансового состояния предприятия» [41] отмечает такое направление как: «Изменение структуры долговых обязательств», которое предполагает подробный анализ данных обязательств и возможные варианты их погашения с целью повышения ликвидности в будущем. В случае невозможности погашения данных обязательств рассматриваются варианты изменения структуры (перевод долгосрочных обязательств в краткосрочные или наоборот).

Внедрение инноваций за счет дополнительного инвестирования, данное мероприятие направлено на повышение конкурентоспособности выпускаемой продукции, что влечет за собой увеличение объема продаж, и как следствие - увеличение экономических выгод.

Для преодоления последствий кризиса в процессе реализации финансовой деятельности организации большое внимание должно уделяться направлениям улучшения финансовых результатов организации, а именно, увеличению прибыли и повышению рентабельности.

Реализация вышеперечисленных направлений позволит улучшить финансовые результаты промышленных предприятий.

Глава 2. Анализ финансовых результатов организации ООО «Центр автоматизации производственных процессов»

2.1 Организационно-экономическая характеристика организации ООО «Центр автоматизации производственных процессов»

Общество с ограниченной ответственностью «Центр автоматизации производственных процессов» (ООО «ЦАПП») как юридическое лицо, ранее закрытое акционерное общество «ЦАПП», зарегистрировано Постановлением Администрации г. Барнаула 17.04.2000 г. №1106 с изменениями от 23.01.2007 г. (Приложение 1).

ООО «ЦАПП» учреждено в соответствии с ГК РФ, принятым Государственной Думой РФ 21.10.94 г. и Федеральным законом «Об обществах с ограниченной ответственностью» от 08.02.98 г., а также на основании Решения учредителей.

Юридический адрес ООО «ЦАПП» алтайский край, Барнаул, ул. Островского, д.28. Вид деятельности: производство электронной аппаратуры, техническое обслуживание проданной аппаратуры, оказание дополнительных услуг покупателям.

По форме организации экономической деятельности ООО «ЦАПП» представляет собой общество с ограниченной ответственностью. Обществом с ограниченной ответственностью признается учрежденное одним или несколькими лицами общество, уставный капитал которого разделен на доли определенных учредительными документами размеров; участники общества с ограниченной ответственностью не отвечают по его обязательствам и несут риск убытков, связанных с деятельностью общества, в пределах стоимости внесенных ими вкладов.

ООО «ЦАПП» имеет самостоятельный баланс, простую круглую печать; штампы, бланки со своим общественным наименованием, расчетный и иные счета в банках. Общество может иметь собственную эмблему, а также зарегистрированный в установленном порядке товарный знак и другие средства.

ООО «ЦАПП» ведет налоговый учет по упрощенной системе налогообложения, в качестве объекта налогообложения выбраны доходы (Приложение 2).

Прибыль, оставшаяся в распоряжении общества после уплаты налогов и других обязательных платежей в соответствии с действующим законодательством, распределяется самостоятельно.

Взаимоотношения ООО «ЦАПП» с поставщиками - предприятиями и организациями всех видов собственности, а также отдельными гражданами, осуществляются на договорной основе.

Материально-техническое снабжение фирмы осуществляется по прямым договорам с предприятиями через систему оптовой и розничной торговли, в том числе за наличный расчет.

ООО «Центр автоматизации производственных процессов» обязано в соответствии с Уставом:

выполнять обязательства, вытекающие из законодательства РФ и заключенных им договоров,

заключать трудовые договоры,

полностью и в срок рассчитываться с работниками предприятия по заработной плате и социальным пособиям,

осуществлять все виды обязательного страхования,

своевременно предоставлять декларацию о доходах и бухгалтерскую отчетность,

уплачивать налоги в соответствии с налоговым законодательством.

В настоящее время в штате организации числятся шесть сотрудников (Приложение 3). Существующая организационная структура управления ООО «ЦАПП» представлена на рис. 2.1.

Рис. 2.1. Организационная структура ООО «ЦАПП»

Однако, высшим органом управления ООО «ЦАПП» является собрание участников. В его компетенции находятся вопросы определения главных направлений предпринимательской деятельности, рассмотрение и утверждение смет, отчетов и балансов, избрание и отзыв исполнительного органа и ревизионной комиссии, определение условий оплаты труда должностных лиц, распределения прибыли и определение порядка покрытия убытков и др.

Исполнительным органом ООО «ЦАПП» является директор. В его компетенции находятся вопросы разработки и реализации целей, политики и стратегии их достижения, а также организация и руководство текущей деятельностью фирмы, распоряжение имуществом, принятие и увольнение персонала.

Для ознакомительной оценки финансового состояния организации ООО «ЦАПП» в таблице 2.1 представлены основные показатели.

Основные финансовые показатели неоднородны. Несмотря на высокие объемы реализации для малого предприятия, которые имеют склонность к повышению, сумма балансовой прибыли достаточно мала, в среднем за ряд лет она составляет около 7,8% от суммы выручки. Однако при этом, показатель общей рентабельности находится на высоком уровне, имеет склонность к повышению. Как негативный фактор деятельности организации ООО «ЦАПП» можно отметить достаточно высокое повышение кредиторской задолженности в 2009 г.

Таблица 2.1 Основные финансовые показатели деятельности организации ООО «ЦАПП»

Показатели

2007 г.

2008 г.

2009 г.

Динамика в %





2008 к 2007 году

2009 к 2008 году

Объем реализации продукции, тыс. руб.

803

972

1214

121,0

124,9

Основные средства, тыс. руб.

73

85

82

116,4

96,5

Запасы, тыс. руб.

120

121

147

100,8

121,5

Кредиторская задолженность, тыс. руб.

230

289

336

125,7

116,3

Прибыль до налогообложения, тыс. руб.

65

85

93

130,8

109,4

Общая рентабельность, %

8,1

8,7

7,7

108,0

87,6


В последующем финансово-экономическом анализе будут выявлены внутренне резервы организации, для повышения показателей прибыли и рентабельности. Наведение внутреннего порядка, в первую очередь в финансах, благотворно скажется на деятельности предприятия, а финансовый анализ позволит лучше понять внутренние механизмы функционирования компании.

Для характеристики предприятия ООО «Центр автоматизации производственных процессов» необходимо определить его финансовую устойчивость (табл.2.2), так как финансовая устойчивость - это определенное состояние счетов предприятия, гарантирующее его постоянную платежеспособность. Финансовая устойчивость определяется в соответствии со структурой баланса. Соотношение стоимости материальных оборотных средств и величины собственных и заемных источников их формирования определяет устойчивость финансового состояния предприятия. [37, с. 134]

Таблица 2.2. Финансовая устойчивость предприятия ООО «ЦАПП» за 2009 год, тыс. руб.

Показатели

2007 г.

2008 г.

2009 г.

1. Источники собственных средств

119

112

108

2. Основные средства и вложения

73

85

82

3. Наличие собственных оборотных средств

46

27

26

4. Долгосрочные кредиты и заемные средства

50

20

0

5. Наличие собственных и долгосрочных заемных источников формирования запасов и затрат

96

47

26

6. Краткосрочные кредиты и заемные средства

180

269

336

7. Общая величина основных источников формирования запасов и затрат (стр.5 + стр.6)

276

316

362

8. Общая величина запасов и затрат

120

121

147

9. Излишек (+) или недостаток (-) собственных оборотных средств (стр.З - стр.8)

-230

-289

-336

10. Излишек (+) или недостаток (-) собственных и долгосрочных заемных источников формирования запасов и затрат (стр.5 -стр.8)

-24

-74

-121

11. Излишек (+) или недостаток (-) общей величины формирования запасов и затрат (стр.7- стр.8)

156

195

215


Организация ООО «ЦАПП» испытывает недостаток в собственных оборотных средствах и в долгосрочных заемных источниках формирования запасов и затрат, т. к. по строкам № 9 и 10 таблицы 2.2 имеются отрицательные числа.

Положительные числа по строке № 11 таблицы 2.2 говорят о том, что организация не находится на грани банкротства, однако у анализируемого предприятия неустойчивое финансовое состояние, сопряженное с нарушением платежеспособности, когда источников недостаточно, но можно использовать краткосрочные кредиты и займы.

Динамика излишка общей величины формирования запасов и затрат склонна к тенденции роста, так в 2009 г. по сравнению с 2007 г. излишек возрос на 59 тыс. руб. и составил 215 тыс. руб., это положительный факт.

Знание предельных границ изменения источников средств для покрытия вложений капитала в основные фонды или производственные запасы позволяет генерировать такие потоки хозяйственных операций, которые ведут к улучшению финансового состояния организации, к повышению его устойчивости.

Основными источниками информации для проведения анализа финансовых результатов деятельности рассматриваемого предприятия являются документы финансовой отчетности ООО «ЦАПП» за 2007, 2008 и 2009 года (Приложения 4-9), а именно:

Отчет о прибылях и убытках (форма № 2 по ОКУД);

Первичная документация ООО «ЦАПП».

2.2 Анализ финансовых результатов организации ООО «Центр автоматизации производственных процессов»

2.2.1 Анализ состава и динамики общей прибыли организации ООО «ЦАПП»

Анализ начинается с оценки динамики показателей балансовой прибыли за отчетный период. При этом сравниваются основные финансовые показатели за ряд лет, рассчитываются отклонения от базовой величины показателей и выясняется, какие показатели оказали наибольшее влияние на балансовую прибыль, при этом составляется таблица (табл. 2.3.), в которой используются данные бухгалтерской отчетности организации из формы №2 по ОКУД.

Таблица 2.3. Динамика показателей прибыли за ряд лет организации ООО «ЦАПП», тыс. руб.

Показатели

2007 г.

2008 г.

2009 г.

Отклонения (+, - )





2008 к 2007 году

2009 к 2008 году

1. Выручка (нетто) от реализации товаров, продукции, услуг

803

927

1214

124

287

2. Себестоимость (производственная) реализация товаров, продукции, работ, услуг.

723

874

1073

151

199

3. Валовой доход

70

98

141

28

43

4. Коммерческие и управленческие расходы

10

-

-

10

-

5. Прибыль (убыток) от реализации

70

98

141

28

43

6. Сальдо операционных результатов

5

13

18

8

5

7. Прибыль (убыток) от финансово-хозяйственной деятельности

65

85

93

20

8

8. Сальдо внереализационных результатов

-

-

30

-

30

9. Прибыль до налогообложения

65

85

93

20

8

10. Налог на прибыль и др. обязательные платежи

3

5

6

2

1

11. Прибыль от обычной деятельности

62

80

87

18

7

12. Чрезвычайные доходы и расходы

-

-

-

-

-

13. Чистая прибыль (убыток)

62

80

87

18

7


Из данных табл. 2.3. следует, что динамика всех показателей положительна, имеет тенденцию к повышению, она отражена на графике (рис. 2.2). Выручка в 2009 году по отношению к 2007 году возросла на 411 тыс. руб., что составляет 43,5%, показатель себестоимости возрос на 350 тыс. руб., что составляет 31,9%.

Как негативный фактор, можно считать рост операционных и внереализационных убытков, при этом внереализационные убытки в 2009 году составили 30 тыс. руб., что составляет 34,5% суммы полученной в данном году общей прибыли.

Рис. 2.2. Динамика основных показателей организации ООО «ЦАПП»

Изменения в структуре прибыли за ряд лет характеризуются данными таблиццы 2.4.

Таблица 2.4. Структура прибыли за 2008 год на предприятии ООО «ЦАПП»

Показатели

2007 г.

2008 г.

2009 г.


тыс. руб.

%

тыс. руб.

%

тыс. руб.

%

Общая (прибыль до налогообложения) прибыль, В том числе:

65

100

85

100

93

100

а) прибыль (убыток) от реализации

70

108

98

115

141

152

б) прочие доходы (расходы)

-5

-8

-13

-15

-48

-52

в) налог на прибыль

-3

5

-5

6

-6

6

г) чистая прибыль

62

95

80

94

87

94



Как следует из данных таблицы, в 2009 произошли положительные изменения в структуре прибыли. Однако, доля расходов от прочих видов деятельности значительно высока, так в 2009 году она составила 52% от суммы общей прибыли. Т.е. около 1/3 расходов - это непроизводственные расходы.

Руководству организации ООО «ЦАПП» следует детально изучить статьи прочих расходов и принять меры по их снижению.

2.2.2 Анализ финансовых результатов от реализации продукции ООО «ЦАПП»

Наибольший удельный вес в формировании прибыли занимают результаты от реализации продукции.

При расчете формирования прибыли от реализации конкретного вида продукции можно использовать методику влияния трех факторов: объема продукции, ее полной себестоимости и цены реализации. По этим трем факторам в таблице 2.5 отражен анализ финансовых результатов от реализации основных видов продукции ООО «ЦАПП» за 2009 год.

Таблица 2.5. Анализ финансовых результатов от реализации продукции за 2009 год организации ООО «ЦАПП»

Виды продукции

Количество реализованной продукции, шт.

Себестоимость 1 шт., руб.

Средняя цена реализации 1 шт., руб.

Прибыль (убыток) от реализации1 шт, руб.

Отклонение ( +, -), руб.


По плану

Фактически

Отклонение ( +, -)

По плану

Фактически

Отклонение ( +, -)

По плану

Фактически

Отклонение ( +, -)

По плану

Фактически

Всего

В т.ч. за счет














Объема

Себестоимости

Цены

Дозатор

585

650

+65

1280

1300

+20

1600

1650

+50

320

350

+30

+20800

+1300

+32500

Пульт упра-вления

50

75

+25

2000

2011

+11

2500

2582

+82

500

571

+71

+12500

+825

+6150

Электри-ческая разводка

50

62

+12

6300

6426

+126

7800

8000

+200

1500

1574

+74

+18000

+7812

+12400


Т.к. плановые показатели себестоимости и цены реализации 2009 года уже скорректированы на базовый уровень инфляции, отклонения от фактических показателей не значительны.

При анализе данных таблицы 2.5 можно выявить следующие резервы роста прибыли 2009 года от реализации продукции:

за счет объема - 51,3 тыс. руб.;

за счет себестоимости - 9,9 тыс. руб.;

за счет цены - 51,1 тыс. руб.

Итого общий резерв роста прибыли от реализации отдельных видов продукции: 112,3 тыс. руб.

Следовательно, на динамику прибыли от реализации отдельных видов продукции организации ООО «ЦАПП» все три фактора: объем продукции, ее полная себестоимость и цена реализации, в 2009 году повлияли положительно, что, в свою очередь, положительно сказалось на общем финансовом результате.

2.2.3 Анализ прочих доходов и расходов ООО «ЦАПП»

Выполнение плана по прибыли в значительной степени зависит от финансовых результатов деятельности, не связанных с реализацией продукции. Это финансовые результаты, полученные от операционных, внереализационных операций и чрезвычайных обстоятельств.

Анализ сводится в основном к изучению динамики и причин полученных убытков и прибыли по каждому конкретному случаю. Убытки от выплаты штрафов возникают в связи с нарушением отдельными службами договоров с другими предприятиями, организациями и учреждениями. При анализе устанавливаются причины невыполненных обязательств, принимаются меры для предотвращения допущенных ошибок.

Изменение суммы полученных штрафов может произойти не только в результате нарушения договорных обязательств поставщиками и подрядчиками, но и по причине ослабления финансового контроля в отношении их. Поэтому при анализе данного показателя следует проверить, во всех ли случаях нарушения договорных обязательств были предъявлены поставщикам соответствующие санкции.

В таблице 2.7 проведен анализ финансовых результатов от прочих видов деятельности ООО «ЦАПП».

Таблица 2.7. Анализ финансовых результатов от прочих видов деятельности ООО «ЦАПП», тыс. руб.

Показатели

2007 г.

2008 г.

2009 г.

Отклонения (+, - )





2008 к 2007 году

2009 к 2008 году

1. Прочие операционные расходы В том числе:

5

13

18

8

5

а) прибыль (убытки) от реализации основных средств, прочего имущества предприятия

-

-

5

-

5

б) прибыль (убытки) от списания основных средств с баланса по причине морального износа

-

3

8

3

5

в) целевые сборы (на содержание муниципальной милиции, благоустройство территории)

3

5

2

2

-3

г) другие доходы (расходы)

2

5

3

3

-2

2. Внереализационные доходы и расходы В том числе:

-

-

30

-

30

а) штрафы, пенни, неустойки полученные (уплаченные)

-

-

-

-

-

б) доходы (расходы) по ценным бумагам и от долевого участия в совместных предприятиях

-

-

-

-

-

в) убытки от списания безнадежной дебиторской задолженности

-

-

30

-

30

г) другие доходы (расходы)

-

-

-

-

-

3. Чрезвычайные доходы и расходы

-

-

-

-

-


Результаты аналитической таблицы показывают, что ООО «ЦАПП» в течение ряда лет получало только прочие расходы кроме, которые имеют тенденцию к росту. Так в 2009 году по отношению к 2007 году операционные расходы возросли в 3,6 раза и составили 18 тыс. руб. Внереализационные расходы в 2009 году составили 30 тыс. руб., что в 1,7 раза превышает полученные организацией в этом же году операционные расходы.

ООО «ЦАПП» необходимо контролировать рост расходов, так как они непосредственно негативно влияют на показатели прибыли и рентабельности.

2.2.4 Анализ распределения и использования чистой прибыли на ООО «ЦАПП»

Прибыль является источником финансирования разных по экономическому содержанию потребностей. При ее распределении пересекаются интересы как общества в целом в лице государства, так и предпринимательские интересы учредителей предприятия, и интересы отдельных работников. Объектом распределения является валовая прибыль. Законодательно распределение прибыли реализуется в части, поступающей в Федеральный бюджет и бюджеты субъектов Федерации в виде налогов и других обязательных платежей.

Распределение оставшейся части прибыли является прерогативой организации, регламентируется внутренними документами организации и фиксируется в его учетной политики. При распределении прибыли исходят из следующих принципов:

первоочередное выполнение обязательств перед бюджетом;

прибыль, оставшаяся в распоряжении предприятия, распределяется на накопление и потребления.

Механизм воздействия финансов на эффективность ведения хозяйства зависит от характера распределительных отношений, конкретных форм и методов их организации, их соответствия уровню производительных сил производственных отношений.

Ориентиром для установления соотношения между накоплением и потреблением должны быть состояния производственных фондов и конкурентоспособность выпускаемой продукции.

Однако, распределение и использование чистой прибыли в организации ООО «ЦАПП» осуществляется не рационально (табл. 2.8), руководство предприятия не считает нужным образование специальных фондов: фонда накопления, фонда потребления и резервного фонда.

Таблица 2.8. Распределение прибыли ООО "ЦАПП", тыс. руб.

Показатель

2007 г.

2008 г.

2009 г.

Прибыль до налогообложения

65

85

93

Налог на прибыль

3

5

6

Налог на доходы от ценных бумаг

-

-

-

Прибыль, оставшаяся в распоряжении предприятия

62

80

87

Экономические санкции

-

-

-

Отчисления в благотворительные фонды

-

-

-

Чистая прибыль

62

80

87

Распределение чистой прибыли: В резервный фонд В фонд накопления В фонд потребления Нераспределенная прибыль

 - - - 62

 - - - 80


Как видно из таблицы 2.8, вся чистая прибыль в течение ряда лет на предприятии остается нераспределенной.

Это говорит о том, что в планы руководства рассматриваемого предприятия не входит:

расширение производства;

увеличение основных и оборотных фондов;

освоение новых видов продукции;

развитие социальной сферы предприятия.

В результате организация ООО «ЦАПП» не развивается. ООО «ЦАПП» рекомендуется пересмотреть управленческую политику в данном разделе.

2.2.5 Анализ показателей рентабельности организации ООО «ЦАПП»

Показатели рентабельности характеризуют относительную доходность или прибыльность работы предприятия. Изучение показателей рентабельности позволяет дать оценку работы организации как в целом, так и по отдельным направлениям деятельности: производственной, инвестиционной, финансовой. Анализ рентабельности организации в целом и отдельных направлений его деятельности более полно по сравнению с абсолютными финансовыми результатами деятельности предприятия отражает конечные результаты хозяйственной деятельности. Прежде всего это вызвано тем, что рентабельность отражает полученный эффект по отношению к наличным или потребленным ресурсам.

Изучение тенденций изменения показателей рентабельности в динамике дает возможность определить способность организации совершенствовать свою производственную деятельность, удерживать и укреплять свои позиции в данной сфере рынка. В ходе анализа необходимо выделять влияние факторов, определивших изменения рентабельности в динамике (способ цепных подстановок).

Анализ рентабельности организации ООО «ЦАПП» проводится по формулам №1.5 - 1.8 главы первой данной работы. Данные расчетов занесены в таблицу 2.9.

Таблица 2.9. Показатели рентабельности работы предприятия ООО «ЦАПП» за ряд лет

Показатель

2007 г.

2008 г.

2009 г.

Общая (прибыль до налогообложения) прибыль, тыс. руб.

65

85

93

Прибыль от реализации товарной продукции, тыс. руб.

70

98

141

Чистая прибыль, тыс. руб.

62

80

87

Реализация продукции в ценах без налога на добавленную стоимость, тыс. руб.

803

927

1214

Среднегодовая стоимость основных средств, тыс. руб.

73

85

82

Среднегодовые остатки материальных оборотных средств, тыс. руб.

120

121

147

Среднегодовая стоимость активов, тыс. руб.

193

206

229

Полная себестоимость реализованной продукции, тыс. руб.

723

874

1073

Коэффициент фондоемкости продукции, руб.

0,09

0,09

0,07

Коэффициент закрепления оборотных средств, руб.

0,15

0,13

0,12

Прибыль на рубль реализованной продукции, руб.

0,08

0,09

0,08

Уровень экономической рентабельности, %

32,12

38,83

37,99

Рентабельность продаж, %

8,72

10,57

11,61

Рентабельность товарной продукции, %

8,58

9,15

8,11

Общая рентабельность предприятия, %

8,09

8,74

7,66

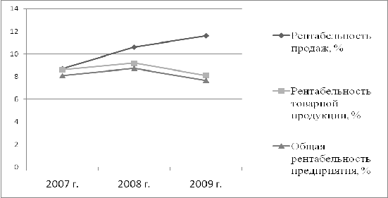
Из показателей рентабельности таблицы 2.9 видно, что их динамика разнообразна, так:

уровень экономической рентабельности в 2009 году по отношению к 2007 году вырос на 5,87 %, и составил при этом 37,99%;

рентабельность продаж в 2009 году по отношению к 2007 году возросла на 2,89 % и составила 11,61%, но при этом она осталась на не высоком уровне;

рентабельность товарной продукции в 2009 году по отношению к 2007 году снизилась на 0,47 %, а в 2009 году по отношению к 2008 году снизилась на 1,04 % и составила 8,11 %. Следовательно в 2009 году каждый рубль затрат на производство и реализацию продукции принес менее 9 копеек чистой прибыли.

общая рентабельность предприятия в 2009 году по отношению к 2007 году также снижается на 0,43 % и составила 7,66%.

Динамика этих показателей (рис 2.3) свидетельствует о необходимости пересмотра организацией ООО «ЦАПП» цен и усиления контроля за себестоимостью, а также улучшения маркетинговой политики.

Рис. 2.3. Динамика показателей рентабельности работы предприятия ООО «ЦАПП» за ряд лет

Определим влияние факторов, оказавших воздействие на изменение уровня рентабельности 2009 года по отношению к 2008 году:

.        Влияние прибыли на рубль реализованной продукции:

,08 / (0,09 + 0,13) * 100 - 33,68= 2,98 %

Связь между прибылью и рентабельностью производства прямая, т.е. чем меньше прибыль, тем меньше рентабельность

. Влияние использования основных средств предприятия:

(0,08/ (0,07 + 0,13) * 100) - (0,08/ (0,09 - 0,13) * 100) = 44,0 %

А связь между фондоемкостью и рентабельностью производства обратная.

. Влияние оборачиваемости оборотных средств предприятии:

,61 - (0,08/ (0,07 + 0,13) * 100) = 44,61 %

Увеличение коэффициента закрепления оборотных средств замедляет их оборачиваемость и снижает рентабельность производства, и наоборот. Рентабельность фонов, а, следовательно, рентабельность предприятия в целом тем выше, чем выше прибыльность продукции; чем выше фондоотдача основных фондов и скорость оборота оборотных средств; чем ниже затраты на рубль продукции и удельные затраты по экономическим элементам (средств труда, материалов труда).

Глава 3. Пути улучшения финансовых результатов деятельности организации ООО «Центр автоматизации производственных процессов»

3.1 Выявление резервов и разработка мероприятий по улучшению финансовых результатов деятельности организации ООО «ЦАПП»

Анализ опыта российских предприятий, находящихся в тяжелом финансовом состоянии, показывает, что большая их часть имеет похожую структуру текущих обязательств, в частности:

обязательства по расчетам с разными дебиторами и кредиторами - 60,4 %;

обязательства по налогам и отчислениям - 11,6 %.

На организации ООО «ЦАПП» сложилась похожая негативная ситуация.

В теории крупные предприятия должны иметь соотношение собственных и заемных средств как 70:30 (70% собственных средств), т.к. чем больше доля собственных средств, тем выше коэффициент финансовой независимости, а при наращивании доли заемного капитала увеличивается вероятность банкротства организации.

На ООО «ЦАПП» соотношение собственных и заемных средств в 2009 году составило 24,3% собственных средств к 75,7% заемных, причем с каждым годом доля заемных средств возрастает, это крайне негативный фактор.

Необходимо определить результативность использования ООО «ЦАПП» заемных средств при помощи эффекта финансового рычага.

Финансовый рычаг ("финансовый леверидж") - это финансовый механизм управления рентабельностью собственного капитала за счет оптимизации соотношения используемых собственных и заемных финансовых средств.

Иными словами, предприятие должно изначально наработать такую экономическую рентабельность, чтобы средств хватило по крайней мере для уплаты процентов за кредит.

Для расчета эффекта финансового рычага применяется следующая формула:

ЭФР = (1 - СНП) * (ЭР - СРСП) * (ЗС / СС) №3.1

где ЭФР - уровень эффекта финансового рычага, %;

СНП - ставка налогообложения прибыли, выраженная десятичной дробью;

ЭР - экономическая рентабельность активов;

СРСП - средняя расчетная ставка процента;

ЗС - заемные средства;

СС - собственные средства.

Эта формула имеет три составляющие: налоговый корректор финансового рычага (1 - СНП) - показывает, в какой степени проявляется эффект финансового рычага в связи с различным уровнем налогообложения прибыли; дифференциал (ЭР - СРСП) - характеризует разницу между уровнем экономической рентабельности активов и средней расчетной ставкой процента по заемным средствам; плечо финансового рычага - характеризует силу воздействия финансового рычага - это соотношение между заемными (ЗС) и собственными средствами (СС).

Выделение этих составляющих позволяет целенаправленно управлять изменением эффекта финансового рычага при формировании структуры капитала.

Многие западные экономисты считают, что оптимальное значение уровня эффекта финансового рычага близко к 40 - 50 . Тогда эффект финансового рычага способен как бы компенсировать налоговые изъятия и обеспечить собственным средствам достойную отдачу.

Рассчитаем финансовый рычаг организации ООО «ЦАПП» на 2009 год по формуле № 3.1:

ЭФР = (1 - 0,06) * (37,99 - 29,51) * (336/108) = 24,76 %

финансовый промышленный резерв

Значение коэффициента составило 24,76 %, это говорит о том, что организации необходимо принять меры и выявить резервы для его повышения до оптимального значения.

Дифференциал имеет положительное значение (8,48%), значит любое увеличение плеча финансового рычага, т.е. повышение доли заемных средств в структуре капитала, будет приводить к росту его эффекта. Соответственно, чем выше положительное значение дифференциала финансового рычага, тем выше при прочих равных условиях будет его эффект.

Однако рост эффекта финансового рычага имеет определенные пределы и необходимо осознание глубокого противоречия и неразрывной связи между дифференциалом и плечом финансового рычага. В процессе повышения доли заемного капитала снижается уровень финансовой устойчивости предприятия, что приводит к увеличению риска его банкротства. Это вынуждает кредиторов увеличивать уровень кредитной ставки с учетом включения в нее возрастающей премии за дополнительный финансовый риск. Это увеличивает среднюю расчетную ставку процента, что (при данном уровне экономической рентабельности активов) ведет к сокращению дифференциала.

При высоком значении плеча финансового рычага его дифференциал может быть сведен к нулю, при котором использование заемного капитала не дает прироста рентабельности собственного капитала. При отрицательном значении дифференциала рентабельность собственного капитала снизится, поскольку часть прибыли, генерируемой собственным капиталом, будет уходить на обслуживание используемого заемного капитала по высоким ставкам процента за кредит. Таким образом, привлечение дополнительного заемного капитала целесообразно только при условии, что уровень экономической рентабельности предприятия превышает стоимость заемных средств.

Расчет эффекта финансового рычага позволяет определить предельную границу доли использования заемного капитала для конкретного предприятия, рассчитать допустимые условия кредитования.

В целом, сама по себе задолженность - не благо и не зло. Задолженность - это и акселератор развития предприятия, и акселератор риска. Привлекая заемные средства, предприятие может быстрее и масштабнее выполнить свои задачи. При этом проблема для финансового менеджера не в том, чтобы исключить все риски вообще, а в том, чтобы принять разумные, рассчитанные риски в пределах дифференциала (ЭР - СРСП).

Из выше указанного следует, что финансовая устойчивость организации ООО «ЦАПП» находится не в худшем состоянии и организация имеет резервы ее улучшения.

Исходя из общих направлений улучшения финансового состояния (см. параграф 1.3) и результатов финансового анализа ООО «ЦАПП» (см. гл. 2), можно сделать вывод о необходимости разработки конкретных мероприятий для улучшения финансового состояния ООО «ЦАПП», таких как:

. увеличение скорости оборачиваемости оборотных средств;

. снижение дебиторской задолженности;

. сокращение внереализационных расходов;

. реструктуризация кредиторской задолженности.

Рассмотрим каждое из предложенных мероприятий подробно.

Увеличение скорости оборачиваемости оборотных средств.

Финансовые результаты организации, ее платежеспособность находятся в непосредственной зависимости от оборачиваемости средств, вложенных в активы. Чем выше показатели оборачиваемости, тем быстрее средства, вложенные в активы, превращаются в денежные средства, которыми организация расплачивается по своим обязательствам.

Снижение оборачиваемости запасов позволяет сделать вывод о накоплении запасов у организации.

Доля оборотных средств в составе имущества ООО «ЦАПП» очень высокая (80,8%). Не смотря на это, предприятие испытывает некоторую потребность в оборотных средствах. Такое положение на предприятии сложилось из-за замораживания 1/3 суммы оборотных средств в виде готовой продукции (30,9%).

Снижение оборачиваемости готовой продукции свидетельствует о проблемах предприятия со сбытом продукции, неэффективности или отсутствии грамотной маркетинговой политики.

Произведем расчет норматива запасов готовой продукции ООО «ЦАПП» из следующих условий:

выпуск продукции по производственной себестоимости за 2009 г. 1360 тыс. руб.;

количество дней в периоде 360 дн.;

норма оборотных средств на готовую продукцию - 20 дн. рассчитана из условий: время, необходимое на комплектование и накопление продукции до необходимых размеров (15 дн.), на хранение продукции на складе до отгрузки (3 дн.), на упаковку и маркировку продукции (2 дн.).

/360*20=76 тыс. руб.

Нормирование запасов готовой продукции позволило выявить, что для оптимизации структуры оборотного капитала предприятия без ущерба для производственного и сбытового процесса, необходимо сократить величину запасов и затрат в части готовой продукции с 111 тыс. руб. до 76 тыс. руб., т.е. снизить примерно на 30%. Данный показатель позволит осуществлять сбытовой процесс без каких либо трудностей со стороны предприятия.

Таким образом, предприятию необходимо осуществить реализацию готовой продукции покупателям и заказчикам в размере 35 тыс. руб.

В целом это обеспечит высвобождение денежных средств и позволит направить их на погашение кредиторской задолженности предприятия.

Для решения сложившейся ситуации необходимо четко изучить рынок своего товара, возможности создания новых каналов сбыта продукции, повышения конкурентоспособности продукции за счет увеличения качества или снижения цены, изучение спроса потребителей, расширение ассортимента продукции.

Резерв снижения кредиторской задолженности за счет реализации излишней готовой продукции составляет 35 тыс. руб., что составит 10,4% от суммы кредиторской задолженности.

Снижение дебиторской задолженности

В условиях финансового кризиса организация не должна полностью отказываться от реализации продукции в рассрочку, так как это, скорее всего, вызовет резкое сокращение объемов продаж. Однако на ООО «ЦАПП» остро стоит проблема расчетов с дебиторами, так в 2009 г. дебиторская задолженность составила 206 тыс. руб., что на 36 тыс. руб. больше чем в 2008 г. И в структуре баланса дебиторская задолженность составляет целых 46,4%, что тоже говорит о превышении оптимальных значений.

Управление дебиторской задолженностью предполагает:

контроль расчетов с дебиторами по отсроченной или просроченной задолженности;

задание условий продажи, обеспечивающих гарантийное поступление денежных средств;

оценка реальной стоимости существующей дебиторской задолженности;

постоянный контроль за соотношением дебиторской и кредиторской задолженностей;

определение конкретных размеров скидок долгосрочной оплаты.

Для того чтобы оптимизировать работу с дебиторами, ООО «ЦАПП» можно порекомендовать выполнить следующие действия.

Должна проводиться активная работа по отсылке письменных предупреждений, должны браться и прослеживаться выполнение гарантийных писем от предприятий и организаций, в которых они обязуются погасить свою задолженность за услуги с предоставлением графика погашения, на злостных неплательщиков должны подаваться дела в арбитражный суд.

Работа с существующей на момент возникновения кризиса дебиторской задолженностью должна строиться следующим образом. Начать нужно с инвентаризации дебиторов компании, то есть с уточнения размера дебиторской задолженности и сроков ее погашения по каждому контрагенту. Также на этапе инвентаризации проводится оценка вероятности возникновения безнадежной задолженности. Затем определяются методы воздействия на дебиторов в зависимости от состояния долга (время просрочки, размер и т. д.).

Внимание должно быть уделено и бартерным операциям, обеспечивающим собственные потребности, а так же потребности других подразделений в материалах, комплектующих и др.

При использовании на практике ООО «ЦАПП» данных мероприятий, предполагается за счет активизации работы с дебиторами сократить величину дебиторской задолженности на 60%. При этом выводившиеся средства (124 тыс. руб.) следует направить на погашение кредиторской задолженности, что снизит ее на 36,9%.

Сокращение внереализационных расходов

Для ООО «ЦАПП» данное мероприятие тесно связанно с предыдущим, т.к. в 2009 году внереализационные расходы составили 30 тыс. руб., и вся эта сумма образовалась по статье «убытки от списания безнадежной дебиторской задолженности». В результате снижения прибыли до налогообложения в 2009 году, показатель чистой прибыли также сократился и составил 87тыс. руб.

Убытки от списания безнадежной дебиторской задолженности возникают обычно на тех предприятиях, где постановка учета и контроля за состоянием расчетов находится не на должном уровне. Прибыли (убытки) прошлых лет, выявленные в текущем году, также свидетельствуют о недостатках бухгалтерского учета.

Из причин появления внереализационных расходов вытекают мероприятия по увеличению прибыли до налогообложения:

Организации следует четко соблюдать условия заключенных договоров;

Усовершенствование маркетинговой и сбытовой деятельностей организации.

Резерв увеличения прибыли в отчетном году за счет снижения внереализационных доходов составляет 30 тыс. руб., что составляет 34,5% от суммы полученной суммы чистой прибыли.

Реструктуризация кредиторской задолженности.

То, что показатель эффективности финансового рычага находятся на уровне ниже нормы, объясняется, в основном, наличием у предприятия значительной суммы (336 тыс. руб.) кредиторской задолженности. Это говорит о том, что на предприятии не очень хорошо организовано управление кредиторской задолженностью.

Меры финансового оздоровления, направленные на реструктуризацию кредиторской задолженности организации, в том числе и просроченной, могут предусматривать следующие процедуры:

отсрочки и рассрочки платежей;

зачет взаимных платежных требований (взаимозачет);

переоформление задолженности в виде займа;

продажу долговых обязательств;

перевод краткосрочных обязательств в долгосрочные.

Для реструктуризации кредиторской задолженности ООО «ЦАПП» можно порекомендовать конкретные действия.

Проведение взаимозачетов. Взаимозачеты долгов являются распространенным методом реструктуризации задолженности. В процессе анализа дебиторской и кредиторской задолженностей зачастую выясняется, что предприятие имеет долговые обязательства перед компанией, к которой у него есть также встречные требования. В такой ситуации предприятие может зачесть обе суммы. Более того, взаимозачет может быть осуществлен в одностороннем порядке путем уведомления второй стороны (желательно в письменном виде и с подтверждением доставки письма). Предприятие также может попытаться выкупить долги кредитора у третьей стороны со значительной скидкой, после чего произвести взаимозачет на полную сумму.

Переоформление кредиторской задолженности. Организации ООО «ЦАПП» может предложить своим «необеспеченным» кредиторам переоформить задолженность в обеспеченные обязательства в обмен на сокращение суммы долга, процентов и (или) увеличение срока погашения долга. Для реструктуризации необеспеченного кредита можно также предложить кредитору обеспечение в виде гарантии или поручительства третьей стороны, в соответствии с которыми третья сторона обязуется погасить задолженность предприятия в случае, если оно не сможет сделать этого самостоятельно.

Погашение кредиторской задолженности за счет предоставления векселей. Вексель как средство реструктуризации долгов является новым обязательством, которое должно быть исполнено в соответствии с вновь установленными сроками и зачастую с меньшими процентными ставками. Это освобождает предприятие от уплаты долга в данном периоде, способствуя улучшению показателей деятельности компании. Предприятия, находящиеся в тяжелом финансовом положении, могут использовать векселя как инструмент реструктуризации кредита в том случае, если есть третья сторона, заинтересованная в приобретении обязательств компании.

Для совершенствования финансовой деятельности ООО «ЦАПП» может придать структуре пассивов более рациональную основу, т.е. изыскать резервы и применить мероприятия для снижения кредиторской задолженности в два раза. С прочими кредиторами необходимо провести переговоры о продлении сроков погашения кредиторской задолженности. Резервы для погашения кредиторской задолженности у ООО «ЦАПП» имеются. Это, прежде всего сокращение дебиторской задолженности, возможность более рационального использования основных средств (продажа и сдача в аренду неиспользуемых средств, то есть мобилизация внеоборотных активов), и ускорение оборачиваемости оборотных средств.

ООО «ЦАПП» рекомендуется снизить кредиторскую задолженность до 133 тыс. руб. (т.е. до 30% в структуре пассива баланса), тем самым снизив риск банкротства. Итак, если кредиторская задолженность в 2009 г. составила 336 тыс. руб., а выявленные резервы: - 35 тыс. руб., за счет дополнительной реализации готовой продукции; - 124 тыс. руб., за счет сокращения дебиторской задолженности, то кредиторскую задолженность необходимо снизить на 44 тыс. руб.

В целом можно отметить, что финансовое положение ООО «ЦАПП» на данный период времени характеризуется как неустойчивое, однако у данной организации имеются внутренние резервы для улучшения финансовых результатов и в перспективе, используя предложенные мероприятия, организация может добиться устойчивого положения.

3.2 Оценка предложенных мероприятий по улучшению финансовых результатов деятельности организации ООО «ЦАПП»

При выявлении тенденций развития ООО «ЦАПП» необходимо на основании фактических данных за периоды, предшествующие прогнозному, установить закономерности ее развития. Относительно исследуемой организации было установлено, что в предпрогнозном периоде наблюдалось ежегодное увеличение основных финансовых показателей и предполагается, что эта тенденция сохранится и на перспективу.

Чтобы подтвердить эффективность возможного осуществления предложенных в параграфе 3.1 мероприятий по улучшению финансовых результатов организации ООО «ЦАПП», в таблице 3.1 рассчитаны основные финансовые показатели на 2010, 2011 и 2012гг. с учетом выявленных внутренних резервов и темпов прироста показателей.

Таблица 3.1 Прогнозные показатели организации ООО «ЦАПП»

Наименование показателя

Факт

Прогноз


2009 г.

2010 г.

2011 г.

2012 г.

1

2

3

4

5

Материальные запасы, тыс. руб.

147

130

140

150

Стоимость основных средств, тыс. руб.

82

94

108

125

Среднегодовая стоимость активов, тыс. руб.

229

224

248

275

Дебиторская задолженность, тыс. руб.

206

100

110

120

Заемные средства, тыс. руб.

336

230

265

304

Собственные средства, тыс. руб.

108

124

143

164

Выручка, тыс. руб.

1214

1348

1469

1557

Полная себестоимость реализованной продукции, тыс. руб.

1073

1191

1298

1376

Чистая прибыль, тыс. руб.

87

104

123

147

Рентабельность товарной продукции, %

8,11

8,69

9,49

10,65

Экономическая рентабельность, %

37,99

46,16

49,59

53,37

Эффект финансового рычага, %

24,80

29,87

37,58

45,90


Итак, отмечаем положительное влияние предлагаемых мероприятий по улучшению финансовых результатов на деятельность организации ООО «ЦАПП», а в следствие рентабельность, финансовую устойчивость, ликвидность и платежеспособность.

Рентабельность товарной продукции к 2012 г. по сравнению с 2009 годом увеличивается на 2.54% и составляет 10,65%.

При рациональной мобилизации внутренних резервов в 2012 г. наблюдается положительное увеличение показателя финансового рычага - 45,90%, а т.е. доведение его до оптимальных размеров. Также это происходит благодаря значительному увеличению показателя экономической рентабельности с 37,99% в 2009г. до 53,37% в 2012 г., который в свою очередь повышается по причине увеличения суммы чистой прибыли.

Чистая прибыль возрастает к 2010 г. в 1,2 раза за счет дополнительной реализации готовой продукции и возврата дебиторской задолженности, а также сокращения убытков от списания безнадежной дебиторской задолженности.

К 2012 г. предполагается довести соотношение собственных и заемных средств до 50/50, это крайне положительный фактор, т.к. при улучшении структуры пассива баланса растет показатель финансового рычага и снижается риск банкротства.

Из таблицы видно, что в перспективе наблюдается улучшение работы организации, однако для достижения подобных показателей ООО «ЦАПП» необходимо применить следующие мероприятия по улучшению финансового состояния:

Усовершенствование управленческой структуры организации в сфере производства и реализации производимой продукции;

Увеличение объема производства и продаж;

Улучшение качества продукции;

Более рациональное использование основных средств (продажа и сдача в аренду неиспользуемых средств, то есть мобилизация внеоборотных активов);

Увеличение скорости оборачиваемости оборотных средств;

Снижение дебиторской задолженности;

Реструктуризация кредиторской задолженности;

Сокращение прочих расходов от внереализационной деятельности;

Выявление и мобилизация дополнительных внутренних резервов организации;

Повышение квалификации работников, сопровождающееся ростом производительности труда;

Разработка и внедрение эффективной системы материального стимулирования персонала, тесно увязанного с основными результатами хозяйственной деятельности предприятия и экономией ресурсов;

Осуществление постоянного контроля за условиями хранения и транспортировки сырья и готовой продукции.

На графике (рис. 3.1) представлена динамика прогнозных показателей экономической рентабельности, рентабельности товарной продукции и эффекта финансового рычага.

Рис. 3.1 Динамика прогнозных финансовых показателей деятельности организации ООО «ЦАПП»

Наблюдается положительная тенденция роста прогнозных показателей экономической рентабельности, рентабельности товарной продукции и эффекта финансового рычага.

Таким образом, предлагаемые мероприятия по улучшению финансовых результатов организации ООО «Центр автоматизации производственных процессов» экономически целесообразны.

Заключение

Чтобы обеспечивать выживаемость предприятия в современных условиях мирового экономического кризиса, управленческому персоналу необходимо, прежде всего, уметь реально оценивать финансовые результаты, как своего предприятия, так и существующих потенциальных конкурентов.

Финансовые результаты определяют конкурентоспособность, потенциал в деловом сотрудничестве, оценивают, в какой степени гарантированы экономические интересы самого предприятия и его партнёров в финансовом и производственном отношении.

Главная цель коммерческого предприятия в современных условиях - получение максимальной прибыли, что невозможно без эффективного управления капиталом. Поиски резервов для увеличения прибыльности и повышения рентабельности предприятия составляют основную задачу управленца.

В данной выпускной квалификационной работе был проведен экономический анализ финансовых результатов организации ООО «ЦАПП» и разработка мероприятий по их улучшению.

Информация об основных результатах работы ООО «ЦАПП» за 2009 год предоставлена далее.

Выручка от продажи товаров, продукции, работ, услуг 1214 тыс. рублей. Валовая прибыль 141 тыс. рублей. Чистая прибыль 87 тыс. рублей. Стоимость чистых активов на конец отчетного года 229 тыс. рублей, что составляет по сравнению с началом отчетного года 111,2%.

Кредиторская задолженность (разделы IV и V Бухгалтерского баланса) на конец года 336 тыс. рублей. В том числе: задолженность по налогам, сборам и внебюджетными фондами 1 тыс. рублей; задолженность перед федеральным бюджетом 13 тыс. рублей.

Кредиторская задолженность является текущей, не просроченной, погашаемой согласно установленным сроком (за материалы, услуги производственного характера, электроэнергию и др.).

ООО «ЦАПП» систематически выполняло свои обязательства перед бюджетом и государственными внебюджетными фондами, уплату всех текущих налогов проводило своевременно.

По сравнению с 2008 годом дебиторская задолженность возросла на 21,1% и составила 206 тыс. рублей.

Доходная часть бюджета по всем видам доходов составила 1214 тыс. руб., расходная - 1133. Превышение доходов над расходами (прибыль до налогообложения) 93 тыс. рублей.

Остаточная стоимость основных средств снизилась на 3,5%. Оборотные активы возросли на 21,5%.

У организации ООО «Центр автоматизации производственных процессов» имеются большие внутренние резервы, при рациональном использовании которых организация значительно может повысить свои основные экономические показатели.

Исходя из гл. 3 «Пути улучшения финансовых результатов деятельности организации ООО «Центр автоматизации производственных процессов»» данной выпускной квалификационной работы следует, что основными направлениями активизации резервов организации могут быть:

. увеличение скорости оборачиваемости оборотных средств;

. снижение дебиторской задолженности;

. сокращение внереализационных расходов;

. реструктуризация кредиторской задолженности.

Перспектива развития организации ООО «ЦАПП» достаточно положительна. Так, в 2012 году прогнозные показатели значительно возрастают, организация становится более устойчивой и платежеспособной.

Чистая прибыль возрастает к 2012 г. по сравнению с 2009 годом в 1,7 раза и составляет 147 тыс. руб.

Уровень рентабельности товарной продукции к 2012 г. по сравнению с 2009 годом увеличивается на 2.54% и составляет 10,65%.

При рациональной мобилизации внутренних резервов в 2012 г. наблюдается положительное увеличение показателя финансового рычага - 45,90%. Также это происходит благодаря значительному увеличению показателя экономической рентабельности с 37,99% в 2009г. до 53,37% в 2012 г., который в свою очередь повышается по причине увеличения суммы чистой прибыли.

Библиографический список

1.     Абрютина М.С., Грачев А. В. Анализ финансово-экономической деятельности предприятия. - М.: Дело и сервис. - 2007. - 450 с.

2.       Александрова Е.Н., Насыбулина В.П., Андреева Н.В. Глобальный финансовый кризис: краткий обзор определяющих факторов, текущего стояния и перспектив развития//Финансы и кредит. - 2010. - №2. - С 19- 24

.        Банк В.Р., Банк С.В., Тараскина А.В. Финансовый анализ: учебное пособие. - М.: Проспект.- 2006.- 344 с.

.        Ведомственная целевая программа "Развитие промышленного производства в Алтайском крае" на 2009 - 2012 годы. Утвержденная Постановлением Администрации края от 19 декабря 2008 г. N 557

.        Глазунов В.М. Анализ финансового состояния предприятия / В.М. Глазунов// Финансы.- 2005.- №2.- С.27-31

.        Донцова Л.В., Никифорова Н.А. Анализ финансовой отчетности: учебное пособие. 2-е изд.- М.: Дело и сервис.- 2004.- 336 с.

.        Казакова Н.А. Предпосылки становления новой экономической специальности - аналитика//Экономический анализ: теория и практика.- 2008.- №7.- С.58-59

.        Карасева И.М., Ревякина М.А. Финансовый менеджмент: уч. пособие/ под ред. Ю.П. Анискина.- М.: Омега-Л, 2006.- 335 с.

.        Ковалев В.В. Курс финансового менеджмента: учебник.- М.: ТК Велби, Изд-во Проспект, 2008.- 448 с.

.        Ковалев В.В. Финансы организаций (предприятий).- М.: ТК Велби, Изд-во Проспект, 2008.- 352 с.

.        Ковалев В.В., Патров В.В. Как читать баланс.- М.: Финансы и статистика.- 2006.- 672с.

.        Котляров М.А. Пути совершенствования основных направлений денежно-кредитной политики в России//Финансы и кредит. - 2010. - №4. - С 2- 7

.        Лисина М.И. Влияние девальвации на конкурентоспособность российских предприятий в период мирового кризиса// Проблемы современной экономики. - 2009. - № 4. - С. 32-34

.        Лиференко Г.Н. Финансовый анализ предприятия: учебное пособие.- М.: Издательство «Экзамен» . - 2005.- 160 с.

.        Ляско В.И. Стратегическое планирование развития предприятия: учебное пособие для вузов.- М.: Издательство «Экзамен» . - 2005.- 228с.

16.   Методические указания по проведению анализа финансового состояния организаций, утвержденные Федеральной службой России по финансовому оздоровлению и банкротству приказом № 16 от 23 января 2001 года

.       Палий В.Ф. Международные стандарты учета и финансовой отчетности: учебник.- 3-е изд., испр. и доп.- М.: ИНФРА-М, 2007.- 512 с.

18.     Панков Д. А. Анализ финансового состояния предприятия. - Мн.: Профи. - 2006. - 392 с

.        План счетов бухгалтерского учета финансово - хозяйственной деятельности организаций, утвержденный приказом Минфина России от 31 октября 2000 года № 94н (в ред. Приказа Минфина РФ от 07 мая 2003 года № 38н)

.        Положение по бухгалтерскому учету «Бухгалтерская отчетность организации» (ПБУ 4/99) (с изменениями на 18 сентября 2006 года)

.        Положение по ведению бухгалтерского учета и бухгалтерской отчетности в РФ, утвержденное Приказом Минфина России от 29 июля 1998 года № 34н (с изменениями от 30 декабря 1999 г., 24 марта 2000 года)

.        Приказ Минфина РФ от 13 января 2004 года № 4н «О формах бухгалтерской отчетности организации»

.        Прыкина Л.В. Экономический анализ предприятия: Учебник для вузов. - М.: ЮНИТИ - ДАНА. - 2005-408с

.        Пястолов С.М. Анализ финансово-хозяйственной деятельности предприятия. 3-е изд.- М.: Изд. центр «Академия» . - 2006.- 336 с.

.        Ревенко П. Финансовая бухгалтения/ П. Ревенко, Б. Вольфман, Т. Киселева - М.:ИНФРА-М. - 2005.- 513 с.

.        Савицкая Г.В. Анализ хозяйственной деятельности предприятия. - Мн: ООО «Новое знание» . - 2007. - 640 с.

.        Скамай Л.Г. Экономический анализ деятельности предприятий / Л.Г. Скамай, М.И. Трубочкина. - М.: ИНФРА-М. - 2009.- 296 с.

.        Татарников Е.А., Сигачев Д.А., Новикова Н.А. Антикризисное управление (бизнес-пособие).- Саратов: Научная книга, ИД Равновесие. - 2006. - 302 с.

.        Тумашев А.Р. Мировой финансовый кризис: причины и последствия//Татарстан . - 2008. - №11. - С. 26-29.

.        Федеральный закон от 21 ноября 1996 года № 129-ФЗ «О бухгалтерском учете» с последующими изменениями

.        Федорова Г.В. Учет и анализ банкротств: учебное пособие.- 2-е изд. стер.- М.: Омега-Л. - 2008.- 248 с.

.        Финансовый менеджмент: теория и практика/ под ред. Е.С. Стояновой.- 6-е изд.- М.: Перспектива.- 2008.- 656 с.

.        Финансы: учебник.- 2-е изд., перераб. и доп./ под ред. В.В. Ковалева.- М.: ТК Велби, Издательство Проспект, 2009.- 640 с.

.        Шеремет А.Д. Комплексный анализ хозяйственной деятельности.- М.: ИНФРА-М.- 2006.- 415 с.

.        Шеремет А.Д. Теория экономического анализа: учебник 2-е изд., доп. - М.: ИНФРА-М.- 2008.- 367 с.

.        Шеремет А.Д., Ионова А.Ф. Финансы предприятий: менеджмент и анализ: учебное пособие. 2-е изд., испр. и доп. - М.: ИНФРА-М, 2009.- 479 с.

.        Шеремет А.Д., Негашев Е.В. Методика финансового анализа деятельности коммерческой организации.- М.: ИНФРА-М, 2008.- 208 с.

.        Экономический анализ. Учебник для ВУЗов./ Под ред. Л.Т.Гиляровской.- М.: ЮНИТИ.- 2006.- 615 с.

.        <http://invest.bujet.ru/article/48440.php>

.        <http://www.barnaul.org/vlast/itogi-08>

.        < http://www.ncstu.ru>


Не нашли материал для своей работы?
Поможем написать уникальную работу
Без плагиата!
Без нейросетей!