Обработка и фильтрация данных дистанционного зондирования
Курсовая работа
Обработка и фильтрация данных
дистанционного зондирования
Содержание
Введение
. Предварительная обработка данных дистанционного
зондирования
1.1 Геометрическая
коррекция спутниковых изображений
1.2 Радиометрическая
коррекция результатов дистанционного зондирования
.3 Атмосферная
коррекция
.4 Восстановление
пропущенных пикселов
.5 Улучшение
изображений путем изменения контраста
2. Линейная пространственно-инвариантная фильтрация
изображений
.1 Пространственные инвариантные операторы
2.2 Линейные преобразования в частотной плоскости
.3 Применение линейной фильтрации в частотной плоскости
.4 Линейная локальная фильтрация
3. Нелинейная фильтрация изображений
.1 Медианная фильтрация
3.2 Сигма-фильтр
.3 Нелинейные градиентные фильтры
.4 Кепстральная обработка
.5 Фильтры, использующие ряд Вольтерра
Заключение
Приложение
Список использованной литературы
Введение
В последнее десятилетие для России важную роль приобрели спутниковые
дистанционные методы исследования ее территории. Это связано как с дальнейшим
совершенствованием космической техники, так и со свертыванием авиационных и
наземных методов мониторинга. Особенно большое значение спутниковые методы
имеют для севера России и азиатской ее части.
Основные области применения спутникового дистанционного зондирования -
получение информации о состоянии окружающей среды и землепользовании, изучение
растительных сообществ, оценка урожая сельскохозяйственных культур, оценка
последствий стихийных бедствий: наводнений, землетрясений, извержений вулканов,
лесных пожаров. Средства дистанционного зондирования эффективны при изучении
загрязнения почвы и водоемов, льдов на суше и на воде, в океанологии. Эти
средства позволяют получать сведения о состоянии атмосферы, в том числе в
глобальном масштабе.
Данные зондирования поступают в виде изображений, как правило, в цифровой
форме, обработка ведется на ЭВМ, поэтому проблематика дистанционного
зондирования тесно связана с цифровой обработкой изображений.
Цель данной работы - обзор основных методов цифровой обработки
изображений.
1. Предварительная обработка данных дистанционного зондирования
Предварительная обработка данных дистанционного зондирования заключается
в геометрической коррекции спутниковых изображений, радиометрической и
атмосферной коррекции, восстановлении пропущенных пикселов и улучшения
изображений путем изменения контраста
1.1 Геометрическая коррекция
спутниковых изображений
обработка фильтрация
изображение дистанционное зондирование
Для сканеров оптического диапазона с цилиндрической разверткой основной
причиной таких искажений является кривизна поверхности Земли.
Рис. 1. Формирование спутниковых сканерных изображений
Специфические искажения, связанные с тем, что наблюдение ведется под
углом к надиру, возникают при использовании сканеров с линейной разверткой и
радиолокационных станций бокового обзора. Но существуют и другие источники
искажений. Солнечно-синхронные орбиты природоведческих спутников проходят не
через ось вращения Земли, а имеют наклон относительно нее. Поэтому, если
спутник движется с севера на юг (нисходящий виток орбиты), то вверху
изображения будет не север, как на карте, а, например, север-северо-восток. К
тому же во время сеанса приема спутниковой информации Земля поворачивается на
некоторый угол (за 1 мин на 0,25°). Такие искажения могут быть скомпенсированы,
если известны проекция орбиты спутника на земную поверхность и механизм
искажений. Однако проще использовать другую методику, эффективную также в
случаях, когда требуется обрабатывать архивные изображения, для которых
орбитальные данные неизвестны и неизвестен угол отклонения оси сканирования от
надира.
Объекты на спутниковых изображениях бывает необходимо сопоставлять с
географической картой (осуществить географическую привязку спутниковых данных)
для определения географических координат объектов. Географическую привязку и
геометрическую коррекцию возможно объединить в одну операцию совмещения деталей
спутникового изображения и карты. Пусть система координат (х, у) соответствует
спутниковому изображению, а система (u, v) - карте. Требуется найти
преобразование uk=f(xk, уи), vk = g(xk, yk), устанавливающее соответствия между положением k-го пиксела на изображении и
географическими координатами. Так как вид функций f и g заранее не известен, то применяется полиномиальная
аппроксимация. Обычно используются полиномы второй степени:
Система 1. Первые члены с коэффициентами a0, b0
ответственны за сдвиг изображения по x и по y.
Члены с коэффициентами а1, а2, b1, b2 отвечают за линейное изменение
масштаба по x и по y, члены с a3 и b3 - за вращение изображения, члены с
a4, a5, b4, b5 - за нелинейное изменение масштаба.
Коэффициенты аi
и bi определяются из решения системы 1.
На изображении и на карте отыскивают одинаковые точки (их называют контрольными
точками - control points, reference points), их координаты
подставляют в уравнения. В качестве контрольных точек удобно использовать
элементы гидросети - устья рек, мысы, крутые изгибы русла рек и т. п.
Количество точек должно быть достаточным для решения уравнений. Для полиномов
второго порядка можно ограничиться 6 контрольными точками, но желательно, чтобы
их число достигало 15-20 с распределением по всему полю, это позволяет
использовать метод наименьших квадратов и сделать оценку коэффициентов менее
зависимой от ошибок в определении координат на изображении и на карте.
На рис. 2, а показано осеннее радиолокационное изображение района
к востоку от г. Норильска (спутник ERS-2), здесь же отмечены контрольные точки. Карта района приведена на рис.
2, б.
Рис. 2. Радиолокационное изображение местности к востоку от г. Норильска
(а) и фрагмент топографической карты этого района (б)
Координаты опорных точек на карте:
Опорными точками являются мысы и заливы озер в тундре. Координаты опорных
точек на изображении во внутренней системе координат (первая цифра - координата
по x, вторая - по y) следующие:
) 109 23;
) 149 56;
) 124 89;
) 161 117;
) 291 128;
) 344 25;
) 376 241;
) 461 222;
) 116 329;
) 214 374;
) 296 404;
) 214 395;
) 431 340.
Решение системы 1 дает:
а0 = 88,9523;
b0 =
69,4845;
а1 = 5,6923*10-3;
b1 =
-1,6122*10-4;
а2 = 5,1447-10-4;
b2 =
-1,98888*10-3;
a3 =
3,402*10-7;
b3 =
8,47*10-8;
а4 = -1,033*10-6;
b4 =
2,268*10-7;
а5 = -1,1102*10-6;
b5 =
2,829*10-8.
Средний квадрат ошибки в определении новых координат ε = 0,0135. Следует так выбирать число
контрольных точек и их расположение, чтобы достичь минимума ε.

Результат геометрической коррекции и топографической привязки с
использованием системы 1 можно видеть на рис. 3.
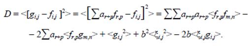
.2 Радиометрическая коррекция результатов дистанционного зондирования
Измерительная аппаратура природоведческих спутников Земли перед запуском
тщательно проверяется и калибруется, после запуска спутниковая информация в
течение некоторого времени (до нескольких месяцев) проходит верификацию. В
результате данные дистанционного зондирования могут быть надежно использованы
для решения различных практических задач.
Спутники функционируют на орбите в течение нескольких лет, с течением
времени измерительная аппаратура деградирует под воздействием неблагоприятных
факторов космического пространства. Поэтому показания датчиков сканеров
необходимо корректировать. Эта процедура носит название радиометрической
коррекции. Рассмотрим радиометрическую коррекцию на примере обработки
данных сканера AVHRR спутника NOAA1.
Сканер AVHRR имеет по одному каналу видимого и
ближнего инфракрасного диапазона (1-й и 2-й каналы), один ИК-канал на 3,5 мкм
(3-й канал) и два канала теплового ИК-диапазона (4-й и 5-й каналы).
Предусмотрена бортовая калибровка последних трех каналов, для этого сканер
направляется на космическое пространство (эта точка принимается за ноль) и в
полость абсолютно черного тела, установленного на борту, что дает две точки для
коррекции температуры по линейному закону. Корректировочные коэффициенты для
3-5-го каналов включены в файл данных, передаваемых со спутника; 1-й и 2-й
каналы калибруются только на Земле перед запуском спутника, соответствующие
коэффициенты также включены в файл данных. С течением времени возникает
необходимость корректировать показания 1-го и 2-го каналов, применяется
процедура, состоящая в том, что наблюдаются одни и те же объекты на Земле,
текущая интенсивность излучения сравнивается с результатами предыдущих
наблюдений. И текущие, и полученные прежде данные подвержены разбросу из-за
влияния атмосферы, прозрачность которой постоянно меняется, из-за естественной
изменчивости природных объектов и других факторов. Корректировочные
коэффициенты для 1-го и 2-го каналов определяются путем статистической
обработки. Коэффициенты ежемесячно обновляются, их можно найти в сети
Интернет2.
В качестве примера рассмотрим процедуру калибровки и корректировки данных
4-го канала. Показания U
датчика этого канала после аналого-цифрового преобразования лежат в пределах
0-1 023 (10-битное кодирование). Пусть U = 427. Плотность потока мощности можно найти по
формуле
где A = 590,888
Вт-мкм/(м2*ср),
K = -1,60156 Вт-мкм/(м2*ср) - корректировочные коэффициенты из файла
данных.
В нашем примере B(λ, T) = 907,022/λ2 Вт/(м2*мкм*ср).
Из формулы Планка3 получаем, что радиационная температура при λ=10,96 мкм, с1=1,1911*108 Вт*мкм
/(м2*ср), c2=14 388 мкм*К
T = λ/c2 ln (c1/ λ5B + 1) = 284,57 К.
Пусть U = 428, т.е.
показания датчика изменились на единицу. В этом
случае В = 905,421/λ2 Вт/(м*мкм*ср), Т = 284,46 К Таким образом,
изменению показаний датчика ΔU = 1 соответствует изменение
температуры ΔT = 0,1 К. Величина ΔT характеризует радиационное
разрешение датчика.
.3 Атмосферная коррекция
Атмосферная коррекция является наиболее сложной из задач реставрации
результатов дистанционного зондирования Земли. Это связано с тем, что, как
правило, информация об оптической толщине τ атмосферы над интересующими объектами
отсутствует. Обычно космические изображения суши, на которых значительную часть
занимает облачность, выбраковываются. Нередко дальнейшая обработка оставшихся
изображений ведется без атмосферной коррекции.
Лучшим выходом из положения была бы установка по всей поверхности суши
обширной сети солнечных спектрофотометров. Назначение этих приборов - измерение
в различных участках спектра интенсивности солнечного излучения I, прошедшего
через атмосферу. Зная интенсивность Iо за пределами атмосферы, по закону Бугера
I = Io exp(-τ sec δ)
можно оценить τ для разных длин волн оптического
диапазона:
τ = 1/sec δ • lnI0/I.
Здесь δ - зенитный угол Солнца.
К сожалению, такая сеть не существует, приходится использовать данные
немногих спектрофотометров или прибегать к косвенным методам коррекции.
Иначе дело обстоит с атмосферой над морями и океанами. В красном и
ИК-участке спектра поверхность воды по своим оптическим характеристикам близка
к абсолютно черному телу. Существенно больший коэффициент отражения и рассеяния
имеют туманы, дымки, облака, их хорошо видно на фоне воды. Это позволяет
оценить оптическую толщину τ. Данные по τ над морями и океанами помещены в
сети Интернет4, их можно использовать для коррекции спутниковых изображений
прибрежных районов.
На рис. 4, а приведено изображение части Хабаровского края
(слева), Татарского пролива и о. Сахалин (справа), полученное 14 августа 1998
г. (1-й канал сканера AVHRR
спутника NOAA).
А Б
Рис. 4. Атмосферная коррекция изображения прибрежных районов
Это изображение очень низкого качества. В это время на территории
Хабаровского края и на Сахалине бушевали обширные лесные пожары, весь район
сильно задымлен. Была произведена атмосферная коррекция с использованием закона
Бугера, данные об оптической толщине τ взяты из сети Интернет, τ лежало в пределах 0,03-0,23, угол δ изменялся от минус 8 до 14°.
Результаты коррекции показаны на рис. 4, б. После коррекции
просматривается Татарский пролив и несколько лучше (чем на рис. 4, а) -
о. Сахалин. Для Хабаровского края использованы данные τ по Татарскому проливу и Охотскому
морю, результат, как и следовало ожидать, оказался неудовлетворительным: в
левом верхнем углу появилась темная область, похожая на поверхность моря, хотя
на самом деле это суша.
Существует значительное количество оценочных методов учета загрязнения
атмосферы и косвенных методов атмосферной коррекции. Можно, например, оценить
поглощение излучения молекулами воды по эквивалентной массе водяного пара в
атмосфере, вычисленной по данным измерений температуры и влажности. Можно также
использовать усредненные сезонные значения τ для данной местности.
Алгоритм порогового выделения загрязненных областей является наиболее простым, но
достаточно эффективным. Идея алгоритма основана на выделении границы между
«загрязненной» и «чистой» областью, после чего все значения изображения в
пределах этой границы исключаются из рассмотрения. Порог для 1-го и 2-го
каналов сканера AVHRR спутника NOAA можно выбрать, если вычислить
значения нормализованного вегетационного индекса NDVI для всего изображения. Эта процедура
основана на чувствительности NDVI к присутствию облаков и аэрозолей на
изображении. Для растений в нормальном состоянии NDVI близок к 0,6-0,65, для растений в
угнетенном состоянии - к 0,3 - 0,4. Облака и аэрозоли в 1-м и 2-м каналах имеют
приблизительно одинаковую яркость, поэтому NDVI близок к 0. Таким образом,
пороговыми являются низкие значения NDVI. Порог для 3, 4 и 5-го каналов выбирается как среднее
значение температуры поверхности и облаков.
Кроме солнечного излучения, отраженного и рассеянного поверхностью,
сканеры спутника принимают солнечное излучение, рассеянное на молекулах газов и
рассеянное на аэрозолях. Интенсивность молекулярного рассеяния обратно
пропорциональна длине волны в четвертой степени, эффект наиболее заметен в
коротковолновой части спектра, он ответствен за голубой цвет неба. Рассеяние на
аэрозолях (размер частиц от 0,1 λ до 10λ) приводит к зависимости
интенсивности от длины волны λ-α, 0 < α < 4. Частицы дыма, пыли, облаков
имеют размеры много большие, чем длина волны видимого и ИК-диапазонов, здесь
нет зависимости интенсивности рассеянного солнечного излучения от длины волны.
Рассеяние в атмосфере приводит к дополнительной засветке, заметной в 1-м и 2-м
каналах сканера AVHRR спутника NOAA и еще более заметной в каналах
сканеров спутников «Ресурс-О», LANDSAT,
SPOT, работающих в зеленой области
видимого диапазона. Засветка различна для разных каналов, она способна
привести, например, к ошибкам в оценке вегетационного индекса растительного
покрова.
Влияние засветок за счет рассеяния в атмосфере можно частично устранить,
если использовать следующую процедуру. Как правило, на всех изображениях земной
поверхности присутствуют пикселы с нулевой или близкой к нулю яркостью.
Рассеяние в атмосфере приводит к увеличению яркости, гистограмма смещается
вправо (рис. 5).
Рис. 5. Гистограмма уровней яркости при наличии рассеяния в атмосфере
Методика коррекции состоит в том, что из всех уровней яркости вычитается
величина ΔI, определяемая по гистограмме.
.4 Восстановление пропущенных пикселов
Часто встречающимися на практике помехами при исследовании поверхности
Земли из космоса являются облака. Если их слишком много, изображение нельзя
использовать для анализа; если площадь, покрытая облаками, невелика, а облака
небольшие, то области под облаками на изображении можно восстановить путем
интерполяции (экстраполяции) с применением уравнения авторегрессии. Конечно,
таким образом невозможно получить, например, изображение невидимого населенного
пункта, но заполнить пустое место в изображении лесного массива пикселами такой
же структуры, как окружение, вполне возможно. В системах обработки космической
информации на изображения накладывается координатная сетка и кресты для
определения координат (их можно заметить на рис. 6). При некоторых видах
тематической обработки, когда осуществляется классификация изображений, эти
линии, как и облака, являются помехами и приводят к появлению новых классов.
а б
Рис. 6. Исходное изображение (а) и скорректированное восстановлением
пропущенных пикселов (б)
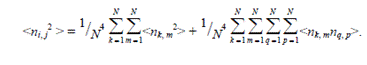
Запишем уравнение авторегрессии в виде
Здесь gji
- прогнозируемая яркость пропущенного пиксела (оценка яркости пиксела); аij , b - некоторые коэффициенты; важно, чтобы известные
яркости fh,q пикселов из окружения пропущенного
пиксела не повторялись.
Потребуем, чтобы среднее значение < gji > совпадало с истинным средним значением яркости
<fij> (условие несмещенности оценки). Для
однородного и изотропного (хотя бы в пределах (s + q) - окрестности пропущенного пиксела) поля выполняется
<fij> = <
fr,p > = m1,
m1 - средняя яркость любого пиксела из
этой окрестности, эта величина одинакова для всех пикселов окрестности.
Учитывая, что <ζij> = 0, получаем ∑ar+pm1 = m1,
откуда находим уравнение нормировки:
Выражение 1.
Обозначим gij
= gij - m1, fk,m = fk,m - m1.
Вычитая выражение 1 из уравнения авторегресии, получим
Выражение 2.
Остальные уравнения относительно aq можно получить из условия минимума D - среднего квадрата погрешности
восстановления яркости пропущенного пиксела, в этом случае gji является несмещенной и эффективной
оценкой, а уравнение авторегрессии обеспечивает оптимальную, в смысле минимума
среднего квадрата ошибки, линейную процедуру оценивания.
Следует ожидать, что оценка gji будет отличаться от истинного (но неизвестного) значения
fij на величину εj,i, которую можно назвать погрешностью оценки:
Выражение для среднего квадрата погрешности имеет вид
Выражение 3.
Здесь учтено, что <ζi,j,fp,r> = 0. Минимум среднего квадрата погрешности получается
при дD/дar+p = 0, r, p = 1,2, ..., N, дD/дb = 0. Таким образом, b = 0, т. е. в данной задаче член с
ζi,j исключается. Величины a0, a1, a2, ... есть решение системы линейных
алгебраических уравнений, коэффициентами которых служат коэффициенты корреляции
<fr,pfm,n>.
На практике при решении системы используются оценки коэффициентов
корреляции, вычисляемые по (s + q) известным яркостям
пикселов из окружения пропущенного пиксела. Далее a0, a1, a2, ... пересчитываются таким образом,
чтобы они удовлетворяли выражению 1.
На рис. 6, а приведено исходное изображение, а на рис. 6, б
- изображение после коррекции (кресты сохранены).
Рассмотренная процедура, обычно называемая процедурой Криге (Krige) или кригингом, может
применяться при обработке случайных полей, когда значения поля заданы на сетке
со случайно расположенными узлами, а требуется осуществить переход к регулярной
сетке. Процедура позволяет также перейти от сетки одного формата к сетке
другого формата.
1.5 Улучшение изображений путем изменения контраста
Слабый контраст - наиболее распространенный дефект фотографических,
сканерных и телевизионных изображений, обусловленный ограниченностью диапазона
воспроизводимых яркостей. Под контрастом обычно понимают разность максимального
и минимального значений яркости. Учитывая специфику цифровой обработки
изображений, далее будем называть среднее значение яркостью изображения, а
стандартное отклонение σ будем считать мерой контраста. Путем цифровой
обработки качество изображения можно улучшить, изменяя яркость каждого элемента
и увеличивая диапазон яркостей.
Целью улучшения изображения является приведение его к некоторому
идеальному изображению. Будем считать, что в «идеальном изображении» все
значения яркости, от минимальной до максимальной, равновероятны, т.е.
гистограмма такого изображения имеет вид графика равномерного закона
распределения. Пусть яркость f полутонового изображения кодируется одним байтом,
минимальное значение яркости равно 0, максимальное fmax=255. В этом случае плотность
вероятности w1(f) = 1/255 в интервале 0<f<255. Для равномерного закона
распределения среднее значение яркости = 127, стандартное отклонение σ
= μ1 ∕ √3
= 73, яркость и контраст принимают целочисленные значения. Таким образом,
«идеальное изображение» должно иметь яркость 127 и контраст 73. Опыт показал,
что при таких параметрах изображение хорошо воспринимается визуально.
Приблизиться к «идеальному изображению» можно, используя процедуру эквализации.
Рассмотрим методы изменения яркости и контраста.
Пусть, например, уровни некоторого черно-белого изображения занимают
интервал от 6 до 158 со средним значением яркости 67 при возможном наибольшем
интервале значений от 0 до 255. На рис. 7, а приведена гистограмма
яркостей исходного изображения, показывающая, сколько пикселов N с
близким значением яркости f попадает в интервал от fi до
f +Δf
Рис. 7. Исходное изображение (а) и изображение после линейной растяжки
гистограммы (б)
Рис. 8. Нормализация гистограммы
gi = с
+ dfi,
Выражение 4.
где fi - старое значение яркости i-го пиксела; gi - новое значение; c, d - коэффициенты. Для рис. 7, а fmin = 6,fmax = 158. Выберем c и d таким образом, чтобы gmin =
0, gmax = 255. Из формулы 4 получаем c = -10,01; d = 1,67.
Еще более можно улучшить контраст, используя нормализацию гистограммы
(рис. 8), когда на весь максимальный интервал уровней яркости [0, 255]
растягивается не вся гистограмма, лежащая в пределах от fmin до fmax, а её наиболее интенсивный участок (fmin', fmax'), из рассмотрения исключаются малоинформативные
«хвосты». На рис. 8, б исключено 5 % пикселов.
Целью выравнивания гистограммы (эту процедуру называют также
линеаризацией и эквализацией - equalization) является такое преобразование, при
котором в идеале все уровни яркости приобрели бы одинаковую частоту, а
гистограмма яркостей отвечала бы равномерному закону распределения (рис.9).
Рис. 9. Гистограмма, отвечающая равномерному закону распределения
Пусть изображение имеет формат: N пикселов по горизонтали и M по вертикали, число уровней
квантования яркости равно J.
Общее число пикселов равно N • M, на один уровень яркости попадает в
среднем n0 = N • M/J пикселов. Например, N = M = 512, J = 256. В этом случае n0 = 1 024. Расстояние Δf между дискретными уровнями яркости
от fi до f i+1 в гистограмме исходного изображения одинаковое, но на
каждый уровень выпадает различное число пикселов. При эквализации гистограммы
расстояние Δgi между уровнями gi и gi+1 различно, но число пикселов на каждом уровне в среднем
одинаковое и равно no. Алгоритм эквализации несложен. Пусть
уровнями с малой яркостью обладает небольшое количество пикселов, как на рис.
10, а. Например, уровень яркости 0 на исходном изображении имеют 188
пикселов, уровень 1 - 347 пикселов, уровень 2 - 544 пиксела. В сумме это 1 079
пикселов, т. е. приблизительно n0.
Присвоим всем этим пикселам уровень 0. Пусть на исходном изображении число
пикселов с уровнями яркости 3 и 4 в сумме приблизительно также равно n0. Этим пикселам присваивается уровень 1. С другой
стороны, пусть число пикселов с уровнем 45 на исходном изображении составляет 3
012, т. е. приблизительно 3n0.
Всем этим пикселам присваивается некоторый одинаковый уровень gi, не обязательно равный 45, а соседние два уровня
остаются незаполненными. Эти процедуры повторяются для всех уровней
яркости. Результат эквализации можно видеть на рис. 10, б.
а б
Рис. 10. Эквализация гистограммы
В каждом конкретном случае выбирают ту процедуру преобразования
гистограмм, которая приводит к наилучшему, с точки зрения пользователя,
результату.
Процедуру видоизменения гистограммы можно рассматривать как по пиксельное
преобразование входной яркости fj, f0 <= f <= fj, в выходную яркость gk, g0 <= gk <= gK, в результате которого исходное распределение
вероятностей P{fj} переходит в распределение
вероятностей P{gk}, имеющее желаемую форму. Очевидно, что сумма вероятностей
яркостей всех пикселов должна равняться единице:
Вероятность попадания исходной яркости f i в интервал от 0 до m должна равняться вероятности попадания яркости
преобразованного изображения gk в интервал от 0 до n для всех m <= J, n < =K:
В случае конкретного изображения распределение в левой части заменяют на
гистограмму H(fj), поэтому
Решая это уравнение, можно найти требуемое преобразование gk=T{fj}. Решение записывается в виде таблицы, в которой для
каждого входного уровня fj указывается соответствующий выходной уровень gk.
2. Линейная пространственно-инвариантная фильтрация изображений
Реальные изображения наряду с полезной информацией содержат различные
помехи. Источниками помех являются собственные шумы фотоприемных устройств,
зернистость фотоматериалов, шумы каналов связи. Наконец, возможны
геометрические и радиометрические искажения, изображение может быть
расфокусировано (но расфокусировка не типична для спутниковых изображений с
разрешением 10 м и более); для изображений с разрешением 1 м и менее
турбулентность атмосферы приводит к размыванию мелких деталей при коротких
экспозициях; при экспозициях в несколько секунд искажения можно описать первым
членом ряда 5
Выражение 5
при h1(x, y) ~ exp
[-(x2 + y2)/α].
.1 Пространственные инвариантные операторы
Модель искаженного помехами непрерывного изображения имеет вид
f(x, y) = m(x, y) • Fs(x, y) + n(x, y),
где f(x, y) -
искаженное изображение; m(x, y) - мультипликативная помеха, модулирующая изображение по
яркости; F -
функционал, описывающий геометрические и радиометрические искажения, а также
расфокусировку; s(x, y) - исходное изображение; n(x, y) - аддитивная помеха,
накладывающаяся на изображение. Модуляция спутникового изображения по яркости
может наблюдаться из-за того, что атмосфера над различными точками Земли имеет
разную прозрачность, восходящее излучение от этих точек проходит различный путь
в атмосфере.
При реставрации изображений необходимо восстановить исходное изображение.
Выше рассмотрены методы устранения геометрических, радиометрических искажений,
атмосферной коррекции, восстановления пропущенных пикселов. Будем считать, что
эти искажения отсутствуют,
m(x, y) = 1. Таким образом,
f(x, y) = Fs(x, y) + n(x, y).
Результат реставрации s(x, y) = g(x, y) запишем как следствие воздействия
на f(x, y) некоторого оператора:
g(x, y) = Tf(x, y).
Оператор T (системный
оператор) указывает на правило, по которому «входному сигналу» f(x, y) ставится в
соответствие «выходной сигнал» g(x, y). Для того чтобы модель была полной, необходимо также
указать области допустимых значений f(x, y) и g(x, y). При реставрации применяют оператор Т, минимизирующей
расстояние между g(x, y) и s(x, y) при заданных статистических характеристиках случайных полей
s(x, y), n(x, y) и известном F. В качестве критерия близости g(x, y) и s(x, y) часто
используют критерий минимума среднеквадратической ошибки:
min
<[g(x, y) - s(x, y)]2 >.
В задачах улучшения изображений обычно считается, что n(x, y) = 0, функцией
оператора Т является сглаживание резких перепадов яркости, подчеркивание или
выделения контуров и т. п.
Мы будем рассматривать пространственно-инвариантные операторы, выходная
реакция которых не зависит от изменения начала отсчета по x и по y и от ориентации объектов на изображении. Первое
условие означает, что оператор переводит однородное случайное поле в
однородное. Второе условие означает, что оператор переводит изотропное поле в
изотропное. Отметим, что свойства пространственной инвариантности выполняются
строго, если области допустимых значений координат x, y попадают в интервал (-∞, ∞). Реальные
изображения имеют конечные размеры, A <= x
<= B; C <= y <= D,
условие пространственной инвариантности выполняется приближенно.
Оператор называется линейным, если для него справедлив принцип
суперпозиции - реакция на сумму сигналов f1(x, y) и f2(x, y) равна сумме реакций на каждое из воздействий в отдельности
T (f1(x, y) + f2(x, y)) = T f1(x, y) + Т f2(x, y),
для любого произвольного числа α справедливо:
Tαf(x, y) = αTf(x, y).
Свойства линейности выполняются строго, если области допустимых значений
яркости f, g попадают в интервал (-∞, ∞). При цифровой
обработке яркость - величина вещественная, неотрицательная и ограниченная,
обычно 0<=f, g<= 255. Если каждому g(x, y) отвечает единственное f(x, y), то оператор Т может быть
представлен в виде функционального степенного ряда (ряда Вольтера).
Выражение 5
Здесь интегрирование ведется по всей области, где определены x, y; записаны два члена ряда Вольтера (линейный и квадратичный);
весовые множители
называются ядрами Вольтера первого и второго порядка.
Рис. 11. Пример функции рассеяния точки
Выражение 5, где интегрирование ведется по всей области определения x и y, характеризует преобразование всего изображения целиком -
глобальную фильтрацию. Можно обрабатывать изображение по частям, в этом
случае осуществляется локальная фильтрация.
Ядро первого порядка h1(x, y, x', yr) в оптике именуют функцией рассеяния точки
(ФРТ). Это изображение точечного источника на выходе оптической системы,
которое уже является не точкой, а некоторым пятном. В соответствии с выражением
5, первый член, все точки изображения f(x', y') превращаются в пятна, происходит суммирование
(интегрирование) всех пятен. Не следует думать, что эта процедура обязательно
приводит к расфокусировке изображения, наоборот, можно подобрать такую ФРТ,
которая позволит сфокусировать расфокусированное изображение. На рис. 11
представлена одна из возможных ФРТ.
Для того чтобы для ФРТ выполнялось условие пространственной
инвариантности, т. е. чтобы ФРТ не изменялась при изменении начала отсчета по x и по y, она должна иметь вид h1(x, y, x', yr) = h1(x -x', y -y') В этом случае h1(x, y, x', y') = h1(x + x0,
y + y0,
x' + x0,
y' + y0 ).
Кроме того, ФРТ должна обладать осевой симметрией.
При обработке растровых изображений на прямоугольной сетке проще всего
реализовать ФРТ конечных размеров в виде прямоугольной матрицы форматом NxN, например, 3x3:
Только три элемента матрицы размером 3x3 независимы, в этом случае
матрица инвариантна относительно поворотов, кратных 90°. Опыт обработки
изображений показывает, что отсутствие более строгой осевой симметрии ФРТ слабо
сказывается на результатах. Иногда используют 8-угольные матрицы, инвариантные
относительно поворотов на 45°.
.2 Линейные преобразования в частотной плоскости
Важнейшей особенностью линейного оператора является то обстоятельство,
что он не изменяет формы входного синусоидального сигнала s(t) = A cos (ωt + φ), меняется только амплитуда A и фаза φ. Если же сигнал имеет
несинусоидальную форму, то форма сигнала может сильно измениться. С
математической точки зрения, синус и косинус являются собственными функциями
линейной системы. Это обусловило широкое использование интеграла Фурье и ряда
Фурье при линейной обработке сигналов и расширяющееся применение при обработке
изображений. В частности, при обработке изображений существенно упрощается
процедура глобальной фильтрации.
Пусть f(x, y) - функция двух
переменных, определенная на интервалах (-∞ < x < ∞), (-∞ < y < ∞) и удовлетворяющая
условию абсолютной интегрируемости:
Тогда существует интеграл Фурье, это означает следующее:
Выражение 6.
Выражение 7. Комплексная экспонента является линейной комбинацией синуса
и косинуса:
где i - мнимая
единица.
Выражение 6 носит название прямого, а 7 - обратного преобразования Фурье.
Переменные x и y - это координаты; u и v называются пространственными
частотами; функция F(u, v) - спектром пространственных частот или спектром.
Используя преобразование Фурье, мы переходим от координатной плоскости (x, y) к
частотной плоскости (u, v). Преобразование Фурье линейное, так как интеграл -
линейная функция. Переход в частотную плоскость имеет смысл, так как некоторые
свойства у спектра проще, чем у функции f(x, y), описывающей распределение
яркости в координатной плоскости. Пусть, например, требуется найти результат
глобального линейного преобразования некоторого изображения:
Выражение 8. В координатной плоскости для этого требуется вычислить
интеграл типа свертки (8), что часто бывает достаточно сложно. Если ввести
частотный коэффициент передачи K(u, v), который на практике для ФРТ всегда
существует и который связан парой преобразований Фурье с ФРТ:

Выражение 10. то в плоскости пространственных частот (8) сведется к
перемножению функций F
(u, v) и K(u, v):
Выражение 11. G(u, v) -
спектр после линейного преобразования.
Спектр F
(u, v) от вещественной функции f(x, y) является комплексной функцией. Для
пространственно-инвариантных ФРТ частотный коэффициент передачи K(u, v) всегда
вещественный и инвариантный относительно поворотов вокруг начала координат.
Реальное растровое изображение fn,m имеет
конечные размеры A<= x<=B, C<=y<=D и состоит из отдельных пикселов,
расположенных с некоторым шагом в узлах прямоугольной сетки. В этом случае для
перехода в частотную плоскость применяется двойное дискретное преобразование
Фурье (ДДПФ):
Здесь N - число пикселов по x; M
- число пикселов по y. Величины Fp,qназываются коэффициентами ДДПФ, которые вычисляют следующим
образом: вначале в выражении (12) производится суммирование по n (по строкам), потом полученный
числовой массив суммируется по m (по столбцам), можно и наоборот. Разработан также
алгоритм, сводящий двумерное дискретное преобразование Фурье к одномерному.
Коэффициент Fo,o - это среднее значение яркости
изображения. Общее число комплексных коэффициентов Fp, q равно N • M, однако часть из них связана между собой. Если N -
четное число, например, то
звездочка означает комплексную сопряженность, так что число независимых
коэффициентов равно N • M/4.
Для вычисления ДДПФ согласно выражению (12) необходимо выполнить N2 • M2
операций с комплексными числами, что требует значительных затрат времени. Если
N = M = 512, то общее число операций составляет 5124 ≈
6,81010. С целью ускорения вычислений разработаны алгоритмы быстрого
преобразования Фурье (БПФ), отличающиеся логарифмической сложностью. При их
применении общее число операций оценивается как N logN • M logM, что для приведенного примера составляет 2•107
операций. Таким образом, вычисления ускоряются более чем в 3 000 раз.
Глобальная линейная фильтрация изображений в частотной плоскости
осуществляется умножением Fp, q на частотный коэффициент передачи
Кр, q. На рис. 12, а приведено изображение г.
Красноярска (спутник LNDSAT,
разрешение 30 м), на рис. 12, б - модуль ДДПФ этого изображения. На рис.
12, в показан результат глобальной фильтрации фильтром с коэффициентом
передачи Кр, q = exp
[-(р2 + q2)/r], который изображен на рис. 12, г (фильтром нижних частот).
Результат обработки фильтром верхних частот с коэффициентом передачи Кр, q = 1 - exp [-
(р + q )/r], который изображен на рис. 12, е, приведен на рис.
12, д.
Темный тон на изображении фильтров означает, что фильтр не пропускает
помеченные этим тоном частоты, белый означает пропускание. Фильтр нижних частот
сглаживает изображение, фильтр верхних частот выделяет контуры объектов на
изображении.
Рис. 12. Глобальная фильтрация: а - исходное изображение; б - модуль ДДПФ
этого изображения; в - результат обработки фильтром нижних частот; д -
результат обработки фильтром верхних частот; г - фильтр нижних частот; е -
фильтр верхних частот
.3 Применение линейной фильтрации в частотной плоскости
При линейной фильтрации изображений в частотной плоскости требуется
умножить спектр пространственных частот на частотный коэффициент передачи
согласно выражению (11) и выполнить два двумерных преобразования Фурье с
использованием алгоритма БПФ - прямое и обратное. Преобразование Фурье
осуществляется от всего изображения целиком, спектр F(u, v) хранит информацию обо всем изображении целиком,
поэтому мы говорим о глобальной фильтрации. В зависимости от выбора
коэффициента передачи К(и,v)
можно выделять изображение на фоне помех, улучшать и ухудшать резкость
изображения, выделять контуры объектов на изображении и т. п. Качество
обработки при этом несколько лучше, чем при локальной линейной фильтрации.
Типичной задачей глобальной фильтрации, не характерной для цифровой обработки
космических изображений земной поверхности, является восстановление
расфокусированных изображений. Запишем спектр такого изображения в виде1(u, v) = F(u, v) • К(и, v),
где F(u, v) - спектр
исходного изображения; К(и, v) - коэффициент передачи оптической системы, отвечающий ФРТ вида рис. 11.
Примеры расфокусированных изображений приведены на рис. 13.
Рис. 13. Обработки перепада яркости маской Н2
Очевидно, что для того чтобы определить F(u, v) по
известным F1(u, v) и
К(и, v), необходимо умножить F1(u, v) на К1(и, v) = 1/К(и, v). Эта процедура носит название инверсной фильтрации.
Задача инверсной фильтрации относится к числу обратных некорректных задач
математической физики. Во-первых, решение может не существовать. Во-вторых,
если решение существует, то может быть не единственным. Заметим, что функция
К(и, v) в некоторых точках может быть равна
нулю, тогда решение обращается в бесконечность. В-третьих, решение может быть
неустойчивым, т. е. небольшие вариации исходных данных могут привести к
существенным изменениям решения. Выходом из положения является регуляризация
решения. Коэффициент передачи записывается в форме
К1(и, v) = К(и, v) / [К2(и, v) + α γ(u, v)].
Выражение 14.
Здесь γ(и, v) -
стабилизирующая функция, например, γ(и, v) = и2 + v2 ; α - параметр регуляризации. Подбором α обычно удается достаточно
качественно восстановить расфокусированное изображение.
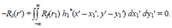
Фильтрация в частотной плоскости - эффективное средство для
восстановления изображений, искаженных аддитивным шумом. Пусть изображение s(x, y) наблюдается на фоне некоррелированного с s(x, y) шума n(x, y):
f(x, y) = s(x, y) + n(x, y).
Предполагается, что f(x, y), s(x, y) и n(x, y) - однородные и изотропные гауссовские случайные поля с
функциями корреляции Rf (r), Rs(r), Rn(r), соответственно, с нулевыми, средними и ограниченными
дисперсиями, Rs(r)=<s(x, y)s(x1, y1)>, остальные функции корреляции определены аналогичным
образом; аргумент r
= √(x - x1 )2 +(y - y1 )2
. Из математической статистики известно, что если и полезный сигнал (в нашем
случае это изображение), и шум имеют нормальный (гауссовский) закон
распределения, то самый лучший эффект фильтрации, по крайней мере, с учетом
минимума среднего квадрата ошибки обеспечивает линейный фильтр. Для выделения
изображения на фоне шума используем линейное преобразование
Требуется установить ФРТ h1(x, y),
обеспечивающую минимум среднего квадрата ошибки фильтрации ε2 = <|g(x, y) - s(x, y)|2 >. Находим, что
где
учтено, что <s(x, y)n(x1, y1)> = 0.
Пусть h1 мало отличается от оптимального
значения h1*, т. е. h1 = h1* + α-β(x, y), здесь α - неопределенный множитель Лагранжа;
β(x, y) - некоторая функция. Необходимое
условие минимума состоит в том, что dε/dα = 0 при α=0.
Таким образом,
Это равенство должно выполняться при произвольной β(x - x',
y - y'),
откуда
Выражение 15. Перейдем от функций корреляции к спектру мощности G(u, v) и от ФРТ к
частотному коэффициенту передачи К(и, v). Спектр мощности связан с функцией корреляции
преобразованием Фурье:
Выражение 16
Подстановка выражений (10) и (13) при Gf(u, v) = Gs(u, v) + Gn(u, v) в формулу (15) дает
оптимальный коэффициент передачи
Выражение 17. Фильтр с коэффициентом передачи (17) называется фильтром
Винера. Коэффициент передачи (17) обеспечивает минимальный средний квадрат
ошибки фильтрации при выделении одного случайного поля (сигнала) на фоне другого
случайного поля (шума) при условии, что оба поля однородные и изотропные с
гауссовским законом распределения значений яркости.
В случае, когда изображение вначале искажено из-за воздействия некоторого
линейного оператора, а затем на него наложен шум, возможно объединение функций
фильтра Винера и инверсного фильтра. Коэффициент передачи равен
K2(u, v) = 1/[i + К12(u, v)/K*(u, v)],
где К1(u, v) определяется выражением (14) при α = 0. Гомоморфный фильтр имеет
коэффициент передачи
K3(u, v) = K1(u, v)/ √1+ K21(u, v)/K *(u, v).
Его также называют обобщенным линейным фильтром.
.4 Линейная локальная фильтрация
На практике глобальная фильтрация применяется редко. Чаще используют
локальную фильтрацию, когда интегрирование и усреднение проводится не по всей
области определения x и y, а по сравнительно небольшой окрестности каждой точки
изображения. Функция рассеяния точки при этом имеет ограниченные размеры.
Достоинством такого подхода является хорошее быстродействие.
При обработке растровых изображений, которые состоят из отдельных
пикселов, интегрирование заменяют суммированием. Линейное преобразование в
случае локальной фильтрации принимает вид
суммирование ведется по некоторой окрестности D точки (i, j); αkl
- значения ФРТ в этой
окрестности. Яркости пикселов f в этой точке и в её окрестности умножаются на
коэффициенты αkl, преобразованная яркость (i,j)-гo пиксела есть сумма этих
произведений. Обычно набор коэффициентов αkl представляют в виде прямоугольной
матрицы (маски), например, размерности 3x3:
Элементы матрицы удовлетворяют условию пространственной инвариантности,
поэтому a11 = a13 = a31 = a33, a12 = a21 = a23 = a32 .
Фильтрация осуществляется перемещением слева направо (или сверху вниз)
маски на один пиксел. При каждом положении апертуры производятся упомянутые
выше операции, а именно перемножение весовых множителей αkl с соответствующими значениями
яркостей исходного изображения и суммированием произведений. Полученное
значение присваивается центральному (i,j)-му пикселу. Обычно это значение
делится на заранее заданное число K (нормирующий множитель). Маска содержит нечетное
число строк и столбцов, чтобы центральный элемент определялся однозначно.
Рассмотрим некоторые фильтры, сглаживающие шум. Пусть маска размером 3x3 имеет вид
Тогда яркость (i, j)-ro пиксела после фильтрации определяем по формуле
Хотя коэффициенты akl можно выбрать из среднеквадратического или иного условия
близости не искаженного шумом si, j и преобразованного gi, j изображений,
обычно их задают эвристически. Приведем еще некоторые матрицы
У фильтров Н1-Н4 нормирующие множители K подобраны таким образом, чтобы
не происходило изменения средней яркости обработанного изображения. Наряду с
масками 3x3 используются маски большей размерности, например, 5x5, 7x7 и т. п.
В отличие от фильтра Н2, у фильтров Н1, Н3, Н4 весовые коэффициенты на
пересечении главных диагоналей матрицы больше, чем коэффициенты, стоящие на
периферии. Фильтры Н1, Н3, Н4 дают более плавное изменение яркости по
изображению, чем Н2.
Пусть отсчеты полезного изображения мало меняются в пределах маски, а
отсчеты аддитивного шума случайны и независимы или слабо зависимы со
статистической точки зрения. В этом случае механизм подавления шума с
использованием приведенных фильтров состоит в том, что при суммировании шумы
компенсируют друг друга. Эта компенсация будет происходить тем успешнее, чем
большее число членов в сумме, т. е. чем больше размер (апертура) маски. Пусть,
например, используется маска NxN, в пределах её полезное изображение имеет постоянную
яркость f, шум - аддитивный, с независимыми значениями отсчетов nk,m, средним
значением μ = 0 и дисперсией σ2 в пределах маски (такой шум называют
белым). Отношение квадрата яркости (i, j)-гo пиксела к дисперсии шума, т.е.
отношение сигнал/шум, равно f2 /σ2 .
Средний квадрат яркости равен f2, средний квадрат интенсивности шума
Двойная сумма отвечает k = p, m = q, эта сумма равна σ2/N2 . Четырехкратная сумма равна нулю, так как отсчеты
шума при k
≠ p, m ≠ q независимы: <nk,m np,q>
= 0. Таким образом, в результате фильтрации отношение сигнал/шум становится
равным N2f
2/σ2 , т. е.
возрастает пропорционально площади маски. Отношение яркости (i, j)-гo
пиксела полезного изображения к среднеквадратическому отклонению шума
возрастает пропорционально N2.
Следовательно, использование маски 3x3 в среднем повышает отношение сигнала к
шуму в 9 раз.
При импульсной помехе механизм подавления состоит в том, что импульс
«расплывается» и становится мало заметным на общем фоне.
Однако часто в пределах апертуры значения полезного изображения все же
изменяются заметным образом. Это бывает, в частности, когда в пределы маски
попадают контуры. С физической точки зрения, все H1-H4 являются
фильтрами нижних частот (усредняющими фильтрами), подавляющими
высокочастотные гармоники и шума, и полезного изображения. Это приводит не
только к ослаблению шума, но и к размыванию контуров на изображении. Пусть,
например, на изображении имеется перепад яркости от 100 к 200 (рис. 14),
изображение обрабатывается маской Н2.
Если маска находится в положении а, когда в её пределы попадают
только значения яркости f = 100, то gi,j = 1/9 • 9 • 100 = 100.
Если маска находится в положении г, то gi, j = 1/9 • 9 • 200 = 200. Таким образом, в
этих случаях изменения яркости не происходит.
Рис. 14. Результаты обработки изображения сглаживающими фильтрами
Если же маска занимает положение б, то gij = 1/9 •(6 • 100 + 3 • 200) = 133. Для
положения маски в имеем: gij = 1/9 • (3 • 100 + б • 200) = 167.
Следовательно, резкий профиль перепада яркости 100-200 стал сглаженным:
100-133-166-200. Результат применения фильтра Н2 с размерами маски 3x3 и 7x7
можно видеть на рис. 13 (оригинал приведен на рис. 15).
Рис. 15. Обработка изображения оператором Лапласа: а - исходное
изображение; б - результат применения Н13
Рассмотренная выше фильтрация характеризовалась тем, что выходные
значения фильтра g
определялись только через входные значения фильтра f . Такие фильтры называются
нерекурсивными. Фильтры, в которых выходные значения g определяются не только через входные
значения f , но и через
соответствующие выходные значения, называются рекурсивными.
При рекурсивной фильтрации можно сохранять те же значения весовых
множителей, что и приведенные выше, существуют рекурсивные фильтры со
специально подобранными множителями. Элементы входного изображения в пределах
окна изменятся и примут вид
Рассмотрим динамику изменения весовых множителей на примере рекурсивного
фильтра первого рода с линейной маской размером в три пиксела. Пусть одномерный
низкочастотный, шумоподавляющий фильтр имеет весовые множители вида H1 = l/3 |l, l, l|.
При сдвиге апертуры фильтра на один пиксел вправо значения выхода фильтра
g2 = l/3
(gi + f2 + f3). Подставляя сюда значение gi = l/3 (f0 + f1 + f2),
можно заметить, что весовые и нормирующие множители изменились и приняли вид H2 = l/9|l, l, 4, 3|. Повторяя проделанное,
получим H3 = l/27 |l, l, 4, 12, 9|, H4 = l/81 |l, l, 4, 12, 36, 27|.
Если исходные весовые и нормирующий множители низкочастотного фильтра
имеют вид H1 = l/4 | l, 2, l|, то аналогично предыдущему случаю
можно определить H2 = l/l6 |l, 2,
9, 4|, H3 = l/64 |l, 2, 9, 36, 16 | и Н4 = l/26 |l, 2, 9, 36, 144, 64|. Таким образом, весовые и нормирующий множители
рекурсивного фильтра зависят от местоположения маски; рекурсивный локальный
фильтр позволяет учитывать все входные значения фильтруемого изображения, т. е.
приближается по своему действию к глобальному фильтру. Рекурсивный фильтр не
является пространственно-инвариантным.
Если изображение описывается авторегрессионной моделью, для выделения его
из шума можно использовать двумерный фильтр Калмана (ФК). Фильтр
Калмана, по существу, является вариантом фильтра Винера (ФВ). Фильтр Винера
оптимален при всех допустимых спектрах сигнала и шума, описываемых однородными
и изотропными гауссовским случайным полем. Как и ФВ, ФК обеспечивает
минимальный средний квадрат ошибки фильтрации изображения на фоне шума, но для
существенно более узкого класса случайных полей. ФК оптимален, когда сигнал
имеет экспоненциальную функцию корреляции и спектр мощности вида Gs(u, v) = l/[l + a(u + v )]. При этом у шума спектр мощности Gn(u, v) = const (такой шум называют белым).
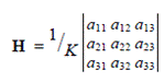
Один из вариантов фильтра Калмана предложил А. Хабиби. Для трехточечной
авторегрессионной модели оценка яркости (i,j)-го пиксела, по Хабиби, записывается как
где pl, p2 - коэффициенты корреляции между соседними элементами по
строке и столбцу; F, vi,j - коэффициенты, зависящие от дисперсии порождающего
процесса, дисперсии шума и pl,
р2. Очевидно, что это рекурсивный фильтр.
ФВ определен в частотной плоскости, фильтр Калмана - в плоскости
координат. Фильтр Винера относится к числу некаузальных это связано с
тем, что для вычисления преобразования Фурье используется вся плоскость
координат. Фильтр Калмана - каузальный, для формирования оценки сигнала он
использует область, показанную на. Отметим, что требование казуальности
вступает в противоречие с условием пространственной инвариантности. ФВ
обеспечивает несколько лучшее качество фильтрации, так как использует все
изображение целиком, а ФК - только текущий и предыдущие пикселы. Важнейшей
особенностью фильтра Калмана является быстродействие, он обеспечивает выделение
изображения на фоне шума в реальном времени. При обработке изображений
Земли, получаемых со спутников, ФК применяется редко, так как работа в реальном
времени, как правило, не требуется.
Линейные фильтры могут быть предназначены не для подавления шума, а для
подчеркивания перепадов яркости и контуров. Выделение вертикальных перепадов
осуществляется дифференцированием по строкам, горизонтальных - по столбцам.
Дифференцирование производится в цифровой форме:
Здесь Δx = l -
приращение вдоль строки, равное l
пикселу; Ay = l - приращение вдоль столбца, также равное l пикселу. Выделение перепадов по
диагонали можно получить, вычисляя разности уровней диагональных пар элементов.
Для выделения перепадов используются следующие наборы весовых множителей,
реализующих двумерное дифференцирование:
Название географических направлений свидетельствует о направлении склона
перепада, вызывающего максимальный отклик фильтра. Сумма весовых множителей
масок равна нулю, поэтому на участках изображения с постоянной яркостью эти
фильтры дают нулевой отклик.
Выделение горизонтального перепада можно выполнить также путем вычисления
приращения разности яркостей пикселов вдоль строки, что равноценно вычислению
второй производной по направлению (оператор Лапласа):
Это отвечает одномерной маске H = |-l 2 -l|, сумма весовых множителей равна нулю. Таким же образом
можно искать перепады по вертикали и по диагонали. Для выделения перепадов без
учета их ориентации используются двумерные операторы Лапласа:
Здесь сумма весовых множителей также равна нулю. На рис. 15 приведено
исходное изображение и результат применения оператора Лапласа Н13.
Операторы Лапласа реагируют на перепады яркости в виде ступенчатого
перепада и на «крышеобразный» перепад. Они также выделяет изолированные точки,
тонкие линии, их концы и острые углы объектов. Линия подчеркивается в 2 раза
ярче, чем ступенчатый перепад, конец линии в 3 раза ярче, а точка - в 4 раза.
Оператор Лапласа выделяет в основном неструктурированные элементы, поэтому он
чувствителен к шуму. Хотя подчеркивание перепадов с помощью оператора Лапласа
происходит без учета их ориентации, оператор Лапласа не инвариантен к
ориентации перепадов: например, отклик оператора на наклонный перепад в
диагональном направлении почти вдвое больше, чем в горизонтальном и
вертикальном.
С физической точки зрения, фильтры H5-H15 являются
фильтрами верхних частот, они выделяют высокочастотные составляющие
полезного изображения, ответственные за перепады яркости и контуры, и подавляют
«постоянную составляющую». Однако при их использовании уровень шума на
изображении возрастает.
Фильтры для выделения перепадов и границ, как и фильтры H1-H4 для подавления шума, могут быть рекурсивными.
Изображение с подчеркнутыми границами (контурами) субъективно
воспринимается лучше, чем оригинал. При использовании оператора Лапласа для
этих целей применяют три типовых набора весовых множителей:
Фильтры H16-H18 отличаются от фильтров H13-H15
тем, что к центральному элементу матрицы прибавлена l, т. е. при фильтрации исходное изображение накладывается на
контур.
Для авторегрессионной модели изображения существуют эффективные алгоритмы
подчеркивания контуров и перепадов яркости. При трехточечной схеме
авторегрессии весовые множители фильтра 3x3 имеют вид
где pl, p2 - по-прежнему коэффициенты корреляции между соседними
элементами по строке/столбцу. При Pl = P2 = 0 все весовые множители равны
нулю, кроме центрального, который равен 1, маска не изменяет исходного
изображения. При pl = р2 = l маска переходит в оператор Лапласа H15.
Для повышения помехоустойчивости при выделении и наложении контуров, для
устранения эффекта размывания контуров при подавлении шума следует переходить к
нелинейной обработке.
Как указывалось, если и полезный сигнал (в нашем случае это изображение),
и шум имеют нормальный закон распределения, то самый лучший эффект фильтрации
(получение минимума среднего квадрата ошибки) обеспечивает линейный фильтр.
Реальные изображения по своим статистическим характеритикам часто не
соответствуют нормальному закону распределения, и потому оптимальный алгоритм
следует искать среди нелинейных алгоритмов фильтрации.
3. Нелинейная фильтрация изображений
Нелинейная фильтрация лишена некоторых недостатков линейной фильтрации.
Особенно это проявляется при выделении контуров объектов на изображении.
.1 Медианная фильтрация
Примером нелинейного фильтра для подавления шума, построенного из
эвристических соображений, служит медианный фильтр. Метод медианной
фильтрации, а также алгоритмы экстремальной фильтрации, использующие
значения минимума и максимума текущей окрестности, относятся к так называемым
ранговым методам фильтрации.
В общем случае ранговая фильтрация может быть представлена в виде функции
членов вариационного ряда Vl,
..., Vn значений
элементов текущей окрестности. Вариационным рядом Vl, ..., Vn выборки fl, ..., fn
называют упорядоченную по не убыванию последовательность элементов выборки, т.
е. Vl = min(f1, ...,fn), Vn = max(f1, ...,fn) и т. д. В
нашем случае выборка берется по (k, l)-окрестности точки с координатами
(i, j) .
Окрестность, как и выше, задается некоторой маской.
Максимальная фильтрация gij = max{fi+k,j+k} обладает следующими свойствами:
независимость от ориентации импульсов, сохранение резкости, независимость от
отрицательных выбросов, что дает возможность устранять помехи изображения,
обусловленные дефектными пикселами, строками и/или столбцами. Присвоение (i,/)-му пикселу максимального по окрестности значения -
операция нелинейная.
Минимальная фильтрация gij = min{fi+k,j+k} также не зависит от ориентации
импульсов и сохраняет резкость. Кроме этого, минимальная фильтрация
нечувствительна к положительным выбросам. Минимальная фильтрация сужает размеры
импульсов, делает линии более тонкими, что дает возможность частично исправлять
искажения типа дефокусировки. Присвоение (i,j)-му пикселу минимального по окрестности значения яркости -
операция также нелинейная.
Медианная фильтрация gij = Me{fi+k,j+k} сочетает в себе многие полезные
свойства максимального и минимального фильтров, нечувствительна как к
отрицательным, так и к положительным выбросам. При медианной фильтрации (i,/)-му пикселу присваивается медианное значение
яркости, т. е. такое значение, частота которого равна 0,5. Пусть, например,
используется маска 3x3, в пределы которой наряду с более или менее равномерным
фоном попал шумовой выброс, этот выброс пришелся на центральный элемент маски
Вариационный ряд имеет вид 63, 66, 68, 71, 74, 79, 83, 89, 212. В данном
случае медианное значение - пятое по счету (выделено), так как всего чисел в
ряду 9. При медианной фильтрации значение 212, искаженное шумовым выбросом,
заменяется на 74, выброс на изображении полностью подавлен. На рис. 16
приведено исходное изображение и результат применения медианного фильтра, для
сравнения показано действие линейного фильтра.
Медианный фильтр обладает некоторыми чертами линейного фильтра:
где α и с0 - постоянные величины. Однако принцип суперпозиции
не выполняется:
т. е. это нелинейный фильтр. Функция рассеяния точки для медианного
фильтра есть нуль. При размерах окна (2k + l)*(2k + l) происходит полное подавление помех, состоящих не более чем
из 2(k2 + k)-пикселов, а также тех, которые пересекаются не более чем с
k строками или k столбцами. При этом не изменяется
яркость в точках фона. Разумеется, при медианной фильтрации может происходить
искажение объекта на изображении, но только на границе или вблизи нее, если
размеры объекта больше размеров маски. Фильтр обладает высокой эффективностью
при подавлении импульсных помех, однако это качество достигается подбором
размеров маски, когда известны минимальные размеры объектов и максимальные
размеры искаженных помехой локальных областей. На случайный шум с нормальным
законом распределения такой фильтр воздействует слабее, чем линейный
усредняющий фильтр (приблизительно на 60 % менее эффективно).
Вариационный ряд Vl, ..., Vn текущей
окрестности может быть использован для синтеза так называемых L-фильтров. L-фильтр в общем случае дает оценку gi,j полезного сигнала как некоторую функцию от членов
вариационного ряда gi,j = F(Vl, ..., Vn). Аналогично случаю линейной фильтрации, различают
линейную L-фильтрацию (функция F линейная), квадратичную L-фильтрацию (функция F квадратичная) и т. д.
Задача синтеза L-фильтра
решается так же, как и в случае линейной, квадратичной фильтрации. При этом
возникает необходимость определения начальных моментных функций членов
вариационного ряда. Эти моменты вычисляются на основе заданных эталонных
импульсов, которые выделяются на изображении.
Рис. 16. Результаты сравнения нелинейной и линейной фильтрации: а -
исходное изображение; б - медианный фильтр, окно 3x3; в -
σ-фильтр, окно 7x7;
г - линейный фильтр Н2, окно 5x5
.2 Сигма-фильтр
Помимо ранговых алгоритмов фильтрации, при нелинейной обработке
изображений находят применение пороговые алгоритмы, наиболее известным
из которых является σ-фильтр.
Идея построения σ-фильтра основана на том, что закон распределения шума
можно приближенно считать гауссовским. Часто шум обусловлен многими
независимыми или слабо зависимыми факторами. Известно, например, что сумма
небольшого числа (5-6) независимых равномерно распределенных слагаемых в
достаточно хорошей степени подчиняется гауссовскому закону распределения.
Свойство нормализации закона распределения суммы независимых случайных величин
(при условии равномерно малого вклада слагаемых в сумму) следует из центральной
предельной теоремы теории вероятностей. Предположение о гауссовском характере
закона распределения суммы выполняется тем лучше, чем большее число факторов ее
обуславливают.
Для гауссовского распределения 95,5 % его значений лежит в пределах
отклонений от среднего значения, меньших 2σ. В соответствии с алгоритмом σ-фильтра оценивается среднее значение
и среднеквадратическое отклонение яркостей в пределах достаточно большой маски;
пикселы, имеющие яркость выше этого допуска, исключаются. Конечно, это
нелинейная операция. Вместо исключенных пикселов подставляется среднее по
окрестности, возможна интерполяция с использованием схемы авторегрессии.
Выбранный допуск не настолько велик, чтобы исказить пикселы, принадлежащие
крутым кромкам и мелким деталям и слабо искаженные шумом. Наиболее успешно σ-фильтр справляется с импульсными
помехами в виде точек небольшой площади. Вероятность того, что такая помеха
попадет на контур, обычно невелика, при использовании σ-фильтра искажения контуров
практически не происходит. В этом заключаются его преимущества по сравнению с
линейным, медианным, L-фильтрами.
Однако преимущества а-фильтра заметнее всего проявляются, когда распределение
шума на изображении близко к нормальному. Результат действия σ-фильтра можно видеть на рис. 16, в.
Сигма-фильтр может быть реализован также в рекурсивной форме.
При использовании обратно-градиентного фильтра вычисляется взвешенное
среднее с коэффициентами, обратно пропорциональными модулю градиента
изображения в соответствующей точке. Основное преимущество обратно-градиентных
фильтров - сглаживание однородных областей с сохранением границ между ними.
.3 Нелинейные градиентные фильтры
дифференцирование производится с помощью одного из выражений
В фильтре Собела используется окно 3x3:
Центральному (i, /)-му пикселу
вместо f, j присваивается значение яркости
где
На рис. 17 показаны результаты применения фильтров Робертса и Собела к
изображению, представленному на рис. 15. При логарифмическом методе
выделения контуров используют оператор Лапласа H13, причем вместо яркостей подставляют их логарифмы.
Производят сравнение логарифма яркости центрального пиксела, умноженного,
согласно H13, на 4, с логарифмами яркости
четырех его соседей:
(i,j)-й пиксел относят к контуру или перепаду яркости, если величина
его логарифма яркости превосходит среднее значение логарифма яркости четырех
его ближайших соседей, т. е. когда L > 0. Выражение для L может быть переписано в виде
Выражение 18. При использовании формулы (18) необходимо предварительно
принять меры, чтобы знаменатель был больше единицы и, во всяком случае, больше
нуля. Логарифмирование уменьшает диапазон возможных значений яркости, поэтому
выражение (18) следует применять там, где требуется выделять незначительные
перепады яркости («рябь» на изображении)
Рис. 17. Результаты обработки изображения нелинейными градиентными
фильтрами: а - фильтр Робертса; б - фильтр Собела
Пусть изображение искажено мультипликативной помехой, приводящей к
ослаблению (усилению) яркости в отдельных участках. Причиной такого рода
искажений при исследовании Земли из космоса могут быть неоднородные по
поглощению участки атмосферы. Величина L нечувствительна к мультипликативным помехам, если в
пределах окна яркости всех пикселов изменяются в одинаковое число раз:
При функциональной фильтрации происходит вычисление обобщенного
среднего. В самом общем виде под функциональной фильтрацией понимаются
преобразования вида
где α - коэффициент, вводимый для сохранения средней
яркости; n - число
пикселов текущей области D.
До настоящего времени исследованы не все допустимые классы функции F. Некоторые виды таких преобразований
(F = f 2, F = f 1/2)
используются в системах технического зрения роботов. Достаточно общий и широкий
класс функциональных фильтров образует обобщенное усреднение по Колмогорову
(степенное среднее), что соответствует F = fp.
Особенностью функционального фильтра является то, что резкие границы
изображения приобретают форму F-1(n), где n - нормаль к границе, направленная в сторону больших
значений. Например, класс линейных преобразований переводит прямоугольный
импульс в трапециевидный. Класс обобщенно-усредняющих фильтров в качестве
крайних случаев включает в себя экстремальные (т. е. минимальный и
максимальный) фильтры. Минимальному фильтру соответствует p→∞, максимальному - p→∞.
Иногда в задачах обработки изображений может оказаться полезным
применение функциональных фильтров типа степенного среднего с взаимно обратными
показателями: p
и 1/p. Эти фильтры могут применяться для
целенаправленного изменения формы локальных минимумов или максимумов на
изображении. Например, среднеквадратичный фильтр F = f 2 обостряет локальные максимумы и сглаживает
локальные минимумы. В свою очередь, фильтр с обратным показателем p = 1/2, наоборот, обостряет локальные минимумы и
сглаживает локальные максимумы.
.4 Кепстральная обработка
Вернемся к задаче выделения изображений на фоне помех. Модель искаженного
помехами изображения записывается в виде
где s(x, y) - полезное изображение; m(x, y) - мультипликативная помеха; n(x,y) - аддитивная помеха. Выше рассмотрены линейные и
нелинейные методы устранения аддитивных помех на изображении. Это достаточно
эффективные методы. Труднее бороться с мультипликативными помехами, которые
могут быть обусловлены, например, различной прозрачностью участков атмосферы.
Если величина мультипликативной помехи m(x, y) постоянна в пределах объекта на изображении, то с
успехом может быть применен логарифмический фильтр, работающий в плоскости
координат. Пример такого фильтра, предназначенного для выделения контуров при
наличии мультипликативной помехи, приведен в выражении (18).
Сложнее устранить помеху, которая образует свертку с сигналом:
Выражение 19. изображение имеет конечные размеры: A <= x <= B; C <= y <= D. Если перейти в плоскость пространственных частот, то
вместо выражения (19) имеем
Выражение 20.
где F(u, v), S(u, v), M(u, v) - преобразование Фурье от fx, y), s(x, y), m(x, y) соответственно. F(u, v) и
S(u, v) -
пространственные спектры искаженного и истинного изображения. Прологарифмировав
выражение (20), получим
Для вещественных функций f(x, y) и
s(x, y) спектры являются комплексными:
где Fl(u, v), F2(u, v) -
действительная и мнимая части; \F (u, v)\ - модуль; ф(и, v) - фазовый спектр;
Выражение 21. изображения s(x, y) имеем
если m(x, y) описывает
пространственно-инвариантное преобразование, то
пространственно-неинвариантных преобразований
Таким образом, для пространственно-инвариантного случая
для пространственно-неинвариантного случая
Кепстр определяется соотношением:
Здесь символом F-1 обозначено обратное преобразование
Фурье. Кепстр является вещественной четной функцией (слово «кепстр» получено
путем перестановки букв в слове «спектр»).
Используя кепстр и оценив фазовый спектр согласно выражению (21), вместо
исходного изображения f(x, y) получаем преобразованное:
Выражение 22. Важной проблемой при кепстральном анализе является
восстановление фазового спектра. Теоретически при пространственно-инвариантном
преобразовании (19) должно было бы быть μ(u, v) = φ(u, v). Однако реально существует проблема восстановления
фазы. Дело в том, что выражение (21) позволяет определить фазовый спектр
φ(u, v)
только в интервале [-π, π]. Если функция φ(u, v) достигнет π, то произойдет перескок фазы на
минус π вместо монотонного изменения.
Разработаны различные методы восстановления фазы, которые используются и в
случае пространственно-неинвариантного преобразования.
Замечательной особенностью кепстра является то, что он, согласно
выражению (22), переводит мультипликативную помеху, «запрятанную» в свертку, в
помеху аддитивную, методы борьбы с которой хорошо разработаны.
.5 Фильтры, использующие ряд Вольтерра
К числу перспективных относятся фильтры, использующие ряд Вольтера (5).
При цифровой обработке вместо интегрирования используется суммирование:
Суммирование проводится по некоторой окрестности точек (i, j) и (m, n), задаваемой в виде квадратной маски
с нечетным числом строк и столбцов N. Ядро первого порядка задается в
виде матрицы H, похожей на матрицы H1-H4. Ядро второго порядка h2 - это блочная матрица NxN, составленная, в свою очередь, из простых матриц
такой же размерности. Если окрестность задана маской 3x3, то при вычислении
второго члена ряда Вольтерра необходимо перемножить 9x9 = 81 значения яркости,
каждое из таких произведений умножается на весовой коэффициент h2(i, j, m, n), число которых равно также 81. Результат суммирования
упомянутых двух членов ряда Вольтерра присваивается (i,j)-му пикселу
обработанного изображения. При выборе h1(i, j) и h2(i, j, m, n) учитываются условия симметрии, этот набор
коэффициентов должен удовлетворять условию пространственной инвариантности, в
частности быть инвариантен к произвольным поворотам вокруг точки (i, j).
Как и в случае линейных фильтров Н1-Н18, в составе H есть только 3 независимых
коэффициента. Часть членов в матрице коэффициентов h2(i, j, m, n) также совпадают,
например, члены при fiffmn и fmnfij должны
быть одинаковыми. Кроме того, из условия изотропности оператора Вольтерра
следует, что матрица коэффициентов h2(i, j, m, n) не должна измениться, если исходное изображение
повернуть на произвольный угол. На практике при прямоугольных окнах удается
добиться инвариантности только при поворотах, кратных 90° (достаточно
рассмотреть три последовательных поворота на 90°). Поэтому матрица содержит
лишь 11 независимых коэффициентов.
Основная проблема при синтезе вольтеровских фильтров - выбор ядер. В
частности, они могут быть найдены из условия минимума среднего квадрата ошибки
фильтрации: min <[g(x, y) - s(x, y)]2 >, однако, как и в случае линейной фильтрации,
ядра чаще подбираются эвристически.
Фильтры, использующие ряд Вольтерра, позволяют эффективно подавлять
помехи на изображении и одновременно осуществлять контрастирование, выделять
контуры.
Ниже в качестве примера приведен фильтр для подавления шума на
изображении при сохранении резкости (резкость сохраняется благодаря наложению
контуров на отфильтрованное изображение), используются операторы первого и
второго порядка, маска hl(i, j) представлена в виде таблицы 3x3, маска h2(i, j, m, n) - в виде таблицы 9x9. При обработке по изображению
пробегает окно 3x3. Пусть в него попали пикселы с яркостью f11,f12,f12 и т. д.:
Линейная фильтрация выполняется по обычному правилу. Нелинейный член
осуществляет следующие операции. Значение яркости пиксела f11, попавшее в окно 3x3, умножается
последовательно на все fij из
этого окна с весами h2(i, j, m, n), взятыми из первой строки таблицы:
Так, произведение f11f11 умножается
на минус 0,0009, произведение f11*f12 - на 0,0001 и т.д. Значение яркости
пиксела f12 последовательно перемножается с
весами h2(i, j, m, n), взятыми из второй строки. Процесс продолжается, пока не
будут получены все 9x9 = 81 произведения. Сумма произведений присваивается
центральному элементу окна, т. е. f22.
Матрица весовых коэффициентов h1(i, j) имеет вид
Коэффициенты h1(i, j) подобраны таким образом, чтобы подавлять шум в виде точек
на изображении. Пусть такая точка имеет интенсивность 200 и наблюдается на фоне
100. В результате воздействия оператора первого порядка шумовой выброс
расплывается, интенсивность его лежит в пределах от 102 до 120; контуры на
изображении также расплываются. Оператор второго порядка выделяет контуры без
заметного увеличения шумовых выбросов. Результат применения этого фильтра к
изображению, показанному на рис. 15, можно видеть на рис. 18.
Рис. 18. Изображения, обработанные с помощью ряда Вольтерра
Процедуры нелинейной фильтрации богаче по возможностям, оказываются более
гибкими при изменениях характеристик полезного сигнала и шума. Выбор типа
фильтра (линейного или нелинейного, вида нелинейного) зависит от специфики
решаемой задачи, от наличия априорных сведений о свойствах полезного сигнала и
шума, от требований к качеству изображения, от ресурсов вычислительной системы.
Заключение
В настоящее время цифровая обработка изображений относится к числу
наиболее динамично развивающихся информационных технологий и находит применение
в робототехнике, полиграфии, медицине, физическом материаловедении и т. д.
Современные спутниковые методы позволяют получать не только изображение
Земли. Используя приборы, чувствительные к полосам поглощения атмосферных
газов, удается измерять концентрацию, в том числе для газов, вызывающих
парниковый эффект, вредных газов природного и антропогенного происхождения,
несмотря на их относительно малое количество. Спутник «Метеор-3» с
установленным на нем прибором TOMS
позволял за сутки оценить состояние всего озонового слоя Земли. Спутник NOAA кроме получения изображений
поверхности дает возможность исследовать озоновый слой и даже изучать
вертикальные профили атмосферы (давление, температура, влажность на разных
высотах в сотнях точек в полосе обзора).
В этой работе рассмотрены основные методы цифровой обработки изображений,
в примерах используются спутниковые изображения Земли, полученные оптическими и
радиолокационными методами.
Приложение
. Спутник NOAA (США).
Метеорологические и природоведческие спутники NOAA имеют длину 4,18 м, диаметр 1,88 м, массу на орбите 1
030 кг. Высота круговой орбиты составляет 870 км, 1 виток спутник совершает за
102 мин. Площадь солнечных батарей спутника 11,6 м2, мощность батарей не менее
1,6 кВт, но со временем батареи деградируют из-за воздействия космических лучей
и микрометеоров. Для нормальной работы спутника необходимо не менее 515 Вт.
Спутник NOAA
В настоящее время на орбите функционирует несколько спутников. Сканер AVHRR спутника NOAA-14 с цилиндрическим сканированием имеет 8-дюймовую
(20 см) оптическую систему Кассегрена, сканирование осуществляется путем
вращения с частотой 6 об/с зеркала из бериллия. Угол сканирования ±55°, полоса
обзора около 3 000 км. Из-за кривизны Земли зона радиовидимости спутника с
земной поверхности составляет ±3 400 км, поэтому за один проход спутника
удается получить информацию с поверхности размером около 3 000x7 000 км.
Постоянное присутствие 3-4 работоспособных спутников на орбите позволяет
несколько раз в сутки проводить мониторинг различных участков Земли. Несмотря
на низкое пространственное разрешение, сканер дает возможность оперативно
обнаруживать лесные пожары среднего размера.
Спектральные каналы сканера выбраны так, что они попадают на окна
прозрачности атмосферы:
1) 0,58-0,68
мкм (красный участок спектра);
2) 0,725-1,0
мкм (ближний ИК);
3) 3,55-3,93
мкм (участок ИК-диапазона, в который попадает излучение от лесных и других
пожаров);
4) 10,3-11,3
мкм (канал для измерения температуры поверхности суши, воды и облаков);
5) 11,4-12,4 мкм (канал для измерения температуры поверхности суши, воды и
облаков).
На спутниках последних модификаций установлен дополнительный канал на
длину волны около 1,6 мкм для распознавания снега и льда.
В 1-м и 2-м каналах в качестве детекторов излучения применяются
кремниевые фотодиоды. В 4-5-м каналах установлены охлаждаемые до 105 К
фоторезисторы на основе (HgCd)Te, в 3-м канале - охлаждаемый
фоторезистор на основе InSb.
На спутнике NOAA, как и на других спутниках,
предусмотрена бортовая калибровка датчиков.
Сканер AVHRR имеет мгновенное поле зрения во всех
каналах Аф = 1,26-10 рад, разрешение на местности в подспутниковой точке
выбрано AL = 1,1 км. Это связано с тем, что
скорость спутника на орбите составляет 7,42 км/с, его проекция движется по
поверхности Земли со скоростью 6,53 км, сканер делает 6 сканов/с, за время
одного скана проекция перемещается на l = 6,53/6 км = 1,09 км ~ 1,1 км.
Указанному полю зрения в подспутниковой точке соответствует пиксел размером
1,1x1,1 км. Сигналы каждого канала квантуются на 1 024 уровня (10-битное
квантование). Передатчик спутника имеет мощность 5,5 Вт на частоте 1 700 МГц.
Скорость передачи цифровой информации со сканера AVHRR составляет 665,4 кбит/с.
2. На спутнике установлена аппаратура HIRS для определения температуры в тропосфере на разных
высотах (вертикальные профили атмосферы) в полосе обзора 2 240 км. Для этого HIRS содержит автоматический сканирующий
спектрофотометр ИК-диапазона, использующий свойство углекислого газа изменять
положение и ширину линии поглощения на длинах волн порядка 14-15 мкм в
зависимости от давления. Этот же прибор позволяет оценивать общее содержание
озона в столбе атмосферы по поглощению теплового излучения от поверхности Земли
и атмосферы на длине волны 9,59 мкм. И вертикальные профили, и ОСО вычисляются
на приемном конце путем решения обратных задач.
3. Коэффициенты
влияния атмосферы: <#"536558.files/image099.gif">
5. Данные
по τ над морями и океанами помещены в сети Интернет по
адресу: <http://las.saa.noaa.gov/las-bin/climate_server/>
Список использованной литературы
1. Кашкин. В. Б. Дистанционное зондирование Земли из космоса.
Цифровая обработка изображений / В. Б. Кашкин. А. И. Сухинин. - М. : Логос,
2001.-264 с.
2. Гонсалес. Р. Цифровая обработка изображений ' Р. Гонсалес. Р.
Вудс. М. : Техносфера. 2006. - 1072 с.
3. Цифровая обработка аэрокосмических изображений учеб. пособие
/ В. Б. Кашкин, А. И. Сухинин. - Красноярск : ИПК СФУ, 2008