Квалиметрия. Стандартизация ЖК телевизоров

  • Вид работы:
    Контрольная работа
  • Предмет:
    Маркетинг
  • Язык:
    Русский
    ,
    Формат файла:
    MS Word
    185,11 kb
  • Опубликовано:
    2011-11-01
Вы можете узнать стоимость помощи в написании студенческой работы.
Помощь в написании работы, которую точно примут!

Квалиметрия. Стандартизация ЖК телевизоров

Министерство образования науки и РФ

Государственное образовательное учреждение

Высшего профессионального образования

«Сибирский государственный аэрокосмический университет Имени академика М. Ф. Решетнева»







Контрольная работа

На тему: «Квалиметрия. Стандартизация ЖК телевизоров»

Выполнил: студентка гр. ЭЗ - 91

Морозова О. Н.

Преподаватель: Жирнова Е. А.






Красноярск 2011

Содержание

Введение

.        Оценить технический уровень 5 различных моделей ЖК телевизоров

.        Оценка уровня качества прод. дифференциальным методом

.        Построение графика полиметрических показателей

.        Комплексный метод оценки качества продукции

.        Экспертная оценка показателей качества

.        Усечённое дерево качеств

.        Иерархическое дерево качеств

.        Сравнительная таблица для усеченного и иерархического дерева качеств

Заключение

Приложение

Введение

Квалиметрия - это наука об измерении и количественной оценки качества всевозможных предметов и процессов, т.е. объектов реального мира.

Квалиметрия является частью качествоведения - комплексной науки о качестве, состоящей из квалинтологии, т.е. общей теории качества, квалиметрии и учений об управлении качеством, в котором рассматриваются организационные, экономические и иные методы и средства влияния на качество объектов с целью повышения их способности удовлетворять существующие и будущие потребности людей.

Объектом квалиметрии может быть все, что представляет собой нечто цельное, что может быть вычленено для изучения, исследовано и познано.

Предметом квалиметрии является оценка качества в количественном его выражении.

Целью данной курсовой работы является рассмотрение вопросов нормативов и стандартизации ЖК телевизоров, а также оценка уровня качества образцов продукции.

1. Оценить технический уровень 5 различных моделей ЖК телевизоров

Относительные показатели приведены в таблице 1.

Таблица 1.

Абсолютный показатель

LG

BBK

Sharp

Hyundai

Philips

Частота смены кадров, сек.

50

50

50

50

105

Угол обора по горизонтали, (0)

178

160

160

160

178

Угол обзора по вертикали, (0)

178

170

170

170

178

Мощность звука, Вт

20

6

6

6

20

Ширина, см

50.4

35.42

34.3

40

50.8

Высота, см

79.5

47.6

47

79.6

Глубина, см

7.4

11.5

19

18

9.3

Вес, кг

8.1

4.2

4

6

8.3









.Выбрать базовый образец продукции

Базовый образец - характеризует реально достижимую совокупность оптимальных значений показателей качества.

Показатель качеств базового образца принимается за основу при сравнительной оценки качества продукции.

В данной работе в качестве базового образца я взяла модель Philips

. Оценка уровня качества прод. дифференциальным методом

ДМ - это сопоставления базового образца с другими моделями.

Результаты расчетов относительных показателей приведем в таблицу 2.

Таблица 2.

Относительные показатели

LG

BBK

Sharp

Hyundai

Philips

Частота смены кадров, сек.

0.48

0.48

0.48

0.48

1

Угол обора по горизонтали, (0)

1

0.9

0.9

0.9

1

Угол обзора по вертикали, (0)

1

0.95

0.95

0.95

1

Мощность звука, Вт

1

0.3

0.3

0.3

1

Ширина, см

0.069

1.43

1.48

1.27

1

Высота, см

1.001

1.67

1.74

1.69

1

Глубина, см

0.79

1.24

2.04

1.93

1

1.024

1.98

2.075

1.38

1






Дифференциальный метод основан на сравнении единичных показателей качества рассматриваемого образца с показателем качества базового образца с помощью квалеметрической шкалы отношений.

1.       Qi=Pi/Pбаз

2.       Qi=Pбаз/Pi

Qi - относительный показатель

Pi - i показатель сравниваемой модели

Pбаз - i показатель базовой модели

Частоту смены кадров, углы обзора, мощность звука, глубину рассчитывали по 1-ой формуле.

. Построение графика полиметрических показателей


Выбрав основные показатели изделия и базовый образец, мы рассчитали из абсолютных показателей относительные.

Построили по ним шкалу интервалов относительных показателей качества.

ДМ позволяет оценить изделия по таким категориям качества как «соответствует, не соответствует», определенному уровню качества аналогичных изделий.

Также оцениваются отдельные свойства изделия, что позволяет принимать конкретные решения по управлению качества продукции.

Данный метод не дает полной оценки качества изделия, необходима более точная оценка с использованием комплексного метода оценки уровня качества.

. Комплексный метод оценки качества продукции

квалиметрия стандартизация качество продукция

Комплексный метод проводится на основе комплексных показателей.

КМ характеризует совокупную взаимосвязь свойств из всего множества свойств, образующих качество продукции и выражается одним числом. Что позволяет на практике сравнить качество сложных изделий с большим количеством показателей.

КМ определяется для усеченного и иерархического деревьев свойств качества.

. Экспертная оценка показателей качества

ЭО проводится путем расчетов коэффициента весомости экспертным методом для каждого показателя качества. (таблица 3)

Таблица 3

Показатель качества

Эксперт

Сумма рангов

Коэф-т весомости

Отклонение суммы рангов от сред-ареф.

Квадрат откл. От сред-ареф.


LG

BBK

Sharp

Hyundai

ареф.Philips





Частота смены кадров

8

7

6

6

8

35

0.197

12.5


Угол обзора по гориз.

2

1

1

4

2

10

0.05

-12.5


Угол обзора по вер.

3

4

2

1

3

13

0.075

-9.5


Мощность звука

1

2

3

2

9

0.05

-13.5


Ширина

7

8

5

8

7

35

0.197

12.5


Высота

5

6

7

3

4

25

0.138

2.5


Глубина

4

3

4

5

5

21

0.116

-1.5


Вес

6

5

8

7

6

32

0.178

9.5








180

1




Сумма рангов = LG+BBK+Sharp+Hyundai+Philips

Среднее арифметическое = 180/8=22.5

- 22.5=12.5

- 22.5= -12.5

- 22.5= - 7.5

- 22.5= - 13.5

- 22.5= 12.5

- 22.5= 2.5

- 22.5= - 1.5

- 22.5= 9.5

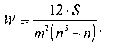
Согласованность мнения экспертов определяется с помощью коэффициента конкордации W. Коэффициент конкордации W вычисляется по формуле:


S - квадрат отклонения среднеарифметического(225)

n - число экспертов (5)

m - число объектов экспертов (9)

W = 12*180/82*(53 - 5) = 0.8

Так как w = 0.8 больше 0.7, то мнение экспертов согласованно и их оценка согласованна.

Для уточнения согласованности экспертов, рассчитывается критерий Пирсона:


X2w = 28, т. к. 28 больше 9.488 то согласованность экспертов не вызывает сомнения.(приложение 1)

6. Усечённое дерево качеств


Определяем комплексный показатель качества для каждой модели.

К1=0.48*0.197+1*0.05+1*0.075+1*0.05+0.069*0.197+1.001*0.138+0.79*0.116+1.024*0.178=0.69

К2=1.225

К3=1.355

К4=1.167

К5=1

Телевизор фирмы Sharp лучше остальных,т. к. его комплексный показатель качества составляет 1.355(выше чем у остальных).



Присваиваем и определяем коэффициенты весомости каждого показателя.

M1 1*0.5*1*1=0.5

M2 0.3*0.3*1*1=0.09

M3 0.2*0.3*1*1=0.06

M4 0.5*0.3*1*1=0.15

M5 0.1*0.2*1*1=0.02

M6 0.2*0.2*1*1=0.04

M7 0.4*0.2*1*1=0.08

M8 0.3*0.2*1*1=0.06

Рассчитать комплексные показатели качества на основе иерархического дерева.

К1 0.48*0.5+1*0.09+1*0.06+1*0.15+0.069*0.02+1.001*0.04+0.79*0.08+1.024*0.06=1.051

К2=0.73

К3=0.8

К4=0.75

К5 1*0.5+1*0.09+1*0.06+1*0.15+1*0.02+1*0.04+1*0.08+1*0.06=1

По расчетам видно, что модель LG лучше остальных.

. Сравнительная таблица для усеченного и иерархического дерева качеств.

Дерево качества

Образцы

Усечённое

LG

BBK

Sharp

Hyundai

Philips


0.69

1.225

1.355

1.167

1

Иерархическое

1.051

0.73

0.8

0.75

1


Самая лучшая модель LG, т. к. расхождение составило 0.361, а самая худшая модель Hyundai, расхождение составило 0.555

Заключение

В заключение необходимо отметить, несмотря на это, сегодня еще рано утверждать, что сложилась стройная теория квалиметрия. Слишком небольшой срок прошел с момента ее зарождения, слишком серьезен объект исследования. Однако правомерно и необходимо говорить уже теперь об ориентации данного научного направления, о принципах и подходах к оценке качества, о главных, узловых проблемах, на решение которых должны быть направлены усилия специалистов.

В настоящее время квалиметрия достигла такой стадии развития, когда внутри нее явственно начинают выделяться две ветви: теоретическая и прикладная.

Теоретическая квалиметрия абстрагируется от конкретных объектов (предметов или процессов) и изучает только общие закономерности и математические модели, связанные с оценкой качества. Объектом теоретической квалиметрии являются философские и методологические проблемы количественной оценки качества. Задача прикладной квалиметрии - разработка конкретных методик и математических моделей для оценки качества конкретных объектов разного вида и назначения.

В данной курсовой работе были рассмотрены теоретический вопросы квалиметрии, а также произведен анализ соответствия нормативам пяти моделей ЖК телевизоров.

Приложение

Распределение Пирсона c2W - распределение

Значения c2W для вероятности Р = 95% ( c2W > c2a (f) )

f

1

2

3

4

5

6

7

8

9

10

c2a

3,841

5,991

7,815

9,488

11,070

12,592

14,067

15,507

16,919

18,307


f

11

13

14

15

16

17

18

19

20

c2a

19,675

21,026

22,362

23,685

24,996

26,296

27,587

28,869

30.144

31.410


f

21

22

23

24

25

26

27

28

29

30

c2a

35,479

36,781

38,076

39,384

40,046

41,923

43,194

44,461

45,722

46,979


Похожие работы на - Квалиметрия. Стандартизация ЖК телевизоров

 

Не нашли материал для своей работы?
Поможем написать уникальную работу
Без плагиата!
Без нейросетей!