Промышленная логистика
Федеральное
государственное бюджетное образовательное учреждение
Высшего
профессионального образования
Тульский
государственный университет
Кафедра АCC
Лабораторные
работы
по дисциплине
"Промышленная логистика"
Студент группы 662182с
Булгаков Евгений
Андреевич
Научный руководитель
доцент каф АСС
Анцева Наталья Витальевна
Тула 2011
Лабораторная
работа №1
Тема: Планирование технической подготовки
производства
Задание: Разработать план-график выполнения
работ по конструкторской подготовке производства нового станка, определить цикл
разработки и смету затрат. Масса станка 2,5 т., коэффициент унификации 0,3.
Степень новизны и сложности станка, а также распределение проектируемых деталей
по группам сложности и новизны, Количество и состав исполнителей, занятых
разработкой указано в таблице. Трудоемкость доводочных работ и испытаний
составляет 50% трудоемкости и изготовления опытного образца. Средний уровень
часовой заработной платы принять для ИТР 0,8 руб., служащих - 0,6 руб., рабочих
- 0,7 руб. Дополнительная заработная плата -15%, начисления в соцстрах - 8%.
Структура сметы затрат (укрупненно): основные материалы - 10%, комплектующие
покупные изделия - 8%, основная заработная плата - 35%, косвенные расходы -
47%.
|
Кол-во оригинальных
деталей, шт.
|
700
|
|
Группа новизны станка
|
III
|
|
Группа сложности станка
|
В
|
|
1488
|
|
|
Серийность производства станка
|
МС
|
|
Группы новизны деталей, %
|
I
|
20
|
|
II
|
60
|
|
III
|
10
|
|
IV
|
10
|
|
V
|
--
|
|
Группы сложности деталей, %
|
А
|
50
|
|
Б
|
30
|
|
В
|
10
|
|
Г
|
10
|
|
Исполнители, чел.
|
ИТР
|
90
|
|
служ.
|
30
|
|
раб.
|
30
|
|
Средн. коэф-т выпол-ти норм
|
1,4
|
Таблица 1.1
|
Категории исполнителей
|
Исполнители по стадиям
конструкторской подготовки, чел.
|
|
I
|
II
|
III
|
IV
|
V
|
Va
|
Vб
|
|
ИТР
|
4
|
13
|
13
|
14
|
24
|
4
|
18
|
|
Служащие
|
--
|
--
|
6
|
6
|
9
|
6
|
3
|
|
Рабочие
|
--
|
--
|
--
|
--
|
--
|
27
|
3
|
|
Параллельность выполнения
этапов, % от предыдущего
|
--
|
15
|
30
|
40
|
50
|
20
|
|
Таблица 1.2
|
Группы новизны
|
Оригинальные детали по
группам сложности, шт.
|
|
Всего деталей В том числе: I (20%) II (60%)
III (10%) IV
(10%)
|
245 49 147 24 25
|
147 29 88 15 15
|
49 10 29 5 5
|
49 10 29 5 5
|
1.
Количество оригинальных (условных) деталей (при
)
;
2.
Распределение оригинальных деталей по степени новизны и сложности. Количество
деталей по группам вычисляется
3.
Расчет трудоемкости конструкторских работ по этапам проектирования по условной
детали:
где
- число оригинальных (условных) деталей;
- нормо-трудоемкость на одну деталь;
- коэффициент серийности;
- коэффициент габаритности;
- число групп новизны деталей;
- число групп сложности деталей;
Воспользуемся
данными табл. 1.2 и табл.3.
Значения
трудоемкости работ для первых трех этапов не рассчитываются, а берутся из
табл.3., а значение трудоемкости
берется
из системы укрупненных нормативов трудоемкости.
.
и 5. расчет длительности этапов -
и
план-график выполнения работ (табл. 1.3);
Таблица
1.3
№ этапа
нормо-ч
челТэт
днТ*эт
|
дн5101520253035
|
|
|
|
|
|
|
|
|
|
|
|
|
I
|
40
|
4
|
1,25
|
1,75
|
|
|
|
|
|
|
|
|
II
|
370
|
13
|
3,56
|
4,98
|
|
|
|
|
|
|
|
|
III
|
320
|
19
|
2,11
|
2,95
|
|
|
|
|
|
|
|
|
IV
|
1104
|
20
|
6,9
|
9,66
|
|
|
|
|
|
|
|
|
V
|
1639
|
33
|
6,21
|
8,69
|
|
|
|
|
|
|
|
|
Vа
|
1488
|
37
|
5,02
|
7,03
|
|
|
|
|
|
|
|
|
Vб
|
744
|
24
|
3,88
|
5,43
|
|
|
|
|
|
|
|
Всего 30,169 дн
Длительность этапов рассчитывается для двух случаев: для выполнения работ
в срок и для выполнения тех же работ с учетом коэффициента выполнения норм.
6.
расчет фонда заработной платы (Ф). Используются: распределение трудоемкости
(табл. 5) и средний часовой уровень заработной платы (по категориям
работающих):
где
- фонд основной заработной платы;
- число категорий работающих;
- суммарная трудоемкость работ для i-той
категории работающих;
- средний уровень часовой заработной платы i-той
категории работающих;
Для
расчета суммарной трудоемкости работ по категориям работающих необходимо
воспользоваться данными табл.1.3 и табл.5.
Дополнительная
заработная плата - 15% от
, начисления в соцстрах - 8% от
;
.
расчет сметы производства на выполнение работ (по структуре затрат для
аналогичных разработок, табл. 1.4)
Таблица
1.4
|
№ п/п.
|
Наименование статей затрат
|
Структура, %
|
Сумма, руб.
|
|
1
|
Основные материалы и
полуфабрикаты
|
10
|
|
|
2
|
Комплектующие покупные
изделия
|
8
|
|
|
3
|
Основная заработная плата
|
35
|
5611,23
|
|
4
|
Косвенные расходы
|
47
|
|
|
Итого
|
|
Вывод. В задаче использован самый укрупненный метод планирования
конструкторской подготовки, а также укрупненные нормативы трудоемкости. При
более детальном анализе работ каждой стадии используются другие системы нормативов,
разрабатываемых в отраслях и проектных организациях. Однако и эти расчеты
указывают на резервы возможного сокращения циклов подготовки производства и
ускорения освоения новых изделий в области самого планирования работ. Эти
резервы связаны главным образом с достоверностью нормативной базы и
организацией уплотненного выполнения.
Лабораторная работа №2
Тема:
Организация конструкторской подготовки производства
Задание:
13. Проводится
унификация агрегата для четырех моделей машин при следующих исходных данных.
Пропорциональные затраты на один агрегат соответственно для четырех моделей Sn=400, 450, 500, 550 руб.; условно-постоянные затраты (на объем выпуска)
=40 000, 55 000, 60 000, 65 000 руб.; годовой объем
выпуска NГ=100,
250, 500, 1000 шт. Базовый агрегат, заменяющий остальные, - четвертый.
Эффективна ли унификация? Будет ли она эффективна, если изменить на обратное
соотношение объемов выпуска?
Решение:
1. Годовой объем выпуска унифицированного агрегата:
2. Себестоимость унифицированного агрегата:
на
базе A:
на
базе В:
на
базе С: 
на
базе D:
обр.
соот.:
3. Себестоимость агрегатов до унификации:
4. Средняя себестоимость агрегата до унификации:
Вывод:
Унификация
экономически целесообразна (в т.ч. при обратном соотношении объёмов выпуска),
так как SyD <Sср.
Задание:
. Корпус
цилиндра массой mд = 4 кг
изготавливается из чугуна марки СЧ20. Метод получения исходной заготовки -
литье в земляную форму по пятому квалитету, масса заготовки mз = 5,5 кг. Трудоемкость механической обработки детали
Тоб = 150 мин (при базовой трудоемкости аналога Тб = 200
мин). Технологическая себестоимость детали Sд=300 руб. (при базовой технологической себестоимости
аналога Sб= 400
руб.). Определить показатели технологичности конструкции детали, используя
данные конструкторского анализа, приведенные в таблице.
Таблица
|
Наименование поверхности
|
Количество поверхностей
|
Количество унифицированных
элементов
|
Квалитет точности
|
Параметр шероховатости, мкм
|
|
Отверстие корпуса
|
1
|
1
|
6
|
0,4
|
|
Торец фланца
|
2
|
-
|
13
|
1,5
|
|
Фаска
|
2
|
2
|
11
|
20
|
|
Резьбовое отверстие
|
8
|
8
|
10
|
20
|
|
Верх основания
|
2
|
-
|
13
|
7
|
|
Отверстия основания
|
4
|
4
|
11
|
40
|
|
Низ основания
|
1
|
-
|
14
|
2,5
|
|
Итого
|
Qэ = 20
|
Qуэ=15
|
|
|
Решение:
. Уровень технологичности конструкции по трудоёмкости изготовления
По
данному показателю деталь технологична, так как трудоемкость ее по сравнению с
базовым аналогом снизилась на 25%.
2. Уровень технологичности конструкции по технологической себе
стоимости
Деталь
технологична, так как себестоимость ее по сравнению с базовым аналогом
снизилась на 25%.
3. Коэффициент унификации конструктивных элементов
По
этому показателю деталь также технологична.
4. Коэффициент использования материала
Для
исходной заготовки этого типа такой показатель свидетельствует об
удовлетворительном использовании материала.
5. Коэффициент точности обработки
где
Аср - средний квалитет точности:
где
ni - число поверхностей детали точностью соответственно
по 1...19-му квалитету.
Так
как kT > 0,8, то деталь по этому показателю является
технологичной
6. Коэффициент шероховатости поверхности
где
Бср - средняя шероховатость поверхности:
где
ni - количество поверхностей, имеющих шероховатость,
соответствующую данному числовому значению параметра Rа.
Поскольку
kш < 0,4
, то деталь по этому показателю технологична.
Задание:
.
В результате создания альбома стандартов обобщенный коэффициент унификации и
стандартизации для выпускаемой продукции себестоимостью 350000 руб. повысился с
0,2 до 0,3. При этом аннулировано 90 документов, затраты на подготовку каждого
из них составили бы в среднем 510 руб. Рассчитать экономию, получаемую от
создания альбома.
Решение:
1. Экономический эффект от повышения коэффициента унификации и
стандартизации.
- базовая
себестоимость выпуска до создания альбома, руб
2. Экономический эффект в результате сокращения затрат инженерного
труда на разработку документации
,
где
- число аннулированной документации, шт.;
- средние издержки на подготовку одного документа, руб.
3. Экономия от создания альбома.
Э= 87500+45900=133400 руб.
Лабораторная
работа №3
Тема:
Организация технологической подготовки производства
Задание:
. Определить уровень технологической готовности предприятия к выпуску
нового изделия.
Нормативный
коэффициент технологической готовности
Состояние
работ по подготовке производства приведено в таблице.
|
Показатель
|
По плану (норматив)
|
Фактически на дату освоения
|
Коэффициент весомости mi
|
|
1. Обеспеченность
технологической документацией, наименований
|
4680
|
2808
|
0,18
|
|
2. Обеспеченность
технологическим оснащением, всего
|
3042
|
1674
|
0,36
|
|
В том числе:
|
|
|
|
|
штампы, комплектов
|
1215
|
850,5
|
0,36
|
|
пресс-формы, комплект
|
603
|
120,6
|
0,27
|
|
кондукторы, наименований
|
378
|
151,2
|
0,09
|
|
сварочные приспособления,
наименований
|
288
|
172,8
|
0,045
|
|
сборочные приспособления,
наименований
|
216
|
105,3
|
0,09
|
|
прочая оснастка,
наименований
|
342
|
273,6
|
0,045
|
|
3. Обеспеченность
специальным инструментом
|
297
|
0,09
|
|
4. Обеспеченность
средствами метрологического контроля
|
279
|
167,4
|
0,27
|
|
5. Интегральный показатель
технологической готовности
|
-
|
-
|
-
|
Решение:
. Коэффициент готовности технологической документации (технологические
процессы):
2.
Коэффициент готовности технологической оснастки (приспособления, кондукторы,
штампы и т.п.) для изготовления нового изделия:
3.
Коэффициент обеспеченности производства нового изделия инструментом общего и
специального назначения:
4.
Коэффициент обеспеченности производства нового изделия средствами
метрологического контроля (калибры, контрольно-измерительная аппаратура и
т.п.):
Вывод:
kтг
превышает нормативный коэффициент технологической готовности
Задание:
.
Предприятию предстоит в IV квартале следующего года выпускать изделие Б.
Известно, что цикл его изготовления на 11,5% больше уже выпускаемого изделия А,
а вся техническая документация будет передана на предприятие в декабре текущего
года.
Установить,
когда необходимо приступить к подготовке производства нового изделия, если
известны следующие данные по изделию А:
общее
количество техпроцессов - 25500 ед.;
распределение
трудоемкости по видам работ:
механическая
обработка……0,92
сборка......................................0,095
сварка………………………..0,036
штамповка…………………..0,036
прочие……………………….0,039
продолжительность
изготовления 7,2 мес;
инженер-технолог
за рабочий день разрабатывает
технологических
процесса средней сложности.
В
технологическом бюро разработкой технологических процессов на механическую
обработку
заняты 72 чел., сборку
- 24
чел., сварочные работы
- 12 чел., на штамповочные (
) и прочие работы (
) - по 6
чел.
Решение:
.
Ориентировочное количество техпроцессов изделия Б:
2.
Ориентировочное количество техпроцессов по видам работ:
механическая
обработка…Nм.о = 0,92
· NB = 0,92 · 27540 = 25336,8ед.
сборка……………………..Nc6 = 0,095
· 27540 = 2616,3 ед.
сварка……………………..Ncв = 0,036
· 27540 = 991,44 ед.
штамповка………………...Nшт = 0,036 · 27540 = 991,44 ед.
прочие…………………….Nпр = 0,039 · 27540 = 1074,06 ед.
.
Количество технологических процессов по видам работ, разрабатываемых
технологами за рабочий день:
4.
Количество рабочих дней, необходимых для разработки техпроцессов по видам
работ:
5.
Ориентировочная длительность изготовления изделия Б:
6.
Продолжительность подготовки производства и изготовления изделия Б составит:
(при
условии параллельного выполнения работ по разработке техпроцессов).
Следовательно,
чтобы изготовить изделие Б в IV квартале, подготовку производства следует начать не позднее
чем 6,3 мес. с начала года, т. е. не позднее 9 июня.
Задание:
.
Предлагается для соединения алюминиевых деталей теплообменника применить метод
бесфлюсовой пайки в вакуумной печи вместо пайки в соляной ванне. Исключение из
технологического процесса расплавленного флюса позволяет экономить
дорогостоящее сырье, снижает расход электроэнергии на нагрев соляной ванны,
устраняет ручные операции промывки и сушки изделия, улучшает условия труда в
цехе, повышает выход годной продукции. Рассчитать эффективность внедрения пайки
в вакуумной печи при следующих исходных данных по вариантам технологических
процессов:
Таблица
2
|
|
Пайка в соляной ванне
|
Пайка в вакуумной печи
|
|
Годовая программа N,
шт
|
1000
|
1000
|
|
Балансовая стоимость
оборудования , руб2932540000
|
|
|
|
Занимаемая площадь V,
м2
|
340
|
35
|
|
Стоимость 1 м2
площади , руб/м2130130
|
|
|
|
Расход вспомогательных
материалов , руб/шт51,0-
|
|
|
|
Трудоемкость процесса пайки
, нормо-ч/шт103,530,0
|
|
|
|
Часовая тарифная ставка , руб/ч0,7540,754
|
|
|
|
Коэффициент, учитывающий
дополнительную заработную плату, 1,31,3
|
|
|
|
Коэффициент, учитывающий
отчисления на социальное страхование, 1,141,14
|
|
|
|
Расход электроэнергии ,
руб/шт14,251,6
|
|
|
|
Затраты по амортизации
оборудования , руб/шт5,43,0
|
|
|
|
Затраты на ремонт и
содержание оборудования , руб/шт34
|
|
|
|
Затраты на амортизацию и
содержание производственной площади ,
руб/шт50,5
|
|
|
|
Выход годной продукции р, %
|
96
|
90
|
|
Годовой фонд времени одного
работника , ч18271827
|
|
|
Решение:
. Рассчитываем текущие затраты по вариантам технологических процессов
соединения деталей с учетом выхода годной продукции. В качестве базового варианта
примем процесс пайки в соляной ванне, отмечая все показатели, относящиеся к
этому процессу, индексом 1.
2.
Экономия на текущих затратах за год составит
в
том числе экономия вспомогательных материалов
3.
Рассчитаем удельные капитальные вложения по вариантам:
4.
Экономия на приведенных затратах
тыс.
руб.
5.
Рассчитаем снижение трудоемкости изготовления продукции в цехе при
использовании бесфлюсовой пайки в вакуумной печи с учетом выхода годной
продукции:
нормо-ч.
6.
Количество высвобожденных рабочих
чел.
7.
Высвобождение производственных площадей составляет
м2.
8. Рост производительности труда в цехе
%.
Вывод: применение бесфлюсовой пайки в вакуумной печи вместо пайки в
соляной ванне эффективно, так как снижает трудоемкость работ, высвобождает 57
рабочих, обеспечивает рост производительности труда на 217% и годовой
экономический эффект в размере 161,77 тыс. руб.
Лабораторная
работа №4
Тема: Сетевое планирование и управление
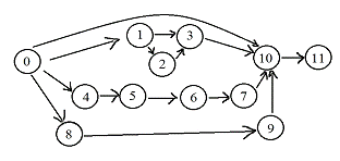
Задание: Составить сетевой график
технологической подготовки производства изделия. Состав работ и исполнителей
см. в табл. 4.1 (приводится укрупненно и сокращенно). Последовательность и
взаимосвязь работ заданы в системе кодирования работ. Исполнители: отдел
главного технолога (ОГТ), конструкторская группа отдела (КГО), отдел главного
металлурга (ОГМ), планово-производственный отдел (ОПП), рабочие по изготовлению
оснастки (Цос), производственные цехи (Цл, Цм)
и сборочного процесса (Цсб). Вероятностная продолжительность работ
представлена исполнителями в виде трех оценок (tmax, tн.в. и tmin).
Требуется: 1) разработать сетевую модель (СГ) выполнения работ; 2) определить tож по каждой работе; 3) рассчитать
основные параметры СГ: t(Lкр); tpi; tпi; tpнij; tпнij; tpоij; tпоij; RП; RСВ); 4) составить карту проекта первичного СГ (в масштабе
времени);
Таблица 4.1
|
Содержание работ
|
Код работ
|
Исполнители
|
Продолжительность
|
|
|
отдел
|
чел.
|
 
|
|
|
|
Задание на разработку
технологии получено
|
0
|
|
|
|
|
|
|
Разработка маршрутной
технологии на изделие
|
0-1
|
ОГТ
|
4
|
3
|
6
|
9
|
|
Разработка операционных
технологических карт механической обработки
|
1-3
|
ОГТ
|
10
|
5
|
8
|
10
|
|
Конструирование оснастки
для механической обработки
|
1-2
|
КГО
|
13
|
3
|
8
|
11
|
|
Изготовление
технологической оснастки для механической обработки
|
2-3
|
20111723
|
|
|
|
|
|
Разработка технологических
процессов литья
|
0-4
|
ОГМ
|
2
|
9
|
12
|
21
|
|
Проектирование линейной
оснастки
|
4-5
|
КГО
|
4
|
13
|
20
|
24
|
|
Изготовление литейной
технологической оснастки
|
5-6
|
8151922
|
|
|
|
|
|
Цикл изготовления отливок
для опытного образца
|
6-7
|
153711
|
|
|
|
|
|
Цикл механической обработки
литых деталей опытного образца
|
7-10
|
10679
|
|
|
|
|
|
То же, из стандартных
заготовок
|
3-10
|
3192125
|
|
|
|
|
|
Разработка технологических
процессов сборки изделия
|
0-8
|
ОГТ
|
3
|
20
|
21
|
22
|
|
Проектирование оснастки для
сборочных процессов
|
8-9
|
КГО
|
4
|
5
|
6
|
8
|
|
Изготовление сборочной
оснастки
|
9-10
|
6111415
|
|
|
|
|
|
Комплектация и подача на
сборку покупных элементов
|
0-10
|
ОПП
|
2
|
10
|
12
|
15
|
|
Сборка образца и его
испытание
|
10-11
|
15202224
|
|
|
|
|
Решение:
. Сетевая модель (СГ) выполнения работ:
2. Расчет tож - ожидаемая продолжительность
выполнения работ:
|
Код работ
|
0
|
0-1
|
1-3
|
1-2
|
2-3
|
0-4
|
4-5
|
5-6
|
6-7
|
7-10
|
3-10
|
0-8
|
8-9
|
9-10
|
0-10
|
10-11
|
|
tож
|
|
6
|
3,8
|
3,6
|
8,5
|
7
|
9,5
|
9,3
|
3,5
|
3,6
|
10,8
|
10,5
|
3,1
|
6,6
|
6,1
|
11
|
3. Расчет основных параметров СГ:
|
КПР
|
(i,j)
|
t(i,j)
|
tрн(i,j) = tр(i)
|
tро(i,j) = 3+4
|
tпн(i,j) = 7-3
|
tпо(i,j)
= tп(j)
|
R = 6-4
|
|
1
|
2
|
3
|
4
|
5
|
6
|
7
|
8
|
|
0
|
0-1
|
6
|
0
|
6
|
4
|
10
|
4
|
|
0
|
0-4
|
7
|
0
|
7
|
0
|
7
|
0
|
|
0
|
0-8
|
10,5
|
0
|
10,5
|
12,7
|
23,2
|
12,7
|
|
0
|
0-10
|
6,1
|
0
|
6,1
|
26,8
|
32,9
|
26,8
|
|
1
|
1-3
|
3,8
|
6
|
9,8
|
18,3
|
22,1
|
12,3
|
|
1
|
1-2
|
3,6
|
6
|
9,6
|
10
|
13,6
|
4
|
|
1
|
2-3
|
8,5
|
9,6
|
18,1
|
13,6
|
22,1
|
4
|
|
2
|
3-10
|
10,8
|
18,1
|
28,9
|
22,1
|
32,9
|
4
|
|
1
|
4-5
|
9,5
|
7
|
16,5
|
7
|
16,5
|
0
|
|
1
|
5-6
|
9,3
|
16,5
|
25,8
|
16,5
|
25,8
|
0
|
|
1
|
6-7
|
3,5
|
25,8
|
29,3
|
25,8
|
29,3
|
0
|
|
1
|
7-10
|
3,6
|
29,3
|
32,9
|
29,3
|
32,9
|
0
|
|
1
|
8-9
|
3,1
|
13,6
|
23,2
|
26,3
|
12,7
|
|
1
|
9-10
|
6,6
|
13,6
|
20,2
|
26,3
|
32,9
|
12,7
|
|
4
|
10-11
|
11
|
32,9
|
43,9
|
32,9
|
43,9
|
0
|
Продолжительность критического пути равна 43,9 дней.
Критические работы: (0-4), (4-5), (5-6), (6-7), (7-10), (10-11)
Критический путь: 0-4-5-6-7-10-11
. составить карту проекта первичного СГ (в масштабе времени):
Лабораторная
работа №5
Тема: Формирование цен на продукцию
предприятия
Задание: Издательство
готовит к выпуску книгу, предполагаемая цена которой составит
руб. Постоянные издержки на издание данной книги
составят
тыс. руб.; переменные издержки -
руб.
Рассчитайте,
при каком тираже издание книги будет безубыточным (определите точку
безубыточности). Осуществите аналогичный расчет при условии, что цена
книги составит 60 руб.
|
Варианты
|
, руб. , тыс.
руб. , руб.
|
|
|
|
10
|
95
|
220
|
23
|
Решение:
Точ.
безубыт =
при
цене 60 руб
Точ.
безубыт =
Задание: Автомобиль
"Москвич" поступает в продажу по розничной цене
тыс. руб. Торговая надбавка составляет
% к цене предприятия. Прибыль
предприятия-изготовителя составляет
%
себестоимости.
Определите себестоимость и прибыль предприятия-изготовителя и удельный
вес каждого элемента в розничной цене автомобиля (себестоимости, прибыли, НДС и
торговой надбавки).
|
Варианты
|
, тыс. руб. , % , %
|
|
|
|
10
|
300
|
28
|
23
|
производство управление цена себестоимость
Решение:
Торговая надбавка = 300000*28%=84000 руб.
Отпускная
цена предприятия =
-
=300000-28%=216
тыс. руб.
НДС
= 216000*18% =38880 руб.
Себестоимость
= 0,24 * С + С = 216000, С= 216000/1,24=174194 руб.
Прибыль
= 174194*23%=40065 руб.
Задание:
Себестоимость
автомобиля "Москвич" составляет
руб.
Прибыль предприятия-изготовителя составляет
%
себестоимости. Автомобиль поступает в розничную торговлю с
предприятия-изготовителя. Торговая надбавка составляет
% к цене предприятия.
Рассчитайте
розничную цену автомобиля "Москвич" и удельный вес каждого элемента в
розничной цене (себестоимости, прибыли, НДС и торговой надбавки).
|
Варианты
|
, тыс. руб. , % , %
|
|
|
|
10
|
69
|
30
|
35
|
Решение:
Цопт = 69000 + 69000 * 0,35 + (69000 + 69000 * 0,35) * 0,18 =
109917 руб.
Цроз = 109917 + 109917 * 0,3 + (109917 + 109917 * 0,3) * 0,18
= 168612,7 руб.
Сб = 69000 руб.
Пр = 69000 * 0,27 = 18630 руб. (13%)
НДС =(69000 + 69000 * 0,27) * 0,18 + (109917 + 109917 * 0,3) * 0,18 =
41493,98 руб. (26%)
Торг = 109917 * 0,3 = 32975,1 руб. (13%)
Задание:
Проведенное
маркетинговое исследование показало, что в кинотеатр "Закат" на сеанс
приходит: при цене билета
руб. - 300 зрителей, при цене билета
руб. - 600 зрителей, при цене билета
руб. - 1200 зрителей. Всего в зале кинотеатра может
поместиться 2000 зрителей.
Определите,
по какой цене следует продавать билеты, чтобы получить наибольший доход.
|
Варианты
|
, руб. , руб. , руб.
|
|
|
|
6
|
200
|
150
|
120
|
Решение:
|
№
|
xi
|
yi
|
xi *
yi
|
xi2
|
|
200
|
300
|
40500
|
12150000
|
90000
|
|
150
|
600
|
51000
|
30600000
|
360000
|
|
120
|
1200
|
66000
|
79200000
|
1440000
|
|
∑
|
2100
|
157500
|
121950000
|
1890000
|
|
|
700
|
52500
|
40650000
|
63000
|
максимальная
прибыль:
руб.
стоимость
билета: