Фотоэлектрические свойства тонких пленок сульфида свинца

  • Вид работы:
    Дипломная (ВКР)
  • Предмет:
    Физика
  • Язык:
    Русский
    ,
    Формат файла:
    MS Word
    1007,48 kb
  • Опубликовано:
    2012-01-19
Вы можете узнать стоимость помощи в написании студенческой работы.
Помощь в написании работы, которую точно примут!

Фотоэлектрические свойства тонких пленок сульфида свинца

Министерство образования и науки Украины

Одесский национальный университет им. Мечникова


Кафедра экспериментальной физики






Дипломная работа

Фотоэлектрические свойства тонких пленок сульфида свинца


Студента 5 курса

Физического факультета

Снигуренко Дмитрия Леонидовича

Научный руководитель

Старший преподаватель

Пастернак Валерий Александрович



Одесса 2008

Содержание

Введение

Глава 1. Основные модели токопереноса и фоточувствительности поликристаллических пленок сульфида свинца

.1 Модель электростатического потенциального барьера

.2 Модель Осипова - Неустроева

.3 Модель Мотта

Глава 2. Технология получения и физические свойства тонких пленок PbS

2.1 Нанесение пленок сульфида свинца методом химического осаждения из раствора

.2       Технология приготовления пленок сульфида свинца методом пульверизации раствора на нагретую подложку

2.3     Технология получения пленок PbS методом вакуумного испарения

.4       Измерительная установка и методика измерений

Глава 3. Электрические и фотоэлектрические свойства пленок сульфида свинца

3.1 Вольтамперные характеристики плёнок сульфида свинца

.2 Температурные зависимости образцов PbS31

.3 Люксамперные характеристики тонких пленок сульфида свинца

.4 Зависимость свойств от времени хранения на воздухе  образцов PbS

Выводы

Литература

Введение

фотоэлектрический пленка сульфид свинец

Большой шаг навстречу электронным устройствам, который был сделан еще в прошлом столетии, коснулся абсолютно всех сфер жизнедеятельности человека. Бытовая техника, компьютеры, медицинское оборудование, системы безопасности, элементы интерьера со встроенными электронными устройствами, современные военные технологии сегодня обязаны удивительным свойствам полупроводниковых материалов.

Инфракрасная техника в последние годы стала мощным инструментом научных исследований и получила широкое распространение во многих практических приложениях. Своим прогрессом она обязана появлению новых материалов, чувствительных в ИК-области спектра, и технологий их изготовления. В первую очередь это относится к технологиям получения тонкопленочных полупроводниковыхx структур. Приборы инфракрасной техники, использующие эти материалы в качестве активных элементов,служат для регистрации и преобразования излучения ИК-диапазона в аналоговые или цифровые сигналы, легко поддающиеся компьютерной обработке. Реализованная в подобных устройствах обратная связь превращает их в удобные элементы управления различными техническими системами и механизмами.

Одно из достойных мест в ряду узкозонных полупроводников, используемых для создания на их основе тонкопленочных детекторов, занимает сульфид свинца. Детекторы на их основе работают в спектральном интервале 0.6-3 мкм и интервале температур 77-350 К. В список наиболее распространенных областей применения ИК-фотоприемников на основе халькогенидов свинца (PbS, PbSe, РbТе. и т.д.) входят звездные, спектрографические датчики, медицинские, исследовательские инструменты, сортирующие, счетные, контролирующие приборы, регистраторы пламени, системы определения положения тепловых источников.

Несмотря на появление в последние годы большого разнообразия фотоэлектрических приемников (ФП) из других полупроводниковых материалов, пленочные ФП из халькогенидов свинца не теряют своей актуальности благодаря высокому уровню фотоэлектрических параметров в спектральных диапазонах 1-3 и 3-5 мкм, отсутствию необходимости глубокого охлаждения и сравнительно низкой стоимости.

Начало развития техники изготовления фотоприемников из халькогенидов свинца следует отнести к первой половине 30-х годов XX столетия, когда немецким исследователем Кутцшером было открыто явление фотопроводимости в естественных кристаллах сульфида свинца (галенит). Обнаруженная им относительно высокая чувствительность этих кристаллов в ближней ИК-области спектра вызвала значительный интерес.

Интенсивное развитие методов изготовления тонких фоточувствительных слоев (ФЧС) РbS происходило в годы 2-ой мировой войны в Германии, а затем (с 1944 г) в Англии и США.

В США высокочувствительные фоторезисторы (ФР) были изготовлены Кэшменом путем перегонки слоя РbS в запаянной ампуле в среде разреженного кислорода. Аналогичные ФР, изготавливавшиеся в Англии, были описаны Сосновским, Старкевичем и Симпсоном в 1946 и 1947 г. [1].

Первые ФР из селенистого свинца были изготовлены методом испарения в вакууме на стеклянные подложки Симпсоном [2] и Моссом и Чесмером [3]. Эти ФР обладали относительно высокой чувствительностью при температуре ниже 195К.

Не останавливаясь далее на истории развития работ по ФП на основе РbS и РBSe (прекрасны обзор Л. Н. Курбатова [4], посвященный этому вопросу), следует отметить, что все последующие годы на многочисленных зарубежных фирмах велись интенсивные работы по созданию более совершенных технологий изготовления таких фотоприемников.

В Советском Союзе разработки ФР из халькогенидов свинца (PbS, PbSe и PbTe) были начаты в 1944-1946 г. в нескольких организациях. Работы проводились в ГОИ им. С. И. Вавилова в лаборатории С. П. Тибилова, в ФТИ АН СССР им. А. Ф. Иоффе в лаборатории Б. Т. Коломийца, в НИИ РЭ МСП в лаборатории А. С. Егорова-Кузьмина, в НИИПФ МОП в лаборатории Н. С. Хлебникова и в ВЭИ им. В. Ленина в лаборатории К. А. Юматова. [5]

Большинство вышеперечисленных практических приложений ИК-фотоприемников сопряжено с использованием для преобразования информационных сигналов сложных электрических схем. В связи с этим, дальнейшим шагом в развитии и усовершенствовании указанных ИК-фотоприемников является создание такой технологии, в процессе которой электрические схемы усиления, коммутации и обработки сигналов и ИК-фоточувствительная пленка были бы совмещены на единой подложке. Достоинствомтакихфотоприемниковявляетсявысокая фоточувствительность, хорошая технологичность, легкая совместимость с внешними электрическими цепями коммутации и обработки сигнала, дешевизна изготовления, а также способность работать при комнатных температурах без специального криостатного охлаждения.

Целью данной работы является исследование фотоэлектрических свойств тонких пленок сульфида свинца, а также возможная оценка свойств полученных образцов в зависимости от времени хранения их на воздухе.

Глава 1. Основные модели токопереноса и фоточувствительности поликристаллических пленок сульфида свинца

Известно, что характер поведения электропроводности и фотопроводимости поликристаллических полупроводниковых пленок может существенно отличаться от их поведения в монокристаллах. Во многом это объясняется структурными особенностями тонких слоев, важнейшей из которых является наличие межзеренных границ (МЗГ). В зависимости от типа этих границ и характера их взаимодействия с собственными дефектами и легирующими примесями свойства полупроводниковых материалов могут отличаться необычайно резко. Применительно к пленкам сульфида свинца за время изучения их электрических и фотоэлектрических свойств сложилось несколько подходов и моделей, описывающих поведение электропроводности и фотопроводимости этих пленок. Рассмотрим основные положения этих гипотез.

.1 Модель электростатического потенциального барьера

В зависимости от соотношения ширины барьера lб и длины пробега свободного носителя l возможно развитие двух подходов к построению модели токопереноса через межзеренную границу, а именно диффузионный (l<<lб) и эмиссионный (l>>lб). Следует также учитывать, что в сильно легированных материалах необходимо рассматривать дополнительный вклад в ток, обусловленный туннелированием носителей через границу.

а) В диффузном приближении плотность тока J через поликристаллическую структуру может быть записана в виде:

 (1.1)

где п - концентрация свободных носителей заряда в объеме кристаллитов, V1и V2 - высоты барьеров на отрицательно (х<0) и положительно (х>0) смещенных сторонах границы, соответственно, а Е1 и Е2 -напряженности электрического поля при х → 0‾ и х → 0+, соответственно.

Из формулы (1.1) можно вывести следующее выражение для проводимости G0 в условиях нулевого напряжения смещения:

(1.2)

Где  - напряженность поля при х=0, V0 - равновесная высота барьера.

б) В соответствии с моделью термоэлектронной эмиссии, МЗГ пересекают лишь те носители, кинетическая энергия которых больше, чем высота барьера. Результирующий ток J сквозь границу пропорционален разности потоков электронов, пересекающих её слева направо и справа налево и обычно записывается в виде:

 (1.3)

где Eg - ширина запрещённой зоны полупроводника, Ef - уровень Ферми в объёме зёрен, А - эффективная постоянная Ричардсона.

Из формулы (1.2) в условиях нулевого смещения получаем формулу для проводимости:

(1.4)

Здесь  - средняя тепловая скорость носителей, а m* - их эффективная масса.

Нетрудно заметить, что для обеих моделей плотность тока имеет активационную зависимость от температуры, причем энергия активации зависит от высоты потенциального барьера.

Рис. 1.1. Зависимость величины электростатического потенциала V от координаты Х вблизи МЗГ.

Фотопроводимость тонких слоев PbS описывается обычно в рамках барьерных и концентрационных моделей. В барьерных моделях, учитывающих неоднородность потенциального рельефа, предполагается, что накопление фотоносителей происходит на барьерных емкостях, которые после прекращения действия подсветки разряжаются, тем самым восстанавливая исходные высоты барьеров на МЗГ. В концентрационных моделях пленок фактически пренебрегают неоднородностью потенциала, а высокую фоточувствительность слоев объясняют существованием различных концентраций рекомбинационных и ловушечных уровней, которые связываются с кислородом, равномерно заполняющим объемы кристаллитов. В [6] указывается на то, что барьерные модели являются более физичными, хотя и более сложными с точки зрения аналитических оценок. Несмотря на это, авторы [7] в разработке теории фотопроводимости PbS [6-9], придерживаются барьерной модели, в рамках которой сумели установить ряд важных соотношений между параметрами поликристаллических слоев.

.2 Модель Осипова - Неустроева

Согласно этой модели, фоточувствительные пленки сульфида свинца состоят из кристаллитов n-типа проводимости, окруженных окисными фазами, которые благодаря их малой толщине считаются туннельно прозрачными. В процессе роста пленки часть электронов из объема кристаллитов захватываются на расположенные в окисных фазах акцепторные состояния, в результате чего у поверхности кристаллитов происходит инверсия типа проводимости. Считается, что акцепторные состояния в окисных фазах образованы кислородом. Токоперенос в рассматриваемой модели осуществляется дырками, движущимися вдоль поверхности кристаллитов. При освещении пленки генерируемые в объеме кристаллитов электроны и дырки диффундируют к поверхности кристаллитов, где они пространственно разделяются электрическим полем, образованным заряженными поверхностными состояниями. Фотоэлектроны скапливаются на краю квазинейтрального объема кристаллитов с приповерхностной областью пространственного заряда, закрепленного на МЗГ, а фотодырки - непосредственно на поверхности кристаллитов. Благодаря пространственному разделению фотоносителей разного знака время их жизни значительно возрастает по сравнению с объемным. Соответствующим образом возрастает и фототок, который обусловлен движением фотодырок по инверсионным каналам вдоль поверхности кристаллитов.

В рамках данной работы авторы [6-9] предложили классификацию пленок в зависимости от соотношений между энергиями активации темновой проводимости Eσ, холловской концентрации дырок Ер, холловской подвижности Еµ, удельной фотопроводимости Е∆σ и постоянной времени спада фототока Еτ. Все исследованные образцы разбивались на три группы [8].

Для первой группы пленок (рекомбинация происходит в результате термического возбуждения электронов с уровней МЗГ с дырками в объеме кристаллитов) экспериментально установлены следующие соотношения:


где Eg0 - ширина запрещенной зоны PbS при Т=0, равная 0.29 эВ. Эту группу пленок принято называть Р-группой.

Ко второй группе относятся пленки (рекомбинация происходит в результате перехода электронов через барьер на поверхности кристаллита с дырками, локализованными на МЗГ), для которых выполняются соотношения:


Кроме того, для этих пленок время жизни фотодырок на уровнях прилипания меньше времени жизни фотодырок в объеме τз < τ. Такие пленки образуют G-rpynny.



Эти пленки принято называть пленками Eg -группы.

Для количественного объяснения вышеуказанных соотношений, а также установления аналитических зависимостей и расчета проводимости и фотопроводимости пленок PbS в работе [7] такие пленки представляли в виде двумерной структуры, состоящей из периодически чередующихся кристаллитов и прослоек между ними. Фрагмент такой периодической структуры представлен на рис. 1.2 (туннельно прозрачные прослойки на рисунке не указаны).

Области 1 на рис. 1.2 - это квазинейтральные области кристаллитов, имеющих n-тип проводимости, а области 2, 3 соответствуют инверсионным каналам на поверхности кристаллитов, по которым осуществляется проводимость. Область 4 - это область пересечения двух проводящих каналов, которую мы будем называть "узлом". Внешнее смещение считается приложенным таким образом, что ток течет вдоль области 2 поперек области 3. Величина изгиба зон φs+ на поверхности кристаллитов в области 4 больше, чем поверхностный изгиб зон в областях 2 и 3. Соответственно поверхностная концентрация дырок ps+ в "узле" больше поверхностной концентрации дырок ps≈ в областях 2 и 3. В результате удельная проводимость приведенного на рис. 1.2 фрагмента определяется концентрацией дырок в области 2 и равна:


Где µр- подвижность дырок в монокристаллическом PbS, а

эффективная ширина проводящих инверсионных каналов на поверхности кристаллитов, а - ширина области пространственного заряда (ОПЗ), nv - концентрация электронов в объеме кристаллитов, L -размер кристаллитов.

Рис 1.2. Фрагмент периодической структуры пленки сульфида свинца в модели Осипова - Неустроева (пояснения к обозначениям в тексте).

При освещении пленки происходит уменьшение ширины ОПЗ на поверхности кристаллитов на величину ∆а и уменьшение поверхностных изгибов зон в проводящих каналах и "узлах" на величины φs≈ и φs+ соответственно, что вызывает изменение величины холловской подвижности:


Поскольку в фоточувствительных слоях PbS обычно выполняется неравенство:

(φs+ - φs≈) ≥ 2 k T(1.10)

то в подавляющем большинстве случаев часть фотодырок скапливается в узлах, а подавляющая часть фотоэлектронов - вблизи границ узлов с квазинейтральными областями кристаллитов. Вследствие этого

 уменьшение абсолютной величины энергии активации холловской подвижности при освещении. В модели Шоттки слоя φs+ и ∆а связаны следующим соотношением:


В результате из (1.12) следует, что при освещении пленки происходит увеличение эффективной холловской подвижности, и, с точностью до членов, для которых выполняется неравенство (∆φs≈· k ·T)/(2· ∆φs+ ·φs≈) << 1, определяется формулой:

В дальнейшем эта формула и использовалась ими при рассмотрении фотопроводимости поликристаллических пленок сульфида свинца PbS.

Существенное влияние на физические и фотоэлектрические свойства сульфида свинца оказывает содержание в них кислорода либо какого-либо другого окислителя. В модели Неустроева - Осипова изменение концентрации образованных кислородом ПС должно приводить к строго определенному видоизменению соотношений между энергиями активации различных параметров. Известно, что содержание кислорода в фоточувствительных поликристаллических пленках PbS можно легко уменьшить посредством относительно непродолжительного их прогрева в вакууме при температурах, незначительно отличающихся от комнатных. Уменьшение концентрации акцепторов в окисных фазах должно приводить к уменьшению их энергии ионизации относительно потолка валентной зоны на поверхности кристаллитов, что и наблюдалось экспериментально в [10]. Кислород, входящий в состав окисных фаз на поверхности кристаллитов принято называть "сильносвязанным" (Т-кислород). Кроме того, в пленках PbS содержится слабосвязанный "избыточный" кислород (W-кислород), существующий в виде примесных атомов в межкристаллитных прослойках, либо адсорбированный на поверхности кристаллитов. Концентрацию W-кислорода в пленках можно легко изменять путем их низкотемпературного отжига (tom -100° С) в вакууме или не содержащей кислород атмосфере. Принято считать, что акцепторные состояния на поверхности кристаллитов обусловлены именно W-кислородом.

На основе вышеизложенной модели в работах [6-10], была развита теория, которая позволила количественно объяснить многие противоречивые, на первый взгляд, экспериментальные результаты, полученные разными авторами, по исследованию температурных зависимостей темновой проводимости и фотопроводимости, холловской концентрации дырок ph и т. д.

1.3 Модель Мотта

Невилл Френсис Мотт построил теорию, объясняющую совокупность экспериментальных фактов, полученных разными исследователями, используя представления о специфическом распределении локализованных электронных состояний в материале. Если волновая функция, соответствующая данному собственному состоянию, нормируема в бесконечном объеме, то такое состояние называют локализованным [11]. Чтобы выяснить, является ли некоторое электронное состояние локализованным или нелокализованным, часто используют данные измерений кинетических свойств. Например, если дрейфовая подвижность оказывается высокой (µ >>1 см2 /В·с) и убывает с ростом температуры, то такие результаты обычно интерпретируют в рамках модели рассеяния, согласно которой в нулевом приближении состояния считаются делокализованными. Напротив, если дрейфовая подвижность мала

(µ << 1 см2 / В·с) и возрастает с повышением температуры, то перенос заряда обычно интерпретируют с помощью модели прыжкового переноса, согласно которой в нулевом приближении состояния локализованы.

Мотт и Дэвис в [11] предложили модель, в которой зонная схема материала (например, неупорядоченные системы, аморфные материалы, поликристаллические пленки) с развитой системой локализованных состояний имеет вид, изображенный на рис. 1.3

Предполагается, что вблизи середины запрещенной зоны существует довольно узкая (0,1 эВ) зона локализованных состояний, плотность состояний в которой настолько велика, что уровень Ферми (УФ) оказывается привязанным к этой зоне в достаточно широком температурном интервале. Происхождение этой зоны неизвестно, но можно представить себе, что эти состояния возникают благодаря различным дефектам вещества, таким как, например, оборванные связи, внедрения и т. д., число которых зависит от способа изготовления образца и последующей термической обработки.

Рис. 1.3. Зависимость плотности состояний от энергии в аморфных полупроводниках. Локализованные состояния заштрихованы.

Доказательства существования довольно высокой плотности состояний вблизи УФ следует из целого ряда экспериментов по исследованию темновой проводимости на переменном сигнале, проводимости на постоянном токе при низких температурах, термически стимулированной проводимости (ТСП). Эта модель и была развита в работе [12] для объяснения фотоэлектрических свойств поликристаллических слоев сульфида свинца, полученных методом химического осаждения из «раствора. Авторы предположили, что в случае высокой концентрации дефектов в материале форма края зоны проводимости модулируется электростатическими полями самих дефектов, образуя неоднородный потенциальный рельеф дна этой зоны. Процессы токопереноса в этом случае определяются распределением и масштабом неоднородностей потенциального рельефа дна зоны проводимости. Ими был определен масштаб неоднородности потенциального рельефа в пленках PbS. Кроме того, авторы обнаружили связь и вывели аналитические соотношения между темновой проводимостью и фоточувствительностью и объяснили их, к сожалению, только на качественном уровне.

Необходимо отметить, что в работе [12] механизм токопереноса объясняет лишь основные его закономерности в PbS и не исчерпывает всего многообразия наблюдаемых особенностей для этого поликристаллического полупроводника. Вместе с тем, целый ряд вопросов, имеющих подчас принципиальное значение для технологии производства тонких пленок PbS, еще остается открытым. Так, например, технология производства тонких фоточувствительных пленок PbS, осажденных на кремниевые подложки, предусматривает создание промежуточных, т.е. расположенных между активным слоем и подложкой слоев сульфида свинца с нулевым или крайне малым содержанием окислителя. Анализ литературных источников показывает, что особенности токопереноса через слои с малой концентрацией окислителя до сих пор не выявлены, хотя практическая важность рассмотрения данного вопроса очевидна.

С другой стороны, окончательно не выяснены детали механизма токопереноса в слоях, особенно в низкотемпературной области. Наконец, необходимо отметить, что теория токопереноса в сложных многослойных структурах, как таковая, отсутствует, поэтому представляется крайне важным получение дополнительных экспериментальных данных, способствующих ее построению.

Глава 2. Технология получения и физические свойства тонких пленок PbS

В настоящее время существует множество способов и методик получения фоточувствительных пленок сульфида свинца PbS. По способу получения пленки принято разделять на два типа: "физические" и "химические" слои.

К "физическим" слоям PbS относят пленки, полученные методами вакуумного испарения, пиролизного напыления и спекания порошка с последующей активацией их в кислородсодержащей атмосфере. Методы, используемые при производстве "физических" слоев PbS, позволяют получать пленки большого масштаба с достаточно высокой фоточувствительностью (σ ≈ 5·10-5 Ом-1·см-1, Т=170К) [13,14]. "Химические" слои образуются при электрохимическом и химическом осаждении пленок из раствора. Привлекательность химических способов состоит в возможности легирования пленок непосредственно в процессе выращивания с целью получения образцов с заранее заданными свойствами. Наряду с указанными достоинствами, эти методы обладают рядом недостатков.

К недостаткам "физических" слоев относятся нестабильность фотоэлектрических параметров (фоточувствительности, отношения сигнал/шум, темнового сопротивления), высокий уровень шума, быстрая деградация параметров, неустойчивость электрических и физических свойств, трудность легирования в процессе роста пленки, дорогостоящее оборудование для производства, необходимость очувствления в кислородсодержащей атмосфере.

К недостаткам "химических" слоев относятся нестабильность параметров образцов некоторое время после приготовления, большая инерционность (время срабатывания порядка миллисекунд), что ограничивает применение метода химического осаждения для регистрации быстро протекающих процессов, сопровождающихся выделением ИК-излучения, ухудшение фоточувствительности этих пленок с течением времени, для ее стабилизации необходимы специальные обработки.

.1 Нанесение пленок сульфида свинца методом химического осаждения из раствора

Химический метод изготовления слоев PbS предусматривает осаждение слоев PbS на подложку из ванны, содержащей ацетат свинца, тиомочевину и гидроокись натрия. Образование слоя PbS происходит в результате реакции взаимодействия между растворимой солью свинца РЬ (СН3СОО)2 и тиомочевиной H2NC(S)NH2, протекающей в щелочной среде. На поверхности подложки происходит рост кристаллитов из первоначально образовавшихся центров кристаллизации. К моменту окончания процесса микрокристаллиты образуют тонкую, сплошную поликристаллическую пленку, прочно сцепленную с подложкой. В состав пленки кроме сульфида свинца входят примесные фазы - кислородосодержащие соли свинца. Существует множество вариантов процесса осаждения пленок PbS из ванн указанного состава. Варьируя начальные условия процесса - концентрацию реагентов, порядок их смешения, температуру и др., можно получать пленки, различные по толщине, структуре, составу и физическим свойствам.

Известно, что для приготовления фоточувствительных слоев сульфида свинца методом химического осаждения в состав рабочих растворов ванн должны входить различные окислители, такие как гидразин, сульфит натрия, перекись водорода и др. В отсутствие окислителя пленки, приготовленные методом химического осаждения, фоточувствительностью не обладают. Один из возможных рецептов для осаждения из раствора представлен в таблице 1

Таблица 1

Компоненты ванны

Концентрация

Т, Сº

Подложка

Ацетат свинца Pb(CH3COO)2

20 г/л

20

Стекло, Ситалл, Кварц, Сапфир

Тиомочевина

18 г/л



Гидрооксид натрия

26 г/л



Сульфит натрия

9г/л




.2 Технология приготовления пленок сульфида свинца метод Ом пульверизации раствора на нагретую подложку.

Метод пульверизации основан на распылении раствора, содержащего необходимые компоненты, на нагретую подложку [15].

Установка, используемая для выполнения процесса химической пульверизации, представлена на рис.2.1 и состоит из распыляющего устройства и нагревателя подложки. Нагреватель подложки должен обеспечивать стабильность температуры в пределах 100°С - 200°С при попадании раствора на поверхность подложки. В качестве распылителей использовались медицинские иглы для инъекций со спиленными концами диаметром 0.4мм; воздушное сопло имело диаметр 0.8 мм.

Для приготовления водных рабочих растворов нами использовались ацетат свинца РЬ(СН3СОО)2, нитрат свинца РЬ(NOз)2, и тиомочевина NH2CSNH2.

В качестве материала подложек использовались стекло. Подложки предварительно очищались 5% или 10% раствором бихромата калия К2Сг207 с серной кислотой H2SCO4, затем выдерживались в слабо концентрированной соляной кислоте.
















Качество получаемой пленки во многом определяется условиями формирования кристаллитов [13] на поверхности подложки. Эти условия в данном технологическом процессе определяются скоростью подачи раствора, степенью дисперсности получаемого аэрозоля, мольностью раствора и температурой подложки. Эти параметры должны выбираться таким образом, чтобы обеспечить возможность миграции ионов на подложке к образующимся зародышам кристаллитов.

Наилучшие результаты получены при пульверизации пленок в следующем режиме.

Ацетат свинца 0.018 М

Тиомочевина0.017 М

Соляная кислота 2.5 мл/л

Температура подложки 120°С.

Внешний вид фотоприемника, изготовленного по данной технологии, показан на рис.2.2











.3      


Физический метод изготовления фоточувствительных слоев PbS предусматривает испарение из тигля в вакууме исходного продукта (PbS) на стеклянную или кварцевую подложку до образования тонкого (h ≈ 0,5-2,0 мкм) поликристаллического слоя. Этот слой затем подвергаются высокотемпературному (300-600oС) прогреву в атмосфере, содержащей кислород, после чего на него термическим испарением в вакууме наносятся тонкопленочные контакты (из золота или индия).

Слои, полученные испарением в вакууме, имеют мелкокристаллическую структуру с размером зерен порядка сотых долей мкм и практически не обладают фоточувствительностью.

В процессе активации происходит собирательная рекристаллизация, размеры индивидуальных микрокристаллитов увеличиваются до долей и единиц микрон, совершенствуется структура слоя, резко возрастает время жизни основных носителей тока, возникает заметная фоточувствительность [5].

2.4 Измерительная установка и методика измерений

Электрические и фотоэлектрические свойства пленок сульфида свинца исследовались на экспериментальной установке, блок - схема которой представлена на рис.2.3 Постоянное напряжение в диапазоне от 0 до 100 В подавалось на образец (1) от источника питания Б5-49 (2). Величина протекающего в цепи тока контролировалась цифровым вольтметром В7-21 (3). При исследовании фотопроводимости пленок в качестве источника света использовалась галогенная лампа накаливания КГМ-12-40 (4), излучение которой после коллиматора проходило сквозь германиевый или интерференционный фильтры (6), прозрачные в инфракрасной области спектра (интерференционный фильтр имел максимум пропускания на длине волны λ=1750 нм). Далее прошедшая часть излучения модулировалось механическим модулятором (5) с частотой 70 Гц и фокусировалась на образце при помощи кварцевых линз (7). Изменение напряжения, подаваемого на лампу от источника питания Б5-46 (8), позволяло проводить измерения фотопроводимости при различных уровнях мощности возбуждающего света. Все оптические элементы, включая камеру с образцом, жестко крепились на одной оптической скамье.

Ток, протекающий через образец, при помощи предварительного усилителя (9) преобразовывался в напряжение, подаваемое на вход селективного усилителя У2-8 (10). Этот же сигнал подавался на двухлучевой осциллограф С1-74 для контроля формы кривой релаксации фотовозбуждения (11).

Кинетические характеристики измерялись с помощью П-импульсов напряжения, подаваемых на образец от генератора, а при измерении кинетики фототока образец, подключаемый к источнику постоянного напряжения, освещался импульсами ИК-света, получаемыми с помощью светодиода АЛ107.

Рис.2.3 Блок-схема установки для измерений фотоэлектрических и электрических характеристик пленок сульфида свинца.

Для измерения температурных зависимостей темнового тока, фототока и вольт-ваттных характеристик использовался криостат специальной конструкции, обеспечивающий работу в температурном интервале 77-400 К и в вакууме не хуже 10-3 Торр (0.133322 Па)(12), создаваемым сорбционным насосом RV 1.5/1 и измеряемым вакуумметром ПМТ-2. Образцы крепились на предметном столике, находящемся в хорошем тепловом контакте со стенкой охлаждаемого криостата. Температура контролировалась калиброванным медным проволочным резистором (13), величина сопротивления которого измерялась цифровым вольтметром Щ4313 (14). Фотовозбуждение пленок осуществлялось через сапфировое окно в корпусе измерительной камеры.

Глава 3. Электрические и фотоэлектрические свойства пленок сульфида свинца

Нами были исследованы три образца, полученные различными методами. На полученном спектре поглощения (рис.3.1) мы видим, что поглощение света приходится в диапазоне от 2000 до 3000 микрометров, что соответствует литературным данным и практически подтверждает теоретические характеристики тонких пленок сульфида свинца.

Рис 3.1 Спектр поглощения образцов тонких пленок PbS, полученных разными методами.

.1 Вольтамперные характеристики тонких пленок сульфида свинца

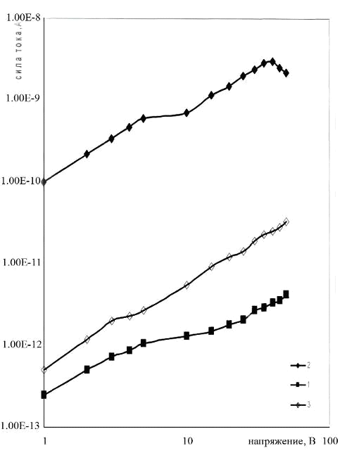
Для измерения вольтамперных характеристик использовались образцы, полученные методами химического осаждения из раствора, пульверизации раствора на нагретую подложку и пленки полученные методом вакуумного испарения. Измерения проводились при комнатной температуре (20°С) от 0 до 90 В.

Для большинства из исследованных пленок ВАХ являются линейными в области напряжений от 0 до 80 В. На для ряда пленок наблюдается сверхлинейная зависимость темнового тока при малых напряжениях, порядка 1-10В.

Причиной такого поведения может быть то, что при низких напряженностях электрического поля основное падение напряжения происходит на межкристаллитной прослойке, так как её сопротивление преобладает над сопротивлением инверсного канала. На данном отрезке напряжений ток дырок определяется свойствами прослойки и возможностью туннелирования дырок сквозь нее. Когда U>Uпор сопротивление окисной фазы становится сравнимым с сопротивление инверсного канала. С этого момента движение дырок определяется самим каналом и описывается законом Ома.

Обнаружение сверхлинейного участка на ВАХ в области малых напряжений, за который ответственно туннелирование дырок сквозь межкристаллитные прослойки, может служить экспериментальным подтверждением предположения в модели Неустроева-Осипова о туннельно-прозрачных для дырок окисных фазах [9].

В области низких напряжений (0 - 50В) зависимость темнового и фототока от напряжения соответствует закону Ома. Вальтамперные характеристики, измеренные на относительно низкоомных образцах, показывают, что линейная зависимость темнового тока приложенного напряжения становится сверхлинейной в области больших напряжений. (рис.3.2)

Линейный участок ВАХ фототока в области тех же приложенных напряжений сменяется на сублинейную зависимость (рис.3.3). таким образом, полученные экспериментальные результаты обнаруживают корреляцию между началом сверхлинейного возрастания темнового тока и началом гашения фототока. Полученные зависимости могут быть непротиворечиво объяснены, если предположить, что протекание тока в исследуемых образцах приводит к выделению Ленц-Джоулева тепла, приводящего к увеличению температуры пленки. В этом случае начало области отрицательной проводимости наблюдается в диапазоне температур, в котором дополнительный разогрев приводит к температурному гашению фотопроводимости. В пленках сульфида свинца разогрев осуществляется темновым током, который более чем на порядок превышает величину фототока. Поэтому отмеченные особенности ВАХ наблюдались только в пленках с высокой темновой проводимостью, а в высокоомных образцах темновой ток не обеспечивает необходимую мощность разогрева, ВАХ темнового тока линейны и подчиняются закону Ома.

Для образцов, полученных физическими методами, в нашем случае методом вакуумного испарения, которые подверглись отжигу на воздухе с целью повышения их фоточувствительности, предложенная выше модель не может объяснить наблюдаемые особенности ВАХ этих пленок, так как они более высокоомны чем образцы, полученных химическими методами. Отжиг физических слоев на воздухе при высоких температурах приводит к увеличению толщины оксидной фазы, её сопротивление с ростом толщины становится преобладающим и основное падение напряжения происходит на межкристаллитных прослойках, расположенных перпендикулярно направлению протекания тока. Увеличение приложенного напряжения приводит к возрастанию прозрачности барьера для электронов, а следовательно и к экспоненциальому возрастанию величины электронной составляющей тока. Это подтверждается уменьшением времени жизни дырок на участке ОДП. При превышении туннельным электронным током омического дырочного темнового тока на ВАХ образуется сверхлинейный участок, а на зависимоcти фототока от напряжения, вследствие увеличения темпа рекомбинации, появляется участок ОДП.

Сверхлинейная зависимость темнового тока от приложенного напряжения, по нашему мнению, объясняется следующим образом. При малых напряжениях (25 - 50 В) протекание тока обусловлено дрейфом дырок во внешнем электрическом поле вдоль инверсионных каналов у поверхности кристаллитов. По мере увеличения приложенного напряжения возрастает напряженность электрического поля в образце [8], и, начиная с некоторого "критического" значения туннельный ток электронов сквозь окисный барьер на межзеренной границе становится сравнимым с током дырок, идущих вдоль инверсионных каналов. Таким образом, суммарный ток в образце равен [12] :

J=JP+JT,

где JT - туннельный ток электронов сквозь барьер на МЗГ,

JP - дырочный ток вдоль инверсионных каналов.

При увеличении приложенного напряжения возрастает прозрачность барьера D, а следовательно, и туннельный ток JT. При напряжениях смещения порядка 25 - 50 В туннельная составляющая общего тока становится существенной, что приводит к сверхлинейной зависимости вольтамперной характеристики.

Таким образом, наблюдаемые особенности ВАХ пленок сульфида свинца обусловлены либо выделением Ленц-Джоулева тепла в условиях температурного гашения фотопроводимости [16] (для образцов полученных химическими методами), либо туннельными процессами в межкристаллитных прослойках (для физически полученных слоев)

Ниже приведены вольтамперные характеристики тонких пленок сульфида свинца, которые получены различными методами.

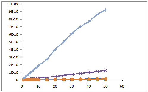
Рис. 3.2. Вольтамперные характеристики темнового тока (1 -пленки, полученные методом вакуумного испарения, 2 - пленки, полученные методом пульверизации, 3 - пленки, полученные химическим осаждением)

Рис.3.3 Вольтамперные характеристики фототока (1 - пленки, полученные методом вакуумного испарения, 2 - пленки, полученные методом пульверизации, 3 - пленки, полученные химическим осаждением)

.2 Температурные зависимости образцов PbS

Нами были получены результаты измерений тока, протекающего в образце, от температуры пленки. Для этого исследуемый образец охлаждался азотом до низких температур, примерно 60 К. измеренные значения изображены в графическом представлении Ln I - 103/T. На графике мы видим экспоненциальную зависимость от температуры.

Из-за различной толщины оксидных фаз в образцах, полученных химическим и физическим методом, мы можем наблюдать различные механизмы токопереноса, описанные ранее. Этот же факт отражает и температурная зависимость.

Температурные зависимости темнового тока (Рис. 3.5) и фототока (Рис.3.6) исследуемых образцов имеют вид, характерный для фоточувствительных слоев сульфида свинца с дырочной проводимостью. Темновая проводимость пленок монотонно возрастает с ростом температуры, а кривая зависимости фототока от температуры имеет максимум при определенной температуре, выше которой начинается спадание фототока. Температура максимума для образцов полученных разными методами, разная. Возрастание фототока до температуры, после которой начинается спад фотопроводимости, связано с ростом дрейфовой подвижности дырок, а спадание фотопроводимости при дальнейшем повышении температуры обусловлено уменьшением времени жизни основных носителей заряда. Необходимо отметить, что измерение температурных зависимостей, проводились при напряжениях, соответствующих области выполнения закона Ома.

Для всех полученных тонких пленок сульфида свинца были посчитаны энергии активации. Энергии активации определены, начиная с температуры 200К.

Для слоев, полученных методом химического осаждения Ет=0,13 эВ, для темновой характеристики тока. Для фототока Еф=0,24 эВ. Для слоев, полученных методом пульверизации Ет=0,12 эВ; Еф=0,29 эВ. И для слоев, полученных физическим методом, Ет=0,27 эВ; Еф=0,14 эВ.

Рис.3.5. Температурные зависимости темнового тока (1 - пленки, полученные методом вакуумного испарения, 2 - пленки, полученные методом пульверизации, 3 - пленки, полученные химическим осаждением)

Из [17] установлено, что в низкотемпературной области постоянная времени спада фототока практически не меняется, а активация фототока обусловлена возрастанием дрейфовой подвижности дырок. При более высоких температурах увеличивается вероятность преодоления носителями рекомбинационного барьера, что приводит к уменьшению их времени жизни, а, следовательно, и к гашению фототока.

Рис.3.6. Температурные зависимости фототока (1 - пленки, полученные методом вакуумного испарения, 2 - пленки, полученные методом пульверизации, 3 - пленки, полученные химическим осаждением)

.3 Люксамперные характеристики тонких плёнок сульфида свинца.

Генерация носителей заряда под действием света приводит к изменению электропроводности σ полупроводника, которая для неравновесных электронов ∆n и дырок ∆p записывается в виде:


где  и - концентрации равновесных электронов и дырок.

Фотопроводимость  определяется выражением:


Концентрации неравновесных носителей ∆n и ∆p зависят от интенсивности и длительности освящения полупроводника. Пусть ∆n’ и ∆p’ - концентрация, генерируемых светом носителей заряда. Если интенсивность монохроматического освящения слоя толщиной dx равна I, а коэффициент поглощения ǽ, то количество световой энергии, поглощенной в единицу времени в единицу объема равно:

ǽI

Для области собственного поглощения количество генерируемых носителей ∆n’ и ∆p’ пропорционально величине ǽI и равно:

 ǽI

где  - коэффициент квантового выхода.

При достаточно длительном освещении образца устанавливается стационарное значение неравновесной концентрации фотоносителей ∆nст и ∆pст

ǽ

 ǽ

 и  - времена жизни неравновесных носителей.

 ǽ

Если один из членов последнего соотношения значительно больше другого за счет разницы подвижностей или времени жизни, то фотопроводимость осуществляется носителями одного знака и называется монополярной. Для полупроводника PbS подвижности дырок больше подвижности электронов (, ). Поскольку в инверсном слое , то для большинства образцов

 ǽ

Отсюда следует выражение для люксамперной характеристики при линейном законе рекомбинации

 ǽ

ЛАХ является в этом случае линейной. На рисунке (Рис.3.4) видно, что люксамперные характеристики для образцов, полученных химическими методами, линейны при малых интенсивностях света и сверхлинейны при больших интенсивностях, тогда как для физических слоев эти зависимости сублинейны. Сверхлинейная зависимость наблюдается только при линейной рекомбинации в области температурного гашения фототока.

Рис. 3.4. Люксамперные характеристики (1 - пленки, полученные методом вакуумного испарения, 2 - пленки, полученные методом пульверизации, 3 - пленки, полученные химическим осаждением).

Таким образом, в образцах, полученных химическими методами, осуществляется мономолекулярная рекомбинация, т.е. рекомбинируют свободные дырки с электронами, захваченными на акцепторные центры в приграничной области кристаллитов. Для физических слоев рекомбинация бимолекулярна (квадратична), в фотопроводимости принимают участие носители обоих типов - электроны и дырки. Люксамперные характеристики подтверждают сделанный ранее вывод о различных механизмах токопереноса в физических и химических слоях.

3.4 Зависимость свойств тонких пленок сульфида свинца от времени хранения на воздухе

Практическая ценность тонких пленок сульфида свинца очевидна, но немаловажный фактор в сфере практического применения это долговечность полученного образца, сохранность его основных характеристик с течением времени, а также условия его использования при влиянии различных внешних факторов. Технология полимерной герметизации позволяет обеспечить сохранность фоточувствительных пленок, а также обеспечить надежность и длительность работы приборов с использованием тонких пленок PbS при климатических воздействиях во время эксплуатации. Полимерные материалы могут также служить оптическими клеями для приклейки иммерсионных линз или других оптических элементов к поверхности фоточувствительных пленок. сГруппы полисилоксануретановых компаундов (УК-1, УК-2 и др.), сочетающих оптическую прозрачность в диапазоне работы фоторезисторов из сернистого свинца с высокими адгезионными характеристиками в широком интервале рабочих температур и нейтральностью по отношению к характеристикам пленок, нашли широкое применение в технологических процессах изготовления фотоприемников (и не только на основе PbS). Их применение, в частности, позволило обеспечить длительную сохраняемость параметров фоторезисторов (не менее 15 лет) [5].

При напряжении в 30 В (Рис.3.7) мы видим ухудшение характеристик фототока условно в 6 раз, а при напряжении 50 В - в 8 раз. Подобное мы наблюдаем и на люксамперных характеристиках (Рис.3.8), когда при самом ярком освящении образца при напряжении 10В мы видим ухудшение параметров фототока примерно в 8 раз для «старых» образцов.

Рис. 3.7. ВАХ фототока при интенсивности света 2*I

Рис. 3.8. Люксамперные характеристики образцов при напряжении в 10 В

Выводы

1.       Для формирования на поверхности стеклянной подложки фоточувствительного слоя сульфида свинца использованы методы химического осаждения, вакуумного испарения и пульверизации. Каждый из методов получения тонких пленок сульфида свинца имеет свои преимущества и недостатки. Метода пульверизации позволяет варьировать состав растворов в едином технологическом процессе.

2.       Показано, что участок гашения фототока и сверхлинейная зависимость ВАХ темнового тока в тонких пленках сульфида сульфида свинца связаны с выделением Ленц-Джоулева тепла.

.        Толщина оксидной фазы на границах кристаллитов и концентрация акцепторных центров в ней, определяющих образование инверсного канала проводимости р-типа, зависят от технологии получения образцов.

.        Рекомбинация в пленках, полученных физическим методом, является бимолекулярной (квадратичной). В образцах, полученных методами химического осаждения из раствора и пульверизационного пиролиза рекомбинация мономолекулярна (линейна).

.        Определены энергии активации для образцов, полученных разными методами.

.        При длительном хранении тонких пленок сульфида свинца на воздухе при комнатной температуре, заметны ухудшения основных характеристик образцов в несколько раз.

Литература

1.   .Н., Осипов В.В. "О природе аномальных свойств фоточувствительных пленок типа РЬ8" // 1987 г., ФТП, Т.21, №12.

2.       Неустроев Л.Н., Осипов В.В., Онаркулов К.Э. "Исследование внутренней структуры поликристаллических пленок РЬ8 с помощью вакуумного прогрева" // ФТП, 1987 г., т.21, №6. с.989-994.

.        Мотт Н., Дэвис Э. "Электронные процессы в некристаллических веществах", Т. 1,2, М., Мир, 1982, С.369.

.        Гудаев О.А., Пауль Э.Э, Седельников А.П. "Локальная неоднородность фоточувствительности химически осажденных слоев РЬ8" // Автометрия, 1989 г, №5, С. 118-119.

.        Ковалев А.Н., Маняхин Ф.И., Пархоменко Ю.Н., Меньшиков О.Д. "Профиль распределения компонентов в приповерхностном слое поликристаллических пленок сульфида свинца". // М.: Наука, Поверхность, №.11, 1987.

.        Ковалев А.Н., Остробородова В.В., Парамонов В.И., Фоломин П.И. "Проявление неоднородностей в нелегированных халькогенидах свинца по гальваномагнитным свойствам", ФТП, 1989, Т.23, в.11, С.2039-2048.

.        Алешин А.Н., Бурлак А.В., Мандель В.Е., Пастернак В.А., Тюрин А.В., Цукерман В.Г. Фоточувствительные слои сульфида свинца, полученные методом пульверизации //Неорганические материалы.-1999.-Т.35. -№4. -С.1-4.

.        Иконникова О.Г., Неустроев Л.Н., Осипов В.В. "Теория фоторезисторов на основе узкозонных полупроводников с инверсионным изгибом зон у поверхности", Микроэлектроника, 1983, Т. 12, в.5, С.412-420.

.        Алешин А.Н., Бурлак А.В., Кучерюк О.Д., Пастернак В.А., Тюрин А.В. Механизм полевого гашения фототока в поликристаллических пленках сульфида свинца // Материалы У-й Международной конференции "Физика и технология тонких пленок". - II часть. - Ивано-Франковск. - 1995. - С.203.

.        Агарев В.Н., Стафеев В.И. "О механизме проводимости и фотопроводимости в поликристаллических пленках", ФТП, 1977, Т. 11, Вып.9, С. 1684-1690.

.        Гольдман Е.И., Ждан А.Г. Электропроводность полупроводников с межгарнульными барьерами. - Физ. и техн. Полупроводников., 1976, т.10,№1-. -С. 1839-1845.


Не нашли материал для своей работы?
Поможем написать уникальную работу
Без плагиата!
Без нейросетей!