Расчет барабанного вакуум-фильтра
КУРСОВАЯ РАБОТА
на тему: "Расчет
барабанного вакуум-фильтра"
Введение
Любой технологический процесс, несмотря на различие методов,
представляет собой ряд взаимосвязанных типовых технологических стадий,
протекающих в аппаратуре определенного класса. Однако высокие требования к
качеству продукции, эффективности производства, снижению его энерго- и
материалоемкости, охране окружающей среды определяли специфику, отличающую эти
технологические стадии получения пищевых продуктов и аппаратурно-технологическое
оформление от подобных процессов в других отраслях.
Процессы в пищевой технологии в большинстве своем сложны и
зачастую представляют собой сочетание гидродинамических, тепловых,
массообменных, биохимических и механических процессов. Одним из важных
процессов является фильтрование. Фильтрование может быть шламовым, оно
реализуется для маловязких жидкостей, содержащих большое количество взвешенных
частиц; закупорочным - при малом размере частиц и их небольшом количестве; и
комбинированным.
В наше время широко используются барабанные вакуум фильтры, с
наружной фильтрующей поверхностью, характеризующейся высокой скоростью
фильтрования, пригодностью для обработки разнообразных суспензий, простотой
обслуживания. Основной задачей при проектировании является расчет требуемой
поверхности фильтрования, подбор по каталогам стандартного фильтра и
определение числа фильтров, обеспечивающих заданную производительность. Таким
образом, расчет проводят в два этапа.
1. Теоретические основы процесса фильтрования
Фильтрование - это разделение неоднородной системы с твердой
дисперсной фазой, основанное на задержании твердых частиц пористыми
перегородками.
Фильтрование осуществляется под действием разности давлений
перед фильтрующей перегородки и после нее. Интенсивность фильтрования зависит
от количества суспензий, полученных на предыдущих стадиях технологического
процесса: дисперсной системы с понижением сопротивления осадка, без смолистых,
слизистых и коллоидных веществ.
При разделении неоднородных систем фильтрования возникает
необходимость выбора конструкции фильтра, фильтровальной перегородки, режима
фильтрования.
В качестве фильтрующих материалов применяют зернистые
материалы - песок, гравий для фильтрования воды, различные ткани, картон,
сетки, пористые полимерные материалы, керамику и т.д.
Классификация процесса фильтрования
) По движущей силе: движущей силой процесса фильтрования
является разность давлений по обе стороны фильтровальной бумаги. Получить
разность можно двумя способами:
создание избыточного давления над фильтром (рис. 1, а)
создание вакуума (рис. 1, б)
) По механизму фильтрования:
с образованием осадка на поверхности фильтровальной
перегородки. При этом твердые частицы не проникают внутрь перегородки.
с закупориванием пор фильтровальной перегородки, твердые
частицы проникают внутрь перегородки.
) По целенаправленности процесса:
получение чистого осадка;
получение фильтрата;
получение одновременно осадка и фильтрата;
) По целевому назначению:
очистное фильтрование, его применяют для очистки растворов от
включений, а целевым продуктом является фильтрат.
продуктовое фильтрование, его целью является получение осадка
(НУТЧ-фильтры, барабанные вакуум фильтры).
Рис. 1 Схема фильтрования: а - под избыточным давлением; б -
под вакуумом
Процесс разделения суспензий на фильтрах состоит из
нескольких операций: промывка осадка на фильтре, при этом с помощью фильтра,
фильтрат выделяется из пор осадка; продувка осадка воздухом с целью вытеснения
из пор оставшейся промывной жидкости; сушка осадка нагретым воздухом.
Фильтрование обычно протекает в ламинарном режиме. Скорость
фильтрования - это объем фильтрата полученный с 1м2 фильтрующей
поверхности за 1с:
ω=
, [м3/м2×с].
Скорость процесса прямо пропорциональна разности давлений и
обратно пропорциональна сопротивлению осадка. Процесс описывается следующим
кинетическим уравнением:

, (*)
где V - объем фильтрата, м3; F - площадь поверхности фильтрования, м2; t-продолжительность фильтрования, с;
- перепад давлений, Н/м2;
- вязкость жидкой фазы, Н×с/м2; Rос -
сопротивление осадка, м-1; 
- сопротивление фильтровальной перегородки, м-1.
Если предположить, что в фильтровальную перегородку не проникают
твердые частицы, то сопротивление 
можно принять постоянным, а сопротивление осадка изменяется с
увеличением слоя осадка.
Примем, что при прохождении 1 м3 фильтрата, образуется
х0 м3 осадка, тогда:
х0V=h0F, 
h0= х0V/F,
где h0-высота осадка, м.
Допустим, что сопротивление слоя осадка пропорционально его
высоте:
Roc
r0h0=r0x0V/F,
где r0 - удельное сопротивление осадка, м2.
Подставив, полученное выражение в уравнение (*):
Пренебрегая, сопротивлением фильтровальной перегородки получим:
Для начального момента фильтрования (V=0): 
=
Для случая фильтрования при 
имеем:
Полученное уравнение применимо как к сжимаемым, так и к
несжимаемым осадкам и показывает, что увеличением объема фильтрата скорость
фильтрования уменьшается.
Из этого уравнения можно найти продолжительность фильтрования:
Таким образом, продолжительность фильтрования прямо
пропорциональна квадрату объема полученного фильтрата.
Удельная производительность фильтрата в (м3/м2):
Vf=
- 
2.
Оборудование: фильтровальные аппараты
Классификация фильтровальных аппаратов приведена на рисунке
1.1.
В фильтрах периодического действия фильтрующая перегородка
неподвижна, а в фильтрах непрерывного действия она перемещается, проходя через
зону очистки, в которой регенерируется. Оба эти класса разделяются на фильтры,
работающие под давлением или под вакуумом. В классе фильтров периодического
действия выделяют отдельно группы фильтров, работающих под давлением столба
жидкости над фильтрующей поверхностью или создаваемым насосом. Вакуумные
фильтры называют также нутч-фильтрами.
Рис. 2.1 Классификация фильтровальных аппаратов
Схема песочного фильтровального аппарата как аппарата подгруппы
фильтров с зернистым слоем представлена на рисунке 2.2. Такие фильтры применяют
при относительно малом содержании твердой фазы в жидкости. Они работают и как
шламовые, и как закупорочные. Такие фильтры очищают воду на ликероводочных
заводах. На нижний диск фильтра, покрытый тканью, насыпают слой мелкого песка,
далее через слой ткани слой крупного песка и затем на верхний диск укладывают слой
ткани. Суспензия подводится сверху под давлением 0,02…0,03 МПа, фильтрат
отводится снизу. На верхней крышке аппарата предусмотрен кран для отвода
воздуха. В начальный период фильтрования фильтрат получается мутным, и лишь по
истечении периода обдержки», составляющего 15…30 мин, он осветляется. Это
объясняется тем, что в начальный период работы на поверхности песочного фильтра
еще не отложился достаточно толстый слой шлама, и он работает как аппарат
закупорочного фильтрования. При этом через него проходит часть частиц
дисперсной фазы суспензии, имеющих малые размеры. По мере накопления шлама,
фильтрование переходит в шламовое и проходившие ранее через фильтр частицы
задерживаются шламом. В результате фильтрат осветляется. Скорость фильтрования
250…750 дм3/(м2*ч). Когда она существенно падает, аппарат перезаряжается.
Рис. 2.2 Схема песочного фильтра. Рис. 2.3 Схема
фильтрационного чана: 1-фильтрующая ткань, 2 - мешалка, 3 - корпус, 4 - решетка.
В фильтрационном чане (рис. 2.3.) установлена
сетка с тенью, на которой накапливайся слой осадка. Верхняя часть осадка
периодически перемешивается мешалкой. При необходимости осадок удаляют через
насадок большого поперечного сечения. Для интенсификации фильтрования можно
повысить давление над осадком. Перепад давлений на фильтре удается увеличить
также созданием вакуума полости под фильтрующим слоем (нутч-фильтры).
Для работы при избыточном давлении 0,3…0,4МПа применяют
фильтр-прессы. Они представляют собой набор рам (элементов), на которые
натянута или между которыми уложена фильтрующая ткань (пластины). Фильтрат
проходит через фильтрующие слои и удаляется через бороздки на рамных элементах,
собирающиеся в отводящий канал. Подводящий коллектор распределяет фильтруемую
жидкость в пространстве между рамными элементами. Рамные элементы фильтров
собирают в батареи по 10…60 шт., уплотняемые по торцевым поверхностям с помощью
винтового пресса или другого зажимного устройства. После достаточно полной закупорки
пор, происходящей обычно в течение 60…300 мин, фильтрующие элементы
периодически удаляют вместе с осадком и заменяют.
Трудоемкость обслуживания фильтр-прессов можно уменьшить. Это
достигается использованием механизированного зажима плит. Такие автоматические
камерные прессы применяют лов фильтрования тонкодисперсных суспензий.
Автоматический камерный фильтр-пресс (рис. 2.4., а) состоит
из горизонтально расположенных одна над другой фильтрующих плит 2, расстояние
между которыми составляет 23. «30 мм.
С обеих сторон плит установлены направляющие. Между патами
через ролики протянута бесконечная лента фильтрующей ткани 3, натяжение которой
осуществляется натяжным устройством. Для образования отдельных камер в пазах
рам установлены резиновые шланги 1. Уплотнение в камерах осуществляется при
подаче жидкости в шланги под давлением 0,8… 1,0 МПа (рис. 2.4 б).
Рис. 2.4 Автоматический камерный фильтр-пресс:
а-схема фильтра: 1-шланг резиновый уплотняющий; 2 - опорная
щелевидная плита; 3 - фильтрующая ткань; 4 - нож для съема осадка; 5 - нож
подчистки; 6 - камера регенерации; 7 - поддон; 8 - камера для чистого
фильтрата; 9 - камера для суспензии; б-уплотняющие шланги:
- опорная плита; 2 - шланг; 3 - ткань; 4 - опорная щелевидная
плита.
Чтобы отделить фильтрат от шлама и отводить его из отдельных
камер пресса, камеры перекрыты опорными щелевидными плитами, под которыми
установлены поддоны 7 для сбора и спя» да фильтрата. Осадок срезается с
фильтрующей ткани ножом. Регенерацию ткани проводят в камере регенерации 6.
Полный цикл работы фильтра состоит из операций: подачи
жидкости в шланги и образования камер; фильтрования; промывки осадка; отдувки
промытого осадка сжатым воздухом; подсушивания промытого осадка сжатым
воздухом; удаления осадка ж генерации фильтрующей ткани.
Применяют ряд конструкций фильтровальных аппаратов с плоскими
листовыми фильтрующими элементами или с жесткими фильтрующими перегородками
(керамическими), содержащими от 1 до 40 фильтрующих элементов, а также мешочные
фильтры, содержащие обернутые тканью (мешками) каркасы из металлических рамок.
Мешочные элементы могут промываться фильтратом, подаваемым под давлением с
внутренней стороны мешков. Отделяющийся от ткани осадок при этом падает на дно
аппарата и является. Фильтрующие элементы периодически заменяют.
Дисковые вакуумные фильтры состоят из дисков,
разделенных на секторы (рис. 2.5). Секторы обернуты фильтрующей тканью. Площадь
поверхности фильтрования достигает 100 м2.
Фильтрующие элементы соединяются через трубовал и
распределительную головку поочередно с тремя вакуумированными полостями и с
четвертой - отдувочной полостью. При соединении с отдувочной полостью в
фильтрующие элементы подается фильтрат, скидывающий с них осадок на дно. При
дальнейшем вращении трубовала фильтрующие элементы поочередно соединяются с
вакуумированными полостями, давление в которых соответствует трем ступеням
последовательно уменьшающегося остаточного давления. Это выравнивает чистоту
фильтрата по мере накопления осадка на фильтрующем элементе.
Рис. 2.5 Схема дискового вакуум-фильтра:
а) общая схема; б) сектор диска. 1 - вал; 2 - диски; 3 -
корыто; 4 - распределительная головка; 5 - ткань; б - стенки сектора; 7 -
накладка; 8 - шпильки; 9 - штуцер; 10 - ячейка вала
Ленточный вакуумный фильтр содержит фильтрующую ткань,
образующую непрерывную ленту, движущуюся на роликах (рис. 2.6) она скользит по
перфорированной резиновой ленте, надетой на те же барабаны. Вакуум-камеры
служат для приема фильтрата и промоев, а осадок удаляется съемниками осадка в
местах перегиба ленты. Конструкция такого аппарата проста, но лента
используется лишь частично.
Движущая сила фильтрования в вакуум-фильтрах существенно
меньше, чем в фильтрах-прессах. Поэтому толщина осадка в них не превышает 10…12
мм (иногда до 40 мм). Фильтруемая суспензия должна иметь достаточно высокую
концентрацию фильтруемых веществ, чтобы быстрей образовался фильтрующий осадок.
Рис. 2.6 Схема ленточного вакуум-фильтра: 1 - барабан; 2 -
лента; 3 - ролики; 4 - форсунки.
3.
Принцип работы барабанного вакуум-фильтра
фильтрование аппарат перегородка дисперсный
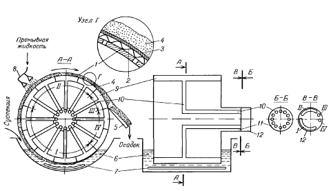
Рис. 3.1. Барабанный вакуум-фильтр:
- перфорированный барабан, 2 - волнистая сетка; З -
фильтровальная перегородка; 4 - осадок; 5 - нож для съема осадка, б - корыто
для суспензии; 7 - касающаяся мешалка; 8 - устройство для подвода промывной
жидкости; 9 - камеры (ячейки) барабана; 10 - соединительные трубки; 11 -
вращающаяся часть распределительной головки; 12 - неподвижная часть
распределительной головки; I - зона фильтрования и отсоса фильтрата; II - зона
промывки осадка и отсоса промывных вод; III - зона съема осадка; IV - зона
очистки фильтровальной ткани.
Фильтр имеет вращающийся цилиндрический перфорированный
барабан 1, покрытый металлической сеткой 2 и фильтровальной тканью 3. Часть
поверхности барабана (30-40%) погружена в суспензию, находящуюся в корыте 6. С
помощью радиальных перегородок барабан разделен на ряд изолированных друг от
друга ячеек(камер) 9.
Ячейки с помощью труб 10, составляющих основу вращающейся
части распределенной головки 11, соединяется с различными полостями неподвижной
части распределительной головки 12, к которым подведены источники вакуума и
сжатого воздуха. При вращении барабана каждая ячейка проходит несколько зон (I-IV).
Зона I - зона фильтрования и подсушивания осадка; где ячейки
соединяются с линией вакуума. Благодаря возникающему перепаду, давления
фильтрат проходит через фильтровальную ткань 3, сетку 2 и перфорацию барабана 1
внутрь ячейки и по трубе 10 выводится из аппарата. На наружной поверхности
фильтровальной ткани формируется осадок 4. При выходе ячеек из суспензии осадок
частично подсушивается.
Зона II - зона промывки осадка и его сушки, где ячейки
соединены с линией вакуума. С помощью устройства 8 подается промывная жидкость,
которая проходит через осадок и по трубам 10 выводится из аппарата. На участке
этой зоны, где промывная жидкость не поступает, осадок высушивается.
Зона III - зона съема осадка, здесь ячейки соединены с
линией сжатого воздуха для распыления осадка, что облегчает его удаление. Затем
с помощью ножа 5 осадок отделяется от поверхности ткани.
Зона IV - зона регенерации фильтровальной перегородки,
которая продувается сжатым воздухом от оставшихся на ней твердых частиц.
В корыте 6 для суспензии происходит осаждение твердых частиц
под действием силы тяжести, причем в направлении обратном движению фильтрата. В
связи с этим возникает необходимость перемешивания суспензий, для чего
используют мешалку 7. Ячейки при вращении барабана проходят так, называемые
«мертвые» зоны в которых они оказываются отсоединенными от источников, как
вакуума, так и сжатого газа.
Весь цикл операций повторяется. Таким образом, на каждом
участке поверхности фильтра все операции происходят последовательно одна за
другой, но участки работают независимо, поэтому в целом все операции происходят
одновременно, и процесс протекает непрерывно.
4.
Расчет
) По справочным данным определили, что при 20 °С µ=1,005×10-3Па×с, при 50 °С µ=0,55×10-3Па×с
2) Плотность влажного осадка: pос=
; увеличить формулы

ос=
1677 
) Отношение объема осадка на фильтре к объему полученного фильтра:
х0=
;
х0=
=0,237
) Масса твердой фазы: хв= 
;
хв=
) Продолжительность фильтрования: 

= 
) Продолжительность промывки: tпр= К
Коэффициент запаса из диапазона (1,05-1,2) примем равным К=1,1
tпр=1,1
) Для определения частоты вращения барабана по уравнению n=
, предварительно зададимся с помощью табл. 2 значениями углов,
ориентируясь на наиболее типичные значения:




=5
;
n=
Полученная частота укладывается в диапазон значений, приведенных в
табл. 2.
) Продолжительность полного цикла работы фильтра: 
9) Удельный объем фильтрата: 
=
) Общая поверхность фильтрования: Fоб=
Fоб =
Эту поверхность может обеспечить фильтр один фильтр Б010-2,6У,
имеющий Fф= 10 м2
11) Проверим пригодность выбранного фильтра. Он имеет следующие
значения углов:

= 132
; (
)=103
;
) Рассчитаем n1 и n2
n1= 
n1= 
= 0,0028с-1
n2= 
n2= 
с-1
т. к. n2 >n1, окончательно принимаем частоту вращения
барабана n=n1= 0,0028c-1. Эта
частота соответствует допустимому диапазону частот (0,00217-0,0333 с-1),
указанной в табл 1. Приложения
) Угол, необходимый для фильтрования, можно определить, зная
продолжительность фильтрования и частоту: 
Фактически угол сектора фильтрования в стандартном фильтре
составляет 
Таким образом, часть поверхности зоны фильтрования оказывается
недостаточной, поэтому при заказе фильтра целесообразно увеличить угол
фильтрования в распределительной головке на величину

= 

=133,7-132=1,7
Этого можно добиться, например, увеличив на то же значение угол
) Продолжительность полного цикла 

) Производительность фильтра vф=
Fф

vф=
что соответствует заданной производительности (0,00139 
)
Заключение
фильтрование аппарат перегородка дисперсный
В данной курсовой работе были рассмотрены основные виды
фильтров, применяемых на производстве, приведено краткое описание их устройства
и принцип работы. Был произведен расчет барабанного вакуум-фильтра. Мы
рассчитали требуемую поверхность фильтра, подобрали стандартный фильтр и
определили необходимое их число. По расчетам нашли тип барабанного
вакуум-фильтра: Б010-2,6У.
В настоящее время в промышленности применяются различные виды
фильтров, выбор зависит от его назначения, при подборе необходимо обратить
внимание на технические характеристики, а также габариты.
Список использованной литературы
2. Плаксин
Ю.М. «Процессы и аппараты пищевых производств» - М.: КолосС, 2008. - 760 с.
. Дытнерский
Ю.И. «Основные процессы и аппараты химических технологий»
-
С.: Химия, 2002.-493 с.
. «Машины
и аппараты пищевых производств» под ред. акад. РАСХН В.А. Панфилова. - М.:
Высш. шк., 2001.-703 с.
5. Иоффе
И.А. «Проектирование процессов и аппаратов химической технологии» - С.: Химия,
2001.-352 с.