Получение оптически селективных и чёрных оксидных плёнок на алюминии и его сплавах при поляризации переменным асимметричным током

  • Вид работы:
    Другое
  • Предмет:
    Другое
  • Язык:
    Русский
    ,
    Формат файла:
    MS Word
    211,41 kb
  • Опубликовано:
    2011-12-08
Вы можете узнать стоимость помощи в написании студенческой работы.
Помощь в написании работы, которую точно примут!

Получение оптически селективных и чёрных оксидных плёнок на алюминии и его сплавах при поляризации переменным асимметричным током

На правах рукописи




Клушин Виктор Александрович

Получение оптически селективных и чёрных оксидных плёнок на алюминии и его сплавах при поляризации переменным асимметричным током


.17.03 - «Технология электрохимических процессов и защита от

коррозии»

Автореферат диссертации на соискание ученой степени

кандидата технических наук








г. Новочеркасск - 2011 г.

Работа выполнена в государственном образовательном учреждении высшего профессионального образования «Южно-Российский государственный технический университет (Новочеркасский политехнический институт)»

Научный руководитель:        доктор технических наук, профессор

Кудрявцев Юрий Дмитриевич

Официальные оппоненты:     доктор технических наук, профессор Селиванов Валентин Николаевич

кандидат химических наук, доцент Савельева Елена Анатольевна

Ведущая организация: Научно-исследовательский институт

физической и органической химии Южного федерального университета, 344090, г. Ростов-на-дону, пр. Стачки, 194/2

Защита состоится 01 марта 2011 года в 11 часов на заседании диссертационного совета Д 212.304.05. при государственном образовательном учреждении высшего профессионального образования «Южно-Российский государственный технический университет (Новочеркасский политехнический институт)» в 107 ауд. главного корпуса по адресу: 346428, г. Новочеркасск, Ростовская область, ул. Просвещения, 132.

С диссертацией можно ознакомиться в библиотеке государственного образовательного учреждения высшего профессионального образования «Южно-Российский государственный технический университет (Новочеркасский политехнический институт)».

Автореферат разослан 31 января 2011 года

Учёный секретарь

диссертационного совета Жукова И.Ю.

Общая характеристика работы

Актуальность темы. Разработка дешёвых и экологически безопасных способов получения оптически селективных покрытий (Пк) позволит расширить использование солнечной энергии как альтернативу стандартным источникам тепла: электрической энергии и углеводородному сырью. Существующие в настоящее время способы получения оптически селективных Пк обладают целым рядом существенных недостатков: высокой энергоёмкостью процесса, многослойностью Пк и длительностью его нанесения (3 - 4 часа), применением дорогих и экологически вредных компонентов. Поэтому для успешного использования солнечных водонагревателей на российском рынке необходима разработка новых технических решений в области получения оптически селективных покрытий.

Оптически черные светопоглощающие Пк - это важная часть современных средств отображения информации и перспективные терморегулирующие Пк. Большое значение чёрные Пк имеют при изготовлении приборов индикации для автомобилей и самолётов. Традиционной технологией производства оптически черных Пк является применение какого - либо поглощающего вещества. Однако такие Пк не обеспечивают оптимальных характеристик с минимальным уровнем отражения.

Электрохимические методы позволяют достаточно просто получать анодный оксид алюминия с заданными функциональными свойствами, которые можно изменять, если поры оксида заполнить теми или иными органическими или неорганическими веществами, вводимыми в раствор электролита. Представляется перспективным на базе анодного оксида алюминия получение оптически селективных и черных Пк с применением переменного асимметричного тока. Исследования по использованию переменного асимметричного тока для получения таких Пк отсутствуют. Вместе с тем, это направление весьма перспективно, так как позволит найти эффективное решение ряда важных технологических задач. Использование электрохимического метода весьма привлекательно еще и тем, что он прост и экономичен по сравнению с другими методами.

Таким образом, получение оптически селективных и чёрных оксидных Пк с использованием переменного асимметричного тока является важной научной и прикладной задачей.

Цель работы - получение оптически селективных и чёрных оксидных плёнок на поверхности алюминия и его сплавах при поляризации переменным асимметричным током.

Для достижения поставленной цели решали следующие задачи:

разработка нового способа подготовки поверхности алюминиевых сплавов при получении оптически селективных покрытий;

разработка нового способа получения оптически селективных и чёрных покрытий;

разработка составов электролита и режимов формирования оптически селективных и чёрных покрытий при поляризации переменным асимметричным током;

изучение закономерностей формирования и оптических свойств оксидных покрытий на поверхности алюминиевых сплавов, полученных при поляризации переменным асимметричным током;

исследование структуры и фазового состава оптически селективных и чёрных оксидных плёнок на сплавах алюминия;

разработка фторопластсодержащей полимерной дисперсии и состава прозрачного полимерного слоя, стойкого к воздействию ультрафиолета;

исследование возможности использования микродугового оксидирования для получения оптически чёрных покрытий;

изучение электрохимических процессов, происходящих при формировании оптически селективных покрытий на поверхности сплавов алюминия;

проведение лабораторных испытаний оптически селективных покрытий на термостарение.

Научная новизна работы:

- теоретически обоснована и экспериментально доказана эффективность использования переменного асимметричного тока для получения оптически селективных и чёрных оксидных плёнок на алюминии и его сплавах;

разработан новый способ получения оптически селективных и чёрных покрытий на поверхности алюминия и его сплавах при поляризации переменным асимметричным током;

разработан новый способ подготовки поверхности сплавов алюминия;

- установлено, что разработка нового способа подготовки поверхности алюминиевых сплавов позволяет получить развитую нано-
структурированную поверхность, обеспечившую высокие оптические свойства покрытий;

установлено влияние на тепловоспринимающую способность оптически селективного покрытия нанесение прозрачного полимерного слоя,
стойкого к воздействию ультрафиолета;

установлено, что оптические свойства покрытий обусловлены
высокодисперсным никелем, накапливающемся на дне пор;

накоплен новый фактический материал по влиянию соотношения
амплитуд катодного и анодного токов, компонентов электролита
на процесс формирования оптически селективных и чёрных покрытий;

установлено, что разработанные покрытия по своим оптическим
свойствам конкурентоспособны по отношению к зарубежным
аналогам.

Практическое значение полученных результатов. На основании результатов исследований разработаны способы получения оптически селективных и чёрных Пк, позволившие повысить эффективность преобразования коллектором солнечной энергии в тепловую и снизить стоимость Пк. Предлагаемые технологические решения дают возможность: снизить энергоёмкость процесса до 10 кВт∙м-2; получить однослойное Пк с высокими оптическими свойствами в течении 2,5 мин; исключить использование дорогостоящих компонентов; обеспечить экологическую безопасность нанесения Пк.

Разработанные покрытия были испытаны в ООО "Научно-производственный комплекс "ВЭТО"" г. Санкт-Петербурга и рекомендованы к использованию в гелиотехнике, электронной, автомобильной и военной отраслях промышленности. Техническую новизну практических результатов работы подтверждают шесть патентов РФ.

Автор защищает:

- новый способ получения оптически селективных и черных оксидных покрытий на алюминии и его сплавах;

новый способ подготовки поверхности алюминиевых сплавов АД 31 и А 5 М;

теоретические закономерности и оптимальные условия формирования оптически селективных и черных покрытий на поверхности алюминиевых сплавов АД 31 и А 5 М из разработанных составов электролита с применением статистических методов планирования экспериментов;

влияние нанесения прозрачного полимерного слоя на тепловоспринимающую способность оптически селективного покрытия.

Личный вклад соискателя. Автор принимал участие: в разработке методики проведения эксперимента; изготовлении экспериментальных образцов с оптически селективными и чёрными покрытиями; определении комплекса их физико-химических и оптических свойств; в разработке механизма формирования оптически селективных покрытий на алюминиевых сплавах в условиях поляризации переменным асимметричным током; обобщении экспериментальных данных и формировании выводов.

Апробация результатов диссертации. Основные результаты и положения работы изложены на II всероссийской научно - практической конференции «Защитные покрытия в машиностроении и приборостроении», г. Пенза, 2005 г.; на научно - практической конференции «Современные технологии упрочнения металла и нанесения покрытий», г. Ростов-на-Дону, 2005 г.; на двадцать седьмой международной конференции «Композиционные материалы в промышленности», г. Ялта, 2007г.; на всероссийской конференции «Электрохимия и экология», г. Новочеркасск, 2008 г.; на пятой международной научно - практической конференции «Исследование, разработка и применение высоких технологий в промышленности», г. Санкт-Петербург, 2008 г.; на четвёртой всероссийской конференции «Химия поверхности и нанотехнология», г. Санкт-Петербург, 2009 г.; на третьей всероссийской конференции по наноматериалам «НАНО - 2009», г. Екатеринбург, 2009 г.; на третьей международной конференции «Деформация и разрушение материалов и наноматериалов», г. Москва, 2009 г..

Публикации. По теме диссертационной работы опубликовано 16 работ, из которых 2 статьи в журналах ВАК, 6 патентов РФ, материалы международных и всероссийских конференций - 8.

Структура и объём диссертации. Диссертация состоит из введения, 5 глав, выводов, списка цитируемой литературы из 176 наименований и 1 приложения. Работа изложена на 176 страницах, содержит 40 рисунков и 23таблицы.

Основное содержание работы

алюминиевый сплав оптический поляризация ток

Во введении отражена актуальность темы диссертации, формулируется цель работы и задачи исследования.

В первой главе приведен анализ научно - технической и патентной литературы по теме диссертации. Рассмотрены анодные оксидные пленки на алюминии, модели их образования, режимы и способы формирования, композиционные Пк на основе этих плёнок. Проведён анализ электролитов и режимов для формирования цветных Пк на алюминии и его сплавах с использованием традиционного оксидирования и микроплазменных процессов. Рассмотрены оксидные плёнки алюминия, полученные при нестационарном режиме электролиза, особенности их формирования и преимущества. Проведён анализ способов получения оптически селективных и чёрных Пк, обеспечивающих эффективное поглощение солнечной энергии.

Обоснован выбор объектов исследования и пути повышения эффективности оптических свойств селективных и чёрных оксидных плёнок на сплавах алюминия.

Во второй главе описаны методы экспериментальных исследований и применяемая аппаратура.

Формирование оптически селективных и чёрных оксидных Пк проводили на предварительно подготовленной поверхности сплавов алюминия АД 31 и А 5 М при поляризации переменным асимметричным током промышленной частоты, представляющим собой две полусинусоиды разной амплитуды.

Оптически чёрные покрытия также получали с использованием метода микродугового оксидирования на установке тиристорного типа в гальваностатическом режиме.

Оптимизацию процесса формирования покрытий осуществляли с помощью метода математического планирования эксперимента Бокса - Уилсона.

В работе использован комплекс современных независимых, взаимодополняющих электрохимических и физико-химических методов исследования: вольтамперные циклические кривые (ЦВА) и циклические кривые заряжения (ЦКЗ); рН - метрия; спектрометр S - 4100; фотометр накладной ФМ - 59 - 44.2 в соответствии с условиями эксплуатации по ГОСТ 15160 - 69; терморадиометр ТРМ"И"; просвечивающую высокоразрешающую электронную и электронно-зондовую, высоковакуумную микроскопию и рентгеноспектральный микроанализ; методы определения термостарения, пористости и коррозионной стойкости в соответствии с ГОСТ; при оценке воспроизводимости экспериментальных результатов использовали методику среднестатистической оценки доверительного интервала по 3 - 4 параллельным измерениям, который характеризовался критерием Кохрена.

В третьей главе представлены и обсуждаются результаты исследований по получению оптически селективных Пк на поверхности алюминиевых сплавов; изучению влияния структуры поверхности, природы и количества органической кислоты в составе электролита, прозрачного полимерного слоя и температуры на их оптические свойства.

Получение оптически селективных покрытий - трудная задача, а в данном случае она осложняется и тем, что известные электролиты, используемые для оксидирования алюминия и его сплавов, применять нельзя, так как они не позволяют получать пористые Пк толщиной не более 1 мкм с одновременным заполнением пор высокодисперсным никелем.

На первом этапе были проведены исследования по разработке состава электролита для формирования оптически селективных Пк. Разработанный состав содержал сульфат алюминия (Al2(SO4)3·18H2O), сульфат никеля (NiSO4∙7H2O), формалин и одну из оксикислот (лимонную, винную, аскорбиновую). Противоэлектродом служил алюминиевый сплав А 5 М.

Планирование эксперимента проводили, используя четверть реплику ПФЭ 25 с генерирующими соотношениями X4 = X1∙X2∙X3, X5 = -X1∙X2.

Введение в условия подготовки поверхности алюминиевых сплавов стадии цинкования, роль которой заключалась не в создании подслоя для последующего нанесения гальванического покрытия, а в увеличении удельной поверхности, дало возможность получить высокоразвитую микроструктуру (рисунок 1). Поэтому полученные при оптимальных условиях селективные Пк обладали высокими оптическими характеристиками: Ас = 93,5 % и ε = 6,0 %.

Рисунок 1 - Морфология поверхности алюминиевых сплавов перед нанесением селективного покрытия

Из всех исследованных оксикислот наибольшую поглощающую способность оптически селективного покрытия и его высокую адгезию к подложке обеспечило введение в состав электролита лимонной кислоты. Её наличие в растворе электролита вследствие комплексообразования с никелем подавляет образование гидроксида никеля в катодный полупериод и облегчает доставку никеля к поверхности электрода, где он и выделяется в виде высокодисперсного никеля в порах оксида.

Для увеличения тепловоспринимающей способности оптически селективных Пк необходимо иметь на его поверхности прозрачный слой, стойкий к воздействию ультрафиолета. Проведенные разработки по получению фторопластсодержащих полимерных дисперсий, используемых для нанесения Пк на поверхность оксидированного металла способами автофореза и гетероадагуляции, позволили изучить возможность применения полимеров в виде прозрачного слоя на поверхности оптически селективных покрытий.

Нами впервые в качестве прозрачного слоя были исследованы истинные растворы фторопласта Ф - 3 МВ, Ф - 32 ЛН и кремнийорганического лака КО - 85. Из всех исследуемых полимеров для формирования прозрачного слоя на поверхности селективных Пк наиболее перспективным оказался 1 - 3 % (масс) фторопластовый лак Ф - 32 ЛН. Наличие этого слоя увеличило коэффициент поглощения до 95,0 % и незначительно повысило излучательную способность, до 9,0 %. Разработанные оптически селективные Пк обладают высокой термостабильностью (рисунок 2), что свидетельствует о возможности их использования в гелиоустановках. Причем, что очень важно, с возрастанием температуры до 250 ˚C поглощающая способность Пк практически не изменяется, а излучательная способность уменьшается, т.е. с увеличением времени эксплуатации солнечного коллектора селективность Пк будет расти. Следовательно, в области концентраций фторопластового лака 1 - 3 % (масс) обработка оптически селективных Пк его растворами не изменяет их толщину и эффективно влияет на оптические свойства Пк.

Рисунок 2 - Зависимость коэффициентов поглощения (а) и излучения (б) от температуры. Ас -коэффициент поглощения; ε - коэффициент излучения.

Оптически селективные покрытия состоят из частиц оксида алюминия, имеющих размеры в интервале от 20 до 70 нм (рисунок 3). Растровая электронная микроскопия позволила установить, что внутри частиц оксида алюминия располагается высокодисперсный никель, который равномерно распределён по поверхности (рисунок 4).


Рисунок 3 - Электронно-микроскопический снимок поверхности алюминия с оптически селективным покрытием

Рисунок 4 - Изображение поверхности оптически селективного покрытия на поверхности алюминиевых сплавов в рентгеновском излучении NiKα - линии. Маркер - 10 мкм

Плотность белых точек пропорциональна содержанию никеля. Можно предположить, что Пк представляет собой нанотрубки из оксида алюминия, заполненные наночастицами никеля. Таким образом, электрохимическим способом на поверхности сплавов алюминия получены наноструктурированные оптически селективные покрытия, не уступающее по своим характеристикам известным зарубежным аналогам.

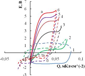
В четвёртой главе приведён анализ электрохимических процессов, происходящих при формировании оптически селективных Пк на поверхности сплавов алюминия на основе рассмотрения циклических кривых заряжения (ЦКЗ). ЦКЗ получали в условиях оптимального режима при разном времени электролиза из растворов, содержащих как отдельные компоненты оптимального состава электролита, так и при их одновременном присутствии. ЦКЗ, полученные из оптимального состава электролита, приведены на рисунке 5.

Рисунок 5 - Зависимость анодного (а) и катодного (б) потенциалов при формировании оптически селективных Пк в электролите оптимального состава от количества пропущенного электричества. Время поляризации, мин: 1 - 0,0; 2 - 0,5; 3 - 1,0; 4 - 1,5; 5 - 2,0; 6 - 2,5

В начальный момент поляризации (рисунок 5, кривые 1 и 2) с увеличением анодного импульса возрастает химическое растворение алюминия и ускоряется катодный процесс выделения водорода, то есть наблюдается явление отрицательного дифференц-эффекта. С возрастанием времени поляризации потенциал в катодный полупериод незначительно смещается в отрицательную область и стабилизируется при - 0,75 В, что соответствует восстановлению NiOH+ до Ni. В анодный полупериод с увеличением времени поляризации потенциал непрерывно смещается в положительную область вплоть до 6,0 В. Это свидетельствует о непрерывном процессе оксидирования подложки и её утолщения. Но так как оптически селективные Пк должны обладать минимальной теплоизлучательной способностью, что определяется их минимальной толщиной, то на времени оксидирования 2,5 мин, процесс оксидирования завершали. Зависимость ёмкости двойного слоя от времени поляризации подтверждает сказанное (рисунок 6). Резкое падение ёмкости с увеличением времени поляризации обусловлено образованием оксидной плёнки на алюминии, затем её толщина постепенно возрастает, стремясь к некоторой постоянной величине. Протекающие электрохимические процессы необратимы.

Рисунок 6 - Зависимость анодной (1) и катодной (2) емкостей двойного электрического слоя при формировании Пк в электролите оптимального состава от времени поляризации.

Таким образом, основными электрохимическими процессами при получении оптически селективных Пк являются окисление алюминиевой подложки и восстановление высокодисперсного никеля, который одновременно с оксидированием заполняет поры оксидной пленки.

В пятой главе представлены и обсуждаются результаты исследований по получению оптически чёрных Пк на сплавах алюминия АД 31 и А 5 М. Покрытия получали с использованием метода традиционного оксидирования и метода микродугового оксидирования (МДО). При получении Пк методом оксидирования, процесс проводили в 20 % (по массе) растворе H2SO4 при поляризации переменным асимметричным током, соотношение IK : IA составляло 1,5 : 1, время оксидирование 30 мин. Для усиления дефектности оксидной плёнки в электролит вводили соли сульфатов различных металлов (никеля, марганца, кобальта, хрома, железа). Заполнение пор оксида осуществляли высокодисперсным никелем при поляризации переменным асимметричным током (IK : IA = 5 : 1) из электролита, содержащего сульфаты никеля, магния, аммония и борную кислоту. Введение в электрохимическую цепь установки для окрашивания анодного оксида алюминия двух диодов марки Д 226 Б, включённых параллельно и проводящих ток в разных направлениях, позволило разделить катодный и анодный импульсы паузами, что привело к увеличению содержания высокодисперсного никеля в порах оксида. Эффект чернения усиливали доосаждением в поры оксида алюминия серебра или меди путём погружения Пк на 3 - 5 мин в их разбавленные нитратные растворы.

Осаждение меди и серебра в поры и поверхностный слой оксидной плёнки происходит как за счет реакции контактного обмена с частицами металла, ранее осаждённого в порах оксида, так и за счёт восстановления его самой нестехиометрической оксидной плёнкой алюминия, имеющей недостаток по кислороду. Размер частиц металла, заполнивших оксидную плёнку, менее 100 нм. Содержание высокодисперсного никеля и меди (или серебра) в оксидной плёнке составляет соответственно 10,0 и 1,0 % (по массе). Полученные Пк по своим оптическим свойствам близки к эталону абсолютно черного тела. Отражение электромагнитного излучения происходит только в УФ - и далёкой ИК областях (рисунок 7).

Поглощающая способность Пк составляет 98 %. Столь высокую поглощающую способность оксида алюминия можно объяснить высокой степенью дисперсности частиц металла, заполнившего его поры.

Рисунок 7 - Зависимость коэффициента отражения (R, %) от длины волны света (λ, нм)

Получать на поверхности алюминиевых сплавов чёрные Пк с высокой поглощающей способностью с использованием метода МДО достаточно сложно, так как Пк являются оксидно - керамическими. Проведённые исследования позволили разработать состав электролита и режимы оксидирования, позволившие сформировать методом МДО на поверхности АД 31 и А 5 М чёрные Пк с высокими оптическими свойствами. Электролит состоял из трёх групп растворов, в которых последовательно осуществляли МДО - процесс. Использовали асимметричный импульсный ток с длительностью анодных пачек импульсов 50 мс и катодных пачек - 40 мс, паузами между ними 10 мс при соотношении анодного и катодного токов, равном 1,1 : 0,9. Время оксидирования в каждом растворе составляло 10 мин, а общее время оксидирования - 30 мин. В базовый состав электролита (гидроксид натрия, силикат натрия и тетраборат натрия) вводили в различных количествах полимолибдат аммония, ванадат и вольфрамат натрия, бихромат калия. При оптимальном составе электролита были получены чёрные Пк с коэффициентом поглощения 96,0 % и излучения 86 %; толщиной 20 мкм.

Окраска оксидного Пк в чёрный цвет, вероятно, обусловлена синтезом в составе покрытия высокодисперсных оксидов V2O4 и V4O9, соединений типа Al2(WO4)3, поливольфрамата натрия и вольфрама, не исключено образование в составе Пк и шпинелей. Такие выводы позволили сделать данные рентгеноспектрального микроанализа. Рентгенофазовый анализ не позволил установить фазовый состав Пк в виду его рентгеноаморфности.

Эти исследования показали перспективность метода МДО для формирования на поверхности алюминиевых сплавов неорганических оксидных слоев, обладающих свойствами абсолютно черного тела. И очень важным обстоятельством является то, что такие Пк получены в одну стадию и за короткий промежуток времени.

Кроме того была исследована возможность соосаждения с МДО - покрытием в процессе его формирования фторопласта, что расширяет спектр их применения и в качестве коррозионно-стойких, износостойких покрытий. Для этого в состав электролитов вводили суспензию фторопласта Ф - 4 МД из расчёта 50 г∙л-1. Факт соосаждения фторопласта с МДО - покрытиями установлен с помощью рентгеноспектрального микроанализа. Содержание фтора в Пк составило 16,3 %. Защитные свойства материала основы возросли в 10 - 15 раз.

Выводы

. Разработан новый способ получения оптически селективных и чёрных покрытий на поверхности сплавов алюминия при поляризации переменным асимметричным током, позволивший получить однослойные покрытия с высокими оптическими свойствами в течение 2,5 мин, снизить энергоёмкость процесса до 10 кВт∙м-2, исключить использование дорогостоящих компонентов и обеспечить экологическую безопасность нанесения покрытий.

. Разработан новый способ подготовки поверхности алюминиевых сплавов, позволивший получить наноструктурированные оптически селективные покрытия с размерами частиц от 20 до 70 нм. Последнее обеспечило высокие оптические свойства покрытий с коэффициентами поглощения и излучения соответственно равными 95 % и 9 %, что делает полученные покрытия конкурентоспособными по отношению к зарубежным аналогам.

. Установлено влияние на тепловоспринимающую способность оптически селективных покрытий нанесения полимерного просветляющего слоя, использованного для этих целей впервые. Выявлено, что наиболее эффективно использование в качестве такого слоя истинных растворов фторопласта.

. Разработан новый способ увеличения поглощающей способности оптически чёрных покрытий путем дополнительного осаждения в поры и поверхностный слой оксидной плёнки серебра или меди, что дало возможность получить покрытия, соответствующие эталону абсолютно чёрного тела.

. Разработаны составы электролитов для получения оптически черных покрытий на сплавах алюминия методом микродугового оксидирования и установлена перспективность этого метода для этих целей, так как покрытия по своим оптическим свойствам близки к эталону абсолютно черного тела.

. Установлено, что соосаждение фторопласта с МДО - покрытием в процессе его формирования увеличивает защитные свойства материала основы в 10 - 15 раз без дополнительного нанесения фторопластсодержащей полимерной дисперсии.

. Накоплен новый фактический материал по использованию переменного асимметричного тока для получения оптически селективных и чёрных покрытий на сплавах алюминия.

Основные положения диссертации опубликованы в следующих работах

1. Беспалова, Ж.И. Исследование возможности получения оптически черных покрытий на поверхности алюминия и его сплавов / Ж.И. Беспалова, В.А. Клушин, И.А. Пятерко, В.Г. Сойер, Ю.Д. Кудрявцев // Известия Вузов Северо-Кавказский регион. Естественные науки. - Спец. выпуск : Проблемы электрохимии и экологии. - 2008. - С. 60 - 62.

. Беспалова, Ж.И. Наноструктурированные материалы как селективные покрытия / Ж.И. Беспалова, В.А. Клушин, Ю.Д. Кудрявцев // Известия Вузов Северо-Кавказский регион. Технические науки. - №6 - 2010. - С. 114 - 116.

. Пат. 2393275 РФ, МПК C25D 11/10, F24J 2/48, Заявл. 11.08.2009; опубл. 27.06.2010 «Изобретения. Полезные модели». Бюл. № 18 // Способ получения селективного покрытия / Беспалова Ж.И., Клушин В.А., Дьячишин А.С.

4. Пат. 2374570 РФ, МПК F24J 2/48, Заявл. 06.08.2008; опубл. 27.11.2009 «Изобретения. Полезные модели». Бюл. № 33 // Способ получения селективного покрытия / Беспалова Ж.И., Клушин В.А., Сойер В.Г., Кудрявцев Ю.Д.

. Пат. 2360043 РФ, МПК C25D 11/34, Заявл. 16.06.2008; опубл. 27.06.2009 «Изобретения. Полезные модели». Бюл. № 18 // Способ нанесения покрытия на сталь / Беспалова Ж.И., Клушин В.А., Смирницкая И.В., Пятерко И.А.

. Пат. 2289601 РФ, МПК C09D 127/18, C09D 5/08, Заявл. 05.10.2005; опубл. 20.12.2006 «Изобретения. Полезные модели». Бюл. № 35 // Композиция для покрытия способом автофореза / Беспалова Ж.И., Мирошниченко Л.Г., Пятерко И.А., Ловпаче Ю.А., Клушин В.А.

. Пат. 2298572 РФ, МПК C09D 127/18, C09D 5/08, C09D 127/00, Заявл. 14.03.2006; опубл. 10.05.2007«Изобретения. Полезные модели». Бюл. № 13 // Композиция для получения покрытий способом автофореза / Беспалова Ж.И., Ельчанинов М.М., Мирошниченко Л.Г., Ачкасова А.А., Пятерко И.А., Клушин В.А.

. Пат. 2357989 РФ, МПК C09D 5/25, C09D 195/00, C09D 127/18, H01B 3/18, Заявл. 13.02.2008; опубл. 13.02.2008 «Изобретения. Полезные модели». Бюл. № 16 // Композиция для получения электроизоляционного покрытия / Беспалова Ж.И., Мамаев С.А., Мамаева В.Н., Коломиец В.В., Клушин В.А.

. Беспалова, Ж.И. Получение композиционных покрытий на основе оксидов металлов, электроосажденных из водных растворов их солей / Ж.И. Беспалова, И.В. Смирницкая, В.А. Клушин, И.А. Пятерко, Ю.Д. Кудрявцев // Электрохимия и экология : материалы Всерос. конф. / ЮРГТУ (НПИ). - Новочеркасск, 2008. - 17-20 сент. - С. 28.

. Беспалова, Ж.И. Исследование свойств композиционных покрытий на основе оксидов металлов, электроосажденных из водных растворов их солей / Ж.И. Беспалова, И.В. Смирницкая, В.А. Клушин, Ю.Д. Кудрявцев // Композиционные материалы в промышленности: материалы двадцать седьмой Междунар. конф., г. Ялта.- Киев, 2007.- 28 мая-1 июня.- С. 331-334.

. Беспалова, Ж.И. Автофоретическое осаждение защитных покрытий на стали из фторсодержащей дисперсии / Ж.И. Беспалова, М.М. Ельчанинов, В.А. Клушин, И.В. Смирницкая // Высокие технологии, фундаментальные и прикладные исследования, образование: сб. тр. Пятой междунар. науч.-практ.конф./С.-Петерб.гос. политехн.ун-т. - Санкт-Петербург, 2008. - 28-30 апр. - Т.12.- С. 155-156.

. Беспалова, Ж.И. Получение композиционных покрытий на основе оксидов металлов, электроосаждённых из водных растворов их солей с использованием переменного асимметричного тока / Ж.И. Беспалова, И.В. Смирницкая, В.А Клушин, Ю.Д. Кудрявцев // Четвёртая Всероссийская конференция (с международным участием) «Химия поверхности и нанотехнология».- Санкт-Петербург - Хилово, 2009. -28 сен. - 04 окт. - 399 с.

. Беспалова, Ж.И. Наноструктурированные материалы как селективные покрытия / Ж.И. Беспалова, В.А. Клушин, Ю.Д. Кудрявцев // Деформация и разрушение материалов и наноматериалов: материалы Третьей международной конференции. - Москва, 2009. - 12-15 окт. - Т. 1. - С. 442-443.

. Беспалова, Ж.И. Получение оптически черных и селективных покрытий с использованием переменного асимметричного тока / Ж.И. Беспалова, В.А Клушин, И.А. Пятерко, Ю.Д. Кудрявцев // НАНО - 2009 : тезисы докладов третьей Всероссийской конференции по наноматериалам, г. Екатеринбург: Уральское изд-во, 2009. - 20-24 апр. - С.816.

15. Беспалова, Ж.И. Изучение механизма формирования оксидов никеля и меди, электроосажденных из водных растворов их солей на поверхности стали / Ж.И. Беспалова, Ю.А. Ловпаче, И.В. Смирницкая, И.А. Пятерко, Ю.Д. Кудрявцев, В.А Клушин // Научно-педагогические школы ЮРГТУ (НПИ): История. Достижения. Вклад в отечественную науку : сборник научных статей. - Новочеркасск : ЮРГТУ (НПИ), 2007. - Т. 2. - С. 190-193.

. Беспалова, Ж.И. Исследование автофоретического способа формирования защитного композиционного покрытия на поверхности стали / Ж.И. Беспалова, Л.Г. Мирошниченко, И.А. Пятерко, Ю.А. Ловпаче, В.А Клушин // Защитные покрытия в машиностроении и приборостроении : сборник материалов II Всероссийской научно-практичерской конференции / Пензен. гос. ун-т. - Пенза, 2005. - С. 47-50.

Автор выражает глубокую благодарность к.х.н. Беспаловой Жанне Ивановне доценту кафедры ХТВМСОФКХ за консультации при обсуждении результатов исследований и Дьячишину Анатолию Сильвестровичу начальнику сектора ОАО «ВПК «НПО Машиностроения»» за помощь в проведении анализов по определению оптических свойств покрытий.

Похожие работы на - Получение оптически селективных и чёрных оксидных плёнок на алюминии и его сплавах при поляризации переменным асимметричным током

 

Не нашли материал для своей работы?
Поможем написать уникальную работу
Без плагиата!
Без нейросетей!