Оценка эффективности муниципального управления на примере Приморского края

  • Вид работы:
    Дипломная (ВКР)
  • Предмет:
    Основы права
  • Язык:
    Русский
    ,
    Формат файла:
    MS Word
    23,18 kb
  • Опубликовано:
    2012-03-21
Вы можете узнать стоимость помощи в написании студенческой работы.
Помощь в написании работы, которую точно примут!

Оценка эффективности муниципального управления на примере Приморского края



КУРСОВАЯ РАБОТА

Оценка эффективности муниципального управления на примере Приморского края

Содержание

Введение

. Отечественные и зарубежные методики оценки эффективности деятельности органов местного самоуправления

.1 Необходимость внедрения системы оценки эффективности деятельности органов местного самоуправления

.2 Оценка эффективности деятельности органов власти в международной практике

.3 Система оценки эффективности деятельности органов местного самоуправления в Российской Федерации

. Оценка эффективности деятельности органов местного самоуправления в Приморском крае

.1 Анализ и оценка действующей методики

.2 Предлагаемая методика оценки эффективности деятельности органов местного самоуправления

Заключение

Список литературы

Приложения

Введение

Дискуссии об экономическом росте Российской Федерации посредством модернизации экономики и перехода страны на качественно новый этап развития ведутся в различных эшелонах власти уже в течение довольно длительного периода времени, более того данный курс закреплен в программе развития Российской Федерации до 2020 года. Данное направление во многом инициируется и поддерживается президентом страны Дмитрием Медведевым и премьер-министром Владимиром Путиным в их выступлениях, что свидетельствует о реальной готовности власти воплотить задуманное в жизнь. Однако возможность модернизации экономики зависит не от воли органов представительной власти на федеральном уровне, а от функционирования реального сектора экономии.

В тоже время готовность и способность хозяйствующих субъектов вести активную экономическую деятельность, развивать дальнейшее производство и модернизировать свою материально-техническую базу зависит от действий бюрократического аппарата на местах, качества и скорости его работы. Для того чтобы выполнить программу развития Российской Федерации до 2020 года необходимо внедрение изменений в работу органов местного самоуправления в сфере их деятельности по стимулированию экономического роста их регионов, а значит и Российской Федерации.

Таким образом, повышение эффективности функционирования органов власти является одной из важнейших задач, стоящих перед страной, от выполнения которой во многом зависит возможность эффективного экономического роста Российской Федерации.

Актуальность темы исследования заключается в том, что на нынешнем этапе развития Российской Федерации происходит переосмысление сущности управления социально-экономическим развитием и его роли в подъеме экономики государства. При разработке стратегически важных приоритетов развития страны в целом и ее отдельных регионов происходит осознание необходимости ориентирования на потребности, интересы и умения людей, проживающих в различных субъектах Федерации. По этой причине значительно возрастает роль активного участия органов местного самоуправления в процессе социально-экономического развития всей страны в качестве партнеров, имеющих равные с государственной властью права. В тоже время проконтролировать степень вовлечения органов муниципальной власти в данный процесс невозможно без разработки и внедрения качественной системы оценки эффективности их деятельности.

Целью данного исследования является определение перечня специфических для определенного региона показателей, позволяющих дать наиболее полную и объективную оценку эффективности деятельности органов местного самоуправления. В качестве примера для исследования принят Приморье, так тема развития именно этого региона наиболее близка автору данной работы. Более того именно в Приморском крае ожидается значительный экономический подъем, который обусловлен подготовкой края к проведению саммита АТЭС в 2012 году, что способствует привлечению мощных инвестиционных потоков в различные сектора экономики региона.

Для достижения данной цели необходимо выполнить следующие задачи:

·        Выявить сильные и слабые стороны существующих подходов к анализу и оценке управления социально-экономическим управлением муниципальных образований;

·        Изучить методику оценки эффективности работы органов местного самоуправления, применяемую в Приморском крае;

·        Проанализировать результаты, полученные в итоге оценки по существующей методике;

·        Определить показатели, позволяющие наиболее точно определить эффективность муниципального управления на примере Приморского края;

·        Построить рейтинг по результатам деятельности органов местного самоуправления с учетом предложенных изменений показателей и сравнить его с рейтингом, построенным по существующей методике;

В данном исследовании, в качестве основного, использован экспертно-аналитический подход. В ходе исследования проанализированы существующие методики оценки эффективности местного самоуправления, рассмотрены федеральные и региональные законодательные акты, регулирующие оценку эффективности органов муниципального управления.

В виду многомерности объектов государственного управления при оценке эффективности управленческих решений, в исследовании применены методы многомерного статистического анализа, позволяющие не только группировать объекты наблюдения в классы, рассматривать их в динамике, но и формировать качественные агрегированные показатели как для описания самих объектов, так и для мониторинга прогресса, отражающего результат управленческого воздействия.

Кроме этого, для оценки эффективности управления применен метод сравнений. Данный метод, в рамках исследования, заключается в сравнении показателей критериев эффективности деятельности органов местного самоуправления с плановыми показателями, а также прошлыми, лучшими и средними показателями критериев за определенный период.

По итогам проведения исследования планируется выявить показатели оценки эффективности деятельности органов местного самоуправления, наиболее полно и точно отражающие специфику Приморского края, а также учитывающие зависимость между оценкой эффективности управления и объемами финансирования органов власти.

1. Отечественные и зарубежные методики оценки эффективности деятельности органов местного самоуправления

самоуправление муниципальный приморский эффективность

1.1    Необходимость внедрения системы оценки эффективности деятельности органов местного самоуправления


Оценка эффективности государственного управления производится различными общественными институтами, следовательно, существует большое количество способов оценки, среди которых стоит выделить следующие:

·        отчеты органов государственной власти, управленческих структур, а также должностных лиц о результатах их деятельности;

·        совокупность суждений, взглядов, позиций, точек зрения множества членов общества, т.е. общественное мнение, которое также можно рассматривать как один из способов оценки эффективности государственного управления. Его особенность заключается в том, что оно выявляет соотношение результатов управления с потребностями, интересами и ожиданиями людей. Недостатком данного источника является некоторый субъективизм, который, тем не менее, нивелируется благодаря массовости и позволяет объективно «видеть» эффективность государственного управления [см.11 с. 36];

·        мнение средств массовой информации, целью которых является отражение происходящих в жизнедеятельности общества событий и, следовательно, результатов управления. Более того, средства массовой информации позволяют придавать огласке обращения граждан, содержание которых формирует представления о жизни людей, их потребностях, конкретных интересах, нарушениях их прав и т.п., что, в определенной мере, позволяет судить об эффективности органов государственного управления, обнаруживать недостатки, упущения, слабые места в их работе [см.11 с. 37];

Ввиду большого разнообразия подходов к оценке эффективности органов власти, важно отметить необходимость выбора наиболее надежной и современной системы оценки деятельности органов местного самоуправления. Главной задачей данной системы является контроль качества выполнения поставленных перед местной властью функциональных задач по стимулированию активности хозяйствующих субъектов и использованию экономического потенциала региона [см.15 с. 115].

Выработанные федеральной властью стратегии, принятые решения, намеченные цели, утвержденные планы по развитию экономического потенциала страны не будут реализованы в полной мере, а так и останутся на бумаге, в том случае если не будет внедрена качественная процедура оценки эффективности деятельности тех, кто непосредственно ответственен за их реализацию.

В тоже время определение эффективности и выявление результатов деятельности местных органов власти остается одной из наименее исследованных областей науки управления. Еще больше вопросов возникает в процессе определения практической деятельности органов власти и управления. Вместе с тем совершенно очевидно, что оценка эффективности представляет чрезвычайную практическую ценность, поскольку позволяет подсчитать, насколько правильно выбраны направления деятельности и какой результат она приносит, а также определить непосредственный вклад конкретных органов власти в стимулирование экономического роста Российской Федерации [см. 18 с. 21].

Последовательное и повсеместное внедрение системы оценки эффективности персонала государственного аппарата может способствовать переходу от ручного, реактивного к системному, превентивному управлению, от текущего к целевому, стратегическому управлению, от повседневного к целевому, периодичному контролю. Если намеченный тренд получит дальнейшее развитие, мы можем быть свидетелями исторических, масштабных изменений в сфере государственного управления: деятельность государственных органов и его служащих будет оцениваться категориями «производительность», «эффективность», т.е. правильными, проверенными экономикой, практикой других государств категориями [см. 24 с. 132].

Несмотря на то, что пока не существует показателей эффективности работы всего государственного аппарата, всех государственных служащих, появление показателей эффективности деятельности высших должностных лиц субъектов РФ имеет колоссальное значение для создания системы оценки деятельности всех уровней государственного управления. По крайней мере, утвержденный Перечень показателей для оценки эффективности деятельности для высших руководителей субъектов РФ последними будет трансформироваться в критерии эффективности работы для нижестоящих должностей региональных администраций в соответствии с их полномочиями и сферой деятельности.

1.2    Оценка эффективности деятельности органов власти в международной практике


В Российской Федерации эффективность работы государственных служащих оценивается совсем недавно и не на всех уровнях, в то время, как в странах с развитой экономикой уже давно осознана необходимость внедрения системы оценки эффективности работы ее служащих. Кроме того, данная система внедрена в деятельность органов местного самоуправления и успешно используется.

Следует отметить заметные результаты в этой сфере, достигнутые в США, где вопросы совершенствования государственного управления изучаются уже в течение довольно длительного периода. Первые шаги в этой сфере были предприняты еще в двадцатых годах XX века, когда Национальным комитетом муниципальных стандартов США были разработаны способы оценки эффективности работы государственных служб [см. 17 с. 38]. Продолжением этой работы стало широкомасштабное исследование с целью разработки критериев оценки органов местного самоуправления, проведенное в конце тридцатых годов. Результатом данного исследования стала разработка справочника по эффективному государственному управлению. На данный момент в США функционируют различные государственные профильные комитеты и комиссии, основной целью которых является повышение эффективности государственного управления [см. 17 с. 48]. Производительность и эффективность органов публичной власти всех уровней постоянно находится в центре внимания общественности: существуют многочисленные ассоциации по вопросам эффективной работы государственных и муниципальных органов.

1.3    Система оценки эффективности деятельности органов местного самоуправления в Российской Федерации

Значительным шагом в работе по внедрению системы оценки эффективности деятельности органов местного самоуправления с целью увеличения их вклада в развитие экономики вверенных им субъектов Российской Федерации стало появление двух указов президента Российской Федерации, задающих направление развития в данной области:

.        Указ № 825 «Об оценке эффективности деятельности органов исполнительной власти субъектов Российской Федерации» от 28 июня 2008г.

.        Указ № 607 «Об оценке эффективности деятельности органов местного самоуправления городских округов и муниципальных районов» от 28 апреля 2008 г.

Проанализировав данные документы, можно сделать вывод о том, что целью данных указов также во многом является встраивание органов местной власти в реализацию стратегии развития Российской Федерации обозначенной в национальных проектах. Показатели, вводимые в указах, отражают не столько эффективность местного самоуправления, сколько эффективность выполнения именно национальных проектов, инициированных правительством с целью модернизации экономики, что является следствием частичного совпадения перечня показателей обоих указов, и отражения ими основных направлений, обозначенных в национальных проектах, таких как развитие образования, здравоохранения, малого бизнеса, жилищного строительства. Более того введенные указом критерии эффективности не дают полного восприятия и комплексного подхода в оценке эффективности деятельности государственной и муниципальной власти.

К примеру, одним из показателей, по которому динамика роста свидетельствует об эффективности деятельности органов местного самоуправления в целях улучшения инвестиционной привлекательности является «площадь земельных участков, предоставленных для строительства, в т.ч. для жилищного строительства, индивидуального жилищного строительства и комплексного освоения этих участков в целях жилищного строительства». Недостатком данного показателя является использование его абсолютного значения. При учете различий числа проживающих в муниципальных образованиях жителей, площади территории, а также площади незастроенных территорий, показатель «площадь земельных участков, предоставленных для строительства, в т.ч. для жилищного строительства, индивидуального жилищного строительства и комплексного освоения этих участков в целях жилищного строительства» не способен отразить конечный результат, к примеру, площади введенного жилья в муниципальном образовании или увеличение обеспеченности жильем населения.

Подобного мнения придерживаются многие ученые, делающее акцент на то, что большинство контрольных показателей не являются предметом прямого ведения муниципальных властей[см.12 с. 190, 14 с. 82].

Тем не менее, наблюдаются качественные сдвиги в подходе оценки органов местного самоуправления. Традиционно эффективность деятельности муниципалитетов оценивалась исключительно суммой затраченных на их функционирование средств. С введением системы показателей основной акцент в измерении эффективности сменился на измерение реально достигнутых результатов. Но стоит принять во внимание, что в международной практике под эффективностью понимается отношение результата к затратам, а введенные Указами президента критерии, фактор затрат практически не учитывают, ввиду чего они могут скорее применяться для оценки результативности власти в степени достижения определенного уровня этих показателей. Кроме того, не существует обозначенного размера необходимых эффективных затрат денежных средств для достижения определенного уровня указанных показателей, т.е. невозможно определить соотношение между показателем и суммой затраченных для его достижения средств. В виду вышесказанного, данный комплекс показателей не дает полной картины происходящего.

Для оценки эффективности деятельности муниципальной власти важным условием является точное установление основных направлений деятельности и развития для каждого конкретного региона. Основными критериями для определения этого направления являются стратегические возможности субъекта Федерации, определяющие уровень его социально-экономического развития. Регионы отличаются между собой по экономическому и научному потенциалу, климатическим и географическим условиям, человеческим и природным ресурсам, в виду чего развивает различные направления деятельности. Не смотря на данные различия, перечень показателей является общим для всех субъектов Российской Федерации, а значит, не может учитывать определенные характеристики, индивидуальные для каждого региона. В системе данных критериев не учтены особенности, в частности различия регионов, все они поставлены в один ряд и оцениваются по одним и тем же показателям. Однако, Указами президента была предусмотрена возможность ввода муниципальными властями необходимых им дополнительных показателей, отражающих специфику управляемого ими субъекта федерации, которая имеет достаточно широкое распространение среди органов местного самоуправления.

Несмотря на то, что пока не существует показателей эффективности работы всего государственного аппарата, всех государственных служащих, появление показателей эффективности деятельности высших должностных лиц субъектов РФ имеет колоссальное значение для создания системы оценки деятельности всех уровней государственного управления. По крайней мере, утвержденный Перечень показателей для оценки эффективности деятельности для высших руководителей субъектов РФ последними будет трансформироваться в критерии эффективности работы для нижестоящих должностей региональных администраций в соответствии с их полномочиями и сферой деятельности [см.14 с. 45]. В противном случае, без включения ключевых сотрудников региональных администраций в общую систему оценки нововведение не будет внедрено успешно, а показатели, установленные высшим руководством страны перед руководителями регионов, не будут достигнуты.

2. Оценка эффективности деятельности органов местного самоуправления в Приморском крае

2.1    Анализ и оценка действующей методики


В Приморском крае оценкой эффективности деятельности органов местного самоуправления занимается департамент экономики, который рассчитывает рейтинг муниципальных образований. При составлении данного рейтинга им учитывается 152 показателя, сгруппированных по 10 направлениям [см.9 с. 4] :

·        экономическое развитие;

·        доходы населения, здоровье;

·        дошкольное и дополнительное образование;

·        общее образование;

·        физическая культура и спорт;

·        жилищно-коммунальное хозяйство;

·        доступность и качество жилья;

·        культура;

·        организация муниципального управления.

Данный перечень показателей эффективности работы органов местного самоуправления утверждён на основе федеральных. Однако, согласно предоставленными соответствующим Указом полномочиями, в него были внесены дополнительные пункты, отражающие качество проживания жителей Приморского края, такие как: благоустройство и озеленение территории, доля освещённых улиц и межквартальных проездов, работа по ликвидации несанкционированных свалок [см. 8 с. 2].

Оценка эффективности деятельности проводится уже в течение двух лет, начиная с 2008 года. Ежегодно по её итогам отбираются 2 города и 3 района, занявшие лидирующие позиции. Полученные результаты публикуются в «Сводном докладе края о достигнутых значениях показателей для оценки эффективности деятельности органов местного самоуправления городских округов и муниципальных районов».

По итогам 2009 года максимального значения общего уровня эффективности деятельности органов местного самоуправления достигли Владивостокский городской округ (0,63 балла) и городской округ ЗАТО Большой Камень (0,61 балла). Среди муниципальных районов лидируют Кавалеровский (0,66 балла), Черниговский (0,61 балла) и Спасский (0,58 балла) муниципальные районы [см. 9 с. 15].

По мнению администрации Приморского края, проведённая работа позволила выяснить, насколько эффективно руководство территорий исполняет свои обязательства, увидеть, как изменилось качество жизни в городах и районах Приморья, по сравнению с предыдущим периодом. Данные, полученные в ходе анализа, будут учитываться при составлении программ развития муниципальных образований [см.9 с. 27].

Наиболее важным и значимым направлением для определения реального вклада органов власти муниципальных образований в экономический рост своего региона, а значит и всей Российской Федерации в целом, являются определение показателей экономического развития региона.

В Приморском крае этот перечень имеет следующий вид [см.9 с. 6]:

·        Доля отремонтированных автомобильных дорог общего пользования местного значения с твердым покрытием, в отношении которых произведен: 1)капитальный ремонт, 2)текущий ремонт

·        Доля автомобильных дорог местного значения с твердым покрытием, переданных на техническое обслуживание немуниципальным и (или) государственным предприятиям на основе долгосрочных договоров (свыше 3 лет)

·        Доля протяженности автомобильных дорог общего пользования местного значения с твердым покрытием в общей протяженности автомобильных дорог общего пользования местного значения

·        Доля населения, проживающего в населенных пунктах, не имеющих регулярного автобусного и (или) железнодорожного сообщения с административным центром городского округа (муниципального района), в общей численности населения городского округа (муниципального района)

·        Число субъектов малого предпринимательства

·        Доля среднесписочной численности работников (без внешних совместителей) малых предприятий в среднесписочной численности работников (без внешних совместителей) всех предприятий и организаций

·        Площадь земельных участков, предоставленных для строительства

·        Доля площади земельных участков, являющихся объектами налогообложения земельным налогом, в общей площади территории городского округа (муниципального района)

·        Средняя продолжительность периода с даты принятия решения о предоставлении земельного участка для строительства или подписания протокола о результатах торгов (конкурсов, аукционов) по предоставлению земельных участков до даты получения разрешения на строительство

·        Площадь земельных участков, предоставленных для строительства, в отношении которых с даты принятия решения о предоставлении земельного участка или подписания протокола о результатах торгов (конкурсов, аукционов) не было получено разрешение на ввод в эксплуатацию: 1) объектов жилищного строительства, в том числе индивидуального жилищного строительства, - в течение 3 лет, 2) иных объектов капитального строительства - в течение 5 лет

·        Удельный вес прибыльных сельскохозяйственных организаций в общем их числе (для муниципальных районов)

·        Доля фактически используемых сельскохозяйственных угодий в общей площади сельскохозяйственных угодий муниципального района

Однако важно отметить два существенных недостатка применения данной методики для надежной оценки эффективности деятельности органов местного самоуправления:

) Большая часть показателей являются абсолютными.

Как известно, муниципальные районы и городские округа имеют значительные отличия между собой по многим критериям, таким как: площадь территории, число жителей, человеческие и природные ресурсы.

Используемые при оценке абсолютные величины не отражают индивидуальных особенностей каждого субъекта, что затрудняет объективную оценку экономического роста региона, т.к. изменения для одного региона могут быть более значимыми, чем для другого, при сравнении их исходных условий.

) Как уже упоминалось ранее, под эффективностью понимается отношение результата к затратам, в то время, как представленные в данной методике критерии не учитывают фактор затрат, ввиду чего они могут скорее применяться для оценки результативности власти в степени достижения планового уровня этих показателей, установленных в предыдущих годах.

На практике, увеличение значения показателей может происходить за счет экстенсивного влияния (более грамотного и эффективного руководства местной власти при расходовании денежных средств), а также за счет интенсивного (увеличение расходов бюджета). Отсутствие связи между значениями показателей и количеством бюджетных средств, затраченных для их достижения, препятствует грамотной и объективной оценке, за счет чего изменяется значение показателя эффективности деятельности органов местного самоуправления.

2.2 Предлагаемая методика оценки эффективности деятельности органов местного самоуправления

Вышеупомянутая методика в Приморском крае применяется как для оценки эффективности деятельности управления городских округов, так и муниципальных районов. В данной работе для представления изменений в существующей методике все расчеты производятся на основании данных для городских округов Приморского края. Значения всех критериев оценки эффективности органов местного самоуправления в сфере экономического развития для городских округам края за 2008 и 2009 года представлены в приложении 1.

Изучение недостатков существующих методов оценки эффективности органов местного самоуправления позволило сделать вывод о том, что применяемая система не позволяет дать объективную оценку реальному вкладу органов муниципалитета в развитие экономического потенциала региона.

Однако в ходе исследования были разработаны следующие способы устранения этих недостатков. Так, для нивелирования влияния эффекта масштабов при использовании абсолютных величин необходимо учитывать не конкретное значение показателя для каждого городского округа, а темп его прироста. Данные расчетов темпов прироста показателей экономического развития городских округов Приморского края представлены в приложении 2.

В конечную формулу расчета рейтинга эффективности деятельности органов местного самоуправления необходимо включить фактор затрат, использованных для достижения данного уровня значения показателей.

Кроме того, для получения более точных сравнительных данных для оценки деятельности органов местного самоуправления, необходимо учитывать не абсолютное значение расходов бюджета данного городского округа, а темп прироста расходов по сравнению с предыдущим отчетным периодом. Данные по расходам бюджетов городских округов представлены в приложении 3.

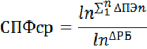
При исправлении данных недостатков, в ходе исследования был разработан сравнительный сводный показатель эффективности деятельности муниципального образования, расчет которого производится при помощи деления суммы приростов показателей экономической эффективности муниципального образования за отчетный период на прирост расходов бюджета данного муниципального образования за аналогичный период времени, что отражено в следующей формуле:

,

где:

СПФср - сравнительный сводный показатель эффективности деятельности муниципального образования

ПЭn - n-ный показатель эффективности

n - количество показателей эффективности

РБ - расходы бюджета данного муниципального образования

Данные, полученные по результатам расчета вышеприведенной формулы, необходимо проранжировать от наиболее высокого к низким. С их помощью можно сделать вывод об эффективности деятельности органа местного самоуправления и составить соответствующий рейтинг, на вершине которого будут находиться органы муниципалитетов, наиболее эффективно воспользовавшиеся своими ресурсами, находясь в определенных уникальных обстоятельствах конкретного городского округа в отчетном периоде.

Сравнительный сводный показатель эффективности деятельности муниципального образования, рассчитанный для городских округов Приморского края, а также построенный на его основании рейтинг, приведен в приложении 4.

Проанализировав данные вышеупомянутого приложения можно увидеть значительные отличия в рейтинговых оценках по уже существующей методике, и по методике, предложенной в данной работе, что свидетельствует о необходимости изменения подхода к оценке эффективности деятельности местного самоуправления в области экономического развития, с целью более грамотной координации работы и оценки их вклада в экономический рост региона и страны.

Не имея объективных данных о реальном вкладе каждой первичной ячейки власти, которыми и являются органы местного самоуправления, в экономическое развитие Российской федерации, не возможно максимально грамотно координировать дальнейшее развитие. Выявление наиболее эффективных муниципалитетов и заимствование их опыта управления, а также обнаружение неэффективных органов власти и применение санкций с целью повышения качества их работы приведет к более скорому переходу Российской Федерации на качественно новый этап развития экономики и, что самое главное, стимулирует ее экономический рост.

Заключение

В ходе данного исследования был проанализирован международный и российский опыт в оценке эффективности деятельности органов местного самоуправления, деятельность законотворческих органов Российской Федерации в области создания нормативной базы оценки эффективности деятельности муниципалитетов.

Приведенная информация явилась существенным доказательством важности проведения подобной оценки для реализации решений публичной власти в области модернизации и развития российской экономики.

Кроме того, в ходе анализа существующих методик оценки, были обнаружены недостатки, такие как использование абсолютных величин и отсутствие связи между значением показателя и затраченных на его достижение бюджетных средств.

По итогам исследования была предложена методика, позволяющая учесть как специфику каждого из регионов страны, так и связь между достигнутыми результатами и затратами, что в соответствии с международными стандартами и является определением эффективности.

Проанализировав данные можно увидеть значительные отличия в рейтинговых оценках по уже существующей методике, и по методике, предложенной в данной работе, что свидетельствует о необходимости изменения подхода к оценке эффективности деятельности местного самоуправления в области экономического развития, с целью более грамотной координации работы и оценки их вклада в экономический рост региона и страны.

Результатом внедрения подобных показателей станет наиболее грамотная и четкая оценка функционирования органов местного самоуправления, учитывающая значительные различия в условиях их работы. Оценка с помощью предложенного показателя позволит эффективнее стимулировать органы муниципальной власти, наиболее отличившиеся в развитии экономического потенциала региона, повышать уровень их мотивации в достижении максимальных результатов за счет использования минимальных объемов ресурсов, а также повысит уровень их ответственности за развитие управляемого ими муниципального региона с присущими исключительно ему особенностями.

 

Список литературы

Нормативно-правовые акты

1.       Закон РФ «О государственном прогнозировании и программах социально-экономического развития Российской Федерации» от 20.О7.1995 г. №115-ФЗ

.        Закон РФ «О принципах и порядке разграничения предметов ведения и полномочий между органами государственной власти субъектов Российской Федерации» от24.06.1999 . №119-ФЗ

.        Закон РФ «Об общих принципах организации местного самоуправления в Российской Федерации».№154-ФЗ ст.5,15 от 28.08.1995

.        Указ Президента РФ от 28 июня 2008 г. № 825 «Об оценке эффективности деятельности органов исполнительной власти субъектов Российской Федерации».

.        Указ Президента РФ от 28 апреля 2008 г. № 607 «Об оценке эффективности деятельности органов местного самоуправления городских округов и муниципальных районов».

.        Постановление правительства РФ от 23 марта 2006 г. № 327 «Основные положения региональной политики в Российской Федерации»

.        Распоряжение Губернатора Приморского края от 24 июня 2008 года № 125-рг «Об оценке эффективности деятельности органов местного самоуправления городских округов и муниципальных районов»

.        Постановление Губернатора Приморского края от 03 июля 2009 г. № 42-пг «О Перечне сфер деятельности и частных показателей эффективности деятельности органов местного самоуправления городских округов и муниципальных районов Приморского края, подлежащих оценке в целях выделения грантов»

.        Сводный доклад Приморского края о достигнутых значениях показателей для оценки эффективности деятельности органов местного самоуправления городских округов и муниципальных районов.

.        Приказ депорта здравоохранения примораского края от 19 февраля 2009 № 84-0 «Об оценке эффективности деятельности органов местного самоуправления городских округов и муниципальных районов Приморского края»

Статьи

11.     Гричук <http://chinovnik.uapa.ru/modern/author.php?id=35> А.Г. К вопросу об эффективности муниципального управления // Информационно-аналитический вестник Уральской академии государственной службы №304 (31)

.        Ганшина Л.Н. Показатели и критеории оценки эффективности муниципального управления // Материалы XIII научно-технической конференции «Вузовская наука - Северо-Кавказскому региону». Том третий. Экономика. Ставрополь: СевКавГТУ, 2009. 190 с.

.        Дробышева В.В. Качество жизни - главный критерий развития человеческого потенциала страны / В.В. Дробышева // Математические и инструментальные методы экономического анализа: управление качеством: Сб. науч. тр. / ТГТУ. Тамбов, 2003.

.        Дробышева В.В. Особенности формирования качества жизни и ее роль в экономической стратегии региона / В.В. Дробышева // Математические и инструментальные методы экономического анализа: управление качеством: Сб. науч. тр. / ТГТУ. Тамбов

.        Педанов Б.Б. Типология подходов к определению содержания управления социально-экономическим развитием // Сборник материалов всероссийской научно-практической конференции студентов, аспирантом и молодых ученых «Человек. Сообщество. Управление: взгляд молодых исследователей». Ч.1. - Краснодар, 2006. - 115 с.

.        Педанов Б.Б. Система критериев оценки социально-экономического развития муниципальных образований / Экономика и управление в современных условиях. Материалы всероссийской научно-практической конференции. - Красноярск: СИБУП. 2004. - 265 с.

.        Сошников А.А. Оценка эффективности управления финансами территорий // Материалы XIII научно-технической конференции «Вузовская наука - Северо-Кавказскому региону». Том третий. Экономика. Ставрополь: СевКавГТУ, 2009. 190 с.

.        Лексин В. Ануреев Е. Ситников А. Швецов А. Региональная политика России: концепции, проблемы, решения // Российский экономический журнал М, 93г. № 9.

.        Лобанов В. Повышение эффективности работы органов местной власти: опыт Великобритании // Регионы: управление и развитие №30 (3)

20.     Перепелкин И. Особенности оплаты труда управленцев / И. Перепелкин // Справочник по управлению персоналом. - 2008. - №7.

.        Фролова Н.К. Реформа местного самоуправления: механизм действия региональной власти / Н.К. Фролова // Финансы. - 2007. - №10.

.        Яковлев В.Я. Стимулирующие выплаты как форма вознаграждения за труд / В.Я. Яковлев // Справочник кадровика. - 2008. - №9.

.        Клищ Н.Н. Повышение результативности деятельности государственных служащих / Н.Н. Клищ // Автореферат диссертации на соиск. ученой степени канд. экон. наук. - М., 2008.

.        Лексин В.Н. Качество государственного и муниципального управления и административная реформа / В.Н. Лексин, И.В. Лексин, Н.Н. Чучелина. - М.: Европроект, 2006.

.        Седова Н.Н. Эффективность бюрократии в оценках россиян / Н.Н. Седова // СОЦИС. - 2008. - №3.

Электронные ресурсы

26.     Официальный сайт Департамента экономики, поддержки предпринимательства, развития конкуренции, инвестиций и контроля подготовки к саммиту АТЭС Приморского края - Режим доступа: http://www.primorsky.ru/departments/branches/?s=68

.        Официальный сайт Счетной палаты Российской Федерации - Режим доступа: http://www.ach.gov.ru

.        Официальный сайт Центра стратегического развития при Правительстве Российской Федерации - Режим доступа: http://www.csr.ru -

.        Министерство экономического развития и торговли Российской Федерации - Режим доступа: http://www.economy.gov.ru

.        Госкомстат России - Режим доступа :http://www.gks.ru

.        Федеральное казначейство РФ - Режим доступа :http://www.goskazna.ru

Приложения

Приложение 1. Значение показателей эффективности экономического развития городских округов Приморского края за 2008-2009 года


Показатель

Год

Арсеньевский

Артемовский

Владивостокский

Дальнегорский

Дальнереченский

Находкинский

Партизанский

Уссурийский

1

Доля отремонтированных автомобильных дорог общего пользования местного значения с твердым покрытием, в отношении которых произведен: капитальный ремонт, %

2008 г.

0

26,2

0,8

0

0

13,8

3,5

10,5



2009 г.

0

15,4

1,32

0

0

6

0

9

2

Доля отремонтированных автомобильных дорог общего пользования местного значения с твердым покрытием, в отношении которых произведен: текущий ремонт, %

2008 г.

6,4

11,8

4

1,5

0,3

19,6

96,5

1,4



2009 г.

6,4

12,7

6,6

1,9

0,3

19,6

9,5

2

3

Доля автомобильных дорог местного значения с твердым покрытием, переданных на техническое обслуживание немуниципальным и (или) государственным предприятиям на основе долгосрочных договоров (свыше 3 лет), %

2008 г.

0

0

0

0

0

0

0

0



2009 г.

0

0

0

0

0

0

0

0

4

Доля протяженности автомобильных дорог общего пользования местного значения с твердым покрытием в общей протяженности автомобильных дорог общего пользования местного значения, %

2008 г.

27,7

25,4

60

100

32,4

48,3

72,5

96,7



2009 г.

27,7

27,3

60

100

32,4

48,6

72,5

98,1

5

Доля населения, проживающего в населенных пунктах, не имеющих регулярного автобусного и (или) железнодорожного сообщения с административным центром городского округа (муниципального района), в общей численности населения городского округа (муниципального района), %

2008 г.

0

0

0

0

0

0,2

0

0



2009 г.

0

0

0

0

0

0,2

0

0

6

Число субъектов малого предпринимательства, единиц на 10 тыс. человек

2008 г.

450

299

425

430

307

462

354

464



2009 г.

439

310

430

422

343

478

357

496

7

Доля среднесписочной численности работников (без внешних совместителей) малых предприятий в среднесписочной численности работников (без внешних совместителей) всех предприятий и организаций, %

2008 г.

31

24,6

22,4

16,7

33,2

31,7

48,3

40,2



2009 г.

31,9

25

22,7

17,8

34,5

32,4

52,9

41,7

8

Площадь земельных участков, предоставленных для строительства - всего, га

2008 г.

7,5

32,2

13,7

1,4

3

93,9

44,2

64,9



2009 г.

3,1

33,2

36,2

2,7

1,2

216

9,7

59,1

Показатель

Год

Арсеньевский

Артемовский

Владивостокский

Дальнегорский

Дальнереченский

Находкинский

Партизанский

Уссурийский

 

9

Площадь земельных участков, предоставленных для строительства, в том числе: для жилищного строительства, индивидуального жилищного строительств, га

2008 г.

2,7

16,5

0

0,9

1

77,2

3,56

39,2

 



2009 г.

1,7

17,7

0

1

1,1

29,7

6,97

30,8

 

10

2008 г.

0

0

0

0

0

11,7

0

0

 



2009 г.

0

0

0

0

0

18

0

8

 

11

Доля площади земельных участков, являющихся объектами налогообложения земельным налогом, в общей площади территории городского округа (муниципального района), %

2008 г.

70,6

22,1

6,7

0,7

3

6,4

9,1

20,5

 



2009 г.

70,8

23,1

7,4

0,7

3,7

8,8

9,1

20,6

 

12

Средняя продолжительность периода с даты принятия решения о предоставлении земельного участка для строительства до даты получения разрешения на строительство, дней

2008 г.

146

190

624

150

290

120

180

338

 



2009 г.

118

180

738

150

190

120

150

300

 

13

Площадь земельных участков, предоставленных для строительства, в отношении которых с даты принятия решения о предоставлении земельного участка не было получено разрешение на ввод в эксплуатацию: объектов жилищного строительства, в том числе индивидуального жилищного строительства, - в течение 3 лет, га

2008 г.

11,1

0

0

1,76

2,59

158

1,78

98,8

 



2009 г.

7,5

0

11,7

1,9

1,09

61,3

6,97

96,7

 

14

Площадь земельных участков, предоставленных для строительства, в отношении которых с даты принятия решения о предоставлении земельного участка не было получено разрешение на ввод в эксплуатацию: иных объектов капитального строительства - в течение 5 лет, га

2008 г.

7,2

0

0

3,06

0,96

310

4,5

117

 



2009 г.

7,5

0

12,5

3,6

0,3

253

1,2

100

 

15

Удельный вес прибыльных сельскохозяйственных организаций в общем их числе (для муниципальных районов), %

2008 г.

0

100

100

0

0

0

100

73

 



2009 г.

0

100

100

0

0

0

100

83

 

16

Доля фактически используемых сельскохозяйственных угодий в общей площади сельскохозяйственных угодий муниципального района, %

2008 г.

0

93

0

69,6

0

0

56,1

47

 



2009 г.

0

84,2

0

69,3

0

0

57,3

54

 


Составлено по данным «Сводного доклада Приморского края о достигнутых значениях показателей для оценки эффективности деятельности органов местного самоуправления городских округов и муниципальных районов»

Приложение 2. Значение темпов прироста показателей экономического развития городских округов Приморского края

Показатель

Прирост показателя


Арсеньевский

Артемовский

Владивостокский

Дальнегорский

Дальнереченский

Находкинский

Партизанский

Уссурийский

1

0,00

-0,41

0,65

0,00

0,00

-0,57

-1,00

-0,14

2

0,00

0,08

0,65

0,27

0,00

0,00

-0,90

0,43

3

0,00

0,00

0,00

0,00

0,00

0,00

0,00

0,00

4

0,00

0,07

0,00

0,00

0,00

0,01

0,00

0,01

5

0,00

0,00

0,00

0,00

0,00

0,00

0,00

0,00

6

-0,02

0,04

0,01

-0,02

0,12

0,03

0,01

0,07

7

0,03

0,02

0,01

0,07

0,04

0,02

0,10

0,04

8

-0,59

0,03

1,64

0,93

-0,60

1,30

-0,78

-0,09

9

-0,37

0,07

0,00

0,11

0,10

-0,62

0,96

-0,21

10

0,00

0,00

0,00

0,00

0,00

0,54

0,00

0,00

11

0,00

0,05

0,10

0,00

0,23

0,38

0,00

0,00

12

-0,19

-0,05

0,18

0,00

-0,34

0,00

-0,17

-0,11

13

-0,32

0,00

0,00

0,08

-0,58

-0,61

2,92

-0,02

14

0,04

0,00

0,00

0,18

-0,69

-0,18

-0,73

-0,14

15

0,00

0,00

0,00

0,00

0,00

0,00

0,00

0,14

16

0,00

-0,09

0,00

0,00

0,00

0,00

0,02

0,15

Сумма

-1,42

-0,21

3,25

1,61

-1,72

0,30

0,41

0,12


Приложение 3. Расходы бюджетов городских округов Приморского края

Городские округа

Расходы бюджета

Темп прироста расходов



2008 год

2009


1

Владивостокский

5752095

7182702,3

0,249

2

Находкинский

2216797,41

2413200,00

0,089

3

Уссурийский

2053553,47

2236593,40

0,089

4

Арсеньевский

599910,57

719356,84

0,199

5

Артемовский

1398765,24

1566984,44

0,120

6

Дальнегорский

684015,54

777 030,90

0,136

7

Дальнереченский

322053,12

431211,30

0,339

8

Партизанский

798194,03

1383126,47

0,733


Приложение 4. Расчет рейтинга эффективности деятельности органов местного самоуправления городских округов Приморского края

Показатель

Арсеньевский

Артемовский

Владивостокский

Дальнегорский

Дальнереченский

Находкинский

Партизанский

Уссурийский

Место в рейтинге (существующая методика)

7

6

3

4

5

2

8

1

Коэффициент эффективности

0,233

0,720

20,186

4,817

0,127

1,239

0,727

1,030

Место в рейтинге (предложенная методика)

7

5

1

2

8

3

5

4

Изменение места в рейтинге

0

-1

-2

-2

3

1

-3

3


Похожие работы на - Оценка эффективности муниципального управления на примере Приморского края

 

Не нашли материал для своей работы?
Поможем написать уникальную работу
Без плагиата!
Без нейросетей!