Экологические особенности изучения темы 'Синтетические каучуки'

  • Вид работы:
    Дипломная (ВКР)
  • Предмет:
    Педагогика
  • Язык:
    Русский
    ,
    Формат файла:
    MS Word
    349,30 kb
  • Опубликовано:
    2011-11-08
Вы можете узнать стоимость помощи в написании студенческой работы.
Помощь в написании работы, которую точно примут!

Экологические особенности изучения темы 'Синтетические каучуки'

Глава 1. Синтетические каучуки


Особую, очень важную, группу органических веществ составляют высокомолекулярные соединения (полимеры). Масса их молекул достигает нескольких десятков тысяч и даже миллионов. Полимерные вещества являются основой Жизни на Земле.

Органические природные полимеры - биополимеры - обеспечивают процессы жизнедеятельности всех животных и растительных организмов. Интересно, что из множества возможных вариантов Природа "выбрала" всего 4 типа полимеров:

Благодаря особым, только для них характерным свойствам, полимеры (синтетические, искусственные и некоторые природные) широко используются при изготовлении самых разнообразных материалов:


Полимеры применяются для получения композиционных материалов, ионообменных смол (полиэлектролитов).

Полимеризация.

Пoлимеризация - реакция образования высокомолекулярных соединений путем последовательного присоединения молекул мономера к растущей цепи.

Пoлимеризация является цепным процессом и протекает в несколько стадий (аналогичных стадиям цепной реакции свободно-радикального галогенирования алканов,):

·              инициирование

·              рост цепи

·              обрыв цепи

Характерные признаки полимеризации

1. В основе полимеризации лежит реакция присоединения

. Полимеризация является цепным процессом, т.к. включает стадии инициирования, роста и обрыва цепи.

. Элементный состав (молекулярные формулы) мономера и полимера одинаков.

Сополимеризация

Процесс образования высокомолекулярных соединений при совместной полимеризации двух или более различных мономеров называют сополимеризацией.

Пример. Схема сополимеризации этилена с пропиленом:


Химическое строение сополимеров зависит от свойств мономеров и условий реакции.

синтетический каучук полимер полимеризация


В сополимерах сочетаются свойства полимеров, полученных из каждого в отдельности взятого мономера. Поэтому сополимеризация - эффективный способ синтеза полимеров с заданными свойствами.

Некоторые важнейшие синтетические полимеры



Глава 2. Занимательные факты о каучуке


Впервые с каучуком познакомился Христофор Колумб, во время второго путешествия на американский континент. Он и его команда увидели индейцев, игравших чёрными мячами. Их скатывали из загустевшего млечного сока, вытекавшего из порезов на коре гевеи бразильской.

Индейцы делали из них непромокаемые калоши, которые в жару прилипали к ногам, а растянувшись, больше уже не сжимались.

Но ещё до этого туземцы Юго-Восточной Азии о резине (каучуке), сделанной из "сока" гевеи, которой они обмазывали свои корзины и кувшины, чтобы сделать их водонепроницаемыми!"Каучук", о котором Колумб рассказал европейцам, долго оставался просто заморской диковинкой. Его первое научное описание было сделано во Франции в академии наук Шарлем Кондамином в 1739 году. В конце Хох века каучук исследовали такие учёные, как Г. Бушард, Г. Вильямсон, К. Гарриес, И.И. Остросмысленский, М.Г. Кучеров, Б.В. Бызов. Но лишь первооткрыватель фотосинтеза Джозефер Пристли впервые нашёл ему применение. Он стал стирать кусочком каучука карандашные линии, то есть изобрёл чертёжную "резинку". А в 1819 году американский фабрикант Макинтош стал производить знаменитые непромокаемые плащи. Ткань покрывалась плёнкой из каучука. Но эти плащи были хрупкими в холод и липкими в жару. В 1823 году Франция начала изготовлять из каучука подтяжки и подвязки.

В 1839 году американский учёный Чарльз Гудайр научился устранять эти недостатки, открыв вулканизацию.

Каучук - натуральный эластичный материал растительного происхождения, применяется для изготовления резины и резиновых изделий. Каучук натуральный содержится в млечном соке каучуконосных растений. Товарный каучук добывают из бразильской гевеи. Название "каучук" произошло от кау (дерево) и учу (плакать). Резиновая промышленность в Европе стала развиваться в 1839 году, когда открыли процесс вулканизации. Основные данные о строении были получены лишь в 70-х годах XIX века. Существенную роль в изучении каучука натурального сыграли русские ученые. Обширные исследования вулканизации провел Бызов. латекс добывается подсечкой деревьев,-Догадкин развил его теорию. Млечный сок 3 кг товарного-достигших пятилетнего возраста. В среднем одно дерево дает 2 каучука в год. Каучук в млечном соке содержится в виде глобул. Для получения НК млечный сок предварительно подвергают желатинированию, добавляя в него уксусную или муравьиную кислоту. Рыхлый сгусток пропитывают водой и прокатывают на вальцах в листы, которые коптят в камерах, заполненных дымом. Вымытые и отвальцованные листы сушат на воздухе или в камерах.

В химическом отношении чистый НК представляет собой высокомолекулярное соединение, имеющее состав (С5Н8) n. Основной группировкой молекулы является изопреновая группа. Более тысячи таких групп определяют важнейшие физические и химические свойства, в частности эластичность. Ценным свойством НК является водо - и газонепроницаемость, кроме того, он является хорошим изолятором. Каучук в воде практически нерастворим. В этаноле, его растворимость не большая, а в сероуглероде, хлороформе и бензине он сначала набухает и лишь затем растворяется. При повышенной температуре каучук становится мягким и липким, а на холоде твердым и хрупким. При длительном хранении каучук твердеет.

 

Глава 3. Способы получения каучука и их демонстрация на уроках химии


Опыты с каучуком проводятся с целью показан, отношение его к органическим растворителям, принадлежность к непредельным соединениям и отличие свойств вулканизированного каучука и резины.

Отношение каучука и резины к растворителям. Невулканизированный каучук растворяется во многих органических растворителях; вулканизированный каучук (резина) в той или иной степени растворяет в себе эти вещества, от чего увеличивается в объеме (как говорят, "набухает").

В две пробирки с бензином или бензолом помещают по одинаковому кусочку сырого (невулканизированного) каучука и резины (например, от резиновой пробки или галоши). Пробирки закрывают корковыми пробками и оставляют для дальнейшего наблюдения. На следующем занятии обнаруживают, что в одной пробирке каучук растворяется, а в другой пробирке резина набухает.

Взаимодействие каучука с бромом. Вследствие наличия двойных связей каучук легко присоединяет галогены. Этим объясняется, например, затвердение каучуковых пробок и трубок при работе с галогенами.

Готовят раствор сырого (невулканизированного) каучука в бензине, свободном от непредельных соединений, или в бензоле (что удобнее, так как он обычно не требует предварительной очистки). Это может быть достигнуто кипячением тонко нарезанных кусочков каучука с растворителем в колбе с обратным холодильником или настаиванием (без нагревания) в течение нескольких суток.

В большую пробирку с раствором каучука приливают раствор брома в бензоле, бензине или хлороформе (чтобы в пробирке могла образоваться гомогенная смесь). При встряхивании содержимого пробирки окраска брома исчезает.

Для опыта можно воспользоваться также бромной водой. При сильном взбалтывании с раствором каучука бромная вода также обесцвечивается.

Разложение каучука при нагревании. Каучук при нагревании разлагается на продукты с меньшей молекулярной массой.

Образующиеся вещества обладают свойствами непредельных соединений. Основной продукт разложения каучука - изопрен.

В небольшой колбочке с отводной трубкой нагревают немного каучука.

Образующиеся парообразные продукты отводят в пробирку, охлаждаемую в стакане с водой, где они конденсируются. По образованию жидкости и газообразных веществ делают заключение об образовании из высокомолекулярного (твердого) продукта веществ с меньшей молекулярной массой. К собранному небольшому количеству жидкости приливают бромную воду или раствор перманганата калия и энергично встряхивают. Обесцвечивание раствора указывает на непредельный характер образующихся при разложении каучука продуктов.

Опыты с резиновым клеем. Резиновый клей представляет собой раствор каучука в бензине. Поэтому с ним можно провести ряд опытов, характерных для каучука.

Каплю брома растворяют в 1 мл бензина или бензола и прибавляют 1 мл резинового клея. Исчезновение окраски указывает на непредельный характер каучука. Встряхивают 0,5 мл клея с раствором перманганата калия, наблюдают аналогичный результат.

Немного резинового клея наливают на стеклянную пластинку, выпаривают растворитель на водяной бане, остается тонкая пленка каучука. Снимают каучук со стекла и испытывают его эластичность, размягчение при нагревании (сравнивают отсутствие этого свойства у резины), растворимость в органических растворителях и нерастворимость в воде.

Открытие серы в вулканизированном каучуке. При сильном нагревании вулканизированного каучука сера выделяется из него в виде сероводорода и может быть обнаружена солями свинца:

Pb (NO3) 2 + H2S à PbS + 2HNO,

В колбочке или пробирке нагревают несколько кусочков резины. В выделяющиеся пары вносят бумажку, смоченную раствором нитрата или ацетата свинца. Бумажка чернеет вследствие образования сульфида свинца.

Продукты термического разложения резины можно пропустить также в раствор соли свинца. Образуется черный осадок сульфида PbS.

Невулканизированный каучук (если он не загрязнен) в подобных условиях не образует осадка сульфида свинца.

Извлечение каучука из млечного сока растений. Каучук содержится в соке ряда растений и сравнительно легко может быть извлечен из них. Одним из каучуконосов является знакомое нам комнатное растение фикус. Понятно, что для получения каучука в промышленных целях подобные каучуконосы непригодны.

Для извлечения каучука из фикуса срезают один-два листа и собирают в пробирку выделяющийся из черешков млечный сок. К собранным каплям сока приливают немного воды и вносят 0,5 г хлорида кальция или сульфата аммония. Смесь встряхивают. Затем по каплям добавляют спирт, пока каучук не начнет выделяться на поверхности раствора.

. Переносят хлопья каучука стеклянной палочкой в пробирку с 2-3 мл растворителя (бензола, бензина, хлороформа).

К части раствора приливают бромную воду или раствор перман ганата калия. Исчезновение окраски указывает на непредельный характер каучука.

Другую часть раствора осторожно выпаривают на часовом стекле. После удаления растворителя обнаруживается эластичная пленка каучука.

. Хлопья каучука, извлеченные из раствора стеклянной палочкой, растягивают при помощи пинцетов. Образуются тонкие длинные нити каучука.

 

Глава 4. Методические разработки по теме "Каучуки"


·              Добиться понимания всеми учащимися взаимосвязи строения и свойств каучука.

Обучающие цели урока:

·              Раскрыть взаимосвязи строения и свойств вещества на примере различных видов каучука;

·              Актуализировать знания по проблеме взаимодействия “Человек - Природа”.

Развивающие цели урока:

·              Способствовать формированию умения применять приемы логического мышления: анализа и синтеза;

·              Особое внимание обратить на развитие интереса к предмету и речи учащихся;

·              Формировать умение пользоваться дополнительными источниками информации.

Воспитательные цели урока:

·              Воспитание патриотических чувств учащихся, гордости за достижения отечественной науки и производства.

Оборудование урока:

·              Реактивы: бромная вода, бензол или тетрахлорметан;

·              Демонстрационные образцы: натуральный и синтетический каучук, образцы резины,

Девиз урока:

“В явлениях частных общее найти”.

План изучения.

.        История открытия натурального каучука.

2.       Классификация каучуков.

.        Получение каучуков.

.        Свойства каучуков.

.        Вулканизация каучуков.

.        Применение каучуков.

Ход урока

На прошлом уроке мы познакомились с еще одним классом углеводородов - классом алкадиенов. У вас на партах лежат контрольные задания. Первое задание выполняет весь класс. Проверяем: вы должны назвать число полученных изомеров (6) и сумму цифр в названии полученных изомеров (29). Из-за ограниченного времени представляем только структурные изомеры, без межклассовой. Второе и третье задание у доски.

Контрольное задание:

1. Составьте структурные формулы всех изомерных пентадиенов и назовите каждый углеводород по международной номенклатуре.

. Назовите вещества, которые получают при присоединении к молекуле изопрена:

а) одной молекулы брома;

б) двух молекул брома.

. Из каких мономеров можно получить полимеры:

а)

б)

в)


Назовите мономеры.

Важнейшим свойством диенов является их способность к реакциям полимеризации, в результате которых получаются синтетические каучуки.

Каучуки… Откуда появилось это странное название?

Тема нашего урока: “Каучуки”.

Д/З.: стр.114-116, упр.5

Работаем в соответствии с планом (план записан на доске).

I. История открытия натурального каучука.

Каучук существует столько лет, сколько и сама природа. История открытия, изучения и искусственного получения этого чудо-материала ярка и увлекательна. Группа учеников подготовила материал по истории открытия натурального и синтетического каучуков. Учащиеся делают сообщения.

II. Классификация каучуков.

Познакомимся с классификацией каучуков (работа с таблицей).

Натуральный каучук.

Изопреновый.

Синтетические каучуки.    а) Бутадиеновый. б) Изопреновый. в) Хлоропреновый. г) Бутадиен-стирольный.                


III. Получение каучуков.

Первый завод по производству каучука был построен в Германии в 1916 году. Полимеризации под действием металлического натрия подвергался 2,3-диметилбутадиен-1,3.

Задание: самостоятельно записать процесс полимеризации 2,3-диметилбутадиена-1,3 в общем виде:

 


Метилкаучук (объяснить название)

Элементарное звено этого полимера отличается от звена натурального каучука на одну метильную группу.

Но этот каучук по своим потребительским качествам значительно уступал каучуку натуральному. Изделия из него боялись высокой и низкой температуры, а автомобильные покрышки истирались в десятки раз быстрее. Завод был закрыт.

Первым синтетическим каучуком стал бутадиеновый каучук, полученный в Советском союзе по методу Лебедева С. В.

Сырье: зерно картофель - > крахмал - > глюкоза - > спирт этиловый - > бутадиен-1,3 - > синтетический каучук.


Бутадиеновый каучук

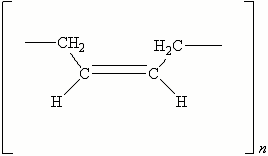
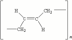
Тем не менее синтетическому каучуку никак не удавалось достичь качества натурального полимера. Причину этого удалось разгадать только в 40 г. г. Дело в том, что в синтетическом каучуке элементарные звенья с цис-, трансконфигурацией расположены хаотически. Кроме того, полимеризация протекает не только как 1,4, но и как 1,2 - присоединение, в результате чего образуется полимер с разветвленной структурой:

Цисполибутадиен (дивиниловый)

Трансполибутадиен (бутадиеновый)

Оказалось, что природный полимер имеет цисрасположение заместителей при двойной связи. Это стереорегулярный полимер. Это еще один из примеров, где можно проследить влияние строения вещества на его свойства.

Макромолекулы современных каучуков имеют стереорегулярное строение, т.е. структурные звенья и функциональные группы расположены в пространстве в определенном порядке. Цис-форма более эластична, т.к. легко скручивается в клубок. Трансформа менее эластична, т.к. макромолекулы более вытянуты.

Впервые получить бутадиеновый каучук стереорегулярного строения удалось в 1957 году группе Советских ученых под руководством академика Б.А. Долгоплоска и члена Академии наук А.А. Короткова. По износоустойчивости и эластичности этот полимер превосходил натуральный и получил название дивиниловый.

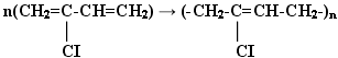
В 1940 году получен хлоропреновый каучук.

Самостоятельно записать уравнение полимеризации 2-хлорбутадиена-1,3.

 


Этот каучук лишен таких недостатков как низкая термическая устойчивость, набухание и разрушение в нефтепродуктах (бензин, масла), используется для изготовления бензо - и маслостойкой резины, трубопроводов для перекачки нефтепродуктов.

Открытие катализаторов стереоспецифической полимеризации дало возможность Н.А. Короткову получить в 1950 году синтетический стереорегулярный изпреновый каучук.

Самостоятельно записать уравнение полимеризации 2-метилбутадиена1,3:

 


Некоторые синтетические каучуки представляют собой сополимеры, т.е. когда мономерами являются разные молекулы. Например, бутадиен-стирольный каучук:


Благодаря уникальной газонепроницаемости бутадиен-стирольный каучук используют для изготовления автомобильных камер.

IV. Свойства каучуков.

Физические свойства и химические свойства каучука.

Лабораторная работа.

1. Рассмотрим коллекцию каучуков.

a.       Бутадиеновый каучук - эластичная желто-бурая масса, обладает слабым запахом.

b.      Изопреновый каучук - эластичная темно-серая масса без характерного запаха..         Хлоропреновый - эластичная светло-желтая масса.. Бутадиен - стирольный каучук - эластичный, имеет светло-коричневую окраску с красноватым оттенком, обладает слабым запахом стирола.

2. Сравнение эластичности каучука и резины.

. Сравнение растворимости каучука и резины в органических растворителях.

. Определение ненасыщенного характера каучука.

ВЫВОД:

·              Каучуки обладают эластичностью - способностью восстанавливать форму.

·              Каучуки непроницаемы для воды и газов.

·              Ненасыщенные каучуки вступают в реакцию соединения с бромом.

Кроме перечисленных свойств каучук при нагревании взаимодействует с серой.

V. Вулканизация каучуков.

Каким же образом Ч. Гудьиру удалось превратить каучук в резину? Рассмотрим химическую сущность процесса вулканизации.

Вулканизация каучука - это нагревание смеси каучука с небольшим количеством серы и наполнителем (чаще всего сажа и порошок мела). Атомы серы присоединяются по месту разрыва двойных связей и как бы сшивают молекулы поперечными дисульфидными мостиками:


Продукт частичной вулканизации называют резиной. Такой полимер имеет разветвленную структуру и менее эластичен, чем каучук, но обладает значительно большей прочностью.

При увеличении количества серы продукт вулканизации приобретает сетчатую структуру и полностью теряет эластичность. Он называется эбонитом. Из него изготавливают детали электрической арматуры.

VI. Применение.

Каучуки нашли широкое применение:

·              Обувь, ткань.

·              Шины.

·              Ленты, ремни, трубы.

·              Строительные материалы.

·              Электротехника, электроника.

·              Строительные материалы.

РЕФЛЕКСИЯ.

1.       Что нового вы узнали на уроке?

2.       Что вас удивило?

3.       Если вас заинтересовала тема сегодняшнего урока, сделайте рекламу-презентацию каучуку.

.        Выразите свое отношение к уроку смайликами.

Натуральный каучук

Данный урок является средством активизации познавательной (рефлексивной) деятельности старшеклассников и способствует актуализации межпредметных связей в системе наук "химия - биология - география - история".

Цели. Образовательная: изучить природное происхождение, химическое строение, свойства и практическое значение натурального каучука.

Воспитательная: познакомиться с историей открытия и применения каучука человеком, с ролью знаменитых людей прошлого в распространении этого вещества.

Развивающая: совершенствовать умения ра - ботать с учебной, научно-популярной, справочной литературой, выступать с сообщениями по предложенной теме, объективно оценивать результаты учебной деятельности одноклассников.

Вопросы для самостоятельной подготовки учащихся к семинару

. Расскажите об истории открытия натурального каучука и знакомства европейцев с его свойствами.

. Дайте биологическую характеристику растения гевея бразильская, являющегося главным источником натурального каучука.

. Сравните химическое строение и физические свойства каучука и гуттаперчи.

. Расскажите о начале промышленного использования каучука.

. Расскажите об изобретении способа вулканизации каучука и о химической реакции, лежащей в основе получения резины.

ХОД УРОКА

Учитель. На предыдущих занятиях мы изучали гомологический ряд диеновых углеводородов (алкадиенов). Практическое значение этих веществ заключается в том, что путем их полимеризации можно получить синтетические каучуки, из которых, в свою очередь, производят резину. Наряду с каучуками синтетического происхождения существует и натуральный (природный) каучук, обладающий ценными свойствами.

Далее учитель сообщает учащимся цели занятия и предлагает высказаться по вопросам, вынесенным для обсуждения заранее.

Сообщения учащихся

-й ученик. Человек познакомился с каучуком очень давно. В силезских бурых углях найдено смолистое вещество, очень похожее на каучук. Это доказывает, что в каменноугольный период в Средней Европе росли каучуконосные деревья. В тропических странах и сейчас растут деревья, дающие каучук. Следовательно, в этих странах человек давно должен был встретиться с ним. Однако Древний мир, о котором сохранилось много памятников, не оставил нам никаких сведений о каучуке. Даже в Египте, соседствующим с тропической Африкой, по-видимому, о каучуке не знали. В тропических же странах Америки, например в Мексике, во время раскопок были найдены резиновые мячи. Данный факт доказывает, что древние индейцы знали о существовании каучука, хотя широко и не использовали этот уникальный природный материал. Лишь майя научились делать из каучука резиновые мячи эллипсоидальной формы и впервые в истории изобрели игру, напоминающую футбол. Поскольку каучук очень плотный, то мяч получался весьма тяжелым. Таким мячом можно было нанести серьезные увечья, поэтому игроки отбивали его не ступней, а бедром. Майя придавали игре гораздо больший смысл, чем наши современники: этот мяч служил у них и для ритуальных целей. Скорее всего особое свойство каучуковых мячей отскакивать от твердых поверхностей послужило поводом считать этот материал чудесным.

Само слово "каучук" было придумано индейцами. Оно означает в переводе "слезы дерева", или "плачущее дерево", потому что сочащийся из поврежденного ствола дерева-каучуконоса сок напоминал индейцам слезы. А вот современным фермерам тропических стран этот сок напоминает коровье молоко, отчего во многих регионах его называют "резиновое молоко".

Именно за игрой в мяч застали спутники известного путешественника Христофора Колумба жителей острова Гаити. Интересен тот факт, что эта игра сохранилась у них до настоящего времени. Европейцы, конечно, тоже были поражены необычными свойствами мяча и стали расспрашивать, откуда берется такое странное вещество. Полученные сведения записаны в трудах испанских историков начала XVII в., и из них мы узнали, что вещество, из которого делают мячи, получают из сока особого дерева. По-видимому, испанцев удовлетворяли эти сведения, и они не простирали далее своего любопытства. Образцы каучука были привезены Колумбом в Европу и хранились в музеях как редкость.

В первой четверти XVIII в. Французская академия наук снарядила в Южную Америку экспедицию для измерения длины меридиана. В состав экспедиции вошел энергичный ученый - астроном и геодезист - Ш.М. де ла Кондамин, который решил воспользоваться пребыванием в новых странах, чтобы подробно изучить их достопримечательности. Заинтересовавшись каучуком, он разузнал о его добыче и применении в Бразилии. Его записки очень поучительны в этом отношении. Они вышли в 1735 г., и из них мы узнаем следующее.

Дерево, из которого добывался каучук, носит название H e v e. При его подсечке вытекает белый млечный сок, высыхающий на воздухе и темнеющий при этом. Им пропитывали ткани для придания водонепроницаемости, изготовляли факелы из засохшей смолы, а также получали особые бутылочки в виде спринцовок. Эти спринцовки, или, как их называют по-португальски, серинги, делали так: глиняную форму в виде груши обмазывали соком дерева гевеи и затем коптили в горячем дыму костра. Когда один слой обсыхал, повторяли обмазку снова, покрывая спринцовку новым слоем каучука до тех пор, пока не достигалась желаемая толщина стенок. Затем внутреннюю глину размывали в воде и удаляли, после чего получался полый эластичный сосуд, из которого можно было выбрасывать воду на большую высоту…

-й ученик. Гевея бразильская (Hevea brasiliensis), или каучуковое дерево, - типичный представитель южноамериканских тропических лесов. Родиной этого растения является Латинская Америка - берега реки Амазонки. Семейство: молочайные. Внешние признаки: дерево высотой до 30-40 м; ствол в верхней части раздвоен; листья тройчатосложные; цветки мелкие, однополые, однодомные, собраны в сложные метельчатые соцветия; плод коробочковидный, распадается на три односемянные доли; семена крупные, покрыты плотной коричневой оболочкой с белым налетом. Если надрезать кору дерева, из нее начинает выделяться белый млечный сок, который называется латексом. Через некоторое время сок затвердевает и образует твердое пластичное вещество, широко используемое при производстве резиновых изделий, - натуральный каучук. Время цветения: июнь-июль. Распространенность: гевея бразильская и другие виды произрастают в диком состояниии в Южной Америке; область культивирования гевеи - тропическая Азия, преимущественно остров Шри-Ланка, полуостров Малакка и Малайский архипелаг, а также некоторые африканские страны.

Гевея бразильская: а - соцветие; б - плод

В Южной Америке каучуковое дерево выращивают начиная с периода колонизации индейских земель. Первые плантации каучуковых деревьев были засажены европейцами. Работали на этих плантациях в основном индейцы. В настоящее время на каучуковых плантациях преимущественно разводится именно гевея бразильская. В мировом промышленном производстве натурального каучука доля сырья, полученного от гевеи бразильской, составляет более 90%.

-й ученик. Если поместить образец натурального каучука в пробирку, закрыть ее пробкой с газоотводной трубкой, конец которой опущен в другую пробирку, и длительное время нагревать, то будет происходить процесс разложения каучука (деполимеризация). Жидкие продукты разложения собираются в пустой пробирке. Если прилить к ним бромную воду, она обесцвечивается, что доказывает непредельный характер полученных соединений. Экспериментально доказано, что в основном это изопрен, или 2-метилбутадиен-1,3:

СН2=С (СН3) - СН=СН2.

Следовательно, макромолекулы натурального каучука состоят из множества повторяющихся остатков молекул изопрена.

Характерно, что в макромолекуле натурального каучука группы СН2 находятся по одну сторону двойных связей (цис-форма) и мономерные изопреновые звенья регулярно повторяются. Такое пространственное строение молекул полимеров называется стереорегулярным. Оказалось, что именно такое строение молекул придает натуральному каучуку эластичность - способность растягиваться и сжиматься под действием внешней силы, а затем восстанавливать прежнюю форму, а также стойкость к износу. Эти свойства необходимы для производства высококачественных автомобильных и авиационных шин.

Ценным свойством каучука является также водо - и газонепроницаемость. Кроме того, он хороший электроизолятор. Каучук практически не растворяется в воде, плохо растворяется в этиловом спирте, а в сероуглероде, хлороформе и бензине он сначала набухает, а затем растворяется. При повышенной температуре каучук становится мягким и липким, а на холоде - твердым и хрупким. При длительном хранении натуральный каучук твердеет.

Наряду с цис-полиизопреном в природе встречается и полимер стереонерегулярного строения - транс-полиизопрен, называемый гуттаперчей. Из-за неупорядоченного пространственного строения гуттаперча обладает значительно меньшей эластичностью, стойкостью к износу, водо - и газонепроницаемостью по сравнению с каучуком.

Строение элементарных звеньев молекул полимеров:
а - натурального каучука; б - гуттаперчи

4-й ученик. В Англии с введением газового освещения в городах на газовых заводах начало скапливаться довольно много жидких побочных продуктов сухой перегонки каменного угля. Эти продукты под названием сольвент-нафта* могли растворять каучук, поэтому один из фабрикантов, химик и изобретатель Чарльз Макинтош, закупил всю сольвент-нафту с газовых заводов г. Глазго, чтобы использовать ее для изготовления непромокаемой одежды. Растворяя в ней каучук, он покрывал такими растворами ткани. C того времени непромокаемые пальто называются макинтошами.

Однако вскоре обнаружилось, что изготовленная таким образом одежда имеет существенные недостатки: при холодной погоде ткань становилась жесткой и ломкой, а в жару, наоборот, делалась липкой и неудобной. Кроме того, масла, жиры, нефть, скипидар и другие жидкости легко ее портили. Все эти недостатки не удивляют нас теперь, т.к. мы знаем, что сырой, не вулканизированный каучук обладает ими в полной мере.

Помимо изготовления тканей резиновая отрасль промышленности выпускала и другие изделия. Описание Ла-Кондамином способа получения бутылок и обуви при помощи соответствующих глиняных и деревянных форм побудило использовать каучуковый млечный сок в промышленном масштабе.

Началось это так. В 1823 г. некий Томас Уэльс из Бостона привез как курьез несколько пар бразильских галош. Они, однако, не получили одобрения. При нагревании они растягивались чуть ли не до колен и вообще служили поводом для насмешек и карикатур. Уэльс не пал духом: он послал в Бразилию хорошие колодки, и уже с 1824 г. новые галоши начали понемногу находить сбыт. В промежутке между 1836 и 1850 г. таких галош было вывезено из Бразилии в Нью-Йорк около 1,5 млн пар, а в Европу примерно 1 млн пар. Понятно, что эти галоши не имели ничего общего с современной резиновой обувью. Способ получения их заключался в следующем: деревянную колодку по форме сапога погружали в млечный сок, вынимали и обсушивали копчением в горячем дыму костра. Операция эта повторялась до тех пор, пока не получался слой около 1,5 мм. Под конец резцом наносили рисунок на наружную поверхность, и галоша была готова. Поскольку и в этом случае галоша не вулканизировалась, она обладала всеми недостатками сырого каучука: была недостаточно эластична, чувствительна к переменам температуры, при нагревании становилась липкой и мягкой и растворялась во многих жидкостях.

Бутылочки, изготовлявшиеся в Бразилии аналогичным способом, в Европе послужили материалом для других изделий. Их разрезали на пластинки определенного формата и делали из них прокладки, трубки и т.п. Вскоре выяснили: чтобы пластинки не липли, их нужно посыпать минеральным порошком, серой или тальком.

-й ученик. Количество каучука, потреблявшегося в виде пластин, оставалось очень небольшим. Имеющиеся статистические сведения указывают, что в 1827 г. мировое потребление каучука равнялось всего лишь 3 т. В 1839 г. Чарльз Гудьир, торговавший в Америке пластинами, уронил одну из них на горячую плиту. Сначала он не заметил этого, но когда увидел пластину лежащей на горячей плите, то очень испугался, т.к. ему было известно, что при нагревании каучук становится липким, плавится и уже не возвращается в первоначальное состояние. Гудьир быстро схватил пластину с плиты и начал мять ее, чтобы выяснить, насколько каучук пострадал от нагревания. Он очень удивился, когда увидел, что пластина не размягчилась и не испортилась, а наоборот, стала очень эластичной и упругой и потеряла способность растворяться в обычных растворителях.

Зная, что пластина содержала, помимо каучука, примесь серы и глета, Гудьир понял, чем вызвано изменение, произошедшее в каучуке, и насколько оно важно; позже он взял патент на техническое использование этого явления. Такое превращение каучука называется вулканизацией. Она заключается в том, что каучук смешивают с порошкообразной серой и другими примесями, доводят до тестообразного состояния и сформированную массу нагревают. После вулканизации каучук становится значительно прочнее, теряет недостатки сырого каучука, препятствовавшие его применению. Полученный при этом материал называется резиной. С химической точки зрения при вулканизации происходит сшивание полимерных цепей каучука за счет сульфидных мостиков, что придает каучуку устойчивость при действии различных внешних факторов:


Изобретение Гудьира положило начало бурному развитию резиновой отрасли промышленности.

После того как сделаны все сообщения по вопросам семинара, учитель предлагает учащимся дать оценку работе своих одноклассников и при необходимости дополнить или уточнить какие-либо моменты. Затем выставляются оценки по итогам семинара.

Литература


1.       Большая энциклопедия природы. Жизнь растений. Деревья и кустарники. Т.7. М.: Мир книги, 2003, с.86-87;

2.      Буцкус П.Ф. Книга для чтения по органической химии: Пособие для учащихся. М.: Просвещение, 1985, с.116-119;

3.      Габриелян О.С., Маскаев Ф.Н., Пономарев С.Ю., Теренин В.И. Химия.10 класс. Учебник для общеобразовательных учреждений. М.: Дрофа, 2003, с.114-116;

4.      Рудзитис Г.Е., Фельдман Ф.Г. Химия: Органическая химия. Учебник для 10 класса общеобразовательных учреждений. М.: Просвещение, 1998, с.42-44.


Не нашли материал для своей работы?
Поможем написать уникальную работу
Без плагиата!
Без нейросетей!