Методика производства камеральной налоговой проверки (на материалах ОАО 'Электросети')

  • Вид работы:
    Дипломная (ВКР)
  • Предмет:
    Финансы, деньги, кредит
  • Язык:
    Русский
    ,
    Формат файла:
    MS Word
    1,55 Mb
  • Опубликовано:
    2011-08-07
Вы можете узнать стоимость помощи в написании студенческой работы.
Помощь в написании работы, которую точно примут!

Методика производства камеральной налоговой проверки (на материалах ОАО 'Электросети')











Курсовая работа

по дисциплине «Налоговое администрирование»

На тему: Методика производства камеральной налоговой проверки (на материалах ОАО «Электросети»

Содержание

Введение

1. Теоретические основы методики производства камеральной налоговой проверки

1   Понятие, цель, виды камеральной проверки

2   Налоговая отчетность: порядок приема

3   Порядок проведения камеральной налоговой проверки

4   2.Анализ методики производства камеральной налоговой проверки на ОАО «Электросети»

5   Общая характеристика исследуемого объекта

6   Порядок проведения камеральной налоговой проверки на предприятии ОАО «Электросети»

2.3 Результаты камеральной налоговой проверки на предприятии ОАО «Электросети»

3.Зарубежный опыт проведения камеральных налоговых проверок

1   Совершенствование камеральных налоговых проверок

2   Зарубежный опыт проведения камеральных проверок

Заключение

Список литературы

Приложения

Введение

Актуальность исследования. Камеральная налоговая проверка является наиболее массовым видом проверок. Периодичность камеральной проверки определяется установленными законодательством о налогах и сборах, сроками сдачи налоговых деклараций, расчетов по авансовым платежам. Таким образом, камеральной проверке подвергаются, как правило, налоговые периоды текущего года деятельности налогоплательщика.

Основная цель камеральной проверки - контроль за соблюдением налогоплательщиками законодательства о налогах и сборах, выявление и предотвращение налоговых правонарушений, привлечение виновных лиц к налоговой и административной ответственности за совершение правонарушений.

Камеральная проверка проводится на основе налоговых деклараций и документов, которые представляются налогоплательщиком, служащих основанием для исчисления и уплаты налога. Но налоговый орган может использовать и другие документы о деятельности налогоплательщика (например, информацию контрагентов налогоплательщика, полученную в ходе встречных проверок, информацию правоохранительных органов).

Камеральная проверка проводится уполномоченными должностными лицами налогового органа в соответствии с их служебными обязанностями. При этом не требуется (как в случае с выездной налоговой проверкой) какого-либо специального решения руководителя налогового органа.

Целью данной курсовой работы является анализ порядка проведения камеральной налоговой проверки

Задачи курсовой работы:

· рассмотреть тематические основы камеральных налоговых проверок;

· изучить порядок проведения камеральных налоговых проверок;

· провести анализ камеральной налоговой проверки на примере предприятия ОАО «Электросети»;

-изучить финансово-хозяйственную деятельность ОАО «Электросети»;

-проконтролировать предоставление налогоплательщиком налоговой документации в налоговые органы;

-проанализировать выявление и предотвращение налоговых правонарушений, привлечение виновных лиц к налоговой и административной ответственности за совершение правонарушений;

-рассмотреть рекомендации по совершенствованию камеральных налоговых проверок и зарубежный опыт проведения камеральных налоговых проверок.

Объектом исследования является предприятие ОАО «Электросети».

Предмет исследования - изучение порядка проведения камеральных налоговых проверок и их конечный анализ.

Структура курсовой работы состоит из введения, трех глав основного текста, заключения, списка использованной литературы и приложений.

В ходе подготовки к написанию курсовой работы были использованы теоретические источники отечественных авторов как Азрилиян А.Н., Дуканич Л.В., Дмитриева Н.Г., Дмитриев Д.Б. и других, а также практические материалы деятельности промышленных предприятий.

1. Теоретические основы методики производства камеральной налоговой проверки

1.1 Понятие, цель, виды камеральной проверки

После введения в силу НК РФ (часть 1) значение камеральных проверок возросло, поскольку налоговые органы потеряли право осуществлять постоянные выездные проверки без ограничения срока их проведения. В таких условиях налоговые органы могут и должны использовать право проводить камеральные проверки в полном объеме.

«Камеральная налоговая проверка - это одна ив важнейших форм налогового контроля. В соответствии со ст. 88 НК РФ камеральная налоговая проверка - это проверка, проводящаяся по месту нахождения налогового органа на основе налоговых деклараций и документов, представленных налогоплательщиком, служащих основанием для исчисления и уплаты налогов, а также других документов о деятельности налогоплательщика, имеющихся у налогового органа, без специального решения руководителя или заместителя налогового органа о проведении налоговой проверки».

Конструкция статьи 88 НК РФ "Камеральная налоговая проверка" позволяет при проведении камеральных проверок осуществлять те же процессуальные действия, что и при проведении выездных проверок: вызвать свидетеля, осуществлять осмотр документов и предметов налогоплательщика, истребовать документы, привлечь специалиста.

Целью камеральной проверки является контроль за соблюдением налогоплательщиком законодательных нормативных правовых актов о налогах и сборах, выявление и предотвращение налоговых правонарушений взыскание сумм неуплаченных (не полностью уплаченных) налогов по выявленным правонарушениям, привлечение виновных лиц к ответственности за совершение налоговых правонарушений, а также подготовка необходимой информации для обеспечения рационального отбора налогоплательщиков для проведения выездных налоговых проверок.

Объектом камеральной проверки является налоговая декларация, представленная налогоплательщиком в налоговую инспекцию.

Направления, по которым проводится камеральная проверка, позволяют выделить следующие ее виды:

·   формальную проверку;

·   арифметическую проверку;

·   нормативную проверку;

·   непосредственную камеральную проверку.

Формальная проверка включает в себя проверку наличия всех установленных законодательством форм отчетности и документов (например, документов, подтверждающих предоставление налоговых льгот или подтверждающих экспорт продукции и т.д.). Проверяется также наличие и четкое заполнение всех предусмотренных правовыми актами обязательных реквизитов. Заполнение отчетности должно осуществляться ручкой, фломастером или методами машинной обработки. Не допускаются неоговоренные исправления. В случае отсутствия каких-либо данных в соответствующей строке ставится прочерк или делается ссылка об отсутствии оснований по заполнению определенных строк (форм). В ходе формальной проверки проверяется также наличие подписи налогоплательщика (руководителя и главного бухгалтера) и соответствии этих подписей имеющимся образцам. На представляемом втором экземпляре налоговой отчетности ставится отметка налогового органа о дате получения отчетности.

Арифметическая проверка дает возможность оценить правильность арифметического подсчета того или иного показателя, например, налогооблагаемой прибыли. При арифметической проверке контролируется правильность подсчета итоговых сумм в документе, как по горизонтали, так и по вертикали.

Нормативная проверка - это проверка содержания документа с точки зрения соответствия его действующему законодательству. Именно этот метод позволяет выявить незаконные по содержанию документы, установить факты необоснованного списания затрат на себестоимость продукции, неправильности применения ставок налогов и т.д. При нормативной проверке налоговый инспектор руководствуется нормативной базой о налогах и сборах.

Непосредственная камеральная проверка представляет собой логическую проверку корреспонденции цифровых данных, в соответствии с которыми налогоплательщик определяет сумму налога, подлежащую внесению в бюджет.

Приемы и методы проведения камеральной налоговой проверки являются закрытой информацией, которая представляет собой основные способы определения занижения налогоплательщиком налогооблагаемой базы без проведения выездной налоговой проверки. При этом сопоставляется информация, представленная налогоплательщиком отчетность, с данными проведенных проверок налогоплательщика и информацией, поступающей (получаемой) из внешних источников.

При возникновении спорных вопросов, связанных с исчислением сумм налогов, налоговый орган вправе истребовать от налогоплательщика дополнительные сведения, получить объяснения и необходимые документы. В данном случае срок проведения камеральной проверки исчисляется с момента представления налогоплательщиком указанных документов.

«Толкование этой нормы позволяет прийти к выводу о том, что налоговый орган не вправе требовать от налогоплательщика представления любых документов. Истребуемые документы должны подтверждать правомерные действия налогоплательщика, а не способствовать установлению налоговых правонарушений. Вместе с тем, согласно статье 93

Налогового кодекса должностное лицо налогового органа, проводящее налоговую проверку, вправе истребовать у проверяемого налогоплательщика необходимые для проверки документы. НК РФ не устанавливает ограничений по составу запрашиваемых документов. Единственное условие - документы должны относиться к тому налоговому периоду, за который представлена текущая налоговая отчетность.

Решение вопроса о том, какие именно документы необходимы для такой проверки, находится в компетенции налогового инспектора или другого должностного лица налогового органа. Отказ налогоплательщика от предоставления запрашиваемых при проведении камеральной налоговой проверки документов или не предоставление их в пятидневный срок признается налоговым правонарушением и влечет ответственность, предусмотренную в статье 126 Налогового кодекса Российской Федерации "Непредставление налоговому органу сведений о налогоплательщике, необходимых для осуществления налогового контроля"».

1.2 Налоговая отчетность: порядок приема

Камеральная проверка проводится уполномоченными должностными лицами налогового органа в соответствии с их служебными обязанностями без какого-либо специального решения руководителя налогового органа в течение трех месяцев со дня представления налогоплательщиком налоговой декларации и документов, служащих основанием для исчисления и уплаты налога, если законодательством о налогах и сборах не предусмотрены иные сроки.

Налоговая декларация представляет собой письменное заявление налогоплательщика о полученных доходах и произведенных расходах, источниках доходов, налоговых льготах и исчисленной сумме налога или содержащее другие данные, связанные с исчислением и уплатой налогов.

Налоговая отчетность представляется в налоговый орган по месту учета налогоплательщика в сроки, установленные законодательством о налогах и сборах. Камеральной налоговой проверкой должны быть охвачены только те показатели документов, входящих в состав налоговой отчетности, которые имеют значение для правильного исчисления налогоплательщиком объектов налогообложения и сумм налогов, причитающихся к уплате в бюджет. Принятие налоговой отчетности в случае представления лично налогоплательщиком или его агентом осуществляется в присутствии налогоплательщика. При отправке налогоплательщиком налоговой отчетности по почте днем ее представления считается дата отправки заказного письма с описью вложения.

«Налоговая декларация представляется каждым налогоплательщиком по каждому налогу, подлежащему уплате этим налогоплательщиком, если иное не предусмотрено законодательством о налогах и сборах. В соответствии с пунктом 2 статьи 80 Налогового кодекса Российской Федерации налоговым органам запрещается отказывать в принятии налоговых деклараций. Вместе с тем, обязанность налогоплательщика по предоставлению налоговым органам документов налоговой отчетности не может считаться исполненной при наличии следующих оснований:

· отсутствие в представленном документе какого-либо из обязательных реквизитов, предусмотренных нормативно-правовыми актами, предусмотренными для подобного рода документов;

· нечеткое заполнение документа, делающее невозможным его прочтение, заполнение карандашом;

· наличие не оговоренных налогоплательщиком исправлений;

· составление отчетности на иных языках, кроме русского. При выявлении одного или нескольких таких фактов, налоговый орган уведомляет налогоплательщика о неисполнении им вышеназванной обязанности, а также о применении к нему в случае не предоставления им документов налоговой отчетности по установленной форме и в определенный законодательством срок, мер ответственности, предусмотренных Налоговым кодексом Российской Федерации».

На каждом документе налоговой отчетности проставляется дата принятия, штамп или отметка налогового органа и подпись ответственного лица, принимающего отчетность. По просьбе налогоплательщика на остающихся у него копиях отчетности налоговый орган проставляет указанные выше реквизиты.

Следует иметь в виду, что налоговая отчетность, переданная налогоплательщиком в налоговый орган на дискете или ином носителе, допускающем компьютерную обработку, должна быть подтверждена информацией на бумажных носителях, оформленных в соответствии с требованиями действующих законодательных и нормативных актов. Датой получения информации считается дата ее фактической передачи в налоговый орган на бумажных носителях, обозначенная в штемпеле почтовой организации. Настоящее требование не распространяется на документы, возможность представления которых в налоговый орган на дискете или ином носителе, допускающем компьютерную обработку, установлена законодательством о налогах и сборах.

При проведении камеральной проверки налоговых деклараций работник налогового органа заполняет графы "по данным налоговой инспекции; строки, отметки и замечания инспектора (экономиста)" или иные графы (строки), специально предусмотренные в налоговых декларациях, а в случае выявления фактов неправильного отражения показателей налоговой декларации, приводящих к неполной (излишней) уплате налогоплательщиком сумм налогов, фиксируются замечания налогового инспектора.

Проверенная налоговая декларация подписывается работником налогового органа, проводившим проверку, с указанием даты ее проведения.

В случае, если форма налоговой декларации предусматривает реквизит подписи руководителя налогового органа, данная декларация передается на подпись руководителю.

Кодекс не содержит норм, обязывающих налоговый орган оформлять акт камеральной налоговой проверки. Однако арбитражная практика и статья 115 "Давность взыскания налоговых санкций" Кодекса определяют, что в суд о взыскании налоговых санкций налоговые органы вправе обратиться не позднее шести месяцев со дня обнаружения правонарушения и составления соответствующего акта. Необходимость составления акта камеральной проверки следует также из общего смысла статьи 101 "Производство по делу о налоговом правонарушении, совершенном налогоплательщиком, плательщиком сбора или налоговым агентом и (вынесение решения по результатам рассмотрения материалов проверки)" Налогового кодекса.

1.3 Порядок проведения камеральной налоговой проверки

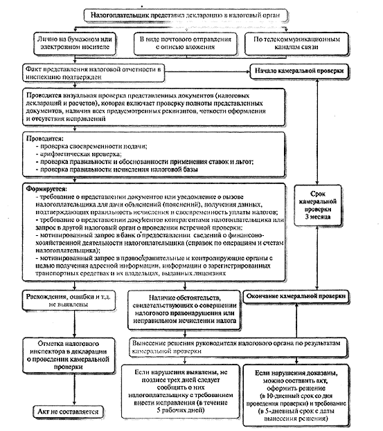
На первом этапе проведения камеральной проверки сотрудниками отдела работы с налогоплательщиками проводится проверка полноты представления налогоплательщиком документов налоговой отчетности в соответствии с налоговым законодательством.(Схема №1).

На втором этапе проводится визуальная проверка правильности оформления документов налоговой отчетности. Конкретно проверяется полнота заполнения всех необходимых реквизитов налоговой отчетности, четкость их заполнения и т.д.

Налоговые инспектора должны уведомить налогоплательщика о необходимости внести исправления и привести налоговую отчетность в соответствие с утвержденной формой, если в представленной отчетности налогоплательщик допустил одну из следующих ошибок:

·  не указал какой-либо из обязательных реквизитов (ИНН или период, за который представлена декларация);

·  нечетко заполнил отдельные реквизиты, в результате чего невозможно их однозначное прочтение, или они заполнены карандашом;

- внес исправления в налоговую отчетность, при этом не заверил их своей подписью, либо подписью своего представителя.

На третьем этапе инспектор приступает к арифметическому контролю данных налоговой отчетности.

Схема №1 «Порядок проведения камеральной налоговой проверки»


Данный контроль осуществляется отделом, ответственным за ввод налоговой отчетности. Если в процессе ввода налоговой отчетности в показателях строк и граф, предусмотренных формой налоговой декларации, были обнаружены арифметические ошибки (в автоматизированном режиме), то протоколы таких ошибок передаются в отдел камеральных налоговых проверок для дальнейшей работы.

После арифметического контроля сотрудники отдела камеральных проверок проверяют правильность применения налогоплательщиком тех или иных ставок налога и льгот в соответствии с действующим законодательством, а также правильности исчисления налоговой базы.

«При проверке правильности исчисления налоговой базы инспекторы:

·   проверяют сопоставимость отчетных показателей налоговых деклараций отчетного (налогового) периода с аналогичными показателями предшествующего отчетного (налогового) периода;

·   анализируют сопоставимость показателей проверяемой декларации с показателями других форм отчетности (налоговой, бухгалтерской);

-оценивают достоверность показателей бухгалтерской отчетности и налоговой декларации на предмет их соответствия данным (информации) о финансово-хозяйственной деятельности налогоплательщика, полученным из других источников.

В этом случае информация о налогоплательщике может быть получена:

-от правоохранительных и иных контролирующих органов, органов государственной власти и местного самоуправления на основании совместных соглашений по обмену информацией;

· от банков на основании запросов;

· от юридических и физических лиц посредством писем, жалоб и заявлений;

· из средств массовой информации и сети Интернет в виде рекламных объявлений, содержащих сведения о возможной реализации товаров (выполнении работ, оказании услуг);

-в результате проведения налоговиками контрольных мероприятий (например, встречной налоговой проверки).»

Также на этом этапе проверяется сопоставимость основных показателей налоговой отчетности (выручка, расходы и т.д.), в том числе проводят их сравнительный анализ со средними показателями отчетности налогоплательщиков, осуществляющих аналогичные виды деятельности. Причем такой анализ должен проводиться не реже одного раза в квартал в отношении крупнейших и «бюджетообразующих» налогоплательщиков и не реже одного раза в год по остальным налогоплательщикам.

Цель камеральной проверки - проверка правильности заполнения налоговых форм, соответствия данных налоговых деклараций регистрам бухгалтерского учета. То есть камеральная проверка состоит в выявлении ошибок, допущенных при заполнении налоговых деклараций, противоречий между сведениями, содержащимися в представленных документах, а потому эта проверка является счетной проверкой представленных документов, которая должна проводиться адекватными методами и не подменять собой выездную проверку.

Если камеральной проверкой налоговых деклараций и документов не выявлено противоречий, правовых оснований для истребования документов, исходя из понятия и сущности камеральной проверки, и замены тем самым одной формы контроля другой не имеется. И делается отметка налогового инспектора о проведении камеральной проверки. Акт в этом случае не составляется.

Список подписывается инспектором отдела камеральных проверок, проводившим проверку, и на нем указывается дата проведения камеральной проверки. Затем данный список визирует начальник отдела камеральных налоговых проверок.

Если проверкой выявлены ошибки в заполнении документов или противоречия между сведениями, содержащимися в представленных документах, то об этом сообщается налогоплательщику с требованием внести необходимые исправления в установленный срок. Тогда проводиться следующий порядок действий. (Схема №2)

Схема № 2 «Порядок действий налогового инспектора при выявлении ошибок или нарушений, допущенных при заполнении налоговой декларации»


Если этих действий нарушения доказаны - можно составить акт, оформить решения и требования.

Если нарушения выявлены не позднее трех дней, следует сообщить о них налогоплательщику с требованием внести исправления.

Если в ходе камеральной проверки выявлены обстоятельства, свидетельствующие о совершении налогового правонарушения, либо установлено, что сумма налога к уменьшению или доплате рассчитана налогоплательщиком неверно, сотрудник налоговой инспекции, проводивший проверку, составляет докладную записку на имя руководителя налоговой инспекции.

В докладной записке излагаются установленные в ходе камеральной проверки доказательства, свидетельствующие о совершении налогового правонарушения и связанные с ними обстоятельства, фиксируется отсутствие обстоятельств, исключающих привлечение налогоплательщика к ответственности за совершение налогового правонарушения. Докладная записка должна содержать перечень всех показателей налоговой декларации, при исчислении которых налогоплательщиком были допущены нарушения, а также исправления, внесенные работником налогового органа в результате проверки.

В заключительной части докладной записки формулируется предложение о принятии руководителем инспекции одного из следующих решений:

·   о привлечении налогоплательщика к налоговой ответственности за совершение налогового правонарушения:

·   об отказе в привлечении налогоплательщика к ответственности за совершение налогового правонарушения;

·   о проведении дополнительных мероприятий налогового контроля.

В докладной записке, содержащей предложения о проведении дополнительных мероприятий налогового контроля, также должно быть указано, какие мероприятия налогового контроля уже были проведены, чем вызвана необходимость проведения дополнительных мероприятий налогового контроля и каких именно, предполагаемая сумма налога к доначислению либо уменьшению.

НК РФ не обязывает налоговые органы составлять акты камеральных проверок, но и не запрещает этого. Очевидно, что в тех случаях, когда проведенная камеральная проверка сопоставима по своему объему, сложности, количеству использованных первичных документов и собранных доказательств с выездной проверкой, описать ее результаты в нескольких строках, отведенных для этого в бланке налоговой декларации, не представляется возможным. Поэтому составление отдельного документа, в котором отражались бы ход, аргументация и выводы по такой проверке, представляется вполне обоснованным.

2. Анализ методики производства камеральной налоговой проверки на ОАО «Электросети»

2.1 Общая характеристика исследуемого объекта

Открытое акционерное общество "Электросети" (далее - «Общество») является коммерческой организацией, Уставный капитал которой разделен на определенное число акций, удостоверяющих обязательственные права акционеров по отношению к обществу.

Зарегистрированные в установленном законом порядке акции Общества свободно обращаются на рынке ценных бумаг в соответствии с действующим законодательством.

Общество несет имущественную ответственность по своим обязательствам всем своим имуществом и выступает в суде, арбитражном суде и третейском суде от своего имени.

Общество имеет самостоятельный баланс, банковские счета, круглую печать со своим полным фирменным наименованием на русском языке и указанием на место нахождения Общества.

Общество вправе иметь штампы и бланки со своим наименованием, собственную эмблему, а также зарегистрированный в установленном порядке товарный знак и другие средства визуальной идентификации.

Общество является юридическим лицом по законодательству Российской Федерации и имеет права юридического лица с момента его государственной регистрации.

Целью деятельности Общества является извлечение прибыли.

Основным видом деятельности Общества является: • Передача и распределение электрической энергии;

Прочие виды деятельности Общества:

· Строительство и реконструкция объектов электроснабжения, энергетического оборудования и электроустановок потребителей;

· Предоставление услуг по наружному освещению магистралей и улиц административных районов Курской обл., г. Железногорска;

· Предоставление услуг по эксплуатационному обслуживанию электроустановок потребителей (юридических и физических лиц);

· Монтаж, наладка и ремонт энергообъектов, электроэнергетического оборудования и электроустановок потребителей;

· Инжиниринг;

· Строительство и эксплуатация объектов промышленного и гражданского назначения;

· Изготовление и реализация оборудования и конструкций для сетей электроснабжения и наружного освещения.

Приоритетным направлением деятельности Общества является обеспечение надежного и бесперебойного энергоснабжения потребителей, заключивших договоры энергоснабжения со сбытовыми компаниями, гарантирующими поставщиками. С указанной целью Общество вкладывает собственные финансовые средства и привлекает инвестиции в реконструкцию и строительство новых объектов энергоснабжения. Одним из приоритетных направлений деятельности также является организация надлежащего учета электрической энергии в сетях Общества - создание автоматизированной информационно-измерительной системы коммерческого учета электроэнергии, что позволит существенно снизить потери электроэнергии.

Общество вправе размещать облигации и иные ценные бумаги, предусмотренные правовыми актами РФ о ценных бумагах.

Общество может создавать на территории Российской Федерации и за пределами территории Российской Федерации дочерние и зависимые хозяйственные общества, являющиеся юридическими лицами, а также филиалы и представительства.

Уставный капитал Общества определяет минимальный размер имущества Общества, гарантирующего интересы кредиторов, составляет 10370 (десять тысяч триста семьдесят) рублей, который разделен на 10370 (десять тысяч триста семьдесят) акций номинальной стоимостью 1 (один) рубль.

Общество создает Резервный фонд в размере 15% от Уставного капитала путем ежегодных отчислений 5% от чистой прибыли до достижения фондом указанного размера.

Система финансовых коэффициентов и показателей предприятия приведены в приложении. ( см. Приложение А)

2.2 Порядок проведения камеральной налоговой проверки на предприятии ОАО «Электросети»

Камеральная проверка начинается с проверки полноты и своевременности представления налогоплательщиком документов налоговой отчетности. В результате чего было выявлено, что отчетность представлена своевременно, но не в полном объеме. Это налоговое правонарушение должно быть отражено в акте камеральной налоговой проверки и к налогоплательщику нужно применить соответствующую санкцию.

При визуальном осмотре представленной отчетности, нарушений установлено не было: все реквизиты заполнены, подписи уполномоченных и должностных лиц присутствуют и т.д.

Затем проводится взаимоувязка форм бухгалтерской отчетности. Ошибок на данном этапе обнаружено не было.

Следующий этап - это проверка правильности исчисления налогов. Сначала проверяется правильность определения налогооблагаемой прибыли. Для этого были задействованы следующие формы отчетности:

· бухгалтерский баланс - форма N 1 (Приложение Б);

· отчет о прибылях и убытках - форма N 2 (Приложение В);

· отчет об изменениях капитала - форма N 3 (Приложение Г);

· отчет о движении денежных средств - форма N 4 (Приложение Д);

· приложение к бухгалтерскому балансу - форма N 5 (Приложение Е);

· расчет налога на прибыль (Таблица 1);

При анализе формы N 2 "Отчет о прибылях и убытках" была проведена проверка правильности определения выручки от реализации товаров, продукции, работ и услуг в соответствии с принятым организацией методом определения выручки в целях налогообложения, по представленным документам за 2007 год установлено следующее:

В нарушение Закона РФ " О налоге на прибыль предприятий и организаций", "О порядке исчисления и уплаты в бюджет налога на прибыль предприятий и организаций" ОАО "Электросети" сокрыло (занизило) объект налогообложения (валовую прибыль). ОАО"Электросети" в выручку от реализации продукции (работ, услуг) за 2007 г. не включило сумму в размере 333760 руб. Расхождения по выручке от реализации продукции (работ, услуг) образовались за счет несоответствие данных формы N 2 "Отчет о прибылях и убытках" с бухгалтерским учетом:

Таблица 1. - При проверке формы 2 "Отчет о прибылях и убытках" за 2008 год установлено :

показатели

по данным предприятия

по данным ГНИ

+ \-

1.Выручка (нетто)  от реализации товаров, продукции, работ, услуг { за минусом налога на добавленную стоимость)

1083440

1417200

+

333760

2.Себестоимость реализации товаров, продукции, работ , услуг

(436803)

(501909)

-

65106

4.Прочие операционные расходы]

(13014)

18971

+

5957

6.Итого прибыль(убыток)

456718

849627

+

392909


Заниженная прибыль : 392909 0руб.

Меры ответственности к налогоплательщику будут применены в соответствии со статьей 122 "Неуплата или неполная уплата сумм налога (сбора)" Налогового кодекса. Расчет суммы штрафа приведен в Приложении Ж.

Проверкой правильности исчисления налога на прибыль установлено следующее:

Валовая прибыль для целей налогообложения отражена организацией по стр.1 "Расчета налога от фактической прибыли",представленного в налоговую инспекцию, в размере 646637 руб.

Проверкой установлено, что фактически валовая прибыль для целей налогообложения составила 1039546 руб. Проверкой правильности исчисления налогооблагаемой прибыли установлено ее занижение на 392909 руб.

В результате выявленных нарушений, и с учетом ставки, действовавшей в проверяемом периоде, организацией занижен налог на прибыль подлежащий уплате в бюджет, в сумме 137518 руб. (см.таблицу 2)

Таблица 2. - Расчет налога на прибыль.

показатели

по данным ОАО "Электросети"

по результатам проверки

Доначислено (+) уменьшено(-)

1.Налогооблагаемая прибыль  2.Ставка налога на прибыль, в %  3.Сумма налога на прибыль

646637 35 226323

 1039546 35 363841

+ 392909   + 137518


В ходе документальной проверки нарушений пользования льготами по всем проверяемым налогам не установлено.

Следующий этап - это проверка налога на имущество. ОАО "Электросети" в соответствии с Законом РФ "О налоге на имущество предприятий", "О порядке исчисления и уплаты налога на имущество предприятий" является плательщиком налога на имущество. Проверкой правильности определения налога на имущество установлено следующее:

Сумма расхождений по налогу на имущество за 2008 г. образовалась в связи с сокрытием (неучетом) объекта налогообложения (среднегодовая стоимость имущества). При проверке расчета по налогу на имущество за 2008 г. по данным ОАО "Электросети" сумма налога, подлежащая уплате в бюджет - 11362 руб., по данным проверки установлено: сумма налога, подлежащая уплате в бюджет за 2008 г.- 10567 руб, к доначислению - 795 руб.(приложение 3).

Далее - проверка по налогу на добавленную стоимость: В соответствии с Законом РФ " О налоге на добавленную стоимость " ОАО "Электросети" является плательщиком налога на добавленную стоимость. Учет НДС ведется с использованием счетов бухгалтерского учета. Нарушений сроков представления деклараций по НДС нет. Проверкой правильности исчисления налога на добавленную стоимость установлено следующее:

В нарушение Закона РФ " О налоге на добавленную стоимость ", "О порядке исчисления и уплаты налога на добавленную стоимость" от расхождения образовались в связи с сокрытием (неучетом) объекта налогообложения (облагаемого оборота по реализации товаров, работ,услуг), необоснованным списанием НДС по оприходованным оплаченным ценностям, подлежащим списанию с кредита счета 19/1 "НДС по приобретенным материальным ресурсам" в дебет счета 68/2 "Расчеты с бюджетом по НДС" . За 2008 год проверкой правильности исчисления и уплаты налога на добавленную стоимость установлено занижение суммы налога на 81746 руб. (Приложение И):

- при проверке расчета по налогу на добавленную стоимость за I квартал 2008 г. по данным ОАО "Электросети" сумма НДС, подлежащая уплате в бюджет - 45526 руб., по данным проверки установлено: сумма НДС, подлежащая уплате в бюджет за I квартал 2008 г. - 81330 руб. К доначислению - 35804 руб.

·  при проверке расчета по налогу на добавленную стоимость за II квартал 2008 г. расхождений не установлено.

·  при проверке расчета по налогу на добавленную стоимость за III квартал 2008 г. по данным ОАО "Электросети" сумма НДС, подлежащая уплате в бюджет - 91490 руб., по данным проверки установлено: сумма НДС, подлежащая уплате в бюджет за III квартал 2008 г. - 108684 руб. К доначислению - 17194 руб.

·  при проверке расчета по налогу на добавленную стоимость за IV квартал 2008 г. по данным ОАО "Электросети" сумма НДС, подлежащая уплате в бюджет - 29551 руб., по данным проверки установлено : сумма НДС, подлежащая уплате в бюджет за IV квартал 2008 г. - 58299 руб. К доначислению - 28748 руб.

Итого: 35804+17194+28748=81746 (Приложение И) Следующий этап - это проверка расчета по налогу на содержание жилищного фонда и объектов социально-культурной сферы (Приложение К). ОАО "Электросети" является плательщиком налога на содержание жилищного фонда и объектов социально-культурной сферы. Проверкой правильности определения налога на содержание жилищного фонда и объектов социально-культурной сферы установлено следующее:

Сумма расхождений по налогу на содержание жилищного фонда и объектов социально-культурной сферы за 2008 г. образовалась в связи с сокрытием (неучетом) объекта налогообложения (облагаемого оборота по реализации товаров, работ, услуг). В результате налог занижен на 5006 руб. При проверке расчета по налогу на содержание жилищного фонда и объектов социально-культурной сферы за 2008 г. по данным ОАО "Электросети" сумма налога, подлежащая уплате в бюджет - 16252 руб., по данным проверки установлено : сумма налога, подлежащая уплате в бюджет за 2008 г - 21258 руб, к доначислению - 5006 руб. (приложение К).

После проведения проверки правильности исчисления и уплаты налогов, составляется акт камеральной налоговой проверки, в котором указываются все выявленные нарушения налогового законодательства и меры ответственности за их совершение (Приложение Л). Затем выносится решение о привлечении налогоплательщика к налоговой ответственности за совершение налогового правонарушения, где указываются все виды налоговых правонарушений, обнаруженных в ходе проверки, суммы недоимок по налогам, пени и штрафов, а также перечень статей Налогового кодекса, которые были нарушены и предложения по устранению выявленных нарушений (Приложение М). Расчет штрафов и пени приведен в Приложении Н. На основании решения о привлечении налогоплательщика к ответственности за совершение налогового правонарушения, налогоплательщику направляется требование об уплате налогов, в котором указываются суммы недоимок, пени по налогам (Приложение Ж).

2.3 Результаты камеральной налоговой проверки на предприятии ОАО «Электросети»

.Всего по результатам настоящей проверки установлено: Неуплата (неполная уплата) налога на добавленную стоимость в сумме - 81746 руб., в том числе:квартал 2008 г. - 35804 руб.,

III квартал 2007 г. - 17194 руб.,

IV квартал 2008 г. - 28748 руб. ( Приложение И)

Неуплата (неполная уплата) налога на прибыль в сумме- 137518 руб. (Таблица 2).

Неуплата (неполная уплата) налога на имущество в сумме - 795 руб. (Приложение 3).

Неуплата (неполная уплата) налога на содержание жилищного фонда и объектов социально-культурной сферы в сумме - 5006 руб (Приложение К).

Итого неуплата (неполная уплата) налогов установлена в сумме 225065 руб. ( 81746+137518+795+5006=225065).

. По результатам проверки предлагается: Взыскать с ОАО "Электросети":

а)указанные в пункте 1. суммы неуплаченных (неполностью уплаченных) налогов;

б) пени за несвоевременную уплату налогов в сумме 9452 руб. (приложение Н), в том числе :

· по НДС - в сумме - 3433 руб.

· по налогу на прибыль - в сумме - 5776 руб.

· по налогу на имущество - в сумме - 33 руб.

-по налогу на содержание жилищного фонда и объектов социально культурной сферы - в сумме - 210 руб.

3.Привлечь ОАО"Электросети" к налоговой ответственности за совершение налоговых правонарушений: за неполную уплату сумм налогов в результате занижения налогооблагаемой базы на основании пункта 1 ст. 122 Налогового Кодекса РФ - в виде 20 % штрафа в размере - 45013 руб. (Приложение Ж)

4.ОАО "Электросети" внести необходимые исправления в бухгалтерский учет, в частности:

а)отразить сумму заниженной прибыли в размере 137518 руб. в бухгалтерской отчетности по состоянию на 2009 года как прибыль прошлых лет, выявленную в отчетном году;

б)устранить, выявленные в ходе выездной налоговой проверки нарушения в соответствии с "Положением по ведению бухгалтерского учета и бухгалтерской отчетности в РФ".

3. Зарубежный опыт проведения камеральных налоговых проверок

.1 Совершенствование камеральных налоговых проверок

Совершенствование камерального контроля - фактор повышения эффективности выездных налоговых проверок.

«Минфин предлагает внести изменение в налоговое законодательство в части совершенствования камеральных проверок, в первую очередь банков. Об этом сообщил источник в правительстве в преддверии заседания кабинета министров, на котором будут рассматриваться меры по совершенствованию налогового администрирования. Источник подчеркнул, что налоговые органы не могут выехать во все организации, которые надо проверить, и поэтому у налоговиков есть график невыездных проверок.»

Проблема заключается в том, продолжил источник, что по результатам таких проверок «часто появляются вопросы, которые оспариваются». По словам источника, это связано с несовершенством налогового законодательства, а также с собственными трактовками отдельных положений и законов финансистами и бухгалтерами проверяемых предприятий и специалистами по исчислению налогов.

Минфин РФ предлагает в рамках совершенствования норм, регламентирующих деятельность налоговых органов и налогоплательщиков, упорядочить процесс проведения камеральных налоговых проверок, в частности, конкретизировав вопросы, которые должны проверяться при проведении таких проверок.

Также предлагается установить порядок, в соответствии с которым при выявлении существенных изменений показателей в отчетности по сравнению с показателями отчетности предыдущих периодов налоговый орган вправе направить налогоплательщику уведомление с указанием выявленных фактов и требованием представить пояснения.

Помимо этого, предлагается определить конкретные случаи (возврат или возмещение ранее уплаченного налога, использование налоговой льготы или налогового вычета), когда могут быть истребованы дополнительные документы в ходе проведения камеральных проверок, а также исчерпывающий перечень таких документов.

Предусматривается исключение возможности повторного истребования документов, которые ранее уже представлялись в налоговые органы. Также предлагается увеличить с 5 до 10 дней срок представления истребованных документов, возможность увеличения этого срока руководителем налогового органа с учетом объема истребованных документов.

3.2 Зарубежный опыт проведения налоговых проверок

Контроль за своевременностью и правильностью исчисления и уплаты налогов является одной из основных функции налогового ведомства любой страны.

Федеральная налоговая служба (ФНС) США построена по территориально-функциональному принципу. В ее составе находятся 10 центров обслуживания (service centers) и 33 окружных инспекции (district offices).

Аналог МНС России в Соединенных Штатах Америки - Служба внутренних доходов. Она является одной из самых могущественных государственных структур.

В арсенал налоговых инспекторов США входят различные методы контроля. Но прежде чем рассказать о них, отметим, что все эти методы подчиняются ряду общих правил.

Во-первых, налоговая проверка начинается с того, что налоговый инспектор направляет в адрес налогоплательщика решение о проверке. Если налогоплательщик не согласится с полученным решением, налоговый инспектор может инициировать проверку через суд.

Во-вторых, по законодательству США Служба внутренних доходов (далее - СВД) обязана строго соблюдать права и законные интересы налогоплательщиков. Это означает, например, что СВД не может проводить налоговую проверку налогоплательщика по непредусмотренным основаниям или с нарушением таких оснований.

В-третьих, в рамках проведения проверки налоговых деклараций СВД имеет право проверять документы бухгалтерского учета и принимать объяснения как самого налогоплательщика, так и третьих лиц. Если в рамках проводимой проверки налоговый инспектор принял решение проверить бухгалтерские документы третьих лиц, он должен сообщить об этом проверяемому налогоплательщику.

Виды проверок:

В США существует три вида налоговых проверок:

1)заочная (проводится путем направления документов в Контрольное управление СВД по почте);

2)камеральная (проводится по месту нахождения СВД);

)выездная (проводится по месту нахождения налогоплательщика). Выбор вида налоговой проверки зависит от комплекса и сложности

поставленных вопросов. Как правило, камеральные налоговые проверки проводятся только в отношении налоговых деклараций и не затрагивают текущие вопросы осуществления налогоплательщиком своей деятельности.

Камеральные проверки проводятся в СВД налоговыми аудиторами. В инициативном письме, направляемом налогоплательщику, содержится просьба о встрече с налоговым аудитором в офисе СВД. Как правило, в таком письме указывается, какие конкретно документы должен представить налогоплательщик налоговому аудитору.

камеральный налоговый проверка

Выездные налоговые проверки предназначены для оценки наиболее сложных налоговых деклараций физических и юридических лиц и проводятся в месте осуществления налогоплательщиком своей деятельности. Выездные проверки предполагают комплексный анализ правильности и полноты уплаты нескольких видов налогов. Подобные проверки проводят налоговые инспекторы, которые по сравнению с налоговыми аудиторами являются более опытными и квалифицированными специалистами.

Время и место проведения налоговой проверки определяет СВД с учетом конкретных обстоятельств. Критерии обоснованности выбора места и времени для проведения собеседования с налогоплательщиком и проверки документов бухгалтерского учета и отчетности определены инструкциями СВД. В соответствии с этими инструкциями инспекторам рекомендовано назначать налоговые проверки на рабочие дни и в рабочее время. Важно, что при этом они не должны учитывать какие-либо особенности бизнеса налогоплательщика. Но во избежание сложностей СВД должна согласовывать с налогоплательщиком время проведения проверки.

Налоговый инспектор самостоятельно выбирает, какую именно налоговую проверку проводить - камеральную или выездную. При этом он руководствуется собственными представлениями, какой вид проверки наиболее эффективен и целесообразен.

По законодательству США при проведении налоговой проверки СВД практически ничем не ограничена в возможности истребовать у налогоплательщика различные документы и иные источники информации. Так, помимо бумажных носителей налоговый инспектор может оценивать и иные материальные носители информации (например, аудио- и видеозаписи и др.). На практике случается, что суды признают неправомерным истребование у налогоплательщика документов, которыми СВД уже обладала. Впрочем, существуют и прямо противоположные судебные случаи.

Что касается срока представления тех или иных документов для проверки, то с момента соответствующего запроса и до момента предоставления запрашиваемых документов должно пройти как минимум десять дней.

В соответствии с Налоговым кодексом США если гражданин, который вызван налоговым инспектором для дачи показаний, а также для предоставления каких-либо документов, отказывается явиться, то районный суд США может обязать его подчиниться требованиям инспектора. Кроме того, за отказ выполнить требования налогового инспектора суд может привлечь налогоплательщика как к гражданско-правовой, так и к уголовной ответственности.

Служба внутренних доходов США намерена увеличить число налоговых проверок налогоплательщиков с уровнем дохода более 100 тысяч долларов в год, а также налогоплательщиков, имеющих собственный бизнес (self-employed). Особое внимание будет уделено американским налогоплательщикам, совершающим финансовые операции за рубежом.

Как заявил глава Службы внутренних доходов США Марк Эверсон, ужесточение налоговых проверок необходимо, чтобы гарантировать, что налоговое бремя справедливо распределяется между группами налогоплательщиков с разным уровнем дохода. Аудиторы обещают принять меры против компаний и физических лиц, которые используют незаконные схемы налогового планирования и реализуют сложные финансовые операции с единственной целью ухода от налогов.

В период с 30 сентября 2004 года по 30 сентября 2005 года Служба внутренних доходов США проверила отчетность 1,2 миллиона индивидуальных налогоплательщиков по уплате подоходного налога. Количество проверок увеличилось на 20 процентов в сравнении с предыдущим годом. Вместе с тем статистика свидетельствует о том, что налогоплательщики с уровнем дохода более 100 тысяч долларов в год редко подвергаются проверкам. В 2005 финансовом году аудиторы проверили лишь 1,58 процента таких налогоплательщиков, в 2004 финансовом году - 1,25 процента.

Заключение

В данной курсовой работе была раскрыта тема «Методика производства камеральной налоговой проверки организации».

На основании вышеизложенного материала можно сделать следующие выводы:

Камеральная налоговая проверка - это одна ив важнейших форм налогового контроля. В соответствии со ст. 88 НК РФ камеральная налоговая проверка - это проверка, проводящаяся по месту нахождения налогового органа на основе налоговых деклараций и документов, представленных налогоплательщиком, служащих основанием для исчисления и уплаты налогов, а также других документов о деятельности налогоплательщика, имеющихся у налогового органа, без специального решения руководителя или заместителя налогового органа о проведении налоговой проверки.

Камеральная проверка проводится уполномоченными должностными лицами налогового органа на основании предоставления налоговой декларации и бухгалтерской отчетности.

Целью проведения налоговых проверок является установление своевременного и правомерного исчисления и уплаты налогоплательщиком налогов и других обязательных платежей в бюджет.

Камеральная проверка является основной формой текущего контроля за правильностью исчисления, полнотой и своевременностью уплаты налогов в бюджеты различного уровня.

За 2008 года по результатам камеральной проверок налоговыми органами доначислено 225065 рублей по неуплате ( неполной уплате) налогов предприятием ОАО «Электросети». К ОАО «Электросети» применены все штрафные санкции. Взыскать с ОАО "Электросети" суммы неуплаченных (неполностью уплаченных) налогов; пени за несвоевременную уплату налогов в сумме 9452 руб.

ОАО"Электросети" было привлечено к налоговой ответственности за совершение налоговых правонарушений:

за неполную уплату сумм налогов в результате занижения налогооблагаемой базы на основании пункта 1 ст. 122 Налогового Кодекса РФ - в виде 20 % штрафа в размере - 45013 руб.

В третьей части курсовой работы, также, показан зарубежный опыт проведения камеральной налоговой проверки, что позволяет нам сравнивать камеральные налоговые проверки Российской Федерации и зарубежных стран, в данном случае США.

Предлагается совершенствование камерального контроля, для повышения эффективности выездных налоговых проверок.

Минфин предлагает внести изменение в налоговое законодательство в части совершенствования камеральных проверок, в первую очередь банков, упорядочить процесс проведения камеральных налоговых проверок, в частности, конкретизировав вопросы, которые должны проверяться при проведении таких проверок.

Также предлагается увеличить с 5 до 10 дней срок представления истребованных документов, возможность увеличения этого срока руководителем налогового органа с учетом объема истребованных документов.

Список литературы:

1.   Налоговый Кодекс Российской Федерации: официальный текст, действующая редакция. - М., Издательство «Экзамен», 2007 г.- 575 с. (Серия «Кодексы и Законы»)

2.   Азрилиян А.Н. Большой экономический словарь / Под ред. А.Н. Азрилияна. - 7-е изд. Доп. - М.: Институт новой экономики, 2007. - 1472 с.

3.Азрилиян А.Н. Малый экономический словарь / Под. Ред. А.Н. Азрилияна. - М.: Институт новой экономики, 2000. - 1088 с.

.Бекузаров, М.А. Камеральная налоговая проверка / М.А. Бекузаров // Консультант.-2002.- №22. -С.37-40

5.Винокурова, Г.П. Налоги и налогообложение в Российской Федерации: учебное пособие / Г.П. Винокурова. - Йошкар-Ола. : МарГТУ, 2003. - 106с.

.Дмитриева Н.Г., Дмитриев Д.Б. Налоги и налогообложение в Российской Федерации: Учебник для вузов. - Ростов н/Д; Феникс, 2004. - 512 с. (Серия «Высшее образование»).

.Дуканич Л.В. Налоги и налогообложение. Серия «Учебники и учебные пособия». Ростов н/Д: Феникс, 2000. - 416 с.

.Кваша, Ю.Ф. Налоговый контроль: налоговые проверки и производство по фактам налоговых правонарушений: учебно-практическое пособие / Ю.Ф. Кваша. - М.: Юристъ, 2001.- 540с.

.Перов, А.В. Налоги и налогообложение: Учеб. Пособие/ А.В. Перов, А.В. Толкушкин. - 2 изд., перераб. и доп. - М.: Юрайт-Издат, 2003. - 635с.

10. Ю.Романов А.Н. Организация и методы налоговых проверок: Учеб. пособие / Под ред. д-ра экон. Наук, проф. А.Н. Романова. - М.: Вузовский учебник, 2005.

. Юткина, Т.Ф. Налоги и налогообложение: Учебник. Изд.2-е, перераб. и доп. / Т.Ф. Юткина. - М.: ИНФРА-М, 2001. - 576с.

Электронные адреса сети Интернет:

http://klerk.ru

12.  http://www.rosnalog.ru

13.  http://www.connect.ru

14.  http://www.consultant.ru

15.  http://www.glavbukh.ru

Приложения

СИСТЕМА ФИНАНСОВЫХ КОЭФФИЦИЕНТОВ И ПОКАЗАТЕЛЕЙ ФИНАНСОВО-ХОЗЯЙСТВЕННОЙ ДЕЯТЕЛЬНОСТИ

Наименование показателя

Формула расчета

Информационное обеспечение

Нормативное значение



Отчетная форма

Номера строк, граф





Строки

По данным отчетности на 2008 год


1

2

3

4

5

6

1. Оценка имущественного положения

1. Доля основных средств в активах

Стоимость основных средств Итог баланса

1

с. 120 с.ЗОО

0,2


2. Доля активной части основных средств

Стоимость активной части основных средств Стоимость основных средств

5 1

сЗ 63+ сЗ 64+ сЗ 66+ сЗ 67 с. 120

0


2. Показатели платежеспособности и ликвидности

1. Коэффициент текущей ликвидности

Оборотные активы Краткосрочные пассивы

1

С.290 - с.220 - С.230 с.610 + с.630 + с.660

0,5

2, не менее

2. Коэффициент абсолютной ликвидности

Денежные средства + Ценные бумаги Краткосрочные пассивы

1

с.250 + с.260 с.610 + с.620 + с.630 + с.660

0,4

От 0,2 до 0,5

3. Коэффициент обеспеченности собственными средствами

Собственный капитал - Внеооборотный капитал Оборотные активы

1

(с.490 + с.640 + с.650) - с. 190 с.290

(0,6)

0,1

 

4. Коэффициент восстановления (утраты) платежеспособности

Ктп+6(ЗУТ*(Ктл.к - Ктл.н) 2

1


0,3

1, не менее (1, не более)

 

5. Доля оборотных средств в активах

Оборотные активы Итог баланса

1

с.290 с.ЗОО

0,4


 

6. Доля собственных оборотных средств в общей их сумме

Текущие активы - Текущие пассивы Текущие активы

1

с.290 - с.690 с.290

(0,6)


 

3. Оценка финансовой устойчивости

 

1. Коэффициент автономии (финансовой независимости и концентрации собственного капитала)

Собственный капитал Итог баланса

с.490+ С.640 +с.650 с.700

0,4

0,5 не менее

 

2. Коэффициент финансовой устойчивости

Краткосрочные обязательства + долгосрочные обязательства Итог баланса

1

с.590 + с.690 с.700

0,6


 

3. Коэффициент маневренности собственного капитала

Собственный оборотный капитал Собственный капитал

1

с.490-с. 190 с.490

(0,6)

0,5

 

4. Коэффициент мобильности собственного капитала

Денежные средства Собственный оборотный капитал

1

с.260 с.490-с. 190

(0,7)


 

5. Коэффициент

собствнный _ капитал


с.490 + с.640 + с.650

0,7

1, не менее

 

финансирования (соотношения собственных и заемных средств)

заемный _ капитал

1

с.590 + с.690



 

4. Оценка эффективности использования оборотного капитала (деловой активности)

 

1. Выручка от реализации


2

С. 010

1 083 440


 

2. Чистая прибыль


2

С.140-С.150

744 201


 

3. Производительность

выручка_от_ реализации

2 5

с.ОЮ

2,19


 

труда

?реднеспиочная численност работнике

 

с.760



 

4. Ресурсоотдача

выручка от реализации

2

с.ОЮ

0,65


 


итог баланса

1

с.ЗОО



 

5. Фондоотдача

выручка от реализации

2 1

с.ОЮ

3,25


 


средняя _ величина _ основных _ средст

 

с. 120



 

6. Коэффициент

выручка_от реализации

2

с.ОЮ

1,75


 

оборачиваемости оборотного капитала

средняя_величина оборотного^капита

 

с.290



 

7. Коэффициент

выручка от реализации

2 1

с.ОЮ

1,64


 

оборачиваемости собственного капитала

средняя_величина собственнво капитс

 

с.490



 

5. Оценка рентабельности

 

1. Рентабельность

чистая прибыль


с. 190

0,69


 

капитала 1.1 Рентабельность собственного капитала

средняя_величина собственнво капитс

2 1

с.490 + с.640 + с.650



 

1.2. Рентабельность акционерного капитала

чистая прибыль средняя_величина акционерной капш

2

с. 190 с.410

45671,8


 

1.3. Рентабельность инвестиционного капитала

чистая прибыль

2 1

с. 190

0,69


 


средняя величинаинвестицгтого капи

 

с.490 + с.640 + с.650 + с.590



 

2. Рентабельность активов 2.1. Рентабельность оборотных активов

чистая_прибыль средняя_величина_оборотных_активо

2 1

с. 190 с.290

0,74


 

2.2. Рентабельность чистых активов

чистая прибыль

2 1

с. 190



 


средняя_величина чистых активос

 

средняявеличиначистых акти

 

 

 

3. Рентабельность продаж

прибыль от реализации продукцг объем реализации

2

с.050 с.ОЮ

0,54


 



Требование об уплате налогов и сборов

Руководителю ОАО "Электросети" (ИНН 4633013928) Шушемоину В.В.

, г.Железногорск, Курской обл. ул.Ленина, 21

ТРЕБОВАНИЕ №21 об уплате налога по состоянию на 13 апреля 2008 года

Межрайонная инспекция ФНС по Курской области ставит в известность открытое акционерное общество"Электросети" о том,что согласно постановления о привлечении налогоплательщика к налоговой ответственности от 13 апреля 2007 г. N 21 по акту камеральной налоговой проверки от 13 апреля 2007 г. за Вашей организацией имеется задолженность. На основании действующего на территории РФ налогового законодательства Ваша организация должна уплатить:

N п/п

наименование налога

недоимка, (руб.)

 пени, (руб.)

штрафы, (руб.)

код бюджетной классификации

1

НДС

81746

3433

16349

1020100

2

прибыль

137518

5776

27504

1010100

3

имущество

795

1 33

159

1040200

4

ЖКХ

5006

i 210 I

1001

1400504


ИТОГО :

225065

9452

45013



Межрайонная инспекция ФНС № 3 по Курской области предлагает, числящуюся за ОАО "Электросети" согласно постановления от 13 апреля 2007 г. N 21 по акту камеральной налоговой проверки от 13 апреля 2007 г. задолженность погасить. В случае, если настоящее требование будет оставлено без удовлетворения, в срок до 27 апреля 2007 г. Межрайонная инспекция ФНС № 3 по Курской области примет все предусмотренные действующим законодательством(статья 104 Части первой налогового Кодекса РФ) меры по обеспечению выполнения налогоплательщиком обязательств по уплате налогов(сборов) и других обязательных платежей.

В соответствии со статьями 31,46,104 Части первой Налогового Кодекса РФ налог и пени взыскиваются в бесспорном порядке.

В случае невнесения суммы штрафа в добровольном порядке, данная санкция будет взыскана через суд.

Межрайонная инспекция ФНС № 3 по Курской области предлагает устранить выявленные налоговой проверкой нарушения в соответствии с "Положением по ведению бухгалтерского учета и бухгалтерской отчетности в РФ".

Руководитель МИФНС № 3

по Курской области,  Смирнова А.И.

М.П. ""2007 г.

ПОЛУЧЕНО:

Генеральный директор ОАО "Электросети"

Шушемоин В.В.

Расчет налога на имущество предприятия за 2008 г. по ОАО "Электросети" (руб.)

показатели

среднегодовая стоимость облагаемого налогом имущества

ставка налога

сумма

I квартал 2008г.




по данным ОАО

140380

2

2808

по данным МИФНС

150200

см

3004

разница (+/-)

]_


+ 196

1-е пол. 2008 г.

1



по данным ОАО

1 287350

см

5747

по данным МИФНС

308265

2

6165

разница (+/-)



+ 418

9 месяцев 2008 г.




по данным ОАО

412065

2

8241

по данным МИФНС

445263

2

8905

разница (+/-)

1


+ 664

2008 г.

|



по данным ОАО

528350

2

10567

по данным МИФНС

568100

см

11362

разница (+/-)

1


+ 795


Старший государственный налоговый инспектор

МИФНС № 3 по Курской области I ранга Косинов Р.В.

Генеральный директор ОАО "Электросети" Главный бухгалтер ОАО "Электросети"

Шушемоин В.В. Ивкина А.Е.

РАСЧЕТ по налогу на добавленную стоимость за 2008 г. по ОАО "Электросети" (руб.)

показатели

НДС по оприходован, оплачен.ценностям, подлежащий списанию с К "19" в Д "68"

Стоимость реализуем, товаров, работ, услуг облагаемых НДС

Сумма налога подлежащая взносу в бюджет


оборот НДС

оборот НДС


1квартал 2008 по данным ОАО по данным мифнс разница (+/-)

388234 76914 356150 | 70830 |- 6084

612200 | 122440 760800 | 152160 |+ 29720

45526 81330 + 35804

II кварт.2008 по данным ОАО по данным мифнс разница (+/-)

261072 ; 51835 261072 | 51835

637040 | 127408 637040 | 127408

75573 75573

Шквартал2008 по данным ОАО по данным мифнс разница (+/-)

456500 | 90980 456500 | 90980

912350 ; 182470 998320 | 199664 |+ 17194

91490 1088684 + 17194

1Уквартал 2008 по данным ОАО по данным мифнс разница (+/-)

708740 ! 141750 664200 | 132840 |- 8910 |

856505 | 171301 955695 | 191139 |+ 19838 I

29551 58299 + 28748


Старший государственный налоговый инспектор

МИФНС № 3 по Курской области I ранга Косинов Р.В.

Генеральный директор ОАО "Электросети" Главный бухгалтер ОАО "Электросети"

Шушемоин В.В.                                             Ивкина А.Е.

|выручка ( ВД ) от показатели |реализации продукции | (без НДС)

ставка налога

сумма налога

I квартал 2008 |по данным ОАО 434310 |по данным МИФНС 582 910 |разница (+/-) |

1. 5 1.5

6515 8744 + 2229

1-е полуг.2008 г.| |по данным ОАО 97 6850 |по данным МИФНС 1125450 |разница (+/-)

1.5 1. 5

14653 16882 + 2229

| 9 месяцев 2008 г. | |по данным ОАО 1547872 |по данным МИФНС | 17824 4 2 | разница ( + /-) 11I

1.5 1.5

23218 26737 + 3519


АКТ № 21

КАМЕРАЛЬНОЙ НАЛОГОВОЙ ПРОВЕРКИ

ОАО «Электросети», 4633013928/463301001.

(полное и сокращенное наименования организации, ИНН/КПП или полное и сокращенное наименования организации и филиала (представительства) организации, ИНН/КПП; Ф.И.О. физического лица, ИНН)

г. Железногорск13.04.2007 г.

(место составления)(дата)

Мною, старшим Государственным инспектором МИФНС № 3 по Курской обл. Косиновым Р.В.

(должность, Ф.И.О., сотрудника налогового органа с указанием наименования налогового органа, который он представляет)

проведена камеральная налоговая проверка на основе первичной либо уточненной (корректирующей) налоговой декларации (расчета) по перечню вопросов, утвержденных руководителем налогового органа, касающихся.

(наименование налога (сбора))

ОАО « Электросети», 4633013928/463301001.

(полное и сокращенное наименования организации, ИНН/КПП или полное и сокращенное наименования организации и филиала (представительства) организации, ИНН/КПП; Ф.И.О. физического лица, ИНН)

представленной 13.01.2008 гМИФНС №3 по Курской обл.

(дата)(наименование налогового органа)

за период 2008 год , регистрационный номер налоговой декларации (расчета)и других документов.

Проверка проведена в соответствии с Налоговым кодексом Российской Федерации, иными актами законодательства о налогах и сборах.

. Общие положения

1.1.Проверка начата 13.01.2008 г.,окончена 13.04.2008 г..

(дата)(дата)

2. Место нахождения организации (филиала, представительства), или место жительства физического лица): 307170, РФ, Курская обл., г. Железногорск, ул. Ленина, 21 ..

3. Настоящая камеральная налоговая проверка проведена на основе налоговой декларации (расчета) и следующих документов: бухгалтерский баланс - форма N 1;отчет о прибылях и убытках - форма N 2; отчет об изменениях капитала - форма N 3; отчет о движении денежных средств -

форма N 4; приложение к бухгалтерскому балансу - форма N 5

(указываются виды проверенных документов и при необходимости перечень конкретных документов)

. Выводы и предложения проверяющего по устранению выявленных нарушений

.1. Всего по результатам настоящей проверки установлено:

2.1.1.Неуплата (неполная уплата,) налогов: за 2008 год в сумме 225065 руб.;

(налоговый период)

на содержание жилищного фонда и объектов социально-культурной сферы:

За 2008 год в сумме 5006 руб.;

(налоговый период)

2.1.2.Завышение убытков, исчисленных налогоплательщиком:

- по данным налогового учета при исчислении налоговой базы по налогу на прибыль

За 2008 годв сумме 137518 руб.;

(налоговый период)

2.1.3.Завышение налога на добавленную стоимость: за 2008 год в сумме 81746 руб.;

(налоговый период)

2.1.4.Неуплата (неполная уплата) налога на имущество предприятия: За 2008 год в сумме 795 руб.;

(налоговый период)

.2 По результатам проверки предлагается:

2.2.1. Взыскать с ОАО «Электросети».

(сокращенное наименование организации, или Ф.И.О. индивидуального предпринимателя или Ф.И.О. физического лица)

а)суммы неуплаченных (не полностью уплаченных) (не перечисленных (не полностью перечисленных) налогов (сборов) в размере: 225065 руб.,

б)пени, за несвоевременную уплату или неуплату (несвоевременное перечисление или неперечисление) налогов (сборов)в размере: 9452 руб.

.2.2. Внести необходимые исправления в документы бухгалтерского и налогового учета.

.2.3. Привлечь ОАО «Электросети»_

 (сокращенное наименование организации, или Ф.И.О. индивидуального предпринимателя или Ф.И.О. физического лица)

к налоговой ответственности, предусмотренной:

а) пунктом1 статьи122 Налогового кодекса Российской Федерации за неполную уплату сумм налогов;

(указывается состав налогового правонарушения)

Приложения: на листах.

В случае несогласия с фактами, изложенными в настоящем акте камеральной налоговой проверки, а также с выводами и предложениями проверяющего Вы вправе представить в течение 15 дней со дня получения настоящего акта в МИФНС № 3 по Курской обл.

(наименование налогового органа)

письменные возражения по указанному акту в целом или по его отдельным положениям. При этом Вы вправе приложить к письменным возражениям или в согласованный срок передать документы (их заверенные копии), подтверждающие обоснованность своих возражений.

Подпись лица, проводившего проверку

Подпись руководителя организации (физического лица) (их представителя)

 (должность)

(наименование организации

(подпись)

(Ф.И.О.)

(подпись)

(Ф.И.О.)

 

Экземпляр акта с получил:

приложениями на

(количество приложений)

листах

 (должность, Ф.И.О. руководителя организации или Ф.И.О. физического лица (Ф.И.О. их представителя)

(дата)

(подпись)

Постановление о привлечении к налоговой ответственности за совершение налогового правонарушения

ПОСТАНОВЛЕНИЕ N21

о привлечении к налоговой ответственности за совершение налогового правонарушения

г.Железногорск13.04.2007г.

Межрайонная инспекция ФНС по Курской области ,Советник налоговой службы II ранга Смирнова Анна Ивановна, рассмотрев акт камеральной налоговой проверки от 13.04.2008 г. N 21 открытого акционерного общества "Электросети", ИНН 4633013928, юридический адрес : 307170, Курская область, г.Железногорск а также первичные бухгалтерские документы и регистры бухгалтерского учета и прочие документы, указанные в п.1.8 настоящего акта, установил:

ОАО "Электросети" были допущены нарушения:

-Закона РФ " О налоге на добавленную стоимость ","0 порядке исчисления и уплаты налога на добавленную стоимость, что повлекло за собой неполную уплату сумм налога на добавленную стоимость в результате занижения налогооблагаемой базы, нарушения порядка исчисления налога, что подтверждается материалами налоговой проверки

(п.2.13 акта проверки).

Закона РФ " О налоге на прибыль предприятий и организаций Государственной налоговой службы РФ "О порядке исчисления и уплаты в бюджет налога на прибыль предприятий и организаций","Положения по составу затрат по производству и реализации продукции (работ, услуг), включаемых в себестоимость продукции о порядке формирования финансовых результатов, учитываемых при налогообложении прибыли", что повлекло за собой занижение налогооблагаемой прибыли, неполную уплату налог на прибыль, что подтверждено материалами налоговой проверки (п.2.1.2 акта проверки).

· Закона РФ "О налоге на имущество предприятий" Инструкции N 33 "О порядке исчисления и уплаты в бюджет налога на имущество предприятий" что повлекло за собой занижение налогооблагаемой базы для исчисления налога на имущество, неполную уплату налога на имущество, что подтверждено материалами налоговой проверки (п.2.1.4. акта проверки).

· Решения "О местных налогах и сборам на 2008 г.", что повлекло за собой неполную уплату налога на содержание жилищного фонда и объектов социально-культурной сферы в результате занижения налогооблагаемой базы, что подтверждается материалами налоговой проверки (п.2.1.1. акта проверки).

Руководствуясь статьями 31,101,106,107,110 п.п.3,4 части I Налогового Кодекса Российской Федерации

ПОСТАНОВИЛ :

1.Привлечь открытое акционерное общество "Электросети" к налоговой ответственности за совершение налоговых правонарушений, предусмотренных пунктом 1 статьи 122 части первой Налогового кодекса Российской Федерации за неполную уплату сумм налогов (сборов) в результате занижения налогооблагаемой базы - в виде взыскания штрафа в размере 20 % от неуплаченной суммы налога (сбора) в размере - 45013 руб., в том числе:

2.1. Перечислить в срок, установленный в требовании об уплате недоимки по налогам, пеней, сумм налоговых санкций, а также об устранении выявленных нарушений суммы :

а)налоговых санкций, указанных в пункте 1 настоящего Постановления;

б)неуплаченных (не полностью уплаченных) налогов :

·   НДС - 81746 руб. ,

·   налог на прибыль - 137518 руб.,

·   налог на имущество - 7 95 руб.,

налог на содержание жилищного фонда и объектов социально-культурной сферы - 500 6 руб. Всего : 225065 руб.

в) пени за несвоевременную уплату налогов :

·   НДС - 34 33 руб.,

·   налог на прибыль - 57 7 6 руб.,

·   налог на имущество - 33 руб.,

налог на содержание жилищного фонда и объектов социально-культурной сферы - 210 руб. Всего : 3452 руб.

.2. Внести необходимые исправления в бухгалтерский учет в соответствии с "Положением поведению бухгалтерского учета и бухгалтерской отчетности в РФ" .

Руководитель МИФНС № 3 по Курской области, Советник налоговой службы

II ранга  Смирнова А.И.

Копию Постановления по акту выездной налоговой проверки получил: Генеральный директор

ОАО "Электросети"   Шушемоин В.В.

(дата)

РАСЧЕТ

начисления пени за просрочку платежей в бюджет за 2008 г. по ОАО "Электросети" (руб.)

период

кол-во дней

недоимка

% сумма к уплате

Налог на добавленную стоимость 21.01.08-22.02.08

42

81746

0,1 3433 |

итого по налогу : 3433

налог на прибыль 21.01.08-22.02.08

42

137518

0, 1

5776

итого по налогу : 5776

налог на имуществе 21.01.08-22.02.08

42

795

0,1

33

итого по налогу : 33

1 1 Налог на содержание жилищного фонда и объектов социально-культурной сферы 21.01.08-22.02.08 | 42 5006 i 0,1 II 1 -

210

итого по налогу : 210


Старший государственный налоговый инспектор

МИФНС № 3 по Курской области I ранга Косинов Р.В.

Генеральный директор ОАО "Электросети"  Шушемоин В.В.

Главный бухгалтер ОАО "Электросети" Ивкина А.Е.

Похожие работы на - Методика производства камеральной налоговой проверки (на материалах ОАО 'Электросети')

 

Не нашли материал для своей работы?
Поможем написать уникальную работу
Без плагиата!
Без нейросетей!