Распространение радиоволн в лесной среде. Теория боковой волны
Оглавление
Введение
Глава 1. Обзор теоретических и экспериментальных исследований
распространения радиоволн в лесных средах
1.1 Распространение радиоволн в лесной среде
1.2 Исследование частотной зависимости ослабления радиоволн лесом
1.3 Зависимость поглощения радиоволн от расстояния при
распространении в лесной растительности
1.4 Эффект усиления поля по высоте при размещении антенн в лесной
растительности и над ней
1.5 Влияние поляризации на ослабление радиоволн, распространяющихся
в лесу, и эффект деполяризации
Вывод
Глава 2. Теория боковой волны
2.1 Выражение для боковой волны
2.2 Физический смысл боковой волны
2.3 Смещение лучей при отражении и боковая волна
Вывод
Глава 3. Исследование боковых волн в лесных покровах
3.1 Экспериментальные исследования распространения боковых волн в
лесной среде
3.1.1 Методика проведения измерений и результаты дистанционного
зондирования лесного полога
3.1.2 Результаты измерений на открытой местности (поле) и в лесу
3.1.3 Результаты исследований электродинамических свойств леса с
учетом его видового состава и внутренней структуры
3.2 Экспериментальное исследование диэлектрических свойств лесного
покрова
3.2.1 Метод определения диэлектрических свойств лесного покрова на
основе анализа условия формирования боковых волн
3.2.2 Расчет эффективной диэлектрической проницаемости леса
3.3 Распространение боковых волн в условиях сложного рельефа
местности и неоднородности лесного покрова
Вывод
Заключение
Литература
Введение
Актуальность исследования. В последние десятилетия
интерес к исследованию распространения электромагнитных волн в лесных покровах
традиционно остается велик. Особую актуальность такие исследования приобрели с
развитием методов дистанционного зондирования земной поверхности. Это связано с
существенным влиянием лесной растительности на параметры электромагнитных
излучений практически любых диапазонов, определяющим, во многих случаях,
особенности распространения волн вблизи земной поверхности.
Существенное влияние на условие распространения радиоволн и
на работу всей радиосвязи в целом оказывает наличие растительности. Из всех
типов растительного покрова самым распространенным является лес. При изучении
электродинамических характеристик лесной растительности интерес представляет
рассмотрение следующих вопросов. Это определение ослабляющих и рассеивающих
свойств растительности, особенно важное применительно к задачам дистанционного
зондирования, и разработка способов учета ее влияния на характеристики сигналов
путем построения моделей леса как случайно-неоднородной среды. Обзор состояния
электродинамических свойств в растительных средах дано в работе [1]. Информация
о подходах и результатах моделирования распространения радиоволн в лесу
содержится в обзоре [2].
Говоря о прохождении радиоволн УКВ диапазона через лесные массивы,
можно вести речь о нескольких основных механизмах распространения. Во-первых,
это - рассеяние и поглощение при непосредственном прохождении волн через лесной
покров. Так как при этом уровень излучения быстро убывает, данный способ
распространения имеет существенное значение только на небольших дистанциях.
Второй механизм связан с формированием боковых волн, распространяющихся над
верхней кромкой леса и практически не ослабляющихся из-за влияния
растительности, за счет чего на больших дистанциях такой способ распространения
сигнала в присутствии лесного покрова является основным. Иногда вводятся в
рассмотрение также волны, отраженные от верхней кромки леса. Однако такими
волнами в силу их малой амплитуды и быстрого затухания в УКВ диапазоне частот можно
пренебречь. На очень больших расстояниях и низких частотах необходим учет
ионосферной волны [3].
Цель работы. Поскольку в существующей ныне литературе
нет данных, касающихся предельных частот, на которых возможно распространение
боковых волн в лесных средах, отсутствуют исследования, связанные с
определением дистанций, на которых формируется и проявляется такой тип волн, не
рассмотрено влияние видового, структурного состава, свойств растительности,
рельефа местности на данный механизм распространения сигналов в лесу. Цель
дипломной работы - рассмотрение этих вопросов.
Дипломная работа состоит из введения, трех глав и заключения.
Первая глава дипломной работы посвящена обзору опубликованных
в отечественной и иностранной литературе источников по вопросам распространения
радиоволн в лесных средах. Дается краткое рассмотрение этих вопросов. Также
дано детальное обсуждение выявленных при этом эффектов, таких как частотная
зависимость удельного ослабления, влияние поляризации на ослабление радиоволн,
дистанционная и высотная зависимость напряженности поля в лесу.
Во второй главе рассмотрена теория боковой волны. Дано
математическое выражение для боковой волны, позволяющее получить количественные
оценки и физическая картина механизма распространения боковой волны
В третье главе приводятся результаты экспериментального
исследования боковых волн в лесной среде. Доказана возможность их формирования
для лесов, типичных для территории республики Бурятия, уже на дистанциях
порядка 100 м.
Изложен метод определения эффективной диэлектрической
проницаемости лесных сред на основе анализа условия формирования боковых волн.
И на основании этого метода получены экспериментальные значения эффективной
диэлектрической проницаемости различных типов лесных сред.
Изучены особенности распространения радиоволн УКВ диапазоне в
условиях сложного рельефа местности и неоднородности лесного покрова.
боковая радиоволна лесной покров
Глава 1. Обзор теоретических и экспериментальных исследований
распространения радиоволн в лесных средах
Данная глава посвящена обзору опубликованных в отечественной
и иностранной литературе источников по вопросам распространения радиоволн в
условиях, когда на характер распространения и отражения радиоволн сказывается
наличие подстилающей поверхности с различного рода растительными покровами.
Проведенные различными авторами экспериментальные
исследования показывают, что при распространении УКВ радиоволн вблизи лесных
массивов наблюдается явление рассеяния радиоволн при отражении от леса, явления
преломления и поглощения при распространении в лесной среде и вблизи нее. Кроме
того, наблюдается эффект деполяризации сигнала и флуктуация его амплитуды и
фазы.
Исследования ослабления радиоволн лесными покровами является
предметом интенсивного изучения специалистами из различных стран. Эти
исследования помогут проанализировать влияние леса на качество радиосвязи в
целом.
1.1
Распространение радиоволн в лесной среде
В первом параграфе приводится описание ранее проведенных
исследований по ослаблению радиоволн лесной средой и отдельных деревьев. Эти
работы были проведены для установления характера удельного поглощения радиоволн
при наличии на трассе лесных препятствий. Первые сведения о влиянии леса на
распространение радиоволн, относятся еще к 1938 году, когда Л.К. Пейсиков было
установлено, что дальность радиопередачи в лесу значительно меньше, чем в
открытой местности. При этом было установлено, что поле в лесу носит ярко
выраженный интерференционный характер.
В 60-х годах появилась серия работ [4-8], в которых
представлены результаты исследований по распространению радиоволн в условиях
джунглей. Особое внимание уделялось эффективной дальности связи, когда обе
антенны (приёмная и передающая) расположены у поверхности земли. Было выявлено,
что условия приёма сильно зависят как от рельефа местности, так и от увеличения
высоты одного из конечных пунктов линии связи. Теперь рассмотрим те модели,
которые были разработаны в этих работах.
Применение теории распространении радиоволн в поглощающих
средах к расчету ослабления коротких и метровых волн в густом лиственном лесу и
джунглях рассматривается в работе [4]. Расчет уровня принимаемого сигнала
производится по формуле:
, (1)
где d - длина трассы
, - глубина проникновения
в среду, σ - проводимость среды.
Модель, предложенная в данной работе, была удобна для практического применения,
они, во-первых, дают приближенные оценки, во-вторых, приводят к физическому
пониманию механизма распространения радиоволн в лесу.
Первые попытки непосредственно объяснить влияние
растительности на распространении радиоволн были сделаны в работе [8]. Авторы
данных работы предполагают, что плотный растительный покров можно
рассматривать, как поглощающий диэлектрический слой. Далее рассматривается
задача о поле вертикальной антенны, расположенного внутри этого слоя. Также в
работе впервые вводится к рассмотрению боковая волна, которая распространяется
в воздухе вдоль поверхности леса. Применение этой модели оказалось чрезвычайно
плодотворным. Оказалось, что многие экспериментальные данные хорошо согласуются
с теорией, учитывающие особенности распространения этой волны. Подробно
механизм распространения боковой волны вдоль лесного массива рассмотрен в
работе [3], где предлагается теория распространения радиоволн в диапазоне
частот 1 - 100 МГц на расстоянии до 100км. При этом предполагается, что обе
антенны - приёмная и передающая - находятся ниже средней высоты леса.
Предполагаемые размеры леса таковы, что он считается диэлектрическим слоем,
ограниченный снизу землей, а сверху - воздухом. Таким образом, полная модель
включает в себя три границы: "земля - лес", "лес - воздух"
и "воздух - ионосфера". Лес характеризуется комплексным коэффициентом
преломления:
, (2)
где εi - средняя диэлектрическая относительная
проницаемость, 
i - средняя
проводимость лесной среды. Эквивалентными параметрами полупроводящей среды
являются 1,01≤ε≤1.5; 10-3≥
≥10-5см/м. Рассматривается влияние различных волн на общее поле, и
приводятся расчетные формулы. Как показано в работе, прямая волна,
распространяющаяся по кратчайшему пути, вследствие поглощения и рассеяния в
деревьях испытывает сильное ослабление и с ней можно не считаться. Волна,
проходящая внутри леса, меньше боковой волны для расстояний больше одного
километра и частоты больше одного мегагерца. Таким образом, основное поле в месте
приёма при распространении радиоволн вблизи лесного массива создается боковой
волной, распространяющейся в воздухе над лесом и проникающей вниз к месту
расположения приёмной антенны. Работа [3] явилась основой для теоретического
анализа распространения радиоволн в лесистой местности.
В работах [9-13] рассмотрено распространение радиоволн через
вершины крон деревьев, когда излучение в лесу доходит за счет боковой волны,
траектория которой определяется линией наименьшего ослабления радиоизлучения.
Кратко резюмируя результаты рассмотренных работ, можно отметить
следующее. При исследовании распространения радиоволн в лесных массивах были
выявлены следующие особенности:
1. Отмечается частотная зависимость удельного
ослабления радиоволн, а также поляризационные эффекты.
2. Наличие растительности приводит к дополнительным
потерям.
. Для постоянной высоты антенн принимаемое поле
изменяется обратно пропорционально квадрату расстояния. Потери передачи
уменьшаются с увеличение высоты одной из антенн, а усиление поля с высотой,
измеренной в дБ, подчиняется линейному закону.
Детально обсуждение этих вопросов дано в следующих
параграфах. При этом, поскольку наиболее разработанной и в физическом отношении
правильной является модель боковой волны, то в основном все выявленные
особенности распространения радиоволн в лесной среде рассмотрим приблизительно
к данной модели.
1.2
Исследование частотной зависимости ослабления радиоволн лесом
Первое обобщение данных по ослаблению радиоволн метрового и
дециметрового диапазона в лиственном лесу приведено в работе [14]. Изложим
методику измерения, приведенного в этой работе. Измерялась величина
принимаемого сигнала в лиственном лесу и сравнивалась с сигналом известной
мощности передатчика. Также в работе сравнивается напряженность поля в
областях: открытой местности и в лесу. На основе данных приведем общий вывод,
сделанный авторами: абсолютное значение удельного поглощения увеличивается с
ростом частоты. При этом ослабление частоты вертикально поляризованной волны в
два раза больше, чем горизонтальной. Бачинский [15] в обзоре экспериментальных
и теоретических работ, сделанными в диапазоне 30 - 1000 МГц, пришел к выводу,
что ослабление поля и его колебания вызваны неровностями рельефа, местными
предметами и особенно лесом, на низких частотах значительно меньше при
горизонтальной поляризации. С увеличение частоты разница уменьшается, а
абсолютные значения ослабления растут.
Комплексные исследования, выполненными авторами [16-19],
позволили получить картину распространения радиоволн в диапазоне частот от 50
до 800 МГц в лесах различных типов леса - хвойных и лиственных. Полученные
результаты позволили авторам сделать следующие выводы: деревья существенно -
непрозрачны для дециметровых волн и с увеличением частоты ослабление растет;
величина ослабления зависит от породы деревьев.
В работе Тамира приведена частотная зависимость коэффициента
ослабления боковой волны α при различных ε и σ (рис 1). Поскольку
коэффициент α входит в выражение,
описывающее зависимость поля боковой волны от высоты антенны, точное
определение электрических параметров, важно для определения полных потерь в
случае высоких деревьев и низких высот антенн. В его работе качественно
показано оценка потери радиоволн с ростом частоты для хвойных и лиственных
лесов.
Рис 1. Частотная зависимость коэффициента ослабления боковой волны
α
при различных ε и σ
Такие же исследования проведены в работе [20], в котором показана
зависимость проводимость среды от частоты, в диапазоне 100-1000 МГц. Лесной
слой (хвойный лес) был представлен в виде однородной полупроводящей среды.
Расчет проводимости проводился по следующей формуле:
(3).
Таким образом, для определения эффективной проводимости лесной
среды необходимо знать ее показатель преломления и величину ослабления
радиоволн, выраженную через коэффициент погонного ослабления в дБ/м. В
результате проведенных исследований автор пришел к выводу, что в этом диапазоне
эффективная проводимость леса возрастает с ростом частоты и эта зависимость
носит параболический характер. Данный вывод автор обосновывает тем, что
предложенный метод определения электрической проводимости основан на
экспериментальных результатах с достаточной статической обеспеченностью. Это в
свою очередь позволило автору говорить о достоверности полученных значений
эффективной проводимости и применять их для лесов различной плотности по
эмпирическим зависимостям. Это в свою очередь позволило определять проводимость
леса по топографическим картам.
Ослабление сигналов растительностью, распространяющихся над
лесистой местностью в полосе частот от 30 МГц до 60 ГГц представлено в
рекомендации МСЭ - R Р.833 - 5.
В работе [21] обобщены экспериментальные данные по ослаблению
радиоволн различными типами лесов (хвойные, лиственные и тропические) в
диапазоне частот 30 - 3000 МГц. И авторами было получено модель спектральной
зависимости погонного ослабления γ (дБ/м) от частоты f (МГц) в виде соотношения 
, где А=8*10-4, С=0,8. Из этого соотношения
видно, что с ростом частоты погонное ослабление увеличивается.
В работе [1] проведена систематизация и обобщение имеющихся
теоретических и экспериментальных данных по ослаблению электромагнитных волн
растительными покровами. На основе полученных расчетных соотношений проведен
предварительный регрессивный анализ известных экспериментальных данных,
установлено наличие устойчивого тренда в спектральной зависимости ослабления в
диапазоне частот 0,1.10 ГГц, который проявляется в увеличении ослабления с
частотой.
1.3
Зависимость поглощения радиоволн от расстояния при распространении в лесной
растительности
В работе [3] исследуется зависимость от расстояния
интенсивности боковой волны, при распространении над лесом. В работе показано,
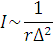
что изменение напряженности поля боковой волны с расстоянием имеет зависимость τ-2. Это следует из формулы, определяемой значение поля боковой волны
[1].
, (4)
где n - комплексный показатель преломления лесной
среды, I*l - ток в антенне и ее длина, s=2h-z-z0, h - толщина лесного слоя, z, z0 - высоты передающей и
приемной антенны.
Такая зависимость обуславливает большие потери по сравнению с
распространением в свободном пространстве и фактически объясняется тем
обстоятельством, что боковая волна является по существу дифракционным полем.
Разумеется, в точку приема приходит прямая волна и волны, отраженные от
поверхности раздела "лес - воздух". Также из работы видно, что
боковая волна распространяется, как бы скользя вдоль вершин деревьев, следуя по
контуру леса. При этом необходимо, чтобы радиус кривизны был большим по
сравнению с длиной волны, ибо в противном случае боковая волна будет испытывать
большие потери вследствие сильного рассеяния.
Отметим, что модель боковой волны предполагает, что
растительность, заполняющая пространство между приемной и передающей антеннами,
не воздействует на волны, проходящие вдоль нее и над ней. Чтобы объяснить этот
факт, авторы работ [3-7] первоначально вынуждены были принять гипотезу, что
листва вызывает потери, не зависящие от расстояния. Модель боковой волны легко
объясняет, природу этого физического явления и поэтому она нашла дальнейшее
развитие и экспериментальное подтверждение в работе [22]. В этой работе модель
развита применительно к диапазону частот 2-200 МГц. Здесь лес представляется
как однородная преломляющая среда с относительной диэлектрической
проницаемостью 
, где n - средний
показатель преломления лесной растительности. Геометрия задачи, представлена на
рисунке 2.
Рис 2. Путь луча TABR внутри слоя
леса
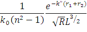
Для больших расстояний 
напряженность поля боковой волны определяется выражением
, (5)
где I*l - момент диполя, k -
волновое число, и
(6)
(7)
. (8)
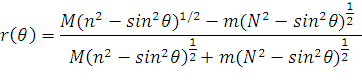
Выражение F (θ) есть коэффициент отражения земли (h1=0) для плоской волны, падающей под углом θ из
среды, заполненной растительностью. Для горизонтальной или вертикальной поляризации
F (θ) есть соответственно коэффициент напряжения или тока. Поляризация
задана M и m следующим образом
M=m=1, для горизонтальной поляризации
M=N2; m=n2 для вертикальной поляризации
Выражение (5) описывает боковую волну, представленную на рисунке 2.
Это подтверждается тем, что экспонента из (5) представляет собой оптическую
длину луча ТАВR,
, (9)
где s=2h-h1-h2,
- угол полного внутреннего отражения. Разумеется, 

является комплексной величиной, поскольку n - комплексная величина. Однако для малых
потерь вещественная часть преобладает и близка к единице, и это обстоятельство
дает физическую интерпретацию лучей ТА и ВR.
Величины

и
вызваны влиянием на боковую волну земной
поверхности, которая воздействует на амплитуду поля боковой волны, отражая
часть энергии обратно по направлению к границе "лес-воздух". Этот
эффект влияния земли становится незначительным для больших значений h1 и h2,
в этом случае
близко к единице.
В работе [24] отмечается, что боковая волна есть составляющая
дифракционного поля, которое изменяется с расстоянием как r-2 и поэтому убывает быстрее, чем волна свободного
пространства, но являются основной частью суммарного поля. Волны, отраженные от
границы раздела "земля-лес", "лес-воздух" проходят большие
расстояния внутри поглощающего слоя леса и поэтому более ослаблены. Напротив,
боковая волна испытывает потери только на относительно малых участках ТА
и BR, а большую часть своего пути проходит над
лесом, почти не испытывая потерь.
1.4
Эффект усиления поля по высоте при размещении антенн в лесной растительности и
над ней
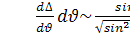
Как уже отмечалось, модель боковой волны дает простое
объяснение эффекту усиления поля с увеличением высоты антенн. Влияние
растительности на значение напряженности поля в модели боковой волны
описывается функцией F, определяемой как
, (10)
где α - коэффициент ослабления, вызванный наличием
растительности:
α=2πIm (n2-1) 1/2/λ
. (11)
Ввиду того, что в экспоненте появляется параметр s, высота растительности над приемной и
передающей антенне играет важную роль. Увеличение высоты антенн приводит к
тому, что параметр s
уменьшается (так как уменьшается пути TA и BR, на которых волна испытывает потери).
Таким образом, полные потери уменьшаются, а уровень поля с увеличением высоты
антенны растет. Данная экспоненциальная зависимость подтверждается
экспериментальными измерениями. Отклонение от экспоненциальной зависимости для
низких высот антенн происходит, вероятно, из-за сильного влияния леса. Для
определения параметра α по формуле (11), необходимо знать
значения электрических параметров среды ε и σ. Напомним, что экспериментальные значения, полученные в работе [3],
лежат в пределах 1,05≤ε≤1,5; 10-3≥σ
≥10-5 см/м. Выделенная по этим данным предельное значение представлена
на рис.3. Рядом с расчетными кривыми приведены экспериментальные значения,
полученные вертикальной и горизонтальной поляризацией. Для более высоких частот
усиление поля зависит от более точных оценок ε и σ, а также от большей высоты деревьев в лесу и малых высот антенн.
Рис 3. Значения коэффициента боковой волны при различных
частотах.
Полный теоретический анализ изменения величины принимаемого
сигнала с изменением высоты приемной антенны проведен в работе [3].
Геометрическая модель представлена на рис.4. отражение от границы "лес -
воздух" не учитывается. Передающая антенна находится на высоте h, приёмная - в точке R.
Рис.4 Пути преломленной и боковой волны над вершинами
деревьев
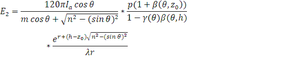
В этом случае уравнение первого порядка для больших расстояний
r>>h
приводит к
, (12)
где r (θ) показана на рис 2 и
(13)
p=1
для горизонтальной поляризации, (14а)
p=sin2θ -
вертикальной поляризации. (14б)
Поле Е2 представляет преломленную волну, как это
показано на рис 4 лучом ТAR.
Геометрооптичеcкий характер этого поля становится
очевидным из зависимости r-1 и экспоненты в уравнении (12),
представляющей оптическую длину луча
.
(15)
Угол θ’ показанный на рис.4, связан с углом θ
законом Снелиуcа (
) Однако, поле E2 является только частичной компонентой
полного поля. В частности заметим, что E2 пропорционально cosθ
и, следовательно, исчезает на границе "лес-воздух" (h=h, θ=900). Поэтому для точек θ=90°
берется второе
приближение
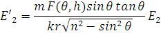
. (16)
Сравнивая (6) и (17) можно отметить, что E’2 в точности равно боковой волне E1
во всех
точках вдоль поверхности воздух-лес. Следовательно, поле E’2 определяется как продолжение боковой
волны над вершинами деревьев, как это изображено пунктирным лучом ВR. Поскольку поле E1
боковой волны изменяется пропорционально r-2, в то время как E2 изменяется пропорционально r-1, поэтому оно доминирует при углах θ,
близких к 90°; в этом случае вводим приближение
, (17)
где H=r-h, находим,
что E’2
и E2
становятся равны по величине на высоте Нс над
вершинами деревьев
(18)
Высота Нс
определяет горизонтальную плоскость над вершинами деревьев;
боковая волна преобладает при высотах Н<Нс, в то время как
преломленная волна E2 вносит существенный вклад на высотах Н>Нс. Изменение
поля с высотой происходит как внутри слоя растительности (0<z<h), так, и вне него (Н>0). Однако этот эффект наблюдаемся
только до некоторой высоты Нm, поскольку затухание волн с расстоянием становится очень
сильным и преобладает над другими факторами. Следует отметить, что Нm меньше и поле убывает быстрее для
вертикальной поляризации из-за параметра 

, который уменьшается с расстоянием.
Экспериментальные результаты по исследованию зависимости
ослабления сигнала при изменении высот антенн приведены в работе [20]. Обе
антенны - были расположены внутри соснового тропического леса. В ходе измерений
в указанных лесах было обнаружено, что потери передачи уменьшаются с
увеличением высот антенн. И исследование привело авторов к следующим выводам,
что усиление поля по высоте не зависит от влажности леса;
В работе [19] приведены результаты сезонных (лето - осень)
измерения величины сигнала для различных высот антенн при прохождении сигнала в
лиственном лесу умеренной зоны. Как и следовало ожидать, увеличение высот
антенн не приводит к сильным флуктуациям сигнала, а вызывает довольно
постоянное усиление. Такое усиление сигнала для деревьев в полной листве
меньше, чем для деревьев без листвы.
1.5
Влияние поляризации на ослабление радиоволн, распространяющихся в лесу, и
эффект деполяризации
Распространяющаяся над лесом волна поглощается главным
образом за счет токов, наводимых ею в стволах и ветвях деревьев, которые можно
рассматривать как своеобразные заземление антенн из полупроводящего материала
[24,25]. Исходя из этих предположений, можно считать, что при распространении в
лесистой местности, вертикально поляризованные волны будут испытывать большое
ослабление, обусловленное стволами деревьев. Данное предположение
подтверждается авторами работ [26,27]
При прохождении радиоволн через растительный слой отмечается
явление деполяризации. Это эффект ярко выражен на низких частотах при
вертикальной поляризации. В отчете МККР 339-1 и рек. МСЭ - R P.833-5 приводятся
значение коэффициента деполяризации на частоте 600 МГц и 40ГГц для различных
видов растительности. Более детально вопрос о деполяризации метровых и
дециметровых радиоволн рассмотрен в работе [27]. Радиоволны испытывают
частичное рассеяние и деполяризацию при распространении вдоль неровной
поверхности или через неоднородную среду. При этом часть энергии теряется в
одном (первоначальном), плоскости поляризации появляется в другой. При
распространении через лес электромагнитные волны индуцируют в элементах лесной
растительности произвольно ориентированными токами. Вызванное этими токами
рассеяние волн и обуславливает деполяризацию падающей волны. Можно отметить,
что эффект деполяризации предсказывается также и в модели боковой волны [3].
Однако следует заметить, что боковая волна в лесу есть вклад дифракционного
поля и не нуждается в сохранении своей поляризации излучения.
Использование кросс поляризационной компоненты позволяет
более надежно различать поверхности типа лес, городская застройка,
сельскохозяйственные угодья. При этом появляется поверхности определенные по
данным поляризационных характеристик земных покровов высоты деревьев, площади
леса, полной биомассы деревьев. Более того, использование когерентных методов и
поляризационных характеристик радиолокационного поперечного сечения (РПС)
деревьев позволяет решить задачу расположения таких деталей, как стебли, ветви
и листья [28,29], что может быть использовано для идентификации типов лесных
пород [12]
Вывод
Проведен обзор литературных данных по вопросам
распространения радиоволн вблизи лесистой земной поверхности. Исследованы
различные аспекты данной проблемы и рассмотрена физическая картина
распространения радиоволн в лесной среде. При этом, на основании проведенного
анализа работ, были выявлены частотная зависимость удельного ослабления,
зависимость поглощения радиоволн от расстояния, исследованы поляризационные
эффекты, а также эффект усиления поля по высоте.
На основе полученных данных можно составить общее
представление о распространении радиоволн вблизи лесистой земной поверхности.
Существует два механизма прохождения волн сквозь лесную среду. Первый механизм
- это прямое прохождение волн сквозь всю толщу леса. Второй механизм - это
механизм боковой волны, траектория которой определяется линией наименьшего
ослабления радиоизлучения.
Тем не менее, имеется ряд не решенных проблем, что позволяет
сформулировать задачи дальнейших исследований. Во-первых, это определение
дистанций, на которых формируется и проявляется боковая волна, а также частот,
на которых возможно это формирование. Во-вторых, это изучение особенностей
распространения боковых волн в УКВ диапазоне в условиях сложного рельефа
местности и неоднородности лесного покрова. В-третьих, в работе будет
рассмотрена возможность определения электрофизических параметров лесной среды
на основе анализа условия формирования боковых волны.
Глава
2. Теория боковой волны
Из анализа литературных источников, проведенного в первой
главе, мы знаем, что интенсивность боковой волны в лесу уменьшается с
расстоянием и имеет зависимость r-2. Также мы знаем, что боковая
волна является дифракционным полем и распространяется, как бы скользя вдоль
вершин деревьев, следуя по контуру лесного покрова.
В этой главе дано математическое выражение для поля боковой
волны, позволяющее получить количественные оценки, и рассмотрена физическая
картина механизма распространения боковой волны.
2.1
Выражение для боковой волны
Рассмотрим условие формирования боковой волны.
Пусть точка О - источник волн (рис 5), которая
находится (в первой среде) на расстоянии z0 от поверхности раздела
между средами 1 и 2. Расстояние z0 произвольно и отнюдь не
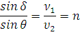
должно быть большим по сравнению с длиной волны. Показатели преломления двух
сред равны n1 и n2. При падении на плоскую границу раздела двух
разных сред волна частично отражается, частично проходит в другую среду
(преломляется). Согласно закону отражения, угол падения равен углу отражения.
Согласно закону преломления, синус угла падения относится к синусу угла
преломления, как скорость в первой среде к её скорости во второй среде, т.е.
. (19)
Рассмотрим ситуацию, когда волна приходит из более плотной
(верхней) среды в менее плотную (нижнюю) среду n1>n2. Тогда волна падает на границу под углом полного
внутреннего отражения, т.е. 

. При выполнении этого неравенства преломленный луч
распространяется по второй среде вдоль границы раздела и, наконец, снова
переходит в первую среду под д (ОАВР).
Рис 5. Лучевое представление боковой волны.
Рассмотрев вопрос об отражении волны от поверхности раздела
сред, можно показать, что поле отраженной волны можно записать в виде
, (20)
где 
- собственно отраженная волна (ОАР’), а 
- боковая волна, выражение для которой можно записать в виде (OABP):
.
(21)
Выражение
может трактоваться как набег фазы по лучу ОАВР (рис.5),
соединяющему излучатель с точкой наблюдения. Этот луч состоит из отрезков L1 и L, по которым волна распространяется в
верхней среде под углом полного внутреннего отражения к нормали к границе, и
отрезка L1, по которому волна распространяется вдоль границы со скоростью,
равной скорости в нижней среде. На больших расстояниях, когда r>> (z+z0),
имеем L1=r,
откуда видно, что амплитуда боковой волны будет убывать с расстоянием, как r-2. Также мы видим, что эта волна исчезает в предельном
случае при условии n→1 и L1→0.
2.2
Физический смысл боковой волны
Из первого параграфа видно, что боковая волна связана с
распространением в нижней среде на участке L1 (рис.5). Поэтому полный
анализ природы боковой волны мы не можем провести без рассмотрения волновых
процессов в нижней среде. Рассмотрим природу боковой волны.
Рис 6. К объяснению природы боковой волны
Рис 7. Соотношение между длинами волн, в верхней и нижней
средах и углом наклона фронта боковой волны
Пусть в точке О на рис.6 расположен источник волн. В точку В,
достаточно удаленную от излучателя О, но расположенную вблизи
границы раздела в нижней среде, волна попадает двумя путями, соответственно
лучам ОАВ и ОС. Луч ОС падает на границу под углом
большим, чем угол полного внутреннего отражения, и, полностью отражаясь,
создает в нижней среде экспоненциально затухающую при углублении волну. Луч ОА
испытывает обычное преломление, и в виде своего продолжения АВ в
нижней среде попадает в точку В. Чем больше луч ОА приближается к
пунктирной линии ОО, соответствующей углу полного внутреннего отражения,
тем ближе к границе будет прилегать его продолжение АВ. Волна,
представляемая лучом АВ, и является причиной боковой волны.
Действительно, она распространяется вдоль границы со скоростью с1; создавая
на границе соответствующее возмущение. Последнее дает начало новой волне в верхней
среде. Поскольку пространственный период этого возмущения вдоль границы равен λ1 - длине волны в нижней среде, волна в
верхней среде может "припасоваться" к этому периоду только в том
случае, если направление ее распространения будет составлять с нормалью к
границе такой угол δ, что 
(рис.7). Именно так и направлена боковая волна.
Рис 8. Пути лучей, приходящих в точку наблюдения Р
Рис 9. Фронты волн различных типов.1 - прямая волна; 2 -
боковая; 3 - отраженная.
Существенно отметить, что на участке О'О границы
(рис.9) существуют только падающая, отраженная и преломленная волны, входящие в
первую из двух упомянутых выше групп волн. Поэтому этот участок границы не
излучает боковой волны
Таким образом, если угол θ0 больше, чем δ (рис.8), то в точку Р.
приходят две волны - отраженная, соответствующая лучу ОР, и боковая,
фаза которой дается оптической длиной луча ОАВР. Как видно из выражений
(13) и (14), фронт боковой волны дается уравнением
. (22)
В плоскости хz - прямая линия. В пространстве в силу
цилиндрической симметрии задачи фронт будет коническим.
На рис.9 изображены фронты прямой, отраженной и боковой волн и
волны в нижней среде, дающей начало боковой волне. Согласно уравнению (22),
нормаль к фронту боковой волны составляет угол 
с нормалью к границе. Нижний край фронта боковой волны совпадает
с краем фронта волны, распространяющейся в нижней среде со скоростью с1
(с1>с). Верхний ее край сливается с фронтом отраженной
волны, которую можно представлять себе исходящей из мнимого источника О'.
Амплитуда боковой волны возрастает, при продвижении по ее фронту от границы
раздела к точке слияния с отраженной волной. Это видно из формулы (21),
поскольку при этом величина L1 уменьшается (рис.5), где фронт боковой волны отмечен пунктирной
линией РР'.
2.3
Смещение лучей при отражении и боковая волна
Возникновение боковой волны легко также понять, если учесть
смещение лучей при отражении. Правда, там было рассмотрено, строго говоря,
смещение ограниченных пучков, смещение необходимо приписывать каждому лучу,
выходящему из точечного излучателя и испытывающему полное внутреннее отражение.
Чем ближе будет угол падения луча на границу к углу полного
внутреннего отражения, тем больше сместится луч вдоль границы при отражении. В
результате, исходящий из О заштрихованный пучок лучей на рис.10 после
отражения разойдется в совокупность лучей ВВ, СС, ЕЕ, РР и т.д., идущих
почти параллельно. Эти лучи и образуют боковую волну с фронтом ММ. Таким
образом, в произвольной точке Р будут иметься две волны - боковая,
представленная лучом ОАВР, и обычная отраженная, представленная лучом ОВР,
испытавшим весьма незначительное смещение, если угол его падения не очень
близок к δ.
Приведенные здесь соображения позволяют получить не только
фазу боковой волны, а, следовательно, и расположение ее фронта, но и
зависимость ее амплитуды от расстояния.
Действительно, что луч, падающий на границу под углом 

, смещается, при отражении вдоль границы на величину
.
(23)
В результате исходящий из О пучок лучей, имеющий в
плоскости (rz) угловой раствор 

, после отражения разойдется в пучок, протяженность которого вдоль
границы, будет пропорциональна
.
(24)
Рис.10. Связь смещения лучей при отражении с боковой волной.
Интенсивность волны при заданном 
обратно пропорциональна площади сечения лучевой трубки. Учитывая,
что расхождение лучевой трубки в плоскости, перпендикулярной плоскости чертежа
на рис.10, пропорционально r, получаем для интенсивности
. (25)
или для амплитуды
(26)
Такую же зависимость амплитуды от расстояния дает и закон (21),
где смещение
было обозначено через L1.
Вывод
В этой главе нами было получено математическое выражение для
боковой волны. Боковая волна образуется при строгом выполнении условия полного
внутреннего отражения. Эта волна распространяется вдоль границы раздела сред.
Ее амплитуда убывает с расстоянием, как r-2.
Боковая волна формируется также при условии, если угол
падения луча на границу будет больше или равен углу полного внутреннего
отражения. В такой ситуации луч распространяться, и смещаться при отражении
вдоль границы.
Мы видим, что боковая волна представляет собой огибающую волну,
которая распространяется в среде сбоку от основной трассы, чем и оправдывается
ее название.
Глава
3. Исследование боковых волн в лесных покровах
Данная глава посвящена экспериментальному определению условий
формирования боковых волн в УКВ диапазоне в лесных средах при погружении в них
приемной и передающей антенн. Изучены особенности их распространения в условиях
сложного рельефа местности и неоднородности лесного покрова. Рассмотрена
возможность определения электрофизических параметров лесной среды на основе
анализа условия формирования боковых волны.
3.1
Экспериментальные исследования распространения боковых волн в лесной среде
3.1.1
Методика проведения измерений и результаты дистанционного зондирования лесного
полога
Для исследования условий формирования
боковых волн был выбран лесной массив, расположенный на окраине города
Улан-Удэ, в Верхней Березовке. Участок леса, в пределах которого производились
измерения, располагался на ровной поверхности и состоял из хвойных (сосна)
пород деревьев. Структурной особенностью леса является то, что основную часть
биомассы леса составляют стволы деревьев. Подлесок практически отсутствовал.
Средняя высота древостоя составила 15 м, средний диаметр - стволов дерева -
30см.
Антенны погружались в лесную среду и располагались
на высоте 2м над поверхностью земли. Измерения проводились на частоте 150 МГц.
Передающая антенна представляла собой несимметричный четвертьволновый вибратор,
приемная - полуволновый симметричный вибратор. Поляризация вертикальная.
Выходная мощность генератора составляла 1,5 Вт. Определялись дистанционные
зависимости уровня поля в исследуемом лесу в интервале расстояний между
антеннами от 1 до 260м. Указанные эксперименты были выполнены в весеннее время.
Рассматривалось поведение поля в лесу на 3
участках с плотностью древостоя 0,07 м-2.
Задачи экспериментального исследования
влияния леса на поглощение УКВ, распространяющихся в лесных средах, решались
путем измерения уровня напряженности поля в лесу при различных удалениях от
передающей антенны. На каждой из дистанций проводились по пять измерений,
результаты которых впоследствии усреднялись.
Модель распространения волн в лесных
условиях представлена на рисунке 11. Здесь h - высота деревьев, h1 и h2 - высота антенн от
поверхности земли, R - расстояние между передающей и приемной антенной, r1 и r2 - расстояние пройденное
волной в лесной среде,
Рис 11. Схема распространения радиоволн в лесу
Результаты экспериментально полученных в
дипломной работе усредненных по пяти реализациям дистанционных зависимостей
уровня поля для каждого участка леса даны в серии графиков (рис 12-14).
Рис 12. Дистанционная зависимость уровня поля на 1 участке
Рис 13. Дистанционная зависимость уровня поля на 2 участке
Рис 14. Дистанционная зависимость уровня поля на 3 участке
На графиках, представленных, на рис 12 -
14 видны три характерных участка изменения уровня поля от расстояния:
Первый приходится на относительно малые
расстояния до 20м. - интенсивного спадания поля - соответствует распространению
волн в лесу в пределах прямой видимости, когда уровень первичного поля
превышает интенсивность рассеянных элементами растительности (в данном
частотном диапазоне - в основном стволами) компонент;
Второй приходится на расстояние до 100м,
более пологий участок описывает процесс убывания амплитуды поля из-за рассеяния
и поглощения и характерен для дистанций, на которых рассеянная компонента поля
является преобладающей;
Третий, характеризуются наименьшим
погонным ослаблением поля. Это объясняется тем, что на расстояниях от 100м и
выше, волна проникает под лесной полог через вершины крон деревьев, а не сквозь
толщу леса. Отсюда следует, что стволы деревьев меньше влияют на значение поля,
чем на первых двух участках. Волна как бы выбирает траекторию наименьшего
ослабления. Все это связано с появлением боковой волны, распространяющейся над
верхушками деревьев, которая и определяет дальнейший ход дистанционных
зависимостей.
Расстояние, на котором происходит смена
указанных механизмов распространения радиоволн в лесной среде, определялись
путем построения линий тренда так, как это выполнено на рисунке 12. По этим
участкам видно, что качественное изменение поведения поля происходит на
дистанциях 20 м и 110м.
В частности, из сравнения рис.12-14, видно,
что формирование боковой волны исследовавшихся участков леса с одинаковыми
плотностями, начинало происходить практически на одной отметке 100м.
3.1.2
Результаты измерений на открытой местности (поле) и в лесу
Для изучения влияния лесного покрова на
ослабление сигнала проведены дополнительные измерения дистанционных
зависимостей излучения на открытой местности (поле). Полученные результаты
представлены на рис 15.
Рис 15. Дистанционная зависимость уровня поля на открытой
местностью.
На рис.16 приведено - усредненные
результаты измерений, представленных на рис 12-14, характеризующее наиболее
вероятное поведение поля в исследуемом лесу.
Рис 16. Дистанционная зависимость уровня поля усредненного по
всем 3 рассмотренным участкам
Для определения уровня относительного
ослабления поля в лесу и открытой местности мы воспользовались следующей
формулой
, (27)
где В1 и В2
- уровень поля в лесу и на открытой местности. По полученной формуле получили
дистанционную зависимость уровня поля (рис 16.)
Рис 17. Зависимость уровня поля от расстояния
Из анализа графика видно, что ослабление поля существенно
только на небольших дистанциях между антеннами. Уже на расстоянии порядка 200
метров различие в поведении поля в лесу и на открытой местности практически
исчезает. Это объясняется, во-первых, тем, что лес, в котором производились
измерения является редким, т.е. плотность древостоя составляет всего 0,07м-2.
Во-вторых, ослабление исчезает, поскольку на этой дистанции распространение
сигнала происходит за счет боковой волны.
3.1.3
Результаты исследований электродинамических свойств леса с учетом его видового
состава и внутренней структуры
Рассмотрено влияние видовых и структурных свойств лесной
растительности на особенности распространения в ней электромагнитных волн УКВ
диапазона. Для сравнения воспользовались данными работы [31]. В ней
рассматривался участок леса, состоящий из лиственных (75%) и хвойных пород
деревьев. Основные параметры исследуемых лесов представлены в таблице 1.
Таблица 1
|
Параметры леса
|
Сосна
|
Смешанный лес
(береза, ольха, кедр.)
|
|
Плотность, м-2
|
0,07
|
0,24
|
|
Высота
древостоя, м
|
15
|
|
Средний диаметр
стволов, см
|
30
|
25
|
Структурный составы лесов отличный друг от друга. Для
хвойного (сосна) леса основную биомассу составляют стволы деревьев, а для
смешанного - кустарники и низко расположенные ветви. На рисунке 16 представлена
дистанционная зависимость уровня поля от расстояния для различных по виду и
составу лесных покровов.
Рис 18. Дистанционная зависимость уровня поля от расстояния
для различных по виду и составу лесных покровов.
Анализ графика, представленного на рисунке
18, показывает, во-первых, что расстояния между антеннами, на которых
проявляются перечисленные выше механизмы распространения, зависят от плотности
леса. В частности, из сравнения полученных данных с работой [31] видно, что
формирование боковой волны в более густом лесу начинало происходить на отметке
70-80 м, а в более редком - на дистанциях уже 100-120 м, как это и следует из
общей теории распространения волн в слоистых средах. Во-вторых, видно, что поле
интенсивно убывает в более плотной среде (смешанном лесу), отсюда можно
предположить, что основной вклад в ослабление поля вносят ветви деревьев, и
минимальный вклад приходится на долю стволов.
3.2
Экспериментальное исследование диэлектрических свойств лесного покрова
3.2.1
Метод определения диэлектрических свойств лесного покрова на основе анализа
условия формирования боковых волн
Известно, что в низкочастотной части УКВ
диапазона целесообразно рассмотрение процессов распространения волн в лесной
среде как в слабопоглощающем слое с некоторой эффективной относительной
диэлектрической проницаемостью εеff [3]. Для определения
эффективной диэлектрической проницаемости растительности используются различные
теоретические подходы, которые обеспечивают хорошие результаты последующего
моделирования распространения волн в лесной среде только в определенной полосе
частот и для конкретного типа растительности. Прямые измерения
электрофизических параметров лесного покрова весьма немногочисленны [32].
В данной работе используется метод
определения комплексной эффективной диэлектрической проницаемости,
разработанный в Бурятском научном центре. Этот метод базируется на проведении
непосредственных измерений уровня ослабления поля в лесу.
Лесную среду будем считать в интересующем
нас частотном диапазоне изотропной в соответствии с [31,33]. Тогда определение
ее диэлектрической проницаемости можно свести к независимым измерениям
действительной и мнимой частей скалярной величины. Основанием для этого служит
тот факт, что по существующим в настоящее время оценкам в УКВ - СВЧ диапазонах
мнимая часть εеff, описывающая ослабляющие
свойства растительности, на один - два порядка меньше величины Rе (εеff) - 1, характеризующей отличие диэлектрических
свойств лесного слоя и воздуха. Т.е. по своим электрофизическим характеристикам
лесная среда аналогична несовершенному диэлектрику, а, следовательно, процессы
отражения и преломления волн на верхней кромке леса будут зависеть, в основном,
от действительной части его диэлектрической постоянной.
Таким образом, определение εеff может быть выполнено на
основе анализа дистанционных зависимостей уровня поля в лесной среде.
Экспериментально полученную кривую аппроксимируем функцией
,
где R - расстояние, пройденное
волной в лесу, k" - определяемая таким образом мнимая часть волнового числа,
характеризующая ослабляющие свойства лесной среды.
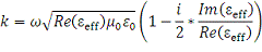
Далее определим вещественную часть
эффективной диэлектрической проницаемости, для чего рассмотрим пути
распространения двух основных типов волн в лесу (рис.11). Первая распространяется
непосредственно сквозь растительный покров по пути А-D и A-E-D, при этом ее амплитуда
убывает по закону
. Изменение амплитуды волн второго типа -
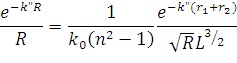
боковых, проходящих путь А-В-С-D может быть описано выражением [30]
, (29)
где
- показатель преломления
лесной среды, k0 - волновое число в свободном пространстве.
При пространственном разносе антенн на
определенных расстояниях механизм распространения радиоволн через лесной слой
качественно меняется, а именно, боковая волна становится доминирующей. Отсюда
следует, что на такой дистанции амплитуды волны прямого прохождения и боковой
волны сравниваются, а, следовательно, можно положить:
. (30)
Выразим все величины, входящие в (30), через расстояние между
антеннами R, среднюю высоту древостоя h, и угол
падения волны на верхнюю кромку леса 
, который в данном случае является углом полного внутреннего
отражения и определяет условия формирования боковой волны. Полагая, что 
и учитывая, что 
получаем.
.(31)
Решив это трансцендентное уравнение, находим α. Зная
угол полного внутреннего отражения, определяем действительную часть эффективной
диэлектрической проницаемости
. (32)
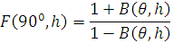
Для определения мнимой части εеff воспользуемся представлением о лесном слое, как о несовершенном
диэлектрике. Запишем выражение для волнового числа в такой среде в виде
(33)
где 
0 -
магнитная постоянная, ω - циклическая частота. Полагая 
разложим выражение (33) в ряд и пренебрежем всеми членами за
исключением первого. Тогда получаем
. (34)
Отсюда легко выразить мнимую часть эффективной
диэлектрической проницаемости, через известные значения Re (εeff) и k”
. (35)
Таким образом, предложенная методика позволяет определять
эффективную диэлектрическую проницаемость лесной растительности путем прямых
измерений ослабления электромагнитных волн УКВ диапазона при прохождении через
нее.
3.2.2
Расчет эффективной диэлектрической проницаемости леса
В данном параграфе приводится расчет эффективной
диэлектрической проницаемости в рассматриваемом лесу. Определение εеff выполнено на основе анализа дистанционных
зависимостей уровня поля в лесной среде, представленного на рис.18. Как было
указано выше, в пределах удаления приемной антенны от излучателя на расстоянии
от 20 до 100 м. наблюдается спадание уровня поля, связанное с поглощающим и
рассеивающим действием лесной растительности. Именно на таких расстояниях
поведение поля и является типичным для случая прохождения излучения сквозь
лесной покров, поскольку на меньших дистанциях велика амплитуда первичных волн,
непосредственно распространяющихся между антеннами без взаимодействия с
элементами растительности, а на больших - "включается" механизм
боковой волны. Аппроксимируем полученную кривую p функцией f (R) (Рис. 19). И таким
образом, определяем мнимую часть волнового числа k". На рис 19 (а)
представлены измерения в сосновом бору, а на рис 19 (б) - смешанном лесу
(береза, ольха, кедр.).
а)
б)
Рис 19. Аппроксимация полученной кривой p функцией f
Далее по описанной выше методике находим угол полного
внутреннего отражения, потом определяем вещественную и мнимую часть эффективной
диэлектрической проницаемости. Все эти результаты приведены в таблице 2.
Таблица 2
|
Тип леса
|
k"
|
α
|
Re (εeff)
|
Im (εeff)
|
|
Сосновый лес
|
0,016
|
74
|
1,082
|
0,011
|
|
Смешанный лес
(береза, ольха, кедр.)
|
0,028
|
69,6
|
1,139
|
0,019
|
По значению α из таблицы 2 видно, что формирование боковой волны в более густом
лесу начинает происходить раньше, как это и следует из общей теории
распространения волн в слоистых средах.
Полученные значения эффективной диэлектрической проницаемости
лесной среды лежат в пределах 1.082<Re (εeff) <1.139 и 0.011<Im (εeff) <0.019. В целом можно отметить
незначительное возрастание εeff для более плотной лесной
среды.
Таким образом, экспериментально определенные значения
эффективных диэлектрических проницаемостей соответствуют известным литературным
оценкам [1,3,34].
3.3
Распространение боковых волн в условиях сложного рельефа местности и
неоднородности лесного покрова
Участок леса, в котором производились измерения,
состоял из хвойных пород деревьев (сосны). Структурной особенностью леса
является то, что основную часть биомассы леса составляют стволы деревьев.
Подлесок практически отсутствовал.
Модель леса представлена на рис 20.
Средняя высота древостоя составила h=15 м, плотность леса-0,08м-2.
Передающая и приёмная антенны находится на высоте h1=h2=2 м. Методика измерений
представлена в параграфе 3.1.1.
Рис 20 Схема распространения боковой волны в лесу
Отражение волн от границы
"земля-лес" и "лес-воздух" не учитывается, т.к. волны
проходят большее расстояние внутри поглощающего слоя леса и поэтому более
ослаблены.
Результаты измерений дистанционных зависимостей уровня поля в
однородном лесу представлены на рис 21.
Рис 21. Дистанционная зависимость уровня поля в однородном
лесу
Результаты усредненных измерений уровня поля в условиях
сложного рельефа местности и неоднородности лесного покрова, представлены на
рис 22. Где на расстоянии 100 м от передатчика начинается просека шириной 4 м,
дальше уже на дистанции от 120 м и выше - приемная антенна находилась в области
тени (за холмом).
Рис 22. Дистанционная зависимость уровня поля в лесу в
условиях сложного рельефа местности и неоднородности лесного покрова.
По формуле (27) получили дистанционную зависимость
относительного уровня поля (рис 23), характеризующую разность результатов,
представленных на рисунке 21 и 22.
Рис 23. Дистанционная зависимость уровня поля в лесу.
Из анализа графика, представленного на рис 23 видно, что
рельеф местности и неоднородность лесного покрова не оказывают сильного влияния
на ослабление уровня поля. Это объясняется тем, что в УКВ диапазоне на
расстояниях порядка 100м распространение сигнала происходит за счет боковой
волны, а как мы знаем большую часть своего пути она проходит над лесом.
С другой стороны, полученные результаты могут рассматриваться
нам подтверждением интерпретации вышепредставленных дистанционных зависимостей.
А именно, действительно, уже начиная с расстояний 80-100 м, распространение
радиоволн, рассматриваемого частотного диапазона в лесу происходит за счет
механизма боковой волны. В этом случае неоднородность лесного покрова приводили
бы к значительно большей не монотонности дистанционных зависимостей уровня
поля.
Для определения эффективной диэлектрической проницаемости
была использована методика, разработанная в Бурятском научном центре.
Достоинством данного метода, являются простота, точность получаемых результатов,
возможность определения параметров реальных лесов, учитывающих видовой состав
леса, его внутреннюю структуру (например, наличие подлеска) и т.д. - всех тех
факторов, учет которых затруднителен при построении теоретических моделей.
Данный метод может использоваться только в полосе частот, на которых возможно
распространение боковых волн, скользящих вдоль верхней кромки деревьев.
По этой методике проведены расчеты диэлектрических свойств
лесных сред. И на основании этого получены данные по двум типам лесов, которые
хорошо согласуются с литературными данными.
Изучены особенности распространения боковых волн в условиях
сложного рельефа местности и неоднородности лесного покрова.
Заключение
В работе проведен анализ экспериментальных и теоретических
работ опубликованных в настоящее время, определяющих основные закономерности
распространения радиоволн в лесу. Установлено, что многие результаты работ,
относятся к разным методам и условиям постановки экспериментов. Также во многих
рассматриваемых работах отсутствуют данные о параметрах самих лесов, что
затрудняет сравнение имеющихся данных. Все сказанное обуславливает
необходимость систематизированного подхода к изучению данной проблемы. Это в
свою очередь предполагает, во-первых, охват возможно большого числа различных
типов лесов и определение среднестатистических параметров леса, во-вторых,
единую методологию измерений, в-третьих, измерения ослабления электромагнитных
волн лесными средами в широком частотном диапазоне.
В данной дипломной работе выполнены исследования влияния
видовых и структурных свойств лесной растительности на особенности
распространения в ней электромагнитных волн УКВ диапазона. Подтверждена особая
роль боковых волн и доказана возможность их формирование для лесов средней
плотности уже на дистанциях порядка 100 м на частотах 150 МГц. Проведено
сравнение между уровнями ослабления поля в лесу и открытой местностью. Получены
значения эффективной диэлектрической проницаемости для различных по плотности
лесных сред. Рассмотрено влияние рельефа местности и неоднородности лесного
покрова на условие формирования боковых волн в лесной среде.
Литература
1. А.А.
Чухланцев, А.М. Шутко, С.П. Головачев, "Ослабление электромагнитных волн
растительными покровами", Радиотехника и электроника, 2003, том.48, № 11,
с.1285-1311.
2. Pampaloni
P. Microwave radiometry of forests // Waves in Random Media. 2004.14. P.275-298
. Tamir
T. On radio wave propagation in forest environments // IEEE Trans. Antennas and
Propag. - 1967. - V.15, №6.
4. Kreveky
S. HF and VHF radio wave attenuation through jungle and woods // IEEE Trans. Antennas and Propagat. - 1963. - №4.
- p.506-507.
5. Herbstreit
J. W., Crichlow W. Q. Measurement of the attenuation of radio signals by
jungles // J. Res. Nat. Bur. Standarts. - 1964. - №8. - p.903-906.
6. Whale
H. A. Radio propagation though New Guinea rain forest // Radio Sci. - 1968. -
V.3, №10. - p.1038-1042.
. Burrows
Ch. R. Ultra short propagation in the jungle // IEEE Trans. Antennas and Propag. - 1966. - V.14,
№3. - p.385 - 388.
8. Sach
David L., Wyatt Philip J. A conducting slab model for electromagnetic
propagation within a jungle medium // Radio Sci. - 1968. - V3, №2. - p.125 -
134.
. Magazinnikova
A. L., Yakubov V. P. Attenuation of coherent radiation in forest regions //
Microwave and Optical Technology Letters. 1998, V. 19, No.2. P.164-168;
. Магазинникова
А.Л., Якубов В.П. Дуальный механизм распространения радиоволн в условиях леса
// Радиотехника и электроника. 1999. Т.44, № 1. С.5-9.
11. Magazinnikova
A. L., Yakubov V. P. A dual model of the forest as a radio wave propagation
medium // Proceedings of 2000 International Symposium on Antennas and
Propagation (ISAP2000), Furuoka, Japan, 2000, 3F2-7.
12. Якубов В.П., Тельпуховский Е.Д., Миронов В.Л., Кашкин В.Б. Векторное радиопросвечивание лесного
полога // Журнал радиоэлектроники, 2002, № 1, http://jre. cplire.ru/win/jan02/1/text.html.
13. Якубов
В.П., Сверхширокополосное зондирование лесного полога // Журнал
радиоэлектроники, 2002, № 10.
14. J.
A. Saxtom, J. A. Lane. VHF and UHF reception effects of trees and other
obstacles // Wireless World. - 1955. - V.61, №5, - p.229 - 232.
. Bachynski
M. P. Microwave propagation over a rough surfaces // RCA Rav. - 1959. - V. 20,
№2. - p.308 - 335.
16. Неделяев
А.М., Грудинская Г.П., Богомолова Е.В. Изменение поглощения УКВ деревьями //
Тр. Моск. Энерг. Ин-та. - 1972. - вып.119. - С.167 - 170.
17. Swarup
S., Tewari R. K. Radio wave propagation through subtropical pine forest //
Indian J. Radio and Space Phys. - 1974. - V.3, №2. - p.181 - 185.
. Murray
O. M. Attenuation due to trees in the VHF/URF bands // Marconi Rev. - 1974. -
V.37, №192, - p.41 - 50.
. Tewari
R. K., Roy M. N., Swarup S. Height gain in forest medium an empirical analysis
// IEEE Trans. Antennas
and Propag. - 1984. - V.32, №11. - p.1265 - 1268.
. Доржиев
Б.Ч. Электродинамические свойства лесных сред в диапазоне УКВ радиоволн; дис. …
канд. физ. - мат. наук: 01.04.03/БНЦ СО РАН. - 154с.
. Чухланцев
А.А., Головачев С.П. Оценки затухания радиоволн диапазона 3 - 300 см в
растительных покровах // Лесной вестник, МГУЛ: 2002, №1 (21), с.112-117.
22. Tamir
T. Radio Wave propagation along mixed paths in forest environments // IEEE
Trans. Antennas and
Propag. - 1977. - V.25, №4. - p.471 - 477.
. Кашпровский
В.Е. Распространение средних радиоволн земным лучом. М.: Связь, 1971.
. Егоров
В.А. Влияние растительного покрова на распространение радиоволн // Проблемы
дифракции и распространения радиоволн. - 1990. - №23. - С.158 - 177.
25. Blomguist
A. Local ground wave field strength variations in the frequency range 30 -
1000MHz // Electromagnet. Wave Propagat., Acad. Press. - 1960. - p.127-142.
26. Ulaby
F. T., Whitte M. V. Radar polar metric observation of a tree canopy //
ICARSS”88. - 1988. - p.1005 - 1008.
. Swarup
S., Tewari R. K. Radio wave propagation through in jungle environment // Indian
J. Radio and Space Phys. - 1979. - V.27, №1. - p.113 - 116.
. Sieber
A. J. The significance of RCS polarization measurements for tree signatures //
IGARSS”86: INT. Geosci.
and Remote Sens. Sysp. - P.1005 - 1008.
29. Kauhny
D., Riegger B., Wienback W., Sieber A. J. Interpretation of coherent
polarimetric signatures by dielectric cylinder models // IGARSS”86: INT. Geosci. and Remote Sens. Sysp. -
Paris. 1988. - 79 - 82.
. Л.М.
Бреховских. Волны в слоистых средах. - М.: Изд-во Академии наук СССР, 1957.
. Б.В.
Басанов, А.Ю. Ветлужский. Исследования боковых волн в лесных покровах - 2008.
. В.Б.
Кашкин, В.И. Кокорин, В.Л. Миронов, С.В. Сизасов. Экспериментальное определение
электрофизических параметров лесного покрова с использованием сигналов
глобальных навигационных систем ГЛОНАСС и ОР8. - Радиотехника и электроника,
2006, т.51, № 7, с.825-830.
. К. Sarabandi, I-S Koh.
Effect of Canopy - Air Interfase Roughness on HF - VHF Wave Proparation in Forest.
- IEEE Trans. On Anten.
and Propag. 2002,vol.50, no.2, pp.111-121.
. А.Н.
Куликов, А.Л. Магазинникова. Метод расчета среднего поля УКВ в лесу. -
Радиотехника, 1997, №10, с.57-59.