Повышение конкурентоспособности услуг ООО 'Камея'

  • Вид работы:
    Дипломная (ВКР)
  • Предмет:
    Менеджмент
  • Язык:
    Русский
    ,
    Формат файла:
    MS Word
    2,54 Mb
  • Опубликовано:
    2011-06-30
Вы можете узнать стоимость помощи в написании студенческой работы.
Помощь в написании работы, которую точно примут!

Повышение конкурентоспособности услуг ООО 'Камея'

СОДЕРЖАНИЕ

ВВЕДЕНИЕ

ТЕОРЕТИЧЕСКАЯ ЧАСТЬ

1.1 Сущность и особенности конкурентоспособности услуг

.2 Конкурентные стратегии на рынке услуг

.3 Конкурентоспособность услуги: сущность и методологические подходы к оценке

2 АНАЛИТИЧЕСКАЯ ЧАСТЬ

2.1 Общая характеристика ООО "Камея" кафе "Чокколатта"

.2 Анализ организации управления предприятием

.3 Анализ финансовых результатов деятельности предприятия

.4 Анализ конкурентоспособности предприятия

Взвешенная оценка определяется как произведение бальной оценки к показателю на его весовой коэффициент .

Таблица 2.32-Оценка конкурентоспособности ООО «Камеся» кафе «Чоколатта» и его конкурентов

Из данных таблицы видно, что кафе «Чоколатта» набрало наименьшее количество баллов (3,39) , чем кафе «Мельница» и «Шоколадница» , набравшей 4,3 балла. Следовательно конкурентный профиль анализируемого кафе будет строиться в отношении к кафе «Шоколадница», имеющему лучшие конкурентные позиции. Степень приоритетности приведена по значению показателей приведенных в таблице 2.33.

Таблица 2.33-Степень приоритетности приведена по значению показателей по отношению к кафе «Шоколадница»

Таким образом , можно сделать вывод, что первостепенное внимание следует уделить ценовой политике кафе, уровню обслуживания. Квалификации персонал, ценообразованию в кафе и рекламе.

Выводы по аналитической части

Таким образом, кафе можно предложить следующую программу мероприятий по повышению его конкурентоспособности:

разработка системы скидок;

проведение маркетинговых исследований в с целью выравнивания цен на уровень конкурентов;

повышение квалификации персонала;

разработка ПР-кампании.

. ПРОЕКТНАЯ ЧАСТЬ

3.1 Проект мероприятий по повышению конкурентоспособности ООО «Камея»

.2 Информационное обеспечение проекта

.3 Правовое обеспечение

4 .ЭКОНОМИЧЕСКАЯ ЧАСТЬ

Основной задачей экономической части является расчет изменения основных финансово-экономических показателей деятельности Кафе, полученных в результате внедрения мероприятий и рекомендаций предложенных в проектной части диплома.

Расчет проводятся по следующим направлениям:

определение эффективности от реализации предложенных мероприятий в проектной части;4

укрупненный расчет влияния мероприятий на изменения основных финансово-экономических показателей деятельности Кафе

.1 Расчет экономической эффективности

Таблица 4.3- Расчет дополнительного объема реализации работ, услуг, продукции за счет конкурентного выравнивания цен

.2Расчет влияния показателей эффективности мероприятий на изменение основных технико-экономических показателей деятельности предприятия

 ЗАКЛЮЧЕНИЕ

Первостепенное внимание следует уделить ценовой политике Кафе, уровню обслуживания. Квалификации персонал, ценообразованию в Кафе и рекламе.

Таким образом, Кафе можно предложить следующую программу мероприятий по повышению его конкурентоспособности:

разработка системы скидок;

проведение маркетинговых исследований в с целью выравнивания цен на уровень конкурентов;

повышение квалификации персонала;

разработка ПР-кампании.

Список литературы

ПРИЛОЖЕНИЯ

ВВЕДЕНИЕ

Маркетинговая среда фирмы слагается из микросреды и макросреды. конкуренты являются важной составляющей маркетинговой микросреды фирмы, без учета и изучения которой невозможна разработка приемлемой стратегии и тактики функционирования фирмы на рынке.

Наличие конкурирующих фирм порождает такое явление в экономике как конкуренция. С экономической точки зрения, конкуренция - экономический процесс взаимодействия, взаимосвязи борьбы продуцентов и поставщиков при реализации продукции, соперничество между отдельными производителями или поставщиками товара и/или услуги за наиболее выгодные условия производства.

Конкуренция - борьба независимых экономических субъектов за ограниченные экономические ресурсы. Это экономический процесс взаимодействия, взаимосвязи и борьбы между выступающими на рынке предприятиями в целях обеспечения лучших возможностей сбыта своей продукции, удовлетворяя разнообразные потребности покупателей.

Чтобы обеспечить себе продолжительную жизнь, организация должна иметь четко определенные цели, ощущение направления и представление о том, какие средства ей нужны. Все это организация получает с помощью стратегического управления. Оно требует от руководителей понимания сущности стратегии, использования приемов стратегического управления и разработки стратегических планов. Совершенно очевидно, что стратегия должна изменяться и приспосабливаться к изменяющим условиям. Главная задача стратегии - наиболее выгодным образом вписаться в окружающую среду и соответствовать ей. Стратегия определяет, куда организация хочет идти, чтобы достичь своей цели и выполнить свою миссию. Она создает ограничители, отражающие особенности и направление деятельности организации и задает границы выбора, т.е. определяет, чем организация хочет стать на предстоящий длительный период времени.

Миссию можно сформулировать, как готовность в любых условиях выполнить государственный заказ в первую очередь, а также заказ, финансируемый из других источников, любой степени сложности в минимальные сроки с надлежащим качеством.

Тема особенно актуальна для торговых предприятий , так как в этом сегменте бизнеса наблюдается высокий уровень конкуренции. При этом каждый из конкурирующих фирм стремится выделиться среди своих конкурентов путем оказания новых видов услуг, снижения цен, рекламных акций, повышения качества услуг.

На сегодняшний день глобальной целью является изменение хозяйственной деятельности организации и преобразование ее в надежную систему, при этом должна быть обеспечена финансовая устойчивость и экономический рост организации.

Дипломная работа посвящена сложной и, несомненно, значимой проблеме повышения конкурентоспособности организации. В настоящее время данная проблема относится к числу недостаточно исследованных и требует, как теоретического, так и экспериментального изучения всех ее аспектов.

Функция организации охватывает всю систему управления. Ее особенностью по сравнению с другими функциями является то, что она обеспечивает взаимосвязь и эффективность действия всех других функций.

В отечественной литературе изучением проблемы занимались такие авторы, как Вершигора Е.Е., Румянцева З.П., Виханский О.С., Герчикова И.Н., Веснин В.Р., Кабушкин И.Н. и др.

Цель исследования: разработка направлений по повышению конкурентоспособности услуг ООО "Камея" кафе "Чокколатта"Для реализации поставленной цели были определены следующие задачи:

-        Изучить теоретические аспекты конкурентоспособности услуг

-        Представить характеристику предприятия.

-        Провести анализ конкурентоспособности предприятия

-        Разработать основные направления повышения конкурентоспособности предприятия.

Объект исследования ООО "Камея" кафе "Чокколатта"

Предмет исследования: методы повышения конкурентоспособности предприятия.

Методы исследования:

-        абсолютных и относительных величин;

-        коэффициентный;

-        балансовый и др.

Теоретическая и практическая значимость работы состоит в изучении вопроса эффективности и качества управления и разработке конкретных мероприятий для ООО "Камея" кафе "Чокколатта" с целью повышения конкурентоспособности выполняемых работ, опираясь на изученный теоретический материал.

1 ТЕОРЕТИЧЕСКАЯ ЧАСТЬ

1.1 Сущность и особенности конкурентоспособности услуг

Среди движущих сил экономики особую роль играет конкуренция. Конкуренция - экономическая борьба, соперничество между отдельными производителями продукции, работ, услуг за удовлетворение собственных интересов, это движущая сила развития рыночной экономики

В условиях конкуренции побеждает тот, кто создает высококачественную продукцию при наименьших издержек производства благодаря использованию научно-технических достижений, передовой организации труда.

Конкуренция имеет силу объективного экономического закона, процессом которого является существование многих хозяйственных субъектов действующих независимо друг от друга. Каждый из конкурентов стремится реализовать свой экономический интерес - получить прибыль.

Этот процесс действует в условиях рыночной экономики, когда в соответствии с ее законами существует одинаковая рыночная цена для всех.

Объективно возникает противоречие между возможностями производства товаров и услуг и возможностями их реализации. Количественное выражение закона конкуренции показывает отношение между рыночной стоимостью, издержками производства предприятия (C + V).

Роль конкуренции как движущей силы развития экономики проявляется прежде всего в том, что она создает важные стимулы для научно-технического прогресса.

Применение новой прогрессивной техники и технологии, которые способствуют снижению издержек производства, обеспечивает предприятиям значительные преимущества перед конкурентами.

Конкуренция как один из важных элементов функционирования рыночного механизма саморегулирования возможна только при условии, когда товаропроизводители имеют свободу хозяйственной деятельности и предпринимательства. Такие товаропроизводители свободно распоряжаются имуществом, которое им принадлежит, арендуется или переданы в пользование, по собственному усмотрению выбирают поставщиков и потребителей, распоряжаются прибылью, которая остается после уплаты налогов, решают вопросы, связанные с хозяйственной деятельностью и развитием производства.

Конкурентное положение - позиция, занимаемая предприятием по отношению к конкурентам. Обеспечение превосходства над ними или сохранение положения на рынке (его сегменте) достигается при помощи различных стратегий - использование преимуществ, привлечение внимания потребителей, перехват инициативы. Выбор зависит от интенсивности конкуренции и действий конкурентов, а также от позиции, занимаемой предприятием или компанией на рынке (лидер, следующий за лидером, избегающий конкуренции и др.).

Конкурентоспособность товара - его рыночная характеристика, совокупность его преимуществ на рынке, способствующих успешной реализации в условиях конкуренции. Определяется системой технических, потребительских и экономических показателей, в том числе: технический уровень продукции, функциональные, социальные, эстетические и другие полезные свойства, уровень цены покупки и затраты на потребление. Оценка конкурентоспособности проводится путем сравнения этих показателей с товаром-конкурентом, перспективными образцами и нормативами.
Конкуренция - соперничество между субъектами рынка за овладение вниманием потенциальных потребителей. Конкуренция представляет собой важный фактор маркетинговой среды. Различают функциональную, видовую и межфирменную конкуренцию. Используются ценовые и неценовые методы конкуренции.

Один вид конкуренции может отличаться от другого по средствам его ведения. Различают конкуренцию ценовую и неценовую.

Ценовая конкуренция ведется путем маневрирования ценами в целях наиболее выгодного использования рыночной конъюнктуры. В частности, в зависимости от обстановки и степени прочности своего дела конкурент может использовать монопольно высокую цену, приносящую ему монопольно высокую прибыль, или временно использовать монопольно низкую цену для вытеснения с рынка менее могущественного конкурента. Цена «снятия сливок» используется тогда, когда на рынке появляется какая-то «ниша», т.е. возможность временно упредить конкурентов в выпуске каких-то новых продуктов Цена внедрения предполагает временное снижение цен для завоевания позиций на новом для данной фирмы рынке Цепа лидера существует в условиях, когда конкуренты договариваются не маневрировать произвольно ценами, а следовать за теми ценами, которые устанавливает ведущая фирма. Так называемая психологическая цена предполагает ее установление па уровне несколько меньшем, чем какая-то круглая высокая цена (скажем, не 1000, а 999 долл.).

В неценовой конкуренции используются средства, не имеют непосредственного отношения к ценам. Сюда относятся улучшение качества продукции, реклама, организация выставок и ярмарок.

Конкуренция - (от лат. Concurrere - сталкиваться) - борьба независимых экономических субъектов за ограниченные экономические ресурсы. Это экономический процесс взаимодействия, взаимосвязи и борьбы между выступающими на рынке предприятиями в целях обеспечения лучших возможностей сбыта своей продукции, удовлетворяя разнообразные потребности покупателей.

В системе маркетинга фирма, действующая на рынке, рассматривается не сама по себе, а с учетом всей совокупности отношений и информационных потоков, связывающих ее с другими субъектами рынка. Условия окружающей Среды, в которой действует фирма, принято называть маркетинговой средой фирмы. Котлер Ф. маркетинговую среду фирмы определил следующим образом:

Маркетинговая среда фирмы - совокупность активных субъектов и сил, действующих за пределами фирмы и влияющих на возможности руководства службой маркетинга устанавливать и поддерживать с целевыми клиентами отношения успешного сотрудничества.

Маркетинговая среда фирмы слагается из микросреды и макросреды. Микросреда представлена силами, имеющими непосредственное отношение к самой фирме и ее возможностям по обслуживанию клиентуры, т. е. поставщиками, маркетинговыми посредниками, клиентами, конкурентами и контактными аудиториями. Макросреда представлена силами более широкого социального плана, которые оказывают влияние на микросреду( факторы демографического, экономического, природного, технического, политического и культурного характера).

Таким образом, конкуренты являются важной составляющей маркетинговой микросреды фирмы, без учета и изучения которой невозможна разработка приемлемой стратегии и тактики функционирования фирмы на рынке.

Существует множество определений конкурентов, приведем наиболее употребительные из них. Как было отмечено выше, конкуренты - это субъекты маркетинговой системы, которые своими действиями влияют на выбор фирмой рынков, поставщиков, посредников, формирование ассортимента товаров и на весь комплекс маркетинговой деятельности(что и влечет за собой необходимость их изучения). Рассматривая конкурентов как субъектов маркетинговой системы более подробно, можно дать следующее определение. Конкурирующими фирмами называются фирмы, имеющие полностью или частично совпадающую фундаментальную нишу. Под фундаментальной рыночной нишей здесь понимается совокупность сегментов рынка, для которых подходят товар и/или услуга, производимые данной фирмой.

Наличие конкурирующих фирм порождает такое явление в экономике как конкуренция. С экономической точки зрения, конкуренция - экономический процесс взаимодействия, взаимосвязи борьбы продуцентов и поставщиков при реализации продукции, соперничество между отдельными производителями или поставщиками товара и/или услуги за наиболее выгодные условия производства. Таким образом, конкуренция в общем смысле может быть определена, как соперничество между отдельными лицами и хозяйствующими единицами, заинтересованными в достижении одной и той же цели. Если эту цель конкретизировать с точки зрения концепции маркетинга, то рыночной конкуренцией называется борьба фирм за ограниченный объем платежеспособного спроса потребителей, ведущаяся фирмами на доступных им сегментах рынка.

С точки зрения маркетинга, важными в этом определении являются следующие аспекты:

Во-первых, речь идет о рыночной конкуренции, то есть о непосредственном взаимодействии фирм на рынке. Оно касается только той борьбы, которую ведут фирмы, продвигая на рынок свои товары и/или услуги.

Во- вторых, конкуренция ведется за ограниченный объем платежеспособного спроса. Именно ограниченность спроса заставляет фирмы конкурировать друг с другом. Ведь если спрос удовлетворен товаром и/или услугой одной фирмы, то все остальные автоматически лишаются возможности продавать свою продукцию. А в тех редких случаях, когда спрос практически неограничен, отношения между фирмами, предлагающими однотипную продукцию, часто бывает больше похож на сотрудничество, чем на конкуренцию. Такое положение, например, наблюдалось в самом начале реформ в России, когда небольшое количество начавших поступать с Запада товаров сталкивалось с практически ненасытным внутренним спросом.

В-третьих, рыночная конкуренция развивается только на доступных сегментах рынка. Поэтому один из распространенных приемов, к которым прибегают фирмы, чтобы облегчить давление на себя конкурентного пресса, состоит в уходе на недоступные для других сегменты рынка.

В экономической литературе принято разделять конкуренцию по ее методам на:

-        ценовую (конкуренцию на основе цены);

-        неценовую (конкуренцию на основе качества потребительной стоимости)

Ценовая конкуренция восходит к временам свободного рыночного соперничества, когда даже однородные товары предлагались на рынке по самым разнообразным ценам.

Снижение цены было той основой, с помощью которой промышленник (торговец) выделял свой товар, привлекал к себе внимание и в конечном счете завоевывал себе желаемую долю рынка.

В современном мире ценовая конкуренция утратила такое значение в пользу неценовых методов конкурентной борьбы. Это не означает, конечно, что на современном рынке не используется «война цен», она существует, но не всегда в явной форме. Дело в том, что «война цен» в открытой форме возможна только до того момента, пока фирма не исчерпает резервы снижения себестоимости товара. В целом, конкуренция в открытой форме приводит к снижению нормы прибыли, ухудшению финансового состояния фирм и, как следствие, к разорению. Поэтому фирмы избегают вести ценовую конкуренцию в открытой форме. Применяется она в настоящее время обычно в следующих случаях:

-        фирмами-аутсайдерами в их борьбе с монополиями, для соперничества с которыми в сфере неценовой конкуренции у аутсайдеров нет ни сил, ни возможностей;

-        для проникновения на рынки с новыми товарами;

-        для укрепления позиций в случае внезапного обострения проблемы сбыта.

При скрытой ценовой конкуренции фирмы вводят новый товар с существенно улучшенными потребительскими свойствами, а цену поднимают непропорционально мало.

Неценовая конкуренция выдвигает на первый план более высокую, чем у конкурентов, потребительную стоимость товара (фирмы выпускают товар более высокого качества, надежный, обеспечивают меньшую цену потребления, более современный дизайн).

-        К числу неценовых методов относятся все маркетинговые методы управления фирмой.

-        К незаконным методам неценовой конкуренции относятся:

-        промышленный шпионаж;

-        переманивание специалистов, владеющих производственными секретами;

-        выпуск поддельных товаров, внешне ничем не отличающихся от изделий-подлинников, но существенно худших по качеству, а потому обычно на 50% дешевле;

-        закупка образцов с целью их копирования.

Можно выделить следующие основные направления конкурентной деятельности фирмы:

Конкуренция в области рынков сырья за завоевание позиций на ресурсных рынках с целью обеспечения производства необходимыми материальными ресурсами, перспективными материалами, высококвалифицированными специалистами, современной техникой и технологией с целью обеспечения более высокой, чем у конкурентов, производительности труда.

В качестве конкурентов предприятия на сырьевых рынках выступают в основном фирмы-производители продуктов-аналогов, использующие в своем производстве аналогичные материальные ресурсы, технологию, трудовые ресурсы;

) Конкуренция в области сбыта товаров и/или услуг на рынке;

) Конкуренция между покупателями на сбытовых рынках.

В зависимости от интенсивности конкуренции в этой среде фирма прогнозирует цены на те или иные товары, организует свою сбытовую деятельность.

В условиях насыщенного рынка конкуренция покупателей уступает место конкуренции продавцов. В связи с этим среди этих трех направлений конкурентной деятельности фирмы наибольший интерес, с точки зрения маркетинга, представляет собой конкуренция продавцов в области сбыта товара и/или услуги на рынке. Два оставшихся направления являются конкуренцией покупателей.

Так как конкуренцию в маркетинге принято рассматривать в отношении потребителя, то и различные виды конкуренции соответствуют определенным этапам потребительского выбора.

1.2 Конкурентные стратегии на рынке услуг

Стратегия представляет собой детальный всесторонний комплексный план. Он должен разрабатываться скорее с точки зрения перспективы всей корпорации, а не конкретного индивида. Редко когда основатель фирмы может себе позволить сочетать личные планы со стратегий организации. Стратегия предполагает разработку обоснованных мер и планов достижения намеченных целей, в которых должны быть учтены научно-технический потенциал фирмы и ее производственно-сбытовые нужды .

Стратегический план должен обосновываться исследованиями и фактическими данными. Поэтому необходимо постоянно заниматься сбором и анализом огромного количества информации об отраслях народного хозяйства, рынке, конкуренции и т.п.

Кроме того, стратегический план придает фирме определенность, индивидуальность, которые позволяют ей привлекать определенные типы работников и помогают продавать изделия или услуги.

Стратегические планы должны быть разработаны таким образом, чтобы они оставались не только целостными в течении длительного времени, но и сохраняли гибкость. Общий стратегический план следует рассматривать как программу, направляющую деятельность фирмы в течение продолжительного периода времени, с учетом постоянных корректировок в связи с постоянно меняющейся деловой и социальной обстановкой.

Стратегическое планирование само по себе не гарантирует успеха, и организация, создающая стратегические планы, может потерпеть неудачу из-за ошибок в организации, мотивации и контроле. Тем не менее формальное планирование может создать ряд существенных благоприятных факторов для организации деятельности предприятия. Знание того, что организация хочет достичь, помогает уточнить наиболее подходящие пути действия.

Принимая обоснованные и систематизированные плановые решения, руководство снижает риск принятия неправильного решения из-за ошибочной или недостоверной информации о возможностях организации или о внешней ситуации. Таким образом, планирование помогает создать единство общей цели внутри организации .

Формирование стратегического плана представляет собой тщательную, систематическую подготовку к будущему, осуществляемую высшим руководством (рисунок 1.1 ):









Рисунок 1.1 - Формирование стратегического плана

Базовая стратегия конкуренции предприятий РГБ, представляющая собой основу конкурентного поведения предприятия на рынке и описывающая схему обеспечения преимуществ над конкурентами, является центральным моментом в стратегической ориентации предприятия гостиничного комплекса. От ее правильного выбора зависят все последующие маркетинговые действия предприятия.

Это обстоятельство определяет необходимость тщательного обоснования данной процедуры. Однако, сформировавшиеся в последнее время в предпринимательских кругах некоторые стереотипы относительно того, как необходимо конкурировать на российском рынке гостиничных услуг, в значительной степени мешают системно подойти к решению данной задачи. Прежде чем приступить к выбору базовой стратегии конкуренции необходимо избавиться от вредных стереотипов, штампов и ошибок.

В первую очередь сказанное относится к неправильному представлению о том, какой рынок является наиболее перспективным с точки зрения конкуренции. Предприниматели часто считают, что привлекательные рынки - это те, которые развиваются быстрее всех или используют совершенные технологии. Это не так.

Как показывает практика преуспевающие и перспективные рынки имеют высокие входные барьеры, протекции со стороны государства, непритязательных потребителей, дешевую систему поставок и самое меньшее число альтернативных отраслей, способных их заменить. Бизнес с новейшими технологиями и высокой эффективностью больше всех подвержен атакам конкурентов, вероятность банкротства на таких рынках очень велика.

С другой стороны, стремление быть первыми во всех сферах конкурентной борьбы, а также погоня за сиюминутными прибылями часто заставляет предприятия отказываться от ранее разработанной стратегии конкуренции, что вносит хаос в деятельность предприятия и не позволяет ему сосредоточиться на долгосрочных целях в области конкурентной борьбы.

Вопрос, где конкурировать, на каком рынке извлекать прибыль всегда является одним из ключевых в маркетинговой ориентации предприятия. Однако, как показывает практика, чрезмерная концентрация на нем в ущерб другим важным параметрам стратегии конкуренции часто приводит к негативным последствиям. Перенос старых, используемых для других условий, приемов и методов конкуренции на новые рынки не приносит желаемых результатов. Вопрос: как конкурировать является столь же важным и критическим и, его игнорирование означает полное отсутствие целевой ориентации в конкурентной борьбе.

Недостаточно внимания уделяется и определению начала и окончания периода использования разработанной стратегии конкуренции. Общая тенденция сокращения жизненного цикла товара, увеличение количества гостиничных услуг, использующих технологические решения быстро сменяющие друг друга, изменение демографических характеристик рынка, политической ситуации в стране и другие динамические факторы осложняют правильный выбор начала внедрения новой стратегии конкуренции и периода ее использования на рынке.

К общему недостатку процесса разработки стратегии конкуренции можно отнести его слабую персональную ориентацию. Часто стратегия ориентирована на противодействие предприятиям-конкурентам и в меньшей степени учитывает особенности управления этими предприятиями, в частности, тип поведения его руководителей. Вместе с тем, образование руководителей, их подходы к ведению бизнеса, опыт, способности и другие персональные характеристики во многом определяют возможные реакции на изменение рынка. Это означает, что стратегия конкуренция должна рассматривать в качестве объекта соперничества не только предприятие, но и. его аппарат управления со свойственным ему стилем руководства, что позволит более точно и адекватно реагировать на возможные контрмеры. Кроме того, необходимо помнить, что борьба с конкурентами ведется в конечном счете за бюджет потребителей. И поэтому смысл конкурентной борьбы заключается не столько в действиях против предприятий-соперников, сколько в завоевании конкретных потребителей, пользующихся услугами конкурентов.

Необходимо также отметить, что для многих небольших предприятий смысл конкуренции сводится к тому, чтобы быть похожими на своих более крупных (мощных) конкурентов. Это придает им уверенность в себе.

Но подражать другим - значит лишиться какого-либо преимущества. Отсутствие конкурентных преимуществ - верный путь к банкротству. Некоторые предприятия, обладая определенным конкурентным преимуществом, не предпринимают никаких усилий для того, чтобы не потерять их. Наличие конкурентного преимущества необходимо воспринимать как свершившийся факт, достигнутую цель и это не должно останавливать дальнейший поиск.

Формирование конкурентной стратегии формируется на базе конкурентного анализа на основании разработок профессора Гарвардской школы бизнеса М.Портера, автора основных общепризнанных моделей по определению главных сил конкуренции и вариантов конкурентной стратегии.

Конкурентные стратегии М. Портера базируются на ряде теоретических постулатов, среди которых важнейшими на мой взгляд, являются так называемые "силы конкуренции" и "цепочка ценностей".

М. Портер выделил пять сил конкуренции, которые определяют уровень прибыли в отрасли. Это, во-первых, проникновение новых конкурентов, во-вторых, угроза появления на рынке товаров-субститутов, произведенных по иной технологической схеме, в-третьих, возможности покупателей, в-четвертых, возможности поставщиков и, в-пятых, конкуренция между компаниями, уже укрепившимися на рынке .

Конкретные стратегии происходят из пониманий правил конкуренции, действующих в отрасли и определяющих ее привлекательность. Целью конкурентной стратегии, в таком случае, становится изменение этих правил в пользу данной фирмы. Он, установил, что на каждом этапе хозяйствования создаются свои ценности, которые выражаются в добавленной стоимости, которые признаются и оплачиваются покупателями.

При этом, чем выше разница между оценкой потребителей стоимости созданного товара и затратами на его создание, тем больше прибыли получит предприятие.

М. Портер обосновал принципы создания конкурентных преимуществ предприятия. Они формируются путем создания на каждом этапе своих ценностей. По сути речь идет о сравнительном анализе потребительских свойств продукта, создаваемых на разных этапах разработки товара, его производства, маркетинга и сбыта в соизмерении с затратами на достижение этих ценностей.

Базовые конкурентные стратегии представляют собой три вида действий, направленных на получение предприятием конкурентных преимуществ. М. Портер определяет их как:

) Стремление компании стать производителем с низкими издержками. Как правило, эти преимущества получаются путем продажи стандартной продукции и услуг без добавленной стоимости, когда производятся и реализуются товары и услуги массового спроса и когда предприятие располагает сильными каналами распределения .

)Дифференциация (стремление предприятия к уникальности в каком-либо аспекте своей продукции очень важном для большинства потребителей). Дифференциация может заключаться в самой продукция, в методах доставки, в условиях маркетинга или каком-либо другом факторе.

) Фокусирование, т.е. выбор сегмента рынка, который данное предприятие в состоянии обслужить более эффективно, чем его конкуренты.

При этом фокусирование обычно касается или достижения преимуществ в области снижения издержек, либо в усилении дифференциации продукции.

Что касается развития предприятий ресторанного бизнеса, то основной конкурентной стратегией для большинства из них сегодня является стратегия «минимизации издержек».

Это связано, прежде всего с тем, что многие из них для поддержания конкурентоспособности вынуждены вкладывать огромные финансовые средства в реконструкцию и совершенствование основных производственных фондов.

Основные стратегии развития РГБ можно рассмотреть следующим образом (рис. 1.2):








Рис. 1.2 - Основные стратегии развития РГБ

Прорабатывая цель максимизации текущей прибыли, предприятие должно задуматься о стратегических последствиях, которые могут возникнуть как вследствие продуманных ответных действий конкурентов, так и вследствие других рыночных факторов.

Такая цель распространена, если предприятие предлагает уникальные услуги, отличные от конкурентов, или если спрос на некоторые виды услуг превосходит предложение. Установленная таким образом цена воспринимается рынком, даже если она не отражает реальную структуру затрат. Однако постановка цели максимизации текущей прибыли, без учета реакции рынка, может затруднить работу гостиничным предприятиям в будущем.

Так как если рынок перенасыщен, то возможна ситуация, когда предприятие будет заинтересовано в сбыте своих продуктов по любой цене, лишь бы только удержать позиции на рынке.

Чтобы удержать свои позиции на рынке, предприятие зачастую не рассматривает структуру реальных затрат и даже реализует свой продукт в убыток.

Однако такой подход не может продолжаться длительное время, так как ведет к разорению. Необходимы тщательный анализ затрат и постановка целей ценообразования, чтобы не только сохранить свою позицию на рынке, но и получать хотя бы умеренную прибыль.

Цели, рассчитанные на завоевание лидерства на рынке, реализуются на ранних стадиях жизненного цикла продукта. Точное определение структуры затрат позволяет определить цены, которые дают возможность длительное время работать прибыльно, к тому же они доступны, а конкуренты не вступают в борьбу за лидирующее положение. Цели, направленные на лидерство в качестве продуктов, реализуют желание предприятий превзойти конкурентов путем максимального повышения качественных характеристик своего продукта, что означает и повышение цен на него. В данном случае многое зависит от потребителей: если они посчитают, что цена вполне оправдана качеством услуг, значит, предприятие строит свою деятельность правильно.

Процесс определения целей ценообразования продолжается выбором методов ценообразования. При разработке ценовой стратегии туристские и гостиничные предприятия используют ряд методов ценообразования, причем методы следует использовать в их взаимосвязи, так как ориентация только на один метод не способствует проведению гибкой ценовой стратегии, что может отрицательно сказаться на экономических результатах деятельности предприятия ресторанного бизнеса.

Самым простым и распространенным методом принято считать ценообразование на основе издержек. Этот метод основан на калькуляции издержек производства, обслуживания, накладных расходах, желаемой прибыли.

Цена устанавливается путем добавления к себестоимости определенных наценок, характеризующих затраты, налоги и нормы прибыли на пути движения продукта услуг от производителя к потребителю. Этот метод часто используется предприятиями, которые стремятся в первую очередь получить прибыль от инвестиций. При этом выясняется нижний предел цены, ниже которого она не должна упасть. Однако такой подход не способен учесть уровень спроса на продукты и услуги, чувствительность клиентов к уровню цены, уровень цен конкурентов.

Тем не менее, этот метод, называемый затратным, имеет преимущества. Во-первых, при достаточно точном определении структуры затрат упрощается процесс ценообразования. Во-вторых, если этот метод используют основные конкуренты, то создаются условия для снижения ценовой конкуренции. В-третьих, предприятия могут меньше внимания уделять колебаниям спроса на гостиничные продукты .

На политику в области ценообразования сильное влияние оказывают конкуренты и их возможная реакция на уменьшение цен на рынке. Поэтому изучение цен конкурентов - важнейший элемент деятельности в области ценообразования. Следовательно, можно выделить следующий метод ценообразования - ценообразование с ориентацией на уровень конкуренции. Формирование цены базируется на использовании информации о действующих и потенциальных конкурентах гостиничного предприятия. Используются конкретные материалы (источники информации о ценах конкурентов) и обрабатываются при помощи различных методов, таких, как регрессионный анализ, балльный метод, метод поправок и др.

Для определения степени чувствительности спроса к изменению цены используют показатель эластичности спроса по ценам.

Эластичность спроса - это зависимость его изменений от какого-либо рыночного фактора. Ценовая эластичность спроса в ресторанно-гостиничного бизнеса имеет свои особенности: степень ценовой эластичности зависит от мотивации и цели путешествия. Если деловые путешествия не реагируют на изменение цен, то личные путешествия часто зависят от цены.

Изменение цены сильно влияет на объем продаж. Обычно низкая цена привлекает дополнительных клиентов, но и необычно высокая цена в некоторых случаях имеет аналогичный эффект. Исследования показали, что потребитель воспринимает более дорогие услуги как высококачественные, особенно если это невозможно проверить. Изменение цены, в отличие от других маркетинговых мер, дает самый быстрый эффект. Это достаточно эффективный шаг, однако его следует сочетать с другими элементами комплекса маркетинга - продвижением продукта, рекламой, стимулирующими программами. В настоящее время ресторанно-гостиничный бизнес (РГБ) успешно использует такой метод (вариант) ценообразования, как макетное ценообразование, когда объединяют несколько продуктов, предлагая их по суммарно меньшей цене.

Использование указанных выше методов позволяет определить исходную цену продуктов. Однако окончательно установленная цена может существенно отличаться от предполагаемой заранее. Это обусловлено выбором ценовой стратегии.

Ценовая стратегия - это выбор возможной динамики изменения исходной цены продукта в условиях рынка, наилучшим образом соответствующей цели предприятия. Определение ценовой стратегии зависит от того, на какой продукт устанавливается цена: на новый или на продукт сформировавшегося рынка сбыта.

Степень новизны продукта играет заметную роль в ценообразовании, так как ценообразование на новые, уникальные услуги - сложная проблема. Для успешного продвижения нового продукта используют несколько ценовых стратегий.

Стратегия «снятия сливок» (высоких цен) предполагает первоначальную продажу нового продукта по высоким ценам.

Это возможно в условиях отсутствия конкуренции и предложения абсолютно новых услуг (например, предложения нового блюда). Используя указанную стратегию, ресторан, в сущности, пользуется своей монополией (как правило, временной).

Впоследствии, когда рынок оказывается насыщенным и появляются продукты-аналоги, фирма идет на снижение цен. Достаточно часто новые рестораны, выходя на рынок, сначала применяют высокие цены для создания образа высокого качества продукта, а затем спустя некоторое время - более низкие цены проникновения. Таким образом, вначале завоевывается многочисленная авангардная группа потребителей, менее чувствительных к цене, а затем - большая доля рынка «экономического класса».

Стратегия цен проникновения на рынок базируется на преднамеренно низком уровне цен с целью оказания влияния на возможно большее число потребителей. Низкая цена представляет в этом случае своего рода плату за внедрение нового продукта на рынок.

Такая стратегия используется теми фирмами, которые любой ценой стремятся увеличить свою долю на рынке. С ростом продаж и освоением рынка цена несколько повышается, но так, чтобы это не препятствовало дальнейшему расширению объемов реализации. Рассматриваемая стратегия особенно удачно применяется в отношении услуг, затраты на оказание которых падают в соответствии с «эффектом опыта».

В первом случае предприятие выигрывает, поскольку имеет известный рынок, исключающий значительные колебания цен и спроса на продукцию. Это создает для них возможности специализации, равномерной загрузки производственных мощностей. Во втором случае малое предприятие получает финансовую поддержку для проведения комплекса маркетинговых мероприятий по распределению и продвижению товара, а также монопольное право на продажу высококачественной продукции, обеспечивающее устойчивый спрос.

И так, важнейшими составными этапами разработки рыночной стратегии для предприятий РГБ является:

-        анализ внешней и внутренней среды организации;

-        анализ покупательского спроса;

-        анализ конкурентов.

Предприятие РГБ должно проанализировать среду, в которой оно функционирует, для выявления благоприятных возможностей и во избежание угроз.

После проведенного анализа проводится выбор стратегии, которая наиболее подходит для организации с учетом возможностей и угроз со стороны внутренней и внешней среды.

Задача разработки рыночной стратегии относится к руководителям высшего звена, но в процессе ее реализации необходима сплоченная работа всего персонала организации РГК.

Процесс формирования рыночной стратегии достаточно трудоемкий, требует большого внимания и тщательного анализа факторов, влияющих на деятельность организации, для анализа привлекаются высоко квалифицированные специалисты в этой области.

Стратегическое планирование является инструментом, помогающим в принятии управленческих решений в условиях постоянно изменяющейся внешней среды, в которой ведет свою деятельность организация.

Значение рыночной стратегии для деятельности организации РГК не преувеличено, от того, как осуществляется стратегия зависит то создаст ли она трудности или сделает успешной организацию.

После выбора конкурентной стратегии следует приступать к ее реализации. Процесс реализации стратегии в теории маркетинга определяется как тактика конкурентной борьбы, или система мероприятий направленных на реализацию конкурентной стратегии. В зависимости от выбора стратегии предприятия с ориентацией на собственные возможности и на рыночную ситуацию приступают к реализации действий.

С учетом выбранной стратегии тактика конкурентной борьбы для предприятий гостиничного комплекса может состоять из рада мероприятий с учетом цели стратегии:

. Охват рынка за счет привлечения дополнительных посетителей;

. Повышение качества обслуживания и увеличение перечня услуг;

. Активизация рекламы, создание бренда;

. Использование средств и методов бенчмаркетинга в стратегии следования за лидером;

. Повышение эффективности менеджмента;

. Модернизация, реконструкция и совершенствование условий проживание;

. Снижение и/или повышение цен и много другое.

При этом важным в реализации стратегии и тактики конкурентной борьбы для предприятий РГК будет являться достаточное экономическое обоснование с учетом внутренних и внешних факторов.

.3 Конкурентоспособность услуги: сущность и методологические подходы к оценке

Экономическая сущность конкурентоспособности выражается через систему показателей, каждый из которых характеризует определенную сторону этого многогранного явления. Система взаимосвязанных показателей подразделяется следующим группам:

1) аспект трудовых отношений;

) аспект отношений с потребителями;

) аспект внутренних бизнес - процессов;

) аспект обучения и развития; финансовый аспект.

Система сбалансированных показателей является базой для расчета интегрального показателя конкурентоспособности организации.

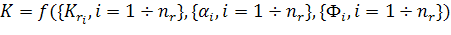
Интегральную конкурентоспособность организации можно представить в виде некоторой функции трех групп переменных: конкурентоспособности отдельных ресурсов организации (Кri), весовых коэффициентов данных ресурсов (αi) и факторов внешней среды (Фi):

 (1.1)

Если рассматривать конкурирующие фирмы в одной внешней среде и предположить, что они одинаково реагируют на ее воздействия, то есть абстрагироваться от условий внешней среды и учитывать только внутренние ресурсы организации, то интегральную конкурентоспособность можно представить в виде функции 2-х групп переменных:

 (1.2)

Показатель, выражающий зависимость (1), называется внутренней интегральной конкурентоспособностью в отличие от зависимости (2), которая представляет внешнюю интегральную конкурентоспособность организации.

В силу того, что сущность интегральной конкурентоспособности организации проявляется двояким образом мы считаем, что должно быть два выражения для двух показателей интегральной конкурентоспособности - Д и Т.

Кроме того, разные виды потенциалов оказывают различное влияние на результирующие числа. Так, стратегическая группа конкурентного потенциала организации оказывает определяющее влияние на темпы роста доли рынка.

Все ключевые внутренние аспекты организации подразделяются на две группы:

аспекты, влияющие на темпы роста доли рынка организации (аспект отношений с потребителями (отражает маркетинговый потенциал организации), аспект внутренних бизнес - процессов (отражает инновационный потенциал организации), аспект обучения и развития (отражает интеллектуальный потенциал организации));

аспекты, влияющие на достигнутую долю рынка, которую занимает организация (финансовый аспект, аспект трудовых отношений).

Модель формирования конкурентных преимуществ приведена на рисунке 1.3.

Комплексное исследование теоретической и практической базы позволяет сделать вывод о существовании вектора конкурентоспособности (рис. 1.4).










К - вектор конкурентоспособности компании;- конкурентоспособность на основе финансового положения;- конкурентоспособность на основе товарного портфеля;- конкурентоспособность на основе рыночного положения.

Рисунок 1.4 - Вектор конкурентоспособности.

Вектор находится в трех измерениях: текущее финансовое положение, позиционирование на рынке и товарный портфель. Три измерения данного вектора являются относительными величинами: конкурентоспособность на основе товарного портфеля и положения на рынке выражаются относительно соответствующих показателей крупнейших конкурентов, а финансовое положение можно диагносцировать на основе известных коэффициентов рентабельности, ликвидности и оборачиваемости.

Наиболее известной маркетинговой моделью описания конкуренции на рынке, используемой в отечественной и зарубежной литературе, является модель «пяти сил конкуренции» Портера.

Согласно исследованиям, известного английского учёного, авторитета в области конкуренции М.Е. Портера состояние конкуренции на определённом рынке можно охарактеризовать пятью конкурентными силами:

-        Соперничество среди конкурирующих продавцов.

-        Конкуренция со стороны товаров, являющихся заменителями конкурентоспособных с точки зрения цены.

-        Угроза появления новых конкурентов.

-        Экономические возможности и торговые способности поставщиков.

-        Экономические возможности и торговые способности покупателей.

Прибыль побуждает конкурирующие фирмы развивать свои стратегии, направленные на создание конкурентных взаимодействий.

Черты конкурентных взаимодействий фирм можно охарактеризовать следующим образом:

-        Фирмы борются за более выгодную рыночную позицию, которая проявляется, в конечном счёте, в стремлении каждого завоевать свою клиентуру (наиболее прибыльную рыночную долю);

-        Конкурирующие стратегии фирм и пути реализации этих стратегий различны. Фирмы ограничены, в основном, своими соображениями о том, что и как сработает на этом рынке (реакция покупателей и т.п.), и что вообще юридически законно (антимонопольное законодательство, разрешающее конкурентные действия и т.д.).

Время от времени фирмы обновляют свои стратегии (для улучшения позиции или с целью защиты уже завоёванных преимуществ).

Продолжительность функционирования фирмы в рамках любой стратегии зависит, с одной стороны, от рыночного успеха (или неудачи), а с другой стороны, от действий фирм-соперников.

Фирмы стараются выбирать конкурентные стратегии, которые не могут быть сымитированы или обойдены конкурентами.

Межфирменное соперничество может закончиться успехом или проигрышем. Стратегический успех может дать фирме возможность контролировать направление действий рыночных сил или конкурентных усилий. Стратегические неудачи могут привести к смене стратегии, потере рыночной позиции и даже выходу из отрасли.

Акции и контракции фирм-соперников, в конечном счете, выливаются в создание новых условий спроса-предложения или в реагирование на создавшиеся условия рынка: маркетинговые стратегии фирм-соперников в конкурентной борьбе воздействуют на рынок, а рынок, в свою очередь, заставляет фирмы принимать такие маркетинговые стратегии, которые могут принести успех в сложившихся условиях.

Часто фирмы, принадлежащие к одной отрасли, находятся в тесной конкурентной борьбе с фирмами в других отраслях из-за того, что их продукция является хорошим заменителем.

Во-первых, цены и доступность товаров-заменителей создают потолок цен для производителя, в то же время, потолок цен ограничивает потенциальную величину прибыли. Во-вторых, производитель товара и/или услуг может выделить товар/услугу качеством, уменьшением цены путем сокращения издержек или другим способом дифференцировать свой продукт от заменителей, но чем больше зависят продажи товара от изменения цен заменителей, тем сильнее влияние конкурентных сил заменителей. В-третьих, конкуренция со стороны заменителей зависит от того, насколько легко покупатель может предпочесть заменитель (это зависит от стоимости переключения покупателя на товар-заменитель). Наиболее часто упоминаемым индикатором силы конкурентного давления на производителя со стороны производителей заменителей является темп прироста продаж.

Насколько серьезной является угроза со стороны возможного появления на рынке новых конкурентов зависит от двух групп факторов:

-        барьеры для входа;

-        ожидаемая реакция фирм на вновь входящих в отрасль.

Существуют следующие основные барьеры для входа:

-        эффективный масштаб производства;

-        эффект ЖЦ продукции (иногда достижение низких затрат на единицу зависит от опыта производства товара и др. выгод, полученных за время освоения товара;

-        предпочтения и преданность потребителей к определенным торговым маркам;

-        потребность в капитале (чем больше величина требуемых инвестиций для обеспечения успешности входа на рынок, тем меньше желающих войти на этот рынок);

-        препятствия в виде дополнительных затрат, связанных с доступом к более дешевым источникам сырья, патенты и <ноу-хау>, опыт производства, основной капитал, приобретенный по более низким (в связи с инфляцией) ценам, удобные места расположения предприятия и т. п.;

-        доступ к каналам распределения;

-        государственные меры и политика (здесь имеются в виду законодательные правили и ограничения, применяемые на данном рынке.

Ожидаемая реакция фирм на вновь входящих в отрасль будет более агрессивной, если:

-        существующие фирмы и раньше были агрессивны, защищая свои рыночные позиции;

-        существующие фирмы владеют важнейшими финансовыми средствами;

-        существующие фирмы имеют прочные связи с каналами распределения;

-        существующие фирмы хотят и могут использовать политику умеьшения цен для сохранения своей доли на рынке;

-        спрос на товар и/или услугу растет медленно;

-        для существующих фирм уход с рынка гораздо дороже, чем борьба до конца (из-за дорогих вложений в специальное оборудование, договоров с профсоюзами, тесных связей с производством других продуктов).

Индикатором реакции фирм является и ориентированность высшего кадрового эшелона фирм-конкурентов, их внимание к научным исследованиям, развитию, рекламе, технологическому оснащению, их мнение о себе и о своем бизнесе.

Следует добавить, что угроза входа на рынок новых фирм имеет тенденцию изменяться с изменением рыночных экономических условий вообще.

Конкурентное влияние со стороны поставщиков главным образом зависит от того, насколько важными являются эти составляющие затрат для покупателя (если поставки определенной группы поставщиков занимают ощутимую долю от общих затрат, то степень влияния со стороны поставщиков увеличивается)

Влияние поставщиков сильнее, если имеют место следующие факторы:

-        затраты на производство играют важную роль для покупателя;

-        поставщики представляют собой несколько крупных фирм, не скованных интенсивной конкуренцией;

-        продукция поставщиков дифференцирована настолько, что покупателю трудно и дорого перейти от одного поставщика к другому;

-        покупатели не являются важными клиентами для фирм-поставщиков, т. е. поставщики не замкнуты на определенную отрасль;

-        поставщики не конкурируют с производителями заменителей в других отраслях;

-        со стороны одного или нескольких поставщиков существует реальная угроза прямой интеграции в бизнес отрасли покупателя.

-        фирмы-покупатели не проявляют склонности к интеграции в рынки поставщиков.

Сила влияния на производителей товаров/услуг и их способность вести торговлю со стороны покупателей сильнее, когда:

-        потребители значимы и их немного, они покупают товар в большом количестве;

-        объем потребления представляет собой значительную часть от всех продаж в отрасли;

-        отрасль, поставляющая товар на рынок состоит из большого числа относительно некрупных продавцов;

-        товары, предлагаемые на продажу разными продавцами, относительно хорошо стандартизированы, и потребители легко могут найти альтернативный вариант покупки, стоимость их перехода к новому продавцу практически равна нулю;

-        покупаемые изделия не являются важной составляющей комплектующих изделий покупателя;

-        экономически выгодной для потребителя является практика приобретения комплектующих у нескольких продавцов по сравнению с прикреплением к одному продавцу;

Конкурентная ситуация на рынке развивается постоянно, поэтому существует потребность у фирмы в отслеживании конкурентных изменений на рынке систематически. Только при этих условиях фирма может правильно оценить возможности конкурентов и собственные возможности и выработать оптимальную маркетинговую стратегию, которая всегда направлена на создание или поддержание собственного конкурентного преимущества.

2 АНАЛИТИЧЕСКАЯ ЧАСТЬ

2.1 Общая характеристика ООО "Камея" кафе "Чокколатта"

Объектом исследования является ООО "Камея" кафе "Чокколатта" г. Москва.

Кафе расположенное по адресу: г. Москва , ул Новослободская д.2

Предприятие действует на основании Устава предприятия.

Общество является юридическим лицом. Права и обязанности юридического лица общество приобретает с даты его регистрации. Общество имеет печать со своим наименованием, угловой штамп с наименованием и реквизитами, фирменный знак, фирменный бланк, расчетный и иные счета в рублях и иностранной валюте в учреждениях банков.

Общество несет ответственность по своим обязательствам только в пределах своего имущества. Учредители несут убытки в пределах своего вклада .

Общество не отвечает по имущественным обязательствам учредителей.

Правовое положение Общества определяется действующим законодательством РФ и Уставом.

Цели и основные виды деятельности предприятия.

Основной целью своей деятельности, являясь коммерческой организацией, Кафе преследует извлечение прибыли.

Предметом деятельности является:

организация общественного питания, создание, содержание и эксплуатация основных типов предприятий массового питания (ресторан, столовая, кафе, бар и т.д.);

деятельность по производству, выпуску, реализации и организации потребления продукции общественного питания, пищевой продукции и полуфабрикатов, в т.ч. колбасных изделий и копченостей, обеденной продукции, горячих, холодных, десертных блюд, закусок и напитков; а также реализация продовольственных товаров, не подлежащих длительному хранению, икры осетровых и лососевых рыб, готовой деликатесной продукции, и т.п.;

организация и эксплуатация хлебопекарен и кондитерских производств, выпечка и реализация хлебобулочных и иных мучных и кондитерских изделий;

розничная торговля пивом, прохладительными напитками, сухими и креплёными винами, водочными, коньячными изделиями (ликёром, ромом, бренди), другими алкогольными, а также табачными изделиями и шоколадом в установленном законодательством порядке;

организация досуга людей, создание, содержание и эксплуатация бильярдных залов, игорных комплексов и автоматов, проведение лотерей, а также работа по другим направлениям индустрии развлечений;

проведение банкетов, обслуживание свадеб, юбилеев, торжеств и ритуалов;

оказание сервисных услуг по заказам населения;

создание собственной производственной инфраструктуры, включая производственные и перерабатывающие мощности, складские и другие вспомогательные объекты, транспорт и сбытовую сеть (оптовую/розничную) и управление ими;

осуществление внедрения новых технологий приготовления, расширения ассортимента и повышения качества продукции общественного питания;

Предприятие реализует цели и выполняет задачи, связанные с его деятельностью непосредственно или на основании договоров с юридическими и физическими лицами, а также через филиалы, представительства, создаваемые предприятием в порядке, установленном законодательством РФ.

Кофейни Chokkolatta отличаются изысканным и дорогим интерьером, высоким уровнем сервиса и доброжелательным персоналом, но главная изюминка сети кафе Chokkolatta <#"533114.files/image003.gif">

Рисунок 2.3 - Структура продаж кафе «Чоколатта» в 2009 г.

В 2009 г. наибольший объем продаж приходился на горячие блюда (31%) . Большим спросом пользовались завтраки, на которые пришлось 17% продаж. Суши , пицца и салаты примерно по поровну поделили удельный вес (7%), что также говорит об их востребованности.

Рисунок 2.4 - Структура продаж кафе «Чоколатта» в 2010 г.

В 2010 г. объем продаж горячих блюд несколько снизился что повлияло на его удельный вес в общей структуре продаж (27%), при этом возрос удельный вес суши (9%) и завтраков (19%).

Супы и пицца также несколько снизились в объеме продаж Кафе (по 6%). Наблюдается также увеличение удельного веса напитков (13%) , продажи кофе и чая остались без изменений. Для проявления наиболее ясной картины об организации рекламной деятельности Кафе произведем анализ рекламных мероприятий ООО «Камея» Кафе «Чоколатта» по месту размещения и периодичности выхода рекламы.

Таблица 2.29-Анализ рекламных мероприятий ООО «Чоколатта»

Наименование мероприятия

Средства размещения

Затраты на проведение

Темп роста затрат , %



2009г

2010г


Наружная реклама

Щиты

109,0

-

-

Интернет

Сайт

225,0

298,0

132,4

Радио

Ролики

88,0

88,0

100,0

Пресса

Бесплатные газеты и журналы

112,0

118,0

105,3

Всего


534,0

504,0

94,4


ООО «Камея» постоянно проводит рекламные мероприятия кафе, публикуя информацию о меню, проектах и мероприятиях кафе в различных общедоступных источниках информации. Однако наибольший удельный вес принадлежит рекламе путем Интернета. У кафе есть сайт, кроме которого специалисты кафе распространяют рекламу на разных досках объявлений. Отрицательным является отсутствие вложений в наружную рекламу в сравнении с 2009 году, когда висел баннер в районе кафе, в 2010 г. его сняли.

Далее необходимо провести сравнительную характеристику кафе «Чоколатта» с основными конкурентами.

Для более наглядного отражения положения кафе на рынке общественного питания необходимо построить его конкурентный профиль. Для того необходимо проанализировать основные факторы, являющиеся ключевыми для его развития. В тройку ближайших конкурентов кафе входят «Шоколадница», кафе «Мельница» и кафе «Альпийская терраса» .. В порядке убывающей значимости можно выделить определяющие факторы конкурентоспособности и рассчитать ее количественные параметры.

Ключевые факторы успеха приведены в таблице 2.30, а трансформация показателей, выраженная в различных единицах измерения приведена в таблице 2.31

конкурентоспособность скидка цена

Таблица 2.31- Экспертная оценка факторов успеха

 

Показатели

Ед. измерения






Количеств. Оценка

Бальная оценка

1. Факторы, характеризующие организацию

1.1

Месторасположение

-

удобное неудобное

5 4

1.2

Квалификация работников

средняя высокая высокая

4 5 5

1.3

Площадь

-

Большая небольшая

4 5

2. Факторы, характеризующие деятельность организации

2.1

 Качество услуг


Высокое Хорошее удовлетворительное

5 4 3

2.2

 Цены


высокие средние низкие

5 4 3

2.3

Ассортимент услуг


Высокий Низкий средний

5 4 3

2.4

Качество обслуживания


Низкое Среднее высокое

3 4 5

2.5

Время работы


9-22 9-21 9-22

5 4 3

2.6

Организация процесса производства услуг


Высокая Средняя Низка

5 4 3

3.Факторы, характеризующие маркетинговую политику

3.1

Стимулирование сбыта


Есть нет

5 3

3.2

реклама


Недостаточная Активная Слабая

4 5 3

3.3

Исследование рынка услуг общепита


Недостаточная Активная Слабая

4 5 3


Взвешенная оценка определяется как произведение бальной оценки к показателю на его весовой коэффициент .

Таблица 2.32-Оценка конкурентоспособности ООО «Камеся» кафе «Чоколатта» и его конкурентов

№ пп

Показатели

Чоколатта

Конкуренты




«Шоколадница»

«Мельница»



балл

сумма

балл

сумма

балл

сумма

1. Факторы, характеризующие организацию

1.1

Месторасположение

5

0,25

4

0,2

5

0,25

1.2

Квалификация работников

4

0,04

5

0,05

5

0,05

1.3

Площадь

4

0,04

5

0,05

5

0,05

2. Факторы, характеризующие деятельность организации

2.1

 Качество услуг

4

0,8

5

1

3

6

2.2

 Цены

3

0,75

4

1

4

1

2.3

Ассортимент услуг

5

0,5

5

0,5

5

0,5

2.4

Качество обслуживания

3

0,075

4

0,1

3

0,075

2.5

Время работы

5

0,125

4

0,01

3

0,075

2.6

Организация процесса производства услуг

3

0,06

5

0,01

4

0,08

3 Факторы, характеризующие маркетинговую политику

3.1

Стимулирование сбыта

3

0,15

5

0,25

3

0,15

3.2

реклама

3

0,15

5

0,25

4

0,2

3.3

Исследование рынка услуг общепита

3

0,3

3

0,5

5

0,5


Итого

48

3,39

60

4,3

56

3,83


Из данных таблицы видно, что кафе «Чоколатта» набрало наименьшее количество баллов (3,39) , чем кафе «Мельница» и «Шоколадница» , набравшей 4,3 балла. Следовательно конкурентный профиль анализируемого кафе будет строиться в отношении к кафе «Шоколадница», имеющему лучшие конкурентные позиции. Степень приоритетности приведена по значению показателей приведенных в таблице 2.33.

Таблица 2.33-Степень приоритетности приведена по значению показателей по отношению к кафе «Шоколадница»

№ пп

Показатели

Отклонения







Степень приоритетности



-2

-1

0

2


1. Факторы, характеризующие организацию

1.1

Месторасположение



Х


4 степень

1.2

Квалификация работников


Х



7 степень

1.3

Площадь


Х



7 степень

2. Факторы, характеризующие деятельность организации

2.1

 Качество услуг


Х



1 степень

2.2

 Цены


Х



2 степень

2.3

Ассортимент услуг



Х


3степень

2.4

Качество обслуживания

Х




6степень

2.5

Время работы



Х


6 степень

2.6

Организация процесса производства услуг


Х



2степень

3 Факторы, характеризующие маркетинговую политику

3.1

Стимулирование сбыта



Х


4 степень

3.2

реклама


Х



5 степень

3.3

Исследование рынка услуг общепита

Х




3 степень


Таким образом , можно сделать вывод, что первостепенное внимание следует уделить ценовой политике кафе, уровню обслуживания. Квалификации персонал, ценообразованию в кафе и рекламе.

Выводы по аналитической части

Предметом деятельности Кафе «Чоколатта» является:

организация общественного питания, создание, содержание и эксплуатация основных типов предприятий массового питания (ресторан, столовая, кафе, бар и т.д.);

деятельность по производству, выпуску, реализации и организации потребления продукции общественного питания, пищевой продукции и полуфабрикатов, в т.ч. колбасных изделий и копченостей, обеденной продукции, горячих, холодных, десертных блюд, закусок и напитков; а также реализация продовольственных товаров, не подлежащих длительному хранению, икры осетровых и лососевых рыб, готовой деликатесной продукции, и т.п.;

организация и эксплуатация хлебопекарен и кондитерских производств, выпечка и реализация хлебобулочных и иных мучных и кондитерских изделий;

розничная торговля пивом, прохладительными напитками, сухими и креплёными винами, водочными, коньячными изделиями (ликёром, ромом, бренди), другими алкогольными, а также табачными изделиями и шоколадом в установленном законодательством порядке;

организация досуга людей, создание, содержание и эксплуатация бильярдных залов, игорных комплексов и автоматов, проведение лотерей, а также работа по другим направлениям индустрии развлечений;

проведение банкетов, обслуживание свадеб, юбилеев, торжеств и ритуалов;

оказание сервисных услуг по заказам населения;

создание собственной производственной инфраструктуры, включая производственные и перерабатывающие мощности, складские и другие вспомогательные объекты, транспорт и сбытовую сеть (оптовую/розничную) и управление ими;

осуществление внедрения новых технологий приготовления, расширения ассортимента и повышения качества продукции общественного питания;

Кофейни Chokkolatta отличаются изысканным и дорогим интерьером, высоким уровнем сервиса и доброжелательным персоналом, но главная изюминка сети кафе Chokkolatta <#"533114.files/image005.gif">

Рис.3.2. Интерфейс программы «StoreHouse» список кафе ООО «Камея» (отдаленный доступ)

Автоматизация кафе «Чокколатта» при помощи системы «Rkeeper» в наше время является не модным нововведением, а жизненно важным условием нормального функционирования нашего ресторана, кафе, бара или любого другого заведения общепита.

"1С:Бухгалтерия " - программа для автоматизации бухгалтерского и налогового учета, в том числе для подготовки регламентированной отчетности. Подходит для организаций, осуществляющих любые виды коммерческой деятельности: оптовую и розничную торговлю, оказание услуг, производство и т.д. А также для индивидуальных предпринимателей, применяющих упрощенную систему налогообложения или общий режим налогообложения. Бухгалтерский и налоговый учет реализованы в соответствии с действующим законодательством Российской Федерации.

"1C:Бухгалтерия " поддерживает возможность учета деятельности нескольких организаций в единой информационной базе. Поэтому в ежедневной работе можно использовать общие списки товаров, контрагентов, собственных складов и т.д., а отчетность формировать раздельно для каждой компании. Методика бухгалтерского учета одновременно регистрирует каждую запись хозяйственной операции как по счетам бухгалтерского учета, так и по необходимым разрезам аналитического учета, количественного и валютного учета. При этом возможно управлять методикой учета в рамках настройки учетной политики, создавать новые субсчета и разрезы аналитического учета.

"1С:Бухгалтерия " обеспечивает решение всех задач, стоящих перед бухгалтерской службой предприятия. Информацию об отдельных видах деятельности, торговых и производственных операциях, могут вводить менеджеры и другие сотрудники предприятия, не являющиеся бухгалтерами.

Данную программу также можно использовать только для ведения бухгалтерского и налогового учета, а задачи автоматизации других отделов, например, склада или отдела продаж, решать специализированными конфигурациями.

Учет операций с денежными средствами

Автоматизирован учет наличных и безналичных денежных средств, обмена валюты, расчеты с контрагентами и подотчетными лицами. Расчеты с контрагентами можно вести в рублях, условных единицах и иностранной валюте.

Складской учет

По складам организации можно вести количественно-суммовой учет и учет по партиям. Если в складском учете нет необходимости, то его можно отключить.

Учет торговых операций

В "1С:Бухгалтерия " автоматизирован учет поступления и реализации товаров и услуг. Для розничной торговли поддерживаются технологии работы как с автоматизированными, так и неавтоматизированными торговыми точками. Для комиссионной торговли автоматизирован учет в отношении товаров и взятых на комиссию и переданных для дальнейшей реализации.

Учет основных средств и нематериальных активов

Автоматизированы все основные операции по учету: поступление, принятие к учету, начисление амортизации, инвентаризация, модернизация, передача, списание. Учет основных средств и нематериальных активов ведется в соответствии с ПБУ 6/01 "Учет основных средств" и ПБУ 14/2000 "Учет нематериальных активов".

Учет производства

Выполнена автоматизация расчета себестоимости продукции и услуг, выпускаемых как основным так и вспомогательным производством.

Начисление заработной платы

Возможно производить начисление заработной платы работникам организации, взаиморасчеты с работниками через кассу, перечисление зарплаты на лицевые счета работников в банках и депонирование. Система складского учета «StoreHouse» позволяет полностью контролировать процесс управления производством в ресторанах, кафе и ресторанах быстрого обслуживания. Складской учет в сфере общественного питания - это один из сложнейших видов складского учета. Время, когда складской учет в ресторане велся вручную, ушло в прошлое, использование специализированных компьютерных программ в наши дни стало неотъемлемым методом для организации эффективной работы предприятия. Однако среди множества программ необходимо выбрать оптимальный продукт, который был бы удобным инструментом в работе всех вовлеченных в процесс учета лиц: кладовщиков, бухгалтеров, бухгалтеров-калькуляторов, и в то же время позволил руководству ресторана иметь полную информацию о деятельности предприятия. «StoreHouse» - это надежный помощник, который позволяет полномасштабно контролировать процесс управления производством.

Функции системы

Учет движения товаров (приход, расход, списание, комплектация и др.)

Калькуляция блюд (автоматический расчет себестоимости)

Полностью автоматизированное списание продуктов и полуфабрикатов на основании реализации блюд с использованием или без использования взаимозаменяемых продуктов

Многофункциональная инвентаризация, в том числе инвентаризация полуфабрикатов

Ввод и хранение данных о всех продуктах, участвующих в производстве, единицах измерения, корреспондентах, валютах, ставках налога с продаж и НДС, плане счетов и т. д. Обмен данными с «StoreHouse BackOffice» приведен

Рис. 3.3.- Обмен данными с «StoreHouse BackOffice»

Использование функций автоматического поиска, копирования и автозамены максимально ускоряет и упрощает процесс заполнения словарей и документов системы. Используемый в системе «StoreHouse» принцип расчета себестоимости методом FIFO реализуется за счет автоматического пересчета себестоимости в зависимости от имеющихся в системе документов.

Возможности системы по работе с документами

Система позволяет создавать и обрабатывать следующие документы: приходные накладные, расходные накладные, документы внутренних перемещений, сличительные ведомости, документы возврата товара поставщику, документы списания испорченных продуктов, комплектации, счета-фактуры, документы о расходе блюд

В зависимости от статуса документов (активный / неактивный) они могут участвовать или не участвовать в пересчете себестоимости. Статус документа задается пользователем и легко изменяется

При сохранении активных документов по каждому продуктов показывается остаток после операции

Продукты в документах могут быть заданы в любых, определенных для этих продуктов, единицах измерения

Любые документы могут копироваться в документы других типов

Данные из ведомости остатков могут копироваться в любой из типов документов.

При проведении инвентаризации можно использовать весы для определения остатков товаров с учетом массы тары (в том числе и спиртных напитков)

При проведении инвентаризации система информирует о выявленных излишках или недостаче

При заведении документов имеется возможность использовать сканер для чтения штрих-кодов

Предлагаемые выходные формы документов унифицированы и соответствуют государственным стандартам.

Рис. 3.4. Интерфейс «StoreHouse» список накладных.

Возможности системы по работе с калькуляционными картами
 1. Возможность создания калькуляционных карт блюд с привязкой к конкретной дате.

. Формирование калькуляционных и технологических карт, соответствующих российским стандартам, в том числе:

Заполнение калькуляционной карты на любую норму закладки

Автоматический и ручной расчет выхода в готовом виде

Автоматический расчет себестоимости по выбранному складу

Неограниченная вложенность калькуляционных карт

Три стадии обработки продукта в технологических картах (вес брутто, вес после холодной обработки и вес после горячей обработки (вес готового продукта)) Автоматическое формирование актов проработки

Привязка блюда к группе взаимозаменяемых продуктов

3.Для каждого продукта/блюда возможен просмотр списка калькуляционных карт, в которые входит данный продукт/блюдо.

Возможности системы по работе с отчетами

.Система «StoreHouse» формирует следующие виды отчетов:

1-Ведомость остатков 2-Оборотная ведомость товаров 3-Движение товара 4-Обороты по документам 5-Последний приход/расход 6-Товарный отчет 7-Расчеты с поставщиками и получателями 8-Анализ поставщиков 9-Движение продуктов в производстве 10-Книга покупок/продаж 11-Журнал проводок 12-Заявка на закупку товара

13-Акты реализации 14Анализ реализации 15-Продажи по дням 16-Продажи по категориям 17-Относительные суммы по продажам 18-Расход продуктов по нормам рецептур 19-Список блюд 20-Список рецептов 21-Калькуляции по дням 22-Калькуляции по продажам 23-Список калькуляций по продажам 24-Сводный анализ реализации 25-Продажи блюд


2. Гибкая настойка условий отбора позволяет настроить отчеты:

На конкретную дату или за период

По конкретному складу

По товарной группе или отдельному продукту,

По поставщикам или получателям

Учитывая только те продукты, количественные остатки по которым соответствуют заданному условию

Учитывая только те продукты, суммовые остатки по которым соответствуют заданному условию

3. Отчеты могут экспортироваться в Word, Excel и другие Windows-приложения.

.Система информирует пользователя о несоответствии текущих остатков на складе максимально и минимально допустимому запасу.

Возможности администрирования склада:

Приложение «StoreHouse» Administrator, входящее в состав системы складского учета «StoreHouse», позволяет осуществлять администрирование прав пользователя, то есть разграничивать доступ, используя систему паролей.

Возможности системы по индивидуальной настройке склада
 Система «StoreHouse» позволяет производить ряд настроек в зависимости от индивидуальных пожеланий пользователя, таких как:

Задание способа нумерации документов и продуктов

Закрытие периода (позволяет запретить изменение данных за какой-либо период) Ведение протокола (система хранит данные о всех изменениях в документах с указанием имени пользователя, даты, времени и изменения)

Рис.3.5 Интерфейс «StoreHouse» список накладных.

Таблица 3.10- Анализ программ для автоматизации кафе «Чокколатта» ООО «Камея»

Наименование программы

Где используются

Преимущества

R-keeper

Обслуживание гостей в зале.Расчет гостей (денежные операции)

Оперативность обслуживания гостей Учет продаж Денежные операции (расчет гостей)

1 C бухгалтерия

Бухгалтерия/Расчетный отдел /Отдел кадров

Учет движения всего товарооборота. Систематизированная работа с банками, налоговой службой, расчет с контрагентами. Расчет заработной платы сотрудников, учет движения кадров

StoreHouse

Отдел закупок склады

Учет и контроль движения товара, видимость остатков на складе в любое время, списание ТМЦ


Подведем итоги: все программы которые используются в ООО «Чокколатта» достаточно новые, из вышеуказанной таблице 3.6 видно что для каждого отдела-подразделения предприятия используются разные программы, между ними все эти программы связаны. В процессе работы предприятия электронные программы облегчают весь процесс жизнедеятельности компании.

Так выглядит «R-keeper» находящийся в зале кафе:












Рис.3.6- «R-keeper» находящийся в зале кафе «Чокколатта»

Программа «R-keeper», которая используется в кафе «Чокколатта», в основном для работы в зале, ведется полный учет продаж во всех цехах, списание блюд с товарных остатков, соблюдение правильного списания количества продуктов благодаря привязке к программе калькуляционных карт. Движение денежных средств (расчет посетителей ресторанов),правильный расчет гостей ресторанов согласно правилам торговли и всех нормативах оприходования денежных средств.

Программа 1С предприятие, 1 С бухгалтерия используется для работы бухгалтерии, с помощью этой программы ведется весь учет товарооборота, учет движения все средств активных и пассивных, все отчисления и начисления, операции с банками, работа с поставщиками и другими контрагентами. Также с помощью этой программы ведется учет движения кадров на предприятие и начисление, расчет заработной платы. Программа «StoreHouse» обеспечивают работу отдела закупок и складов.

В работе ресторанов программа R-keeper связана с программой «StoreHouse», благодаря чему делается автоматически списание продуктов проданных блюд. В любое время можно увидеть остатки по всем видам продуктов на разных складах, в разных подразделениях. Также в «StoreHouse» ведеться и списание материальных ценностей, ведется учет основных средств в каждом подразделении в отдельности.

3.3 Правовое обеспечение

Как уже отмечалось работе, конкуренция есть самое эффективное средство достижения целей рыночной экономики и интересов всех членов общества. Когда же предприниматели заключают между собой гласное (или негласное) соглашение о разделе рынка или уровне цены, то потребители вынуждены платить большую цену за товар и сокращать объем потребления. Цены в этом случае становятся искусственно-высокими и не все покупатели могут позволить себе приобретать тот же самый товар в желаемых объемах. Потребители несут экономические убытки от подавления конкуренции. Важно и то, что устранение конкуренции нарушает равновесие спроса и предложения, что приводит к нерациональному использованию и без того ограниченных производственных ресурсов общества.

Чтобы избежать этих негативных явлений, государство вмешивается в рыночные процессы, используя антимонопольное регулирование: административный контроль над монополизированными рынками, организационный механизм и антимонопольное законодательство.

Административный контроль монополизированных рынков объединяет способы воздействия на монополизированное производство. Можно выделить, в частности, финансовые санкции, применяемые в случае нарушения антимонопольного законодательства. Бывают случаи, когда фирма, уличенная в систематическом использовании методов нечестной конкуренции и проигравшая судебный процесс, подвергается прямому расформированию.

Организационный механизм имеет своей целью антимонопольную профилактику путем последовательной либерализации рынков. Не затрагивая монополию как форму производства, способы и методы такой политики государства нацелены на то, чтобы сделать монополистическое поведение для крупного бизнеса невыгодным. Это - снижение таможенных пошлин, отмена количественных квот поддержка малого бизнеса, упрощение процедуры лицензирования, оптимизация производства, продукция которого может конкурировать с товарами монополий, и т. д.

Наиболее эффективной и развитой формой государственного регулирования монопольной власти является антимонопольное законодательство. Его цель - регулирование структуры отрасли через запрещение предполагаемых слияний крупных фирм, если оно ведет к существенному ослаблению конкуренции или установлению монополии. Антимонопольная практика в то же время не отрицает возможности слияния компаний на «горизонтальной» и «вертикальной» основе.

Антимонопольное законодательство представляет собой пакет законов, который выступает как средство поддержания государством баланса между конкуренцией и монополией как средство установления официальных "правил игры" на рынке.

Хотя конкретный характер и содержание антимонопольного законодательства в различных странах имеют свои особенности, можно выделить общие для всех стран основы этого законодательства: охрана и поощрение конкуренции, контроль над фирмами, занимающими господствующее положение на рынке, контроль над ценами, защита интересов потребителей, защита интересов и содействие развитию среднего и мелкого бизнеса.

Современное антимонопольное законодательство имеет два принципиальных направления - контроль за ценами и контроль за слияниями компаний. Антимонопольное законодательство в первую очередь запрещает соглашения по ценам. Незаконным является любой сговор между фирмами в целях установления цен. Законом также преследуется демпинговая практика продаж, когда фирма умышленно устанавливает более низкие цены, с тем чтобы вытеснить из отрасли конкурентов.

Первый в истории России законодательный акт, регламентирующий порядок конкурентного поведения фирм в условиях рыночного хозяйства и содержащий "правила игры" для конкурентов, был принят в марте 1991 г. Это Закон РФ "О конкуренции и ограничении монополистической деятельности на товарных рынках".

Основная особенность этого документа - он содержит перечень запрещаемых видов поведения конкурентов и меры ответственности по отношению к тем, кто все же решил игнорировать данные запреты. Тем самым Закон "О конкуренции..." по своему содержанию и по структуре ближе к традиционному зарубежному экономическому законодательству, исповедующему принцип "все разрешено, что не запрещено", нежели к разрешительному законодательству России начала 90-х гг.

Для реализации антимонопольной политики, поддержки рыночных структур и предпринимательства, государственного регулирования тарифов в сфере естественных монополий, пресечения монополизма на товарных рынках, создания условий для здоровой конкуренции был создан Государственный комитет по антимонопольной политике, имеющий территориальные управления.

Пока уровень развития конкуренции в нашей стране явно недостаточен. Называются несколько причин:

.        Приватизация не привела, как ожидалось, к появлению эффективных собственников, которые заботились бы о развитии предприятия;

.        Принудительная реструктуризация предприятий не была использована должным образом, хотя могла бы облегчить массовое образование новых конкурентоспособных хозяйствующих субъектов;

.        Малый бизнес так и не получил должного развития.

.        Во многих странах именно малый бизнес является естественной основой формирования конкурентной среды, полигоном для испытания технологических и экономических проектов. У него больше возможностей манипулировать капиталом, переключаясь с одного вида деятельности на другой, ниже операционные расходы, у работников выше чувство причастности к делам фирмы и заинтересованность в её успехе.

Даже в условиях повышенного риска малые предприятия охотно берутся за новации.

Для развития малого бизнеса необходимы доступные кредиты и льготное налогообложение, создание лизинговых компаний, технопарков, информационных, консалтинговых и учебно-деловых центров, а также вовлечение малых предприятий в новые сферы деятельности, международные программы сотрудничества. Пока же всё это остаётся благим пожеланием из-за скудности госбюджета, недостатка политической воли у властей, противодействия чиновников, настроенных против рыночных реформ.

Методы антимонопольной политики.

Ограничительные меры. Они предусмотрены законом "О конкуренции" и применяются антимонопольным органом к хозяйствующим субъектам, которые нарушают антимонопольное законодательство. Это запреты на монополистическую деятельность и недобросовестную конкуренцию, на действия органов власти и управления, которые могут неблагоприятно сказаться на развитии конкуренции.

Запреты на монополистическую деятельность подразделяются на запреты, направленные против соглашений, ограничивающих конкуренцию, и запреты на злоупотребление предприятиями своим доминирующим положением. Такие злоупотребления являются наиболее типичными (более 60%) нарушением антимонопольного законодательства.

Закон запрещает устанавливать монопольно высокие или монопольно низкие цены, изымать товар из обращения с тем, чтоб создавать или поддерживать дефицит или повышать цену, навязывать контрагенту условия договора, невыгодные для него или не относящиеся к предмету договора, включать в договор дискриминирующие условия, которые ставят контрагента в неравное положение по сравнению с другими предприятиями, препятствовать выходу на рынок (или уходу с него) другим предприятиям, побуждать контрагента отказываться от заключения договоров с отдельными покупателями (заказчиками), несмотря на то, что есть возможность произвести или поставить нужный товар.

Сейчас в России чаще практикуются монопольно высокие цены, а в странах с развитой конкуренцией - монопольно низкие. Российский монополизм проявляет своё антиконкурентное поведение преимущественно в отношениях с потребителями или поставщиками, а не с конкурентами. Но по мере развития конкуренции повышается вероятность применения монопольно низких цен: мощные многопрофильные компании благодаря перекрёстному субсидированию за счёт прибыльности одних секторов могут занижать цены на продукцию других и тем самым блокировать конкурентов. В этой части особенно необходимо контролировать финансово-промышленные группы.

Отрицательный эффект состоит в том, что монополия, господствуя на рынке и имея большие прибыли благодаря монопольно высокой цене, ограничивает выпуск продукции. Кроме того, в условиях, когда нет конкуренции, монополия теряет стимул для повышения эффективности за счет технического прогресса.

Учитывая это, государство старается противостоять монополизму, поощряя конкуренцию. Важнейшим средством для этого служит антимонопольное законодательство, т.е. пакет законов, который является средством поддержания государством равновесия между конкуренцией и монополией.

4 .ЭКОНОМИЧЕСКАЯ ЧАСТЬ

Основной задачей экономической части является расчет изменения основных финансово-экономических показателей деятельности Кафе, полученных в результате внедрения мероприятий и рекомендаций предложенных в проектной части диплома.

Расчет проводятся по следующим направлениям:

определение эффективности от реализации предложенных мероприятий в проектной части;

укрупненный расчет влияния мероприятий на изменения основных финансово-экономических показателей деятельности Кафе

4.1 Расчет экономической эффективности

Экономическая обоснованность определяется, как правило сопоставлением результата (Р) и затрат (З).

Э = Р-З

Результатом внедрения какого-либо мероприятия в конечном итоге может быть либо прирост прибыли, либо снижение издержек.

Расчет эффективности внедрения системы скидок.

Далее проведем расчет дополнительного дохода Кафе при заключении договоров с новыми компаниями при внедрении новой системы скидок.

Таблица 4.1-Расчет доходности от внедрения мероприятий

Наименование организации

Размер денежных средств руб. истраченных всего в месяц

В т.ч. в Кафе е

Сумма дополнительного дохода (гр. 2-гр.3)

ОАО «Ростинвест»

220000

120000

100000

ООО «ПабликРилизейшн»

300000

150000

150000

ОАО «Пронто»

150000

75000

75000

ООО «Сантон»

150000

110000

40000

ООО «Камерун»

300000

280000

20000

Итого

1120000

735000

385000


Таким образом, кафе получит возможность получения ежемесячного дополнительного дохода в размере 385000 руб.

При этом затраты кафе составят (величина скидок) (таблица 4.2).

Таблица 4.2-Результаты теста, проведенного среди корпоративных клиентов Кафе

Наименование организации

Сумма скидки в соотв. С договором

ОАО «Ростинвест»

11000

ООО «ПабликРилизейшн»

15000

ОАО «Пронто»

7500

ООО «Сантон»

4500

ООО «Камерун»

30000

Итого

68000


Увеличение доходности в результате предоставления скидок составит 68000 руб. ежемесячно. Таким образом, сумма дополнительной прибыли (ежемесячно) составит:

- 68000 = 317000 руб.

Ежегодно = 317000 * 12 мес. = 3804000 руб.

Предоставление скидок частным клиентам по расчетам известных консалтинговых фирм позволяет увеличить доходы кафе в среднем на 12%. Проведем расчет затрат на введение системы скидок частным лицам.

Удельный вес в выручке от услуг, предлагаемых кафе частным лицам, составляет 65%, т.е. по итогам 2010 г. выручка от частных лиц составила: 15656 тыс.руб. * 0,65 =10176,4 тыс.руб.

Средний размер скидки составит 3%.

Увеличение доходности кафе от внедрения системы скидок составит: 10176,4 *0,12 = 1221,2тыс.руб.

Рассчитаем средний размер предлагаемых скидок: ( 2+5+10+3+3+5+10) /7 = 5,4%

Затраты на предоставление скидок частным лицам составят:

,2* 0,054% = 21,12 тыс.руб.

Итого сумма дополнительной прибыли 1221,2-21,12 = 1200,08 тыс.руб.- ежегодно.

Проведение маркетинговых исследований

Данное мероприятие позволит спланировать грамотную ценовую политику кафе.

Ценовая политика является очень важной частью общей стратегии предприятия, так как влияет на величину выручки и прибыли, жизнеспособность предприятия, а также на структуру производства, долю фирмы на рынке. Цена является важным инструментом маркетинга предприятия и действует в тесной взаимосвязи с другими его элементами.

Данный шаг не требует дополнительных затрат и способствует увеличению физических объемов производства и реализации и, в конечном итоге, приросту прибыли.

Таблица 4.3- Расчет дополнительного объема реализации работ, услуг, продукции за счет конкурентного выравнивания цен

Наимено-вание товаров

Величина скидки

Количество единиц (порц.)

Цена единицы продукции руб.

Объем реализации, тыс. руб.

Изм. Объема реал.+, -



До про-вед. мер.

после про- вед. мер.

до провед. Мер (без. скид)

после про-вед. Мер (со скид)

До про-вед. мер.

после про-вед мер.


Салаты Горячие блюда Десерты Напитки

10%  15% 15% 20%

800  6400 1200 7200

950  7500 1500 8400

240  280 120 80

216  238 102 64

192  1792 144 576

205,2  1785 153 537,6

+13,2  -7 +9 -38,4

Итого





2704

2680,8

-23,20

Прибыль на 1 рубль реализации

0,19


Однако, на ценовую политику предприятия влияет множество факторов, таких, как объем товарного рынка, эластичность спроса, затраты и другие факторы. Поэтому размеры снижения и роста цен должны быть обоснованы экономическими расчетами.

Расчёт экономического эффекта от повышения квалификации персонала

Эффективность мероприятий данного направления проявляется в увеличении объема реализации продукции или услуг (объема продаж) и получении дополнительной прибыли.

Можно рассчитать рентабельность рекламирования товаров по формуле:

Таблица 4.4- Исходные данные

Показатели

Единица измерения

Величина показателя

Среднедневной объем выручки до проведения аттестации персонала

руб.

42839

Относительный процент прироста среднедневной выручки

 %

1,03%

Количество дней учета объема выручки

дни

365

Прибыль на один рубль реализации продукции

 руб.

0,19

Затраты на повышение квалификации персонала

 руб.

18660

Дополнительный объем доходов от повышения квалификации персонала составит:

Д = 42839 *360 * 0,07 = 1068202 руб.

Прирост прибыли составит: 1068202 * 0,19 = 202958 руб.

Текущий годовой эффект равен: 202958- 18660 = 184298 руб.

Расчет эффективности ПР-Кампании

Эффективность мероприятий данного направления проявляется в увеличении объема реализации продукции или услуг (объема продаж) и получении дополнительной прибыли.

Можно рассчитать рентабельность рекламирования товаров по формуле:

Таблица 4.5- Исходные данные

Показатели

Единица измерения

Величина показателя

Среднедневной объем выручки до ПР-компании

руб.

42839

Относительный процент прироста среднедневной выручки

 %

1,03%

Количество дней учета объема выручки в ПР-компнаии

 дни

365

Прибыль на один рубль реализации продукции

 руб.

0,19

Затраты на ПР -компанию

 Тыс.руб.

75,4


Дополнительный объем доходов от ПР- кампании составит:

Д = 42839 *0,03 * 360 = 462661 руб.

Прирост прибыли составит: 462661 * 0,19 = 87905 руб.

Текущий годовой эффект равен: 87905 - 75400 = 12505 руб.

Данные расчетов экономической эффективности по повышению конкурентоспособности ООО «Камея» Кафе «Чоколатта» приведены сведем в таблице .

Таблица 4.6- Изменение показателей деятельности ООО «Камея» с учетом разработанных мероприятий

Наименование

Д, тыс.руб.

З, тыс.руб.

Эт, тыс.руб.

Внедрение системы скидок

1221

21,2

1200

Повышение квалификации персонала

1068

202

186

ПР-Кампании

463

88

12,5

Итого

2752

311,2

 1398,5


4.2 Расчет влияния показателей эффективности мероприятий на изменение основных технико-экономических показателей деятельности предприятия

Расчеты в данном подразделе экономической части дипломного проекта производятся в следующей последовательности:

.Определяются суммарные результаты расчетов эффективности мероприятий, т.е. общий прирост выручки, высвобождение численности снижение издержек, увеличение прибыли и др.

2.Рассчитывается объем выручки по проекту (),


где  - базовый объем выручки, т.р.,

- прирост объема выручки по расчетам эффективности мероприятий, т.р.

3.Определяется численность персонала по проекту


где - численность персонала по базовому варианту, чел.,

- высвобождение (-), увеличение (+) численности, чел,

.Рассчитывается проектируемый уровень производительности труде


. Определяется проектируемый фонд заработной платы,

.

где - доля фонда заработной платы в объеме выручки в базовом

периоде.

.Определяется среднегодовая () , среднемесячная() заработная плата.

                          

.Определяется величина расчетной себестоимости продукции (услуг, работ).


.Рассчитывается проектируемая себестоимость продукции (услуг, работ),

,

где  - положительный (-), отрицательный (+) результат расчета эффективности (по тем мероприятиям, где эффект рассчитывался через снижение себестоимости).

9.Определяется сумма прибыли от реализации продукции (услуг) по проект

.Рассчитывается налогооблагаемая прибыль

где -проектируемая прибыль от реализации продукции (работ, услуг),

- прибыль от реализации имущества (если это предусмотрено проектом),

- внереализационные доходы (если они имеются на анализируемом предприятии, или предусматриваются проектом);

-внереализационные расходы (уплата местных налогов: на имущество, на рекламу, на содержание муниципальной милиции, на содержание жилого фонда и объектов социально-культурного назначения).

. Определяется сумма налога на прибыль

где - ставка налога на прибыль.

.Рассчитывается чистая прибыль (средства в распоряжении предприятия)

.Чистая прибыль распределяется в соответствии с учредительными документами предприятия на резервный фонд, на накопление, на потребление.

Таблица 4.8 - Проектируемый конкурентный профиль Кафе «Чоколатта»

№ пп

Показатели

Отклонения







Степень приоритетности



-2

-1

0

1

2


1. Факторы, характеризующие организацию

1.1

Месторасположение



Х



4 степень

1.2

Квалификация работников




Х


7 степень

1.3

Площадь


Х




7 степень

2. Факторы, характеризующие деятельность организации

2.1

 Качество услуг




Х


1 степень

2.2

 Цены


 

Х



2 степень

2.3

Ассортимент услуг




 

Х

3степень

2.4

Качество обслуживания




Х


6степень

2.5

Время работы




Х


6 степень

2.6

Организация процесса производства услуг


Х




6 степень

1. Факторы, характеризующие маркетинговую политику

3.1

Стимулирование сбыта




Х


4 степень

3.2

реклама




Х


5 степень

3.3

Исследование рынка услуг общепита



Х



3 степень


Таким образом , можно сделать вывод, что проектируемые мероприятия позволят повысить конкурентоспособность Кафе «Чоколатта» ООО «Камеся».

Таблица 4.7- Основные финансово-экономические показатели деятельности ООО «Камея» с учетом предложенных мероприятий

Наименование показателей

Единицы измерения

Величина показателя

Проектные данные в % к базовому варианту



Базовый вариант 2010г.

Проектируемый вариант 2011 г.

Абсолютные изменения


Выручка реализации услуг

тыс.руб

15656

18408

2752

117

Численность персонала

чел

17

17

-

-

Прибыль

тыс.руб

1601

4041

2440

252

Объём услуг на одного работающего

тыс.руб

920

1082

2752

117

Фонд заработной платы персонала

тыс.руб

4962

5100

138

104,9

Среднегодовая заработная плата 1 работающего

 тыс.руб

 291,8

 300

 8,2

 102

Себестоимость услуг

тыс.руб

14055

14366,2

311,2

1,02

Затраты на 1 рубль реализации

тыс.руб

0,89

0,78

-0,11

80

Налог на прибыль

тыс.руб

320,2

808,2

488

252,5

Прибыль чистая .В т.ч. Фонд потребления Фон накопления

 тыс.руб

1280,8 320,2  960,6

3232,8  1293,1 1939,7

1952 972,9 979,1

252 403 201,9

Рентабельность продаж

%

10,2

21,9

 +11,7

-

%

11,3

28

+16,7

-

Срок окупаемости проекта

Лет


1 год



Годовой экономический эффект

Т. руб..


1398,5




Анализируя представленные финансово-экономические показатели ООО «Камея» можно сказать, что по сравнению с 2010 годом поднялась выручка на 117%, не на много увеличилась себестоимость 1,02%, в связи с этим увеличилась прибыль на 252% что есть самое главное в работе предприятия, выросла рентабельность на 16,7%. Показатели говорят сами за себя в отчетном году предприятие показало себя как хорошо отлаженный механизм, который идет уверенно к своей поставленной цели, оказание услуг и извлечение из этого прибыли

ЗАКЛЮЧЕНИЕ

Среди движущих сил экономики особую роль играет конкуренция. Конкуренция - экономическая борьба, соперничество между отдельными производителями продукции, работ, услуг за удовлетворение собственных интересов, это движущая сила развития рыночной экономики

Конкурентное положение - позиция, занимаемая предприятием по отношению к конкурентам. Обеспечение превосходства над ними или сохранение положения на рынке (его сегменте) достигается при помощи различных стратегий - использование преимуществ, привлечение внимания потребителей, перехват инициативы. Выбор зависит от интенсивности конкуренции и действий конкурентов, а также от позиции, занимаемой предприятием или компанией на рынке (лидер, следующий за лидером, избегающий конкуренции и др).

Структура ООО «Камея» Кафе «Чоколатта» основана на принципе иерархичности уровней управления, при котором каждый нижестоящий уровень контролируется вышестоящим и подчиняется ему. Осуществляется принцип разделения труда на отдельные функции и специализации работников по выполняемым функциям; принцип формализации и стандартизации деятельности, обеспечивающий однородность выполнения работниками своих обязанностей и скоординированность различных задач.

Доход Кафе от реализации услуг повышается по всем группам производителей. Однако преимущественно услуги оказываются частным дицам, в силу специфики предпритяия общественного питания. На их долю приходится 65,1% доходов в 2009 году и 67,4% - в 2010 году. Удельный вес доходов от корпоративных лиц снижается в 2010 году и составил 32,6%.

На ряду с положительными факторами деятельности организации отмеченными потребителями в ходе анкетного опроса, были выявлены немаловажные упущения предприятия, относящиеся в основном к сфере скорости обслуживания клинетов и ценовой политикик Кафе. Обозначившиеся недостатки самым общим образом можно было бы охарактеризовать как привычку работать «по старинке», пусть и с услугой находящейся на рынке в очень высоким уровнем конкуренции.

Прямые конкуренты оказывают существенное влияние на деятельность Кафе , заставляя изобретать все новые виды предоставляемых товаров высокого качества, для того чтобы Кафе был конкурентоспособным.

Как уже отмечалось, цены в Кафе е устанавливаются в зависимости от цен конкурентов - Кафе того же класса, которых становится все больше и больше в последнее время. Однако основными конкурентами Кафе является: 3 Кафе конкурента: Кафе «Альпийская терраса», Кафе «Шоколадница» и Кафе «Мельница».

В 2010 году объем продаж горячих блюд несколько снизился что повлияло на его удельный вес в общей структуре продаж (27%), при этом возрос удельный вес суши (9%) и завтраков (19%). Супы и пицца также несколько снизились в объеме продаж Кафе (по 6%). Наблюдается также увеличение удельного веса напитков (13%) , продажи кофе и чая остались без изменений.

Первостепенное внимание следует уделить ценовой политике Кафе, уровню обслуживания. Квалификации персонал, ценообразованию в Кафе и рекламе.

Таким образом, Кафе можно предложить следующую программу мероприятий по повышению его конкурентоспособности:

разработка системы скидок;

проведение маркетинговых исследований в с целью выравнивания цен на уровень конкурентов;

повышение квалификации персонала;

разработка ПР-кампании.

Основным предложением по улучшению конкурентного имиджа предприятия является улучшение на нем маркетинговой деятельности в связи, с чем необходимо изучить общественное мнение по отношению к этой деятельности на предприятии, для чего провести анкетирование среди потребителей продукции, как реальных, так и потенциальных.

Предложения по повышению эффективности маркетинговой деятельности ООО «Камея» в данной сфере можно разделить на два направления.

Первое, применение предприятием со своей стороны общественно полезных действий, которые формируют к предприятию устойчивое благоприятное отношение со стороны общества в целом и у покупателей как его представителей, что способствует формированию имиджа предприятия.

Второе, знакомство широкой общественности с деятельностью предприятия, через прессу и в ходе непосредственного знакомства с продукцией предприятия и его производственным процессом.

Оба направления влияют на то, что у общества в целом и у потребителей продукции предприятия как его представителей формируется к предприятию устойчивое благоприятное отношение, что формирует имидж предприятия и способствует его развитию.

По сравнению с 2010 годом увеличится выручка на 117,6 %, не на много увеличилась себестоимость 102,2%, в связи с этим увеличилась прибыль на 187% что есть самое главное в работе предприятия, выросла рентабельность на 2,8%. Показатели говорят сами за себя в отчетном году предприятие показало себя как хорошо отлаженный механизм, который идет уверенно к своей поставленной цели, оказание услуг и извлечение из этого прибыли.

Список литературы

1. Гражданский Кодекс Российской Федерации. Часть 4.- М.:ТК Велби, Изд-во Проспект, 2010.-448с.

. Азар В. И. Экономика ресторанного рынка. - М., 2006.

. Айзенберг М. Менеджмент рекламы. - М., 2003.

. Браймер Р. Основы управления в индустрии гостеприимства. - М., 2009.

. Володоманова Н.Ю., Морозов М.А., Наумов А. Н. Международные стандарты обслуживания для предприятий ресторанно-гостиничной индустрии. - М., 2006.

. Ресторанно-гостиничное хозяйство: Справочное пособие. - М., 2009

. Гостиничный и ресторанский бизнес: Учебник / Под ред. А. Д. Чуднов-ского. - М., 2009.

. ДейянА. Реклама. - М., 2003.

. Дурович А. П. Маркетинг в РГБ: Учеб. пособие. - Минск, 2010.

. Жих Е. М, Панкрухин А. П, Соловьев В. А. Маркетинг: Как завоевать рынок? - М., 2010.

. Джанджуназова Е.А. Маркетинг в индустрии гостеприимства. М. АСАДЕМА. 2009 г. 220 с.

. Классики маркетинга / Сост. Б. М.Энис, К.Т. Кокс. - М.; СПб., 2006.

. Котлер Ф., БоуэнД., МейкензД. Маркетинг: Гостеприимство и туризм: Учебник. - М., 2010.

. Котлер Ф. Основы маркетинга. - М., 2009г.

. Лесник А. Д., Смирнова М. Н. Маркетинг и реклама в гостиничном бизнесе. - М., 2010.

.Лесник А. Л., Смирнова М.Н. Ценовая политика в ресторанно-гостиничном бизнесе. - М., 2010.

. Лесник А. Л., Чернышев А. В. Практика маркетинга в гостиничном и ресторанном бизнесе. - М., 2010.

. Линн ван дер Ваген. Ресторанно - Гостиничный бизнес. - Ростов н/Д, 2009.

. Организация и управление гостиничным бизнесом: Учебник / Под ред. А. Л. Лесника, А.В.Чернышева. - М., 2004.

. Папирян Г. А. Международные экономические отношения: Маркетинг в туризме. - М., 2003.

. Папирян Г. А. Менеджмент в индустрии туризма и гостеприимства, отели и рестораны. - М., 2009.

. Пузакова Е. П., Честникова В. А. Международный туристский бизнес. - М., 2004.

. Савицкая Г.В. Анализ хозяйственной деятельности предприятия: учеб.пособие.- Минск.: Новое знание, 2004, 688с.

Скобкин С. С. Маркетинг и продажи в ресторанно- гостиничном бизнесе. - М. 2006.

Сфера услуг: Проблемы и перспективы развития /Под ред. Ю. П. Свириденко. - М., 2010.

Юркина Н.А. Введение в специальность «Социально-культурный сервис и туризм». - М., 2004.

Гостеприимство: Журнал для специалистов санаторно-курортной отрасли. - СПб., 2004.

Отель: Журнал гостиничного бизнеса и индустрии гостеприимства. - 2006. - № 3, 4; 2006. - № 3; 2010. - № 1, 3, 4, 6.

Пять звезд: Журнал для профессионалов. - 2004 - № 2, 6; 2009. - № 1, 2, 6; 2006. - № 1, 3, 4


Не нашли материал для своей работы?
Поможем написать уникальную работу
Без плагиата!
Без нейросетей!