|
Технологический
период
|
Вариант
|
|
базовый
|
Новый
|
|
Выращивание
ремонтного молодняка
|
17
|
17
|
|
Профилактический
перерыв в птичнике после выращивания
|
3
|
3
|
|
Содержание
ремонтного молодняка в цехе кур-несушек
|
3
|
3
|
|
Содержание
кур в 1-м цикле продуктивности
|
54
|
54
|
|
Принудительная
линька
|
-
|
8
|
|
Содержание
кур во 2-м цикле продуктивности
|
-
|
30
|
|
Профилактический
перерыв в птичнике после содержания кур
|
3
|
3
|
|
Итого
|
80
нед. или 18,7 мес.
|
118
нед. или 27,5 мес.
|
Таким образом, продолжительность цикла в базовом
варианте составила 80 нед. или 18,7 мес, а в новом варианте (продленное
использование кур) - 118 нед. или 27,5 мес. [36, 39,31]
Схема всего технологического процесса
представлена на рисунке 1.
Рисунок 1 - Схема технологического процесса
1.1. Оборудование, обеспечивающее
технологический процесс
Комплекты клеточного оборудования для содержания
родительского стада кур.
Комплекты оборудования ОБН-1 (ОАО
«Йошкар-Олинский ремонтный завод»). В комплект оборудования входят:
бескаркасные одноярусные клетки, набираемые из отдельных секций размером
2,08x2,44 м, по четыре ряда горизонтально расположенных клеток, размером:
300х450х400. Секции клеток собраны в длину с учетом размеров помещения,
образуют клеточную батарею. Между каждыми двумя рядами клеток устанавливают
желобковые поилки, ленточные конвейеры для сбора яиц и цепной кормораздатчик с
замкнутым контуром цепи на две желобковые кормушки. Под клеточной батареей
устанавливают скребковый механизм пометоудаления типа МПС-М или НКЦ.
Техническая характеристика клеточной батареи представлена в таблице 5 [45].
Таблица 5 - Техническая характеристика
|
Показатель
|
ОБН-1
|
|
Размеры
батареи, мм:
|
|
|
длина
(max)
|
84000
|
|
Ширина
|
2188
|
|
Высота
|
930
|
|
Количество
ярусов
|
1
|
|
Размеры
клетки, мм:
|
|
|
Длина
|
300
|
|
Ширина
|
450
|
|
Высота
|
400
|
|
Количество
кур, гол.:
|
|
|
в
клетке
|
W
|
|
в
батарее
|
3360
|
|
Тип
кормораздатчика
|
Цепной
|
|
Система
поения
|
Желобковая
|
|
Тип
пометоудаления
|
Скреперная
|
|
Тип
яйце сборного транспортера
|
Ленточный
|
Инкубаторы.
Инкубатор ИУП-Ф-45 (инкубатор универсальный
предварительный) предназначен для инкубации и вывода всех видов молодняка
сельскохозяйственной птицы.
Техническая характеристика инкубатора ИУП-Ф-45
представлена в таблице 6 [16].
Таблица 6 - Характеристика инкубатора
|
№
п/п
|
Показатель
|
ИУП-Ф-45
|
|
1.
|
Вместимость
инкубатора (яйца кур), шт.
|
до
48000
|
|
2.
|
Размеры
инкубатора, мм: длина ширина высота
|
5250
2600 21
|
|
3.
|
Число
камер в инкубаторе, шт.
|
3
|
|
4.
|
Размеры
дверного проема, мм: ширина высота
|
1465
1765
|
|
5.
|
Число
тележек в камере, шт.
|
Барабан
|
|
6.
|
Размеры
тележек, мм: длина ширина высота
|
-
|
|
7.
|
Число
лотков в камере, шт.
|
104
|
|
8.
|
Размеры
лотка, мм: длина ширина высота
|
685
400 55
|
|
9.
|
Вместимость
лотка, шт.
|
|
10.
|
Масса
пустого лотка, кг
|
1,70
|
|
11.
|
Число
механизмов поворота лотков в камере, шт.
|
1
наЗ камеры
|
|
12.
|
Частота
поворота лотков, ч"1
|
1
|
|
13.
|
Угол
поворота лотков, град.
|
±45
|
|
14
|
Общая
установленная мощность инкубатора, кВт
|
15,6
|
|
15.
|
Мощность
нагревательного элемента, кВт
|
1,0
|
|
16.
|
Число
нагревательных элементов в камере, шт.
|
4
|
|
17.
|
Число
вентиляторов в камере, шт.
|
1
|
|
18.
|
Частота
вращения вентилятора, мин"1
|
300
|
|
19.
|
Диаметр
крыльчатки, мм
|
1490
|
|
20.
|
Число
лопастей крыльчатки, шт.
|
4
|
|
21.
|
Угол
атаки лопастей, град.
|
60
|
|
22.
|
Диапазон
автоматического измерения скорости вращения вентилятора, мин"1
|
|
|
23.
|
Мощность
эл. двигателя привода вентилятора, кВт
|
1,1
|
|
24.
|
Способ
охлаждения
|
Змеевик
|
|
25.
|
Длина
змеевика охлаждения, м
|
16
|
|
26.
|
Диаметр
трубки змеевика, мм
|
12
|
|
27.
|
Температура
подводимой воды, °С
|
не
более 18
|
|
28.
|
Давление
воды в магистрали, Па
|
(0,4...6,0)105
|
|
29.
|
Система
аварийного охлаждения
|
Воздушная
|
|
30.
|
Диаметр
воздушных заслонок, мм
|
160
|
|
31.
|
Максимальная
пропускная способность заслонок, м3/ч
|
160
|
|
32.
|
Способ
увлажнения
|
Распыление
воды вентилятором
|
|
33.
|
Диапазон
измерения и регулирования относительной влажности, %
|
30...90
|
|
34.
|
Дискретность
отображения относительной влажности, %
|
3
|
|
35.
|
Способ
обеспыливания
|
|
|
36.
|
Диапазон
измерения и регулирования температуры, °С
|
36...39
|
|
37.
|
Дискретность
отображения температуры, °С
|
0,1
|
|
38.
|
Напряжение
питания, В
|
380
|
Клеточное оборудование для молодняка птицы.
БКМ-3 батарея с каскадным расположением ярусов,
что создает лучшие условия для наблюдения за птицей, способствует хорошему
воздухообмену и освещению клеток каждого яруса, упрощает систему уборки - помета.
Батарея трехъярусная, имеет 564 клетки размером 900x600x370 мм (длина, глубина,
высота). В каждой клетке при выращивании до 120- 130 дней размещают по 18
цыплят, а всего в батарее находится 10 152 цыпленка. Плотность посадки в
расчете на 1 м2 сетчатого пола клетки составляет 33 головы [45].
КБУ-3 представляет собой механизированную
трехъярусную клеточную батарею этажерочного типа, предназначенную для
беспересадочного выращивания цыплят до 120-130-дневного возраста. Батарея имеет
механизмы для раздачи корма и уборки помета. Поение цыплят осуществляется от
водопроводной сети с помощью ниппельных поилок. Они гигиеничны и экономны по
расходу воды, но в первое время цыплята трудно привыкают к пользованию такими
поилками.
По размерам КБУ-3 имеет ряд модификаций.
Максимальное число клеток в ярусе 48. Длина батареи в этой модификации. 50 м,
ширина во всех модификациях 116 см, высота 180 см. Длина клетки 98 см, глубина
90, высота 40 см.
Технические характеристики клеточных батарей
КБУ-3 и БКМ-3 представлены в таблице 7 [30].
Оборудование для содержания кур-несушек
Для содержания кур-несушек используют клеточные
батареи БКН-3.
БКН-3. Эта батарея имеет каскадное размещение
клеток. В трех ярусах батареи 1104 клетки размером 450X450X425 мм. В каждой
клетке размещают по пять кур, а во всей батарее - 5520 голов. При такой норме
посадки плотность на 1 м2 сетчатого пола составляет 24,7 головы. Общие габариты
клеточной батареи 86,95X1,82X1,85 м.
Таблица 7 - Техническая характеристика батареи
БКМ-3
|
Показатель
|
БКМ-3
|
|
Размер
батареи, мм:
|
|
|
длина
(max)
|
87500
|
|
Ширина
|
1760
|
|
Высота
|
1840
|
|
Количество
ярусов
|
3
|
|
Размер
клетки, мм:
|
|
|
Длина
|
888
|
|
ширина
(глубина)
|
578
|
|
Высота
|
384
|
|
Площадь
клеток в одной батарее, м2
|
290
|
|
Площадь
клеток в птичнике 18? 96 м с колоннами, м2
|
1740
|
|
Тип
кормораздатчика
|
Цепной
|
|
Система
поения
|
Микрочашеечная
|
|
Тип
пометоудаления
|
Скребков.
|
|
Система
для выгрузки птицы
|
Контейнерная
|
Устанавливают такие батареи в птичниках шириной
18 и длиной 96 м, укороченные батареи можно ставить в помещениях длиной 84 и 72
м. Комплекты батарей для птичников шириной 18 м обозначают БКН-3/6, что
означает установку их в шесть рядов. При этом в помещении длиной 96 м
размещается 35280 кур, при длине 82 и 72 м - соответственно 30 240 и 25 220
кур. Комплекты батарей для птичников шириной 12 м обозначают БКН-3/4 (установка
в четыре раза), при указанной длине птичников они вмещают соответственно 23520,
20160, 16800 кур.
Батареи снабжены механизмами для автоматической
раздачи корма, воды, сбора яиц и удаления помета. В один комплект для помещения
шириной 18 м входят: шесть батарей, два бункера для сухих кормов (БСК-10),
транспортер универсальный шнековый (ТУУ-2), транспортер яйцесбора (БКН-3/7-01),
установка для уборки помета (МПС-6М), транспортер, электрооборудование.
Кормят кур из желобковых кормушек. Из
бункера-накопителя корм подается наклонным спиральным транспортером в приемник
горизонтального шнекового транспортера, доставляющего его в бункера клеточных
батарей последовательно по мере заполнения каждого ближе расположенного.
Уровень корма в кормушках регулируется специальными датчиками. Подача воды из
водопроводной сети к ниппельным поилкам осуществляется через индивидуальные
бачки постоянного уровня, установленные с двух сторон на каждом ярусе батареи.
Сбор яиц проводят следующим образом: яйца
скатываются по наклонным поликам на ленточные транспортеры, доставляющие их к
торцу батареи. Ленты этих транспортеров установлены поярусно, что дает
возможность сбор производить раздельно по ярусам. С ленточных транспортеров
первого яруса яйца поступают непосредственно на поперечный транспортер,
расположенный на одном с ним уровне. Яйца с ленточных транспортеров второго и
третьего ярусов передаются на поперечный транспортер с помощью специальных
ленточных элеваторов. Поперечный транспортер подает яйца из всех шести батарей
на участок упаковки в птичнике или на магистральный транспортер, соединяющий
отдельные здания или залы корпусов и передающий яйца непосредственно в цех
сортировки.
Технологическая характеристика клеточной батареи
БКН-3 представлена в таблице 8 [44].
Таблица 8 - Технологическая характеристика
|
Показатель
|
БКН-3
|
|
Размеры
батареи, мм:
|
|
|
длина
(max)
|
87800
|
|
Ширина
|
1840/1560
|
|
Высота
|
1880/1960
|
|
Количество
ярусов
|
3
|
|
Размеры
клетки, мм:
|
|
|
Длина
|
450
|
|
Ширина
|
450
|
|
Высота
|
425
|
|
Количество
кур, гол.:
|
|
|
в
клетке
|
5
v
|
|
в
батарее
|
5880
|
|
Количество
кур в птичнике 18796 м с колоннами, гол.
|
35280
\Х/
|
|
Тип
кормораздатчика
|
Бункерный
|
|
Система
поения
|
Желобковая
|
|
Тип
пометоудаления
|
Скреперная-скребок
|
|
Тип
яйце сборного транспортера
|
Ленточный
|
Также используется одноярусная клеточная батарея
ОБН-1, представленная в разделе 1.1.1 [44].
Клеточная батарея фирмы «Zucami»
1002 секции вертикальной батареи для несушек.
Разделительные стенки, выполненные из первичного
полипропиленового сополимера с отверстиями диаметром 25 мм в соответствии с
Нормативами Европейского Сообщества. Спаянные полики подвергнутые горячему
оцинкованию размером ячейки (38 - 25) толщина метала 2 мм. Оцинкованные опорные
кабели, проходящие под поликом из пружинной стали, диаметр 6 мм. Стальные дверки
с покрытием из ПВХ белого цвета, открытие вверх.
Кормушки, направляющие ленты, отражатели и
стальные направляющие бункера GALVAMIR Z-275. Трубные оцинкованные опоры,
поставленные через каждые 610 мм, диаметр 16 мм. Высота в зависимости от
колмчества ярусов. Ленты яйцесбора шириной 95 мм, щетки для очистки ленты
яйцесбора. Электропастух. Ленты пометоудаления РТХ-L-262. Полная системапоения
(трубы из ПВХ, доступ к трем ниппелям SUPERFLOW 360° на клетку, канал
киплеулавливателя, резервуары воды, столб уровня воды). [16]
6 шт. автоматических конечных механизмов
яйцесбора.
Четыре электродвигателя мощностью 1 л. с. с
регулируемой скоростью яйцесбора и два электрических двигателя мощностью 1,5 л.
с. Системы яйцесбора элеватор. Выключатели (TELEMECANIQUE). Ведущие элементы,
выполненные из оцинкованной стали, ролики сцепления лент, осей, подшипников,
цепей, зубчатых колес и сцеплений.
1 шт. конвеер зуками 60000 яиц в час.
Транспортер выполнен из стали с покрытием из ПВХ
белого цвета. Общая длина 40 м, один поворот 90 градусов с крышкой и две
приводных станции (одна конечная другая промежуточная и 22 м. крышки
транспортера. 1 смазывающее устройство для транспортера.
6 шт. автоматических механизмов пометоудаления.
Электродвигатели мощностью 1,5 л.с. (в
соответствии числом ярусов и длинной). Окрашенный каркас из оцинкованной стали,
валики. Алюминиевые ведущие элементы, противовалы давления, скребки из
нержавеющей стали, система натяжения и выравнивания ленты, зубчатые колеса.
1 двойной транспортер выноса помета из птичника.
Ведущие группы, группы натяжения, подъемники на
высоту 45°, боковые стенки из оцинкованной стали. Лента из прорезиненного
материала шириной 600 мм (прочность 250 кг/см. - емкость 100 кг/м),
промежуточные валики, структура поддержки элеватора и два электродвигателя.
1 электрический шкаф управления яйцесбора в
автоматическом и ручном режиме;
Регулятор скорости лент сбора и контрольный щит
CONVEYOR ZUCAMI
1 электрический шкафы управления выноса помета
из птичника.
Электрические контрольные элементы выноса помет
в конец и из птичника;
6 шт. бункеров кормораздачи.
Двигатели мощностью 0, 75 л. с., шнеки внутри
бункера 80 мм, кормопроводы, кабель электропитания, концевые включатели
(TELEMECANIQUE) дозификаторы кормораздачи;
12 шт. центробежных вентиляторов для очистки
ленты для яиц.
Центробежные вентиляторы среднего давления 0,25
квт. И щетки для очистки ленты яйцесбора;
1 электрический шкаф управления кормораздачи в
автоматическом и ручном режиме.
Часовой таймер кормораздачи, индивидуальное
управление бункерами кормораздачи и система контроля наполнения бункеров
(FLEX-AUGER);
2 шт. кормовой бункер с двумя арками и
лестницей.
Бункер оснащен лестницей и защитным ограждением;
1 шт. шнека доставки корма из бункера 26 м.
Шнек 90 мм. для доставки корма на бункера кормораздачи
батарей (Roxell);
2 тележки для обслуживания верхних ярусов;
механическая уборочная машина;
1 медикатор;
1 сигнальная система отсутствия воды;
1 система микроклимата состоящая из:
12 автоматических жалюзей для приточной
вентиляции;
11 вентиляторов EX 50 мощность (1,5 НР) 42.850
m3/hora;
38 автоматические ставни VEA-140(800x380);
10 потолочных вентилятора EU-56(12.130 м3/час);
2 регулятора открытия форточек R.A.V. 2T 12V;
1 Электрический щит регуляции форточек;
1 Общий электрический щит;
1 Электронная система управления микроклиматом
Сириус;
1 Тревога и громкоговоритель.
Таблица 9 - Техническая характеристика «ZUCAMI»
|
Показатель
|
Параметр
|
|
|
1.
Размеры птичника:
|
|
|
|
длина
|
108
|
|
|
Ширина
|
18
|
|
|
Высота
|
|
|
|
2.
Число батарей и ярусов:
|
|
|
|
число
батарей
|
2
|
4
|
|
|
число
ярусов
|
3
|
4
|
|
|
число
проходов
|
7
|
|
|
ширина
прохода
|
1333
|
|
|
3.
Размеры концевых механизмов и число секций:
|
|
|
|
передний
коридор (мм)
|
1850
|
|
|
задний
коридор (мм)
|
1500
|
|
|
передняя
приводная стойка - яйцесбор (мм)
|
1400
|
|
|
задняя
приводная стойка пометоудаление (мм)
|
1250
|
|
|
поперечный
транспортер выноса помета
|
1500
|
|
|
число
секций на батарею
|
167
|
|
|
Показатель
|
Параметр
|
|
всего
секций
|
1002
|
|
4.
Размеры клетки:
|
|
|
фронтальная
часть (мм)
|
610
|
|
глубина
клетки (мм)
|
550
|
|
высота
в передней части (мм)
|
455
|
|
высота
в глубине клетки (мм)
|
375
|
|
общая
площадь клетки (см2)
|
3355
|
|
5.
Размеры батареи:
|
3
яруса
|
4
яруса
|
|
общая
высота (мм)
|
2286
|
2868
|
|
ширина
батареи (мм)
|
1445
|
1445
|
|
высота
батареи (мм)
|
1916
|
2498
|
|
ширина
бункера кормораздачи (м)
|
2000
|
2000
|
|
6.
Число птицемест на птичник
|
|
|
число
птицы на клетку
|
7
|
|
всего
число птицемест
|
51436
|
|
фронт
кормления (см)
|
8,71
|
|
площадь
на птицу (см2)
|
479
|
|
число
птицы на клетку
|
8
|
|
всего
птицемест
|
58784
|
|
фронт
кормления (см)
|
7,63
|
|
площадь
на птицу (см2)
|
419
|
|
|
|
|
|
1.2 Метрологическое обеспечение
Метрологическое обеспечение подготовки
производства - это комплекс организационно-технических мероприятий,
обеспечивающих определение с требуемой точностью характеристик изделий, узлов,
деталей, материалов, сырья, параметров ТП, оборудования и позволяющих добиться
значительного повышения качества выпускаемой продукции и снижения
непроизводственных затрат на её разработку и производство, таблица 10 [28].
Нормативной базой подготовки производства
являются государственные стандарты, отраслевые стандарты, стандарты
предприятий, производственная документация.
Таблица 10 - Перечень средств измерений
|
№
|
Наименование,
тип
|
Вид
изме-рений
|
Метрологические
характеристики
|
Назначение
(область применения)
|
|
|
|
Класс
точ-ности
|
Предел,
(диапазон) измерений
|
|
|
1
|
Весы
лабораторные ВЛКТ-500-М № 32
|
Масса,
г
|
4
|
0-100
г
|
Взвешивание
|
|
2
|
Весы
лабораторные ВЛКТ-1 кг-1 № 297
|
Масса,
г
|
3
|
0-1000
г
|
Взвешивание
|
Спектрофотометр «СПЕКТРАН ИТ»
Спектрофотометр диффузного отражения
инфракрасный «СПЕКТРАН ИТ», предназначен для измерения коэффициентов диффузного
отражения непрозрачных твердых или сыпучих веществ в ближней инфракрасной
области (1400-2400 нм). Техническая характеристика спектрана представлена в
таблице 11.
Таблица 11 - Технические данные и характеристики
«СПЕКТРАН ИТ»
|
№
|
Технические
характеристики
|
Еденица
измерения
|
Диапазон
измерений
|
|
1.
|
Спектральный
диапазон измерений коэффициентов диффузного отражения.
|
нм
|
1400-2400
|
|
2.
|
Абсолютная
погрешность спектрофотометра при измерении спектральных коэффициентов
диффузного отражения.
|
%,
не более
|
+
5
|
|
3.
|
Абсолютная
погрешность спектрофотометра при установке длин волн.
|
нм,
не более
|
+
5
|
|
4.
|
Предел
допускаемого среднего квадратичного отклонения (СКО) случайной составляющей
абсолютной погрешности спектрофотометра коэффициентов диффузного отражения
|
%,
не более
|
0,5
|
|
5.
|
Предел
допускаемого среднего квадратичного отклонения (СКО) случайной составляющей
абсолютной погрешности спектрофотометра при установке длин волн.
|
нм,
не более
|
1
|
|
6.
|
Объем
анализируемой пробы.
|
см3,
не более
|
20
|
|
7.
|
Время
установления рабочего режима.
|
мин.,
не более
|
20
|
|
8.
|
Масса
спектрофотометра.
|
кг,
не более
|
15
|
|
9.
|
Потребляемая
мощность.
|
ВА,
не более
|
100
|
Средняя
наработка на отказ.
|
ч,
не менее
|
2000
|
1.3 Расчёт случайной погрешности
Закон нормального распределения ошибок при
многократных измерениях
Проведено 50 взвешиваний яйца. Результаты
измерений располагаем в вариционный возрастающий ряд и исключаем одинаковые
размеры.
64,621
64,623
64,625
64,627
64,629
64,631
64,633
64,635
64,637
64,639
64,641
64,643.
Внесем данные в таблицу 12 и
построим гистограмму. Определим величину интервала по оси абсцисс.
Таблица 12 - Исходные данные
|
№
п/п
|
Результат
измерений
|
Количество
измерений одного размера
|
Суммарное
коли-чество измерений
|
|
1
|
64,621
|
1
|
1
|
|
2
|
64,623
|
1
|
2
|
|
3
|
64,625
|
1
|
3
|
|
4
|
64,627
|
2
|
5
|
|
5
|
64,629
|
6
|
11
|
|
6
|
64,631
|
9
|
20
|
|
7
|
64,633
|
13
|
33
|
|
8
|
64,635
|
8
|
41
|
|
9
|
64,637
|
5
|
46
|
|
10
|
64,639
|
2
|
48
|
|
11
|
64,641
|
1
|
49
|
|
12
|
64,643
|
1
|
50
|
Рисунок 2 - Гистограмма нормального
распределения
Рисунок 3 - Кривая Гаусса
Определим критерий Диксона по
формуле:
КД = 
= 
= 0,1034
Определим подкритерий Диксона по
формуле:= 0,17770063 + 
- 
+ 
- 
=
= 0,17770063 + 
- 
+ 
- 
=0,2285
Так как КД
Z, то
результат (хn) не содержит грубой ошибки.
Вычислим среднее арифметическое
значение:
Хср = 
= 64,635
Проведем оценку рассеяния единичных
результатов измерений путем вычисления среднеквадратической погрешности
измерений S.= 
= 
= 5,2143·10-3
Определим доверительные границы
случайной погрешности
при
доверительной вероятности Р = 0,095.
= tc·
,
где tc - коэффициент, определяемый
по таблице Стьюдента (пр
и известных
Р и n).
= 2,262·
= 1,6683·10-3
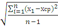
Ответ: 5,2143
10-3
1,6683
10-3
Вывод: 64,635+1,6683
10-3.
Критерий Диксона не содержит грубой ошибки. Таким образом, полученные результаты
соответствуют требованиям ГОСТ Р 52121-2003 «Яйца куриные пищевые. Технические
условия». Средняя масса яйца составляет 64,635 грамм - это первая категория,
так как исходя из указанного выше ГОСТа масса одного яйца первой категории
составляет 55-64,9 грамма.
2. Подтверждение соответствия яйца
Цели подтверждения соответствия
Подтверждение соответствия
осуществляется в целях: - удостоверения соответствия продукции, процессов
производства, эксплуатации, хранения, перевозки, реализации и утилизации, работ,
услуг или иных объектов техническим регламентам, стандартам, условиям
договоров;
содействия приобретателям в
компетентном выборе продукции, работ, услуг;
повышения конкурентоспособности
продукции, работ, услуг на российском и международном рынках;
Принципы подтверждения соответствия
. Подтверждение соответствия
осуществляется на основе принципов:
доступности информации о порядке
осуществления подтверждения соответствия заинтересованным лицам; недопустимости
применения обязательного подтверждения соответствия к объектам, в отношении
которых не установлены требования технических регламентов;
установления перечня форм и схем
обязательного подтверждения соответствия в отношении определенных видов
продукции в соответствующем техническом регламенте;
уменьшения сроков осуществления
обязательного подтверждения соответствия и затрат заявителя;
недопустимости принуждения к
осуществлению добровольного подтверждения соответствия, в том числе в
определенной системе добровольной сертификации;
защиты имущественных интересов
заявителей, соблюдения коммерческой тайны в отношении сведений, полученных при
осуществлении подтверждения соответствия; недопустимости подмены обязательного
подтверждения соответствия добровольной сертификацией. 2. Подтверждение
соответствия разрабатывается и применяется равным образом и в равной мере
независимо от страны и (или) места происхождения продукции, осуществления
процессов производства, эксплуатации, хранения, перевозки, реализации и
утилизации, выполнения работ и оказания услуг, видов или особенностей сделок и
(или) лиц, которые являются изготовителями, исполнителями, продавцами,
приобретателями.
На птицефабрике в настоящее время
действует сертификат соответствия до 09.2010 г и декларация о соответствии срок
действия которой заканчивается в 09.2010 г.
В соответствии с Постановлением
Правительства № 982 от 15.02.10. отменена обязательная сертификация. В связи с
этим предприятию необходимо в этом году получить декларацию о соответствии.
Декларирование соответствия - это
подтверждение качества продукции, сам процесс декларирования соответствия в
принципе не отличается от сертификации, так как декларирование соответствия
включает в себя такие же этапы подтверждения качества продукции: оформление
гигиенического сертификата или санитарно-эпидемиологического заключения
<http://www.rospromtest.ru/content.php?id=7>, проведение лабораторных
сертификационных испытаний, оформление протокола испытаний продукции и затем
оформляется декларация соответствия. Декларирование соответствия в системе ГОСТ
Р - это обязательная процедура подтверждения качества продукции, но как
показывает практика предприниматели, оформившие декларацию соответствия
дополнительно оформляют и добровольный сертификат на тот же вид продукции. И
это не случайно, ведь пока еще крупные торговые сети хотят видеть именно
сертификат и не важно обязательный это сертификат соответствия или добровольный
- это уже вопрос не принципиальный. Декларирование является такой же
обязательно процедурой как сертификация.
Декларация о соответствии <http://www.registrbad.ru/bad/index.php?id=27>
- документ, которым производитель товаров или услуг подтверждает, что
выпускаемая им продукция или предоставляемые услуги соответствуют требованиям
по качеству и безопасности, установленным для данного товара действующими
стандартами и существующим нормативам.
Декларация соответствия имеет срок
действия и регистрационный номер, содержащий код аккредитованного органа по
сертификации и порядковый номер самой декларации.
Для оформления декларации на
основании собственных испытаний, необходим комплект документов, заполненная
форма декларации.
Первым делом предприятие обязательно
должно собрать доказательные материалы, без которых декларация соответствия не
может быть оформлена. К таким документам относятся:
Протоколы контрольных испытаний
продукции (приемочных), проведенных предприятием, приложение 4, 5;
Сертификаты соответствия либо
протоколы испытаний сырья, материалов и комплектующих, приложение 7;
Документы на заявленную продукцию,
установленные существующим законодательством РФ и выданные соответствующими
органами. Например, санитарно-эпидемиологическое заключение, приложение 1, 2,
3;
Другие документы, способные
подтвердить соответствие продукции нормативным требованиям, приложение 6.
Затем заполняется форма декларации
соответствия. Декларация должна содержать:
наименование и адрес производителя;
наименование нормативного документа,
соответствие которому подтверждается в декларации;
протоколы лабораторных испытаний
проведённых предприятием;
срок действия декларации о
соответствии.
Затем заполненный бланк декларации
направляется вместе с заявлением в аккредитованный орган по сертификации. Там
проверяется наличие копий всех необходимых документов, полнота и правильность
предписаний в отношении технических регламентов, наличие данного товара в
номенклатуре продукции, подлежащей сертификации, правомочность предприятия
декларировать соответствие, и анализируется, правильно ли заполнена форма
декларации соответствия, приложение 8.
Продукция, на которую была получена
декларация соответствия, находится под контролем территориальных органов
исполнительной власти РФ в рамках надзора за безопасностью и качеством товаров
или услуг.
2.1 Анализ нормативной документации
Важнейшими путями обеспечения
необходимого уровня качества яиц при их производстве, хранении и использовании
являются систематический контроль и целенаправленное воздействие на условия и
факторы влияющие на это качество [42].
Контроль - первое звено в системе
работ по улучшению качества яиц.
Для осуществления эффективного и
действенного контроля в условиях производства ОАО «Птицефабрика им. Карла
Маркса» использует ряд нормативных документов.
Высокое качество куриных яиц
обеспечивается с помощью высокотехнологичного оборудования.
Качество куриных яиц обеспечивается
в соответствии с ГОСТ 52121-2003 «Яйца куриные пищевые. Технические условия».
Стандарт устанавливает требования к качественным характеристикам яйца:
Состоянию воздушной камеры, положению желтка, плотности и цвету белка. куриные
пищевые яйца в зависимости от сроков хранения и качества подразделяются на два
вида - диетические и столовые. Прочность скорлупы - особо важное товарное
качество пищевых яиц, от которого во многом зависит целостность скорлупы и
сохранение содержимого яйца. Она связана положительно с толщиной, относительной
массой скорлупы, плотностью яиц и отрицательно - с упругой деформацией.
Сортировка яиц позволяет качественную продукцию распределить по весовым
категориям согласно национальному стандарту (ГОСТ Р 52121-2003). Ее проводят
одновременно с маркировкой и последующей упаковкой в потребительскую тару.
Свежие куриные яйца обладают высокой
стабильностью состава, поэтому при оптимальных условиях кормления и содержания
они вполне соответствуют предъявляемым к ним требованиям ГОСТ Р 52121-2003г [23].
Маркировка, упаковка продукции
осуществляется по ГОСТ 52121-2003 и ГОСТ 14192-96 «Маркировка грузов»
Лаборатория предприятия оснащена
оборудованием, позволяющим оперативно проводить высококвалифицированный
ветеринарный уход, вакцинация птицы против особо опасных болезней, полное
отсутствие в рационе птицы антибиотиков, биостимуляторов,
генно-модифицированных организмов и искусственных компонентов, обеспечивают
безопасность и чистоту выпускаемой продукции.
Питание птиц производится в
соответствии с требованиями:
ГОСТ 13634-90 «Кукуруза. Требования
при заготовках и поставках». Стандарт устанавливает требования к качественным
характеристикам кукурузы: влажности зерна, сорной и зерновой примеси,
зараженности вредителями. Кукурузу в зависимости от качества подразделяют на 3
класса: 1 и 2 классов - предназначенную для использования на продовольственные
ели, а кукуруза 3-го класса - на кормовые цели и для выработки комбикормов.
Заготовляемая и поставляемая кукуруза должна быть в здоровом не греющимся
состоянии; иметь характерный здоровому зерну цвет и запах (без затхлого,
солодового, плесневелого, постороннего запахов). Содержание токсичных элементов
микотоксинов и пестицидов в кукурузе не должно превышать допустимые уровни
установленные медико-биологическим требованиями и санитарными нормами
качествами продовольственного сырья и пищевых продуктов Минздрава РФ.
Каждая партия кукурузы должна
сопровождаться сертификатом о содержании токсичных элементов, микотоксинов и
пестицидов (правила приёмки - по ГОСТ 13596.3.
При размещении, транспортировании и
хранении кукурузы учитывают её состояние: сухое, средней сухости, влажное,
сырое [11].
ГОСТ Р 52554 - 2006 «Пшеница.
Технические условия».
Стандарт устанавливает требования к
качественным характеристикам пшеницы: типового состава, состояния, цвета и
запаха, массовой доли белка (в %), массовой доли сырой клейковины (в %), числа
падения (с), стекловидности, натуры (г/л), массовой доли влаги (в %), сорной
примеси, вредной примеси, зерновой примеси и зараженности вредителями.
Пшеница в зависимости от качества
зерна подразделяют на классы: мягкая и твердая.
Содержание токсичных элементов,
микотоксинов, нитрозаминов, бенз(а)пирена, пестицидов, радионуклидов и вредных
примесей в пшенице не должно превышать допустимые уровни, установленные
гигиеническими требованиями безопасности и пищевой ценности пищевых продуктов
(СанПиН 2.3.2. 1078-01), а также ветеринарно-санитарными нормами качества
кормов и кормовых добавок.
Правила приемки осуществляются по
ГОСТ 13586.3 [26].
ГОСТ 16990-88 «Рожь. Требования при
заготовках и поставках». Стандарт устанавливает требования к качественным
характеристикам ржи: влажности, натуры, сорной и зерновой примеси, зараженности
вредителями, запаха и цвета, числа падения.
Рожь, заготовляемая на предприятии,
оснащенном приборами для определения числа падения, и поставляемых с этих
предприятий подразделяют на 4 класса: 1,2,3 (или А) и 4 класса (или В).
Заготовляемая поставляемая рожь
должна быть в здоровом, не греющимся состоянии, иметь цвет, свойственный нормальному
зерну и характерный для данного сорта, а также запах свойственный зерну ржи
(без затхлого, солодового, плесневого и без посторонних запахов).
Содержание токсичных элементов,
микотоксинов, N-нитрозаминов и пестицидов во ржи не должно превышать допустимые
уровни, установленные медико-биологическими требованиями и санитарными нормами
и качество продовольственного сырья и пищевых продуктов.
Правила приемки осуществляются по
ГОСТ 13586.3 [13].
ГОСТ 28672 - 90 «Ячмень. Требования
при заготовках и поставках». Стандарт устанавливает требования к качественным
характеристикам ячменя: цвета, влажности, натуры, зерновой и сорной примеси,
мелких зерен, зараженности вредителями и способности прорастания.
В зависимости от качества ячмень
подразделяют на два класса: первый - предназначен для использования на
продовольственные цели и второй класс - для выработки солода в спиртовом
производстве, комбикормов и на кормовые цели.
Заготовляемый поставляемый ячмень
должен быть в здоровом, не греющимся состоянии, иметь цвет, свойственный
нормальному зерну и характерный для данного сорта, а также запах свойственный
зерну ячменя (без затхлого, солодового, плесневого и без посторонних запахов).
Потемневшем считают ячмень,
потерявший свой естественный цвет или имеющий потемневшие концы.
Содержание токсичных элементов
микотоксинов и пестицидов в ячмене установленные медико-биологическими
требованиями и санитарными нормами и качество продовольственного сырья и
пищевых продуктов.
Правила приемки осуществляются по
ГОСТ 13586.3 [10].
Каждая партия ячменя должна
сопровождаться сертификатом на содержании токсичных элементов, микотоксинов и
пестицидов.
При размещении, транспортировании и
хранении ячменя учитывают её состояние: сухое, средней сухости, влажное, сырое
[18].
ГОСТ 28673 - 90 «Овес. Требования
при заготовках и поставках»
Стандарт устанавливает требования к
качественным характеристикам овса: типового состава, запаха и цвета, влажности,
натуры зерна, сорной и зерновой примеси, мелких зерен, пленчатости.
Овес в зависимости от качества
подразделяется на 4 класса: 1,2,3 класс - предназначен для использования на
продовольственные цели, а 4 класс - на кормовые цели и для выработки
комбикормов.
Заготовляемый поставляемый овес
должен быть в здоровом, не греющимся состоянии, иметь цвет, свойственный
нормальному зерну и характерный для данного сорта, а также запах свойственный
зерну овса (без затхлого, солодового, плесневого и без посторонних запахов).
Допускается потемневший овес в 4-ом
классе заготовляемого зерна и в зерне, поставляемым на кормовые цели и для
выработки комбикормов.
Содержание токсичных элементов,
микотоксинов, N-нитрозаминов и пестицидов в овсе не должно превышать допустимые
уровни, установленные медико-биологическими требованиями и санитарными нормами
и качество продовольственного сырья и пищевых продуктов.
Правила приемки осуществляются по
ГОСТ 13586.3.
Каждая партия овес должна
сопровождаться сертификатом на содержании токсичных элементов, микотоксинов и
пестицидов.
При размещении, транспортировании и
хранении овса учитывают её состояние: сухое, средней сухости, влажное, сырое
[19].
ГОСТ 22983 - 88 «Просо. Требования
при заготовках и поставках».
Стандарт устанавливает требования к
качественным характеристикам проса: запаха и цвета, влажности, сорной, зерновой
примеси и крупности, типового состава, способности прорастания, пленчатости,
зараженности вредителями хлебных запасов.
Просо в зависимости от качества
подразделяют на 3 класса: 1 и 2 класс используют для продовольственных целей, 3
класс используют для переработки на комбикорма и кормовые цели.
В зависимости от окраски цветковых
пленок просо подразделяют на типы: I - белая и кремовая, II - от светло-красной
до темно-красной и коричневой и III - от золотисто желтой до темно- и
серовато-желтой.
В каждом типе допускается примесь
проса других типов не более 10%.
Просо, не соответствующее
требованиям по примеси других типов, определяют как «смесь типов» с указанием
состава в %.
Заготовляемый поставляемый просо
должен быть в здоровом, не греющимся состоянии, иметь цвет, свойственный
нормальному зерну и характерный для данного сорта, а также запах свойственный
зерну просо (без затхлого, солодового, плесневого и без посторонних запахов).
Содержание токсичных элементов,
микотоксинов и пестицидов в просе не должно превышать допустимые уровни,
установленные медико-биологическими требованиями и санитарными нормами и
качество продовольственного сырья и пищевых продуктов.
В просе заготовляемом 3-го класса и
в поставляемом для переработки на комбикорма и на кормовые цели к основному зерну
относят также зерна проса серой, темно-коричневой, черной окраской цветковых
пленок, зерна и семена других культурных растений не отнесенные согласно
стандартам на эти культуры по характеру повреждений к сорной и зерновой
примесям.
Правила приемки осуществляются по
ГОСТ 13586.3.
Просо 3-го класса с наличием
испорченных зерен свыше 1,0%, а также с наличием головневых зерен должно
сопровождаться заключением органов ветеринарной службы о возможности его
использования и на кормовые цели с указанием, на какие виды комбикормов и в
каком соотношении.
При размещении, транспортировании и
хранении овса учитывают её состояние:
по влажности: сухое, средней
сухости, влажное, сырое;
по засоренности: чистое, средней
чистоты, сорное [15].
ГОСТ 12220-96 «Шрот соевый кормовой
тостированный. Технические условия»
Стандарт устанавливает требования к
качественным характеристикам соевого шрота: цвета (от светло-желтого до
светло-коричневого), запаха (свойственного соевому шроту без посторонних
запахов), массовой доли влаги и летучих веществ, массовой доли золы, активности
уреазы, микотоксинов, мг/кг (афлатоксина В1, Т-2 токсина, веаралеиона),
токсичных элементов, мг/кг (свинца, кадмия, ртути), нитратов, мг/кг,
посторонним примесям (камешки, стекло, земля), массовой доли остаточного
количества растворителя, % (бензина), массовой доли металопримесей, %,
зараженности вредителями или наличия следов заражения. Допускаются изготовлять
не гранулированный кормовой соевый шрот с массовой долей влаги и летучих
веществ до 12%.
Для выработки соевого шрота должны
использоваться семена сои по ГОСТ 17109.
Соевый шрот упаковывают в чистые
сухие мешки по ГОСТ 2226 массой нетто 30 кг или отгружают без тары (насыпью).
Транспортная маркировка
осуществляется по ГОСТ 14192 с нанесением манипуляционного знака или надписи
«беречь от влаги» и следующих дополнительных обозначений характеризующих
продукцию:
товарного знака или наименование
предприятия-изготовителя и его места нахождения;
наименование продукта;
номера партии или даты выработки;
массы нетто;
даты отгрузки;
обозначение настоящего стандарта;
номера и даты выдачи сертификата
соответствия или реквизиты заявления-деклорации;
- наименование органа по
сертификации,
При отгрузке шрота насыпью,
характеризующего продукцию указываются в сопроводительной документации.
Правила приемки осуществляются по
ГОСТ 13979.0
Соевый шрот транспортируют всеми
видами транспорта в соответствии с правилами перевозок грузов, действующими на
транспорте данного вида. Все виды транспортных средств должны быть чистыми,
сухими, продезинфицированными.
Соевый шрот перед хранением и
отгрузкой должен охладиться в зимние месяцы до температуры на выше плюс 35 оС.
В летние месяцы температура шрота должна быть не более чем на 5 оС выше
температуры окружающего воздуха.
Хранят шрот насыпью или в мешках,
вложенных в штабеля, в чистых, сухих помещениях, не зараженных вредителями
хлебных запасов, хорошо проветриваемых или оборудованных приточно-вытяжной
вентиляцией, защищенных от воздействия прямого солнечного света и источников
тепла, при хранении насыпью - переодическим внутрискладским перемещением [9].
ГОСТ 11246 - 96 «Шрот подсолнечный.
Технические условия»
Стандарт устанавливает требования к
качественным характеристикам подсолнечного шрота: цвета (серого различных
оттенков), запаха (свойственного подсолнечному шроту, без посторонних запахов),
массовая доля влаги и летучих веществ, массовая доля золы, массовая
металлопримесей, микотоксинов (зеараленона, Т-2 токсина, дезаксиваленола),
токсичных элементов (ртути, кадмия, свинца), массовой доли остаточного
количества растворителя (бензина), посторонних примесей (камешки, стекло,
земля), зараженности вредителями или наличия следов заражения (нитратов,
нитритов), пестицидов.
Для выработки подсолнечного шрота
должны использоваться семена подсолнечника по ГОСТ 22391.
Подсолнечный шрот упаковывают в
чистые сухие мешки по ГОСТ 2226 массой нетто 30 кг или отгружают без тары
(насыпью) [7].
Транспортная маркировка
осуществляется по ГОСТ 14192 с нанесением манипуляционного знака или надписи
«беречь от влаги» и следующих дополнительных обозначений характеризующих
продукцию:
товарного знака или наименование
предприятия-изготовителя и его места нахождения;
наименование продукта;
номера партии или даты выработки;
массы нетто;
даты отгрузки;
обозначение настоящего стандарта;
номера и даты выдачи сертификата
соответствия или реквизиты заявления-деклорации;
- наименование органа по
сертификации,
При отгрузке шрота насыпью,
характеризующего продукцию указываются в сопроводительной документации.
Правила приемки осуществляются по
ГОСТ 13979.0
Подсолнечный шрот транспортируют
всеми видами транспорта в соответствии с правилами перевозок грузов,
действующими на транспорте данного вида. Все виды транспортных средств должны
быть чистыми, сухими, продезинфицированными.
Подсолнечный шрот перед хранением и
отгрузкой должен охладиться в зимние месяцы до температуры на выше плюс 35 оС.
В летние месяцы температура шрота должна быть не более чем на 5 оС выше
температуры окружающего воздуха.
Хранят шрот насыпью или в мешках,
вложенных в штабеля, в чистых, сухих помещениях, не зараженных вредителями
хлебных запасов, хорошо проветриваемых или оборудованных приточно-вытяжной
вентиляцией, защищенных от воздействия прямого солнечного света и источников
тепла, при хранении насыпью - периодическим внутрискладским перемещением.
Срок хранения подсолнечного шрота -
3 месяца [8].
ГОСТ 28674 - 90 «Горох. Требования
при заготовках и поставках»
Стандарт устанавливает требования к
качественным характеристикам гороха: влажности, сорной и зерновой примеси,
зараженность вредителями, типового состава.
В зависимости от назначения, а также
цвета семян подразделяют на типы и подтипы: I тип - продовольственный 1 подтип
(желтый разных оттенков); I тип - продовольственный 2 подтип (зеленый разных
оттенков); II тип - кормовой (однотонный буро-зеленый, бурый, коричневый,
фиолетовый, черный или пятнистый - с мраморным и точечным рисунком).
Заготовляемый поставляемый горох
должен быть в здоровом, не греющимся состоянии, иметь цвет, свойственный
нормальному зерну и характерный для данного сорта, а также запах свойственный
зерну гороха (без затхлого, солодового, плесневого и без посторонних запахов).
Содержание токсичных элементов,
микотоксинов и пестицидов в горохе не должно превышать допустимые уровни,
установленные медико-биологическими требованиями и санитарными нормами и
качество продовольственного сырья и пищевых продуктов.
Правила приемки осуществляются по
ГОСТ 13586.3.
Каждая партия гороха должна
сопровождаться сертификатом на содержании токсичных элементов, микотоксинов и
пестицидов.
При размещении, транспортировании и
хранении овса учитывают её состояние: сухое, средней сухости, влажное, сырое
[20].
ГОСТ 8758 - 76 «Нут. Требования при
заготовках и поставках»
Стандарт устанавливает требования к
качественным характеристикам нута: запаха, цвета, влажности, зараженности
вредителями, сорной и зерновой примеси, типового состава, токсичных элементов.
В зависимости от назначения и цвета
семян нут подразделяют на типы: продовольственный и кормовой.
Заготовляемый поставляемый нут
должен быть в здоровом, не греющимся состоянии, иметь цвет, свойственный
нормальному зерну и характерный для данного сорта, а также запах свойственный
зерну нута (без затхлого, солодового, плесневого и без посторонних запахов).
Правила приемки осуществляются по
ГОСТ 13586.3.
Контроль содержания токсичных
элементов, микотоксинов и пестицидов осуществляется в соответствии с порядком,
установленном производителем продукции по согласованию с органами
государственного санитарного надзора и гарантирующим безопасность продукции.
При размещении, транспортировании и
хранении нута учитывают её состояние:
по влажности: сухое, средней
сухости, влажное, сырое;
по засоренности: чистое, средней
чистоты, сорное [6].
ГОСТ 2116 - 2000 «Мука кормовая из
рыбы, морских млекопитающих, ракообразных и беспозвоночных. Технические
условия»
Стандарт устанавливает требования к
качественным характеристикам кормовой муки: внешнего вида (рассыпной,
гранулированный), запаха, крупности помола, массовой доли влаги, массовой доли
жира, массовой доли сырого протеина, массовой доли фосфора, массовой доли
хлористого натрия, массовой доли кальция, металломагнитной примеси, наличие
посторонних примесей, массовой доли золы, потогенной микрофлоры, кислотного
числа, пестицидам (ГХСГ, ДДТ и его метаболиты), токсичным элементам (свинцу,
кадмию, ртути, меди, цинку, мышьяку).
Содержание радионулидов (цезия -
134, цезий - 137 и стронция - 90) в кормовой муке не должно превышать
допустимые уровни, установленные на территории не зависимых государств.
Тару с продукцией маркируют по ГОСТ
7630 [5].
Кормовую муку упаковывают в
полипропиленовые новые или бывшие в употреблении мешки массой продукта 40 кг.
Правила приемки осуществляются по
ГОСТ 7631.
Контроль за содержанием токсичных
элементов (радионуклидов, пестицидов и потогенной микрофлоры проводится в
соответствии с порядком установленном производителем продукции по согласованию
с органами государственного ветеринарного надзора.
Муку хранят в мешках, сложенных в
штабеля и в других видах тары раздельно по наименованиям и видам упаковки, в
хорошо вентилируемых помещениях не зараженных вредителями. Мешки с мукой должны
быть защищены от воздействия прямых солнечных лучей, источников тепла и влаги.
Срок годности муки не более 12 месяцев [4].
ГОСТ 17536 - 82 «Мука кормовая
животного происхождения. Технические условия»
Стандарт устанавливает требования к
качественным характеристикам кормовой муки: внешнего вида, запаха, крупности
помола, остатка частиц, массовой доли посторонних примесей, массовой доли
влаги, массовой доли протеина, массовой доли жира, массовой доли золы, массовой
доли клетчатки, наличие потогенной микрофлоры, токсичности и массовой доли
антиокислителей к массе жира в муке.
Кормовую муку животного
происхождения вырабатывают в рассыпном и гранулированном виде по
технологическим инструкциям с соблюдением санитарных и ветеринарно - санитарных
правил.
В зависимости от состава сырья
кормовую муку животного происхождения подразделяют на следующие виды и сорта:
мясокостную, мясную, кровяную, костную и из гидролизированного пера. В
зависимости от качества мясокостную муку подразделяют на три сорта: первый
второй и третий.
Для изготовления кормовой муки
животного происхождения используют ветеринарные конфискаты, не пищевое и
малоценное в пищевом отношении сырье, получаемое при переработки всех видов
убойного скота, птицы, кроликов и при производстве пищевой, технической и
специальной продукции на мясокомбинатах, птицекомбинатах, мясоперерабатывающих
и костеперерабатывающих заводах, птицефабриках и фабриках перопуховых изделий,
а также трупы скота и птицы, допущенные ветеринарно-санитарным надзором для
переработки на кормовую муку животного происхождения.
Кормовую муку животного
происхождения упаковывают в новые бумажные трех- и четырехслойные мешки по ГОСТ
2226 или бывшие в употреблении, в плотные, прочные, чистые продезинфицированные
тканевые мешки. Мешки должны быть зашиты или завязаны, или закрыты каким-либо
другим способом.
Масса одного мешка с кормовой мукой
животного происхождения не должна превышать 50 кг [14].
ГОСТ 26826 - 86 «Мука известняковая
для производства комбикормов для сельскохозяйственных животных и птицы и для
подкормки птицы. Технические условия»
Стандарт устанавливает требования к
качественным характеристикам муки известняковой: массовой доли кальция,
массовой доли нерастворимого в НСl остатка, массовой доли не вредных примесей
(окиси железа, алюминия и др.), массовой доли ядовитых примесей (фтора,
мышьяка, винца), массовой доли металломагнитных примесей, металлических частиц
с острыми краями, массовой доли влаги и гранулометрического состава.
Известняковую муку принимают
партиями. Партией считают количество продукта, выработанные в течение суток,
однородного по показателям качества и сопровождаемого одним документом о
качестве.
Документ о качестве должен
содержать:
наименование
предприятия-изготовителя и его товарный знак;
наименование продукта и сорт;
номер партии и дат изготовления;
результаты проведенных анализов;
обозначение настоящего стандарта.
Массовую долю ядовитых примесей -
фтора, мышьяка и свинца, определяют при утверждении запасов сырья целевым
назначениям для производства комбикормов и подкормки птицы.
Известняковую муку хранят в закрытых
складских помещениях, исключающих попадание атмосферных осадков и засорение
продукта [17].
ГОСТ Р 51851-2001 «Комбикорма для
сельскохозяйственной птицы. Номенклатура показателей»
Стандарт устанавливает требования к
качественным характеристикам комбикорма: массовой доли сырого протеина, лизина,
метионина и цыстина, массовой доли сырого жира, массовой доли сырой клетчатки,
массовой доли кальция, массовой доли фосфора, массовой доли натрия и хлорида
натрия, массовой доли влаги, массовой доли сахара и крахмала, внешнего вида и
цвета, запаха и зараженности вредителями, крупности рассыпного комбикорма и
крупки, размера гранул, металломагнитной примеси, золы, токсичности, остаточных
количеств пестицидов, микотоксинов (Т-2 токсина, зеараленона и охратоксина А),
дезоксиниваленола (вомитоксина), свинца и кадмия, ртути, общий
бакобсемененности и патогенной микрофлоры, афлотоксина В1, патулина,
перекисного числа, нитратов и нитритов.
Комбикорма для сельскохозяйственной
птицы вырабатывают в рассыпном, гранулированном виде, а также в виде крупки по
рецептам изготовителя рассчитанном в соответствии с нормами кормления, или по
заявкам заказчика.
Правила приемки осуществляются по
ГОСТ Р 51850 и ГОСТ Р 51849 [22].
ГОСТ Р 52356-2005 «Премиксы.
Номенклатура показателей»
Стандарт устанавливает требования к
качественным характеристикам премикса: внешнего вида и цвета, запаха и
зараженности вредителями, крупности, влаги, витамина (А, В1, В2, В4, В5, Д, Е,
К3), массовой доли микроэлементов (марганца, железа, меди, цинка, кобальта и
патогенной микрофлоры).
Премиксы вырабатывают по рецептам
изготовителя, рассчитанным в соответствии с нормами ввода биологически активных
веществ в корма для конкретного вида и возраста животных, птицы, рыб,
утвержденными министерством сельского хозяйства РФ или по заявкам заказчика.
Правила приемки осуществляются по
ГОСТ Р 51849 и ГОСТ Р 51850 [24].
ГОСТ Р 52528 - 2006 «Концентраты
белково-витаминно-минеральные и амидо-витаминно-минеральные. Номенклатура
показателей»
Стандарт устанавливает требования к
качественным характеристикам БВМК и АБМК: обменной характеристикам, массовой
доли сырого протеина, массовой доли лизина, массовой доли метионина и цистита,
массовой доли сырого жира, массовой доли сырой клетчатки, массовой доли
кальция, массовой доли фосфора, массовой доли натрия, массовой доли поваренной
соли, массовой доли влаги, витаминов (А, Д3, Е, К, группы В, Н, С),
микроэлементов (марганца, цинка, железа, меди, кобальта, йода, селена),
внешнего вида, цвета и запаха.
БВМК и АБМК вырабатывают в рассыпном
виде по рецептам изготовителя рассчитанном в соответствии с нормами кормления
сельскохозяйственных животных, или по заявкам заказчика.
Правила приемки осуществляются по
ГОСТ Р 51849 и ГОСТ Р 51850 [25].
ГОСТ Р 52812 - 2007 «Смеси кормовые.
Технические условия»
Стандарт устанавливает требования к
качественным характеристикам кормовых смесей: внешнего вида и цвета, размера
гранул, крошимости гранулированных смесей, запаха и зараженностями вредителями,
обменной энергии, массовой доли влаги, массовой доли сырого протеина,
металломагнитной примеси, золы, остаточных количеств пестицидов,
дезоксиниваленола (вомитоксина), микотоксинов (Т-2 токсина, зеараленона и
охратоксина А), патулина, патогенной микрофлоры, токсичных элементов (свинца,
кадмия, ртути, мышьяка), афлатоксина В1, нитратов и нитритов, общей
токсичности.
Кормовые смеси вырабатывают в
рассыпном и гранулированном виде. Крошимость гранулированных кормовых смесей
должна быть не более 22%.
Для выработки кормовых смесей по
рецептурам следует применять: рожь по ГОСТ 16990, пшеницу по ГОСТ Р 52554,
просо по ГОСТ 22983, ячмень по ГОСТ 28672, овес по ГОСТ 28673, горох по ГОСТ
28674, кукурузу по ГОСТ 13634, мел по ГОСТ 17498, диаммони фосфат по ГОСТ
19651, кальция фосфат по ГОСТ 23999, соль поваренную по ГОСТ Р 51574, шрот
подсолнечный по ГОСТ 11246, мелассу по ГОСТ Р 52304, отходы и побочные продукты
в крупяных мукомольных и хлебоприемных предприятий.
Маркирование продукта в
потребительской таре должно содержать следующую информацию:
наименование продукции, обозначение
настоящего стандарта;
массовые доли влаги, сырого
протеина, золы, не растворимой в соляной кислоте;
перечень компонентов, входящих в
рецептуру;
наименование изготовителя, его адрес
и товарный знак;
дата изготовления;
срок хранения;
масса нетто;
знак соответствия;
манипуляционный знак или надпись
«беречь от влаги».
Правила приемки кормовых смесей
осуществляется по ГОСТ Р 51850 [27].
Для предупреждения обсеменения яиц
микроорганизмами с загрязненной скорлупой необходимо строго выполнять правила
их сбора, хранения и предусмотренные технологией санитарно-гигиенические
требования: брать яйца чистыми руками за тупой и острый концы большим и
указательным пальцами, целые чистые яйца укладывать отдельно от загрязненных и
надтреснутых, собирать яйца в специальную чистую тару и др.
По показателям безопасности и
пищевой ценности яйца куриные должны соответствовать СанПиН 2.3.2. 1078-01
«Гигиенические требования безопасности и пищевой ценности пищевых продуктов».
Для яиц установлены показатели
токсичных элементов, допустимые уровни мг/кг (Приложение 8). Мясо птиц не
должно содержать антибиотики, также установлены предельные значения пестицидов,
радионуклеидов.
Для удаления микроорганизмов с
загрязненной поверхности скорлупы небольших партий яиц применяют моющие и
дезинфицирующие препараты, а при массовой обработке яиц их дезинфицируют парами
формальдегида, йода, хлора.
Источником микробного обсеменения
яйцепродуктов кроме самого яйца могут быть также инвентарь, посуда,
оборудование, руки и спецодежда рабочих, воздух производственных помещений и
др. При тщательном соблюдении санитарно-гигиенического режима производства,
эффективной мойке и дезинфекции яиц микробная обсемененность яйцепродуктов
может быть значительно снижена.
На предприятии действует ряд
инструкций по проведению мойки и дезинфекции оборудования, помещений, посуды.
Действуют правила личной гигиены.
Микробиологическое исследование яиц
и яйцепродуктов проводят в соответствии с МРТУ 49/39-67 и ГОСТ 2858-69,
приложение 9. При исследовании определяют титр кишечной палочки, наличие
бактерий родов сальмонелла и протеус. В отдельных случаях устанавливают наличие
других бактерий, содержание аэробных и факультативно-анаэробных бактерий в 1 г,
а также содержание плесневых грибов.
3. Обзор главных факторов
энергосбережения по птицефабрике
.1 Внедрение системы автоматического
контроля расхода электроэнергии
В мае 2007 года в ОАО «Птицефабрика
имени Карла Маркса» была введена в эксплуатацию система автоматизированных
информационно-измерительных систем контроля и учета энергоресурсов АИИСКУЭ,
построенная на базе комплекса технических средств КТС "Энергия+", которая
осуществляет коммерческий и технический учет расхода энергоносителей.
Краткая характеристика:
. КТС "Энергия+" оснащена
системой обеспечения единого времени (СОЕВ) с целью привязки данных к
астрономическому времени.
. КТС "Энергия+"
обеспечивает автоматическое измерение приращивания активной и реактивной
электроэнергии и средне-интервальной мощности по интервалам времени 15 сек., 30
мин., 60 мин., 1 сутки, 1 месяц.
. КТС "Энергия+"
обеспечивает измерение электрической энергии и мощности по п х 512 каналам
учета (п 1,2…20), объединение канальной информации в К х 256 групп (к =
1,2…10), вычисление по каналам и группам различных параметров и их
представление в виде таблиц, графиков, выход на видеомонитор, магнитные
носители и печатающие устройства специализированного вычислительного комплекса
(СВК), который установлен в центре автоматизированных
информационно-измерительных систем АИИС предприятия.
. КТС "Энергия+"
обеспечивает автоматический учет потерь электроэнергии от точки измерения до
точки учета, а также холостой ход транспортных подстанций.
Базовое программное обеспечение -
БПО комплекса технических средств КТС "Энергия+" версии 6.2
предназначено для работы в составе автоматизированных систем контроля и учета
энергоресурсов (АСКУЭ), автоматизированных информационно-измерительных систем
(АИИС) энергоресурсов всех видов, построенных на базе КТС "Энергия+".
КТС "Энергия+" является развитием технической линии "ИИСЭ"
- КТС "Энергия" и поддерживает технические средства (устройство базы
данных УСД и преобразователи) ранее выпущенных комплексов, обеспечивая тем
самым их преемственность [46].
БПО КТС "Энергия+" версии
6.2 работает под управлением операционных систем семейства Microsoft Windows
2000 / ХР / 2003. Для хранения информации используются системы управления
реляционными базами данных Microsoft SQL Server 2005 / 2000 / 7.0. Для
публикации данных БПО по WEB-технологии используется WEB-сервер - Microsoft
Internet Information Server (IIS). Использование WEB-сервера и SQL-сервера
позволяет легко интегрировать АИИС на базе КТС "Энергия+" в различные
автоматизированные системы управления (АСУ) предприятия. Далее рассмотрены:
Описание общих вопросов
функционирования БПО.
Структура программного обеспечения.
Состав программного обеспечения.
Виды документов БПО
Порядок обработки информации.
Порядок хранения информации.
Порядок доступа к данным.
Порядок счета времени.
3.2 Технологический фактор
курица выращивание
клеточный оборудование
Комплекты оборудования ОБН-1. В
комплект оборудования входят: бескаркасные одноярусные клетки, набираемые из
отдельных секций размером 2,08x2,44 м, по четыре ряда горизонтально
расположенных клеток, размером: 300х450х400. Секции клеток собраны в длину с
учетом размеров помещения, образуют клеточную батарею. Между каждыми двумя
рядами клеток устанавливают желобковые поилки, ленточные конвейеры для сбора
яиц и цепной кормораздатчик с замкнутым контуром цепи на две желобковые
кормушки. Под клеточной батареей устанавливают скребковый механизм
пометоудаления типа МПС-М или НКЦ.
БКМ-3 батарея с каскадным
расположением ярусов, что создает лучшие условия для наблюдения за птицей,
способствует хорошему воздухообмену и освещению клеток каждого яруса, упрощает
систему уборки - помета.
КБУ-3. Батарея имеет механизмы для
раздачи корма и уборки помета. Поение цыплят осуществляется от водопроводной
сети с помощью ниппельных поилок. Они гигиеничны и экономны по расходу воды, но
в первое время цыплята трудно привыкают к пользованию такими поилками. В
некоторых хозяйствах имеются четырехъярусные батареи этой конструкции,
выпускавшиеся в начале организации их производства промышленностью.
БКН-3. Эта батарея имеет каскадное
размещение клеток. Батареи снабжены механизмами для автоматической раздачи
корма, воды, сбора яиц и удаления помета. В один комплект для помещения шириной
18 м входят: шесть батарей, два бункера для сухих кормов (БСК-10), транспортер
универсальный шнековый (ТУУ-2), транспортер яйцесбора (БКН-3/7-01), установка
для уборки помета (МПС-6М), транспортер, электрооборудование [45].
Кормят кур из желобковых кормушек.
Из бункера-накопителя корм подается наклонным спиральным транспортером в
приемник горизонтального шнекового транспортера, доставляющего его в бункера
клеточных батарей последовательно по мере заполнения каждого ближе
расположенного. Уровень корма в кормушках регулируется специальными датчиками.
Подача воды из водопроводной сети к ниппельным поилкам осуществляется через
индивидуальные бачки постоянного уровня, установленные с двух сторон на каждом
ярусе батареи.
Сбор яиц проводят следующим образом:
яйца скатываются по наклонным поликам на ленточные транспортеры, доставляющие
их к торцу батареи. Ленты этих транспортеров установлены поярусно, что дает
возможность сбор производить раздельно по ярусам. С ленточных транспортеров
первого яруса яйца поступают непосредственно на поперечный транспортер,
расположенный на одном с ним уровне. Яйца с ленточных транспортеров второго и
третьего ярусов передаются на поперечный транспортер с помощью специальных
ленточных элеваторов. Поперечный транспортер подает яйца из всех шести батарей
на участок упаковки в птичнике или на магистральный транспортер, соединяющий
отдельные здания или залы корпусов и передающий яйца непосредственно в цех
сортировки [31].
Клеточная батарея фирмы «Zucami»
Кормушки, направляющие ленты,
отражатели и стальные направляющие бункера GALVAMIR Z-275. Трубные оцинкованные
опоры, поставленные через каждые 610 мм, диаметр 16 мм. Высота в зависимости от
колмчества ярусов. Ленты яйцесбора шириной 95 мм, щетки для очистки ленты
яйцесбора. Электропастух. Ленты пометоудаления РТХ-L-262. Полная системапоения
(трубы из ПВХ, доступ к трем ниппелям SUPERFLOW 360° на клетку, канал
киплеулавливателя, резервуары воды, столб уровня воды).
6 шт. автоматических конечных
механизмов яйцесбора.
Четыре электродвигателя мощностью 1
л. с. с регулируемой скоростью яйцесбора и два электрических двигателя
мощностью 1,5 л. с. Системы яйцесбора элеватор. Выключатели (TELEMECANIQUE).
Ведущие элементы, выполненные из оцинкованной стали, ролики сцепления лент, осей,
подшипников, цепей, зубчатых колес и сцеплений.
6 шт. автоматических механизмов
пометоудаления.
Электродвигатели мощностью 1,5 л.с.
(в соответствии числом ярусов и длинной).
1 двойной транспортер выноса помета
из птичника.
Ведущие группы, группы натяжения,
подъемники на высоту 45°,
1 электрический шкаф управления
яйцесбора в автоматическом и ручном режиме;
Регулятор скорости лент сбора и
контрольный щит CONVEYOR ZUCAMI
1 электрический шкафы управления
выноса помета из птичника.
Электрические контрольные элементы
выноса помет в конец и из птичника;
6 шт. бункеров кормораздачи.
Двигатели мощностью 0, 75 л. с.,
шнеки внутри бункера 80 мм, кормопроводы, кабель электропитания, концевые
включатели (TELEMECANIQUE) дозификаторы кормораздачи;
12 шт. центробежных вентиляторов для
очистки ленты для яиц.
Центробежные вентиляторы среднего
давления 0,25 квт. И щетки для очистки ленты яйцесбора;
1 электрический шкаф управления
кормораздачи в автоматическом и ручном режиме.
Часовой таймер кормораздачи,
индивидуальное управление бункерами кормораздачи и система контроля наполнения
бункеров (FLEX-AUGER);
1 шт. шнека доставки корма из
бункера 26 м.
Шнек 90 мм. для доставки корма на
бункера кормораздачи батарей (Roxell);
2 тележки для обслуживания верхних
ярусов;
1механическая уборочная машина;
1 медикатор;
1 сигнальная система отсутствия
воды;
1 система микроклимата состоящая из:
12 автоматических жалюзей для
приточной вентиляции;
11 вентиляторов EX 50 мощность (1,5
НР) 42.850 m3/hora;
38 автоматические ставни
VEA-140(800x380);
10 потолочных вентилятора
EU-56(12.130 м3/час);
2 регулятора открытия форточек
R.A.V. 2T 12V;
1 Электрический щит регуляции
форточек;
1 Общий электрический щит;
1 Электронная система управления
микроклиматом Сириус;
1 Тревога и громкоговоритель [31].
Вентиляционная система (старая
клетка)
Эта система предназначена для подачи
в птичники необходимого количества свежего воздуха и удаления отработанного
воздуха, содержащего пониженное количество кислорода и заметно повышенное
количество вредных газов, а также излишков тепла.
Системы побудительной вентиляции
подразделяют на вытяжную, приточную и приточно-вытяжную. На данной птицефабрике
используется приточно-вытяжная система.
При использовании этой системы
вентиляции подача в птичник и удаление из него отработанного воздуха
осуществляются с помощью электровентиляторов. При этом для равномерного
распределения воздуха и обеспечения лучших санитарных условий в птичнике
производительность вентиляторов, нагнетающих воздух, должна несколько (на
15-20%) превышать производительность вытяжных вентиляторов.
Подача наружного воздуха
производится, как правило, в верхнюю часть птичника, а удаление - из нижней его
части, по так называемому принципу «сверху вниз». При этом происходит наиболее
равномерное распределение свежего воздуха в зоне размещения птицы,
обеспечивается предварительный обогрев его в верхней наиболее теплой зоне, если
температура ниже требуемой в птичнике. Отработанный же воздух удаляется из зоны
нахождения птицы наиболее коротким путем вез выноса его в верхнюю зону
помещения [29].
Таблица 13 - Техническая
характеристика комплекта вытяжной вентиляции «Климат-45М»
|
Показатель
|
«Климат-45М»
|
|
Подача
воздуха на максимальном режиме, тыс м3/ч
|
96±6
|
|
Установленная
мощность оборудования, кВт*
|
6/4
|
|
Масса
комплекса, кг
|
|
Регулирование
подачи воздуха (не менее)
|
1:6
|
|
Диапазон
регулирования температуры, °С
|
0...35
|
|
Точность
регулирования температуры в зоне активного вентилирования, °С
|
±2
|
|
Число
осевых вентиляторов
|
16
|
Чтобы обеспечить оптимальный микроклимат, в
птичниках применяют комплекты вытяжной вентиляции «Климат 45 М», который
выпускают в пяти исполнениях. В каждый комплект входят осевые вентиляторы и
блок управления. В комплектах «Климат-45М» применяют осевые вентиляторы
ВО-Ф-5,6А.
Плавное регулирование частоты вращения
асинхронных двигателей вытяжных вентиляторов осуществляется с помощью
тиристорного устройства управления типа ТСУ-2-КЛУЗ «Климатик-1». Оно
представляет собой тиристорный регулятор напряжения с аналогово-цифровой
системой управления, собранной на интегральных микросхемах, которое
обеспечивает плавное изменение напряжения в зависимости от температуры в
помещении [41].
Освещенность в птичнике
Для обеспечения нормативной освещенности в
птичниках используют лампы накаливания и люминесцентные лампы напряжением 220.
Для увеличения срока службы лампы накаливания выпускают рассчитанными на
напряжение: 220-235, 230-240 и 235-245 В, которые при нормальном напряжении
имеют световой поток на 6-8 % ниже, чем у обычных ламп, а срок службы удлинен
более чем вдвое, т.е. до 3000 часов. При использовании ламп накаливания не
возникает проблем с плавной регулировкой освещенности в необходимых пределах.
Освящение регулируется автоматически: в 8 часов
утра оно включается, в 12 отключается, в час дня включается в 5 выключается в 2
часа ночи снова включается в 4 выключается, т.е для кур-несушек создается
дополнительное время суток.
Вентиляционная система в новом птичнике
Вентиляторы слегка наклонены вниз, тем самым,
увеличивая движение воздуха, направленного на птиц. Расположены они так, чтобы
воздух достигал крайних точек птичника. Вентиляторы должны функционировать с
помощью основного воздуха для увеличения площади, покрываемой каждым
вентилятором.
Птичники в положение с боковой завесой должны
иметь, по крайней мере, вентилятор 1,5 л.с., 43000 кубических метра на каждые
20 или 25 метров длины птичника.располагает 2 регуляторами температуры,
имеющимися в настоящее время на рынке. Эти два регулятора называются SIRIUS и
ORION. Эти регуляторы различаются, главным образом, по возможностям. Данный
регулятор может помещаться в различных местах, в зависимости от типа
вентиляции, которая производиться в птичнике вентилятором.
Расчет экономической эффективности по факторам
энергосбережения, таблица 14.
Таблица 14 - Результативность (эффективность)
факторов энергосбережения
|
№
п/п
|
Наименование
факторов
|
Одноярусная
старая клетка
|
Трехъярусная
старая клетка
|
Четырехъярусная
новая клетка
|
|
1
|
Количество
клеток, шт
|
11
|
4
|
1
|
|
2
|
Энергопотребление
вкВт на один птичник
|
1275
|
1775
|
1584
|
|
3
|
Количество
яиц, шт/сут
|
25500
|
35500
|
48000
|
|
4
|
Затрата
энергии на 1000 яиц
|
0,05
кВт
|
0,05
кВт
|
0,033
кВт
|
Расход электроэнергии за последние годы
представлены в таблице 15.
Таблица 15 - Потребление электроэнергии
|
Год
|
Количество
кВт
|
Сумма
в руб.
|
|
2006
|
5534380
|
6874000
|
|
2007
|
4797280
|
7043751
|
|
2008
|
5092791,62
|
10065714
|
|
2009
|
4925478,1
|
10506216
|
. В 2009 году на птицефабрике была внедрена
система автоматического контроля для экономии электроэнергии. До внедрения
системы расход электроэнергии составлял 6500000 кВт/год, после внедрения
составил 4900000 кВт/год. Следовательно, экономия электроэнергии составило:
кВт/год - 4900000 кВт/год = 1600000 кВт/год.
Если учесть что тарифная ставка на 2009 год
составляла 2,13 рублей за 1 кВт, то получим:
кВт/год х 2,13 руб. = 3408000 руб.
. На станции водоотвода был заменен
электродвигатель с 75 кВт/ч на 30 кВт/ч. Если электродвигатель на 75 кВт/ч
работал 24 часа в сутки и 30 дней в месяц, то новый электродвигатель на 30
кВт/ч работает 6 часов в сутки, 30 дней в месяц.
От сюда можно рассчитать сколько кВт
затрачивается в день:
Старый электродвигатель: 75 кВт/ч х 24 ч = 1800
кВт/день;
Новый электродвигатель: 30 кВт/ч х 6 ч = 180
кВт/день
то есть за счет замены электродвигателя экономия
получилась в 10 раз.
Теперь рассчитаем затраты за год:
Старый электродвигатель: 1800 кВт/ч х 12 мес =
21600 кВт/год;
Новый электродвигатель: 180 кВт/ч х12 мес = 2160
кВт/год
Экономия будет: 21600 кВт/год - 2160 кВт/год =
19440 кВт/год;
В денежном выражении это выглядит следующим
образом:
кВт/год х 2,13 руб = 41407,2 руб.
. Освящение в птичнике осуществляют 120 ламп
накаливания по 40 Вт. Каждую лампу для увеличения срока службы, выпускают
рассчитанной на напряжение 220 В.
Значит: 12 ламп х 40 Вт = 4800 Вт или 4,8 кВт
Если учесть, что в 15 птичниках имеется
освящение по 120 ламп в каждом, то получим:
птичников х 120 ламп = 1800 шт.
Следовательно: 1800 шт х 40Вт = 72000 Вт или 72
кВт.
Освящение регулируется автоматически: в 8 часов
утра оно включается в 12 отключается, в час дня включается в 5 выключается, в 2
часа ночи снова включается в 4 выключается, для кур-несушек создается
дополнительное время суток.
Получается, что в сутки освящение работает 10
часов, слндовательно:
кВт х 10 часов = 720 кВт.
В денежном выражении: 720 кВт х 2,13 руб =
1550,49 руб.
За год получим: 1550,49 руб х 365 дней =
565928,85 руб.
Стоимость одной лампы составляет в среднем 11
рублей за штуку.
Следовательно, можем узнать стоимость ламп за
год в 15 птичниках:
птичников х 120 ламп х 11 руб. = 19800 руб/год.
. Важнейших факторов экономии является расход
корма в кормоцехе. В птичнике с трехъярусными клетками число голов составляет
35000, в четырехъярусной клетке - 56000. Расход корма на каждую птицу
составляет:
в трехъярусной клетке: 127 гр/гол;
в четырехъярусной клетке: 119 гр/гол
Можем вычесть расход корма на 35000 голов в
трехъярусной клетке:
гр х 35000 голов = 4445000 гр или 4445 тонн
корма
Расход корма на 56000 голов в четырехъярусной
клетке будет:
гр х 56000 голов = 6664000 гр или 6664 тонн
корма.
Если возьмем тоже количество птицы, что и в трехъярусной
клетке, то получим:
гр х 3500 голов = 4165000гр или 4165 тонн.
то есть получим экономию:
тонн - 4165 тонн = 280 тонн.
Если мы заменим старые клетки на новые во всех
15 птичниках, то получим:
голов х 15 птичников = 840000 голов,
значит, расход корма будет следующим:
голов х 119 гр = 99960000 гр или 99960 тонн.
Расход корма в старых клетках:
Количество птицы в 15 птичниках будет:
голов х 15 птичников = 525000 голов
Расход корма будет:
000 голов х 127 гр = 66675000 гр или 66675 тонн.
Следовательно, экономия корма будет:
- 66675 = 33285 тонн,
а количество голов птицы будет:
- 525000 = 315000 голов.
. В 2007 году на фабрике дополнительно
установлено новое оборудование для улучшения технологического процесса. Два
промышленных кондиционера для поддержания микроклимата в яйцескладе общей
мощностью 40 кВт/ч. Холодильный 40 футовый контейнер для хранения мяса, общая
мощность составляет 22 кВт/ч. Две моечные машины для мойки цехов общей
мощностью 18 кВт/ч. Машина для сушки яйца общей мощностью 24 кВт/ч. 4 насоса в
мини-котельных; санпропускника, кормоцеха, меланжной и ветблока общей мощностью
16 кВт/ч. Два электрокипятильника для замочки яйца перед мойкой и в меланжной
для мойки технологического оборудования общей мощностью 36 кВт/ч. 4 тепловых
пушки для поддержания температурного режима в 11 цеху, кормоцеха, стоянки
пожарной машины и нижнего яйцесклада общей мощностью 48 кВт/ч.
Всего за 2007 год энергоемкость возросла на 204
кВт/ч.
Благодаря применению новых энергосберегающих
технологий, а также замене неэффективного незагруженного электрооборудования
удалось добиться значительного снижения электропотребления по сравнению с 2006
годом на 737100 кВт/ч в 2007 году.
В денежном выражении это выглядит следующим
образом:
кВт/ч х 1,204 рублея = 887468 рублей
НДС 18%
руб. х 18% = 159744 рублей.
Итого чистой прибыли: 887468 + 159744 =1047212
рубля за год.
Установленная мощность старого кормоцеха
составляла 405 кВт, нового 130 кВт. За счет установки новых редукторов
произошла экономия в 3,5 раза.
вариант
Кормолиния 1,5 кВт/ч 950 оборотов/мин. время
раздачи составляет 2 часа с учетом 4-х разового кормления в сутки.
,5 кВт/ч х 2 часа х 4 разов.кормл. = 12 кВт/ч в
сутки
кВт/ч х 30 дней х 12 месяцев = 4320 кВт/ч в год
С учетом, что в 1 цеху 9 кормлений, общее
потребление составит 4320 кВт/ч х 8 кормлений = 34560 кВт в год.
В денежном выражении это выглядит следующим
образом:
кВт/ч х 1,204 руб. = 41610,24 руб.
,24 руб. х 18% НДС = 7489,84 руб.
Итого затрат на кормление 1 цеха:
,24 + 7489,84 = 49100,08 руб.
Если учесть только несушку, то 49100,08 руб. х
18 цехов = 883801,44 руб. Это затраты на годовое кормление 18-ти цехов.
вариант
Замена 1,5 кВт/ч 950 оборотов/мин. на 0,75 кВт/ч
1500 оборотов/мин. Данная замена имеет ряд преимуществ: снижение установленной
мощности на 50% и за счет увеличения числа оборотов, снижается время кормления
с 2-х часов до 45 минут, а также снижение кормового стресса и шума в цеху.
,75 кВт/ч х 45 мин. х 4-х раз.кормл. = 2,25
кВт/ч в сутки.
,25 кВт/ч х зо дней х 12 месяцев = 810 кВт/ч в
год.
С учетом что в цеху 9 кормолиний, общее
потребление составит 810 кВт/ч х 8 кормолиний = 6480 кВт/ч в год. В денежном
выражении это выглядит следующим образом:
кВт/ч х 1,204 руб. = 7801,92 руб. х 18% НДС =
1404,36 руб.
,26 рублей - общие затраты на кормление 1-го цеха.
Если учесть только несушку, то получается следующее:
,26 руб. х на 18 цехов = 16569,68 руб. это
затраты на годовое кормление 18-ти цехов.
Данные расчета для 1-го варианта
Годовое электропотребление составило 622080
кВт/ч или 883801,44 рубля.
Данные 2-го варианта
Годовое потребление составило 116640 кВт/ч или
165694,68 руб.
Итого: 622080 кВт/ч - 116640 кВт/ч = 505440
кВт/ч чистой экономии на данном техническом перевооружении. В денежном
выражении это выглядит следующим образом:
,44 руб. - 165694,68 руб. = 718106,76 руб.
Следовательно, необходимо и дальнейшем вести
аналогичное техническое перевооружение, так как это дает значительный
экономический эффект.
Если мы посчитаем общую экономию по
оборудованию, то получим:
кВт + 505440 кВт = 1242540 кВт
В денежном выражении получим:
руб + 718106,76 руб = 877850,76 руб.
Таблица 16 - Расчет электроэнергии за месяц в
цехе
|
Наименование
|
Кол-во
транспортеров
|
Электроэнергия
|
Работа
час. в сутки
|
Работа
в днях
|
Всего
кВт
|
|
Кормораздатчик
Яйцесбор Пометоудаление Прямой Наклонный Микроклимат
|
9
10 3 2 12
|
1,5
0,75 3 2,2 1,1
|
2
4,5 2,5 3 24
|
30
30 30 30 30
|
810
1012,5 675 396 9504
|
|
ИТОГО:
|
|
|
|
|
12397,5
|
|
|
|
|
|
|
|
. Кормление: С учетом того, что в цехе с
трехярусной клеткой находится 9 транспортеров для раздачи корма, затрачивается
на это 1,5 кВт электроэнергии. Работает транспортер в общем в сутки 2 часа, в
месяц 30 дней.
Следуя этим данным можем посчитать расход
электроэнергии затрачиваемой на кормление в месяц:
х 1,5 кВт х 2 час/сут х 30 дней = 810 кВт
Итого на кормление 1 птичника с трехярусной
клеткой затрачивается 810 кВт.
. Яйцесбор: Используется 10 транспортеров по
0,75 кВт, работают они 4,5 часа в сутка, 30 дней. Значит:
х 0,75кВт х 4,5 час/сут х 30 дней = 1012,5 кВт.
. Помётоудаление:
Прямой: 3 х 3кВт х 2,5 час/сут х 30 дней = 675
кВт.
Наклонный: 2х 2.2 кВт х 3 час/сут х 30 дней =
396 кВт.
. Микроклимат: В цеху имеются 24 вентилятора.
Включаются одновременно 12 шт.
х 1.1 кВт х 24час/сут х 30 дней = 9504 кВт.
ИТОГО: 810 + 1012,5 + 675 + 396 + 9504 = 12397,5
кВт затрачивается на обеспечение одного цеха.
. На птицефабрике имеется кормоцех, где
производится приготовление кормосмесей. Машина для смешивания кормов работает в
среднем в день 4 часа. Установленная мощность старого кормоцеха составляла 405
кВт, нового 130 кВт. За счет установки новых редукторов произошла экономия в
3,5 раза.
. Узнаем сколько часов в год работает
кормосмесительная машина:
часа х 365 дней = 1460 ч/год;
. Вычислим сколько электроэнергии затрачивается
на старый и новый птичники.
старый птичник: 1460 часов х 405 кВт = 591300
кВт;
новый птичник: 1460 часов х 130 кВт = 189800
кВт.
Экономия будет: 519300 - 189800 = 401500 кВт
В денежном выражении: 401500 кВт х 2,13 руб
=855195 руб.
Экономия за счет описанных факторов
энергосбережения описанна в таблице 18.
Таблица 17 - Экспертная оценка ресурсосбережения
предприятия
|
№
|
Ресурсообеспеченность
предприятия
|
Экспертная
оценка
|
Среднее
значение
|
|
1
|
2
|
3
|
4
|
5
|
|
1
|
Водные
ресурсы
|
обеспеченность
|
5
|
3,6
|
|
|
уровень
водосбережения
|
5
|
|
|
|
состояние
мелиоративной системы
|
1
|
|
|
2
|
Климатические
ресурсы
|
температурный
режим
|
4
|
4,6
|
|
|
световой
режим
|
5
|
|
|
|
воздушный
режим
|
5
|
|
|
3
|
Энергетические
ресурсы
|
бесперебойность
подачи
|
5
|
4,5
|
|
|
уровень
энергосбережения
|
4
|
|
|
4
|
Финансовые
ресурсы
|
собственные
инвестиции
|
4
|
4
|
|
|
стабильность
финансового состояния
|
3
|
|
|
|
наличие
средств на оплату труда
|
5
|
|
|
I
|
Технико-технологическая
оснащенность предприятия
|
|
|
|
1
|
Технология
|
безотходность
|
4
|
3,6
|
|
|
малооперационность
|
3
|
|
|
|
производительность
|
3
|
|
|
|
рациональность
|
4
|
|
|
|
экологичность
|
4
|
|
|
2
|
Машины
и оборудование
|
надежность
|
3
|
3,1
|
|
|
мобильность
|
3
|
|
|
|
комбинированность,
унифицированность
|
3
|
|
|
|
удобство
в эксплуатации
|
3
|
|
|
|
экономичность
|
3
|
|
|
|
экологичность
|
3
|
|
|
|
точность
|
4
|
|
|
I
|
Эффективность
производственного менеджмента предприятия
|
|
|
|
1
|
Прогрессивность
методов и стиля управления
|
планирование
|
4
|
4
|
|
|
организация
|
4
|
|
|
|
контроль,
учет
|
4
|
|
|
|
координация
|
4
|
|
|
2
|
Стимулирование
ресурсосбереже-ния
|
экономическое
|
4
|
4
|
|
|
нематериальные
льготы
|
4
|
|
Таблица 18 - Экономия за счет факторов
энергосбережения
|
№
|
Наименование
факторов энергосбережения
|
Годовая
экономия, кВт
|
Годовая
экономия, в руб.
|
|
1.
|
Автоматический
контроль учета электроэнергии
|
639402
|
1361926,26
|
|
2.
|
Реконструкция
кормоцеха
|
401500
|
855195
|
|
3.
|
Замена
оборудования в птичнике на четырехъярусные клетки
|
34218
|
71515,62
|
|
4.
|
Замена
электрооборудования на кормораздаче (с 1,5 кВт на 0,75 кВт)
|
505440
|
718106,76
|
|
5.
|
Замена
электродвигателя на станции водоотвода (с 75 кВт на 30 кВт)
|
19440
|
41407,2
|
|
6.
|
За
счет оптимизации освящения птичников
|
_
|
1980
|
|
Итого:
|
1600000
|
3067950,84
|
4. Расчет экономической
эффективности замены оборудования во всех птичниках на четырехъярусные клетки
Клетка «Zucami» стоит 14500000 рублей. Если мы
заменим 15 птичников новым оборудованием то получится:
птичников х 14500000 руб = 217500000руб.
В одном птичнике расход электроэнергии в месяц
составляет 10000 кВт/мес. В среднем на 1 яйцо в старом птичнике затрачивается
0,05 кВт, в новом 0,025 кВт.
Значит, можем посчитать расход электроэнергии на
1000 яиц:
яиц х 0,05 кВт = 50 кВт
Следовательно затрата электроэнергии на разные
виды птичников будет:
ярусный птичник: 25500 яиц х 0,05 кВт х 11
птичников = 14025 кВт;
ярусный птичник: 35500 яиц х 0,05 кВт х 4
птичника = 7100 кВт;
ярусный птичник: 48000 яиц х 0,025 кВт х 1
птичник = 1200 кВт.
Всего: 14025 кВт + 7100 кВт + 1200 кВт = 22325
кВт, затрачивается на 16 птичников.
Можно узнать затраты в год: 22325 кВт х 300 дней
= 6697500 кВт/в год.
В птичнике птица находится 10 месяцев, берем 300
дней, так как в остальное время там проводятся санитарные работы.
В денежном выражении: 6697500 кВт/в год х 2,13
руб = 14265675 руб
Если мы заменим 15 птичников новыми клетками
«Zucami», то получим следующее количество яиц:
яиц х 15 птичников = 720000 яиц
Следовательно, можем вычесть количество
электроэнергии затрачиваемой на это количество яйца: 720000 яиц х 0,025 кВт =
18000 кВт,
В денежном выражении будет: 18000 кВт х 2,13 руб
= 38440 руб.
В год: 18000 кВт х 300 дней = 5400000 кВт
В денежном выражении будет: 5400000 кВт х 2,13
руб = 11502000 руб.
Экономия в кВт: 22325 кВт - 18000 кВт = 4325
кВт,
В год: 6697500 кВт - 5400000 кВт = 1297500 кВт,
В денежном выражении: 14265675 руб - 11502000
руб = 2763675 руб.
Расчеты показали, что при полученной экономии
замена всех птичников на четырехъярусные клетки практически не возможна.
Выводы и предложения
При внедрении системы автоматизированных
информационно-измерительных систем контроля и учета энергоресурсов АИИСКУЭ на
ОАО «Птицефабрика им. К. Маркса» стало удобнее и эффективнее следить за
потреблением электроэнергии в птичниках, так как информация по потреблению кВт
стала выводиться на компьютер в виде таблиц и графиков. Показания могут
сниматься по интервалам времени 15 сек., 30 мин., 60 мин., 1 сутки, 1 месяц.
Так как у птицы создается дополнительное время суток за счет выключения света в
птичнике на несколько часов, то за счет этого фактора происходит экономия
электроэнергии.
Выявление факторов энергосбережения является
одним из главных вопросов в работе. Были выделены факторы такие как: освящение,
реконструкция кормоцеха, замена оборудования в птичнике на четырехъярусные
клетки «Zucami», замена электрооборудования на кормоцехе (с 1,5 кВт на 0,75
кВт) и т.д. За счет этих факторов получили существенную экономию за год:
1600000 кВт электроэнергии, в денежном выражении это 3067950,8 рублей. Если и в
дальнейшем птицефабрика будет производить перевооружение оборудования, то
сможет добиться значительных результатов в экономии электроэнергии.
Дорогостоящее оборудование будет окупаться за несколько лет, а технологический
процесс усовершенствоваться.
За счет замены оборудования одного птичника на
четырехъярусную клетку, посадка птицы в птичнике увеличилась почти вдвое, если
в трехъярусный мог вмещать 36500 голов птицы, то новый четырехъярусный - 56000
голов.
Так как стоимость новой клетки составляет
14500000 рублей, а на замену всех 15 птичников понадобится 217500000 рублей, то
окупаемость оборудования за счет факторов энергосбережения не реальна.
Таблица 19 - Предложения
|
Кому
|
Предложения
|
Эффект
от выполнения
|
|
Директор
|
|
|
|
Экономист
|
|
|
|
Главный
энергетик
|
|
|
|
Главный
инженер
|
|
|
Список литературы
1.
Закон РФ «О техническом регулировании». М.: Изда-во «Омега-Л», 2007. - 48 стр.-
(Законы российской федерации).- ISBN 5-370-00266-5.
.
Закон РФ «О защите прав потребителей. - М.: Эксмо, 2007, - 96 стр. - (Российское
законодательство). - ISBN 978-5-699-20435-9.
.
Постановление Правительства № 982 № 15.02.10 г.
.
ГОСТ 2116-2000 Мука кормовая из рыбы, морских млекопитающих, ракообразных и
беспозвоночных. Технические условия. - введ. 01.01.2003. - М.: Стандартинформ,
2009. - 11 стр.
.
ГОСТ 7630-96 Рыба, морские млекопитающие, морские беспозвоночные, водоросли и
продукты их переработки. Маркировка и упаковка. - введ. 01.06.93. - М.:
Стандартинформ, 2009. - 18 стр.
.
ГОСТ 8758-76 Нут. Требования при заготовках и поставках - введ. 01.07.77. - М.:
Стандартинформ, 2009. - 5 стр.
.
ГОСТ 2226-88 Мешки бумажные. Технические условия. - введ. 01.01.90. - М.:
Стандартинформ, 2009. - 15 стр.
.
ГОСТ 11246-96 Шрот подсолнечный. Технические условия. - введ. 01.01.97. - М.:
Стандартинформ, 2009. - 11 стр.
.
ГОСТ 12220-96 Шрот соевый кормовой тостированный. Технические условия. - введ.
01.01.97. - М.: Стандартинформ, 2009. - 8 стр.
.
ГОСТ 13586.3 Зерно. Правила приемки и методы отбора проб - введ. 01.07.84 - М.:
Стандартинформ, 2009. - 10 стр.
.
ГОСТ 13634-90 Кукуруза. Требования при заготовках и поставках. - введ.
01.06.93. - М.: Стандартинформ, 2009. - 8 стр.
.
ГОСТ 14192-96 Маркировка грузов- введ. 01.01.98. - М.: Стандартинформ, 2009. -
32 стр.
.
ГОСТ 16990-88 Рожь. Требования при заготовках и поставках - введ. 0107.91. -
М.: Стандартинформ, 2009. - 7 стр.
.
ГОСТ 17536-82 Мука кормовая животного происхождения. Технические условия -
введ. 01.07.83. - М.: Стандартинформ, 2009. - 5 стр.
.
ГОСТ 22983-88 Порсо. Требования при заготовках и поставках - введ. 01.06.97 -
М.: Стандартинформ, 2009. - 7 стр.
.
ГОСТ 24104-2001 Весы лабораторные. Общие технические требования. - введ.
01.07.2002. - М.: Стандартинформ, 2009. - 8 стр.
.
ГОСТ 26826-86 Мука известняковая для производства комбикормов для
сельскохозяйственных животных и птицы и для подкормки птицы. Технические
условия. - введ. 01.01.87. - М.: Стандартинформ, 2009. - 4 стр.
.
ГОСТ 28672-90 Ячмень. Требования при заготовках и поставках - введ. 01.06.97 -
М.: Стандартинформ, 2009. - 6 стр.
.
ГОСТ 28673-90 Овес. Требования при заготовках и поставках - введ. 01.06.97 -
М.: Стандартинформ, 2009. - 7 стр.
.
ГОСТ 28674-90 Горох. Требования при заготовках и поставках- введ. 01.06.97. -
М.: Стандартинформ, 2009. - 7 стр.
.
ГОСТ 29329-92 Весы для статистического взвешивания. Общие технические
требования. - введ. 01.01.94. - М.: Стандартинформ, 2009. - 15 стр.
.
ГОСТ Р 51851-2001 Комбикорма для сельскохозяйственной птицы. Номенклатура
показателей. - введ. 01.01.2004. - М.: Стандартинформ, 2009. - 10 стр.
.
ГОСТ Р 52121-2003 Яйца куриные пищевые. Технические условия. - введ.
01.01.2005. - М.: Стандартинформ, 2009. - 11 стр.
.ГОСТ
Р 52356-2005 Премиксы Номенклатура показателей. - введ. 01.01.07. - М.:
Стандартинформ, 2009. - 7стр.
.
ГОСТ Р 52528-2006 Концентраты белково-витаминно-минеральные и
амидо-витаминно-минеральные. Номенклатура показателей. - введ. 01.01.07. - М.:
Стандартинформ, 2009. - 11 стр.
.
ГОСТ Р 52554-2006 Пшеница. Технические условия. введ. 01.07.2007. - М.:
Стандартинформ, 2009. - 16 стр
.
ГОСТ Р 52812-2007 Смеси кормовые. Технические условия. - введ. 01.01.09. - М.:
Стандартинформ, 2009. - 8 стр.
.
Башмаков И.А. Технический, экономический и рыночный потенциалы энергосбережения
/ И.А. Башмаков, В.П. Чупятов // Теплоэнергетика. - 1992. - № 3. - С. 34-39.
.
Блянкман Л.М. Ресурсо- и энергосберегающие технологии в АПК/ Л.М. Блянкман,
Н.И. Анисимова. - Минск: Урожай, 1990. -150 с.
.
Богданов М.Н. Учебная книга оператора-птицевода: (производство яиц). - 3-е
изд., перераб. и доп. - М.: Колос, 1981. - 335 с.
.
Божко П.Е. Производство яиц и мяса птицы на промышленной основе. М.: Колос,
1984.
.
Боярский Л.Г., Дзарданов А.Д. Производство и использование кормов в
промышленном производстве. М.: Россельхозиздан, 1980.
.
Булгаков В.В. Современная энциклопедия птицевода - Донецк ООО ПКФ «БАО»: 2003 -
384 с.
34.
Воротников И.Л. Актуальные проблемы ресурсосбережения в агроэкономике / ФГОУ
ВПО «Саратовский ГАУ». - Саратов, 2005. - 220 с.
.
Геворкян В.С. Управление ресурсосбережением / В.С. Геворкян. - М.: ЗАО
«Экон-информ», 2001. -132 с.
.
Иванов М.Ф. Сельскохозяйственное птицеводств - 4 изд. Сельхозиздат. М., 1930.
.
Иоцюс Г.П., Старчиков Н.И. Птицеводство. - 2-е изд., перераб. и доп. - М.:
Агропромиздат, 1989. 351 с.: ил. - (Учебники и учебные пособия для техникумов).
.
Кормление сельскохозяйственной птицы / В.Н. Агеев, Ю.П. Квиткин и др. - М.:
Россельхоэиздат, 1982.
.
Кочиш И.И. Птицеводство - учебник / И.И. Кочиш, М.Т.Петраш, С.Б. Смирнов -2е
изд. доп и перераб. М колос с 2007 - 416 с.
.
НТП «Энергоконтроль» Программное обеспечение комплекса технических средств
«Энергия +». Базовое программное обеспечение. Версия 6.2.
.
Омельчишин В.И. Ресурсосбережение как фактор повышения эффективности
общественного производства: автореф. дисс. канд. экон. наук / В.И. Омельчишин.
- М.: РАН ИЭ, 1993. - 20 с.
.
Покраев Г.М. Ресурсосбережение: проблемы и решения / Г.М. Покраев. М.:
Экономика, 1990.
.
Промышленное птицеводство. Под общей редакцией академика PACXH В.И. Фисинина.
2005 г.
.
Промышленное птицеводство/ Сост. В.И. Фисинин, Г.А. Тардатьян. - М.:
Агропромиздат, 1985.
.
Система Машин для комплексной механизации сельскохозяйственного производства на
1981-1990 гг., ч. II, Животноводство. - М.: 1981.
.
Соколовская Г.А. Ресурсосбережение на предприятиях / Г.А. Соколовская, Т.С.
Сигарева. - М.: Недра, 1998. 429 с.