Свойства полимерного диэлектрика в переменном электрическом поле на молекулярном уровне
Министерство
образования и науки РФ
Государственное
общеобразовательное учреждение
Высшего
профессионального образования
Владимирский
государственный университет имени А.Г. и Н.Г. Столетовых
Кафедра
полимерных материалов
Свойства
полимерного диэлектрика в переменном электрическом поле на молекулярном уровне
Выполнил:
ст.гр. ХП-107
Коноплева Н.С.
Проверил:
проф., д. т .н.
Чухланов В.Ю.
Владимир,
2011
Введение
Вплоть до конца двадцатого столетия
электрические свойства известных полимеров представляли гораздо меньший интерес
по сравнению со свойствами неорганических материалов. В то время как
неорганические твердые тела могут быть полупроводниками или металлами (эти
свойства практически целиком определяются электронной проводимостью), а также диэлектриками,
распространенные полимеры практически целиком попадали в последнюю категорию.
Отсутствие проводимости в полимерных диэлектриках позволяет обнаружить в них
ряд более тонких электрических эффектов.
Параметрами, характеризующими поведение полимерного
диэлектрика в переменном электрическом поле, являются диэлектрическая
проницаемость и тангенс угла диэлектрических портерь. Чтобы получить более
полную информацию о поведении полимерного диэлектрика в переменных
электрических полях, исследуют зависимости диэлектрической проницаемости и
тангенса угла диэлектрических портерь. Получив такие зависимости, можно
охарактеризовать молекулярную подвижность в полимере, определить концентрацию и
величину диполей в полимере, найти функцию распределения диполей по временам
релаксации.
Все это сделало исследование диэлектрических
свойств ценным дополнением к данным о механических и термических свойствах
структуры и инструментом для понимания поведения полимеров на молекулярном
уровне.
1. Диэлектрическая
проницаемость
Диэлектрическая проницаемость ε’
характеризует
увеличение емкости конденсатора С при внесении в него диэлектрика по сравнению
с емкостью того же конденсатора, у которого в качестве диэлектрика вакуум (С0):
ε’ = С/С0-
Диэлектрическую проницаемость можно представить
в виде комплексной величины ε*, состоящей
из действительной ε" и
мнимой ε’
частей:
где
Ток, текущий через конденсатор, в этом случае
равен:
Активная составляющая тока:
Реактивная:
Диэлектрическая проницаемость ε’ -
относительная диэлектрическая проницаемость (относительно диэлектрической
проницаемости вакуума). Абсолютной диэлектрической проницаемостью (в системе
СИ) является величина
ε0ε, где ε0 -
электрическая постоянная (8,854·10-12 Ф/м), иногда называемая
диэлектрической проницаемостью вакуума.
Диэлектрическая проницаемость диэлектриков
является одним из основных параметров при разработке электрических
конденсаторов. Использование материалов с высокой диэлектрической
проницаемостью позволяют существенно снизить физические размеры конденсаторов.
Ёмкость конденсаторов определяется:
где εr - диэлектрическая
проницаемость вещества между обкладками, εо
- электрическая постоянная, S - площадь обкладок конденсатора, d - расстояние
между обкладками.
Параметр диэлектрической проницаемости учитывается
при разработке печатных плат. Значение диэлектрической проницаемости вещества
между слоями в сочетании с его толщиной влияет на величину естественной
статической ёмкости слоев питания, а также существенно влияет на волновое
сопротивление проводников на плате.
2. Диэлектрические
потери
Диэлектрические потери характеризуют потери
энергии при прохождении электрического тока через конденсатор с диэлектриком.
Если к диэлектрику приложено переменное
электрическое поле с частотой f
напряжение U
которого
изменяется синусоидально
, где
,
то заряд на обкладках конденсатора
равен
. Ток,
текущий через конденсатор
или
,
где Ip -
реактивный ток (ток смещения).
Таким образом, ток Ip опережает
напряжение на π/2; т.е. на
90о.
При затрате некоторой энергии на
переориентацию диполей (что эквивалентно появлению активной проводимости), а
также при наличии активной проводимости диэлектрика появляется еще одна
составляющая тока Ip, которая по фазе совпадает с
напряжением. Векторная диаграмма токов и напряжений показана на рис. 2.1.
Рис. 2.1. Диаграмма напряжений, токов,
сопротивлений, компонент комплексной диэлектрической проницаемости диэлектрика
и её эквивалентная схема
Суммарный ток
опережает
напряжение
на угол φ. Угол,
дополнительный к этому углу, обозначают δ (δ = 90° -
φ)
и называют углом диэлектрических потерь.
Потери энергии при прохождении тока
через образец, который представляет собой конденсатор емкостью С, составляют:
где
Таким образом, диэлектрические
потери пропорциональны тангенсу угла диэлектрических потерь
, который
равен
.
Тангенс угла диэлектрических потерь
рассчитывают по формуле:
Конденсатор с диэлектриком,
обладающим диэлектрическими потерями, можно представить в виде эквивалентной
схемы, состоящей из конденсатора той же емкости с диэлектриком без
диэлектрических потерь С и присоединенного параллельно к нему резистора с
сопротивлением R. В этом случае
Для всех полимеров установлено два
типа диэлектрических потерь. Первый тип диэлектрических потерь, называемых
дипольно-сегментальными, связан с ориентационными поворотами полярных звеньев
макромолекулы в условиях, когда возможно сегментальное движение, т.е. в
высокоэластичееком состоянии (выше Тст полимера). Второй тип -
дипольно-групповые потери - обусловлены ориентацией самих полярных групп. Этот
вид потерь может проявляться и ниже Тст полимера, т. е. в
стеклообразном состоянии.
2.1 Влияние строения и полярности на
диэлектрические потери
Дипольные потери в полимерах
-
определяются химическим строением повторяющейся в цепи мономерной единицы,
которое оказывает влияние на внутри- и межмолекулярные взаимодействия, а
следовательно на подвижность звеньев. Чем сильнее внутри- и межмолекулярные
взаимодействия, тем менее подвижны звенья, тем выше температура, при которой
наблюдается максимум
, и тем
больше время релаксации. Сильное влияние оказывают природа и число полярных
групп, размеры заместителей, изомерия бокового радикала, стерические факторы и
т. д. Так, уменьшение межмолекулярного взаимодействия может быть следствием
введения в боковую цепь больших по размеру углеводородных (алкильных)
радикалов.
Влияние размера алкильного радикала
на
было
изучено на примере ряда полиалкилметакрилатов, поливинилацеталей,
полиалкилакрилатов.
Во всех случаях с увеличением длины
алкильного радикала
дипольно-сегментальных
потерь смещается в сторону более низких температур (рис. 2). Одновременно с
этим зависимости
также
смешаются в сторону более низких температур. Это значит, что с понижением
концентрации полярных групп в полимерной цепи время релаксации ориентационного
момента уменьшается.
В гомологических рядах
поливинилацеталей , полиалкилакрилатов и полнвинилацетата с возрастанием номера
гомолога происходит уменьшение температуры, при которой наблюдается
дипольно-групповых
потерь.
При одинаковом размере боковых заместителей
важное значение имеет их полярность. Замена неполярной группы полярной приводит
к усилению межмолекулярного взаимодействия, уменьшению подвижности звеньев.
Следствием этого является смещение максимума диэлектрических потерь в область
более высоких температур.
2.2 Влияние стереорегулярности на
диэлектрические потери

- изотактический;
- синдиолтактический;
- атактический.
Наличие в макромолекуле участков
синдиотактического или изотактического строения, их протяженность и
количественное соотношение существенно влияют на подвижность сегментов и групп,
а следовательно, и на диэлектрические характеристики полимера.
На рис. 5 приведена температурная
зависимость
изотактического
(1), синдиотактического (2) и атактического (3) образцов полиметилметакрилата.
Из рисунка видно, что температурные зависимости
дипольных потерь синдиотактического
и атактического полиметилметакрилата в широком интервале температур почти
полностью совпадают. Для образцов синдиотактического полимера наблюдается лишь
некоторый сдвиг области дипольно-сегментальных потерь в сторону более высоких
температур, что свидетельствует о большей затрудненности движения сегментов
цепи синдиотактического полимера по сравнению с атактическим и согласуется с
повышенным значением Тст этого полимера.
Совершенно иной характер имеет
температурная зависимость
для
изотактического полиметилметакрилата. Если для атактического полимера
характерно наличие широкой области дипольно-групповых потерь
которых
более чем вдвое превышает
дипольно-сегментальных
потерь то в данном случае наблюдается резкое «перераспределение» максимальных
значений потерь обоих типов. Как и для многих других полимеров винилового ряда,
изотактического
полиметилметакрилата значительно выше для дипольно-сегментальных потерь, чем
для дипольно-групповых. По характеру температурно-частотных зависимостей
для
полиметилметакрилата можно качественно определить размер участков, имеющих
изотактическое строение.
2.3 Влияние кристаллизации на
диэлектрические потери
Существенное значение имеют не только степени
кристалличности полимера, но и размер, дефектность, тип кристаллических образований
. При увеличении степени кристалличности полимера снижается электропроводность,
возрастает пробивная напряженность. Если степень кристалличности полимера
высока, дипольно-сегментальных потерь, связанных с движением сегментов
макромолекул в аморфных частях, может и не быть (например, в полиэтилене).
Возможно появление релаксационной области дипольных потерь, обусловленных
движением цепей внутри кристаллических образований, например внутри ламелей.
Для каждой из кристаллических
модификаций характерны свои величины
и ε’’max. При более
низких температурах наблюдаются дипольные потери, связанные с движением
полярных групп или коротких участков макромолекулы в аморфных областях или
вблизи границы кристаллического образования.
.4 Влияние пластификаторов на
диэлектрические потери
Применение полимеров в качестве
изоляционных материалов обусловлено их высоким электрическим сопротивлением,
низкой диэлектрической проницаемостью, малыми диэлектрическими потерями и
стойкостью к действию высоких напряжений. Введение пластификаторов, как
правило, ухудшает все эти характеристики, и поэтому следует очень внимательно
выбирать пластификаторы и их дозировку.
Изменение максимума тангенса угла
сегментальных диэлектрических потерь
зависит от полярности
пластификатора и его термодинамической совместимости с полимером. Если
пластификатор истинно растворяется в полимере во всей области составов, то
положение
непрерывно
смещается в область более низких температур (рис. 6). При этом абсолютное
значение тангенса угла диэлектрических потерь зависит от полярности
пластификатора, т.е. от его собственной диэлектрической проницаемости. При
введении неполярных пластификаторов, диэлектрическая проницаемость которых
мала, ε' и
системы
уменьшаются (рис. 6), а введение полярных пластификаторов может привести к
повышению диэлектрической проницаемости и
пластифицированной системы (рис. 6
б).
Если пластификатор ограниченно
смешивается с полимером, то изменение Тст и положения
происходит
только до определенной концентрации пластификатора, отвечающей пределу
совместимости. При дальнейшем добавлении такого пластификатора положение
не
изменяется, но значение его может возрастать.
Так как максимум тангенса угла
диэлектрических потерь
наблюдается
при температуре стеклования полимера, то его смещение эквивалентно снижению
температуры стеклования. Поэтому пластифицирующее действие пластификаторов
можно оценивать по смещению
: пластификатор тем эффективнее, чем
ниже температура, соответствующая
.
3. Методы измерения
Диэлектрическая проницаемость и потери полимеров
зачастую исследованы в диапазоне от 10-4 Гц до оптических частот. В
зависимости от частоты применяют различные методы исследования.
Рис. 8. Частотные области применимости различных
диэлектрических методов измерения.
Частотные области применимости различных методов
представлены на рис. 8
3.1 Мостовые методы
Для измерения эквивалентных емкости и
сопротивления образца наиболее широко применяется схема типа моста Уитстона, в
которой неизвестные величины сравниваются с эталонными компонентами. Одной из
таких схем является универсальный мост Шеринга, позволяющий с высокой точностью
измерять свойства диэлектриков в диапазоне частот от 10 до 105 Гц
(область звуковых частот). Схема такого моста показана на рис.9. В
уравновешенном состоянии, когда индикатор показывает нулевое напряжение в
диагонали моста, имеем обычное соотношение плечевых импедансов:
Рис. 9. Схема
двойного моста Шеринга
диэлектрический проницаемость
полимер конденсатор
В измерительных плечах используются
одинаковые сопротивления, а параллельно сопротивлению 1 подключается небольшой
переменный конденсатор для уравновешивания неизвестной проводимости в плече 4.
Обычно при измерениях используется метод замещения. Вначале мост
уравновешивается при отсутствии ячейки (переключатель S разомкнут).
Затем подключается ячейка с образцом (переключатель S замкнут), и
мост уравновешивается. Емкость ячейки Сх компенсируется уменьшением
С4, а ее проводимость Gх -
увеличением С4. Два условия баланса моста дают, при
,
(1)
Рис. 11. Схема экранированного двойного моста
Шеринга с заземлением Вагнера
Точность измерений с помощью мостов звуковой
частоты зависит от того, насколько удается исключить паразитные импедансы,
которые возникают между различными деталями моста, значения которых неизвестны
и зависят от расположения компонентов и даже от расположения оператора. Таким
образом, уравнения баланса (5.15) в действительности справедливы при условии I1
= I2
и I3
= I4,
означающем, что паразитные емкости между зажимами индикатора и землей
отсутствуют. С этой точки зрения мост Шеринга представляет собой особенно
удачную конструкцию, так как в нем можно обеспечить практически полное
экранирование компонентов друг от друга. Во-первых, отсутствие последовательных
соединений между емкостью и сопротивлением в каждом из плечей моста облегчает
экранирование. Во-вторых, к генератору частоты может быть подключен делитель
напряжения, так что клеммы индикатора при балансе моста находятся при
потенциале земли, как показано на рис. 11. В такой схеме, получившей название
заземления Вагнера, процедура измерений сводится к следующему. Вначале мост
уравновешивается как обычно, затем одна из клемм индикатора соединяется с
землей и с помощью схемы Вагнера мост снова уравновешивается. Это немного
разбалансирует мост, который снова уравновешивается, и т.д. до тех пор, пока не
выполнятся одновременно два условия - мост уравновешен, а клеммы индикатора
заземлены. При этих условиях все компоненты моста могут быть экранированы, а в
ячейке может использоваться охранный электрод.
Применяя все меры предосторожности, с помощью
моста Шеринга можно достичь высокой точности измерений во всем рабочем диапазоне
частот.
Ниже 10-2 Гц уравновешивание моста
становится очень длительным процессом, поскольку период колебаний таков, что
приходится долго ожидать после каждой подстройки моста, чтобы увидеть изменение
амплитуды выходного сигнала на детекторе. Измерения с помощью мостовых методов
могут быть ускорены при помощи систем автоматической балансировки, в которых
используется встроенный в петлю обратной связи фазочувствительный индикатор,
позволяющий менять установки эталонного плеча. Несмотря на это, мостовые методы
во многих случаях вытесняются методами, использующими компьютеры, хотя и
обеспечивают измерение более низких значений диэлектрических потерь.
При высоких частотах использование мостовых
методов все еще возможно, при условии применения специальных мер для устранения
растущего влияния паразитных индуктивностей, но для частот выше 106
следует применять резонансные методы.
3.2 Резонансные методы
Рис. 13. Электрическая схема резонансного метода
диэлектрических измерений Hartshorn и Ward
В диапазоне радиочастот наиболее чувствительный
метод исследования материалов с низкими или средними потерями состоит в том,
чтобы сделать его частью резонансного контура. Метод Hartshorn
и Ward (1936), схема
которого приведена на рис. 13, был в дальнейшем усовершенствован (Reddish et
al., 1971) и теперь позволяет выполнять точные измерения в диапазоне от 105 до
108 Гц. Образец в виде диска помещается в микрометрическую ячейку, которая
присоединяется к катушке, имеющей постоянную индуктивность L. Цепь питается
слабосвязанным генератором, частота которого настраивается в резонанс,
индикатором которого служит вольтметр, и регистрируется максимальное напряжение
Vi. Затем образец убирается, схема настраивается в резонанс
уменьшением межэлектродного расстояния на величину Δх,
и регистрируется новое значение максимума напряжения V0. Наконец, с
помощью подстроечного конденсатора С определяется ширина ΔСо
на полувысоте резонансной кривой при отсутствии образца. Емкость цепи одинакова
в обоих случаях, поэтому сразу получаем выражение для диэлектрической
проницаемости материала:
,
где t - толщина образца. При этом не учитывается
изменение краевой емкости в присутствии образца. Хотя можно сделать поправку на
этот эффект, для достижения наибольшей точности лучше использовать ячейку,
заполненную жидкостью.
Анализ электрической схемы показывает, что
тангенс угла диэлектрических потерь определяется выражением
(2)
где Со - калиброванная
воздушная емкость основного электрода в отсутствии образца при настройке в
резонанс. При тщательной настройке метод позволяет измерять угол δ до 50 мкрад
с точностью ±1 мкрад.
Можно проводить измерения на различных частотах
при использовании сменных катушек индуктивности. При увеличении частоты
требуемые величины индуктивности становятся слишком малы и начинают преобладать
паразитные индуктивности. В этом случае необходимо использовать резонатор,
такой как, например, изображенный на рис. 14 возвратный резонатор, часто
применяемый в диапазоне частот 108-109 Гц. Схема
измерений является гибридной, в том смысле, что индуктивность и фиксированные
емкости распределены вдоль закороченной коаксиальной волноводной линии, в то
время как зазор между электродами в центральном проводнике образует
сосредоточенный конденсатор переменной емкости, который может быть калиброван
обычным способом на воздухе при низких частотах.
Рис. 14. Схема обратного резонатора для
диэлектрических измерений
Измерения с помощью возвратного резонатора
напоминают упомянутый выше метод Hartshorn и Ward, с тем отличием что
уменьшение зазора между электродами вызывает увеличение индуктивности, что
необходимо принимать во внимание. Этот эффект можно выразить через изменение
эквивалентной емкости ΔСL.
Предполагая, что индуктивность возрастает по тому же закону, что и для линии
передачи без потерь, получим
,
где l - длина линии, Z0 -
ее характеристический импеданс. λ - длина волны, а с -
скорость света. Ширину резонансной кривой при отсутствии образца можно
определить изменением зазора между электродами, учитывая при этом изменение
индуктивности. Величина
затем
рассчитывается из уравнения (2).
3.3 Волновые методы
По мере того как частота электромагнитного поля
увеличивается до 109 Гц, длина волны становится сравнимой с
размерами образца. Поле внутри образца изменяется от точки к точке, и
диэлектрический отклик необходимо анализировать с помощью уравнений Максвелла
для электромагнитного поля. Для целей измерения удобно локализовать волну в
коаксиальном волноводе, представляющем собой центральный проводник, заключенный
в полую проводящую трубку или. при очень высоких частотах, простой волновод
прямоугольного или круглого сечения. Диапазон длин волн, в котором может
использоваться этот метод, от 1 до 300 мм, обычно называют
СВЧ-(сверхвысокочастотным) диапазоном.
Вначале необходимо соотнести основной параметр
волны, коэффициент распространения γ* материала,
с его диэлектрической проницаемостью. С помощью коэффициента распространения
уравнения электрического и магнитного поля волны, распространяющейся вдоль оси
х в однородной неограниченной среде, записываются в виде
где соответствующие векторы поля Е и
Н ортогональны (поперечная электромагнитная волна, или ТЕМ-волна). Из уравнений
Максвелла получаем выражение для комплексного коэффициента распространения
среды:
где ε*S и μ*S -
абсолютные (комплексные) диэлектрическая и магнитная проницаемости среды.
Действительная часть αS определяет
затухание (равное нулю в вакууме) волны, а комплексная часть βS задает
длину волны λS в среде:
В вакууме выражение для коэффициента
распространения принимает более простой вид:
где ε0
и μ0-
диэлектрическая и магнитная проницаемости свободного пространства,
соответственно. Комплексная диэлектрическая проницаемость немагнитной (μ*
= μ0) диэлектрической
среды на угловой частоте ω связана с
коэффициентом распространения плоской волны той же частоты в среде соотношением
где λ0 - длина
волны той же частоты в вакууме. Приравнивая действительную и мнимую части,
имеем
где n -
показатель преломления среды на данной частоте.
Рис. 15. Схема
волноводной измерительной линии
а) обратной величиной коэффициента стоячей волны
Еmin/Еmax,
т.е. отношением амплитуды стоячей волны в узле и пучности,
б) расстоянием х0 первого узла от
поверхности образца,
в) длиной волны λ0g,
равной удвоенному расстоянию между соседними узлами.
Для образцов с малыми потерями обратную величину
коэффициента стоячей волны можно очень точно определить, измеряя ширину узла
волны:
где Δx -
расстояние между точками удвоенной мощности по обеим сторонам от минимума. Для
образцов с очень малыми потерями необходимо учитывать потери в стенках линии
передачи, которые можно оценить из ширины Δxe узла на
расстоянии dе от конца
пустой линии. Вначале в измеренное значение ширины ΔхS узла на
расстоянии d' перед
образцом вносится поправка на потери в стенках:
Суммарное значение tgδ для отрезка
линии с образцом вычисляют с помощью уравнения
Затем вычитают потери в стенках и
получают величину потерь для самого образца.
4. Приборы
для измерения ε и
tgδ полимеров
Измерения ε и
tgδ
полимеров проводятся в широком диапазоне частот: от 10-5 до 1010
Гц. Измерения в непрерывном частотном диапазоне проводят обычно в
научно-исследовательских целях, на практике же для оценки и контроля качества.
полимерных материалов измерения проводят чаще всего на некоторых стандартных частотах:
) на промышленной частоте 50 Гц (в США и
некоторых других странах 60 Гц);
) на частоте 1 кГц (в некоторых странах вместо
частоты 1 кГц используют частоту, близкую к максимальной чувствительности
человеческого уха, равную 800 Гц, иногда проводят измерения на частоте 1592 Гц,
что соответствует со = 104);
) на частоте 1 МГц;
) на частоте 500 МГц;
) на частоте 3 · 109 Гц (3 ГГц).
На промышленной частоте проводят испытания
материалов, которые используют для электрической изоляции в силовых цепях. На частоте
1 кГц проводят испытания материалов, которые применяют для электрической
изоляции на звуковых частотах в радиотехнике, технике связи, электронике.
Обычно это материалы, используемые как изоляторы в конденсаторах, поэтому чаще
всего при 1 кГц испытывают полимерные пленки, а при 50 Гц - как блочные образцы
толщиной 1 - 5 мм, так и пленки толщиной 100 - 20 мкм, используемые для пазовой
и межслоевой изоляции и т. п.
На частоте 1 МГц испытывают блочные и пленочные
образцы материалов, предназначенных для применения в радиоаппаратуре, средствах
связи. На частоте 500 МГц испытывают полимеры, предназначенные для работы в
высокочастотной аппаратуре, например политетрафторэтилен. На частоте 3 ГГц
испытывают полимерные материалы, используемые для работы в СВЧ-аппаратуре.
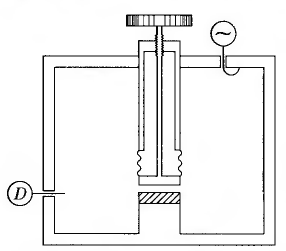
4.1 Мост VKB
Мост переменного тока VKB (рис. 1) имеет
следующие технические характеристики:
диапазон рабочих частот - от 50 Гц до 300 кГц;
пределы измерения tgδ
- от
5·10-4 до 3,5·10-1;
пределы измерения Сх - от 10
пФ до 1 мкФ;
погрешность измерения tgδ
-
± 5 % ;
погрешность измерения Сх - ± 2
% ;
диаметр защищенного электрода - 80,3 мм;
расстояние между электродами - от 0 до 7,5 мм.
Принцип действия моста основан на балансировке
мостовой схемы с помощью переменного конденсатора Сх и переменного
сопротивления Rх по нулевому индикатору. При равновесии моста
tgδ = Rx ·
ω ·
Cx .
Практическая формула для расчета угла
диэлектрических потерь имеет вид
tgδ = A · B · f
[кГц],
где А и В - показания на шкалах
прибора.
Диэлектрическую проницаемость определяют прямым
измерением емкости Cх плоского образца и рассчитывают по
формуле:
где d - толщина образца.
4.2 Резонансные диэлькометры
.2.1 Коаксиальные резонаторы
В 70-х годах в были разработаны и изготовлены
четвертьволновые коаксиальные резонаторы КР-300, КР-500 и КР-1000 (300; 500 и
1000 МГц соответственно), с помощью которых проводились исследования
температурно-частотных зависимостей широкого класса ЭИМ. Основными недостатками
этих резонаторов были их громоздкость (вес - до 10 кг) и отсутствие визуального
наблюдения за симметричным расположением исследуемого образца на поверхности
внутреннего электрода внутри резонатора, так как малейший толчок резонатора
приводил к смещению образца или к его падению во внутреннюю полость резонатора
и повторению сложной процедуры измерения.
В начале 80-х годов разработан ряд
автоматизированных измерителей диэлектрических параметров твердых (объемных и
пленочных) материалов: Ш2-6, Ш2-7, Ш2-10, ИДПМ-1. Они позволяют измерять ε
и tgδ
ЭИМ
на фиксированных частотах от 0,1 до 9000 МГц. В кабельном производстве при
входном контроле ε и tgδ
изоляционных
полиэтиленов низкой и высокой плотности в соответствии с ГОСТ 16337-77
используются частоты 1 и 500 МГц.
4.2.2 Диэлькометр Ш2-6
Диэлькометр имеет встроенную микро-ЭВМ, работает
на фиксированной частоте 500 МГц и обеспечивает получение прямых цифровых
отсчетов толщины образца, ε и
tgδ.
Время
проведения трех измерений ε и
tgδ
одного
образца диэлектрика составляет 6 - 10 мин.
Алгоритм измерения ε
и
tgδ
в
диэлькометре Ш2-6 состоит из измерения резонансных расстояний между электродами
резонатора, измерения соответствующих резонансных напряжений, а также измерения
толщины образца. В последующие годы диэлькометр Ш2-6 подвергся модернизации
(рис. 18).
Принцип действия диэлькометра Ш2-6М основан на
определении резонансной характеристики нагруженного измерительного
преобразователя с образцом и без образца (диаметр образца 30 мм, толщина - до 6
мм). В состав каждого из диэлькометров входит унифицированный блок управления,
представляющий собой специализированную микро-ЭВМ, управляющую процессом
измерений и осуществляющую математическую обработку результатов. Приборы
комплектуются емкостным преобразователем перемещение-частота, позволяющим
определять среднюю толщину образца путем измерения толщины образца в
произвольном числе точек его поверхности. Обработка результатов измерения
толщины производится автоматически с помощью блока управления. Обеспечен вывод
результатов измерений на цифропечатающее устройство. Имеется набор тестовых
программ, обеспечивающих самодиагностику и юстировку приборов.
Поверка диэлькометров осуществляется по
государственным стандартным образцам (ГСО). При поверке диэлькометров по ε
используются
около тридцати ГСО разной толщины из фторопласта (ε = 2,02),
эбонита
(ε
= 2,75), кварца (ε = 3,81) и
керамики (ε = 5,25; 9,6 и 19,9).
При поверке по tgδ используются
ГСО из фторопласта, полистирола, оргстекла, эбонита, кварца и трех видов
керамики.
4.2.3 Резонансный диэлькометр Ш2-7
Диэлькометр Ш2-7 предназначен для
экспресс-измерений ε и tgδ
на
частотах 1 и 10 МГц. При использовании внешнего генератора прибор может быть
легко модифицирован на любую частоту измерения в диапазоне 0,1-10 МГц. Принцип
действия и структура диэлькометра Ш2-7 в основном аналогичны диэлькометру Ш2-6
(Ш2-6М). Внешнее оформление диэлькометров Ш2-6 и Ш2-7 практически идентично.
Сканирование резонансной характеристики осуществляется реверсивным двигателем
на постоянной скорости, что оказалось возможным благодаря более низкой
добротности резонансного контура (Q = 150 - 200) и пикового детектора,
запоминающего резонансное напряжение. Резонансное межэлектродное расстояние
находится путем определения координаты вершины резонансной характеристики
методом сглаживания. При автокалибровке собственная добротность контура
определяется путем измерения частотной ширины резонансной характеристики на
уровне 0,7.
Заключение
Таким образом, диэлектрическая проницаемость и
диэлектрические потери являются важными характеристиками полимерных материалов,
определяющими область применения полимера. Существуют различные методы для
определения диэлектрических свойств полимеров. В зависимости от диапазона
частоты измерения применяют разные методы: мостовые, резонансные, волновые.
Исследование свойств новых материалов следует начинать с низких частот с
помощью мостовых методов, которые позволяют производить измерения ε
и
tgδ
с
любым наперед заданным шагом по частоте и обнаруживать наличие максимумов или
минимумов на кривых ε и tgδ,
если
таковые имеются.
В последние годы основной прогресс в технике
измерений связан с использованием компьютеров. С их помощью измерения
проводятся гораздо быстрее, позволяя, контролировать материалы, свойства
которых непрерывно изменяются в реальном времени. В результате можно
сканировать диэлектрические свойства в широком диапазоне частот при изменении
температуры или давления. А также проводить измерения в ходе химических
реакций, в том числе полимеризации, сшивки и деструкции, которые приводят к
изменению диэлектрических свойств системы. Это дает в руки технологам метод
контроля промышленных процессов
Список использованной литературы
1. Блайт Э.Р., Блур Д.
Электрические свойства полимеров. Пер. с англ. - М.: ФИЗМАТЛИТ, 2008 - 376 с. -
ISBN 978-5-9221-0893-5.
2. Электрические свойства
полимеров/Сажин Б.И., Лобанов А.М., Романговская О.С. и др. Под редакцией Б.И.
Сажина - 3-е изд. перераб. - Л.: Химия, 1986 - 224 с.
. Лущейкин Г.А. Методы
исследования электрических свойств полимеров - М.: Химия, 1988 - 160 с. - ISBN
5-7245-0069-8
. Тагер А.А. Физико-химия
полимеров - 4-е изд., перераб. и доп. - М.: Научный мир, 2007 - 576 с.
5. Аверко-Антонович
И.Ю, Бикмуллин Р.Т. Методы исследования структуры и свойств полимеров //
Интернет-ресурс: <http://www.ximicat.com/ebook.php?file=averko_vms.djvu&page=199>
. В.В.
Костромин, к.т.н., Б.С. Романов Методы исследования диэлектрических свойств
электроизоляционных материалов // Кабель-news - 2009 - №8 - с. 38-40