Виды статистических группировок

  • Вид работы:
    Контрольная работа
  • Предмет:
    Эктеория
  • Язык:
    Русский
    ,
    Формат файла:
    MS Word
    186,42 kb
  • Опубликовано:
    2011-08-18
Вы можете узнать стоимость помощи в написании студенческой работы.
Помощь в написании работы, которую точно примут!

Виды статистических группировок

МИНИСТЕРСТВО ОБРАЗОВАНИЯ И НАУКИ УКРАИНЫ

ХАРЬКОВСКИЙ НАЦИОНАЛЬНЫЙ ЭКОНОМИЧЕСКИЙ УНИВЕРСИТЕТ

Кафедра: учета предпринимательской деятельности




Контрольная работа

По курсу: «Статистика»

Вариант 5


Выполнил студент

Заочного факультета

г. Мариуполь

специальность:6.030505(109-2)

курса

Сидоренко М.В.




Харьков,2011г

План

Теоретическая часть

. Виды статистических группировок

. Виды относительных величин

. Виды дисперсий

. Основные приемы обработки динамических рядов

. Этапы выборочного наблюдения

Практическая часть

Задание 1

Задание 2

Задание 3

Задание 4

Задание 5

Литература

1. Виды статистических группировок

Группировкой называется разбиение общей совокупности единиц объекта наблюдения по одному или нескольким существенным признакам на однородные группы, различающиеся между собой в количественном и качественном отношении и позволяющие выделить социально-экономические типы, изучить структуру совокупности и проанализировать связи между отдельными признаками. Группировки являются важнейшим статистическим методом обобщения статистических данных, основой для правильного исчисления статистических показателей.

С помощью метода группировок решаются следующие задачи:

выделение социально-экономических типов явлений;

изучение структуры явления и структурных сдвигов, происходящих в нем;

выявление взаимосвязи и взаимозависимости между явлениями.

В соответствии с познавательными задачами, решаемыми в ходе построения статистических группировок, различают следующие их виды: типологические, структурные, аналитические.

Типологическая группировка - это разбиение разнородной совокупности единиц наблюдения на отдельные качественно однородные группы и выявление на этой основе социально-экономических типов явлений. При построении группировки этого вида основное внимание должно быть уделено идентификации типов и выбору группировочного признака. Решение вопроса об основании группировки должно осуществляться на основе анализа сущности изучаемого социально-экономического явления.

Структурной называется группировка, которая предназначена для изучения состава однородной совокупности по какому-либо варьирующему признаку, а также структуры и структурных сдвигов, происходящих в нем.

Группировка, выявляющая взаимосвязи между изучаемыми явлениями и признаками, их характеризующими, называется аналитической группировкой.

В статистике при изучении связей социально-экономических явлений признаки необходимо делить на факторные и результативные.

Факторными называются признаки, под воздействием которых изменяются другие результативные признаки. Взаимосвязь проявляется в том, что с возрастанием или убыванием значения факторного признака систематически возрастает или убывает значение признака результативного и наоборот.

Особенностями построения аналитической группировки являются:

единицы статистической совокупности группируются по факторному признаку;

каждая выделенная группа характеризуется средними величинами результативного признака.

По способу построения группировки бывают простые и комбинационные.

Простой называется группировка, в которой группы образованы только по одному признаку.

Комбинационной называется группировка, в которой разбиение совокупности на группы производится по двум и более признакам, взятым в сочетании (комбинации).

Сначала группы формируются по одному признаку, затем группы делятся на подгруппы по другому признаку, а эти в свою очередь делятся по третьему и так далее. Таким образом, комбинационные группировки дают возможность изучить единицы совокупности одновременно по нескольким взаимосвязанным признакам.

2. Виды относительных величин

Относительная величина в статистике - это обобщающий показатель, который дает числовую меру соотношения двух сопоставляемых абсолютных величин. Так как многие абсолютные величины взаимосвязаны, то и относительные величины одного типа в ряде случаев могут определяться через относительные величины другого типа.

Основное условие правильного расчета относительной величины - сопоставимость сравниваемых показателей и наличие реальных связей между изучаемыми явлениями. Таким образом, по способу получения относительные показатели - всегда величины производные, определяемые в форме коэффициентов, процентов, промилле, продецимилле и т.п. Однако нужно помнить, что этим безразмерным по форме показателям может быть, в сущности, приписана конкретная, и иногда довольно сложная, статистике относительные показатели используют в сравнительном анализе, в обобщении и синтезе.

Относительные показатели - это цифровые обобщающие показатели, они есть результат сопоставления двух статистических величин. По своей природе относительные величины производны от деления текущего (сравниваемого) абсолютного показателя на базисный показатель.

Относительные показатели могут быть получены или как соотношения одноименных статистических показателей, или как соотношения разноименных статистических показателей. В первом случае получаемый относительный показатель рассчитывается или процентах, или в относительных единицах, или в промилле (в тысячных долях). Если соотносятся разноименные абсолютные показатели, то относительный показатель в большинстве случаев бывает именованным.

Относительные величины, используемые в статистической практике:

относительная величина структуры;

относительная величина координации;

относительная величина планового задания;

относительная величина выполнения плана;

относительная величина динамики;

относительная величина сравнения;

относительная величина интенсивности.

Относительная величина структуры (ОВС) характеризует структуру совокупности, определяет долю (удельный вес) части в общем объеме совокупности. ОВС рассчитывают как отношение объема части совокупности к абсолютной величине всей совокупности, определяя тем самым удельный вес части в общем объеме совокупности (%):


где mi - объем исследуемой части совокупности; M - общий объем исследуемой совокупности.

Относительная величина координации (ОВК) характеризует соотношение между двумя частями исследуемой совокупности, одна из которых выступает как база сравнения (%):


где mi - одна из частей исследуемой совокупности; mб - часть совокупности, которая является базой сравнения.

Относительная величина планового задания (ОВПЗ) используется для расчета в процентном отношении увеличения (уменьшения) величины показателя плана по сравнению с его базовым уровнем в предшествующем периоде, для чего используется формула


где Рпл - плановый показатель; Р0 - фактический (базовый) показатель в предшествующем периоде.

Относительная величина выполнения плана (ОВВП) характеризует степень выполнения планового задания за отчетный период (%) и рассчитывается по формуле


где Рф - величина выполнения плана за отчетный период; Рпл - величина плана за отчетный период.

Относительная величина динамики (ОВД) характеризует изменение объема одного и того же явления во времени в зависимости от принятого базового уровня. ОВД рассчитывают как отношение уровня анализируемого явления или процесса в текущий момент времени к уровню этого явления или процесса за прошедший период времени. В результате мы получаем коэффициент роста, который выражается кратным отношением. При исчислении этой величины в процентах (результат умножается на 100) получаем темп роста.

Темпы роста можно просчитывать как с постоянным базовым уровнем (базисные темпы роста - ОВДб ), так и с переменным базовым уровнем (цепные темпы роста - ОВДц ):


где Рт - уровень текущий; Рб - уровень базисный;


где Рт - уровень текущий; Рт-1 - уровень, предшествующий текущему.

Относительная величина сравнения (ОВСр) - соотношение одноименных абсолютных показателей, относящихся к разным объектам, но к одному и тому же времени (например, соотносятся темпы роста населения в разных странах за один и тот же период времени):


где МА - показатель первого одноименного исследуемого объекта; МБ - показатель второго одноименного исследуемого объекта (база сравнения).

Все предыдущие показатели относительных величин характеризовали соотношения одноименных статистических объектов. Однако есть группа относительных величин, которые характеризуют соотношение разноименных, но связанных между собой статистических показателей. Эту группу называют группой относительных величин интенсивности (ОВИ), которые выражаются, как правило, именованными числами. В статистической практике относительные величины интенсивности применяются при исследовании степени объемности явления по отношению к объему среды, в которой происходит распространение этого явления. ОВИ здесь показывает, сколько единиц одной совокупности (числитель) приходится на одну, на десять, на сто единиц другой совокупности (знаменатель).

Примерами относительных величин интенсивности могут служить, скажем, показатели уровня технического развития производства, уровня благосостояния граждан, показатели обеспеченности населения средствами массовой информации, предметами культурно-бытового назначения и т.д. ОВИ рассчитывается по формуле


где А - распространение явления;

ВА - среда распространения явления А.

При расчете относительных величин интенсивности может возникнуть проблема выбора адекватной явлению базы сравнения (среды распространения явления). Например, при определении показателя плотности населения нельзя брать в качестве базы сравнения общий размер территории того или иного государства, в этом случае базой сравнения может быть лишь территория в 1 км2. Критерием правильности расчета является сопоставимость по разработанной методологии расчета сравниваемых показателей, применяющихся в статистической практике.

3. Виды дисперсий

Дисперсия находится как среднее квадратическое отклонение <#"531590.files/image009.gif">

. Взвешенная дисперсия (для вариационного ряда):


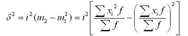
Дисперсия в вариационных рядах с равными интервалами по способу моментов может быть рассчитана следующим способом при использовании второго свойства дисперсии (разделив все варианты на величину интервала). Определении дисперсии, вычисленной по способу моментов, по следующей формуле менее трудоемок:


где i - величина интервала;

А - условный ноль, в качестве которого удобно использовать середину интервала, обладающего наибольшей частотой;- квадрат момента первого порядка;- момент второго порядка

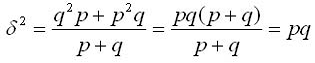
Дисперсия альтернативного признака (если в статистической совокупности признак изменяется так, что имеются только два взаимно исключающих друг друга варианта, то такая изменчивость называется альтернативной) может быть вычислена по формуле:


Подставляя в данную формулу дисперсии q =1- р, получаем:

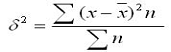
Общая дисперсия измеряет вариацию признака по всей совокупности в целом под влиянием всех факторов, обуславливающих эту вариацию. Она равняется среднему квадрату отклонений отдельных значений признака х от общего среднего значения х и может быть определена как простая дисперсия или взвешенная дисперсия.

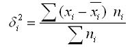
Внутригрупповая дисперсия характеризует случайную вариацию, т.е. часть вариации, которая обусловлена влиянием неучтенных факторов и не зависящую от признака-фактора, положенного в основание группировки. Такая дисперсия равна среднему квадрату отклонений отдельных значений признака внутри группы X от средней арифметической группы и может быть вычислена как простая дисперсия или как взвешенная дисперсия.

Таким образом, внутригрупповая дисперсия измеряет вариацию признака внутри группы и определяется по формуле:


где хi - групповая средняя;- число единиц в группе.

Например, внутригрупповые дисперсии, которые надо определить в задаче изучения влияния квалификации рабочих на уровень производительности труда в цехе показывают вариации выработки в каждой группе, вызванные всеми возможными факторами (техническое состояние оборудования, обеспеченность инструментами и материалами, возраст рабочих, интенсивность труда и т.д.), кроме отличий в квалификационном разряде (внутри группы все рабочие имеют одну и ту же квалификацию).

Средняя из внутри групповых дисперсий отражает случайную вариацию <#"531590.files/image015.gif">

Межгрупповая дисперсия характеризует систематическую вариацию результативного признака, которая обусловлена влиянием признака-фактора, положенного в основание группировки. Она равняется среднему квадрату отклонений групповых средних от общей средней. Межгрупповая дисперсия рассчитывается по формуле:

. Основные приемы обработки динамических рядов

В ходе обработки динамического ряда важнейшей задачей является выявление основной тенденции развития явления (тренда) и сглаживание случайных колебаний. Для решения этой задачи в статистике существуют особые способы, которые называют методами выравнивания.

Выделяют три основных способа обработки динамического ряда:

а) укрупнение интервалов динамического ряда и расчет средних для каждого укрупненного интервала;

б) метод скользящей средней;

в) аналитическое выравнивание (выравнивание по аналитическим формулам).

Укрупнение интервалов - наиболее простой способ. Он заключается в преобразовании первоначальных рядов динамики в более крупные по продолжительности временных периодов, что позволяет более четко выявить действие основной тенденции (основных факторов) изменения уровней.

По интервальным рядам итоги исчисляются путем простого суммирования уровней первоначальных рядов. Для других случаев расcчитывают средние величины укрупненных рядов (переменная средняя). Переменная средняя рассчитывается по формулам простой средней арифметической.

Скользящая средняя - это такая динамическая средняя, которая последовательно рассчитывается при передвижении на один интервал при заданной продолжительности периода. Если, предположим, продолжительность периода равна 3, то скользящие средние рассчитываются следующим образом:

  

При четных периодах скользящей средней можно центрировать данные, т.е. определять среднюю из найденных средних. К примеру, если скользящая исчисляется с продолжительностью периода, равной 2, то центрированные средние можно определить так:

  

Первую рассчитанную центрированную относят ко второму периоду, вторую - к третьему, третью - к четвертому и т.д. По сравнению с фактическим сглаженный ряд становится короче на (m - 1)/2, где m - число уровней интервала.

Важнейшим способом количественного выражения общей тенденции изменения уровней динамического ряда является аналитическое выравнивание ряда динамики, которое позволяет получить описание плавной линии развития ряда. При этом эмпирические уровни заменяются уровнями, которые рассчитываются на основе определенной кривой, где уравнение рассматривается как функция времени. Вид уравнения зависит от конкретного характера динамики развития. Его можно определить как теоретически, так и практически. Теоретический анализ основывается на рассчитанных показателях динамики. Практический анализ - на исследовании линейной диаграммы.

Задачей аналитического выравнивания является определение не только общей тенденции развития явления, но и некоторых недостающих значений как внутри периода, так и за его пределами. Способ определения неизвестных значений внутри динамического ряда называют интерполяцией. Эти неизвестные значения можно определить:

) используя полусумму уровней, расположенных рядом с интерполируемыми;

) по среднему абсолютному приросту;

) по темпу роста.

Способ определения количественных значений за пределами ряда называют экстраполяцией. Экстраполирование используется для прогнозирования тех факторов, которые не только в прошлом и настоящем обусловливают развитие явления, но и могут оказать влияние на его развитие в будущем.

Экстраполировать можно по средней арифметической, по среднему абсолютному приросту, по среднему темпу роста.

При аналитическом выравнивании может иметь место автокорреляция, под которой понимается зависимость между соседними членами динамического ряда. Автокорреляцию можно установить с помощью перемещения уровня на одну дату. Коэффициент автокорреляции вычисляется по формуле


Автокорреляцию в рядах можно устранить, коррелируя не сами уровни, а так называемые остаточные величины (разность эмпирических и теоретических уровней). В этом случае корреляцию между остаточными величинами можно определить по формуле


Анализ рядов динамики предполагает и исследование сезонной неравномерности (сезонных колебаний), под которыми понимают устойчивые внутригодовые колебания, причиной которых являются многочисленные факторы, в том числе и природно-климатические. Сезонные колебания измеряются с помощью индексов сезонности, которые рассчитываются двумя способами в зависимости от характера динамического развития.

При относительно неизменном годовом уровне явления индекс сезонности можно рассчитать как процентное отношение средней величины из фактических уровней одноименных месяцев к общему среднему уровню за исследуемый период:


В условиях изменчивости годового уровня индекс сезонности определяется как процентное отношение средней величины из фактических уровней одноименных месяцев к средней величине из выровненных уровней одноименных месяцев:

. Этапы выборочного наблюдения

Выборочное статистическое наблюдение является наиболее широко применяемым видом не сплошного наблюдения. При выборочном методе обследованию подвергается сравнительно набольшая часть всей изучаемой совокупности (обычно до 5-10 %, реже до 15-20 %). При этом подлежащая изучению статистическая совокупность, из которой производится отбор части единиц, называется генеральной совокупностью. Отобранная из генеральной совокупности некоторая часть единиц, подвергающаяся обследованию, называется выборочной совокупностью или выборкой. Значение выборочного метода состоит в том, что при минимальной численности обследуемых единиц проведение исследования осуществляется в более короткие сроки и с минимальными затратами труда и средств. Это повышает оперативность статистической информации, уменьшает ошибки регистрации.

Под выборочным понимается метод статистического исследования, при котором обобщающие показатели изучаемой совокупности устанавливаются по некоторой ее части, организованной по принципу случайного отбора.При случайном отборе каждой единице изучаемого объекта (массового явления, генеральной совокупности) обеспечивается определенная (обычно равная) вероятность попасть в количество обследуемых единиц (в выборку) и тем самым исключается субъективность, тенденциозность и односторонность в подборе этих единиц.

При строгом соблюдении принятых правил отбора выборочное наблюдение репрезентативно в широком смысле слова: при нем обеспечивается близкое соответствие состава охваченной наблюдением выборки и состава генеральной совокупности. Благодаря этому по данных выборочного наблюдения можно определить с желательной степенью приближения интересующие исследователей характеристики изучаемого явления.

Выборочный метод при проведении ряда исследований является единственно возможным, например, при контроле качества продукции (товара).

Выборочный метод иногда применяется для проверки данных даже сплошного учета. Минимальная численность обследуемых единиц позволяет провести исследование более тщательно и квалифицированно. Так, при переписи населения практикуются выборочные контрольные обходы для проверки правильности записей сплошного наблюдения.

Большую актуальность приобретает выборочный метод в условиях перехода к рыночной экономике. Развитие различных форм собственности, изменения в характере экономических отношений, как указывалось в предыдущих лекциях, обусловливают изменения функций учета и статистики, сокращение и упрощение статистической отчетности.По сравнению с другими методами, применяющими не сплошное наблюдение, выборочный метод имеет существенное преимущество. При соблюдении правил научной организации выборочного наблюдения появляется возможность количественной оценки ошибки репрезентативности (представительности).

Более того, способы определения ошибок выборки при различных приемах формирования выборочной совокупности и распространение характеристик выборки на генеральную совокупность составляют основное содержание статистической методологии выборочного метода.

Проведение выборочного наблюдения складывается из ряда последовательных этапов:

) обоснование целесообразности проведения выборочного метода в соответствии с задачами исследования;

) составление программы проведения статистического исследования выборочным методом;

) решение организационных вопросов сбора исходной информации;

) установление доли выборки, т.е. части подлежащих обследованию единиц генеральной совокупности;

) обоснование способов формирования выборочной совокупности;

) осуществление отбора единиц из генеральной совокупности для их обследования;

) фиксация в отобранных единицах выборки значений изучаемых признаков;

статистическая обработка полученной в выборке информации с определением обобщающих характеристик изучаемых признаков;

) определение количественной оценки ошибки выборки;

) распространение обобщающих выборочных характеристик на генеральную совокупность.

) В зависимости от способа организации выборочного наблюдения и применяемых способов отбора различают также виды выборочного наблюдения:

) простая случайная выборка (собственно-случайная);

) механическая случайная выборка;

) типическая случайная выборка;

) серийная (гнездовая) выборка;

) многоступенчатая (многостепенная или комбинационная) выборка.

Выборку можно производить из конечной (ограниченной) и неограниченной генеральной совокупности. Поэтому целесообразно различать выборочный метод и по этому признаку. Иногда различают также большие, охватывающие значительное число обследуемых единиц, выборки и малые выборки.

Каждый из указанных основных способов отбора может реализоваться по схеме повторного (когда зафиксированная в выборке единица возвращается в генеральную совокупность) или бесповоротного отбора (когда зафиксированная единица исключается из дальнейшего просмотра и может попасть в выборку только один раз). Целесообразно различать выборки и по этому признаку.

Практическая часть

Задание 1. Имеем данные по участкам механического цеха

Участок

Выпуск продукции, тыс. грн.


2007 год фактически

2008 год по плану

2008 год фактически

Токарная

882

998

982

Слесарная

858

972

994

Фрезерная

756

861

982


Оценить выполнение планового задания, плана выпуска продукции, и динамику в целом по цеху, графически отобразить фактическую и плановую величину структуры. Объяснить проведение расчетов и получено результаты.

Участок

Выпуск продукции

Абс. изм. %

% выполне ния


2008 г план

2008г факт



токарный

998

982

-16

98,39

слесарный

972

994

+22

1,02

фрезерный

861

982

+121

1,14

Итого

2831

2958

+127

1,04


Данные таблицы свидетельствуют о выполнении плана выпуска готовой продукции на 104,4%.

План выполняется по участках слесарному и фрезерному. Наибольшее перевыполнение плана наблюдается по фрезерному участку в размере 14%.

Участок

Прошлый год 2007г

Отчетный год

Отклонение отчетного года



План 2008г

Факт 2008г

в сумме

по удел. весу


Сумма

Уд.в.%

Сумма

Уд.в.%

Сумма

Уд.в.%

с прошл. годом

с планом

с прошл. годом

с планом

токарный

882

35,33

998

35,25

982

33,20

+100

-16

-2,13

-2,05

слесарный

858

34,38

972

34,33

994

33,60

+136

+22

-0,78

-0,73

фрезерный

756

30,29

861

30,41

982

33,20

+226

+121

+2,91

+2,79

Итого

2496

100

2831

100

2958

100

+462

+127




Из данных таблицы видно, что выпуск товарной продукции в отчетном году по сравнению с прошлым годом увеличился на 462 тыс. грн. Наибольший прирост достигнут на фрезерном и слесарном участке: 226 тыс. грн. и 136 тыс. грн. соответственно. Представим соотношение фактической и плановой структуры графически на рис.1.1.


Задание 2. Имеем данные о производстве автопокрышек на одном из предприятий, табл.

Динамика производства автопокрышек

Год

2000

2005

2006

2007

2008

Произведено автопокрышек, тыс. шт.

29,5

34,3

35,5

36,0

33,7


С целью анализа ряда динамики определить основные показатели базисным (2005г) и цепными методами и преподать их в табличной форме.

Оценить среднегодовое производство продукции, среднегодовой абсолютный прирост продукции,среднегодовые темпы роста и прироста :а)за 200-2008гг.,б)2000-2005гг.,в)2005-2008гг. Сделать аналитический вывод по результатам расчетов.

)Абсолютный прирост

Показатели

2000

2005

2006

2007

2008

абсолют. прирост






базисный

---

---

1,2

1,7

-0,6

цепной

---

---

1,2

1,7

-0,6


)Рассчитаем темп роста

Показатели

2000

2005

2006

2007

2008

абсолют. прирост






базисный

---

---

1,03

1,05

0,98

цепной

---

---

1,03

1,01

0,94


)Рассчитаем темп прироста

Показатели

2000

2005

2006

2007

2008

абсолют. прирост






базисный

---

---

+0.03

+0,05

-0,02

цепной

---

---

+0.03

+0,01

-0,06

1)Абсолютный прирост (∆y) показывает на сколько данный уровень ряда уменьшился с предыдущим или базисным

∆y= yі-yі-1-цепной;

)Темп роста (Тр.)-показывает во сколько раз уровень данного ряда больше или меньше базисного лили предыдущего

Тр. = yі/y0-базисный;

Тр. =yі/yі-1- цепной;

) Темп прироста (Тр.)-показывает насколько % уровень данного периода больше или меньше базисного или предыдущего уровня

Тр. = y∆/y0-базисный;

Тр. = y∆/yі-1- цепной;

Показатели

1996

2001

2002

2003

2004

абсолют. значение

---

---

0,355

0,360

0,337


Тр= 33,7/34,3=0

Тр= 33,7/29,5=1,14

Тпр=Тр-1=1,14-1=0,14

Вывод: по данным мы наблюдаем рост изготовления покрышек по таким периода 2000-2005-2006 -2007 и снижение изготовления их в 2008г.

Задание 3. Имеем данные о численности менеджеров и их заработную плату.

Специализация

Численность менеджеров, люд.

Заработная плата, грн.


базисный период

отчетный период

базисный период

отчетный период

Менеджеры из персонала

610

600

1720

1760

Менеджеры из логистики

840

820

1830

1950

Определите индивидуальные и общие индексы численности работников, их заработной платы и фондов оплаты труда. Определите относительный и абсолютный размер изменения средней заработной платы за факторами, которые на нее влияют. Сделайте соответствующие выводы.

Индивидуальный индекс рассчитываются по формуле:

;

;

;

.индивидуальный индекс численности менеджеров по персоналу =600/610=0,98

.индивидуальный индекс численности менеджеров по логистике=820/840=0,98

Вывод: таким образом в отчетном периоде по сравнению с базовым численность менеджеров по персоналу и менеджеров по логистике снизилась на 2%.

.индивидуальный индекс заработной платы менеджеров по персоналу=1760/1720=1,02

.индивидуальный индекс заработной платы менеджеров по логистике=1950/1830=1,07

Вывод: таким образом в отчетном периоде по сравнению с базовым заработная плата менеджеров по персоналу повысилась на 2%, тогда как заработная плата менеджеров по логистике повысилась на 7%.

.индивидуальный индекс заработной платы менеджеров по персоналу=2933,33/2819,67=1,04

.индивидуальный индекс средней заработной платы менеджеров по логистике=2378,05/2178,57=1,09

Вывод: таким образом в отчетном периоде по сравнению с базовым средняя заработная плата менеджеров по персоналу повысилась на 4%, тогда как заработная плата менеджеров по логистике повысилась на 9%.

 Специализация

Численность менеджеров (чел.)

Фонд заработной платы (тыс. грн.)

Средняя заработная плата (грн.)

Индекс средней заработной платы


базисный период т0

отчетный период т1

базисный период f0 т0

отчетный период f1 т1

базисный период f0

отчетный период f1


Менеджер по персоналу

610

600

1720

1760

2819,67

2933,33

1,04

Менеджер по логистике

840

820

1830

1950

2178,57

2378,05

1,09

Итого

1450

1420

3550

3710

2448,28

2612,68

1,07


 Специализация

Численность менеджеров (чел.)

Фонд заработной платы (тыс. грн.)

Средняя заработная плата (грн.)

Абс. прирост средней з/ пл

Относ. прирост сред. з/пл


базисный период т

отчетный период т1

базисный период f0 т0

отчетный период f1 т1

базисный период f0

отчетный период f1



Менеджер по персоналу

610

600

1720

1760

2819,67

2933,33

113,66

1,04

Менеджер по логистике

840

820

1830

1950

2178,57

2378,05

199,48

1,09

Итого

1450

1420

3550

3710

2448,28

2612,68

313,14

1,07


Таким образом относительный прирост средней заработной платы составил 7%, а абсолютный достиг 313,14грн.Средняя заработная плата рабочих менеджеров по персоналу возросла на 4%, менеджеров по логистике - на 9%, а по обеим специализациям - на 7% - таковы итоги анализа таблицы характеризующей общий индекс средней заработной платы всего состава рабочих.Общий индекс заработной платы переменного состава рассчитывается по формуле:

Задание 4. Имеем данные

Группы складов по себестоимости 1 м2, грн.

Число складов в районе


Район 1

Район 2

Район 3

300-400

8

12

20

400-500

10

20

23

500-600

12

15

16

600-700

20

21

18

700-800

15

25

13

800-900

13

5

8


Определите среднюю себестоимость 1м2, медиану, показатели вариации. Предоставляйте экономическую интерпретацию полученным данным.

Определим прежде всего медианный интервал.В данной задаче сумма накопленных частот, превышающая половину всех значений первого района соответствует интервалу 600-700, для второго района соответствует значению 600-700, тогда как для третьего района 500-600.

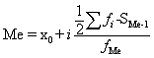
В интервальном ряду распределения медиана вычисляется по специальной формуле:


где:

x0           -нижняя граница медианного интервала;  - величина медианного интервала;       - накопленная частота интервала, предшествующего медианному интервалу;       - частота медианного интервала.

ХMe для 1района=600;

ХMe для 2 района=600;

ХMe для 3 района=500;= 100для 1 района =78;для 2 района =98;для 3 района =98;= 30; fMe =30 (для р.1)= 47; fMe =47 (для р.2)= 43; fMe =43 (для р.2)

Следовательно:


Группы складов по себестоимости 1 м2, грн.

Середина интервала

Число складов в районе



Район 1

xf

Район 2

xf

Район 3

xf

300-400

350

8

2800

12

4200

20

7000

400-500

450

10

4500

20

9000

23

10350

500-600

550

12

6600

15

8250

16

8800

600-700

650

20

13000

21

13650

18

11700

700-800

750

15

11250

25

18750

13

9750

800-900

850

13

11050

5

4250

 8

6800

Итого


78

49200

98

58100

98

54400


Среднюю себестоимость найдем при помощи формулы средней арифметической взвешенной: - ;

Вывод: таким образом средняя себестоимость по первому району самая высокая и составляет 630,76 грн.

Задание 5

№ магазину

Численность рабочих, чел.

Торговая площадь, м2

Годовой товарооборот, млн. грн.

№ магазину

Численность рабочих, чол.

Торговая площадь, м2

Годовой товарооборот, млн. грн.

1

31

188

1290

16

49

391

2640

2

78

580

2876

17

22

150

930

3

64

632

2418

18

31

178

1376

4

45

512

2460

19

40

623

1785

5

24

468

1910

20

42

350

2520

6

28

198

902

21

50

493

2200

7

52

423

2682

22

46

380

1990

8

44

486

1475

23

64

538

2572

9

47

441

2430

24

19

203

720

10

29

281

1032

25

58

380

2912

11

46

753

2350

26

61

545

2717

12

34

243

1810

27

20

245

820

13

42

2322

28

41

579

2405

14

30

192

1620

29

24

187

1316

15

32

240

1284

30

66

542

2601

На базе полученных данных сделайте группирование по торговой площади, выделив три группы. По каждой группе рассчитайте годовой товарооборот и численность рабочих в среднем на один магазин. Оформите результаты в виде таблицы. Представьте экономическую интерпретацию.

Интервал найдем по формуле:

, тогда

группа будет 150-351м2

группа будет 351-552м2

группа будет 552-753м2

Количество магазинов

Торговая площадь, м2

Торговая площадь, м2

Годовой товарооборот, млн. грн.

Численность рабочих, чел.

Средний товарообот, млн.грн.

Средняя численность работников,чел

12

150-351

150;178; 350;203; 245;187; 188;198; 281;243; 192;240

930;1376; 2520;720; 820;1316; 1290;902; 1032;1810;1620;1284

22;31; 42;19; 20;24; 31;28; 29;34; 30;32

1302

28,5

13

351-552

468;423; 486;441; 459;391; 380;493; 380;538; 545;542; 512

2912;1910;2430;2682;2460;1475;2322;2640;2200;1990;2572;2717;2601

24;52; 44;47; 42;49; 50;46; 64;61; 45;66; 58

2377,77

49,85

5

552-753

632;753; 623;579; 580

2418;2350; 1785;2405; 2876

64;46; 40;41; 78

2366,80

53,80


Вывод: таким образом по трем группам средний товарооборот у второй группы самый высокий.

Литература

статистическая группировка дисперсия наблюдение

1.Єріна А.М., Пальян З.О. Теорія статистики: Практикум. - К.: Т-во “Знання”, КОО, 2002. - 256с.

.Теория статистики / Под ред. Р.А. Шмойловой. - М.: Финансы и статистика, 1999. - 560 с.

.Захожай В.Б.Статистика:Підруч. Для студ. вищ.навч.закл./В.Б.Захожай, І.І.Попов.- К.:МАУП, 2006.-536С.:іл.-Бібліогр.:с.531-535.

Похожие работы на - Виды статистических группировок

 

Не нашли материал для своей работы?
Поможем написать уникальную работу
Без плагиата!
Без нейросетей!