Здание цирка в Новосибирске

  • Вид работы:
    Реферат
  • Предмет:
    Строительство
  • Язык:
    Русский
    ,
    Формат файла:
    MS Word
    797,80 kb
  • Опубликовано:
    2011-12-20
Вы можете узнать стоимость помощи в написании студенческой работы.
Помощь в написании работы, которую точно примут!

Здание цирка в Новосибирске

Содержание

Здание цирка в Новосибирске

Использование гиперболического параболоида (гипара) для покрытия цирка

Построение гиперболического параболоида

Список литературы

Здание цирка в Новосибирске



История строительства новосибирского цирка. Новосибирский цирк стал крупнейшим сооружением, строительство которого растянулось на все шестидесятые годы.

Цирк как здание нового типа проектировался в московском институте Гипротеатр архитекторами С. Гелфер и Г. Наприенко, конструктором В. Корниловым. Новизна сооружения в объёмно-планировочной композиции заключалась в возможности многофункционального его использования: как цирка, киноконцертного зала, зала массовых собраний, спортивных демонстраций, устройства выставок. Стационарная широкоформатная киноустановка могла сопровождать цирковые представления демонстрацией соответствующих кинолент.

Манеж в цирке смещён в сторону выхода артистов. Это позволило увеличить до 75 процентов число мест прямой видимости, что отличало здание от традиционной их планировки. Продумана и новая схема заполнения зала зрителями и их эвакуации. Вместимость зала - 2300 мест. Он заполняется через три широких прохода первого этажа и шесть входов из фойе второго. Здесь устроен кольцевой обход на уровне второго этажа, связанный со входами из фойе и эстрадой-сценой. Помимо удобного распределения зрителей по местам это расширило его постановочные возможности.

Использование гиперболического параболоида (гипара) для покрытия цирка


Вместо традиционного купола, покрытие цирка состоит из оболочки - гиперболического параболоида. Оно сконструировано в виде перекрёстных вант, на которых смонтированы железобетонные плиты заводского изготовления, составляющие совместно с вантами тонкостенную, железобетонную оболочку (гипар). Покрытие ниспадает, переходя в "усечённую, опрокинутую, конусообразную поверхность", которая, начинаясь от козырька, "пронизывает стеклоограждения" фойе, продолжается в потолке фойе и переходит в амфитеатр со смещённым манежем, что, по мнению некоторых специалистов, "рождало новую композицию", отличную от традиционных. Они утверждали, что "это здание не похоже на цирковое, оно универсально по своей выразительности в новом художественном стиле, разнообразно по пластике форм, вливающихся в единый объём". Но этот "единый объём" пришлось несколько "нарушить", что привело к изменению задуманной первоначальной композиции сооружения. Архитектор Г.Н. Бурханоз запроектировал по сторонам здания два кафе и переходы от кафе в вестибюль цирка, где размещались дополнительные гардеробы. Это было необходимо, так как в первоначальном проекте заниженными по площади оказались помещения вестибюля и гардеробов, а также буфетов (кафе). И вместо "монофасадности" сооружения образовался достаточно выраженный "главный" фасад, выходящий на улицу Челюскинцев, построенный строго симметрично. Здание цирка не заняло ведущего положения в застройке на пересечении главных транспортно-пешеходных магистралей города. Оно оказалось на "краю", выходя боковым фасадом на одну магистраль и главным фасадом на другую, пересекающую первую. При этом ось симметрии композиции сооружения не совпадает с осью симметрии композиции противостоящего здания, также значительного по масштабу. Из-за подобной непродуманности градостроительный комплекс не получился "выразительным", здание цирка осталось одиноким в рядовой застройке улицы Челюскинцев.

Невыразителен и "козырёк" цирка, не говоря уже о том, что это не часть конструктивного опорного кольца гипара покрытия цирка, а "подвешенная" к стене декоративная форма, имеющая в общей архитектурной композиции здания только "эстетическое" значение.

Интерьеры цирка разрешены более интересно. Сплошное остекление (ограждение) помещений вестибюля, фойе, кулуаров способствует визуальному объединению их с наружными пространствами. Городское средовое окружение вводится в интерьеры вестибюля и фойе, имеющих переменные высоты, выражающие их подчинённое значение по отношению к зрительному залу (галерейный тип помещений). Но в зале несколько неожиданно обозревается слегка вспарушенный подвесной потолок, как будто он находится под куполом, а не под гипаром, опорное кольцо которого имеет разные высотные отметки. В этом вскрывается противоречие принятой формы покрытия сооружения, которое могло быть всё же купольным и более правдивым по своему формообразованию. Проект Новосибирского цирка повторно был применен в Уфе, Куйбышеве, Донецке, Кривом Роге, Перми, Воронеже, Ворошиловграде, Харькове, Брянске, Череповце.

Здание цирка, к сожалению, не стало полифункциональным, ради чего и были задуманы его новые архитектурно-строительные формы.

февраля 1971 г. празднично засияли огни нового цирка. Его строительством начиналась реконструкция старейшего района города - Железнодорожного, вдоль улицы Челюскинцев. Сама улица расширялась и благоустраивалась. На ней строился Дворец культуры железнодорожников.

Также интересно планировочное решение. Гениальная мысль советских градостроителей расположила здание цирка на одной линии с Вознесенским кафедральным собором, до конца 80-х годов единственным функционирующим православным храмом в городе.

Построение гиперболического параболоида

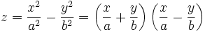
Гиперболи́ческий параболо́ид (называемый в строительстве "гипар") - седлообразная поверхность, описываемая в прямоугольной системе координат уравнением вида

.

Из второго представления видно, что гиперболический параболоид является линейчатой поверхностью.

Поверхность может быть образована движением параболы, ветви которой направлены вниз, по параболе, ветви которой направлены вверх, при условии, что первая парабола соприкасается со второй своей вершиной.



Список литературы


1.      С.Н. Баландин, "Новосибирск. История градостроительства 1945 - 1985 гг. "

2.      Ю.А. Короев "Начертательная геометрия"


Не нашли материал для своей работы?
Поможем написать уникальную работу
Без плагиата!
Без нейросетей!