Економіко-статистичне дослідження рівня витрат за 1 гривню запущеної в обіг продукції
УКООПСПІЛКА
Вищий
навчальний заклад Укоопспілки
«Полтавський
університет економіки і торгівлі»
Кафедра
статистики
КУРСОВА
РАБОТА
З
дисципліни «Економічна статистика з основами міжнародної статистики»
на тему: «Економіко-статистичне дослідження рівня
витрат за 1 гривню
запущеної
в обіг продукції»
Полтава
2010
Зміст
Вступ
. Поняття витрат на одну гривню реалізованої продукції на
підприємстві
. Система статистичних показників витрат на одну гривню
реалізованої продукції и методика їх розрахунку
. Статистичний аналіз факторів, що впливають на динаміку показника
витрат на одну гривню реалізованої продукції
. Аналіз ефективності витрат та динаміки витрат на одну гривню
реалізованої продукції, виробленої на експорт
Висновки
Список використаної літератури
Додатки
Вступ
В умовах ринкових відносин підприємству потрібне
постійне вдосконалення стратегії розвитку та ефективності виробництва, для
підвищення конкурентоспроможності товарів на ринку. Для досягнення даних цілей,
необхідно впровадження нових технологій і більш ефективних форм управління
фірмою. Постійний моніторинг витрат на шляху просування товару до споживача,
від стадії виробництва - до роздрібних продаж, надає менеджерам підприємства
можливість знайти способи зменшення кінцевої вартості товару, у свою чергу
отримати нижчу собівартість, а в результаті - нижчу ціну і більш вигідне
становище на ринку.
Проблема зниження витрат на виробництво та
реалізацію продукції - одна з найактуальніших тем на підприємстві. При всьому
вище сказаному, основною вимогою ринку є хороша якість продукції. На
сьогоднішній день це один з ключових пріоритетів виробників, які хочуть не
тільки розширити ринок продаж, але і не втратити вже існуючий. Але, фактор
цінової конкуренції, який становить основу у конкурентній боротьбі, без сумніву
є визначальним.
Резерви зниження витрат є на кожному
підприємстві. Виявити їх допомагає аналіз основних показників діяльності
підприємства. Це дає можливість збільшити прибуток або знизити ціну продукту.
За рахунок інвестування прибутку можна розвивати власне виробництво, а за
рахунок зниження цін - виграти цінову конкуренцію і при цьому забезпечити собі
не менший прибуток, також, зниження витрат може призводити до прискорення
обороту оборотних коштів підприємства у сфері виробництва.
Отже, з огляду на все вище сказане дана тема є
дуже актуальною в сучасних умовах ринкової економіки.
Метою даної курсової роботи було вивчення
теоретичних питань формування на виробництві показника рівня витрат на одну
гривню реалізованої продукції та практичне виконання економіко-статистичного
аналізу цього показника на прикладі виробничої діяльності віртуальної фірми №
12.
Для реалізації поставлених цілей в курсовій
роботі вирішуються наступні завдання:
. Визначення поняття витрат на одну гривню
реалізованої продукції на підприємстві.
. Визначення системи статистичних
показників витрат на одну гривню реалізованої продукції и методику їх
розрахунку .
. Статистичний аналіз факторів, що впливають на
динаміку показника витрат на одну гривню реалізованої продукції.
. Аналіз ефективності та динаміки витрат на одну
гривню реалізованої продукції, виробленої на експорт .
При виконанні роботи автором були використані
наступні прийоми і методи статистичного аналізу рівня витрат на одну гривню
реалізованої продукції: порівняння, обчислення відносних та середніх величин,
аналіз тенденцій розвитку явища, індексний аналіз, метод абсолютних різниць,
кореляційно-регресійний аналіз, тощо.
1. Поняття витрат на одну гривню реалізованої
продукції на підприємстві
Витрати виробництва - це сукупні витрати живої та
уречевленої праці в процесі виробництва продукту та його доведення з сфери
виробництва до споживача.[1.с 274]
В умовах відокремлення функції створення товару і
функції доведення до споживача в самостійні сфери діяльності, витрати
виробництва розподіляються між організаціями, які безпосередньо виробляють
товари і надають послуги споживачам, з одного боку, та організаціями, що
здійснюють просторове та економічне переміщення товарів до споживача, з іншого.
При цьому на практиці організації, що виробляють товари та послуги, крім суто
виробничої діяльності виконують і деякі функції, а також несуть витрати,
пов'язані з реалізацією продукції, а організації, які виступають посередниками
між виробниками і споживачами, крім задоволення купівельного попиту, надання
послуг виробникам і споживачам також здійснюють деякі функції, що є
продовженням процесу виробництва.
З переходом від централізовано-планової економіки
до ринкової, обсяг інформації що збирався державним органом статистики в ході
проведення статистичного спостереження, істотно скоротився. Держава майже
відмовилося від контролю за тим, як підприємства та організації формують
фактичну собівартість продукції, зосередивши свій інтерес на аспектах,
пов'язаних з оподаткуванням. Нормативні документи регламентують в основному не
витрати підприємства, а порядок визначення собівартості продукції (робіт,
послуг) для цілей, пов’язаних с оподаткуванням.
Разом з тим в сучасних умовах значення аналізу
витрат виробництва, у тому числі з використанням статистичних методів, не
зменшується. Наявність достовірної інформації про фактичні витрати, необхідна
для ціноутворення, визначення фінансового результату діяльності підприємств.
Зниження собівартості продукції дозволяє підприємцю збільшити прибуток і
отримати переваги в конкурентній боротьбі. В основі побудови показників
ефективності виробництва лежить, зіставлення витрат, пов'язаних з виробництвом,
та отриманих результатів. Витрати впливають на рівень цін, рентабельність
виробництва, окупність капітальних вкладень, обсяг збору податків. Інформація
про розміри, структуру і динаміку витрат важлива не тільки з точки зору аналізу
внутрішньогосподарської діяльності організацій, але й для проведення
макроекономічних розрахунків у рамках СНР. Зниження витрат виробництва є одним
з джерел зростання ВВП і національного доходу.
Собівартість продукції - це вартісний вираз
спожитих у процесі виробництва засобів виробництва (сировини, матеріалів,
палива, електроенергії, зношення основних фондів) та затрат, пов’язаних з
використанням живої (заробітної плати робітників і службовців, відрахування на
соціальне страхування). У собівартості продукції повинні включатися лише
виробничі витрати, які передбаченні техніко-економічними та іншими нормативами
і нормами.[5.c 458]
Якщо знайти співвідношення між сумою витрат та
понесенні підприємством обсягу та вартості витрат на виробництво та реалізацію
продукції, знаходять показник обсягу та вартості реалізованої продукції -
витратомісткість 1 гривні реалізованої продукції.
Собівартість на одну гривню реалізованої
продукції - визначають шляхом ділення собівартості продукції, на обсяг
реалізованої продукції.
До собівартість
реалізованої продукції (робіт, послуг) включаються:
) виробнича собівартість продукції (робіт, послуг), яка була
реалізована протягом звітного періоду;
2) нерозподілені загальновиробничі витрати;
) наднормативні виробничі витрати.
До виробничої собівартості продукції (робіт, послуг)
включаються:
) прямі матеріальні витрати;
2) прямі витрати на оплату праці;
3) інші прямі витрати;
) змінні загальновиробничі та постійні розподілені
загальновиробничі витрати.
До складу прямих матеріальних витрат включається
вартість сировини та основних матеріалів, що утворюють основу вироблюваної
продукції, купівельних напівфабрикатів та комплектуючих виробів, допоміжних та
інших матеріалів, які можуть бути безпосередньо віднесені до конкретного
об'єкта витрат. Прямі матеріальні витрати зменшуються на вартість зворотних
відходів, отриманих у процесі виробництва, які оцінюються у порядку,
викладеному в пункті 11 стандарту 16.
До складу прямих витрат на оплату праці
включаються заробітна плата та інші виплати робітникам, зайнятим у виробництві
продукції, виконанні робіт або наданні послуг, які можуть бути безпосередньо
віднесені до конкретного об'єкта витрат.
До складу інших прямих витрат включаються всі
інші виробничі витрати, які можуть бути безпосередньо віднесені до конкретного
об'єкта витрат, зокрема відрахування на соціальні заходи, плата за оренду
земельних і майнових паїв, амортизація, втрати від браку, які складаються з
вартості остаточно забракованої з технологічних причин продукції (виробів,
вузлів, напівфабрикатів), зменшеної на її справедливу вартість, та витрат на
виправлення такого технічно неминучого браку.
До складу загальновиробничих витрат включаються:
1) витрати на управління виробництвом
(оплата праці апарату управління цехами, дільницями тощо; відрахування на
соціальні заходи й медичне страхування апарату управління цехами, дільницями;
витрати на оплату службових відряджень персоналу цехів, дільниць тощо);
2) амортизація основних засобів
загальновиробничого (цехового, дільничого, лінійного) призначення;
) амортизація нематеріальних активів
загальновиробничого (цехового, дільничого, лінійного) призначення;
) витрати на утримання, експлуатацію та
ремонт, страхування, операційну оренду основних засобів, інших необоротних
активів загальновиробничого призначення;
) витрати на вдосконалення технології й
організації виробництва (оплата праці та відрахування на соціальні заходи
працівників, зайнятих удосконаленням технології й організації виробництва,
поліпшенням якості продукції, підвищенням її надійності, довговічності, інших
експлуатаційних характеристик у виробничому процесі; витрати матеріалів,
купівельних комплектуючих виробів і напівфабрикатів, оплата послуг сторонніх
організацій тощо);
) витрати на опалення, освітлення,
водопостачання, водовідведення та інше утримання виробничих приміщень;
) витрати на обслуговування виробничого
процесу (оплата праці загальновиробничого персоналу; відрахування на соціальні
заходи, медичне страхування робітників та апарату управління виробництвом;
витрати на здійснення технологічного контролю за виробничими процесами та
якістю продукції, робіт, послуг);
) витрати на охорону праці, техніку
безпеки і охорону навколишнього природного середовища;
) інші витрати (внутрішньозаводське
переміщення матеріалів, деталей, напівфабрикатів, інструментів зі складів до
цехів і готової продукції на склади; нестачі незавершеного виробництва; нестачі
і втрати від псування матеріальних цінностей у цехах; оплата простоїв тощо).
Розрізняють дві категорії собівартості продукції:
виробничу і операційну собівартість. Перша об'єднує лише ті витрати, що
пов'язані з процесом виробництва продукції, починаючи з моменту запуску
сировини (матеріалів) у виробництво і закінчуючи документальним підтвердженням
готовності виробів і здачею їх на склад готової продукції. Друга до свого
складу включає виробничу собівартість і позавиробничі видатки (видатки, які
пов'язані із зберіганням і реалізацією продукції"). І виробнича, і
операційна собівартість використовуються по всьому обсягу виготовленої і
реалізованої товарної продукції. Валова продукція обліковується за виробничою
собівартістю.
Важливим завданням статистики собівартості
продукції є:
1) забезпечення правильного обчислення рівня
собівартості продукції;
2) систематичне спостереження за виконанням
плану по собівартості продукції;
3) вивчення структури собівартості за видами
затрат і виявлення впливу зміни структури на динаміку собівартості продукції;
4) аналіз факторів, що впливають на рівень і
динаміку собівартості продукції, виявлення резервів подальшого її зниження.
Для того, щоб організувати належну роботу по
зниженню затрат на виробництво продукції, необхідно знати, з яких складових
елементів формується собівартість, яку питому вагу займають у ній затрати на
оплату праці і матеріальні ресурси (матеріали, енергія, паливо), амортизація,
інші витрати.
Склад собівартості продукції вивчають за
допомогою двох видів класифікацій витрат:
) за економічними елементами;
) статтями калькуляції.
При вивченні витрат за економічними елементами не
береться до уваги те, де і з якою метою витрачається той чи інший вид ресурсів,
важливо, щоб затрати підприємства (об'єднання) були однорідні за економічним
змістом. Наприклад, витрати на придбання палива належать до одного елемента
незалежно від того, як це паливо використовувалось, безпосередньо у виробництві
чи на опалення приміщень.
Класифікація витрат за економічними елементами є
єдиною і обов'язковою для всіх виробничих об'єднань (підприємств)
промисловості. Вона включає:
) виробничі витрати
куплені напівфабрикати та комплектуючі;
- паливо та енергії;
будівельні матеріали;
запасні частини;
тара і матеріали, що ідуть на неї;
допоміжні та інші матеріали.
) заробітна плата основна і додаткова;
) відрахування на соціальне страхування;
) амортизація основних засобів;
) інші грошові витрати.
Витрати на сировину, матеріали, паливо, енергію,
амортизацію виражають величину витрат минулої уречевленої праці. Решта
елементів витрат (заробітна плата з відрахуванням на соціальне страхування) є
витратами на оплату живої праці і утворює частину заново створеної вартості.
Винятком є елемент «Інші грошові витрати», який включає як матеріальні, так і
витрати живої праці.
Дані про витрати на виробництво за економічними
елементами визначаються у розрахунках до бізнес-плану фірм, наводяться у
звітності в обсязі всіх затрат даного періоду, незважаючи на те, що деяка частина їх може
бути не пов'язаною з виробництвом продукції. Головним завданням вивчення
собівартості продукції за економічними елементами є визначення величини витрат
живої і минулої праці, співвідношення між ними. Одержані дані використовуються
для обчислення чистої продукції галузі і національного доходу країни. Отже,
якщо із валової продукції в діючих оптових цінах промисловості відняти
матеріальні витрати, то одержимо обсяг чистої продукції.
Оскільки класифікація витрат за економічними
елементами відбиває витрати підприємства (об'єднання), що пов'язані з
виробництвом продукції, то її ще називають кошторисом затрат на виробництво. За
її допомогою підсумовують витрати підприємств незалежно від номенклатури
продукції, яка ними випускається. Вивчення структури собівартості за економічними
елементами дає можливість визначити роль окремих елементів собівартості у
загальних витратах, виявити резерви подальшого зниження собівартості за рахунок
змін у співвідношеннях між уречевленою і живою працею, розкрити їх вплив на
зміну продуктивності суспільної праці.
Для внутрішньовиробничого планування і виявлення
резервів зниження собівартості необхідно знати не лише загальну суму затрат
підприємства за певним економічним елементом, а й величину витрат залежно від
місця їх виникнення і конкретної форми виробничого використання; знати, яка
частина витрат припадає на основне і допоміжне виробництво, на управління.
Одержати такі дані за допомогою по елементної класифікації неможливо. Цьому
завданню відповідає групування витрат за статтями калькуляції, згідно з Типовим
положенням з планування, обліку і калькуляції собівартості продукції (робіт
послуг) в промисловості, затвердженому постановою Кабінету Міністрів України
від 26 квітня 1996 р. № 473, за яким виділяються такі групи витрат:
1) сировина і матеріали;
) зворотні відходи (віднімаються);
) купівельні вироби, напівфабрикати і послуги сторонніх
підприємств;
) паливо і енергія на технологічні цілі;
) основна заробітна плата виробничих робітників;
) додаткова заробітна плата виробничих робітників;
) відрахування на соціальне страхування;
) витрати на підготовку і освоєння виробництва;
) витрати на утримання і експлуатацію устаткування (включаючи
витрати на ремонт і витрати пов’язані з компенсацією зношення спеціальних
інструментів та пристроїв цільового призначення);
) загальновиробничі витрати;
) загальногосподарські витрати;
) втрати від технічно неминучого браку;
) супутня продукція (віднімається);
) інші виробничі витрати;
) позавиробничі ( комерційні) витрати.
Суть цієї класифікації полягає в тому, що всі
витрати групуються за ознакою спільності їх виробничого призначення. У різних
галузях промисловості використовується різна за своїм складом номенклатура
калькуляційних статей, що зумовлено особливостями формування у них
собівартості. Саме тому, перелік і склад статей калькулювання виробничої
собівартості продукції (робіт, послуг) установлюються підприємством.
Структура собівартості продукції за статтями
калькуляції відбиває співвідношення затрат у повній собівартості: що витрачено,
куди витрачено і на які цілі спрямовані кошти. Вона дозволяє виділити витрати
кожного цеху чи підрозділу підприємства (об'єднання), що є необхідною умовою
контролю витрат та запровадження режиму економії на окремих частинах
виробництва. Якщо у кожному елементі об'єднуються лише однорідні витрати, то у
статтях калькуляції - тільки деякі види витрат є однорідними, а більшість з них
включають різні види видатків, тобто є комплексними.
До однорідних належать статті калькуляції, які
включають витрати на сировину і матеріали, покупні вироби, напівфабрикати і
послуги виробничого характеру, паливо і енергію на технологічні цілі, заробітну
плату виробничих робітників та відрахування на соціальне страхування. Решта
статей калькуляції «Витрати на підготовку і освоєння виробництва», «Видатки на
утримання і експлуатацію устаткування», «Цехові витрати», «Загальнозаводські
витрати», «Інші виробничі витрати» є комплексними, оскільки вони об'єднують
кілька елементів витрат (матеріали, амортизацію, заробітну плату). Витрати, які
відносяться на ці статті, розподіляються між окремими видами продукції лише
опосередковано (шляхом застосування коефіцієнтів чи інших показників).
Залежно від структури собівартості продукції
виділяють матеріало-, фондо- і трудомісткі галузі. До матеріаломістких належать
галузі промисловості, які переробляють первинну сировину, а також ті, які мають
багаторазові технологічні процеси. Характерною особливістю таких галузей є
висока питома вага матеріальних затрат у собівартості продукції. Так, у
харчовій і легкій промисловості частка матеріальних витрат у собівартості
продукції становить 90%, у чорній металургії, в хімічній і нафтохімічній -
близько 80%, у машинобудуванні і металообробній промисловості - понад 70%.
По відношенню до технологічного процесу витрати виробництва
поділяються на дві групи:
1. основні витрати, безпосередньо пов'язані
з процесом виробництва продукції;
. накладні витрати, пов'язані з
обслуговуванням виробництва і його управлінням.
За способом розподілу між видами виробленої
продукції проводиться відмінність також між прямими і непрямими витратами.
Прямі витрати можуть бути безпосередньо віднесені
на конкретні види продукції (робіт, послуг) і розподілені між ними.
Непрямі витрати пов'язані з випуском декількох
видів продукції. Вони розподіляються за видами виробів, робіт або послуг на
підставі економічних розрахунків (наприклад, пропорційно до основної заробітної
плати працівника, безпосередньо зайнятих випуском продукції, часу роботи
робітників, відпрацьованих машино-годин на виробництво різних видів продукції і
другими методами ).
Також витрати можна розділити за реакцією на зміну обсягів
виробництва на:
умовно постійні
- умовно змінні.
Умовно змінні - збільшуються та зменшуються
відповідно до обсягу виробництва. Умовно постійні - збільшуються чи зменшуються
залежно від обсягу випуску продукції .
Система статистичних показників, що
використовуються для оцінки витрат на одну гривню реалізованої продукції буде
розглянута в наступному підрозділі роботи.
. Система статистичних показників витрат на одну
гривню реалізованої продукції і методика їх розрахунку
Абсолютними показниками витрат на підприємстві є
облікові показники собівартості та її складових.
Собівартість реалізованої продукції (робіт,
послуг) складається з виробничої собівартості продукції (робіт, послуг), яка
була реалізована протягом звітного періоду, нерозподілених постійних
загальновиробничих витрат та наднормативних виробничих витрат.
Але загальна сума витрат залежить від обсягів
виробництва і не може характеризувати ефективність поточних витрат на
підприємстві.
Для оцінки ефективності витрат на виробництво та
реалізацію продукції обмежують відносні показники рівня витрат к на одиницю
виробленої продукції в натуральній оцінці, так і на одну гривню реалізованої
продукції. Другий спосіб оцінки рівня витрат є більш поширеним в наш час, так
як асортимент продукції на підприємстві дуже швидко поновлюється, а перший
спосіб обчислення, дозволяє оцінити загальний рівень витрат лише по
порівняльній продукції, що є повністю однорідною.
Отже, показник рівня витрат на 1 гривню
реалізованої продукції обчислюється за формулою
де h - рівень витрат на одну гривню реалізованої
продукції;
Z - загальна сума витрат;
Q - вартість продукції.
Якщо розкласти загальну суму витрат (Z) та вартість продукції (Q) на фактори, що на них
впливають; кількість виробів кожного найменування (q), витрат на один виріб (z), ціну за виріб (р), то
формула прийме такий вид:
Оцінку рівня витрат на одну гривню реалізованої
продукції та їх динаміки по віртуальній фірмі №12 можна виконати за даними
таблиці 1.
Таблиця 1
Відносний рівень операційних витрат за елементами
на 1 гривню реалізованої продукції в основних цінах (чистого доходу) по
віртуальній фірмі №12 за 2008-2009 роки
|
Показник
|
2 008
|
2 009
|
Абсолютна змінна
відносного рівня витрат, п.п.
|
|
сума, тис.грн
|
відносний рівень,
%
|
сума, тис.грн
|
відносний рівень,
%
|
|
|
Чисті доходи,
виручка від реалізаці
|
8868,5
|
100
|
10494,3
|
100
|
-
|
|
Загальна сума
операційних витрат
|
8551,3
|
96,42
|
9560,8
|
91,10
|
- 5,32
|
|
В тому числі за
елементами витрат:
|
|
|
|
|
|
|
матеріальні витрати
|
5789,5
|
65,28
|
6408,1
|
61,06
|
- 4,22
|
|
амортизація
|
195,9
|
2,21
|
210,9
|
2,01
|
- 0,2
|
|
витрати на оплату
праці
|
1523,8
|
17,18
|
1679,4
|
16,00
|
- 1,18
|
|
відрахування на
соціальні заходи
|
563,8
|
6,36
|
626,2
|
5,97
|
- 0,39
|
|
інші операційні
витрати
|
478,3
|
5,39
|
636,2
|
6,06
|
0,67
|
Отже, загальний показник рівня операційних витрат
на 1 гривню реалізованої продукції, на віртуальному підприємстві №12, становить
аж 96,4 коп. Це свідчить про дуже низький рівень прибутковості операційної
діяльності. Загальний рівень лише матеріальних витрат на підприємстві становить
65,2 копійки.
Це свідчить про те що
підприємство виробляє досить матеріаломістку продукцію. Рівень операційних
витрат за 2009 рік знизився на 5,32 процентних пункти, тобто, у 2009 році
підприємство на кожні 100 грн, чистого доходу від реалізації продукції,
витрачало на 5,32 грн менше порівняно з попереднім роком. За 2009 рік у
підприємства скоротився рівень витрат за більшістю їх видів, крім інших
операційних витрат. Саме значне скорочення витрат на 100 грн реалізації було
досягнуте за матеріальними витратами, помітною є економія витрат на оплату
праці. Витрати на амортизацію у 2009 році становили 2,01% від чистого доходу
від реалізації, і скоротилися за цей рік на 0,2 процентних пункти. Підвищився
лише рівень інших операційних витрат. Для їх економії менеджерам підприємства
слід звернути увагу на можливе скорочення безнадійної дебіторської
заборгованості та відрахувань до резерву сумнівних боргів, витрат від
знецінення запасів, нестач та псування цінностей, недопущення штрафів, пень та
неустойок, тощо.
Для поглиблення та деталізації аналізу рівня
витрат на одну гривню реалізованої продукції нами були розглянуті відносні
витрати на сировину і матеріали за видами виробленої продукції віртуальної
фірми №12 ( табл.2).
Це дало нам змогу більш детально дослідити
витрати на кожний вид продукції. Такий аналіз необхідний, наприклад, з метою
визначення фінансових результатів за кожним видом продукції, або визначення
резервів економії конкретних складових операційних витрат за видами продукції.
витрата гривня реалізована продукція
Таблиця 2
Відносний рівень матеріальних витрат на одну
гривню реалізованої продукції за асортиментом фірми №12 у 2008-2009 роках
|
Асортимент
|
2 008 р.
|
2 009 р.
|
Абсолютне
відхилення витрат на 1 грн. реалізованої продукції
|
|
матеріальні
витрати, тис. грн.
|
вартість
реалізованої продукції, тис.грн.
|
витрати на одну грн
реалізованої .продукції, грн.
|
матеріальні
витрати, тис.грн.
|
вартість
реалізованої продукції, тис.грн.
|
витрати на одну грн
реалізованої .продукції, грн.
|
|
|
А
|
-
|
-
|
|
285,16
|
1991,48
|
0,14319
|
-
|
|
Б
|
726,3041
|
8157,27
|
0,0890376
|
730,22
|
5994,57
|
0,1218136
|
0,0236714
|
|
В
|
669,8362
|
711,23
|
0,9417997
|
316,71
|
2071,95
|
0,152856
|
-0,7494179
|
|
Разом
|
1396,1403
|
8868,5
|
0,1574269
|
1332,1
|
10058
|
0,1324418
|
-0,0301492
|
Фірма №12 випускає продукцію трьох видів, з
приблизно однаковими рівнями матеріальних витрат на одну гривню реалізованої
продукції. По більшості видів продукції рівень витрат на 1 гривню реалізації за
2009 рік зріс від 8-9 коп. до 12-15 коп., але за видом продукції В рівень
витрат на сировину і матеріали у 2008 році становив 94 коп., а у 2009 знизився
до 15,3 коп., що нереально і може бути пояснено помилкою у віртуальній базі
даних. Якщо допустити, що так воно і було в житті, то продукція виду В у 2008
році була збитковою оскільки виручка від реалізації ледь покривала витрати на
сировину і матеріали, інші види витрат за цією продукцією залишалися не
покритими, оскільки, як свідчать дані таблиці 1, середній рівень витрат,
пов’язаний з використання живої праці на підприємстві перевищує 20%
(17,18+6,36), а на їх покриття за продукцією В лишається лише 5,8%.
За іншими видами продукції зростання відносного
рівня матеріальних витрат можна пояснити подорожчанням сировини,
електроенергії, комплектуючих виробів.
Загальна середня собівартість 1 гривні
реалізованої продукції залежить від рівня собівартості за видами продукції та
асортиментної структури виробництва.
Для розробки планового показника рівня витрат,
витрати на одну гривню реалізованої продукції за затвердженим планом можна
розрахувати за такою формулою:
Приклад : (Віртуальне підприємство
12 за 2009 рік) плановий рівень витрат на сировину і матеріали на 2009 рік
становив:
Для визначення фактичних витрат на одну гривню
реалізованої продукції використовують таку формулу
Приклад : (Віртуальне підприємство
12 за 2009 рік)фактичний рівень матеріальних витрат на одну гривню реалізованої
продукції у 2009 році становив:
Порівняння зазначених показників свідчить про
збільшення фактичного рівня матеріальних витрат, порівняно з планом на 8,7%
(0,1259*100/0,1158-100).
Вплив факторів на виконання плану за рівнем
витрат буде розглянутий в наступному підрозділі роботи.
3. Статистичний аналіз факторів, що впливають на
динаміку показника витрат на одну гривню реалізованої продукції
При оцінці виконання плану за рівнем собівартості
реалізованої продукції, або будь-якою складовою витрат, вивчають вплив на
рівень витрат на одну гривню реалізованої продукції показника собівартості
одиниці продукції за асортиментними видами, структури та кількості виробленої
продукції, відхилення фактичних оптових цін реалізації від запланованих.
Для дослідження впливу перелічених факторів
використовують наступні умовні показники:
.Оскільки, на показник витрат на одну гривню
реалізованої продукції впливає структура та обсяги виробництва, щоб знайти цей
вплив використовують показник планових витрат при фактичній структурі
виробництва, який можна обчислити за такою формулою:
Приклад : (Віртуальне підприємство
12 за 2009 рік) заплановані витрати сировини і матеріалів на 1 грн реалізованої
продукції в перерахунку на фактичний обсяг і структуру виробленої продукції
становили:
. Щоб знайти фактичну вартість витрат на 1 грн
реалізації яка б не враховувала зміну оптових цін у звітному періоді
використовують показник фактичних витрат на одну гривню реалізованої продукції
в оптових цінах, прийнятих при складанні плану. Його знаходять за такою
формулою
Приклад : (Віртуальне підприємство
12 за 2009 рік):
Аналізуючи структуру наведених формул, не важко
зробити висновок, що показники h1і hпл розрізняються
собівартістю (Z1 і Zпл), обсягом та складом продукції( q1 і qпл) та рівнем
відпускних цін (p1 і pпл).
Показники h' і hпл розрізняються
обсягом і складом продукції (q1 і qпл), а собівартість
одиниці продукції (Zпл і Zпл) та рівень
відпускних цін на продукцію усіх видів (pпл і pпл) у них однакові.
Показники h' і h'' розрізняються
собівартістю одиниці продукції (Z1 і Zпл), а обсяг і
склад продукції (q1 і q1) та рівень
відпускних цін на продукцію усіх видів (pпл і pпл) у них однакові.
Нарешті, показники h1 і h"
розрізняються між собою тільки завдяки не співпаданню рівня відпускних цін на
продукцію усіх видів (pпл і p1).
Відмінні риси планових, фактичних та умовних
показників рівня витрат дають нам змогу використати на практиці наглядну схему
аналізу впливу перелічених факторів на загальний середній рівень витрат на 1
гривню реалізованої продукції і оцінити динамічні відхилення рівня витрат під
впливом кожного фактору (рис. 1).
На цій схемі показано напрями порівняння і вплив
кожного фактора, що з’ясовується при порівнянні.
В межах вищевказаного загального рівня витрат на
одну гривню реалізованої продукції можуть обчислюватись окремі показники
витрат.
Рис.1. Схема аналізу факторів виконання плану по
показнику витрат на 1 гривню реалізованої продукції
Наприклад, лише для собівартості, лише для
сировини та матеріалів, палива, оплати праці, тощо. Нами вивчалися рівні витрат
на сировину та матеріали та на паливо. Показники прийнятого плану було знайдено
за такими формулами:
Вартість виробленої продукції можна знайти
перемноживши планову ціну (pпл) на кількість виробів (qпл), що була запланована планом.
Повна планова собівартість є результатом множення
рівня планових витрат (Zпл) на кількість виробів передбачену планом (qпл).
Фактичні або звітні показники розраховуються за
такими формулами:
Вартість фактично виробленої продукції у діючих
цінах можна знайти перемноживши фактичну кількість виробленої продукції (q1) на фактичну ціну (p1).
Вартість фактично виробленої продукції у відпускних цінах прийнятих
при складанні плану можна знайти перемноживши фактичну кількість виробленої
продукції (q1) на планову ціну (рпл).
Повну фактичну собівартість продукції
розраховують перемножуючи рівень витрат на один виріб у звітному періоді (Z1) на фактичну кількість
виробленої продукції (q1).
Повну планову собівартість фактично виробленої
продукції розраховують перемножуючи рівень витрат на один виріб за планом (Zпл) на фактичну
кількість виробленої продукції (q1).
Тепер детально розглянемо різні рівні витрат на
одну гривню реалізованої продукції на підприємстві №12, які подані у таблиці 3,
та обчислені за даними додатку А. Розрахувавши відносні показники
витрат на один виріб (Z) по кожному асортиментному виду продукції як за
планом так і фактично ( додаток А), та маючи у віртуальній базі даних відомості
про кількість реалізованої продукції (q1 і qпл) та ціни
реалізації( р) за кожним асортиментним видом виробленої продукції ( додаток Д),
ми обчислили умовні показники матеріальних витрат на одну гривню продукції
кожного виду і загальні середні рівні витрат за усім асортиментом продукції.
Таблиця 3
Розрахунок витрат сировини і матеріалів на 1
гривню реалізованої продукції, по віртуальній фірмі №12 у 2009 році
|
Номер рядка
|
Найменування
показника
|
Рівень показника
|
|
1
|
2
|
3
|
|
|
А. Показники
прийнятого плану
|
|
|
1
|
Вартість виробленої
продукції у відпускних цінах, прийятих при складанні плану, тис.грн
|
10585,88
|
|
2
|
Повна планова
собівартість виробленої продукції, тис.грн.
|
1225,96
|
|
|
Б.Звітні показники
(фактичні)
|
|
|
3
|
Вартість фактично
виробленої продукції в діючих відпускних цінах, тис.грн.
|
10583,2001
|
|
Продовження таблиці
3
|
|
Номер рядка
|
Найменування
показника
|
Рівень показника
|
|
4
|
Вартість фактично
виробленої продукції у відпускних цінах, прийнятих при складанні плану,
тис.грн.
|
10792,62524
|
|
5
|
Повна фактична
собівартість виробленої продукції, тис.грн.
|
1332,101481
|
|
6
|
Повна планова
собівартість фактично виробленої продукції, тис.грн.
|
1252,422274
|
|
|
В. Рівні витрат на
1 грн. товарної продукції.
|
|
|
7
|
Витрати на 1 грн.
продукції за затвердженим планом, грн.
|
0,115810873
|
|
8
|
Фактичні витрати на
1 грн. продукції у відпускних цінах, грн.
|
0,125869441
|
|
9
|
Фактичні витрати на
1 грн продукції у відпускних цінах, прийнятих при складанні плану , грн.
|
0,123427012
|
|
10
|
Витрати на 1 грн
продукції по плану у перерахунку на фактичний обсяг и склад продукції, грн
|
0,116044266
|
|
11
|
Індекс відпускних
цін на продукцію, %
|
0,980595533
|
Із наведеної вище таблиці видно, що планові
витрати сировини і матеріалів на 1 гривню реалізованої продукції складають
11,58 копійки, а фактично вони склали приблизно 12,59 копійок. Отже, збільшення
витрат сировини і матеріалів на 1 гривню реалізованої продукції проти плану у
2009 році становило 1,01 копійки або рівень витрат виявився вищим на 8,68 % ніж
очікувалось за планом.
Використовуючи алгоритми порівняння подані у
схемі (рис.1) і дані про матеріальні витрати на одну гривню продукції подані у
таблиці 3, виражені у гривнях, обчислимо відхилення фактичних витрат на одну
гривню реалізованої продукції від її запланованого рівня усього:
Отже, відносний рівень витрат на одну гривню реалізованої
продукції зріс понад план на 0,010059 грн.
Це відхилення пов’язано з впливом наступних
факторів:
. Впливом структурних зрушень (зміною фактичного
обсягу і складу продукції у порівнянні з планом). Зміни порівняно з планом у
обсязі та складі фактично виробленої продукції обумовили підвищення відносного
рівня витрат на сировину та матеріали понад план всього на 0,02 копійки у
розрахунку на одну гривню реалізованої продукції.
. Впливом зміни фактичних матеріальних витрат на
одиницю продукції кожного виду у порівнянні з рівнем витрат, передбаченим
планом. Вплив підвищення матеріаломісткості одного виробу на відхилення від
плану показника витрат на одну гривню реалізованої продукції становить 0,74
копійки на одну гривню реалізації.
Вплив зміни рівня фактично діючих відпускних цін
на продукцію у звітному періоді у порівнянні з їх рівнем, прийнятим при складанні
плану:
Отже, надпланова динаміка відпускних цін вплинула
на збільшення показника витрат на одну гривню реалізованої продукції понад план
на 0,24 копійки в розрахунку на одну гривню реалізованої продукції.
Таким чином всі досліджені фактори без винятку
впливали на підвищення відносного рівня матеріальних витрат на одну гривню
реалізованої продукції. Через понадпланову зміну відносного рівня матеріальних
витрат, опосередковано, ті самі фактори впливають і на зміну загальної суми
витрат у розрахунку на всю вироблену продукцію. За даними таблиці 3, загальна
сума витрат зросла понад план на 106,1 тис. грн (1332,1-1225,99). На таке
зростання впливали зміни в обсягах і структурі виробництва на 2,47 тис грн:
,2*0,000233=2,466 тис.грн
Частково, на 78,14 тис грн понадпланове
збільшення витрат було обумовлене підвищенням середнього рівня витрат на один
виріб:
Ще на 25,85 тис грн збільшення загальної суми
фактичних витрат, порівняно з планом, пояснюється зниженням проти запланованого
рівня оптових цін на продукцію:
,2*0,002442=25,844 тис.грн
Зведений вплив усіх факторів наведено в таблиці
4.
Таблиця 4
Зведені показники впливу факторів на надпланову
зміну показників загальної суми та середнього рівня витрат сировини і
матеріалів на 1 гривню реалізованої продукції по віртуальній фірмі № 12за
2009р.
|
Показник
|
Надпланова зміна
відносного рівня витрат, грн.
|
Індекс динаміки
відносного рівня витрат, %
|
Надпланова зміна
загальної суми витрат, тис.грн
|
|
|
Загальна зміна
|
0,010058
|
1,0868
|
106,45
|
|
|
Вплив обсягів і
структури виробництва продукції
|
0,000233
|
1,002015
|
2,47
|
|
|
Вплив собівартості
одного виробу
|
0,007383
|
1,06362
|
78,13
|
|
|
Вплив динаміки
відпускних цін на показник витрат на 1 грн. реалізованої продукції
|
0,002442
|
1,019788
|
25,85
|
|
Таким чином, на віртуальній фірмі № 12 у 2009
році фактичні витрати на сировину і матеріали були вище запланованих як за
відносним рівнем на одну гривню реалізованої продукції, так і за загальною
сумою витрат.
Резервами зниження матеріальних витрат до
запланованого рівня могли б стати заходи по недопущенню зміни обсягів та
структури виробництва на користь збільшення у виробництві частки
матеріаломістких видів продукції, підвищення витрат на одиницю виробленої
продукції, а зниження проти плану оптових цін є маркетинговим і незалежним від
менеджерів фірми фактором.
Подібний аналіз впливу факторів на показник
витрат на паливо в розрахунку на 1 грн реалізованої продукції можна виконати за додатком Б та таблицею 5.
Таким чином, на віртуальній фірмі № 12 у 2009
році фактичні витрати на паливо також були вище запланованих як за відносним
рівнем на одну гривню реалізованої продукції, так і за загальною сумою витрат.
Таблиця 5
Зведені показники впливу факторів на надпланову
зміну показників загальної суми та середнього рівня витрат палива на 1 гривню
реалізованої продукції по віртуальній фірмі № 12за 2009р.
|
Показник
|
Надпланова зміна
відносного рівня витрат, грн.
|
Індекс динаміки
відносного рівня витрат, %
|
Надпланова зміна
загальної суми витрат, тис.грн
|
|
Загальна зміна
|
0,021
|
1,0886
|
222,24
|
|
Вплив обсягів і
структури виробництва продукції
|
0,015
|
1,0633
|
158,75
|
|
Вплив собівартості
одного виробу
|
0,001
|
1,0040
|
10,58
|
|
Вплив динаміки
відпускних цін на показник витрат на 1 грн. реалізованої продукції
|
0,005
|
1,0198
|
52,92
|
Загальні перевитрати на паливо по віртуальній фірмі № 12 за
2009 рік становили аж 222,24 тис грн і найбільш відчутним фактором, їх
надпланового збільшення, були зміни у обсягах та структурі виробництва
продукції.
Для вивчення впливу на загальний показник собівартості однієї
гривні реалізованої продукції рівня трудомісткості виробництва, нами була
здійснена спроба оцінки тісноти та істотності зв’язку між цими економічними
показниками з допомогою методу кореляційно-регресійного аналізу. Апроксимація
зв’язку між рівнем трудомісткості та рівнем собівартості реалізованої продукції
виконувалася за парним лінійним рівнянням регресії.
Для визначення параметрів лінійного рівняння регресії та
показників тісноти та істотності зв’язку була побудована таблиця 6 та додаток В
у якому обчислені допоміжні показники, для обчислення лінійного коефіцієнта
кореляції, розрахункового F - критерію Фішера та параметрів лінійного рівняння регресії.
Таблиця 6
Показники трудомісткості реалізованої продукції і рівня її
собівартості за вибірковою сукупністю 11 віртуальних підприємств за 2009 рік
|
№ підприємства
|
Реалізована
продукція, тис.грн
|
Витрати часу,
люд.год.
|
Трудомісткість
реалізованої продукції, люд.-год. на 1000 грн (Х)
|
Собівартість
реалізованої продукції, тис.грн.
|
Собівартість 1 грн
реалізованої продукції, грн (У)
|
|
12
|
10058
|
294945
|
29,32442
|
8519,1
|
0,846997
|
|
13
|
15941,2
|
821880
|
51,55697
|
11301,5
|
0,708949
|
|
14
|
36544,5
|
1042984
|
28,54011
|
30125,2
|
0,824343
|
|
15
|
110796,2
|
2611624
|
23,57142
|
101384,7
|
0,915056
|
|
16
|
27549
|
807860
|
29,32448
|
23334
|
0,847
|
|
17
|
43663,1
|
2251144
|
51,55713
|
30955,1
|
0,708953
|
|
18
|
78711,3
|
27434149
|
348,5414
|
244480,9
|
3,106046
|
|
19
|
18272,3
|
521492
|
28,54003
|
3492,3
|
0,191125
|
|
20
|
33885,2
|
993668
|
29,32454
|
6654,3
|
0,196378
|
|
4
|
285982,2
|
4747494
|
16,60066
|
42307,5
|
0,147938
|
|
5
|
22121,4
|
631346
|
28,54006
|
4227,9
|
0,191123
|
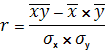
Для оцінки тісноти зв’язку обчислюється лінійний коефіцієнт
кореляції:
A 
обчислюємо
за формулами:
За шкалою стандартних значень кореляційного відношення, якщо 0,7< r ≤
0,9, то зв'язок вважається тісним. Отже, зв’язок між показниками трудомісткості
реалізованої продукції та собівартості реалізованої продукції є прямий,
оскільки лінійний коефіцієнт кореляції позитивний і тіснота цього зв’язку
оцінюється як висока. Це також свідчить про те що, підприємства зорієнтовані на
виробництво трудомісткої продукції.
Обчислюємо F - критерій Фішера:
За теоретичним коефіцієнтом детермінації R2 =0,871066431 (0,933*0,933=0,871) можна
зробити висновок, що приблизно на 87% різниця між собівартістю однієї гривні
реалізованої продукції на різних підприємствах пояснюється тим, що на них є
різний рівень трудомісткості 1000 грн реалізованої продукції, а на 23% варіація
рівня собівартості пов’язана з іншими причинами.
Оскільки розрахунковий F - критерій Фішера 60,80339 більше ніж його
табличне значення, знайдене для рівня істотності α = 0,05 (Fкрит.=5,12),
то з імовірністю помилки не більше 5% зв'язок визнається істотним. Таким чином
робимо висновок, що трудомісткість істотно впливає на собівартість однієї
гривні реалізованої продукції на підприємствах.
Оскільки зв’язок є істотним, то для поглиблення його аналізу було
обчислено параметри лінійного рівняння виду:
Параметр b знайдемо
зі зв’язку:
Параметр

знайдено із першого рівняння в системі
нормальних рівнянь виду:
= 0,302177698
Тоді рівняння регресії приймає такий вид:
За виконаними обчисленнями зробимо наступні висновки, що найбільша
собівартість продукції на підприємстві №18, а найменша на підприємстві №4.
Між собівартістю продукції та трудомісткістю продукції існує прямий
високий зв’язок. Підприємство №12 займає останнє місце по кількості
відпрацьованих людино-годин та кількості реалізованої продукції, але по
трудомісткості та собівартості реалізованої продукції займає 5 місце. Таке
місце зумовлене тим, що на підприємствах різний рівень трудомісткості . Тепер
сміливо можна сказати, що продукція котру виробляє віртуальне підприємство №12
є досить трудомісткою. Значення параметра b
означає, що зі збільшенням трудомісткості 1000 грн реалізованої продукції на 1
людино-годину, рівень витрат на 1 грн реалізованої продукції зростає на 0,00805
грн (або на 0,8 копійок).
Якщо обчислити коефіцієнт еластичності, то можна бачити, що
досліджувана залежність є низько еластичною.
Кел. = 0,00805*(60,49/8,68)=0,056
Тобто, зі збільшенням трудомісткості 1000 грн реалізованої продукції на
1 %, рівень витрат на 1 грн реалізованої продукції зростає лише на 0,056 %.
Отже нами було доведено, що трудомісткість продукції
помітно впливає на рівень витрат у розрахунку на 1 грн реалізованої продукції.
4. Аналіз ефективності та динаміки витрат на одну гривню реалізованої продукції, виробленої на
експорт
Усі види продукції віртуальної фірми № 12 частково
реалізовуються на експорт. За даними додатку Г та Д нами було проведено
дослідження рівня витрат на одну гривню товарної продукції, реалізованої на
експорт.
Таблиця 7
Розрахунок витрат на 1 гривню товарної продукції виробленої
на експорт, по віртуальній фірмі №12 за 2009 рік
|
Номер рядка
|
Найменування
показника
|
Рівень показника
|
|
1
|
2
|
3
|
|
|
А. Показники
прийнятого плану
|
|
|
1
|
Вартість виробленої
продукції у відпускних цінах, прийнятих при складанні плану, тис.грн
|
10585,88
|
|
2
|
Повна планова
собівартість виробленої продукції, тис.грн.
|
1225,96
|
|
|
Б.Звітні показники
(фактичні)
|
|
|
3
|
Вартість фактично
виробленої продукції в діючих відпускних цінах, тис.грн.
|
4363,81
|
|
4
|
Вартість фактично
виробленої продукції у відпускних цінах, прийнятих при складанні плану,
тис.грн.
|
10792,65
|
|
5
|
Повна фактична
собівартість виробленої продукції, тис.грн.
|
508,796
|
|
6
|
Повна планова
собівартість фактично виробленої продукції, тис.грн.
|
1252,42
|
|
|
В. Рівні витрат на
1 грн. товарної продукції.
|
|
|
7
|
Витрати на 1 грн.
продукції за затвердженим планом, грн.
|
0,1158
|
|
8
|
Фактичні витрати на
1 грн. продукції у відпускних цінах, грн.
|
0,1166
|
|
9
|
Фактичні витрати на
1 грн продукції у відпускних цінах, прийнятих при складанні плану , грн.
|
0,1234
|
|
10
|
Витрати на 1 грн
продукції по плану у перерахунку на фактичний обсяг и склад продукції, грн
|
0,1160
|
|
11
|
Індекс відпускних
цін на продукцію, %
|
0,40433
|
Із наведеної вище таблиці видно, що витрати за
планом на 1 гривню товарної продукції виробленої на експорт складають 11,58
копійки, а фактично вони склали приблизно 11,66 копійок. Отже, збільшення
витрат на 1 гривню товарної продукції виробленої на експорт проти плану у 2009
фактично становило 0,08 копійки або рівень витрат виявився більшим на 0,69 %
ніж очікувалось за планом.
Використовуючи алгоритми порівняння подані у
схемі (рис.1) і дані про 1 гривню товарної продукції виробленої на експорт
подані у таблиці 7, виражені у гривнях, обчислимо відхилення фактичних витрат
на одну гривню реалізованої продукції від її запланованого рівня усього:
Отже, відносний рівень витрат на одну гривню товарної продукції виробленої на експорт зменшився
понад план на 0,08064 грн.
Це відхилення пов’язано з впливом наступних
факторів:
. Впливом структурних зрушень (зміною фактичного
обсягу і складу продукції у порівнянні з планом). Зміни порівняно з планом у
обсязі та складі фактично виробленої продукції обумовили зниження відносного
рівня витрат на план всього на 0,05 копійки у розрахунку на одну гривню
товарної продукції виробленої на експорт.
. Впливом зміни фактичних матеріальних витрат на
одиницю продукції кожного виду у порівнянні з рівнем витрат, передбаченим
планом. Вплив підвищення матеріаломісткості одного виробу на відхилення від
плану показника витрат на одну гривню товарної продукції виробленої на експорт
становить 7,38 коп.
.Вплив зміни рівня фактично діючих відпускних цін
на продукцію у звітному періоді у порівнянні з їх рівнем, прийнятим при
складанні плану:
Отже, надпланова динаміка відпускних цін вплинула
на збільшення показника витрат на одну гривню товарної продукції виробленої на
експорт понад план на 6,83 копійки в розрахунку на одну гривню товарної
продукції виробленої на експорт.
Таким чином всі досліджені фактори, крім впливу
матеріальних витрат одного виробу, впливали на зниження відносного рівня
матеріальних витрат на одну гривню товарної продукції виробленої на експорт.
Через понадпланову зміну відносного рівня матеріальних витрат, опосередковано,
ті самі фактори впливають і на зміну загальної суми витрат у розрахунку на всю
вироблену продукцію. За даними таблиці 7, загальна сума витрат зменшилась понад
план на 743,62 тис. грн (1252,42-508,796). На таке зменшення впливали зміни в
обсягах і структурі виробництва -2,44тис грн:
Частково, на 3,49 тис грн понадпланове збільшення
витрат було обумовлене підвищенням середнього рівня витрат на один виріб:
Ще на 29,7917 тис грн було зменшення загальної
суми фактичних витрат, порівняно з планом, пояснюється підвищенням проти
запланованого рівня оптових цін на продукцію:
Зведений вплив усіх факторів наведено в таблиці
4.
Таблиця 8
Вплив факторів на зміну рівня витрат на 1 гривню
товарної продукції виробленої на експорт за 2009 роки
|
Показник
|
Надпланова зміна
відносного рівня витрат, грн.
|
Індекс динаміки
відносного рівня витрат, %
|
Надпланова зміна
загальної суми витрат, тис.грн
|
|
Вплив обсягів і
структури виробництва продукції
|
-0,000233
|
1,002015
|
1,018457
|
|
Вплив собівартості
одного виробу
|
0,007383
|
1,06362
|
32,2169
|
|
Вплив динаміки
відпускних цін на показник витрт на 1 грн. товарної продукції виробленої на
експорт
|
-0,00683
|
0,944643
|
-29,82
|
Таким чином, на віртуальній фірмі № 12 у 2009
році фактичні витрати на товарну продукцію вироблену на експорт були менше
запланованих як за відносним рівнем на одну гривню товарної продукції, так і за
загальною сумою витрат.
Допущені зміни у структурі та обсязі виробництва
пішли на користь зменшення загального рівня витрат, а збільшення проти плану
оптових цін є маркетинговим і незалежним від менеджерів фірми фактором, котре в
свою чергу, теж пішло на користь.
Висновки
Актуальність даної теми в сучасних економічних умовах є дуже
важливою, оскільки основним завданням на кожному підприємстві є максимізація
прибутку .
У курсовій роботі було визначено поняття витрат
на 1 гривню реалізованої продукції, статистичне дослідження системі
статистичних витрат на 1 гривню реалізованої продукції. Було виконано
статистичний аналіз факторів, що впливають на динаміку витрат на одну гривню
реалізованої продукції, а також аналіз ефективності витрат на одну гривню
продукції виробленої на експорт.
Також, було виконано кореляційно - регресійний
аналіз, для з’ясування тісноти зв’язку між показниками трудомісткості і
собівартості, в результаті чого з’ясували, що собівартість продукції віртуального
підприємства №12 має пряму залежність від трудомісткості продукції.
Також було використано такі методи і прийоми
статистичного аналізу як порівняння, обчислення відносних та середніх величин,
аналіз тенденцій розвитку явища, індексний аналіз, метод абсолютних різниць,
кореляційно-регресійний аналіз, тощо.
В аналізі витрат пов’язаних з реалізацією
продукції на експорт, було визначено, що підприємство продавало свою продукцію
по значно заниженими цінами, це дає нам підставу вважати, що підприємство № 12
або відкрито демпінгувало на зовнішньому ринку або спостерігалось таке явище як
спорадичний демпінг.
Список використаної літератури
1. Салин
В.Н., Шпаковская Е.П. Социально-экономическая статистика: Учебник. - М.:
Юристъ, 2001. - 461 с.
. Райзберг
Б.А., Лозовский Л.Ш., Стародубцева Е.Б. Сучасний
економічний словник . - М.: ИНФРА - М, 1997.
- 576 с.
. Савицкая Г.В. Аналіз господарської
діяльності підприємства:2-е видан., перераб., доп. - М.: Минск: ИП "Экоперспектива", 1998. 498 с.
. Баканов,
Михаил Иванович, Шеремет, Анатолий Данилович. Теория экономического анализа:
Учеб. для студентов экон.спец.-4-е изд. , доп.
. Вашків
П.Г , П.І. Пастер, В.П.Сторожук, Є.І. Ткач; начальний посібник: Статистика
підприємництва - 1999.-600 с.
6. Ю.Н. Иванова; Экономическая
статистика. 2-е
вид., доп
ИНФРА-М, 2002. - 480 с.
7. В.Е.
Адамов, С.Д. Ильенкова, Т.П. Сиротина, С.А. Смирнов; Економіка і статистика
фирм. 3-е вид., доп - М.: Финанси і статистика,
2000.-288с.
8. Социально-экономическая
статистика: Практикум / Под ред. В.Н. Салина,
Е.П. Шпаковской: Учебное пособие. - М.:
Финансы и статистика, 2008. - 192 с.
. Гетьман
О.О. Економіка підприємства: навчальний посібник - 2-ге видання. /Гетьман О.О.,
Шаповал В.М. - К.: Центр учбової літератури, 2010. - 488с.
10. Строчихин
Ю.Ф. Статистика предприятия с основами социально-экономической статистики
(основы социально-экономической статистики): Методические рекомендации. -
Полтава: РИО ПУПКУ, 2006.-62 с.
. Социальная
статистика: Учебник / Под ред. И.И. Елисеевой.
- М.: Финансы и статистика, 2001. - 416 с.
|
Показник
|
План 2009р.
|
факт 2009р.
|
Планові витрати при
фактичній структурі виробництва
|
Фактичні витрати
при плановій ціні
|
|
|
|
|
|
|
|
А
|
Б
|
В
|
А
|
Б
|
В
|
А
|
Б
|
В
|
А
|
Б
|
В
|
|
Витрати сировини на
один виріб, грн
|
1,98
|
1,2
|
5,3
|
1,89
|
1,34
|
5,6
|
1,98
|
1,2
|
5,3
|
1,89
|
1,34
|
5,6
|
|
Кількість
вироблених виробів, тис.шт.
|
152
|
550
|
50
|
150,88
|
545
|
56,556
|
150,9
|
544,942
|
56,55572
|
150,88
|
544,942
|
56,55572
|
|
Оптова ціна,
тис.грн.
|
14,69
|
11,3
|
42,76
|
14,8
|
11,4
|
37,8
|
14,69
|
11,3
|
42,76
|
14,69
|
11,3
|
42,76
|
|
Витрати на всі
вироблені вироби, тис.грн.
|
300,96
|
660
|
265
|
285,17
|
730
|
316,71
|
298,7
|
653,9304
|
299,7453
|
285,17
|
730,2223
|
316,712032
|
|
Вартість вироблених
виробів, тис.грн.
|
2232,9
|
6215
|
2138
|
2233,1
|
6212
|
2137,8
|
2216
|
6157,845
|
2418,323
|
2216,5
|
2418,322587
|
|
Загальна сума
витрат за всіма видами, тис.грн.
|
1225,96
|
1332,101481
|
1252,422274
|
1332,101481
|
|
Загальна вартість,
тис.грн.
|
10585,88
|
10583,2001
|
10792,62524
|
10792,62524
|
|
Витрати на 1 гривню
реалізованої продукції, грн.
|
0,115810873
|
0,125869441
|
0,116044266
|
0,123427012
|
|
Індекс відпускних
цін на продукцію, %
|
0,980595533
|
Додаток А
Відносний рівень витрат сировини і матеріалів на
1 гривню реалізованої продукції по віртуальній фірмі №12 за 2009 рік
Додаток Б
Відносний рівень витрат палива на 1 гривню
реалізованої продукції по віртуальній фірмі №12 за 2009 рік
|
Показник
|
План 2009р.
|
Факт 2009р.
|
Планові витрати при
фактичній структурі виробництва
|
Фактичні витрати
при плановій ціні
|
|
|
|
|
|
|
|
А
|
Б
|
В
|
А
|
Б
|
В
|
А
|
Б
|
В
|
А
|
Б
|
В
|
|
Витрати сировини на
один виріб,грн.
|
2,2823
|
0,967
|
32,62
|
2,3462
|
0,97
|
32,621
|
2,282
|
0,967075
|
32,62093
|
2,3462
|
0,967075
|
32,62093
|
|
Кількість
вироблених виробів, тис.шт.
|
152
|
550
|
50
|
150,88
|
545
|
56,556
|
150,9
|
544,942
|
56,55572
|
150,88
|
544,942
|
56,55572
|
|
Оптова ціна, грн.
|
14,69
|
11,3
|
42,76
|
14,8
|
11,4
|
37,8
|
14,69
|
11,3
|
42,76
|
14,69
|
11,3
|
42,76
|
|
Витрати на всі
вироблені вироби, тис.грн.
|
346,91
|
531,9
|
1631
|
354
|
527
|
1844,9
|
344,4
|
526,9998
|
1844,9
|
354
|
526,9998
|
1844,900183
|
|
Вартість вироблених
виробів, тис.грн.
|
2232,9
|
6215
|
2138
|
2233,1
|
6212
|
2137,8
|
2216
|
6157,845
|
2418,323
|
2216,5
|
6157,845
|
2418,322587
|
|
Загальна сума витрат
за всіма видами, тис.грн.
|
2509,84575
|
2725,900004
|
2716,256596
|
2725,900004
|
|
Загальна вартість,
тис.грн.
|
10585,88
|
10583,2001
|
10792,62524
|
10792,62524
|
|
Витрати на 1 гривню
реалізованої продукції, грн.
|
0,237093728
|
0,257568597
|
0,251677098
|
0,252570616
|
|
Індекс відпускних
цін на продукцію, %
|
0,9806
|
|
|
|
|
|
|
|
|
|
|
|
Додаток В
Розрахункові показники для виконання кореляційно
регресійного аналізу зв’язку між трудомісткістю та витратами на одну гривню
реалізованої продукції по сукупності віртуальних фірм №12-№20,№4 і №5 за 2009
рік
|
№
|
X
|
Y
|
X^2
|
XY
|
Y^2
|
Ya
|
De
|
|
12
|
29,32442
|
0,846997
|
859,9215129
|
24,83770656
|
0,717404621
|
0,538385
|
0,095241
|
|
13
|
51,55697
|
0,708949
|
2658,121349
|
36,55127077
|
0,50260888
|
0,717468
|
7,26E-05
|
|
14
|
28,54011
|
0,824343
|
814,5378009
|
23,52683661
|
0,679541257
|
0,532068
|
0,085425
|
|
15
|
23,57142
|
0,915056
|
555,611941
|
21,56916537
|
0,837327027
|
0,492045
|
0,178938
|
|
16
|
29,32448
|
0,847
|
859,9249154
|
24,83782831
|
0,717408816
|
0,538386
|
0,095243
|
|
17
|
51,55713
|
0,708953
|
2658,137364
|
36,55159683
|
0,502614819
|
0,717469
|
7,25E-05
|
|
18
|
348,5414
|
3,106046
|
121481,1279
|
1082,58563
|
9,647520292
|
3,109671
|
1,31E-05
|
|
19
|
28,54003
|
0,191125
|
814,5333431
|
5,454723743
|
0,036528905
|
0,532067
|
0,116241
|
|
20
|
29,32454
|
0,196378
|
859,9288144
|
5,758688324
|
0,038564228
|
0,538386
|
0,11697
|
|
4
|
16,60066
|
0,147938
|
275,5819974
|
2,455860998
|
0,021885512
|
0,435896
|
0,08292
|
|
5
|
28,54006
|
0,191123
|
814,5348099
|
5,454650418
|
0,036527857
|
0,532067
|
0,116243
|
|
Разом
|
665,4212
|
8,683907
|
132651,9617
|
1269,583958
|
13,73793222
|
8,683907
|
0,887379
|
|
У середньому
|
60,49284
|
0,789446
|
12059,26925
|
115,4167235
|
1,248902929
|
0,789446
|
0,080671
|
Продовження додатку В
|
σx
|
91,65089
|
|
|
(67,66088423)
|
|
|
σy
|
0,790998
|
|
r
|
(72,49566374)
|
0,933309
|
|
|
|
|
|
|
|
|
Dx
|
8399,885
|
|
a
|
0,302177698
|
|
|
Dy
|
0,625678
|
|
b
|
0,008054977
|
|
|
De
|
0,080671
|
|
R^2
|
0,871066431
|
(0,128934)
|
|
|
|
|
|
|
|
|
F
|
60,80339
|
|
R^2
|
0,871066431
|
|
|
|
|
|
R
|
0,933309397
|
|
|
Fkr
|
5,12
|
|
|
|
|
Додаток Г
Відносний рівень витрат сировини і матеріалів на
1 гривню продукції реалізованої на експорт по віртуальній фірмі №12 за 2009 рік
|
Показник
|
План 2009р.
|
Факт 2009р.
|
Планові витрати при
фактичній структурі виробництва
|
Фактичні витрати
при плановій ціні
|
|
|
|
|
|
|
|
А
|
Б
|
В
|
А
|
Б
|
В
|
А
|
Б
|
В
|
А
|
Б
|
В
|
|
Витрати сировини на
один виріб,грн.
|
1,98
|
1,2
|
5,3
|
1,89
|
1,34
|
5,6
|
1,98
|
1,2
|
5,3
|
1,89
|
1,34
|
5,6
|
|
Кількість
вироблених виробів, тис.шт.
|
152
|
550
|
50
|
15,4
|
310
|
11,6
|
150,9
|
544,942
|
150,88
|
544,942
|
56,55572
|
|
Оптова ціна, грн.
|
14,69
|
11,3
|
42,76
|
14
|
11,9
|
40,1
|
14,69
|
11,3
|
42,76
|
14,69
|
11,3
|
42,76
|
|
Витрати на всі
вироблені вироби, тис.грн.
|
300,96
|
660
|
265
|
29,106
|
415
|
64,96
|
298,7
|
653,9304
|
299,7453
|
285,17
|
730,2223
|
316,712032
|
|
Вартість вироблених
виробів, тис.грн.
|
2232,9
|
6215
|
2138
|
215,6
|
3683
|
465,16
|
2216
|
6157,845
|
2418,323
|
2216,5
|
6157,845
|
2418,322587
|
|
Загальна сума
витрат за всіма видами, тис.грн
|
1225,96
|
508,796
|
1252,422274
|
1332,101481
|
|
Загальна вартість,
тис.грн.
|
10585,88
|
4363,81
|
10792,62524
|
10792,62524
|
|
Витрати на 1 гривню
реалізованої продукції, грн.
|
0,115810873
|
0,116594444
|
0,116044266
|
0,123427012
|
|
Індекс відпускних
цін на продукцію, %
|
0,404332579
|
Додаток Д
Показники виробленої і реалізованої продукції за
асортиментом по фірмі №12 у 2009 році
|
Вид продукції
|
Вироблено
продукції, тис.грн
|
Реалізовано
продукції, тис.грн.
|
В т.ч реалізація на
експорт, тис.грн.
|
|
А
|
2233,055
|
1991,484
|
15,4
|
|
Б
|
6212,338
|
5994,568
|
309,5
|
|
В
|
2137,806
|
2071,948
|
11,6
|
|
Разом
|
10593,2
|
10058
|
336,5
|
Продовження додатку Д
|
Вид продукції
|
Ціна, грн. за 1 шт.
|
Кількість виробів,
шт.
|
|
планова
|
фактично
|
факт.ціна реаліз на
експорт
|
за планом
|
фактично
|
|
|
|
|
|
|
|
|
|
|
|
|
|
А
|
14,69115
|
14,8
|
14
|
152
|
150,8821
|
|
Б
|
11,29516
|
11,4
|
11,9
|
550
|
544,942
|
|
В
|
42,75613
|
37,8
|
40,1
|
50
|
56,55572
|
|
Разом
|
|
|
|
752
|
752,37982
|
Продовження 2 додатку Д
|
Вид продукції
|
Витрати сировини і
матеріалів, тис.грн.
|
Витрати палива на
технологічні цілі, тис.грн.
|
|
план
|
факт
|
план
|
факт
|
|
на 1 шт.
|
всього
|
на 1 шт.
|
всього
|
на 1 шт.
|
всього
|
на 1 шт.
|
всього
|
|
А
|
1,98
|
300,96
|
1,89
|
285,1672
|
2,28289474
|
347
|
2,346203
|
354
|
|
Б
|
1,2
|
660
|
1,34
|
730,2222
|
0,96545455
|
531
|
0,967075
|
527
|
|
В
|
5,3
|
265
|
5,6
|
316,7121
|
36,818
|
1840,9
|
32,62093
|
1844,9
|
|
Разом
|
|
1225,96
|
|
1332,101
|
|
2718,9
|
|
2725,9
|