Метрологические испытания измерительного микроскопа ТМ-500

  • Вид работы:
    Дипломная (ВКР)
  • Предмет:
    Другое
  • Язык:
    Русский
    ,
    Формат файла:
    MS Word
    274,48 kb
  • Опубликовано:
    2011-05-14
Вы можете узнать стоимость помощи в написании студенческой работы.
Помощь в написании работы, которую точно примут!

Метрологические испытания измерительного микроскопа ТМ-500

СОДЕРЖАНИЕ

Введение

.         Общие положения испытаний средств измерений

. Структурная схема и принцип действия микроскопа

. Инструкция по использованию микроскопа

. Испытательное оборудование

. Программа испытаний:

.1 Рассмотрение технической документации

.2 Испытание микроскопа

. Разработка методики поверки микроскопа

. Составление описание типа

. Выводы по результатам испытаний

. Технико-экономическое обоснование

. Безопасность жизнедеятельности

Заключение

Список литературы

ВВЕДЕНИЕ

Заявитель - ОАО «УРАЛаз» предоставил в УНИИМ (ГЦИ СИ) прибор - микроскоп измерительный ТМ-500, заводской № 260108, изготовленный фирмой «Mitutoyo Corporation» (Япония). В соответствии с законом РФ «Об обеспечении единства измерений», необходимо проведение испытаний микроскопа для целей утверждение его типа. В связи с этим ГЦИ СИ было предложено провести испытания, разработать программу испытаний микроскопа и описание типа для Госреестра.

Микроскоп измерительный ТМ-500 предназначен для измерения наружных и внутренних линейных размеров и диаметров изделий в продольном и поперечном направлениях до 50 мм. Он может использоваться в производственных цехах, при измерении изделий и элементов машины, для точных измерений контрольных приборов в измерительной лаборатории.

Целью испытаний является обеспечение требуемой точности результатов измерений с учетом влияния метода измерений, характера исследуемого процесса, свойств средств измерений, воздействия влияющих внешних факторов на метрологические характеристики прибора, формы представления конечного результата измерений.

Основной задачей настоящей дипломной работы является проведение испытаний единичного экземпляра микроскопа измерительного ТМ-500 для целей утверждения типа.

1. ОБЩИЕ ПОЛОЖЕНИЯ ИСПЫТАНИЙ СРЕДСТВ ИЗМЕРЕНИЙ

В соответствии с законом «Об обеспечении единства измерений» в сферах распространения государственного метрологического контроля и надзора средства измерений подвергаются обязательным испытаниям с последующим утверждением типа средств измерений (СИ).

Решение об утверждении типа СИ принимается Федеральным Агентством по техническому регулированию и метрологии и удостоверяется сертификатом об утверждении типа СИ. Срок действия этого сертификата устанавливается при его выдаче Федеральным Агентством по техническому регулированию и метрологии.

Утвержденный тип СИ вносится в Государственный реестр СИ, который ведет Федеральное Агентство по техническому регулированию и метрологии.

Испытания СИ для целей утверждения их типа проводятся государственными научными метрологическими центрами Госстандарта России, аккредитованными им в качестве государственных центров испытаний СИ.

Решением Федерального Агентства по техническому регулированию и метрологии в качестве государственных центров испытаний СИ могут быть аккредитованы и другие специализированные организации.

Общие требования к организации и порядку проведения работ в рамках Системы испытаний и утверждения типа СИ установлены утвержденным Федеральным Агентством по техническому регулированию и метрологии документом ПР 50.2.009-94 «ГСИ. Порядок проведения испытаний и утверждения типа средств измерений».

Система испытаний и утверждения типа средств измерений включает:

испытания СИ для целей утверждения их типа;

принятие решения об утверждении типа, его государственную регистрацию и выдачу сертификата об утверждении типа

испытание СИ на соответствие утвержденному типу;

признание утверждения типа или результатов испытаний типа средств измерений, проведенных компетентными организациями зарубежных стран;

информационное обслуживание потребителей измерительной техники, контрольных, надзорных органов и органов государственного управления.

Организационную структуру системы испытаний и утверждения типа средств измерений образуют:

Научно-техническая комиссия по метрологии и измерительной технике Федерального Агентства по техническому регулированию и метрологии

Управление Федерального Агентства по техническому регулированию и метрологии, на которое возложено руководство работами в Системе испытаний и утверждения типа средств измерений,

Всероссийский научно-исследовательский институт метрологической службы (ВНИИМС),

государственные центры испытаний (ГЦИ) СИ, аккредитованные на этот вид деятельности,

органы ГМС.

Научно-техническая комиссия по метрологии и измерительной технике Федерального Агентства по техническому регулированию и метрологии, образуемая из числа представителей государственных научных метрологических центров (ГНМЦ), органов ГМС, аппарата Федерального Агентства по техническому регулированию и метрологии и других заинтересованных организаций, осуществляет:

рассмотрение нормативных документов, устанавливающих принципы и правила функционирования Системы испытаний и утверждения типа средств измерений;

рассмотрение результатов испытаний СИ для целей утверждения типа.

Управление Федерального Агентства по техническому регулированию и метрологии осуществляет:

организацию, координацию и методическое руководство работами в Системе испытаний и утверждения типа средств измерений;

аккредитацию ГЦИ СИ;

взаимодействие с международными и зарубежными организациями по вопросам испытаний СИ.

ВНИИМС осуществляет:

разработку нормативных документов, устанавливающих принципы и правила функционирования Системы испытаний и утверждения типа средств измерений;

формирование банков данных и информационное обеспечение Системы испытаний и утверждения типа средств измерений, касающееся СИ утвержденных типов и аккредитованных ГЦИ СИ.

ГЦИ СИ осуществляют проведение по поручению Управления Госстандарта России испытаний СИ для целей утверждения типа. Требования к ГЦИ СИ и порядок их аккредитации установлены правилами ПР 50.2.010-94 «ГСИ. Требования к государственным центрам испытаний средств измерений». Аккредитованные ГЦИ СИ подлежат государственной регистрации в Государственном реестре СИ в разделе «Государственные центры испытаний средств измерений». Порядок ведения Государственного реестра СИ установлен документом ПР 50.2.011-94 «ГСИ. Порядок ведения Государственного реестра средств измерений».

Органы ГМС в Системе испытаний и утверждения типа средств измерений осуществляют проведение испытаний СИ на соответствие утвержденному типу.

Утверждение типа СИ является видом государственного метрологического контроля и проводится в целях обеспечения единства измерений в стране, постановки на производство и выпуска в обращение СИ, соответствующих установленным в нормативных документах требованиям.

Испытания средств измерений, разработанных в сферах распространения государственного метрологического контроля и надзора, проводятся обычно государственными научными метрологическими центрами Федерального Агентства по техническому регулированию и метрологии, которые аккредитуются им в качестве государственных центров испытаний средств измерений. Проводятся испытания комиссией и в соответствии с программой, утверждаемой ГЦИ СИ, или согласованной с ГЦИ СИ типовой программе, в которую могут быть внесены изменения и дополнения. В состав комиссии входят представители соответствующего государственного центра испытаний средств измерений (председатель), заказчика средства измерений, ведомственных метрологических служб, организаций (предприятий) разработчика и предполагаемого производителя средств измерений. В некоторых случаях испытания средств измерений проводятся указанной комиссией в организации (предприятии) разработчика средств измерений.

По решению Федерального Агентства по техническому регулированию и метрологии в качестве государственного центра испытаний средств измерений той или иной специализации могут быть аккредитованы другие организации, не входящие в систему Госстандарта России, имеющие вторичные (разрядные) эталоны, испытательное оборудование, подготовленных специалистов.

В случае успешного проведения испытаний, в процессе которых подтверждены параметры и характеристики средства измерений, указанные в техническом задании на его разработку, документация представляется в Федеральное Агентство по техническому регулированию и метрологии. Им принимается решение об утверждении типа средства измерений. Это решение удостоверяется сертификатом об утверждении типа средства измерений, в котором указывается и срок его действия. Утвержденный тип средства измерений вносится в Государственный реестр средств измерений, ведение которого возложено на ВНИИМС.

Соответствие параметров и характеристик средств измерений утвержденному типу на территории Российской Федерации контролируется органами ГМС. На средства измерений, тип которых утвержден, и на эксплуатационную документацию, сопровождающую каждый экземпляр средств измерений, наносится Знак утверждения типа средств измерений (форма и размеры знака приведены в приложении к ПР 50.2.009-94).

Испытания СИ для целей утверждения их типа

Для проведения испытаний СИ с целью утверждения их типа подают заявку в Управление Госстандарта России, которое принимает решение по заявке и направляет поручение ГЦИ СИ на проведение испытаний.

Представление СИ на испытания

На испытания СИ для целей утверждения их типа заявитель представляет:

1. образец (образцы) СИ;

2. программу испытаний, утвержденную ГЦИ СИ (или согласованную с ГЦИ СИ типовую программу, в которую могут быть внесены изменения или дополнения);

3. технические условия (если предусмотрена их разработка), подписанные руководителем организации-разработчика;

4. эксплуатационные документы (для СИ, подлежащих импорту, - комплект документации фирмы-изготовителя, прилагаемый к поставляемым СИ, с переводом на русский язык);

5. нормативный документ по поверке при отсутствии раздела «Методика поверки» в эксплуатационной документации;

6. описание типа по установленной форме (ПР 50.2.009-94, приложение 5) с фотографиями общего вида (3 экз.);

7. документ организации-разработчика о допустимости опубликования описания типа в открытой печати;

8. по согласованию с ГЦИ СИ заявитель может представлять необходимые для испытаний оборудование и СИ.

Количество представляемых на испытания образцов СИ и экземпляров документов определяется программой испытаний.

Проведение испытаний СИ

При проведении испытаний СИ для целей утверждения их типа:

1. проводят экспертизу технической документации;

2. проверяют соответствие технических характеристик СИ установленным требованиям;

3. проверяют методику поверки СИ.

Продолжительность испытаний СИ устанавливается в договоре между заказчиком и исполнителем работ.

Оформление результатов испытаний СИ

При положительных результатах проведенных испытаний ГЦИ СИ

1. утверждает (согласовывает) методику поверки;

2. согласовывает описание типа СИ;

3. составляет (в 3-х экз.) акт испытаний СИ для целей утверждения типа по установленной форме . При отрицательных результатах испытаний ГЦИ СИ составляет только акт испытаний.

Отправка материалов на утверждение типа СИ

После утверждения акта испытаний СИ для целей утверждения типа ГЦИ СИ направляет во Всероссийский научно-исследовательский институт метрологической службы (ВНИИМС):

1. сопроводительное письмо, которое должно содержать наименование и обозначение типа СИ, номер письма - поручения Федерального Агентства по техническому регулированию и метрологии, а также заключение о возможности утверждения типа СИ;

2. первый экземпляр акта испытаний типа (с приложениями);

3. отчет об устранении замечаний по результатам испытаний;

4. документы, представленные заявителем на испытания СИ.

Принятие решения об утверждении типа СИ ВНИИМС, получив документы из ГЦИ СИ:

1. осуществляет проверку представленных в его адрес материалов испытаний на соответствие настоящему документу;

2. готовит проект решения Федерального Агентства по техническому регулированию и метрологии по результатам испытаний СИ для целей утверждения их типа.

Федеральное Агентство по техническому регулированию и метрологии:

1. рассматривает поступившие из ВНИИМС документы и принимает решение об утверждении типа СИ;

2. регистрирует тип СИ;

3. направляет сертификат об утверждении типа СИ заявителю, а копии сертификата в ГЦИ СИ, проводившему испытания, и во ВНИИМС.

ВНИИМС формирует дело в Государственном реестре СИ и осуществляет экспертное заключение о возможности публикации информации об утверждении типа СИ.

2. СТРУКТУРНАЯ СХЕМА И ПРИНЦИП ДЕЙСТВИЯ МИКРОСКОПА ТМ-500






Рис. 1. Структурная схема микроскопа.

Лучи света от лампы накаливания освещают измеряемый объект , помещенный на предметном столе. Изображение объекта измерения проектируется объективом в фокальную плоскость окуляра, где помещается штриховая сетка с прерванным перекрестием. Изображение объекта измерения рассматривается через окуляр. При перемещении изображения объекта измерения перемещается электронная система преобразования. Измеренные величины выводятся на индикаторное табло в качестве цифровых показаний.

Описание принципа действия микроскопа.

Принцип действия микроскопа состоит в увеличении измеряемого объекта и передаче измеряемого размера объекта перемещению наконечника электронного микрометра, с помощью которого объект вместе с предметным столом микроскопа перемещают от одного края контура до другого (по измеряемому размеру). Перемещение стола контролируется наблюдателем через окуляр визирного микроскопа, имеющего штриховую сетку с прерванным перекрестием, с которым последовательно совмещают края измеряемого контура изделия.

Микроскоп состоит из основания, на котором смонтирован предметный стол с электронными микрометрами, колонки для перемещения визирного микроскопа и самого визирного микроскопа. Визирный микроскоп состоит из объектива, тубуса, штриховой сетки с прерванным перекрестием и окуляра.

Тубус микроскопа перемещается по колонке вверх и вниз и таким образом позволяет фокусировать изображение поверхности измеряемого изделия в глаз наблюдателя. Предметный стол освещается специальной лампой и может перемещаться с помощью микровинтов электронных микрометров в продольной и поперечном направлениях. Электрическая часть микроскопа включает в себя преобразователь фотоэлектрический, преобразующий перемещение микровинта электронного микрометра в цифровое показание и устройство цифровое отсчетное. Индикация показаний производится на жидкокристаллическом индикаторе.

Таблица 1. Основные технические характеристики

Метрологические и технические характеристики

Значение характеристик

1

2

Измеряемый параметр

Длина

1. Диапазон измерений, мм

0…50

2. Дискретность отсчета, мм

0,001

3. Вариация показаний, мм, не более

0,002

4. Отклонение от перпендикулярности направления движения кареток при продольном и поперечном перемещениях стола, мм

 0,002

5. Предел допускаемого абсолютного отклонения показаний микроскопа при измерении линейных размеров, мм

 -0,005…+0,005

6. Питание от сети переменного тока: Напряжением, В Частотой, Гц

 210…230 49,5…50,5

7. Габаритные размеры, мм

210х333х391

8. Масса, кг

15

9. Условия эксплуатации: Температура, оС Атмосферное давление, кПа Относительная влажность, %

 15…25 84 … 106,7 30 … 80

10. Средний срок службы, не менее, лет

20


3. ИНСТРУКЦИЯ ПО ИСПОЛЬЗОВАНИЮ ИЗМЕРИТЕЛЬНОГО МИКРОСКОПА ТМ-500 № 4769

В настоящей инструкции по использованию поясняется эксплуатация измерительного микроскопа ТМ-500 № 260108 и меры предосторожности, которые необходимо соблюдать при обращении с прибором.

1. Назначение и область применения

Измерительный микроскоп ТМ-500 представляет собой легкий в обслуживании компактный измерительный микроскоп, отличительным признаком которого является вертикальная конструкция станины. Он предназначен для измерения контуров изделий и для контроля качества поверхности. Микроскоп ТМ-500 может использоваться для контроля в производственных цехах, при измерении размеров изделий и мелких деталей машины, для точных измерений контрольных приборов в измерительной лаборатории.

Особенности:

·        Рабочее расстояние (50 мм) и картинка с соответствующей стороны, что обеспечивает легкое обслуживание

·        Хотя внешние размеры измерительного микроскопа являются небольшими, движение измерительного стола велико (50х50), что обеспечивает большой диапазон применения

·        Грубая и точная фокусировка с помощью установочного колесика

2. Меры предосторожности

Транспортировка

·        Измерительный микроскоп представляет собой прецизионный прибор. При транспортировке обращаться с прибором осторожно. Не касаться движущихся элементов, которые при транспортировке должны быть зафиксированы

·        Закрепить амортизационную прокладку между микрометром со скобой и измерительным столом Х/У, что позволяет защитить шпиндель микрометра со скобой от ударов стола

Монтаж

Местоположение микроскопа должно удовлетворять следующим требованиям:

·        Минимум загрязнения, пыли и влажности. Если прибор долго не используется, необходимо надеть противопылевой кожух

·        Отсутствие вибрации

·        Отсутствие внезапных температурных колебаний, которые могут возникать при воздействии на место установки измерительного микроскопа прямого солнечного света

Опасность взрыва

Измерительный микроскоп нельзя использовать в присутствие взрывоопасных газов

Подача напряжения и тока

·        В зависимости от места колебания напряжения могут вызвать изменения интенсивности света или его мерцание. Хотя это не оказывает влияния на измерения, необходимо обеспечивать стабилизацию напряжения.

·        Использовать источник переменного напряжения, который изолирован от машин, требующих высокие напряжения и сильные токи. Такие машины часто изучают значительные количества помех, которые могут оказать отрицательные воздействия на измерения с помощью микроскопа. По этой причине подача напряжения должна производиться через отдельную сетевую розетку.

·        Сетевой кабель должен быть проложен на максимальном удалении от таких мешающих воздействий.

·        Использовать только входящий в комплект поставки в сетевой кабель. Для приобретения сетевого кабеля обратиться фирму Mitutoyo.

·        Использовать только входящие в комплект поставки предохранители или предохранители с идентичной спецификацией (ток, напряжение, тип).

Заземление

Выполнить заземление измерительного микроскопа, в частности, если его приходиться монтировать в близи машины, которая излучает сильные помехи. Заземлить микроскоп к машине с помощью максимально короткого заземляющего кабеля, который проложен без петель.

Демонтаж

В измерительном микроскопе возникают высокие напряжения. При отсутствии специальных знаний демонтаж микроскопа не допускается.

. Монтаж и установка

3.1 Место установки

Критерии для выбора места установки те же, и для выбора места установки прецизионных измерительных приборов в измерительной лаборатории. Необходимо исключить вибрацию, поскольку она со временем может оказать отрицательное влияние на точность измерений. Необходимо предусмотреть меры по защите от попадания пыли, поскольку пыль может оказать отрицательное воздействие на работу оптических и движущихся элементов.

.2 Сборка

1.       монтаж микрометров на измерительном столе.

Зажимной винт предназначен для фиксации шпинделя микрометра. При использовании микрометра с отверстием в зажимном вале, зажимной вале вставляется таким образом, чтобы отверстие соответствовало зажимному винту. Если при этом шкала на микрометре находится в неудобном положении для индикации нуля, изменить это положение за счет вращения гильзы микрометра. При использовании микрометра без отверстия зафиксировать шпиндель и слегка затянуть зажимной винт.

2.       кабель для блока освещения на отражение подключают следующим образом:

кабель закрепить на соединительной панели на задней части измерительного микроскопа. Вставить штекер максимально далеко и блокируют его за счет стяжки накидной гайки.

3.       после проверки сетевого напряжения переключатель напряжения настроить следующим образом:

·        после определения сетевого напряжения в розетке, это напряжение необходимо установить на переключателе.

·        Ослабить крышку держателя предохранителя за счет вращения влево и вынуть предохранитель

·        Повернуть штекер на столько, чтобы в разрезе штекера можно было прочитать нужное напряжение, и вставить его в этом положении

·        Снова вставить предохранитель и держатель предохранителя

.         подключение сетевого соединительного кабеля

·        отключить главный выключатель (повернуть поворотный выключатель, чтобы выбрать освещенность)

·        сначала вставить кабель в соединительную панель, другой конец со штекером вставить в сетевую розетку

.         снять крышки с окуляра и объектива

3.3 Проверка и настройка

1.       Позиция штриховой сетки относительно движения стола

·        положить маленький объект на стеклянную пластину стола и навести на резкость

·        отрегулировать положение измерительного стола с помощью микрометров таким образом, чтобы кромка объекта была совмещена с центром перекрестия

·        перемещать измерительный стол по оси Х (вправо - влево), при этом проверить, ушла ли кромка объекта с перекрестия. Если это так, повернуть угломерную круговую шкалу таким образом, чтобы базовый объект перемещался вдоль перекрестия, и при этом перекрестие являлось выровненным по движению стола

·        после выравнивания перекрестия при движении стола ослабить зажимной винт для нониуса и установить угломерную круговую шкалу на «ноль». В этом положении нониус должен иметь возможность использования с обоих сторон.

.         Проверка центрирования штриховой сетки

Для выполнения правильных с точки зрения размера измерений за счет перемещения угломерной круговой шкалы или после возврата штриховой сетки необходимо перенести перекрестие на линию за счет перемещения угломерной круговой шкалы.

·        Поместить на стеклянную пластину стола маленький объект и навести на резкость

·        Настроить измерительный стол с помощью микрометров таким образом, чтобы базовая точка объекта касалась центра перекрестия

·        повернуть угломерную круговую шкалу на 180 градусов. Проверить, осталась ли базовая точка объекта в пределах 3 мкм от центра перекрестия (спецификация Японского промышленного стандарта JIS)

.         Настройка штриховой сетки

(1) Настройка штриховой сетки параллельно движению стола

·        Ослабить и удалить зажимные винты на угломерной круговой шкале и нониусе

·        Ослабить 4 винта крышки угломерной круговой шкалы и сныть крышку

·        Снова вставить зажимные винты в угломерную круговую шкалу и в нониус

·        Настроить нониус на середину диапазона регулирования и затянуть зажимные винты

·        Установить штрих на угломерной круговой шкале на «0» нониуса и затянуть установочный винт

·        Ослабить юстировочные винты и установочные винты таким образом, чтобы зажим окуляра можно было перемещать вручную

·        Глядя на штриховую сетку через окуляр, постепенно поворачивать зажим окуляра и вывести штриховую сетку в нужную позицию

·        Предварительно блокировать зажим окуляра за счет несильного затягивания установочных винтов

·        Центрирование штриховой сетки. После этого зафиксируйте зажим окуляра за счет надежного затягивания установочных винтов

·        Убрать зажимные винты с угломерной круговой шкалы и нониуса

·        Снова надеть крышку угломерной шкалы и закрепить ее с помощью четырех винтов на корпусе оптики

·        Надежно затянуть зажимные винты на угломерной круговой шкале и нониусе

(2) Центрирование штриховой сетки

·        Поместить на стеклянную пластину стола небольшой объект. Передвинуть измерительный стол с помощью микрометров таким образом, чтобы базовая точка объекта касалась центра перекрестия

·        Повернуть угломерную шкалу на 180 градусов и измерить величину отклонения

·        Ослабить четыре винта на крышке угломерной шкалы и убрать крышку. Затем слегка ослабить четыре крепежных винта

·        Скорректировать отклонение с помощью четырех юстировочных винтов, при этом с помощью винтов выполнить перенос на половину ошибки (соответственно направление Х и У). Установочные винты расположены попарно - по 2 для каждого направления - и действуют в обоих направлениях. Для центрирования для одного направления переставляют оба винта.

·        С помощью микрометров еще раз совместить базовую точку и перекрестие, повернуть угломерную круговую шкалу на 180 градусов и снова измерить отклонение

·        Необходимо проверить, затянуты ли четыре юстировочных винта

·        Теперь затянуть крепежные винты и надеть крышку угломерной круговой шкалы

.         Измерения

В данном разделе описывается подготовка к измерению и процедура измерения.

.1 Подготовка к измерению

.1.1 Меры предосторожности для измерения

·        Условия по месту установки

Необходимо исключать экстремальные условия по пыли, вибрации, влажности воздуха и температуре. Продолжительная вибрация со временем оказывает действие на точность. Пыль и влажность воздуха приводят к повреждению линз, призм и других оптических элементов, а также направляющих измерительного стола.

·        Толчки и удары

Окружение микроскопа должно быть чистым и прибранным, с микроскопом необходимо обращаться осторожно. При укладке объекта на измерительный стол необходимо избегать ударов, то же имеет силу и при наводке на резкость. Повреждение линз объектива, настольного стекла и т.д. приведут к необходимости дорогостоящего ремонта.

·        Уход за объективом и окуляром

Они отъюстированы с максимальной точностью и требуют осторожности в обращении. Не допускается их демонтаж. Поверхности линз необходимо содержать в чистоте и не допускать попадания масла и появления царапин. При неиспользовании необходимо защитить окуляр и объектив крышками.

·        Настольное стекло

Это стекло представляет собой один из элементов, для которых существует опасность загрязнения. Проверяемые изделия должны быть чистыми, не иметь царапающих частиц (пыли от шлифовки, опилки), их следует укладывать осторожно и никогда не передвигать на стекле.

·        Электрическое подключение

Штекер сетевого соединительного кабеля нельзя вытягивать до отключения главного выключателя.

.1.2 Замена объективов и окуляров

Объектив (2х) и окуляр (15х) обеспечивают 30-кратное улучшение.

.         В качестве специальных комплектующих могут быть получены следующие объективы и окуляры:

·        Окуляр (10х,20х)

·        Объектив 5х (рабочее состояние 33 мм), объектив 10х (рабочее состояние 14 мм)

2.       Монтаж окуляра производится за счет вставки в зажим окуляра. Объектив можно закрепить в корпусе тубуса (ввинтить).

Перед заменой объектива необходимо удалить с объектива держатель для блока освещения на отражение. Держатель закреплен с помощью кольца круглого сечения, которое располагается между объективом и держателем. За счет легкого встряхивания держатель можно снять.

.1.3 Фиксация объекта

Уложить объект таким образом, чтобы измеряемая поверхность показывала на объектив.

В распоряжении имеются следующие зажимные устройства:

.         для фиксации объективов типа валов и винтов, которые имеют центрирование, служит центрирующая опора (176-105)

.         для обычных валов без центрирования имеется зажимая призма (172-378)

.         для тонких, плоских объектов подходит держатель с клеммовым закреплением (176-107)

.1.4 Типы освещения

Микроскопы типа ТМ-500 поддерживают нижеприведенные типы освещения. Подходящий тип освещения можно выбрать в соответствии с требованиями.

(1) Проверка в проходящем свете

Проходящий свет создает теневое изображение объекта, так что можно точно рассмотреть и измерить детали контура. Зеленый фильтр относится к стандартному исполнению источника проходящего света.

(2) Проверка в отраженном свете

Отраженный свет формирует картинку поверхности объекта, что позволяет получить свойства и детали для точного наблюдения и измерения. Держатель лампочки откидывается, его необходимо выровнять в уголке таким образом, чтобы была достигнута максимальная яркость поверхности объекта. Опционно можно использовать блок освещения на отражение с двумя лампочками.

(3) Проверка в проходящем и отраженном свете

С помощью такой комбинации можно проверять как освещаемую поверхность, так и контур.

Для выбора типа освещения необходимо установить переключатель освещения.

.1.5.Замена штриховых сеток

Для замены штриховой сетки необходимо использовать входящий в комплект поставки специальный винт.

.         вынуть окуляр вверх

.         завинтить специальный винт в резьбу рамы штриховой сетки и вынуть штриховую сетку вверх

.         завинтить специальный винт в резьбу рамы новой штриховой сетки и вставить штриховую сетку в паз микроскопа. Рама штриховой сетки предусмотрена штифтом для позиционирования. Шрифт должен войти в паз в месте посадки штриховой сетки

.         вынуть специальный винт из новой вставленной штриховой сетки и снова вставить окуляр

          Настройка диоптрий

Острота зрения для разных людей является различной. Для того, чтобы позволить всем пользователям видеть одинаково хорошо, предусмотрена настройка диоптрий.

·        Глядя в окуляр, поворачивать установочное кольцо, пока штриховая сетка не будет видна ясно и четко

          Наводка на резкость для измерительной поверхности

Наводка на резкость (фокусировка) производится за счет поднятия и опускания корпуса оптики. Маховик для наводки на резкость служит для позиционирования в вертикальном направлении. Наблюдая штриховую сетку через окуляр, для фокусировки объекта поворачивают маховик.

Если объект имеет неправильную форму, с различной по высоте поверхностью, или если он удерживается в приспособлениях, необходимо выполнять наводку на резкость с особой тщательностью, чтобы исключить столкновение объекта и устройства.

          Выравнивание объекта

При измерении длины базовые кромки объекта необходимо выровнять параллельно осям измерительного стола.

.         сначала выровнять штриховую сетку (перекрестие) по осям Х/У измерительного стола

.         после этого выровнять базовую кромку объекта по перекрестию. Для обеспечения такого выравнивания необходимо отъюстировать объект или его зажим / устройство на измерительном столе. Данная процедура значительно облегчается при использовании поворотных столов

.         за счет сдвигания стола проверить, движется ли базовая кромка параллельно перекрестию

Процесс измерения

.2.1 Измерение линейных размеров

Линейные размеры измеряются за счет перемещения измерительного стола следующим образом:

При измерении линейных размеров определяющими являются две точки измерения. Первая точка измерения устанавливается поворотом микрометрической головки до совмещения ее с перекрестием и считывания показания микрометра. Затем вторая точка измерения определяется перемещением измерительного стола до совмещения ее с перекрестием и считывания показания микрометра. Разность этих двух показаний соответствует расстоянию между двумя измеренными точками.

Сложности в вычислении разности между двумя показаниями микрометра могут быть устранены за счет использования цифровых индикаторов Digimatic (серия 164). Они состоят из цифровых встроенных микрометров и соответствующих цифровых индикаторов. Преимущество таких установок заключается в том, что измеренные величины выводятся на индикацию в качестве цифровых показаний, что исключает неверное считывание, при этом ошибка расчета исключается за счет обнуления индикации при помещении первой точки измерения на перекрестие. Короче говоря, с их помощью можно ожидать более быстрое получение результатов измерения.

Использование цифровых индикаторов Digimatic или встроенных микрометров с выводом данных в виде электрического сигнала позволяет регистрировать результаты измерения, полученные с помощью измерительного микроскопа, на принтере или обрабатывать их на компьютере.

.2.2 Контроль контуров

Контроль формы резьбы (для винтов) и формы зубьев (для эвольвент) облегчается за счет использования соответствующих профильных штриховых сеток вместо перекрестия

.         Техническое обслуживание

В данном разделе описываются процедуры ежедневного и периодического контроля и технического обслуживания.

Очистка и смазка

(1) Микроскоп

Направляющие и зубчатую рейки стойки необходимо регулярно слегка смазывать консистентной смазкой. Для нанесения тонкой пленки смазки лучше всего использовать кисточку.

(2) Измерительный стол

На направляющие призмы наносят тонкую пленку веретенного масла. Настольное стекло очищают только мягкой тряпкой.

(3) Линзы (окуляр и объектив)

Линзы окуляра и объектива мягче, чем обычное оконное стекло, их легко поцарапать. Для стирания пыли с поверхности следует использовать мягкую кисточку. Пятна масла и отпечатки пальцев протирают по кругу тряпкой, смоченной высокопроцентным спиртом.

Контроль

Перед отправкой из мастерской измерительные микроскопы ТМ-500 точно юстируют и упаковывают в защиту, что позволяет сохранить юстировку. Тем не менее, покупатель должен регулярно проверять нижеприведенные моменты, чтобы убедиться в сохранении заданных допусков.

(1) Электрические подключения

Во избежание электрического удара переключатель типа освещения должен быть отключен, сетевой кабель вынут из розетки.

·        Все электрические соединения на сетевом кабеле, входном штекере, переключателе напряжения, выводе заземления и блоке освещения на отражение должны быть надежно затянуты.

(2) Переключатель освещения и настройка яркости

·        Проверить, правильно ли установлен переключатель освещения

·        Проверить включение контрольной лампы для проходящего и отраженного света при соответствующей установке

·        Проверить, изменяется ли интенсивность света для каждого типа освещения при повороте ручки настройки яркости

(3) Маховик для наводки на резкость / настройки высоты

·        При вращении маховика по всему диапазону регулирования проверить отсутствие треска, писка и ненормального шума, а также возможность выполнения перемещения без застревания или неровности хода

(4) Измерительный стол

·        Настольное стекло должны быть чистым и не иметь повреждений (царапины)

·        Стол должен иметь возможность перемещения вручную по всему диапазону измерения и легко, равномерно двигаться вперед и назад без треска, застревания, необычного шума. Встроенные микрометры необходимо проверить за счет вращения по всему диапазону измерения

(5) Угломерная круговая шкала

·        После ослабления крепежного винта повернуть шкалу. Она должна вращаться легко, без треска, застревания или необычного шума

(6) Поле зрения

·        После включения главного выключателя (переключателя освещения) необходимо посмотреть в окуляр и проверить, чтобы поле зрения не содержало препятствий и было равномерно освещено

(7) Точность перемещения стола

При проверке точности перемещения может возникнуть несколько причин ошибок, например, воздействие окружения, ошибка выравнивания и другие, которые необходимо учитывать следующим образом. Достаточен контроль в ограниченном диапазоне измерения 5 мм.

·        Объект с известными размерами укладывают на настольное стекло, наводят на резкость и выводят на перекрестие

·        Определяют размеры вдоль осей Х и У с помощью микрометров и сравнивают их с номинальными размерами.

Если разница между измеренными величинами и базовыми размерами составляет менее 5 мкм (в расчете на 5 мм), то точность перемещения стола находится в пределах допуска.

(8) Разрешение

·        Проверить, чтобы изображение положенного на измерительный стол и наведенного на резкость объекта можно ясно и четко видеть по всему поле зрения.

Замена быстроизнашивающихся деталей

(1) Замена предохранителя

1.       отключить переключатель освещения

.         вытянуть сетевой штекер

.         повернуть крышку предохранителя в направлении стрелки и вынуть предохранитель

.         вставить новый предохранитель и снова ввернуть крышку

(2) Замена настольного стекла

1.       вынуть крепежные винты, удерживающие зажимную пластинку, и вынуть пластинку

.         вынуть стеклянную пластину и заменить ее на новую

.         с помощью зажимной пластинки закрепить стеклянную пластину на месте

(3) Замена лампочки для освещения на пропускание

Лампочка некоторое время после отключения остается горячей. Заменять лампочку только тогда, когда она охладится.

1.       перевести переключатель освещения в положение «OFF» (выключено)

.         вынуть настольное стекло

.         вывинтить зеленый фильтр, повернув его влево

.         с помощью входящей в комплект поставки резиновой пробки можно вынуть лампочку, повернув ее

.         с помощью той же резиновой пробки вставить новую лампочку

.         включить переключатель освещения и проверить работу лампочки

.         снова вставить зеленый фильтр и настольное стекло

(4) Замена лампочки для освещения на отражение

Лампочка некоторое время после отключения остается горячей. Заменять лампочку только тогда, когда она охладится.

1.       перевести переключатель освещения в положение «OFF» (выключено)

.         вывинтить белый фильтр, повернув его влево

.         с помощью входящей в комплект поставки резиновой пробки можно вынуть лампочку, повернув ее

.         с помощью той же резиновой пробки вставить новую лампочку

.         включить переключатель освещения и проверить работу лампочки

.         снова вставить белый фильтр и настольное стекло

6. Технические данные

(1) Корпус оптики

·        оптическая ось: наклон на 30 градусов от вертикали

·        штриховая сетка 90 градусов, прерванное перекрестие

·        настройка диоптрий

·        угломерная круговая шкала

деление 1 градус

возможность поворота на 360 градусов

минимальное показание для нониуса 6 секунд

регулируемый нониус (с настройкой нуля)

(2) Окуляр

·        увеличение 15х

·        поле зрения 13 мм

(3) Объектив

·        увеличение 2х

·        рабочее расстояние 67 мм (2,63")

(4) Измерительный стол

·        размер стола 240х152 мм (9,4"х 6")

·        размер настольного стекла 150х92 мм (5,9"х3,6")

·        диапазон измерения

(с конечной мерой) 50х50 мм (4"х2")

·        максимальная высота объекта 107 мм (4,2")

·        максимальный вес объекта 5 кг (11 фунтов)

(5) Освещение на пропускание

·        лампочка: 24 В, 2 Вт (специальная лампочка)

·        плавная настройка интенсивности света

·        зеленый фильтр входит в комплект поставки

(6) Освещение на отражение

·        лампочка: 24 В, 2 Вт (специальная лампочка)

(7) Размеры

ширина х глубина х высота 210 х 333 х 391 мм (8,2" х 13,1" х 15,4")

(8) Вес

ТМ-500: 15,0 кг (33,0 фунтов)

(9) Габаритные размеры

Единица: мм (дюймы)

4. ИСПЫТАТЕЛЬНОЕ ОБОРУДОВАНИЕ

Исходя из метрологических характеристик микроскопа и требований его эксплуатации, произведен выбор испытательного оборудования:

. Угольник лекальный поверочный типа УЛ-0-60 ГОСТ 3749-77

Используется для определения отклонения от перпендикулярности направлений движения кареток при продольном и поперечном направлениях.

Предел измерения, мм 50

Класс точности 2

. Меры длины концевые плоскопараллельные ГОСТ 9038-73 набор №Г-121 из 83 штук.

Используются при определении предела допускаемого абсолютного отклонения показаний микроскопа; при определении вариации показаний микроскопа.

Класс точности 4

. Шкала стеклянная 2-го разряда

.Рулетка измерительная металлическая Р3 ГОСТ 7502-89

Используется для измерения линейных размеров микроскопа.

. Весы для статического взвешивания НПВ-50-111 ГОСТ 29329-92

.Климатическая камера типа КТК-300

Используется для испытаний на устойчивость к воздействию внешних факторов (температуры) при эксплуатации изделия

Рабочий объем, м3 3

Диапазон температуры, С0 30…+150

Относительная влажность, %  0…100

Точность поддержания температуры, С0 1,5…+1,5

Точность поддержания относительной влажности, % 3…+3

. Вибростенд электродинамический типа G 0232

Используется для испытаний изделия, подвергаемого механическим воздействиям при транспортировке изделия и при эксплуатации

Выталкивающая сила Fт, кг 3200

Вес изделия до, кг 500

Диапазон частот, Гц 5…300

Амплитуда (max), мм 25

Точность поддержания заданного ускорения kg, % 10

Описание структурной схемы виброизмерительного комплекса

Совокупность средств, предназначенных для воспроизведения различных механических колебаний, измерения, анализа и регистрации всех вибрационных параметров и автоматического управления режимом испытаний, образует виброизмерительный комплекс (ВИК рис.3)

Принципиальной частью ВИК является управляющий генератор (1), вырабатывающий требуемые вибрации: синусоидальные, полигармонические, случайные.

В качестве генератора синусоидальных вибраций используют электронный звуковой генератор частот 5...5000 Гц. Для получения большого диапазона частоты используют принцип биения при смещении сигнала от генератора синусоидальных вибраций частоты 30 Гц и сигнала переменной регулируемой частоты 25...30 Гц. Резонансная частота, выделяемая фильтром низких частот, через регулятор и усилитель (2)поступают на выход.

При плавном изменении частоты с 29995 Гц до 25000 Гц сигнал на выходе изменяется от 5 до 5000 Гц.

Генератор включает в себя канал обратной связи, автоматического регулирования усиления и автоматического изменения (качения) частоты возбуждающего сигнала.

В ВИК входит совокупность средств возбуждения механических колебаний, состоящая из одного или нескольких вибростендов. Испытуемое изделие(З) закрепляют на вибростенде(5), гибкими кабелями подключают к схеме испытательного пульта с контрольно-измерительными приборами(4).

В комплект виброизмерительной аппаратуры входят преобразователи, согласующие усилители(б) и измерительные усилители.

Для индикации и регистрации результатов измерения используют стрелочные и цифровые приборы, осцилографы(7), самописцы(8), цифропечатающие машины, дисплей.

Для проведения испытаний при механических воздействиях: проверка на виброусточивость и проверка на вибропрочность использовался электродинамический вибростенд G 0232.

Преимущества электродинамических вибростендов:

1 широкий диапазон частот,

2 удобство и плавность регулирования вибрационных параметров,

линейность преобразования сигнала, возможность получения колебаний любой формы, универсальность воспроизведения требуемых программ испытаний.

Вибрации в электродинамическом вибростенде создаются в результате взаимодействия магнитного поля подвижной катушки с током и постоянного магнитного поля неподвижного электромагнита, в рабочем зазоре которого она расположена. Индукцию в рабочем зазоре можно регулировать постоянным током подмагничивания неподвижной катушки. Частота колебаний и характер измерения электродинамической силы зависит только от частоты и формы

кривой переменного тока, протекающего по подвижной катушке. Если этот ток синусоидальный, то колебания будут тоже синусоидальными, той же частоты, что частота тока.

Возбуждающую силу F определяют по формуле:


Dcp - средний диаметр кольца катушки

В - индукция в рабочем зазоре магнитной системы вибростенда

I max-амплитуда тока в подвижной катушке

W- число витков подвижной катушки

Виброускорение зависит от электродинамической силы и суммарной массы испытуемого изделия, подвижной системы и приспособления:


5. ПРОГРАММА ИСПЫТАНИЙ

измерительный микроскоп метрологический прибор

Для испытаний микроскопа измерительного разработана программа испытаний в соответствии с требованиями МИ 2146-95 «ГСИ. Порядок разработки и содержание программ испытаний средств измерений для целей утверждения их типа».

Программа предусматривает порядок проведения, объем и методику испытаний микроскопа.

В процессе испытаний программа может быть уточнена и дополнена.

ОАО «УРАЛаз» представляет на испытания ГЦИ СИ один образец микроскопа и комплект эксплуатационной документации в соответствии с ПР 50.2.009-94.

Испытания проводят с целью получения сертификата об утверждении типа средства измерений по форме приложения 2 ПР 50.2.00-94.

Программа испытаний для целей утверждения типа микроскопа измерительного ТМ-500

.1 Рассмотрение технической документации

Рассмотрение технической документации должно проводиться в соответствии с указаниями, приведенными в таблице 2.

Таблица 2

Содержание требований по рассмотрению технической документации

Указания по методике рассмотрения технической документации

1

2

1 Проверка соответствия представленной документации требованиям ПР 50.2.009-94

Комплектность технической документации должна соответствовать требованиям ПР 50.2.009-94. Построение, изложение и оформление технической документации должно


соответствовать ГОСТ 2.114-95, ГОСТ 2.106-96, ГОСТ 2.601 - 95, МИ 2526-99

2 Анализ метрологических характеристик (МХ), полноты и способа их выражения в документации фирмы-изготовителя испытуемого СИ, а также документов, содержащих требования к нормированию метрологических характеристик.

Провести анализ МХ прибора, их полноту, правильность и способа выражения в технической документации фирмы-изготовителя с учетом назначения и условий применения микроскопа на соответствие требованиям ГОСТ 8.009

3 Рассмотрение материалов ранее проведенных испытаний, в том числе протоколов испытаний.

Оценивают достоверность, полноту и представительность материалов предварительных исследований. В случае положительных результатов их рассмотрения допускается по некоторым пунктам программы испытания не проводить.

4 Оценка необходимости изменения способа выражения МХ и разработки методик их определения, включая методики определения дополнительных погрешностей, которыми нельзя пренебречь при отсутствии информации о них в представленных НД.

Оценивают необходимость изменения способа выражения МХ и разработки методик их определения, в том числе по оценке дополнительных погрешностей, по технической документации фирмы-изготовителя.

5 Оценка метрологического обеспечения эксплуатации испытуемого микроскопа

Оценивают обеспеченность прибора средствами поверки и НД при эксплуатации. При этом - анализируют МХ известного метрологического оборудования и оценивают возможность его применения при испытаниях и поверке прибора с учетом конструктивной и иной совместимости прибора с метрологическим оборудованием; - анализируют информацию об испытаниях импортного метрологического оборудования, если его использование предусмотрено проектом НД на методику поверки; - анализируют соответствие НД на методику поверки требованиям соответствующих НД системы ГСИ.

6 Обоснование оптимального межповерочного интервала на основе сравнения межповерочных интервалов, установленных для отечественных и зарубежных аналогов, данных о надежности, данных по результатам периодической поверки и других данных.

Рассматривают методики поверки на аналогичные приборы и обоснованность назначения межповерочного интервала прибора, сравнивая его с данными для отечественных и зарубежных аналогов, а также данные по надежности и периодичности поверки в эксплуатации.

7 Поверка наличия в эксплуатационной или другой документации указаний по настройке и устранению возможных неисправностей микроскопа.

Проверить наличие в эксплуатационной или другой документации указаний по настройке и устранению возможных неисправностей микроскопа.

8 Проверка наличия и состояния контрольно-испытательной аппаратуры, используемой при испытаниях, на соответствие предъявляемым к ней требованиям, а также наличия документов последней ее поверки, калибровки или аттестации.

Проверить наличие и состояние контрольно-испытательной аппаратуры, используемой при испытаниях, на соответствие предъявляемым к ней требованиям, а также наличие свидетельств о поверке или калибровке приборов, аттестатов на испытательное оборудование.


5.2 Испытание микроскопа

Порядок испытаний производятся в соответствии с таблицей 3.

Таблица 3

Наименование испытаний

Методы и условия проведения испытаний (номера пунктов)

Эталонные средства измерений, испытательное оборудование, их технические характеристики

1

2

3

1. Соответствие комплектности, маркировки, упаковки требованиям НД

5.1


2. Опробование

5.2


3. Поверка диапазона измерений и дискретности показаний

5.3


4. Определение отклонения от перпендикулярности направлений движения кареток при продольном и поперечном перемещениях стола.

5.4

 Угольник поверочный типа УЛ-0-60 ГОСТ 3749-77

5. Определение предела допускаемого абсолютного отклонения показания микроскопа при измерении линейных размеров

5.5

Шкала стеклянная 2-го разряда ГОСТ 8.327-78 Концевая мера длины 4-го разряда размером 50мм МИ 2079-90

6. Определение вариации показаний

5.6

Шкала стеклянная 2-го разряда ГОСТ 8.327-78 Концевая мера длины 4-го разряда размером 50мм .

7. Определение абсолютного предела допускаемого абсолютного отклонения показания микроскопа при изменении температуры

5.7

Меры длины концевые плоскопараллельные 4 разряда ГОСТ 9038-90 Климатическая камера КТК 3000

8. Проверка сохранения характеристик микроскопа после механических воздействий

5.8

Меры длины концевые плоскопараллельные 4 разряда ГОСТ 9038-90 Вибростенд электродинамический G-0232

9. Проверка сохранения характеристик микроскопа после климатических воздействий

5.9

Меры длины концевые плоскопараллельные 4 разряда ГОСТ 9038-90 Климатическая камера КТК 3000

10.Проверка габаритных размеров

5.10

Рулетка измерительная металлическая Р3 ГОСТ 7502-89

11.Проверка массы

5.11

Весы для статического взвешивания НПВ-50-111 по ГОСТ 29329-92.

12.Опробование методики поверки

Согласно МП

По перечню, приведенному в МП

Методы и методика проведения испытаний

Соответствие микроскопа технической документации, комплектности, маркировке, упаковке проверяют внешним осмотром путем сличения с технической документацией.

Опробование.

При опробовании проверяют:

перемещение предметного стола вдоль направляющих по оси Х и У с помощью винтов электронного микрометра. Предметный стол должен перемещаться свободно;

перемещение визирного микроскопа вдоль колонки и фокусирования на контуры измеряемого изделия. Визирный микроскоп должен перемещаться по всей длине направляющей колонки плавно, и позволить получить резкое изображение контура измеряемого изделия.

возможность фокусировать окуляра для настройки по глазу наблюдателя. Вращение диоптрийной наводки окуляра должно позволять фокусировать изображение прерванного перекрестия по глазу наблюдателя и получать резкое изображение;

лампа подсветки предметного стола микроскопа при включении микроскопа должна освещать стол;

работоспособность отсчетных устройств микроскопа (электронных микрометров). Цифровое изображение должно появляться при нажатии клавиши ON/OFF и исчезать при повторном ее нажатию при нажатии на клавишу ABS/INC должна обеспечиваться установка индикации на «нуль». При вращении винтов электронного микрометра цифры на блоках индикации микрометров должны изменяться. Нажатие клавиши «В» должно обеспечивать нормальный режим индикации: при выкручивании шпинделя микрометра должен производиться отсчет в положительном направлении; при выборе другого режима при таком движении на индикаторе должно высветиться «REV». Клавиша предварительной установки «Preset» должна обеспечивать установление начальной точки в соответствии с 2.9.1.инструкции по использованию №4769

Определение диапазона измерений и дискретности показаний

Проверка диапазона и дискретности показаний производится визуально, наблюдая изменение показаний при вращении винтов электронных микрометров.

Результаты испытаний считать положительными, если полученный результат имеет следующие значения: диапазон измерений в направлениях Х и У - (0…50)мм, дискретность показаний 0,001мм.

Определение отклонения от перпендикулярности направлений движения кареток при продольном и поперечном перемещениях стола производится с помощью поверочного угольника следующим образом:

Длинное ребро поверочного угольника, расположенного на рабочей поверхности стола микроскопа устанавливается параллельно направлению движения каретки стола. Проверить правильность установки, совместив перекрестие штриховой сетки с изображением ребра в начале и конце диапазона измерений. Отсчеты должны быть одинаковые. Совместить перекрестие штриховой сетки с изображением короткого ребра угольника, отступив 0,5мм от вершины и установить с помощью соответственной клавиши микрометра нулевое показание. Переместить каретку в поперечном направлении на длину 10мм, совместить перекрестие сетки с изображением короткого ребра угольника и взять отсчет (hизм).

Отклонения от перпендикулярности направлений движения каретки (Δh) вычисляется по формуле

Δh = 10 tgΔα + hизм

где Δα - отклонение угла лекального угольника от 90 , взятое из свидетельств на угольник.

Результаты испытаний считать положительными, если отклонение от перпендикулярности направлений движения каретки не превышает 0,003мм.

Определение предела допускаемого абсолютного отклонения показаний микроскопа при измерении линейных размеров производится в следующей последовательности:

Проверяется положение угломерной головки. Она должна находиться в положении нулевого угла.

Стол устанавливают в крайнее нулевое положение. На нем устанавливают параллельно продольному направлению перемещения шкалу. Совмещают отсчетный штрих микроскопа с одним из начальных штрихов шкалы и снимают показание.

Совмещают отсчетный штрих с делениями шкалы через 2мм и снимают показания.

Определяют полученные значения интервалов 0-2; 0-4; 0-6; 0-8; 0-10; 0-12 и 0-14 мм.

Повторяют операции по 6.5.2 при установке шкалы параллельно поперечному направлению перемещения стола.

Стол устанавливают в крайнее нулевое положение. На нем устанавливают концевую меру размером 50 мм длинной стороной параллельно продольному перемещению стола. Производят измерение длины меры. То же самое повторяют при установке длинной стороной параллельно поперечному перемещению стола.

Предел допускаемого абсолютного отклонения показаний микроскопа (А) вычисляется для каждого проверяемого интервала по формуле

А = Lизм - Lдейств

Где Lизм - полученное при измерении на микроскопе значение интервала;

Lдейств - действительное значение измеряемого интервала (взятое из свидетельства о поверке шкалы и концевой меры)

Результаты считать положительными, если наибольшее из полученных в п. 6.5.6 значений не превышает 0,005 мм.

Определение вариации показаний производится путем измерения тех же интервалов при обратном движении стола микроскопа. Вариация показаний b равна разности между соответствующими показаниями микроскопа при прямом (Lизм1) и обратном(Lизм2) ходах.

B = Lизм 1- Lдейств2

Результат испытаний считать положительным, если вариация показаний не превышает 0,002 мм.

Определение абсолютного предела допускаемого абсолютного отклонения показания микроскопа при изменении температуры.

Для проведения этих испытаний необходимо поместить микроскоп в климатическую камеру и произвести определение абсолютного отклонения показаний микроскопа при разной температуре на всем его диапазоне.

При каждом значении температуры микроскоп выдержать в нерабочем состоянии не менее 24 часов.

Измерения проводить при температуре: 15,17,19,21,23,250С.

Абсолютное отклонение показаний микроскопа определить аналогично п. 6.5.

Результаты считать положительными, если наибольшее из полученных в п. 6.5.6 значений не превышает 0,005мм.

Проверка сохранения характеристик микроскопа после механических воздействий

При проведении этих испытаний необходимо закрепить микроскоп на вибростенде, гибкими кабелями подключить к схеме испытательного пульта с контрольно-измерительными приборами. Произвести определение абсолютного отклонения показаний микроскопа на всем его диапазоне при воздействии заданной вибрации. Для этого необходимо установить микроскоп на вибростенд. Задавая разные значения вибрации следить за работой микроскопа.

Для определения условий эксплуатации производится проверка на виброустойчивость:

На стенде, имитирующем механические воздействия, возникающие при эксплуатации прибора в рабочих условиях проводить испытания при заданной вибрации, начиная с 5 Гц (амплитуда 5 мм), далее 10,15,20,25,30,35,40 Гц с постоянном ускорением 1 g в течении 1 ч каждое значение заданной вибрации.

После проведения испытаний определить абсолютное отклонение показаний микроскопа аналогично п. 6.5.

Результаты испытаний считать положительными, если характеристики микроскопа после испытаний соответствуют таблице 1.

Проверка сохранения характеристик микроскопа после климатических воздействий

Произвести проверку после пребывания микроскопа в упакованном виде в пределах нерабочих температур от -35 0С до +35 0С, и относительной влажности 60% при температуре 20 0С. Микроскоп выдержать в климатической камере при каждой вышеуказанной температуре в течении 2 часов. После этого выдержать при температуре 20 0С не менее 24 ч и провести внешний осмотр и проверку на соответствие требованиям таблицы 1.

Результаты испытаний считать положительными, если характеристики микроскопа после испытаний соответствуют таблице 1.

Проверка габаритных размеров

Габаритные размеры микроскопа определяются с помощью рулетки. Производят измерение наибольшей длины, ширины и высоты микроскопа.

Результаты испытаний считать положительными, если полученные размеры имеют значения 210х333х391 мм.

Проверка массы

Массу микроскопа определяют с помощью весов, помещая на них микроскоп.

Результаты испытаний считать положительными, если полученный размер имеет значение: 15 кг.

Условия проведения испытаний и требования к безопасности.

При выполнении линейных измерений должны соблюдаться нормальные условия согласно ГОСТ8.050 -73.Испытуемый микроскоп разработан для линейных измерений.

Поэтому при проведении испытаний соблюдаются следующие условия:

температура окружающего воздуха, 0С 15…25;

относительная влажность воздуха, % 40…80;

атмосферное давление, кПа 91,3…111,3

Испытуемый микроскоп, эталонные средства измерений и специальные средства, используемые при испытаниях, должны быть выдержаны в помещении, где проводятся испытания, в течении 4 часов.

Эталонные средства измерений, а также средства измерений, используемые при испытаниях, должны быть проверены в соответствии с ПР 50.2.006 и иметь действующие свидетельства о поверке, сертификаты или иные документы, подтверждающие их технические и метрологические характеристики. Испытательное оборудование, стенды и устройства должны иметь паспорта и быть аттестованными в соответствии с ГОСТ 8.568-97 «ГСИ. Аттестация испытательного оборудования».

При подготовке и проведении испытаний должны выполнятся общие требования безопасности работы с электрическими установками напряжением до 1000В по ГОСТ 12.3.019-80.

Оформление результатов испытаний

Результаты измерений, выполненных при проведении испытаний, заносят в таблицы и оформляют протоколами, на основании которых составляют ведомость соответствия испытанного образца микроскопа требованиям нормативной и технической документации и акт испытаний.

Возможные уточнения и дополнения к программе и методике испытаний, принятых по решению комиссии в ходе их проведения, также оформляют протоколами.

Результаты испытаний оформляют в соответствии с Правилами по метрологии ПР 50.2.00-94.

Результаты испытаний микроскопа

Результаты испытаний представлены в форме протоколов испытаний.

Проверки внешнего вида, комплектности, маркировки микроскопа измерительного ТМ-500 №260108

Проверяемые параметры:

Комплектность, внешний вид, маркировка

Средства измерений, испытательное оборудование и вспомогательная аппаратура: не требуются

Результаты испытаний

Комплектность:

Станина с предметным столом, кронштейном и тубусом, объектив 2х, окуляр 15х, штриховая сетка с прерванным перекрестием, микрометры, блок освещения, инструкция по использованию, методика поверки.

Внешний вид - рабочая поверхность предметного стола микроскопа не имеет механических повреждений, деформаций и коррозии, могущих повлиять на точность измерений.

Маркировка: имеется маркировка заводского номера и фирмы изготовителя

ВЫВОДЫ: проверяемые параметры соответствуют нормам, принятым в технической документации на измерительные микроскопы в России.

Опробование, проверка диапазона измерений и дискретности показаний микроскопа измерительного ТМ-500 № 260108

Проверяемые параметры:

диапазон, дискретность показаний

Средства измерений, испытательное оборудование и вспомогательная аппаратура: не требуются

Результаты испытаний:

Опробование:

Каретка с предметным столом вдоль направляющих по оси Х и У с помощью микрометрических винтов перемещаются плавно, свободно, без заеданий.

Каретка с окуляром для наводки на контролируемое изделие плавно перемещается по всей длине направляющей колонки (без заеданий).

Окуляр для настройки на контролируемый объект позволяет производить фокусирование на объект по глазу наблюдателя. Лампа подсветки предметного стола микроскопа при включении микроскопа освещает стол. При нажатии клавиши ON/OFF появляются цифры и исчезают при повторном ее нажатии. При нажатии на клавишу ABS/INC обеспечивается установка индикации на «ноль». При вращении микровинтов перемещение предметного стола микроскопа цифры на блоках индикации микрометров изменяются. Нажатие клавиши «В» обеспечивает нормальный режим индикации: при выкручивании шпинделя микрометра отсчет производится в положительном направлении; при выборе другого режима при таком движении на индикаторе высвечивается «REV». Клавиша предварительной установки «Preset» обеспечивает установление начальной точки в соответствие с инструкцией по использованию микроскопа.

ВЫВОДЫ: микроскоп функционирует в соответствии с требованиями, записанными в инструкции по использованию.

Проверка диапазона измерений и дискретности показаний: диапазон измерений в продольном и поперечном направлениях (0+50)мм; дискретность показаний 0,001мм. Таким образом, диапазон измерений и дискретность показаний соответствуют требованиям НТД.

Определение отклонения от перпендикулярности направления движения кареток при продольном и поперечном перемещениях стола

Средства измерений, испытательное оборудование и вспомогательная аппаратура: угольник поверочный типа УЛ-0-60, ГОСТ 3749-77

Результаты испытаний:

Таблица 4

Отсчеты по микроскопу, мм

Продольное направление движения

Поперечное направление движения

Первый отсчет

Второй отсчет

Первый отсчет

Второй отсчет

0,005

0,004

0,006

0,005


∆h=10*0,0001+0,001=0,002мм

Отклонение от перпендикулярности направления движения кареток при продольном и поперечном перемещениях стола 0,002мм

ВЫВОДЫ: проверяемые параметры соответствуют нормам, принятым в технической документации на штриховые меры длины в России.

Определение абсолютного отклонения показаний микроскопа при измерении линейных размеров и вариации показаний

Средства измерений, испытательное оборудование и вспомогательная аппаратура: шкала стеклянная 2-го разряда ГОСТ 8.327-78, концевые меры длины 4-го разряда ГОСТ 9038-90

Результаты испытаний:

Таблица 5 Продольное направление

Интервал, мм

2

4

6

8

10

12

14

50

Показание, мм (прямой ход)

2,001

4,000

6,001

8,002

10,003

12,003

14,003

49,999

Показание, мм (обратный ход)

2,001

3,999

6,001

8,001

10,003

12,002

14,001

50,000


Таблица 6 Поперечное направление

Интервал, мм

2

4

6

8

10

12

14

50

Показание, мм (прямой ход)

2,000

4,002

6,003

8,002

10,004

12,005

14,003

50,000

Показание, мм (обратный ход)

2,001

4,004

6,005

8,004

10,005

12,005

14,005

50,000


ВЫВОДЫ: абсолютное отклонение показаний микроскопа составляет 0,005 мм, вариация показаний составляет 0,002 мм, значения соответствуют требованиям НТД.

Определение габаритных размеров и массы

Средства измерений, испытательное оборудование и вспомогательная аппаратура: рулетка измерительная металлическая Р3 ГОСТ 7502-89, весы для статического взвешивания

НПВ-50-111 ГОСТ 29329-92

Результаты испытаний:

Габаритные размеры: 210х333х391 мм

Масса 15 кг

ВЫВОДЫ: значения соответствуют требованиям НТД.

Определение абсолютного отклонения показаний микроскопа при изменении температуры в климатической камере КТК 3000

Средства измерений, испытательное оборудование и вспомогательная аппаратура: концевые меры длины 4-го разряда ГОСТ 9038-90; климатическая камера КТК 3000

Результаты испытаний:

Результаты испытаний приведены в таблицах 7 и 8

Таблица 7 Продольное направление

Размер ПКМД, мм

Показания микроскопа Х, мм при температуре, 0С


15

17

19

21

23

25

2

2,001

2,001

2,001

2,001

2,001

2,001

4

4,001

4,000

4,000

4,000

4,000

3,999

6

6,001

6,001

6,001

6,001

6,001

6,001

8

8,001

8,002

8,002

8,002

8,001

8,001

10

10,002

10,003

10,003

10,003

10,004

12

12,001

12,003

12,003

12,002

12,002

12,002

14

14,001

14,003

14,003

14,001

14,001

14,001

50

50,000

50,000

50,000

50,000

50,000

50,000

Мах А, мм

0,002

0,003

0,003

0,003

0,003

0,004


Таблица 8 Поперечное направление

Размер ПКМД, мм

Показания микроскопа Х, мм при температуре, 0С


15

17

19

21

23

25

2

2,000

2,000

2,000

2,000

2,001

2,001

4

4,002

4,002

4,002

4,002

4,003

4,004

6

6,003

6,003

6,003

6,003

6,004

6,005

8

8,002

8,002

8,002

8,003

8,004

8,004

10

10,004

10,004

10,004

10,005

10,005

10,005

12

12,005

12,005

12,005

12,005

12,005

12,005

14

14,003

14,003

14,003

14,003

14,003

14,005

50

50,000

50,000

50,000

50,000

50,000

50,000

Мах А, мм

0,005

0,005

0,005

0,005

0,005

0,005


Выводы: результаты испытаний соответствуют требованиям НТД.

Проверка сохранения показаний микроскопа после механических воздействий.

Средства измерений, испытательное оборудование и вспомогательная аппаратура: концевые меры длины 4-го разряда ГОСТ 9038-90; вибростенд электродинамический G 0232

Результаты испытаний:

Результаты испытаний приведены в таблице 9

Таблица 9

Размер ПКМД, мм

Показания микроскопа Х, мм, в зависимости от вибрации, Гц


10

15

20

25

30

35

40

2

2,001

2,001

2,001

2,001

2,001

2,001

2,001

4

4,001

4,000

4,001

4,000

3,999

4,000

4,001

6

6,001

6,000

5,999

5,999

5,999

6,000

6,000

8

8,001

8,001

8,000

8,000

8,002

8,000

8,000

10

10,001

10,001

10,001

10,002

10,002

10,003

10,002

12

12,002

12,002

12,002

12,003

12,002

12,003

12,004

14

14,002

14,002

14,002

14,002

14,002

14,003

14,004

50

50,002

50,002

50,003

50,002

50,003

50,003

50,004

Мах А, мм

0,002

0,002

0,003

0,003

0,003

0,003

0,004


Выводы: результаты испытаний соответствуют требованиям НТД.

Проверка сохранения характеристик микроскопа после климатических воздействий

Средства измерений, испытательное оборудование и вспомогательная аппаратура: концевые меры длины 4-го разряда ГОСТ 9038-90; климатическая камера КТК 3000

Результаты испытаний:

Результаты испытаний приведены в таблице 10

Таблица 10

Размер ПКМД, мм

Показания микроскопа Х, мм


При -350С

При +350С

2

2,000

2,000

4

4,000

4,000

6

6,000

6,000

8

8,000

8,000

10

10,000

10,000

12

12,000

12,000

14

13,999

14,000

50

50,001

50,003

Мах А, мм

0,001

0,003


Выводы: результаты испытаний соответствуют требованиям НТД.

Представлен в графической форме разброс абсолютного отклонения показаний микроскопа, вариации показаний в зависимости от механических, климатических воздействий, а также при изменении температуры окружающего воздуха.

Рис.8 Зависимость абсолютного отклонения показаний микроскопа от температуры при продольном и поперечном перемещении стола

Рис.9 Зависимость абсолютного отклонения показаний микроскопа после механических воздействий

Рис.10 Зависимость абсолютного отклонения показаний микроскопа после климатических воздействий

6. РАЗРАБОТКА МЕТОДИКИ ПОВЕРКИ

На основании Закона РФ «Об обеспечении единства измерений» (статья 15) с целью определения и подтверждения соответствия микроскопа установленным техническим требованиям производят его метрологическую поверку. Поверка производится по методике, разработанной в соответствии с инструкции МИ 2526-99 «ГСИ. Нормативные документы на методики поверки средств измерений. Основные положения».

Периодической поверке подлежат СИ, находящиеся в эксплуатации или на хранении, через определенный межповерочный интервал.

Первый межповерочный интервал устанавливается при утверждении типа СИ в соответствии с результатами метрологической экспертизы нормативной документации на СИ, с учетом данных, полученных при проведении испытаний СИ, а также условий эксплуатации данного СИ.

Операции поверки

При проведении поверки микроскопа должны быть выполнены операции, указанные в табл.4.

Таблица 11

Наименование операции

Номер пункта методики поверки

Средства поверки и их технические характеристики

1

2

3

1. Внешний осмотр, проверка комплектности, маркировки

7.6.1

-

2. Опробование

7.6.2

-

3. Поверка диапазона измерений и дискретности показаний

7.6.3

-

4. Определение отклонения от перпендикулярности направлений движения кареток при продольном и поперечном перемещениях стола.

7.6.4

Угольник поверочный типа УЛ-0-60 ГОСТ 3749-77

5. Определение предела допускаемого абсолютного отклонения показаний микроскопа при измерении линейных размеров

7.6.5

Шкала стеклянная 2-го разряда ГОСТ 8.327-78 Концевые меры длины 4-го разряда ГОСТ 9038-90

6. Определение вариации показаний

7.6.6

Шкала стеклянная 2-го разряда ГОСТ 8.327-78 Концевая мера длины 4-го разряда размером 50 мм .


В случае невыполнения хотя бы одной операции поверка прекращается, микроскоп бракуется.

Средства поверки

При проведении поверки должны быть использованы средства поверки, указанные в таблице 1.

Средства поверки должны иметь действующие свидетельства о поверке.

Для проведения поверки допускается применение других средств, не приведенных в таблице 1, при условии обеспечения ими необходимой точности измерений.

Требования безопасности

При проведении поверки должны выполняться требования безопасности, указанные в эксплуатационной документации на применяемые средства поверки и поверяемое СИ и общие требования безопасности по ГОСТ 12.2.007.0-75

Условия поверки

При проведении поверки должны соблюдаться следующие условия:

температура окружающего воздуха, С 15…25

относительная влажность воздуха, % 30 … 80

атмосферное давление, кПа 84 … 106,7

Подготовка к поверке

Перед поверкой средства поверки и поверяемый микроскоп должны быть выдержаны в нормальных условиях не менее 2-х часов.

Средства поверки и поверяемый микроскоп должны быть подготовлены к работе в соответствии с эксплуатационной документацией на них.

Проведение поверки

Внешний осмотр.

При внешнем осмотре должно быть установлено соответствие микроскопа следующим требованиям:

комплектность должна соответствовать инструкции по эксплуатации;

рабочая поверхность предметного стола микроскопа не должна иметь механических повреждений, деформаций и коррозии, могущих повлиять на точность измерений.

Опробование.

При опробовании проверяют:

перемещение предметного стола вдоль направляющих по оси Х и У с помощью винтов электронного микрометра. Предметный стол должен перемещаться свободно;

перемещение визирного микроскопа вдоль колонки и фокусирования на контуры измеряемого изделия. Визирный микроскоп должен перемещаться по всей длине направляющей колонки плавно, и позволить получить резкое изображение контура измеряемого изделия.

возможность фокусировать окуляра для настройки по глазу наблюдателя. Вращение диоптрийной наводки окуляра должно позволять фокусировать изображение прерванного перекрестия по глазу наблюдателя и получать резкое изображение;

лампа подсветки предметного стола микроскопа при включении микроскопа должна освещать стол;

работоспособность отсчетных устройств микроскопа (электронных микрометров). Цифровое изображение должно появляться при нажатии клавиши ON/OFF и исчезать при повторном ее нажатию при нажатии на клавишу ABS/INC должна обеспечиваться установка индикации на «нуль». При вращении винтов электронного микрометра цифры на блоках индикации микрометров должны изменяться. Нажатие клавиши «В» должно обеспечивать нормальный режим индикации: при выкручивании шпинделя микрометра должен производиться отсчет в положительном направлении; при выборе другого режима при таком движении на индикаторе должно высветиться «REV». Клавиша предварительной установки «Preset» должна обеспечивать установление начальной точки в соответствии с 2.9.1.инструкции по использованию №4769

Проверка диапазона и дискретности показаний производится визуально, наблюдая изменение показаний при вращении винтов электронных микрометров. Проверяемые параметры должны иметь следующие значения: диапазон измерений в направлениях Х и У - (0…50)мм, дискретность показаний 0,001мм.

Определение отклонения от перпендикулярности направлений движения кареток при продольном и поперечном перемещениях стола производится с помощью поверочного угольника следующим образом:

Длинное ребро поверочного угольника, расположенного на рабочей поверхности стола микроскопа устанавливается параллельно направлению движения каретки стола. Проверить правильность установки, совместив перекрестие штриховой сетки с изображением ребра в начале и конце диапазона измерений. Отсчеты должны быть одинаковые. Совместить перекрестие штриховой сетки с изображением короткого ребра угольника, отступив 0,5мм от вершины и установить с помощью соответственной клавиши микрометра нулевое показание. Переместить каретку в поперечном направлении на длину 10мм, совместить перекрестие сетки с изображением короткого ребра угольника и взять отсчет (hизм).

Отклонения от перпендикулярности направлений движения каретки (Δh) вычисляется по формуле

Δh = 10 tgΔα + hизм

где Δα - отклонение угла лекального угольника от 90 , взятое из свидетельств на угольник.

Отклонение от перпендикулярности направлений движения каретки не должно превышать 0,003мм.

Определение предела допускаемого абсолютного отклонения микроскопа при измерении линейных размеров производится в следующей последовательности:

Проверяется положение угломерной головки. Она должна находиться в положении нулевого угла.

Стол устанавливают в крайнее нулевое положение. На нем устанавливают параллельно продольному направлению перемещения шкалу. Совмещают отсчетный штрих микроскопа с одним из начальных штрихов шкалы и снимают показание.

Совмещают отсчетный штрих с делениями шкалы через 2мм и снимают показания.

Определяют полученные значения интервалов 0-2; 0-4; 0-6; 0-8; 0-10; 0-12 и 0-14мм.

Повторяют операции по 6.5.2 при установке шкалы параллельно поперечному направлению перемещения стола.

Стол устанавливают в крайнее нулевое положение. На нем устанавливают концевую меру размером 50 мм длинной стороной параллельно продольному перемещению стола. Производят измерение длины меры. То же самое повторяют при установке длинной стороной параллельно поперечному перемещению стола.

Предел абсолютной допускаемой погрешности (А) вычисляется для каждого проверяемого интервала по формуле

А = Lизм - Lдейств

Где Lизм - полученное при измерении на микроскопе значение интервала;

Lдейств - действительное значение измеряемого интервала (взятое из свидетельства о поверке шкалы и концевой меры)

Наибольшее из полученных в п. 6.5.6 значений не должно превышать 0,005мм.

Определение вариации показаний производится путем измерения тех же интервалов при обратном движении стола микроскопа. Вариация показаний b равна разности между соответствующими показаниями микроскопа при прямом (Lизм1) и обратном(Lизм2) ходах.

b = Lизм 1- Lдейств2

Вариация показаний не должна превышать 0,002мм.

Оформление результатов поверки

Положительные результаты поверки оформляют свидетельством о поверке в соответствии с ПР.2.006.

В случае отрицательных результатов поверки микроскоп признают непригодным к применению, аннулируют свидетельство, гасят клеймо и выдают извещение о его непригодности с указанием причин в соответствии с ПР 50..006.

Передача информации о размере единицы длины производится по цепи, показанной на фрагменте государственной поверочной схемы средств измерений длины в диапазоне 1∙10-6÷50 м и длин волн в диапазоне 0,2÷50 мкм (рисунок 7)

7. СОСТАВЛЕНИЕ ОПИСАНИЯ ТИПА

Описание типа СИ составляется в соответствии с МИ 2646-2001 и является неотъемлемой частью сертификата об утверждении типа СИ, выдаваемого Федеральным Агентством по техническому регулированию и метрологии.

Описание типа для Государственного реестра средств измерений содержит разделы, расположенные в следующей последовательности:

наименование;

-        назначение и область применения;

          описание;

          основные технические характеристики;

          знак утверждения типа;

          комплектность;

          поверка;

          нормативные документы;

          заключение;

          изготовитель.

ОПИСАНИЕ ТИПА СРЕДСТВ ИЗМЕРЕНИЙ

Микроскоп измерительный ТМ-500

Внесен в Государственный реестр средств измерений  Регистрационный № ________________________ Взамен №________________





(наименование средств измерений и обозначений их типа)



Изготовлен по технической документации (инструкция по использованию № 4769) фирмы «Mitutoyo Corporation» (Япония).

Назначение и область применения

Микроскоп измерительный ТМ-500 заводской № 260108 (далее - микроскоп) предназначен для измерения наружных и внутренних линейных размеров и диаметров изделий в продольном и поперечном направлениях до 50 мм.

Область применения: предприятие ОАО «УРАЛаз»

Описание

Принцип действия микроскопа состоит в увеличении измеряемого объекта и передаче измеряемого размера объекта перемещению наконечника электронного микрометра, с помощью которого объект вместе с предметным столом микроскопа перемещают от одного края контура до другого (по измеряемому размеру). Перемещение стола контролируется наблюдателем через окуляр визирного микроскопа, имеющего штриховую сетку с прерванным перекрестием, с которым последовательно совмещают края измеряемого контура изделия.

Микроскоп состоит из основания, на котором смонтирован предметный стол с электронными микрометрами, колонки для перемещения визирного микроскопа и самого визирного микроскопа. Визирный микроскоп состоит из объектива, тубуса, штриховой сетки с прерванным перекрестием и окуляра.

Тубус микроскопа перемещается по колонке вверх и вниз и таким образом позволяет фокусировать изображение поверхности измеряемого изделия в глаз наблюдателя. Предметный стол освещается специальной лампой и может перемещаться с помощью микровинтов электронных микрометров в продольной и поперечном направлениях. Электрическая часть микроскопа включает в себя преобразователь фотоэлектрический, преобразующий перемещение микровинта электронного микрометра в цифровое показание и устройство цифровое отсчетное. Индикация показаний производится на жидкокристаллическом индикаторе.

Таблица 13 Основные технические характеристики

Метрологические и технические характеристики

Значение характеристик

Измеряемый параметр

Длина

Диапазон измерений, мм

Дискретность отсчета, мм

0,001

Вариация показаний, мм, не более

0,002

Предел допускаемой абсолютной погрешности микроскопа при измерении линейных размеров, мм

 -0,005…+0,005

Питание от сети переменного тока: Напряжением, В Частотой, Гц

 210…230 49,5…50,5

Габаритные размеры, мм

210х333х391

Масса, кг

15

Условия эксплуатации: Температура, оС Атмосферное давление, кПа Относительная влажность, %

 15…25 84 … 106,7 30 … 80

Средний срок службы, не менее, лет

20


Знак утверждения типа

Знак утверждения типа наносится методом наклейки на задней стороне микроскопа и на титульном листе инструкции по использованию № 4769.

Комплектность

В комплект поставки прибора входят следующие составляющие:

Таблица 14

обозначение

наименование

количество


Основание с предметным столом, колонкой и визирным микроскопом

1


Объектив, 2х

1


Окуляр, 15х

1


Штриховая сетка с прерванным перекрестием

1


Электронные микрометры

2


Блок освещения

1

№4769

Инструкция по использованию

1


Поверка

Поверку микроскопа измерительного осуществляют в соответствии с нормативным документом: «ГСИ. Микроскоп измерительный ТМ-500. Методика поверки».

Основные средства поверки:

Угольник поверочный типа УЛ-0-60 ГОСТ 3749-77;

Шкала стеклянная 2-го разряда ГОСТ 8.327-78;

Концевые меры длины 4-го разряда ГОСТ 9038-90;

Межповерочный интервал 1 год.

Нормативные и технические документы

Инструкция по использованию № 4769 фирмы «Mitutoyo Corporation» (Япония).

Заключение

Тип «Микроскоп измерительный ТМ-500», заводской № 260108, утвержден с техническими и метрологическими характеристиками, приведенными в настоящем описании типа, и метрологически обеспечен в эксплуатации.

Изготовитель: фирма «Mitutoyo Corporation» (Япония)

8. ВЫВОДЫ ПО РЕЗУЛЬТАТАМ ИСПЫТАНИЙ

В соответствии с техническими и метрологическими характеристиками, приведенными в настоящем описании типа, единичный экземпляр микроскопа измерительного ТМ-500 может быть утвержден и внесен в Государственный реестр средств измерений РФ.

. ГЦИ СИ УНИИМ, в лице представителей,

провел испытания единичного экземпляра микроскопа измерительного ТМ-500 (далее - микроскоп, изготовленного фирмой «Mitutoyo Corporation» (Япония).

Испытания проведены с _________________ по _______________

. ГЦИ СИ УНИИМ был представлен один образец микроскопа № 260108, предназначенного для прецизионного измерения наружных и внутренних линейных размеров и диаметров изделий в продольном и поперечном направлениях до 50 мм и имеющего следующие основные характеристики.

Таблица 15 Основные технические характеристики:

Метрологические и технические характеристики

Значение характеристик

Измеряемый параметр

Длина

Диапазон измерений, мм

0…50

Дискретность отсчета, мм

0,001

Вариация показаний, мм, не более

0,002

Предел допускаемой абсолютной погрешности микроскопа при измерении линейных размеров, мм

 -0,005…+0,005

Питание от сети переменного тока: Напряжением, в Частотой, Гц

 210…230 49,5…50,5

Габаритные размеры, мм

210х333х391

Масса, кг

15

Условия эксплуатации: Температура, оС Атмосферное давление, кПа Относительная влажность, %

 15…25 84 … 106,7 30 … 80

Средний срок службы, не менее, лет

20


. Ознакомившись с представленным образцом и рассмотрев документацию, ГЦИ СИ УНИИМ признал предъявленные материалы достаточными для проведения испытаний.

При этом ГЦИ СИ УНИИМ была установлена пригодность образца и документации, наличие и пригодность средств измерений и вспомогательного оборудования для проведения испытаний.

. ГЦИ СИ УНИИМ провел испытания микроскопа № 260108 в соответствии с программой испытаний

. В результате проведенных испытаний ГЦИ СИ УНИИМ установил, что:

          представленный образец микроскопа № 260108 соответствует требованиям технической документации фирмы «Mitutoyo Corporation»;

          микроскоп имеет метрологическое обеспечение в эксплуатации как нормативным документом: методика поверки, так и средствами поверки;

          межповерочный интервал 1 год.

. В процессе испытаний недостатков в технической документации и неисправностей микроскопа № 260108 не выявлено.

. На основании результатов проведенных испытаний ГЦИ СИ УНИИМ рекомендует:

          утвердить тип единичного экземпляра микроскопа измерительного ТМ-500 № 260108;

          внести его в Государственный реестр средств измерений РФ;

          выдать сертификат об утверждении типа по форме приложения 2 ПР 50.2.009-94 предприятию ОАО «УРАЛаз», г. Миасс.

Приложения к акту:

.         программа испытаний

.         Ведомость соответствия испытанного образца технической документации.

9. ТЕХНИКО - ЭКОНОМИЧЕСКОЕ ОБОСНОВАНИЕ

Необходимость разработки проведения испытаний микроскопа измерительного ТМ-500.

Проведение испытаний микроскопа и дальнейшее его внедрение необходимо для повышения производительности операций контроля, обеспечения требуемой точности выполнения измерений и уменьшения трудоемкости контрольных операций.

Следовательно решение главной экономической задачи метрологического обеспечения ОАО «УРАЛаз» должно состоять в том, чтобы при минимуме затрат материальных средств и фондов добиться получения требуемой организационно-производственной эффективности от выполнения контроля.

Расчет себестоимости затрат при разработке проведения испытаний микрокопа.

Затраты на разработку испытаний состоят из затрат на разработку методики проведения испытаний и методики поверки микроскопа - Зрм и затрат на проведение испытаний - Зпи.


где затраты на разработку методики проведения испытаний составляют:

Затраты на проведение испытаний рассчитываются по формуле:

Цоб - балансовая стоимость средств измерений и испытательного оборудования, используемых при испытаниях, тыс. руб;

Цоб = 1750 тыс. руб.

Pa - коэффициент амортизационных отчислений по средствам измерений и испытательному оборудованию определяется:


Р - коэффициент реновации новой техники, Р - 0,1638;

Нам - нормы амортизационных отчислений на капитальный ремонт контрольно-измерительного и испытательного оборудования, Нам = 2,5 % Коэффициент амортизационных отчислений по средствам измерений и испытательному оборудованию равен:

Соб - годовые затраты на поверку средств измерений и оборудования, используемого при испытаниях, тыс. руб;

Соб = 160 тыс. руб.

Сзп - годовые затраты на заработную плату работников, проводящих испытания, тыс. руб. (табл.13).

Таблица 13

Должность

Количество человек

Месячный оклад, тыс. руб.

Годовая зарплата, тыс. руб.

Инженер-метролог

1

10,2

122,4

Инженер по испытательному оборудованию

1

12

144

Начальник испытательной лаборатории

1

15,7

188,4



Итого Сзп

454,8


Расчеты затрат на электроэнергию в среднем за рабочий день представлены в таблице 14.

Таблица 14

Наименование

Номиналь

Число

Время

Расход

Стои-

Сум-

оборудования

-ная

единиц

работы

электро-

мость

марная


потреб-

обору-

обору-

энергии,

единицы

стои-


ляемая

дования,

дования,

кВт/ч

(1 кВтч)

мость.


мощность

шт.


электро-

руб


единицы


среднем


энергии,



оборудо-


в день),


руб



вания,


ч





кВт





1

Освещение

0,1

6

8

4,8

1,1

5,28

Вибростенд

2,5

1

4

10

U

1 1

электродинами







ческий G 0232







Климатическая

3,0

1

24

72

U

79,2

камера типа







КТК 3000







ИТОГО






95,48


Ти - время проведения испытаний, дн;

Ти =5 дн.

- среднее количество рабочих дней в году;

Зсо - затраты, связанные с производством образца средства измерения, представленного на испытания, тыс. руб.

Расчет себестоимости изготовления микроскопа

Полная себестоимость изделия включает следующие статьи затрат:

1.  Основные и вспомогательные материалы.

2.  Покупные комплектующие изделия и полуфабрикаты.

3.  Энергия на технологические нужды.

4.  Основная заработная плата производственных рабочих. Дополнительная заработная плата производственных рабочих

5.  Отчисление на социальное страхование.

6.  Накладные расходы.

Затраты на основные и вспомогательные материалы рассчитываются по формуле:


где пm| - число видов или типоразмеров материалов, расходуемых на

изготовление изделия;

К тзр - коэффициент, учитывающий транспортно - заготовительные расходы от стоимости материалов (от 0,03 до 0,15);

Цmi - оптовая цена единицы i-ro материала, руб/кг;

Qmi - количество i-ro материала на прибор, кг;

Ц0mi - цена единицы возвратных отходов i-ro материала, руб/кг;

qOmi - количество реализуемых отходов i-го материала на прибор, кг.

Расчет материалов представлен в табл. 15.

Наименование материала

Норма расхода изделий, шт.

Цена за единицу, руб

Сумма, руб

Обоснование цены

Сталь 14*17Н Сталь 40Х

25 45

60 16

750 720

Данные бухгалтерии

ЛатуньЛС59Ф8-18 Сплав Д16Т Сплав АМГ6 1,2

3,5 15 10

150 95 100

525 1425 1000


Капролон

150

150


Уголок стЗ

730

4380


Сталь 45

30

16

480


Итого

9430



Затраты на покупные комплектующие изделия и полуфабрикаты См определяются, исходя из действующих прейскурантных цен с учетом транспортно - заготовительных расходов и норм расхода на один прибор по формуле:


где Цi- оптовая цена одного i-ro покупного изделия, руб/шт;

Наименование

Количество,

Цена за

Общая

Обоснование

покупных

шт.

единицу,

сумма,

цены

материалов


руб.

руб.


Вольтметр Ф295-2

1

6500

6500

Данные





бухгалтерии

Конденсаторы

50


700


Резисторы

58


288,5


Микросхемы

26


1001


Вставка плавкая ВП1-

1

32

32


0,5А





Диоды

7


250


Светодиод

32


180


Транзистор

1

15

15


qпi - количество покупных изделий и полуфабрикатов i-ro вида,

расходуемых на изготовление прибора, шт/прибор; mп - число типов изделий и полуфабрикатов.

Расчет затрат на покупные комплектующие изделия и полуфабрикаты представлены в табл. 16.

Таблица 16










Затраты на покупные комплектующие изделия и полуфабрикаты См определяются, исходя из действующих прейскурантных цен с учетом транспортно - заготовительных расходов и норм расхода на один прибор по формуле:


где Цi- оптовая цена одного i-ro покупного изделия, руб/шт;

qпi - количество покупных изделий и полуфабрикатов i-ro вида,

расходуемых на изготовление прибора, шт/прибор; mп - число типов изделий и полуфабрикатов.

Расчет затрат на покупные комплектующие изделия и полуфабрикаты представлены в табл. 17.

Таблица 17

Наименование

Количество,

Цена за

Общая

Обоснование

покупных

шт.

единицу,

сумма,

цены

материалов


руб.

руб.


Лакоткань ЛКМ-105

2

5,6

11,2


ТрубкаФ4ДЭ0,7*0,2

4,7


114,78


Лента ДПРНМ 0,14

2


35


Бумага ЭН-50, К-120

1


5


Оптрон, Стабилитрон

3 2

62

310






Данные бухгалтерии

Провода Переключатель

26+2 1

19

321,52 19


Розетка

1

19


Вилки

4

20

80


Крепёж

5

25

125


Держатель

1

5

5


ИТОГО

10013


 


Затраты на электроэнергию Сэ определяются по формуле:


где Мп - мощность установленного электрооборудования, кВт;

RM - коэффициент использования мощности электрооборудования (RM=0,8);

Т - время работы электрооборудования, ч;

Ц-цена 1 квт/ч электроэнергии, руб.

Расчеты затрат на электроэнергию представлены в табл. 17.

     








Номиналь-

Число

Время

Расход

Стои-

Сум-


ная

единиц

работы

электро-

мость

марная

Наименование

потреб-

обору-

обору-

энергии,

единицы

стои-

оборудования

ляемая

дования,

дования,

кВт/ч

(1 кВт

мость,


мощность

шт.

ч


ч), руб

руб


кВт






Токарное

12

2

26

624

U

549,12

Фрезерное

10

1

24

240

1,1

21 1.2

Слесарное

3

1

28

84

U

73.92

Сварочное

5

2

6

60

1,1

52,8

Термообраба-

15,2

1

8

121,6

U

107.00

тывающее







Лакокрасоч-

1,5

1

2

3

U

3,3

ное







Освещение

0,1

16

40

2,4

1,1

2,64

ИТОГО






1000




















В качестве исходных данных для определения основной заработной платы производственных рабочих за изготовление спроектированного микроскопа принимается нормативная трудоемкость выполнения отдельных технологических операций или видов работ:


где fj - трудоемкость i-ой операции (вида работ), в нормочасах;

Rтi - тарифный коэффициент, соответствующий разряду работ по i-ой операции (виду работ);

Стi тарифная ставка первого разряда, руб.;

l-количество операций (видов работ).

Отчисление на социальное страхование принимается в размере 37% от суммы основной и дополнительной заработной платы рабочих.

Соc = 5520руб.

Накладные расходы составляют 120% от суммы основной заработной платы рабочих.

Сн = 14117 руб.

Расчет себестоимости спроектированного микроскопа представлен в табл. 19.

Таблица 19

Наименование статей затрат

Сумма, тыс.руб

В % от полной себестоимости

Основные и вспомогательные материалы

9,430

17,13

Покупные комплектующие

10,013

18,21

Энергия на технологические нужды

1,000

1,82

Заработная плата рабочих, Отчисление на социальные нужды

14,920 5,520

27,13 10,04

Накладные расходы

14,117

25,67

ИТОГО

55,000

100


Суммарные затраты (себестоимость) микроскопа для контроля линейных размеров деталей составляют 55тыс. руб.

Тогда затраты на проведение испытаний равны:

Рассчитываем суммарные затраты на проведение испытаний по формуле (1):

Ожидаемый экономический эффект.

Ожидаемый экономический эффект рассчитывается при решении вопроса о внедрении в метрологическую практику новой измерительной техники, новых организационных форм выполнения метрологических работ, при утверждении программ и планов мероприятий по совершенствованию метрологического обеспечения.

Расчёт ожидаемого экономического эффекта от проведения испытаний микроскопа измерительного ТМ-500 и внедрения его в производство проводится по формуле:


Сэкономленные средства (руб.) в результате сокращения времени после внедрения микроскопа определяются по формуле:


tc-время, затраченное на 1 контрольную операцию до внедрения tc=O, 15ч; tH- время, затраченное на 1 контрольную операцию после внедрения tH=0,054 Т-время, сэкономленное после внедрения микроскопа за I год.

Nt-количество контрольных операций, произведённых на микроскопе за1год Nt =38400

Т=(0,15-0,05)*38400=3840 час

Цt - средняя заработная плата контролера, 36 руб/ч.

Сэкономленные средства (руб.) в результате сокращения количества средств

Ск=Nк*Цк

Nк-количество изготавливаемых средств допускового контроля за 1 год.

Nk=50

Цк-средняя стоимость 1 средства допускового контроля.Цк=700руб.

Апр - планируемый

годовой выпуск спроектированного устройства и дальнейшее его использование, изд. Апр=2

Величины приведенных затрат могут быть вычислены по формуле:


где Сп-полная себестоимость производства спроектированного устройства;

Е„- нормативный коэффициент эффективности(0,15) устройства;

Ен - нормативный коэффициент эффективности (0,15)

К- удельные капитальные вложения в производственные фонды, необходимые для изготовления спроектированного устройства, руб.

В составе капитальных вложений выделяются прямые Кпр., сопряженные Ксомр, сопутствующие Ксоп. затраты на проведение научно-исследовательских работ Кцир. и охрану окружающей среды Кохр:


Удельные капитальные вложения в производственные фонды, необходимые для изготовления спроектированного устройства, Кпр = 13800 руб.

Величина приведенных затрат спроектированного устройства

Ожидаемый экономический эффект:

Таким образом, в результате внедрения высотомера достигается экономия в размере 196тыс. руб. по истечении 1года.

10. БЕЗОПАСНОСТЬ ЖИЗНЕДЕЯТЕЛЬНОСТИ

Выявление и анализ вредных и опасных производственных факторов (ОВПФ), возникающих при проведении испытаний микроскопа.

В процессе проведения испытаний высотомера на оператора оказывают действие следующие опасные и вредные производственные факторы. Опасные факторы, физические:

повышенное значение напряжения в электрической цепи, замыкание которой может произойти через тело человека;

повышенный уровень статического электричества;

Вредные факторы.

физические:

1   повышенный уровень электромагнитного излучения;

2   повышенная яркость светового изображения;

-повышенный уровень прямой и отражённой блесткости;

повышенный или пониженный уровень освещенности;

психофизиологические:

3   напряжение зрения;

4   напряжение внимания;

Вышеперечисленные опасные производственные факторы могут привести к несчастному случаю, а вредные вызвать изменения в организме человека в виде утомления, вызывающего снижение скорости восприятия информации, увеличение числа ошибок, снижение внимания, увеличение времени зрительной и двигательной реакции. Для того, чтобы исключить влияние опасных и вредных факторов на организм человека или уменьшить их до безопасного для здоровья уровня применяют методы защиты от воздействия ОВПФ.

Разработка инженерного метода защиты персонала от воздействия ОВПФ.

Основным методом защиты персонала от воздействия ОВПФ является безопасная организация рабочего места.

Помещение испытательной лаборатории должно соответствовать действующим строительным и санитарным нормам, быть сухим, чистым и изолированным от производственных участков, откуда могут проникнуть пыль, агрессивные пары и газы.

Испытательную лабораторию следует размещать в специальном здании или помещении вдали от высоковольтных линий электропередач, контактной электросети (электротранспорта), источников вибрации, шума (с уровнем выше 90 дБ), радиопомех (электросварочного и высокочастотного электрооборудования) и от объектов, создающих сильные магнитные или электрические поля (преобразовательных подстанций, установок индукционного нагрева и т.п.). Допускаемый уровень помех устанавливается в НД на соответствующие методики испытаний.

При размещении испытательного оборудования рекомендуется соблюдать следующие нормы: ширина прохода - не менее 1,5 м; ширина незанятого пространства около отдельных испытательных установок - не менее 1 м; расстояние от стола со средствами измерений до отопительных систем - не менее 0,2 м.

В лаборатории должно быть защитное заземление, а также индивидуальные средства защиты от поражения электрическим током (диэлектрические перчатки и коврики, изолированный инструмент и индикатор напряжения).

В помещении надлежит поддерживать постоянную температуру воздуха +20 ±4 Си относительную влажность в пределах 60 ± 20%. -Коэффициент естественной освещенности на поверхности стола оператора допускается в пределах 1,00-1,50. Обеспечивают условия, чтобы дневной свет в помещении был рассеянным и не давал бликов, для чего на окнах должны быть шторы или жалюзи. Искусственное освещение испытательной лаборатории должно быть люминесцентным, рассеянным.

Стены до 3А их высоты окрашивают масляной краской светлых тонов, остальную часть стен и потолков - белой прочной краской, допускающей протирку. Полы лаборатории должны покрываться линолеумом или пластиком.

Разработка инструкции по безопасности работ для технического персонала, проводящего испытания высотомера цифрового

Инструкции по безопасности работ для технического персонала, проводящего испытания высотомера цифрового разработана на основании Постановления Минтруда и Соцразвития РФ от 17.12.2002г. № 80 «Об утверждении методических рекомендаций по разработке государственных нормативных требований охраны труда» и включает следующие разделы.

.ВВЕДЕНИЕ

Настоящая инструкция распространяется на технический персонал испытательной лаборатории.

Инструкция предназначена для проведения инструктажа на рабочем месте при работе с электроустановками напряжением до 1000 В.

Инструкция содержит основные требования (правила) по охране труда, в области техники безопасности, производственной санитарии при выполнении указанных работ.

. ОБЩИЕ ТРЕБОВАНИЯ

К работе с электроустановками допускаются лица, достигшие 18-летнего возраста и прошедшие медицинское обследование. После теоретической и практической подготовки персонал должен пройти проверку знаний и иметь удостоверение на допуск к работам в электроустановках на соответствующую группу по электробезопасности.

Производить работы с элетроустановками напряжением выше 36 В разрешается при наличии в помещении не менее 2-х лиц.

При работе на электроустановке 2-х и более человек, руководителем работ является старший по должности или специально назначенный руководитель, распоряжение которого является обязательным для остальных членов группы, разрешается при наличии в помещении не менее 2-х лиц.

В помещениях, где производятся работы с электроизмерительными приборами и установками должно быть защитное заземление, а также индивидуальные средства защиты от поражения электрическим током (диэлектрические перчатки и коврики, изолированный инструмент и индикатор напряжения). Защитные средства должны иметь штамп прошедшего испытания. На штампе прошедшего испытания защитного средства указывается номер защитного средства, испытательное и рабочее напряжение, годности и название лаборатории, проводившей испытание.

Нельзя работать с неисправными приборами и инструментами.

Не производить самостоятельно ремонтных работ в приборах и электрощитах.

Перед всеми электроизмерительными установками, пультами управления должны находиться резиновые коврики.

Не допускать загромождения рабочих мест.

Корпуса электроизмерительных приборов и установок должны быть заземлены.

Все электроизмерительные приборы и установки должны иметь калиброванные предохранители или плавкие вставки.

Для защиты людей от поражения электрическим током при повреждении изоляции в электроустановках должны быть предусмотрены защитные меры. В качестве таких мер могут использоваться: заземление, зануление, защитное отключение, малое напряжение, двойная изоляция, выравнивание потенциалов. Части электрооборудования, подлежащие заземлению, должны иметь надежное контактное соединение с заземляющим устройством либо с заземленными конструкциями, на которых они установлены.

-При выполнении ремонтных и монтажных работ, связанных с отключением общего электропитания, при необходимости на щите вывешивается запрещающий плакат «НЕ ВКЛЮЧАТЬ».

-В места, где имеется источник высокого напряжения (открытые шкафы электропитания, мощные выпрямители и т.д.) посторонние лица, не связанные с работой на данной электроустановке, НЕ ДОПУСКАЮТСЯ.

Устанавливайте ограждение и вывешивайте предупредительный плакат:

« ОСТОРОЖНО! ВЫСОКОЕ НАПРЯЖЕНИЕ!»

Для снятия диаграмм напряжений и токов пользоваться щупами с

изолированной ручкой.

Каждый работающий ОБЯЗАН:

а) требовать от начальника лаборатории проведение инструктажа по охране труда и технике безопасности до назначения на работу;

б) требовать от начальника отдела, чтобы инструкция о мерах безопасности находилась на рабочем месте;

в) строго выполнять все правила безопасности, установленные инструкцией по эксплуатации электроустановки и настоящей инструкцией;

г) при поражении электрическим током немедленно сообщить своему непосредственному начальнику или руководителю работ;

д) содержать в чистоте рабочее место, не загромождать его ненужным инструментом и приборами.

При работе с электроизмерительными приборами и установками, имеющими дополнительные источники опасностей (радиоактивность, излучение, повышенная и пониженная температура, давление) пользуйтесь инструкцией по эксплуатации этих приборов и соответствующей инструкцией по ОТ и ТВ.

Запрещается работать под напряжением без оформления наряда-допуска на проведение работ повышенной опасности.

. ТРЕБОВАНИЯ ПЕРЕД НАЧАЛОМ РАБОТЫ

Установите приборы, необходимые для проведения испытаний, в удобном для работы положении и соедините приборы между собой в соответствии с требованиями инструкций по их эксплуатации и с рабочей измерительной схемой.

Проверьте заземление корпусов электроизмерительных приборов и установок.

Перед включением электроприборов и установок в сеть убедитесь, что они по внешним признакам исправны, токоведущие зажимы не касаются металлических предметов и корпусов, предохранители и плавкие вставки на месте.

Перед началом работ изучите инструкцию по эксплуатации каждою входящего в схему прибора, а также правила и методику проведения испытаний

. ТРЕБОВАНИЯ ВО ВРЕМЯ РАБОТЫ

Категорически запрещается отключать заземление, вскрывать или вынимать из корпуса отдельные блоки у включенного в сеть прибора.

При обнаружении неисправностей во время работы или при включении (появление дыма, запаха гари, искрения и т.д.) необходимо отключить электроустановку и не включать ее до устранения неисправности соответствующими службами. То же самое сделать и при перегорании предохранителя.

Не оставлять без наблюдения включенные в сеть приборы. В случае, когда работа с электроустановками, приборами должна производиться в течение длительного времени без отключения, необходимо принять соответствующие меры предосторожности, исключающие попадание под напряжение других лиц, несвязанных с работой с этими приборами, а также возникновение пожара.

Используйте электроизмерительные приборы и установки строго по назначению, не превышайте предельных режимов, указанных в технических данных для каждого прибора.

-После отключения электроизмерительного прибора или установки убедитесь индикатором напряжения в отсутствии напряжения на токоведущих частях, а затем только производите разборку схем.

5. ТРЕБОВАНИЯ ПО ОКОЧАНИИ РАБОТЫ

По окончании работы установите ручку выключателя (включателя), расположенную на передней панели электроизмерительных приборов или установки, в положение «Выключено» и отключите вилки шнуров питания электросети.

Инструмент и приборы, которые не потребуются для дальнейшей работы, уберите на место.

При уходе из помещения выключите на щите питания все выключатели, общий рубильник, выключите освещение.

Разработка системы противопожарной защиты лаборатории при проведении испытаний.

Возникновение пожаров в зданиях и сооружениях, особенности распространения огня в них зависит от того, из каких материалов конструкций они выполнены, каковы размеры зданий и их расположение.

Возгораемость строительных конструкций определяется, как правило, возгораемостью материалов. Однако в ряде случаев возгораемость конструкций оказывается меньшей, чем возгораемость входящих в ее состав материалов. Способность конструкций сопротивляться воздействию пожара во времени при сохранении своих эксплуатационных свойств называется огнестойкостью. Огнестойкость конструкций характеризуется пределом огнестойкости, представляющей собой время, по истечении которого конструкция теряет несущую или ограждающую способность при пожаре.

Пожарная профилактика - это совокупность мероприятий, направленных на предупреждение пожара, предотвращение распространения огня в случае возникновения пожара и создание условий, способствующих быстрой ликвидации начавшегося пожара. Несовершенство конструкций, неправильная эксплуатация приборов отопления, систем вентиляции и кондиционирования воздуха, а также электрооборудования приводят к пожару и взрыву.

В соответствии с МП61 05-95 лаборатория относится к категории Д. Возможными причинами пожара в данном помещении могут быть:

5   короткое замыкание;

6   искрение;

7   не осмотрительное обращение с огнем.

В целях предотвращения указанных причин возникновения пожара проводятся мероприятия противопожарной защиты в следующих направлениях:

1.   Для локализации источника возгорания в лаборатории установлен огнетушитель углекислотный типа ОУ-8.

2.   Для определения источника возгорания в помещении лаборатории установлена противопожарная сигнализация (ЭПС). ЭПС оснащена извещателями с выходом информации на центральный пункт охраны.

3.   Для электробезопасности в лаборатории применяется заземление приборов и источников электроэнергии.

4.Ответственность за оснащенность и состояние средств пожаротушения и электробезопасности возложена на руководителя лаборатории.

.Руководитель лаборатории проводит 1 раз в год инструктаж с работниками по пожарной и электрической безопасности с регистрацией в журнале инструктажа.

ЗАКЛЮЧЕНИЕ

На основании проделанной работы можно сделать следующие выводы:

1. Произведен анализ нормативной документации по испытаниям и средствам измерения на основании, которого было предложено направление проведения испытаний микроскопа.

2. Для реализации поставленной задачи разработана программа испытаний микроскопа в соответствии с МИ 2146-95, которая включает требования к подготовке и проведению испытаний, методы и методику испытаний, а также экспериментальные исследования.

3. Анализ проведенных исследований позволил сделать вывод, что микроскоп удовлетворяет требованиям, установленным нормативной и технической документации.

4. Определено место размещения микроскопа в государственной поверочной схеме для средств измерений длины. Микроскоп расположен в поле «рабочих средств измерения».

5. В технико-экономическом разделе рассчитан ожидаемый экономический эффект от внедрения микроскопа, равный 196 тыс. руб. В результате внедрения испытанного микроскопа ожидается сокращение использования средств допускового контроля, а также увеличение производительности контрольных операций за счет снижения трудоемкости и сокращение времени контроля.

6. В разделе безопасность жизнедеятельности выявлены вредные и опасные производственные факторы и разработаны методы защиты от их воздействия. Разработана инструкция по технике безопасности работ для технического персонала, испытывающего микроскоп. Разработана система противопожарной защиты лаборатории проведения испытаний.

9. Дипломная работа выполнена полностью в соответствии с требованиями задания на дипломное проектирование.

СПИСОК ЛитературЫ

1. Закон Российской Федерации «Об обеспечении единства измерений».

2. И.Ф.Шишкин, И.Е.Ушаков. Прикладная метрология: Учеб.для вузов. - СПБ.: СЗТУ, 2002.

3. ПР 50.2.009-94 «ГСИ. Порядок проведения испытаний и утверждение типа СИ»

4. МИ 2146-95 «ГСИ. Порядок разработки и содержание программ испытаний средств измерений для целей утверждения их типа».

5. МИ 2646-2001 «ГСИ. Описание типа средств измерений для государственного реестра. Порядок построения и общие требования к изложению и оформлению».

6. МИ 1872-88 «ГСИ. Межповерочные интервалы образцовых средств измерений. Методика определения и корректировка».

7. ГОСТ8.050-73 «ГСИ. Нормальные условия выполнения линейных и угловых измерений»

8. МИ 2060-90 «ГСИ. Государственная поверочная схема для средств измерений длины в диапазоне 1∙ 10ֿ ÷ 50м и длин волн в диапазоне 0,2÷50 мкм. Часть 3.Плоскопараллельные концевые меры длины».

9. ГОСТ 2.105-95 «ЕСКД. Общие требования к текстовым документам».

10.МИ 2526-99 «ГСИ. Нормативные документы на методики поверки средств измерений. Основные положения».

11.Организация и планирование производства. Управление предприятием. Экономическое обоснование дипломных проектов: Методические указания. - СПБ: СЗТУ.

12.МИ 412-86 «ГСИ. Методы определения экономической эффективности метрологических работ».

13.Балонкина И.И., Кутай А.К. «Точность и производственный контроль в машиностроении» - Л.: Машиностроение,1983.

Ахьюджа Х. Сетевые методы управления в проектировании и

производстве. - М.: Мир, 1979.

14.Постановление РФ №80 от 17.12.2002г. «Об утверждении методических рекомендаций по разработке государственных нормативных требований охраны труда».

15.П.А. Долин Справочник по технике безопасности.- М.: Энергоатомиздат, 1986.

16.К.Н.Ткачук. Безопасность труда в промышленности. - К.: Техника, 1982.

Похожие работы на - Метрологические испытания измерительного микроскопа ТМ-500

 

Не нашли материал для своей работы?
Поможем написать уникальную работу
Без плагиата!
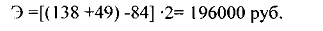
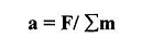
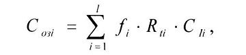
Без нейросетей!