Повышение точности и помехозащищённости средств измерений
Курсовая работа
на тему: «ПОВЫШЕНИЕ ТОЧНОСТИ И ПОМЕХОЗАЩИЩЁННОСТИ
СРЕДСТВ ИЗМЕРЕНИЙ»
ВВЕДЕНИЕ
Наблюдается постоянная тенденция возрастания
требований к точности измерений и соответственно, к совершенствованию
измерительной техники. В последние два десятилетия существенный скачок в
развитии СИ связан с успехом естественных наук. Здесь стоит отметить освоение
макроскопических квантовых эффектов: Мейснера, Джозефсона, Холла. Также нашли
свое применение мощные когерентные источники излучения в оптическом
радиодиапазоне, прежде всего разработку лазерной спектроскопии высокого
разрешения (ЛСВР), включающую спектроскопию поглощения, гамма спектроскопию.
Использование перечисленных эффектов даёт возможность достижения предельной
точности измерений, ограничивающейся только принципом неопределённости В.
Гейзенберга.
Среди факторов, оказывающих значительное влияние
на развитие приборостроения и измерительной техники являются также введение
средств вычислительной техники (СВТ) в измерительную цепь (распространение СВТ
на функции управления экспериментом и принятие решений) и удовлетворение
возрастающих требований науки и промышленности к качеству измерений. Первый
обуславливает возможность создания СИ нового поколения - интеллектуальных СИ
(сенсоры, контрольно измерительные системы, использующие базы знаний и
нейронные сети). Второй из этих факторов даёт толчок к непрерывному поиску
новых принципов измерений при создании СИ. Таким образом, выход на естественные
пределы измерений, компьютеризация СИ а также возрастание требований к качеству
измерений приводит к тому что точность СИ становится ключевой проблемой
приборостроения и при её решении необходимо использовать математический аппарат
теории вероятности и математической статистики, теорию информации и планирования
эксперимента, системный анализ, теорию множеств (в том числе и теорию нечетких
множеств), теорию оптимальных алгоритмов, функциональный анализ, теорию
искусственного интеллекта и др.
1. ПОВЫШЕНИЕ ТОЧНОСТИ СИ
Методы повышения точности СИ можно разделить на
следующие:
) Метод многократных наблюдений;
) Метод многоканальных измерений;
) Структурные методы;
) Методы параметрической стабилизации.
В свою очередь структурные методы могут быть
методами стабилизации статической характеристики или методами коррекции
статической характеристики. Эти две группы условно можно объединять в одну -
методы уменьшения статических погрешностей. Существует большое многообразие
структурных методов, и их в дальнейшем мы рассмотрим более подробно.
Обобщённая структурная схема методов повышения
точности СИ представлена на рисунке 1.
Рисунок 1 - Классификация методов повышения
точности СИ
1.1 Структурные методы
Структурные методы основаны на том, что в состав
средств измерений включаются дополнительные узлы, элементы и меры,
обеспечивающие повышение точности этих средств измерений за счет информации,
полученной с их помощью. Структурные методы повышения точности средств
измерений подразделяют на методы, обеспечивающие стабилизацию статической
характеристики средства измерений, и методы, основанные на коррекции этой
характеристики.
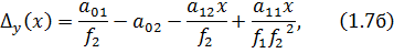
Уменьшение аддитивной погрешности.
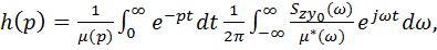
Погрешность преобразования имеет вид:
где 
- аддитивная погрешность;

- мультипликативная погрешность;

Эффективность структурных методов
можно оценить, например, отношением математических ожиданий квадрата ошибки в
исходном СИ и в СИ с коррекцией:
или отношением соответствующих
дисперсий.
Для уменьшения аддитивной
составляющей погрешности часто используют последовательные корректирующие
звенья. Пусть элемент СИ имеет характеристику 
и погрешность, приведённая к входу 
где 
- оператор, соответствующий
преобразованию, причем функцию преобразования f можно изменять.
Пусть в измерительную цепь включено
последовательное корректирующее звено с функцией 
и погрешностью 
между входным сигналом x и исходным
СИ (смотреть рисунок 2.). Для случая линейных элементов, т.е. постоянных
функций преобразования сигнал на выходе имеет вид:




y
Рисунок 2 - Линейная схема с
последовательным соединением элементов
За счёт уменьшения 
можно снизить составляющую 
, т.е. аддитивную погрешность
выходного сигнала; при этом
должна быть пренебрежимо мала.
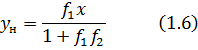
1.2 Метод отрицательной обратной
связи
Метод отрицательной обратной связи
(смотреть рисунок 1.3) реализуем только при наличии преобразовательных
элементов или преобразователей, способных осуществлять преобразование выходного
сигнала средства измерений во входной (обратный преобразователь). Создание
таких преобразователей - часто сложная техническая задача. Применение данного
метода обеспечивает уменьшение мультипликативной погрешности и погрешности
нелинейности, а относительная аддитивная погрешность при этом не изменяется. В
то же время использование метода приводит к уменьшению чувствительности
средства измерения. Данный метод повышает точность средств измерения и наряду с
методом параметрической стабилизации является наиболее распространенным.
Разбёрем этот метод более подробно, поскольку он довольно применим.
Пусть элемент СИ имеет функцию
преобразования 
и погрешность, приведённую ко входу

Корректирующее звено подключено
параллельно и имеет функцию преобразования 
и погрешность 
.
x y
Рисунок 3 - Линейная схема с
параллельным соединением элементов
Тогда на выходе СИ с коррекцией
имеем следующие соотношения (при отрицательной обратной связи)





Решая эту систему уравнений
относительно y получим
Номинальное значение выходного
сигнала СИ с коррекцией равно (элементы считаются линейными)
Погрешность выходного сигнала СИ с
коррекцией равна (в линейном приближении по x)
Данное соотношение можно упростить;
оставляя только члены, линейные по погрешностям:
В последнем случае выражение для
погрешности при условии, что 
и 
принимает вид
т.е. мультипликативная погрешность 
может быть существенно снижена.
Из вида соотношения (1.7) следует,
что мультипликативная погрешность 
мала при 
, причем аддитивная и
мультипликативная погрешности корректирующего звена 
, 
должны быть пренебрежимо малы.
Аддитивная составляющая 
при таком способе коррекции
остается существенной.
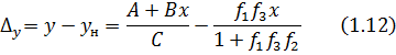
.3 Уменьшение аддитивной
составляющей при ООС
Для её уменьшения используют приём,
который сводится к введению последовательного корректирующего звена перед
элементом СИ, так что обратная связь охватывает оба элемента (основной и
корректирующий). В этом случае имеем следующие соотношения:







Решая данную систему совместно
получим для выходного сигнала с точностью по x членов следующее выражение
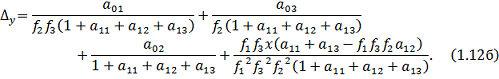
где А, B, C определяются выражениями



Погрешность выходного сигнала для СИ
с коррекцией с точностью до членов, линейных по x, определяется выражением
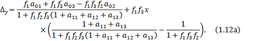
Рассмотрим различные упрощения
последнего соотношения. В реальной ситуации значения погрешностей 
, а следовательно и параметров 
малы, т.е. 
Оставляя только линейные по 
члены, получим
С целью дальнейшего упрощения
положим 
что даёт
Далее можно пренебречь величинами 
в знаменателе, так как вклад от них
следующего по погрешности порядка малости, что даёт
Из вида выражения (1.12в) следует,
что при данном способе коррекции уменьшается аддитивная погрешность исходного
СИ в 
раз, также оказывается уменьшенной
мультипликативная составляющая в 
раз. В этой схеме коррекции должны
быть малыми аддитивная погрешность 
аддитивная погрешность 
, а также мультипликативные
составляющие 
и 
корректирующих звеньев.
.4 Метод инвариантности
Метод инвариантности состоит в том,
что в средстве измерений помимо измерительной цепи (канала) имеется
сравнительная цепь (канал), к которой не подается входной сигнал, но которая,
как и измерительная цепь, находится под воздействием некоторой влияющей
величины. Причем параметры сравнительной цепи подобраны так, что изменение ее
сигнала под действием влияющей величины идентично изменению сигнала
измерительной цепи под действием этой величины, т. е. возмущения, вызванные
влияющей величиной, поступают в средство измерений по двум каналам (принцип
двухканальности). Использование разности сигналов измерительной и сравнительной
цепей (при дифференциальном включении этих цепей) обеспечивает независимость
(инвариантность) результирующего сигнала от названной влияющей величины, т. е.
метод обеспечивает исключение дополнительной погрешности, вызванной изменениями
некоторой, как правило, основной влияющей величины.
.5 Метод прямого хода
Метод прямого хода состоит в том,
что измеряемый сигнал поступает к чувствительному элементу средства измерений
через ключ, с помощью которого осуществляется периодическое во времени
отключение измеряемого сигнала от чувствительного элемента и подача к
последнему сигнала, значение которого равно нулю. Это обеспечивает работу
средства измерений на восходящей ветви (прямой ход) статической характеристики
при всех значениях измеряемого сигнала, что исключает наиболее существенную
погрешность многих средств измерений - погрешность от вариации.
1.6 Метод вспомогательных измерений
Метод вспомогательных измерений
заключается в автоматизации процесса учета дополнительной погрешности средства
измерений по известным функциям влияния ряда влияющих величин. Для этого
осуществляется измерение значений этих величин и с помощью вычислительного
устройства, построенного с учетом названных функций влияния, автоматически
корректируется выходной сигнал средства измерений.
.7 Метод обратного преобразования
Метод обратного преобразования
(итерационный метод) базируется на использовании дополнительно в составе
средства измерений кроме прямой измерительной цепи (прямого преобразователя),
цепи, способной осуществлять обратное преобразование выходного сигнала
(обратный преобразователь), имеющей существенно большую точность, чем цепь
прямого преобразования. Результат измерения получают путем итераций. В процессе
каждой итерации последовательно осуществляются: прямое преобразование
измеряемой величины и запоминание результата, обратное преобразование
запомненного значения этой величины, прямое преобразование сигнала обратного
преобразователя, соответствующего запомненному значению измеряемой величины, и
сравнение результатов этих двух преобразований, на основе которого формируется
корректирующий сигнал. Обратный преобразователь в данном методе играет роль как
бы многозначной меры, по которой корректируется статическая характеристика
прямого преобразователя. Метод обратного преобразования позволяет уменьшать в
зависимости от используемого алгоритма коррекции аддитивную и мультипликативную
погрешности средств измерений.
1.8 Метод модуляции
Наряду с рассмотренными методами
коррекции для повышения точности СИ используют метод модуляции, который
реализуется двояким образом: посредством модуляции входного сигнала x(t) либо
посредством модуляции погрешности 
, вследствие чего появляется
различие в спектрах частот сигнала x(t) и погрешности 
. Модуляция сигнала производится
модулятором, устанавливаемым между источником сигнала и СИ (в первой схеме
рисунок 1.2) или между СИ и помехой (во второй схеме рисунок 1.1), а также
посредством периодического изменения параметров СИ (например, коэффициента
передачи). Исключение аддитивной погрешности СИ осуществляется её фильтрацией
при пропускании сигнала через фильтр верхних частот, с его последующей
демодуляцией и применением фильтра нижних частот.
1.9 Метод образцовых сигналов
Метод образцовых сигналов
(образцовых мер) состоит в определении в каждом цикле измерения реальной
функции преобразования средства измерений с помощью образцовых сигналов (мер),
т. е. метод состоит в автоматической градуировке средства измерений в каждом
цикле. Цикл включает в себя измерение физической величины, поступающей на вход
средства измерения, поочередное измерение одной или нескольких мер,
подключаемых вместо измеряемой физической величины на вход средства измерений,
и решение системы уравнений с помощью вычислительного устройства, из которого определяется
значение измеряемой физической величины. В этом решении уже учтены изменения
реальной статической характеристики, т.е. данный метод сводится к совокупному
измерению. Он позволяет уменьшить аддитивную и мультипликативную погрешность, а
также погрешность нелинейности.
1.10 Периодическая автоподстройки
параметров
В рассмотренных методах модуляции и
образцовых сигналов основная ошибка определения погрешности СИ обусловлена
изменением x(t) во времени. Для повышения точности определения 
используется метод периодической
автоподстройки параметров. Рассмотрим этот метод в квазистатическом режиме,
когда допустимо измерение сигнала x(t) в дискретные моменты времени.
Предположим, что функция преобразования СИ, описывается в окрестности точки x
кусочно-линейной моделью вида
где 
- случайные величины; i = 1,2,…,n.
Требуется определить значение
измеряемой величины x. Для решения этой задачи процесс измерения выполняется в
три этапа. На первом этапе на вход СИ подается сигнал x , на втором сумма
сигнала x и эталонного (тестового) сигнала 
, на третьем входной сигнал,
предварительно усилённый в известное число раз K. В итоге получается система
уравнений
Её решением является значение
величины x
причём значение 
должно быть мало по сравнению с
диапазоном изменения величины 
, а 
- не сильно отличаться от 1.
Относительная ошибка определения 
по (1.15) равна
Наибольший вклад в ошибку даёт
последнее слагаемое. Для динамического режима автоподстройки изложенный метод
имеет ограниченную применимость, так как невозможно непрерывное изменение x(t)
. СИ отключают на малую часть периода, что вызывает появление составляющих
динамической погрешности, обусловленных прерыванием измерения x(t) на время 
и переходными процессами при
включении СИ для продолжения измерения x(t).
.11 Тестовый метод
Тестовый метод сводится к проведению
совокупных измерений. В отличие от метода образцовых сигналов в тестовом методе
в каждом цикле работы средства измерений кроме измерения физической величины,
поступающей на вход средства измерений, осуществляют измерение величин-тестов,
каждая из которых формируется из меры и измеряемой величины. Значение
измеряемой величины определяется из системы уравнений, решаемой с помощью
вычислительного устройства. По существу данный метод является развитием метода
образцовых сигналов.
.12 Метод многоканальных измерений
Средства измерений, с помощью
которых реализуется данный метод, содержат несколько идентичных по
характеристикам параллельных измерительных цепей (каналов) и вычислительное
устройство. Последнее, получая измерительную информацию по этим каналам,
вычисляет среднее арифметическое значение измеряемой величины и оценку
среднеквадратического отклонения результата измерения. Такой метод позволяет
уменьшить случайную составляющую погрешности средства измерений.
.13 Метод параметрической
стабилизации
Метод параметрической стабилизации,
называемый еще конструктивно-технологическим, состоит в стабилизации
статической характеристики средств измерений. Параметрическая стабилизация
реализуется путем изготовления средств измерений из точных и стабильных
элементов, параметры которых мало подвержены внешним влияниям;
термостабилизации; стабилизации параметров питания средств измерений;
экранировки средств измерений от магнитных и электрических полей и т. п. Данный
метод уменьшает систематическую и случайную погрешности средств измерений. Он
является классическим в приборостроении. На основе этого метода до сих пор
строится современный парк средств измерений.
.14 Метод многократных наблюдений
Метод многократных наблюдений
используется для уменьшения случайной составляющей погрешности средства
измерений и состоит в том, что: за некоторый постоянный интервал времени,
отведенный для измерения, выполняют несколько наблюдений, затем с помощью
вычислительного устройства, входящего в состав данного средства измерений,
вычисляют среднее арифметическое значение измеряемой величины и оценку
среднеквадратического отклонения результата измерения.
Интуитивно ясно, что усреднение
приводит к уменьшению погрешности, поскольку результаты отдельных измерений
имеют как положительные, так и отрицательные отклонения от точного значения и
поэтому частично взаимно компенсируются. С ростом числа измерений среднее
значение отрицательных значений приближается по модулю к среднему значению
положительных и точность их взаимной компенсации улучшается. Для практики
необходимо получить информацию о числе измерений и погрешностью при этом числе.
Поэтому покажем алгоритм, как это возможно установить.
Зная предельную точность, т.е.
точность, с которой необходимо выполнить данное измерение, мы можем
ориентировочно оценить такое число измерений:
однако это число приближённо, т.к.
погрешность однократного измерения записывается с помощью таблиц нормированного
нормального распределения, а при записи результата многократного измерения
используется два вида таблиц - при малом числе наблюдений (
- таблица Стъюдента, а при 
- таблица нормированного
нормального распределения. Следовательно необходимо обеспечить требуемое
значение погрешности измерений.
Для однократного измерения формула
имеет вид:
где 
- относительная ширина
доверительного интервала, определяемая по таблицам нормированного нормального
распределения;

- оценка СКО однократного измерения
i-ой физической величины.
Для многократного измерения:
где 
- относительная ширина
доверительного интервала погрешности прямого измерения. Этот параметр может
определяться в двух вариантах:
при большом числе измерений
аналогично параметру
;
при малом числе наблюдений по
таблицам Стъюдента.
Предварительно определив число
измерений 
по формуле (1.17) можно выбрать
таблицу, по которой будет определяться 
. Если число измерений оказалось
большим и будет использована таблица нормированного нормального распределения,
то предварительный расчёт можно считать окончательным, поскольку значения
параметров 
и 
будут одинаковы. Однако, в этом
случае, ввиду большого числа параллельных измерений необходимо тщательно
проработать экономическую целесообразность такого решения. Если предварительное

оказалось небольшим, то дальнейшее
её уточнение
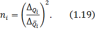
Введём новый показатель, называемый
уточнением:
Он характеризует степень погрешности
поставленной задачи с точки зрения однократных измерений. Подставив в формулу
(1.19) значения однократного и многократного измерений получаем
С помощью неё нельзя непосредственно
рассчитать 
, поскольку 
зависит не только от доверительной
вероятности P, но и от 
.
Для того, чтобы окончательно
определить число измерений необходимо для предварительного числа измерений и
параметра 
выбрать 
. Далее поставить это значение в
формулу (1.21) и рассчитать новое 
. Если оно окажется больше чем
предварительное, то процедуру необходимо повторить и так до тех пор, пока вновь
значение
не окажется меньше, чем предыдущее
значение. Это будет означать, что необходимое для уточнения число измерений 
по формуле (1.21) будет меньше чем
то, из которого мы исходим. Это означает, что задача по обеспечению требуемой
точности многократных измерений будет решена с запасом.
2. ПОВЫШЕНИЕ ПОМЕХОУСТОЙЧИВОСТИ СИ
Виды помех и способы их описания.
В общем случае, всякому электронному
устройству присущи:
) шумы - паразитные напряжения, возникающие
в вследствие физических процессов, происходящих в его комплектующих элементах и
характеризующиеся сложной временной и спектральной зависимостями;
) наводки - паразитные напряжения,
возникающие вследствие его «паразитных» электрических связей с различными
приборами, объединенных соответственно общим источником питания, общей
энергетической сетью, общими измерительными, приемо-передающими линиями связи,
и характеризующиеся определенной временной и спектральной зависимостями;
) помехи - паразитные напряжения,
возникающие в нем, от воздействия физических полей различных внешних
источников, и характеризующиеся временной и спектральной зависимостями
случайной функции.
Наиболее обобщающим понятием
"паразитных" напряжений возникающих в информационно-измерительных
системах (ИИС) является понятие "помеха", так как она, может быть
создана физической величиной, не измеряемой данной ИИС, но оказывающей влияние
на результат измерения или самой измеряемой физической величиной, изменяющей
характеристику ИИС и приводящей к нарушению пропорциональности между измеряемой
величиной и результатом измерения. На рисунке 2.1 приведена структурная схема
классификации физических величин, создающих помехи.

При измерении и обработке физических
сигналов наряду с полезной составляющей в реализации всегда присутствуют
помехи. В процессе измерения реальный сигнал подвергается целому ряду
последовательных преобразований:
преобразование неэлектрической
величины в электрическую форму;
передача электрического сигнала по
линиям связи;
преобразование его в цифровую форму;
линейные и нелинейные вторичные
преобразования для получения необходимого вида измеряемой величины и т.д.
Все преобразования сигнала при
измерении осуществляются преимущественно аппаратным способом, и каждое из них
вносит свою долю в погрешность. Кроме того, измеряемый сигнал, как правило,
взаимодействует и подвергается влиянию других сигналов.
В ИИС, принцип действия, которых
основан на взаимодействии электронных измерительных и управляющих устройств,
основным источником помех являются электромагнитные процессы, протекающие в
самих устройствах и передающих линиях. Допустимый уровень электромагнитных
помех определяется нормативно-техническим документом (Паспорт ИИС), а уровень
помех, реально существующий в системе, является одним из основных показателей
ее качества.
Некоторые виды помех, например,
помехи в виде колебаний на радиочастоте могут быть уменьшены или исключены с
помощью различных приемов, включая фильтрацию, тщательного продумывания
расположения линий связи и элементов электронных схем. Однако действие помех не
всегда может быть компенсировано аппаратными средствами и методическими
приемами в процессе измерения, кроме того существуют помехи принципиально
неустранимые, такие как флуктуации самой измеряемой величины в зависимости от
изменения внешних условий измерения. Поэтому для анализа характера помехи при
обработке измеренной реализации всегда присутствует этап предварительного
анализа, на котором применяются дополнительные методы для выделения полезной
составляющей и учета действие помех.
Заметим, что в цифровых системах
измерения все сигналы представлены в виде отдельных временных отсчетов,
зафиксированных в регистрах с ограниченной разрядностью. Таким образом,
полученная реализация представляет собой дискретный во времени и квантованный
по уровню сигнал. Погрешности цифрового представления информации являются
непременной составной частью общего сигнала помехи, но в данном разделе не
рассматриваются.
В фиксируемой реализации физического
сигнала среди его компонентов выделяют два: полезная составляющая и помеха.
Отметим, что полезная составляющая может быть отнесена к некоторым типовым
класса сигналов:
детерминированный монотонный сигнал;
периодический - гармонический (одна
гармоника заданной частоты) или полигармонический сигнал (несколько гармоник на
кратных частотах);
почти периодический сигнал
(несколько гармоник на не кратных частотах);
случайный сигнал.
Основной задачей любого измерения является
получение реализации полезного сигнала с требуемой точностью. Для того, чтобы
уметь учитывать действие помехи необходимо понимать причины и механизм
возникновения помех, анализировать возможность их устранения или уменьшения.
Задача организации измерения в условиях действия помех зачастую является крайне
сложной и зависит от целого ряда конкретных условий проведения измерений. В то
же время в механизме возникновения и действия помех можно выделить типовые
ситуации и закономерности, которые позволяют классифицировать помехи по разным
признакам и выработать рекомендации по их устранению и учету.
Представление помехи в виде
некоторого типового сигнала позволяет теоретически обосновывать и анализировать
способы ее устранения, применяя известные теоретические положения. Например,
основные теоретические результаты по оценке точности цифровых измерений
получены для нормального закона распределения вероятности амплитуды случайной
составляющей помехи. Анализ закона распределения или его параметров и подтверждение
предположения о нормальности дает возможность применить эти результаты на
практике.
Помеха также как и полезный сигнал
может быть многокомпонентным сигналом и сочетать в себе различные типы
процессов, аналогичные перечисленным выше. Обычно помеху в виде
детерминированной монотонной или медленно изменяющейся функции времени называют
временным дрейфом или трендом, а случайную составляющую помехи - «шумом». В
качестве помехи могут рассматриваться также детерминированные периодические и
почти периодические процессы.
Основные методы помехозащищённости
ИВК и приборов.
Измерительно-вычислительный комплекс
представляет собой совокупность энергетических установок, измерительных и
вычислительных приборов. Основными приборами в таких системах являются
измерительные, так как от достоверности и точности полученной от них
информации, зависит правильность принятых в дальнейшем решений.
В общем случае, современные
измерительные приборы, входящие в состав ИВК, конструктивно выполнены в виде
трех функциональных блоков: аналогового, логического (цифрового) и источника
питания. Питание аналоговой и логической частей прибора, обычно, осуществляется
от отдельных обмоток общего сетевого трансформатора. Паразитные емкостные связи
между обмотками сетевого трансформатора, а также наличие паразитной монтажной
индуктивности, емкости и сопротивлений утек по изоляции между элементами
прибора, могут явится причиной проникновения в него различных видов помех.
Поэтому, одной из мер защиты
прибора, от проникновения в него по «паразитным» цепям помех является
конструктивное разделение его структурной схемы на функциональные,
изолированные между собой блоки и установки (размещения) их в самостоятельные
электростатические (медные), а в некоторых случаях магнитные (пермаллоевые)
экраны.
В технической литературе можно
встретить название таких земель, как:
• аналоговая, сигнальная,
измерительная, малошумящая земля, которую иногда обозначают в виде (∇, Ω, ⊥). В
качестве такой измерительной земли системотехники обычно выбирают - общую шину
аналогового источника питания;
• логическая, дискретная, цифровая
земля (∇,τ,⊥). Цифровая
земля - общая шина цифрового источника питания;
• корпус или шасси прибора,
корпусная земля (⊥);
• шина контура заземления, системная
земля (⊥). Системная
земля определяется, как эквипотенциальная поверхность, потенциал которой служит
для измерительно-вычислительных систем и электронных схем уровнем отсчета
напряжения.
Универсальность символа ⊥ и свобода,
с которой пользуются авторы статей в технической литературе, при обозначении
различных по своей функциональной значимости земель, к сожалению приводит к
большой путанице в голове у читателей и, как следствие этого, к одному общему
понятию земли - потенциал земного шара.
Термин «земля» (или точка
заземления) имеет исторические корни, что и является сегодня причиной его
неоднозначного толкования. Первоначально так называлась точка, которая
действительно соединялась с землей для получения нулевого потенциала. В
электротехнике для анализа и согласования работы различных схем между собой
потенциал одной произвольной точки принимался равным нулю. Обычно он принимался
равным потенциалу Земли (нулевой потенциал). Все было хорошо, до той поры пока
электротехнические устройства были локальны. Когда же появились
электротехнические системы, протяженные на большие расстояния, и был обнаружен
факт, существования различных эквипотенциальных линий на поверхности земли, то
первое понятие использование термина «земля» стало некорректным.
«При заземлении одной любой точки
схемы токораспределение в схеме не меняется, так как никаких новых ветвей, по
которым могли бы протекать токи, при этом не образуется. Иначе будет, если
заземлить, две или большее число точек схемы, имеющих различные потенциалы. В
этом случае через землю образуются дополнительные ветви, сама схема становится
отличной от исходной, и токораспределение в ней меняется».
Будем считать, что в электронных
системах «точка заземления» является точной отсчета потенциалов. Чтобы
правильно понимать «заземление», вспомним, что любая электрическая система на
летящем самолете или космическом корабле, а также автоматические станции,
которые работают на Луне, Марсе и так далее имеют «заземление», относительно
которой отсчитываются все напряжения, но которая, никак не связана с землей.
Поэтому, наиболее правильно, пользоваться понятием - «системная земля», а в
случае действительного соединения ее с землей, это понятие приобретает свое
первоначальное историческое понятие.
Однако, все же такое обобщенное
понятие земли, как правило, не позволяет решить проблемы помехозащищенности при
создании измерительно-вычислительных комплексов. Поэтому, в дальнейшем мы
предлагаем читателем придерживаться следующих обозначений:
• измерительная земля, ∇
• цифровая земля, τ
• корпусная земля, ⊥
• системная земля, ⊥
В измерительных приборах экран
аналогового блока соединяют с измерительной землей и выводят ее отдельной
входной клеммой «G» экран логического блока соединяют с цифровой землей и
корпусом прибора, экраны (электростатический, а в некоторых случаях еще и магнитный)
блока сетевого источника питания соединяют с корпусом прибора.
В общем случае, помехи действующие
во входных цепях измерительного прибора делят на помехи:
• возникающие между проводами
измерительной линии за счет электромагнитных наводок во входном контуре, а
также на сопротивлениях линии связи за счет паразитных токов утечек, в
технической литературе их принято называть - помехами нормально вида (ПНВ);
• возникающие в цепях заземления
из-за различия потенциальных точек заземления у источника измеряемого сигнала и
прибора, содержащие как постоянную, так и переменную составляющие напряжения, в
технической литературе их принято называть помехами общего вида (ПОВ), так как
возникают в общей цепи для приборов - заземления.
Борьба с помехами нормального вида
ведется путем введения в структурную схему измерительного прибора
дополнительных схем компенсации, сглаживающих фильтров, автоматической
обработки результатов измерения, а также применением интегрирующих алгоритмов
работы прибора. Эта задача решается разработчиками данного измерительного
прибора, а результаты ее решения отражены в его технических характеристиках по
помехозащищенности.
Борьба с помехами общего вида
ведется путем применения различных схем эквипотенциальной защиты входных цепей
измерительного прибора, а именно правильного выбора точек заземления,
экранировки источников помех, гальванической развязкой первичных
преобразователей и так далее. Как правило, решение этих задач ложится на долю
пользователя этого измерительного прибора.
Рассмотрим более подробно некоторые
наиболее распространенные фильтры.
Фильтры при измерениях.
Динамические измерения.
Повышение помехоустойчивости СИ
достигается в этом случае фильтрацией помех, которая осуществляется с помощью
линейных и нелинейных фильтров. Наиболее известными линейными оптимальными
фильтрами являются фильтры Винера и Калмана.
В практике обработки данных
используются три основных критерия построения оптимальных фильтров: минимум
среднего квадратического отклонения профильтрованного сигнала от его
действительного или заданного значения, максимум отношения сигнал/шум и
максимум энергетического отношения сигнал/шум на выходе фильтра. Критерии
исходят из вероятностно - статистической модели обрабатываемых данных. При
анализе и синтезе фильтров используется аддитивная модель входного сигнала:
z(t) = x(t)+Δ(t),
где
x(t)- полезная составляющая сигнала, Δ(t)- составляющая
шумов и помех. Синтез оптимальных фильтров производится с максимальным
использованием известной информации как о сигналах, которые необходимо
выделить, так и о шумах и помехах. Как правило, используется информация о
природе полезного сигнала и шума, об их спектральном составе, о корреляционных
и взаимных корреляционных характеристиках. Наличие определенных особенностей
(различий) в характеристиках сигнала и шума позволяет реализовать фильтр вообще
и оптимальный фильтр в частности.
Фильтр Винера.
Данный фильтр иногда называют
фильтром Винера - Колмогорова. Как было сказано выше входной сигнал имеет вид
суммы полезного (измеряемого) сигнала и помехи:
z(t) = x(t)+Δ(t) (2.1)
Предполагается, что величины x(t) и Δ(t) являются
случайными стационарными функциями времени с неизвестными характеристиками.
Измерения проводятся на большом интервале времени [-
, t]. Входной процесс z(t)
предполагается центрированным, т.е. его математическое ожидание равно нулю.
Выходной сигнал СИ с фильтром определяется выражением:

(2.2)
где 
- весовая функция искомого фильтра.
Погрешность фильтрации является
также случайным процессов и определяется в виде:

(2.3)
где 
- идеальный входной сигнал:

(2.4)
где 
- весовая функция заданного
фильтра.
Искомый фильтр характеризуется
минимальным риском, определяемым минимумом дисперсии погрешности фильтрации:

(2.5)
Выражение для 
имеет вид:

(2.6)
Подставляя в (2.6) значение 
из (2.2) и заменяя произведение
интегралов двойным интегрированием, получим:

(2.7)
измерение средство
погрешность помеха
так как 
, где 
- дисперсия 
, 
- ковариационная функция входного
сигнала, 
- взаимная ковариационная функция
входного и идеального сигнала.
Таким образом, отыскание оптимальной
весовой функции искомого фильтра 
сводится к решению вариационной
задачи поиска минимума
. Её решением является интегральное
уравнение Винера - Хопфа:

(2.8)
Физически осмысление решения
уравнения (2.8), может быть получено, если известно дифференциальное уравнение,
связывающее входной сигнал z(t) с белым шумом. Если спектральная функция
входного сигнала 
является дробно-рациональной и её
можно представить в виде двух сомножителей 
, один из которых имеет полюса в
верхней полуплоскости, а второй (сопряжённый) - в нижней, то лапласовское
изображение оптимальной передаточной функции имеет вид:

(2.9)
где 
- взаимная спектральная плотность
входного и идеального выходного сигналов.
Минимум дисперсии погрешности
фильтрации, соответствующий оптимальной весовой функции, равен:
Практический пример расчёта фильтра,
взятый из [2], приведён в Приложении А.
Фильтр Калмана-Бюси.
В фильтре Винера оптимальная весовая
функция получается решением интегрального уравнения, что в реальных случаях
оказывается затруднительным. Поэтому в работе Калмана и Бюси была предложена
процедура фильтрации, основанная на решении дифференциальных уравнений с
заданными начальными условиями. При выводе уравнения фильтра Калмана-Бюси
предполагается, что входной (полезный) сигнал x(t) генерируется уравнением:
где 
- белый шум; A, В - матрицы.
Сигнал на выходе (результат
измерения) удовлетворяет уравнению:
где 
- матрица, а 
- белый шум.
Задача формулируется в следующем
виде: по заданному 
построить оценку 
случайной функции 
, вида:
минимизирующую дисперсию ошибки
фильтрации:
Как и ранее, предполагается, что
процессы 
взаимно независимы и центрированы,
а шумы имеют корреляционные функции вида:
где 
- соответствующие ковариационные
матрицы, 
- дельта-функция Дирака.
Необходимым и достаточным условием
того, чтобы 
было решением фильтрации, является
выполнение уравнения Винера - Хопфа:
для всех 
и 
, 
. Или что то же:
При сделанных предположениях
справедлива следующая теорема. Пусть для задачи фильтрации существует решение
вида:
где 
- весовая функция, непрерывно
дифференцируемая по t, тогда для 
справедливо соотношение:
Следствием теоремы (2.19) является
дифференциальное уравнение, которому должно удовлетворять оценка 
:
где 
- ковариационная матрица, которая
является решением уравнения типа Риккати:

с начальным условием 
Уравнение (2.20) определяет
структуру оптимального линейного фильтра. Практическая реализация фильтров
Винера и Калмана связана с рядом технических трудностей, поэтому на практике
применяются фильтры на основе RC - цепочек и операционных усилителей,
являющиеся субоптимальными, однако более легко реализуемыми. Фильтры Калмана
получили распространение при фильтрации дискретных последовательностей.
Статические измерения.
В статическом случае для повышения
помехоустойчивости СИ применяются специальные алгоритмы обработки многократных
измерений. Задача формулируется в следующем виде. Найти оценку 
полезного сигнала 
по результатам многократных
измерений 
включающих значения помех 
, которые являются реализациями
случайной величины 
Соответствующая оценка должна быть
эффективной, состоятельной и несмещённой в заданном диапазоне измерений.
Можно показать после несложных
преобразований, что оптимальный алгоритм, удовлетворяющий сформулированным
условиям, определяется выражением:
где 
- совместная плотность распределения

. Искомая оценка равна:
На практике это может выглядеть так.
Рассмотрим пример применения этого алгоритма, к примеру, когда помеха 
имеет нормальное распределение
вида:
Подставляя выражение для нормального
закона в (2.22) и проводя вычисления, найдём:
Для оптимальной оценки из (2.23)
получим:
т.е. имеем выборочное среднее с
дисперсией погрешности оценки:
где 
- дисперсия помехи 
.
При усложнении закона распределения
расчёт усложняется и апогеем сложности здесь может быть тот факт, если ЗРВ
помехи неизвестен. В этом случае наиболее часто используется метод наименьших
модулей, в котором минимизируется величина:
Решением данного уравнения является
по медиане:
Другим подходом, получившим
распространение, является α - усеченное среднее, когда с обоих
концов выборки удаляют по m результатов измерений, а по оставшейся части
выборки вычисляется среднее.
Из этих двух методов оценка по
медиане очень «жёсткая», так как выбрасываются все результаты измерений, кроме
одного или двух центральных. Оценка по усеченному среднему менее жесткая, кроме
того, она уменьшает влияние флюктуирующих помех.
Другие фильтры.
Из существующих и используемых
методов по борьбе с шумом также следует отметить следующие:
энергетический фильтр;
фильтр обнаружения сигналов;
оптимальные фильтры сжатия сигналов;
расширенный фильтр Калмана;
сигма точечный фильтр;
фильтры Баттерворта;
фильтры Чебышева;
инверсные фильтры Чебышева 2;
фильтры Бесселя;
эллиптические фильтры (фильтры
Кауэра);
ЗАКЛЮЧЕНИЕ
В процессе выполнения работы нами
были рассмотрены практически все основные методы повышения точности и
помехозащищённости. Некоторые из них были разобраны более подробно, некоторые
нет. Во многом, второе связано с недостатком информации и по причине
специфичности каждого из методов, поскольку любой из них может стать предметом
исследования применительно к конкретному СИ или ИВК ввиду индивидуального
подхода и схемы построения прибора.
В общем смысле мы видим многообразие
различных методов, которые в той или иной степени успешно применяются при
измерениях. Единственное, что осталось без должного внимания, так называемые
технологические методы повышения точности СИ, которые призваны уменьшить
инструментальную погрешность на стадии проектирования измерительного
устройства. Данные методы разрабатываются индивидуально для каждого СИ.
Поскольку точностные пределы
измерений ограничены естественными пределами измерений, вытекающих из принципа
неопределённости Гейзенберга, некоторые методы повышения точности СИ с
открытием макроскопических квантовых эффектов могут отойти на второй план, а
другие, все же продолжить работу.
1. Брюханов
В.А. Методы повышения точности измерений в промышленности. - М.: Изд-во
стандартов, 1991. - 108с.
2. Давыдов
А.В. Курс тематических лекций по анализу, фильтрации цифровой обработке
сигналов. Тема 12 - Оптимальные линейные цифровые фильтры. Адрес для
ознакомления - <http://prodav.narod.ru/dsp/index.html>. Copyright ©
2008-2010 Davydov А.V.
. Денисенко
В. «Повышение точности путём многократных измерений». Журнал «Современные
технологии автоматизации» №4/2009. Изд-во «СТА - ПРЕСС», 2009.
. Отт
Г. Методы подавления шумов и помех в электронных системах. - М.: Мир, 1979. -
318 .
. Романов
В.Н. Теория измерений. Точность средств измерений: Учеб. пособие. - СПб.: СЗТУ,
2003. - 154 .
. Соловьев
С.И. Курс лекций по дисциплине «Обеспечение требуемой точности и достоверности
исходных данных результатов измерений и вычислений». ТулГУ. Кафедра
«Инструментальные и метрологические системы». 2011 г.
. Харитонов
В.И. Курс лекций по дисциплине «Технические измерения и приборы». Тема 1 -
Основные сведения об измерениях. МГТУ «МАМИ». Кафедра «Автоматика и процессы
управления». Адрес для ознакомления -
<http://www.mami.ru/kaf/aipu/techizm.php>.
. Шевкопляс
Б.В. Микропроцессорные структуры. Инженерные решения: Справочник. - 2-е изд.
перераб. и доп. - М.: Радио и связь, 1990. - 512 с.
. Материала
сайта «VXI - стандарт информационных и контрольно - измерительных технологий».
Главная страница - <http://vxi.su/>.