Исследование данных в линейной регрессионной модели
Московский государственный институт
электронной техники (Технический Университет)
Контрольная
работа по теории вероятностей
Анализ данных в линейной
регрессионной модели
Москва 2008
Постановка
задачи
Пусть требуется измерить некоторую величину а. Результаты
измерений х1(ω), х2(ω), ... хn(ω) естественно рассматривать как
значения случайных величин х1(ω), х2(ω), ... , хn(ω), полученные в данном опыте с исходом
w.Если измерительный прибор не даёт
систематической ошибки, то Мхk = а. Таким образом, по результатам наблюдений
х1, х2, ... хn нужно определить неизвестный параметр
а - это типичная задача оценки неизвестных параметров.
Общая ошибка измерения часто складывается из большого числа ошибок, каждая из
которых невелика. В такой ситуации на основании центральной предельной теоремы
становится правдоподобным следующее предположение (гипотеза): СВ хk имеют нормальное распределение. Таким
образом, мы пришли к задаче статистической проверки гипотезы о законе
распределения.
К задачам оценки параметров часто относят задачи, в которых нужно
установить зависимость между переменными. Пусть, например, из некоторых
соображений известно, что переменная у линейно зависит от
переменных х1, х2, ... хn: у = А0
+ А1х1 + ... + Аkхk. Коэффициенты А0, А1,
... ,Аk
неизвестны. При различных наборах (хi1, хi2, ... , хin), i=1,…,n,
измеренных значения уi = А0 + А1хi1 + ... + Аkхik +di , где di - ошибки измерения у
при наборе (хi1, хi2, ... , хin). По значениям (уi , хi1, хi2, … , хin) требуется оценить коэффициенты А0,
А1, ... ,Аk . Задачи такого типа называют регрессионными.
вектор линейный регрессия дисперсия
Статистическое
описание и выборочные характеристики двумерного случайного вектора
Пусть
,
- выборка объема
из
наблюдений случайного двумерного вектора (X, Y).
Предварительное представление о двумерной генеральной совокупности можно
получить, изображая элементы выборки точками на плоскости с выбранной
декартовой системой координат. Это представление выборки называется диаграммой
рассеивания.
Распределением
двумерной выборки называется
распределение двумерного дискретного случайного вектора, принимающего значения
,
с вероятностями, равными
. Выборочные числовые характеристики вычисляются как
соответствующие числовые характеристики двумерного случайного вектора
дискретного типа.
Выборочная
линейная регрессия
на
по
выборке
,
определяется уравнением

Выборочные средние находятся по формулам:
.
Вычислим суммы квадратов отклонений от среднего и произведений отклонений
от средних:
Дисперсия находится по
формулам:
,
; коэффициент корреляции считается как
.
Линейная
регрессия
В
регрессионном анализе изучается связь между зависимой переменной
и одной или несколькими независимыми переменными.
Пусть переменная
зависит от одной переменной
. При этом предполагается, что переменная
принимает фиксированные значения, а зависимая
переменная
имеет случайный разброс из-за ошибок измерения,
влияния неучтенных факторов и т.д. Каждому значению переменной
соответствует некоторое вероятностное распределение
случайной величины
. Предположим, что случайная величина
в среднем линейно зависит от значений переменной
. Это означает, что условное математическое ожидание
случайной величины
при заданном значении переменной
имеет вид
Функция
переменной, определяемая правой частью формулы, называется линейной регрессией
на
, а
параметры
и
-
параметрами линейной регрессии. На практике параметры линейной регрессии
неизвестны и их оценки определяют по результатам наблюдений переменных
и
.
Пусть
проведено
независимых наблюдений случайной величины
при значениях переменной
при этом измерения величины
дали следующие результаты:
Так
как эти значения имеют "разброс" относительно регрессии, то связь
между переменными
и
можно
записать в виде линейной регрессионной модели:
где
- случайная ошибка наблюдений, причем
Значение дисперсии ошибок наблюдений
неизвестно, и оценка ее определяется по результатам
наблюдений.
Задача
линейного регрессионного анализа состоит в том, чтобы по результатам наблюдений
,
· получить
наилучшие точечные и интервальные оценки неизвестных параметров
и
модели;
· проверить статистические
гипотезы о параметрах модели;
· проверить
достаточно ли хорошо модель согласуется с результатами наблюдений.
Задача
линейного регрессионного анализа решается в предположении, что случайные ошибки
не коррелированны, имеют
и одну и ту же дисперсию
и нормально распределены, т.е.
. В этом случае ошибки наблюдений также являются
независимыми СВ.
Для
нахождения оценок параметров регрессии по результатам наблюдений используется
метод наименьших квадратов. По этому методу в качестве оценок параметров
выбирают такие значения
и
, которые
минимизируют сумму квадратов отклонений наблюдаемых значений случайных величин
, i=1,2,…,n , от их математических ожиданий, т. е. сумму
.
Из
необходимых условий минимума функции
:
Получим, что МНК-оценки параметров линейной регрессии имеют вид:
Аналогично определяются линейная регрессия X на Y
.
Коэффициенты
и
находятся
по формулам:
,
.
Для
контроля правильности расчетов используется соотношение:
.
Прямые
,
пересекаются
в точке с координатами
.
Оценки
параметров линейной регрессии, получаемые по методу наименьших квадратов, при
любом законе распределения ошибок наблюдений
, i=1,2,….n,
имеют следующие свойства:
. Они
являются линейными функциями результатов наблюдений
, i=1,2,…,n, и несмещенными оценками параметров, т.е.
, j=0,1.
. Они
имеют минимальные дисперсии в классе не смещенных оценок, являющихся линейными
функциями результатов наблюдений. Если ошибки наблюдений
не коррелированны и имеют нормальное распределение,
т.е.
, то в дополнение к свойствам 1, 2 выполняется
свойство:
. МНК
- оценки совпадают с оценками, вычисляемыми по методу максимального подобия.
Функция
определяет выборочную регрессию Y на X .
Последняя является оценкой предполагаемой линейной регрессией по результатам
наблюдений. Разности между наблюдаемыми значениями переменной Y при
, i=1,2,…,n, и расчетными значениями
называются остатками и обозначаются
:
.
Качество
аппроксимации результатов наблюдений
,
выборочной регрессии определяется величиной остаточной
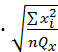
дисперсии, вычисляемой по формуле:
Величина
, определяется выражением
и называется остаточной суммой квадратов.
В практических вычислениях остаточную сумму квадратов получают из
тождества
которое записывается в виде
,
где
Величина
называется суммой квадратов, обусловленной
регрессией.
Линейная
регрессионная модель называется незначимой, если параметр
. Если эта гипотеза отклоняется, то говорят, что
регрессионная модель статистически значима
Полезной
характеристикой линейной регрессии является коэффициент детерминации
, вычисляемый по формуле
Коэффициент
детерминации
равен той доле разброса результатов наблюдений
,
относительно горизонтальной прямой
, которая объясняется выборочной регрессией.
Величина
R является оценкой коэффициента корреляции между результатами наблюдений
и вычисленными значениями
, предсказываемыми регрессией. В случае линейной
регрессии Y на X (одной независимой переменой X) между
коэффициентом R и выборочным коэффициентом корреляции
имеется следующее соотношение:
.
Доверительным
интервалом для параметра
называется интервал
,
содержащий истинное значение с заданной вероятностью
, т.е.
. Число
называется доверительной вероятностью, а
значение
- уровнем значимости. Статистики
, определяемые по выборке из генеральной совокупности
с неизвестным параметром
, называются нижней и верхней границами доверительного
интервала.
Границы
доверительных интервалов для параметров линейной регрессии имеют вид:
,
где
- квантиль распределения Стьюдента с n-2
степенями свободы.
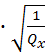
Границы
доверительного интервала для среднего значения
,
соответствующего заданному значению
,
определяются формулой:
.
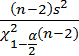
Доверительный
интервал для дисперсии ошибок при неизвестном
и при
доверительной вероятности
имеет вид
, где
- квантиль распределения
с n-2 степенями свободы.
Проверка
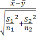
гипотезы о равенстве средних двух нормальных совокупностей при неизвестных дисперсиях
1.Проверить
гипотезу о равенстве дисперсий Н0:
a) Zв=
(
) , 
2/(n-1) - несмещённая оценка дисперсии
б)
если Zв<
,
гипотеза Н0 принимается на уровне значимости 
.Проверить
гипотезу о равенстве средних с неизвестными неравными дисперсиями 
)
а)
Zв=
б)
если 
в|<
(k),
где k=
, то
гипотеза m1=m2 принимается.
.Гипотеза
о равенстве средних с неизвестными равными дисперсиями (
)
а)
Zв=
, где s=
б)если

в|<
(
), то Н0:
m1=m2
принимается.
Практическая
часть
Выборочная
регрессия Y на X по выборке
,
определяется уравнением
Найдем
средние значения X и Y:

=1/ n
i=250,34/50=5,0068

=1/n
i=597,78/50=11,9556
2) Найдем суммы квадратов отклонений от среднего и произведений
отклонений от средних значений по формулам:

x=
i2-(
i) 2/
n=1370,51 - (250,34)2/50=117,1079y=
i2-(
i) 2/
n=7273,65 - (597,78)2/50=126,8358

xy=
iyi-((
i)
i)) / n =3102,39
- (250,34
597,78)/50=109,425x=
x
1/n=117,1079/50=2,3422
Dy=
y
1/n=126,8358/
50=2,5367
3)
Получим коэффициенты регрессии Y на X (определяется уравнением
:

=
xy/
x=0,8628

=
=-5,3076
у
= -5,3076 + 0,8628*x
4) Получим коэффициенты регрессии X на Y
(определяется уравнением
):

=
xy/
y=0,9344

=
=7,2773
x =
7,2773+0,9344*y
5) Найдём коэффициент корреляции:

=
xy/
=0,8978
6) Найдём остатки и остаточные суммы квадратов по формулам:
=24,5897
7) Найдём остаточную дисперсию (несмещённая оценка дисперсии ошибок
измерений):
S2=
/n-2=
i-
)2=
e/n-2=0,5123=0,7157
8) Сумма квадратов, обусловленной регрессией:

R=
i)2=
=
102,2461
9) Коэффициент детерминации:
R2=
= 1 - 
=0,8061
Значит,
полученное уравнение регрессии на 80% объясняет разброс относительно прямой 
=11,9556
С
помощью коэффициента детерминации R получим коэффициент
корреляции:
rxy=sign(
)R=0,8978
10) Доверительные интервалы для коэффициентов регрессии (уровень
значимости a=0.1):

1-α/2(n-2)
s
= 
0,1066
Доверительный
интервал для
: (6,6962; 7,8583).

1-α/2(n-2)
s
= 
0,5810
Доверительный
интервал для
: (0,8234; 1,0410).
Из
этого следует, что гипотеза H0:
отклоняется на уровне значимости a=0.1, т.к доверительный интервал не накрывает нуль с доверительной
вероятностью 0.9. Таким образом, модель статистически значима.
)
Доверительный интервал для среднего значения у0,
соответствующего заданному значению х=х0:
y0 ±t1-α/2∙
S
=
(7,2773+0,9344x0)±1.6780*0.7157*
12) Доверительный интервал для дисперсии ошибок:

<
2 < 
,3803
<σ2 <
0,7407
13) Проверка гипотезы о равенстве средних двух нормальных совокупностей
при неизвестных дисперсиях.
Проверяем гипотезу о равенстве дисперсий H0: σ12=σ22
гипотеза H0 принимается на уровне значимости
0,1.
Проверяем гипотезу о равенстве средних с неизвестными равными дисперсиями
H0: σ12 = σ22.
Гипотеза о равенстве средних не подтверждается расчетами.